Главная // Актуальные документы // ГОСТ (Государственный стандарт)СПРАВКА
Источник публикации
М.: Стандартинформ, 2017
Примечание к документу
Текст данного документа приведен с учетом
поправки, опубликованной в "ИУС", N 7, 2019;
поправки, опубликованной в "ИУС", N 2, 2020;
поправки, опубликованной в "ИУС", N 6, 2021.
Документ
введен в действие с 01.07.2018.
Название документа
"ГОСТ 32453-2017. Межгосударственный стандарт. Глобальная навигационная спутниковая система. Системы координат. Методы преобразований координат определяемых точек"
(введен в действие Приказом Росстандарта от 12.09.2017 N 1055-ст)
"ГОСТ 32453-2017. Межгосударственный стандарт. Глобальная навигационная спутниковая система. Системы координат. Методы преобразований координат определяемых точек"
(введен в действие Приказом Росстандарта от 12.09.2017 N 1055-ст)
агентства по техническому
регулированию и метрологии
от 12 сентября 2017 г. N 1055-ст
МЕЖГОСУДАРСТВЕННЫЙ СТАНДАРТ
ГЛОБАЛЬНАЯ НАВИГАЦИОННАЯ СПУТНИКОВАЯ СИСТЕМА
СИСТЕМЫ КООРДИНАТ
МЕТОДЫ ПРЕОБРАЗОВАНИЙ КООРДИНАТ ОПРЕДЕЛЯЕМЫХ ТОЧЕК
Global navigation satellite system. Coordinate systems.
Methods of transformations for determinated
points coordinates
ГОСТ 32453-2017
Дата введения
1 июля 2018 года
Цели, основные принципы и основной порядок проведения работ по межгосударственной стандартизации установлены в
ГОСТ 1.0-2015 "Межгосударственная система стандартизации. Основные положения" и
ГОСТ 1.2-2015 "Межгосударственная система стандартизации. Стандарты межгосударственные, правила и рекомендации по межгосударственной стандартизации. Правила разработки, принятия, обновления и отмены"
1 РАЗРАБОТАН Акционерным обществом "Научно-технический центр современных навигационных технологий "Интернавигация" (АО "НТЦ "Интернавигация")
2 ВНЕСЕН Федеральным агентством по техническому регулированию и метрологии
3 Принят Межгосударственным советом по стандартизации, метрологии и сертификации по результатам голосования (протокол от 30 августа 2017 г. N 102-П)
За принятие проголосовали:
Краткое наименование страны по МК (ИСО 3166) 004-97 | Код страны по МК (ИСО 3166) 004-97 | Сокращенное наименование национального органа по стандартизации |
Азербайджан | AZ | Азстандарт |
Армения | AM | Минэкономики Республики Армения |
Беларусь | BY | Госстандарт Республики Беларусь |
Казахстан | KZ | Госстандарт Республики Казахстан |
Киргизия | KG | Кыргызстандарт |
Молдова | MD | Молдова-Стандарт |
Россия | RU | Росстандарт |
Таджикистан | TJ | Таджикстандарт |
Туркменистан | TM | Главгосслужба "Туркменстандартлары" |
Узбекистан | UZ | Узгосстандарт |
Украина | UA | Минэкономразвития Украины |
4
Приказом Федерального агентства по техническому регулированию и метрологии от 12 сентября 2017 г. N 1055-ст межгосударственный стандарт ГОСТ 32453-2017 введен в действие в качестве национального стандарта с 1 июля 2018 г.
Информация об изменениях к настоящему стандарту публикуется в ежегодном информационном указателе "Национальные стандарты", а текст изменений и поправок - в ежемесячном информационном указателе "Национальные стандарты". В случае пересмотра (замены) или отмены настоящего стандарта соответствующее уведомление будет опубликовано в ежемесячном информационном указателе "Национальные стандарты". Соответствующая информация, уведомление и тексты размещаются также в информационной системе общего пользования - на официальном сайте Федерального агентства по техническому регулированию и метрологии в сети Интернет (www.gost.ru)
Настоящий стандарт распространяется на системы координат, входящие в состав систем геодезических параметров "Параметры Земли 1990 года" и референцные системы координат Российской Федерации.
