Главная // Актуальные документы // ГОСТ (Государственный стандарт)СПРАВКА
Источник публикации
М.: ФГБУ "РСТ", 2021
Примечание к документу
Текст данного документа приведен с учетом
поправки, введенной в действие с 25.02.2022, опубликованной в "ИУС", N 3, 2022.
Документ включен в
Перечень международных и региональных (межгосударственных) стандартов, а в случае их отсутствия - национальных (государственных) стандартов, в результате применения которых на добровольной основе обеспечивается соблюдение требований технического
регламента Таможенного союза "О безопасности аппаратов, работающих на газообразном топливе" (ТР ТС 016/2011) и в
Перечень международных и региональных (межгосударственных) стандартов, а в случае их отсутствия - национальных (государственных) стандартов, содержащих правила и методы исследований (испытаний) и измерений, в том числе правила отбора образцов, необходимые для применения и исполнения требований технического
регламента Таможенного союза "О безопасности аппаратов, работающих на газообразном топливе" (ТР ТС 016/2011) и осуществления оценки соответствия объектов технического регулирования (
Решение Коллегии Евразийской экономической комиссии от 13.07.2021 N 86).
Документ
введен в действие с 01.04.2022.
Название документа
"ГОСТ EN 625-2013. Межгосударственный стандарт. Котлы газовые для центрального отопления. Дополнительные требования к контуру горячего водоснабжения комбинированных котлов номинальной тепловой мощностью не более 70 кВт"
(введен в действие Приказом Росстандарта от 31.08.2021 N 873-ст)
"ГОСТ EN 625-2013. Межгосударственный стандарт. Котлы газовые для центрального отопления. Дополнительные требования к контуру горячего водоснабжения комбинированных котлов номинальной тепловой мощностью не более 70 кВт"
(введен в действие Приказом Росстандарта от 31.08.2021 N 873-ст)
агентства по техническому
регулированию и метрологии
от 31 августа 2021 г. N 873-ст
МЕЖГОСУДАРСТВЕННЫЙ СТАНДАРТ
КОТЛЫ ГАЗОВЫЕ ДЛЯ ЦЕНТРАЛЬНОГО ОТОПЛЕНИЯ
ДОПОЛНИТЕЛЬНЫЕ ТРЕБОВАНИЯ К КОНТУРУ ГОРЯЧЕГО ВОДОСНАБЖЕНИЯ
КОМБИНИРОВАННЫХ КОТЛОВ НОМИНАЛЬНОЙ ТЕПЛОВОЙ МОЩНОСТЬЮ
НЕ БОЛЕЕ 70 кВт
Gas-fired central heating boilers. Specific requirements
for the domestic hot water operation of combination boilers
of nominal heat input not exceeding 70 kW
(EN 625:1995, IDT)
ГОСТ EN 625-2013
Дата введения
1 апреля 2022 года
Цели, основные принципы и общие правила проведения работ по межгосударственной стандартизации установлены
ГОСТ 1.0 "Межгосударственная система стандартизации. Основные положения" и
ГОСТ 1.2 "Межгосударственная система стандартизации. Стандарты межгосударственные, правила и рекомендации по межгосударственной стандартизации. Правила разработки, принятия, обновления и отмены"
1 ПОДГОТОВЛЕН Открытым акционерным обществом "Испытания и сертификация бытовой и промышленной продукции (БЕЛЛИСС) на основе собственного перевода на русский язык англоязычной версии стандарта, указанного в
пункте 5
2 ВНЕСЕН Государственным комитетом по стандартизации Республики Беларусь
3 ПРИНЯТ Межгосударственным советом по стандартизации, метрологии и сертификации (протокол от 27 сентября 2013 г. N 59-П)
За принятие проголосовали:
Краткое наименование страны по МК (ИСО 3166) 004-97 | Код страны по МК (ИСО 3166) 004-97 | Сокращенное наименование национального органа по стандартизации |
Азербайджан | AZ | Азстандарт |
Армения | AM | ЗАО "Национальный орган по стандартизации и метрологии" Республики Армения |
Беларусь | BY | Госстандарт Республики Беларусь |
Казахстан | KZ | Госстандарт Республики Казахстан |
Киргизия | KG | Кыргызстандарт |
Молдова | MD | Институт стандартизации Молдовы |
Россия | RU | Росстандарт |
Таджикистан | TJ | Таджикстандарт |
Узбекистан | UZ | Узстандарт |
4
Приказом Федерального агентства по техническому регулированию и метрологии от 31 августа 2021 г. N 873-ст межгосударственный стандарт ГОСТ EN 625-2013 введен в действие в качестве национального стандарта Российской Федерации с 1 апреля 2022 г.