Настоящий стандарт устанавливает методы преобразований координат и их приращений из одной системы в другую, а также порядок использования параметров преобразования систем координат при выполнении геодезических, навигационных, картографических работ с применением аппаратуры потребителей глобальных навигационных спутниковых систем.
В настоящем стандарте применены следующие термины с соответствующими определениями:
2.1 большая полуось эллипсоида a: Параметр, характеризующий размер эллипсоида.
2.2 высокоточная геодезическая сеть; ВГС: Спутниковая геодезическая сеть со средним расстоянием между смежными пунктами 150 - 300 км, координаты которой определяются относительно пунктов фундаментальной астрономо-геодезической сети.
2.3 геоид: Эквипотенциальная поверхность, совпадающая с поверхностью Мирового океана в состоянии полного покоя и равновесия и продолженная под материками.
2.4 геодезическая высота: Высота точки над поверхностью отсчетного эллипсоида, отсчитываемая по нормали к эллипсоиду.
2.5 геодезическая долгота: Двугранный угол между плоскостями геодезического меридиана данной точки и начального геодезического меридиана.
2.6 геодезическая широта: Угол между нормалью к поверхности отсчетного эллипсоида, проходящей через заданную точку, и плоскостью его экватора.
2.7 гравитационное поле Земли; ГПЗ: Поле силы тяжести на поверхности Земли и во внешнем пространстве, обусловленное силой притяжения Земли и центробежной силой, возникающей в результате суточного вращения Земли.
2.8 квазигеоид: Геометрическое место точек, получаемых путем откладывания нормальных высот от точек физической поверхности Земли по нормали к эллипсоиду. Математическая поверхность, близкая к геоиду, и являющаяся отсчетной для установления системы нормальных высот.
2.9 космическая геодезическая сеть; КГС: Сеть геодезических пунктов, закрепляющих геоцентрическую систему координат, положение которых на земной поверхности определено по наблюдениям искусственных спутников Земли.
2.10 модель гравитационного поля Земли: Математическое описание характеристик гравитационного поля Земли.
2.11 нормальная высота: Измеренная разность геопотенциала в данной точке и начале счета высот, деленная на среднее значение нормальной силы тяжести.
2.12 нормальное гравитационное поле Земли: Модель гравитационного поля Земли, представляемая нормальным потенциалом силы тяжести уровенного эллипсоида вращения и фундаментальными геодезическими параметрами, однозначно определяющими отсчетную систему.
2.13 общеземной эллипсоид; ОЗЭ: Эллипсоид вращения, который характеризует фигуру и размеры Земли и применяется для обработки геодезических измерений на всей поверхности Земли в общеземной (геоцентрической) системе координат.
2.14 отсчетный эллипсоид: Эллипсоид вращения, который характеризует фигуру и размеры Земли и определенным образом ориентирован в теле Земли.
2.15 планетарная модель гравитационного поля Земли: Модель гравитационного поля Земли, отражающая гравитационные особенности Земли в целом.
2.16 плоскость астрономического меридиана: Плоскость, проходящая через отвесную линию в данной точке и параллельная оси вращения Земли.
2.17 плоскость геодезического меридиана: Плоскость, проходящая через нормаль к поверхности отсчетного эллипсоида в данной точке и параллельная его малой оси.
2.18 плоскость начального меридиана: Плоскость меридиана, от которого ведется счет долгот.
2.19 плоские прямоугольные координаты: Линейные величины, определяющие положение точек на плоскости, на которой отображена в заданной картографической проекции ограниченная часть поверхности отсчетного эллипсоида. Осями координат являются прямолинейные изображения экватора эллипсоида и осевого меридиана соответствующей зоны, пересекающиеся под прямым углом.
2.20 сжатие эллипсоида

: Разность между большой или малой осями эллипсоида, выраженная в единицах большой полуоси и вычисляемая по формуле
2.21 первый (второй) эксцентриситет
e (
e') эллипсоида: Фокальное расстояние
c, выраженное в единицах большой (малой) полуоси эллипсоида и вычисляемое по формуле

, где

.
2.22 геодезические координаты: Параметры, два из которых (геодезическая широта и геодезическая долгота) характеризуют направление нормали к поверхности отсчетного эллипсоида в данной точке пространства относительно плоскостей его экватора и начального меридиана, а третий (геодезическая высота) представляет собой высоту точки над поверхностью отсчетного эллипсоида.
2.23 система геодезических параметров Земли: Совокупность параметров и точностных характеристик фундаментальных геодезических постоянных, общеземного эллипсоида, модели гравитационного поля Земли, геоцентрической системы координат и параметров трансформирования ее в другие системы координат.
2.24 спутниковая геодезическая сеть 1-го класса; СГС-1: Спутниковая геодезическая сеть со средним расстоянием между соседними пунктами 15 - 20 км, координаты которых определяются относительно высокоточной геодезической сети.
2.25 фундаментальная астрономо-геодезическая сеть; ФАГС: Спутниковая геодезическая сеть со средним расстоянием между соседними пунктами 650 - 1000 км, координаты которых определяются в геоцентрической системе координат.
2.26 фундаментальные геодезические постоянные: Взаимосогласованные геодезические постоянные, однозначно определяющие параметры общеземного эллипсоида и нормальное гравитационное поле Земли.
2.27 эквипотенциальная поверхность: Поверхность, в каждой точке которой потенциал остается постоянным.
2.28 параметры трансформирования систем координат: Параметры, с помощью которых выполняется преобразование координат из одной системы координат в другую.
В настоящем стандарте применены следующие сокращения:
ВГС - высокоточная геодезическая сеть;
ГГС - государственная геодезическая сеть;
ГЛОНАСС - глобальная навигационная спутниковая система Российской Федерации;
ГНСС - глобальная навигационная спутниковая система;
ГПЗ - гравитационное поле Земли;
ПЗ-90, ПЗ-90.02, ПЗ-90.11 - системы геодезических параметров "Параметры Земли 1990 года" Российской Федерации;
ГСК-2011 - геодезическая система координат 2011 года Российской Федерации, эпоха 2011 года;
СГС-1 - спутниковая геодезическая сеть 1-го класса;
СК - система координат;
ФАГС - фундаментальная астрономо-геодезическая сеть;
BIH - Международное бюро времени;
GPS - глобальная навигационная спутниковая система Соединенных Штатов Америки;
IERS - Международная служба вращения Земли;
ITRF - практическая реализация системы координат TRS, осуществляемая IERS;
IRM - референцный меридиан, установленный IERS;
IRP - референцный полюс, установленный IERS;
TRS - земная система координат, участвующая вместе с Землей в ее суточном вращении вокруг оси;
TRF - практическая реализация системы координат TRS;
aWGS-84 - большая полуось общеземного эллипсоида в системе WGS-84;
aКр - большая полуось эллипсоида Красовского;

- сжатие эллипсоида Красовского;
WGS-84 - система геодезических параметров "Мировая геодезическая система 1984 года" Соединенных Штатов Америки.
4. Земная система координат и ее практические реализации
Земная система координат предназначена для количественного описания положения и движения объектов, находящихся на поверхности Земли и в околоземном пространстве.
Количественными характеристиками положения точки в земной системе координат являются координаты, имеющие вариации во времени, вызванные геофизическими явлениями (тектоническими или приливными деформациями).
Практическая реализация TRS, осуществляемая IERS, получила наименование ITRF и заключается в определении координат пунктов (и их скоростей изменения во времени), закрепляющих ITRF на поверхности Земли.
Начало и направление осей системы координат ITRF определены следующим образом:
- начало - в центре масс Земли;
- ось Z направлена в IRP;
- ось X направлена в точку пересечения плоскости IRM с плоскостью, проходящей через начало системы координат TRF и перпендикулярную к оси Z;
- ось Y дополняет систему до правой ортогональной координатной системы.
Точность последних практических реализаций TRS находится на субсантиметровом уровне точности определения координат пунктов.
Практические реализации земной системы координат TRS, используемые в глобальных навигационных спутниковых системах ГЛОНАСС (ПЗ-90) и GPS (WGS-84), а также референцные системы координат Российской Федерации (СК-42, СК-95, ГСК-2011) приведены в 4.1.
Примечание - В настоящее время Международной службой вращения Земли получена практическая реализация TRS, обозначаемая как ITRF-2014 на эпоху 2010 года.
4.1. Системы геодезических параметров
4.1.1 Система геодезических параметров "Параметры Земли 1990 года"
4.1.1.1 Система геодезических параметров ПЗ-90 включает в себя:
- фундаментальные геодезические постоянные;
- параметры ОЗЭ;
- систему координат ПЗ-90, закрепляемую координатами пунктов космической геодезической сети;
- характеристики модели ГПЗ;
- параметры трансформирования геоцентрической системы координат ПЗ-90 в референцные системы координат России и зарубежные системы координат.
Параметры трансформирования между системой координат ПЗ-90 и референцными системами координат России и порядок их использования при преобразовании систем координат приведены в
приложении А.
Примечание - В соответствии с
[1] в настоящее время установлена государственная геоцентрическая система координат "Параметры Земли 1990 года" (ПЗ-90), отнесенная к эпохе 2010.0 и обозначаемая как ПЗ-90.11.
Числовые значения элементов трансформирования между системами координат ПЗ-90, ПЗ-90.02 и ПЗ-90.11, а также порядок их использования при преобразовании систем координат приведены в
приложениях Б и
В.
4.1.1.2 Теоретическое определение системы координат ПЗ-90 основывается на следующих положениях:
- начало системы координат расположено в центре масс Земли;
- ось Z направлена к условному земному полюсу (международному условному началу);
- ось X лежит в плоскости начального астрономического меридиана, установленного IERS и Международным бюро времени;
- ось Y дополняет систему до правой системы координат.
4.1.1.3 Положения точек в системе ПЗ-90 могут быть получены в виде пространственных прямоугольных или геодезических координат.
Геодезические координаты относятся к ОЗЭ, размеры и форма которого определяются значениями большой полуоси и сжатия.
Центр ОЗЭ совпадает с началом системы координат ПЗ-90, ось вращения эллипсоида - с осью Z, а плоскость начального меридиана - с плоскостью XOZ.
Примечание - За отсчетную поверхность в системах геодезических параметров ПЗ-90, ПЗ-90.02 и ПЗ-90.11 принят общеземной эллипсоид с большой полуосью
aПЗ = 6378136 м и сжатием

.
4.1.2 Система геодезических параметров "Мировая геодезическая система 1984 года"
4.1.2.1 Система параметров WGS-84 включает в себя:
- фундаментальные геодезические постоянные;
- систему координат WGS-84, закрепляемую координатами пунктов глобальной геодезической сети;
- параметры ОЗЭ;
- характеристики модели ГПЗ;
- параметры элементов трансформирования между геоцентрической системой координат WGS-84 в различные национальные системы координат.
Параметры элементов трансформирования между геоцентрическими системами координат ПЗ-90 и WGS-84, а также порядок использования элементов трансформирования приведены в
приложении Г.
Примечание - В настоящее время действует шестая версия системы координат WGS-84, отнесенная к эпохе 2005.0 и обозначаемая как WGS-84(G1762). В приведенных обозначениях версий системы координат WGS-84 литера "G" означает "GPS", а "730", "873", "1150" и "1762" указывают на номер GPS-недели, соответствующей дате, к которой отнесены эти версии системы координат WGS-84.
По оценкам зарубежных специалистов система координат WGS-84(G1762) согласована с системой координат ITRF-2008 на субмиллиметровом уровне.
4.1.2.2 Теоретическое определение системы координат WGS-84 основывается на следующих положениях:
- начало системы координат расположено в центре масс Земли;
- ось Z направлена в IERS Reference Pole (IRP);
- ось X направлена в точку пересечения плоскости (IRM) с плоскостью, проходящей через начало системы координат WGS-84 и перпендикулярную к оси Z;
- ось Y дополняет систему до правой системы координат.
4.1.2.3 Положения точек в системе WGS-84 могут быть получены в виде пространственных прямоугольных или геодезических координат.
Геодезические координаты относятся к ОЗЭ, размеры и форма которого определяются значениями большой полуоси и сжатия.
Центр эллипсоида совпадает с началом системы координат WGS-84, ось вращения эллипсоида совпадает с осью Z, а плоскость начального меридиана - с плоскостью XOZ.
Примечание - За отсчетную поверхность в WGS принят общеземной эллипсоид с большой полуосью
aWGS-84, равным 6378137 м, и сжатием

, равным 1/298,257223563.
4.2. Референцные геодезические системы координат Российской Федерации
4.2.1 Геодезическая система координат Российской Федерации ГСК-2011
4.2.1.1 В соответствии с
[1] в качестве государственной установлена также ГСК-2011, отнесенная к эпохе 2011 года.
ГСК-2011 - государственная геодезическая система координат, предназначенная для осуществления геодезической, картографической, навигационной и других видов деятельности для текущих и перспективных потребностей экономики, науки, обороны и безопасности Российской Федерации и обеспечивающая преемственность существующих геодезических систем координат СК-95 и СК-42.
4.2.1.2 Теоретическое определение системы координат ГСК-2011 основывается на следующих положениях:
- начало системы координат расположено в центре масс Земли;
- ось Z направлена к Условному земному полюсу, как определено рекомендациями IERS и BIH;
- ось X направлена в точку пересечения плоскости экватора и начального меридиана, установленного BIH;
- ось Y дополняет систему до правой системы координат.
4.2.1.3 ГСК-2011 закрепляется на поверхности Земли пунктами ФАГС, ВГС, СГС-1, а также пунктами ГГС Российской Федерации общим числом около 300000.
4.2.1.4 Положения точек в системе ГСК-2011 могут быть получены в виде пространственных прямоугольных или геодезических координат.
Геодезические координаты относятся к ОЗЭ, размеры и форма которого определяются значениями большой полуоси и сжатия.
Центр ОЗЭ совпадает с началом системы координат ГСК-2011, ось вращения эллипсоида совпадает с осью Z, а плоскость начального меридиана - с плоскостью XOZ.
| | ИС МЕГАНОРМ: примечание. В официальном тексте документа, видимо, допущена опечатка: в соответствии с ГСК-2011, утв. Постановлением Правительства РФ от 24.11.2016 N 1240, параметр сжатия общего земного эллипсоида равен 1/298,2564151, а не 2564151. | |
Примечание - За отсчетную поверхность в ГСК-2011 принят общеземной эллипсоид с большой полуосью
aГСК-2011, равной 6 378 136,5 м, и сжатием

, равным 2564151.
4.2.2 Референцные системы координат СК-95 и СК-42
Кроме ГСК-2011 координатная основа Российской Федерации представлена референцной системой координат, реализованной в виде ГГС, закрепляющей систему координат на территории страны, и государственной нивелирной сети, распространяющей на всю территорию страны систему нормальных высот (Балтийская система), исходным началом которой является нуль Кронштадтского футштока.
Положения определяемых точек относительно координатной основы могут быть получены в виде пространственных прямоугольных или геодезических координат либо в виде плоских прямоугольных координат и высот.
Геодезические координаты в референцных системах координат Российской Федерации СК-95 и СК-42 относятся к эллипсоиду Красовского, размеры и форма которого определяются значениями большой полуоси
aКр, равной 6378245 м, и сжатия

, равного 1/298,3.
Центр эллипсоида Красовского совпадает с началом референцной системы координат, ось вращения эллипсоида параллельна оси вращения Земли, а плоскость нулевого меридиана определяет положение начала счета долгот.
Примечание - В соответствии
[1] система геодезических координат 1995 года (СК-95) и единая система геодезических координат 1942 года (СК-42), введенная в соответствии с
[2], применяются до 1 января 2021 г. в отношении материалов (документов), созданных с их использованием.
5. Методы преобразований координат определяемых точек
5.1. Преобразование геодезических координат в прямоугольные пространственные координаты и обратно
5.1.1 Преобразование геодезических координат в прямоугольные пространственные координаты осуществляют по формулам:

(1)
где X, Y, Z - прямоугольные пространственные координаты точки;
B, L - геодезические широта и долгота точки соответственно, рад;
H - геодезическая высота точки, м;
N - радиус кривизны первого вертикала, м;
e - эксцентриситет эллипсоида.
Значения радиуса кривизны первого вертикала и квадрата эксцентриситета эллипсоида вычисляют соответственно по формулам:

(2)

(3)
где a - большая полуось эллипсоида, м;

- сжатие эллипсоида.
5.1.2 Для преобразования пространственных прямоугольных координат в геодезические необходимо проведение итераций при вычислении геодезической широты.
Для этого используют следующий алгоритм:
1 - вычисляют вспомогательную величину D по формуле

(4)
2 - анализируют значение D:
а) если D = 0, то

(5)

(6)
б) если

, то при

(7)
где

(8)
3 - анализируют значение Z:
а) если Z = 0, то
B = 0, H = D - a, (9)
б) во всех других случаях вычисления выполняют следующим образом:
- вычисляют значения вспомогательных величин r, c, p по формулам:

(10)

(11)

(12)
- реализуют итеративный процесс, используя вспомогательные величины s1 и s2:
s1 = 0, (13)

(15)

(16)
если значение d, определяемое по формуле (16), меньше установленного значения допуска, то
B = b, (17)

(18)
если значение d не менее установленного значения допуска, то
s1 = s2, (19)
5.1.3 При преобразованиях координат в качестве допуска прекращения итеративного процесса принимают значение d, равное 10-4.
В этом случае погрешность вычисления геодезической высоты не превышает 0,003 м.
5.2. Преобразование пространственных прямоугольных координат
Пользователям ГНСС ГЛОНАСС и GPS необходимо выполнять преобразования координат из системы ПЗ-90 в систему WGS-84 и обратно, а также из ПЗ-90 и WGS-84 в референцные системы координат Российской Федерации, используя семь элементов трансформирования, точность которых определяет точность преобразований.
Параметры трансформирования между системами координат указаны в соответствии с
приложениями А -
Д:
Это обстоятельство необходимо учитывать при преобразовании координат в соответствии с процедурой, приведенной в
приложении Е.
Если данные об эпохе параметров преобразования отсутствуют, то преобразование координат выполняют стандартным образом.
Преобразование координат из системы WGS-84 в координаты референцных систем Российской Федерации осуществляют последовательным преобразованием координат сначала в систему ПЗ-90, а затем - в координаты референцных систем.
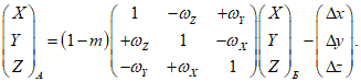
Преобразование пространственных прямоугольных координат выполняют по формуле

(20)
где

,

,

- линейные параметры трансформирования при переходе из системы
А в систему
Б, м;

,

,

- угловые параметры трансформирования при переходе из системы
А в систему
Б, рад;
m - масштабный параметр трансформирования при переходе из системы А в систему Б.
Обратное преобразование прямоугольных координат выполняют по формуле

(21)
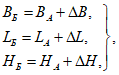
5.3. Преобразование геодезических координат
Преобразование геодезических координат из системы А в систему Б выполняют по формулам

(22)
где B, L - геодезические широта и долгота, выраженные в единицах плоского угла;
H - геодезическая высота, м;

,

,

- поправки к геодезическим координатам точки.
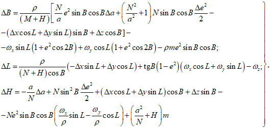
Поправки к геодезическим координатам вычисляют по формулам:

(23)
где

,

- поправки к геодезическим широте, долготе, угл. с;

- поправка к геодезической высоте, м;
B, L - геодезические широта и долгота, рад;
H - геодезическая высота, м;

,

,

- линейные элементы трансформирования систем координат при переходе из системы
А в систему
Б, м;

,

,

- угловые параметры трансформирования систем координат при переходе из системы
А в систему
Б, угл. с;
m - масштабный элемент трансформирования систем координат при переходе из системы А в систему Б;

;

;

;

;
M - радиус кривизны меридианного сечения

;
N - радиус кривизны первого вертикала

;
aБ, aА - большие полуоси эллипсоидов в системах координат Б и А соответственно;
| | ИС МЕГАНОРМ: примечание. Обозначения даны в соответствии с официальным текстом документа. | |

,

- квадраты эксцентриситетов эллипсоидов в системах координат
Б и
А соответственно;

- число угловых секунд в 1 радиане

.
При преобразовании геодезических координат из системы
А в систему
Б в
формуле (22) используют значения геодезических координат в системе
А, а при обратном преобразовании - в системе
Б, и знак поправок

,

,

в
формуле (22) меняют на противоположный.
Формулы (23) обеспечивают вычисление поправок к геодезическим координатам с погрешностью, не превышающей 0,3 м (в линейной мере). Для достижения погрешности не более 0,001 м выполняют вторую итерацию, т.е. учитывают значения поправок к геодезическим координатам по
формулам (22) и повторно выполняют вычисления по
формулам (23).
При этом

(24)
Формулы (22),
(23) и точностные характеристики преобразований по этим формулам справедливы до широт 89°.
5.4. Преобразование геодезических координат в плоские прямоугольные координаты и обратно
5.4.1 Для получения плоских прямоугольных координат в принятой на территории Российской Федерации проекции Гаусса-Крюгера используют геодезические координаты на эллипсоиде Красовского.
Плоские прямоугольные координаты с погрешностью не более 0,001 м вычисляют по формулам
x = 6367558,496 8
B - sin2
B (16002,890 0 + 66,9607 sin
2B +
+ 0,3515 sin4B - l2 (1594561,25 + 5336,535 sin2B +
+ 26,790 sin4B + 0,149 sin6B + l2 (672483,4 -
- 811219,9 sin2B + 5420,0 sin4B - 10,6 sin6B +
+ l2 (278194 - 830174 sin2B + 572434 sin4B - 16010 sin6B +
+ l2 (109500 - 574700 sin2B + 863700 sin4B -
- 398600 sin6B))))); (25)
y = (5 + 10
n)10
5 +
lcos
B (6378245 + 21346,1415 sin
2B +
+ 107,1590 sin4B + 0,5977 sin6B + l2 (1070204,16 -
- 2136826,66 sin2B + 17,98 sin4B - 11,99 sin6B +
+ l2 (270806 - 1523417 sin2B + 1327645 sin4B -
- 21701 sin6B + l2(79690 - 866190 sin2B + 1730360 sin4B -
- 945460 sin6B)))), (26)
где x, y - плоские прямоугольные координаты (абсцисса и ордината) определяемой точки в проекции Гаусса-Крюгера, м;
B - геодезическая широта определяемой точки, рад;
l - расстояние от определяемой точки до осевого меридиана зоны, выраженное в радианной мере и вычисляемое по формуле
l = {L - [3 + 6(n - 1)]}/57,29577951; (27)
L - геодезическая долгота определяемой точки, град;
n - номер шестиградусной зоны в проекции Гаусса-Крюгера, вычисляемый по формуле
n = E[(6 + L)/6], (28)
E[...] - целая часть выражения, заключенного в квадратные скобки.
5.4.2 Преобразование плоских прямоугольных координат в проекции Гаусса-Крюгера на эллипсоиде Красовского в геодезические координаты осуществляют по формулам

(29)
L = 6(n - 0,5)/57,29577951 + l, (30)
где B, L - геодезические широта и долгота соответственно определяемой точки, рад;
B0 - геодезическая широта точки, абсцисса которой равна абсциссе x определяемой точки, а ордината равна нулю, рад;
n - номер шестиградусной зоны в проекции Гаусса-Крюгера, вычисляемый по формуле
n = E[y10-6], (31)
E[...] - целая часть выражения, заключенного в квадратные скобки;
y - ордината определяемой точки в проекции Гаусса-Крюгера, м.
Значения
B0,

и
l вычисляют по следующим формулам

(32)

(33)

(34)
где

- вспомогательная величина, вычисляемая по формуле

(35)
z0 - вспомогательная величина, вычисляемая по формуле

(36)
x, y - абсцисса и ордината определяемой точки в проекции Гаусса-Крюгера соответственно, м.
5.5. Преобразование приращений пространственных прямоугольных координат из одной системы координат в другую
Преобразование приращений пространственных прямоугольных координат из системы координат А в систему Б осуществляют по формуле

. (37)
Обратное преобразование приращений пространственных прямоугольных координат из системы Б в систему А выполняют по формуле

. (38)
В
формулах (37) и (38) угловые элементы трансформирования

,

,

выражены в радианах.
5.6. Связь между геодезической и нормальной высотами
Геодезическая и нормальная высоты связаны соотношением:

(39)
где H - геодезическая высота определяемой точки, м;

- нормальная высота определяемой точки, м;

- высота квазигеоида над эллипсоидом в определяемой точке, м.
Высоты квазигеоида над отсчетным эллипсоидом систем геодезических параметров ПЗ и WGS вычисляют по моделям ГПЗ, являющимися составной частью систем геодезических параметров.
При перевычислении высот квазигеоида из системы координат А в систему координат Б используют формулу

(40)
где

- высота квазигеоида над ОЗЭ, м;

- высота квазигеоида над эллипсоидом Красовского, м;

- поправка к геодезической высоте, вычисляемая по
формуле (23), м.
(обязательное)
ПАРАМЕТРЫ ПРЕОБРАЗОВАНИЯ МЕЖДУ СИСТЕМОЙ КООРДИНАТ
ПЗ-90.11 И РЕФЕРЕНЦНЫМИ СИСТЕМАМИ КООРДИНАТ
РОССИЙСКОЙ ФЕДЕРАЦИИ
А.1 Преобразование координат из референцной системы координат 1942 года (СК-42) в систему координат ПЗ-90.11
А.2 Преобразование координат из системы координат ПЗ-90.11 в референцную систему координат 1942 года (СК-42)
А.3 Преобразование координат из референцной системы координат 1995 года (СК-95) в систему координат ПЗ-90.11
А.4 Преобразование координат из системы координат ПЗ-90.11 в референцную систему координат 1995 года (СК-95)
А.5 Преобразование координат из референцной системы координат ГСК-2011 в систему координат ПЗ-90.11
Эпоха параметров преобразования 2011,0
А.6 Преобразование координат из системы координат ПЗ-90.11 в референцную систему координат ГСК-2011
(обязательное)
ПАРАМЕТРЫ ПРЕОБРАЗОВАНИЯ МЕЖДУ СИСТЕМОЙ КООРДИНАТ ПЗ-90.11
И СИСТЕМОЙ КООРДИНАТ ПЗ-90.02
Б.1 Преобразование координат из системы координат ПЗ-90.02 в систему координат ПЗ-90.11
Эпоха параметров преобразования: 2010,0
Б.2 Преобразование координат из системы координат ПЗ-90.11 в систему координат ПЗ-90.02
(обязательное)
ПАРАМЕТРЫ ПРЕОБРАЗОВАНИЯ МЕЖДУ СИСТЕМОЙ КООРДИНАТ ПЗ-90.11
И СИСТЕМОЙ КООРДИНАТ ПЗ-90
В.1 Преобразование координат из системы координат ПЗ-90 в систему координат ПЗ-90.11
В.2 Преобразование координат из системы координат ПЗ-90.11 в систему координат ПЗ-90
(обязательное)
ПАРАМЕТРЫ ПРЕОБРАЗОВАНИЯ МЕЖДУ СИСТЕМОЙ КООРДИНАТ ПЗ-90.11
И СИСТЕМОЙ КООРДИНАТ WGS-84 (G1150)
Г.1 Преобразование координат из системы координат WGS-84 (G1150) в систему координат ПЗ-90.11
Г.2 Преобразование координат из системы координат ПЗ-90.11 в систему координат WGS-84 (G1150)
(обязательное)
ПАРАМЕТРЫ ПРЕОБРАЗОВАНИЯ МЕЖДУ СИСТЕМОЙ КООРДИНАТ ПЗ-90.11
И СИСТЕМОЙ КООРДИНАТ ITRF-2008
Д.1 Преобразование координат из системы координат ПЗ-90.11 в систему координат ITRF-2008
Эпоха параметров преобразования: 2010,0
Д.2 Преобразование координат из системы координат ITRF-2008 в систему координат ПЗ-90.11
(обязательное)
АЛГОРИТМ УЧЕТА ЭПОХИ ПАРАМЕТРОВ ПРЕОБРАЗОВАНИЯ
ПРИ ПРЕОБРАЗОВАНИИ КООРДИНАТ ИЗ ОДНОЙ СИСТЕМЫ В ДРУГУЮ
Так как системы координат ПЗ-90.11, ПЗ-90.02, ITRF-2008, WGS-84 (G1150), ГСК-2011 отличаются повышенной точностью, то перед выполнением преобразования из одной системы координат в другую координаты пунктов должны быть приведены на эпоху вывода параметров преобразования этих систем координат с использованием скоростей изменения координат пунктов. Для этого используют следующую трехшаговую процедуру.
В качестве примера преобразуем координаты пункта Менделеево (MDVJ), заданные в системе ITRF-2008 и отнесенные к эпохе 2005,0, в систему координат ПЗ-90.11 на произвольную эпоху 2013,9.
Координаты пункта Менделеево (MDVJ) в системе ITRF-2008 на эпоху 2005,0 и скорости изменения координат пункта имеют значения:
X = 2845456,081 м; | Vx = -0,0212 м/год; |
Y = 2160954,245 м; | Vy = +0,0124 м/год; |
Z = 5265993,223 м; | Vz = +0,0072 м/год. |
Первый шаг.
Вычисляем координаты пункта Менделеево (MDVJ) в системе координат ITRF-2008 на эпоху 2010,0
X = 2845456,081 + (-0,0212) x (2010,0 - 2005,0) = 2845455,975;
Y = 2160954,245 + (+0,0124) x (2010,0 - 2005,0) = 2160954,307;
Z = 5265993,223 + (+0,0072) x (2010,0 - 2005,0) = 5265993,259.
Второй шаг.
Выполнив преобразование координат пункта Менделеево (MDVJ) из системы координат ITRF-2008 в систему ПЗ-90.11 на эпоху 2010,0 с использованием параметров преобразования, приведенных в
приложении Д, получаем
X = 2845455,9769 м;
Y = 2160954,3075 м;
Z = 5265993,2598 м.
Третий шаг.
Вычисляем координаты пункта Менделеево (MDVJ) в системе координат ПЗ-90.11 на эпоху 2013,9
X = 2845455,977 + (-0,0212) x (2013,9 - 2010,0) = 2845455,894;
Y = 2160954,308 + (+0,0124) x (2013,9 - 2010,0) = 2160954,356;
Z = 5265993,260 + (+0,0072) x (2013,9 - 2010,0) = 5265993,288.
| | ИС МЕГАНОРМ: примечание. В официальном тексте документа, видимо, допущена опечатка: Постановление Правительства РФ N 1240 имеет дату 24.11.2016, а не 26.11.2016. | |
| Постановление Правительства Российской Федерации от 26 ноября 2016 г. N 1240 "Об установлении государственных систем координат, государственной системы высот и государственной гравиметрической системы". |
| Постановление Совета Министров СССР от 07.04.1946 г. N 760 "О введении единой системы геодезических координат и высот на территории СССР". |