5 Настоящий стандарт идентичен европейскому стандарту EN 625:1995 "Котлы газовые для центрального отопления. Дополнительные требования к контуру горячего водоснабжения комбинированных котлов номинальной тепловой мощностью не более 70 кВт" ("Gas-fired central heating boilers - Specific requirements for the domestic hot water operation of combination boilers of nominal heat input not exceeding 70 kW", IDT).
Европейский стандарт разработан Техническим комитетом по стандартизации CEN/TC 109 "Котлы для центрального отопления, работающие на газообразном топливе" Европейского комитета по стандартизации (CEN).
При применении настоящего стандарта рекомендуется использовать вместо ссылочных европейских и международных стандартов соответствующие им межгосударственные стандарты, сведения о которых приведены в дополнительном
приложении ДА
6 ВВЕДЕН ВПЕРВЫЕ
Информация о введении в действие (прекращении действия) настоящего стандарта и изменений к нему на территории указанных выше государств публикуется в указателях национальных стандартов, издаваемых в этих государствах, а также в сети Интернет на сайтах соответствующих национальных органов по стандартизации.
В случае пересмотра, изменения или отмены настоящего стандарта соответствующая информация будет опубликована на официальном интернет-сайте Межгосударственного совета по стандартизации, метрологии и сертификации в каталоге "Межгосударственные стандарты"
Настоящий стандарт является дополнением к стандартам EN 297, EN 483, EN 677. Настоящий стандарт устанавливает требования и методы испытаний, касающиеся конструкции, безопасности, рационального использования энергии и соответствия назначению для контура горячего водоснабжения комбинированных котлов, а также их классификацию и требования к маркировке.
Вода в контуре горячего водоснабжения приготавливается по проточному или накопительному принципу. Контур горячего водоснабжения встроен в котел и поставляется совместно с котлом.
Стандарт не распространяется на аппараты, которые функционируют независимо один от другого, котел и водонагреватель, даже если они имеют общий газоход.
Настоящий стандарт распространяется только на испытания типа.
В настоящем стандарте использованы нормативные ссылки на следующие стандарты. Для датированных ссылок применяют только указанное издание ссылочного стандарта, для недатированных - последнее издание (включая все изменения):
EN 297:1994, Gas-fired central heating boilers - Type B11 and B11BS boilers fitted with atmospheric burners of nominal heat input not exceeding 70 kW (Котлы газовые для центрального отопления. Котлы типа B11 и B11BS, оснащенные атмосферными горелками, номинальной тепловой мощностью не более 70 кВт).
Изменение A1:1994
Изменение A2:1996 с поправкой AC:2006
Изменение A3:1996
Изменение A4:2004
Изменение A5:1998
Изменение A6:2003
EN 437:2003+A1:2009, Test gases - Test pressures - Appliance categories (Газы испытательные. Испытательные давления. Категории приборов)
EN 15502-2-1:2012 <1>, Gas-fired central heating boilers - Part 2-1: Specific standard for type C appliances and type B2, B3 and B5 appliances of a nominal heat input not exceeding 1 000 kW (Котлы газовые для центрального отопления. Часть 2-1. Специальный стандарт для приборов типа C и приборов типов B2, B3 и B5 с номинальной тепловой мощностью не более 1000 кВт)
--------------------------------
<1> Действует взамен EN 483:1998.
Изменение A2:2001 с поправкой AC:2006
Изменение A4:2007
EN 677:1998 <1>, Gas-fired central heating boilers - Specific requirements for condensing boilers with a nominal heat input not exceeding 70 kW (Котлы газовые для центрального отопления. Дополнительные требования к конденсационным котлам с номинальной тепловой мощностью до 70 кВт)
--------------------------------
<1> В Российской Федерации действует
ГОСТ Р 54825-2011 (ЕН 677:1998) "Котлы газовые центрального отопления. Специальные требования для конденсационных котлов с номинальной тепловой мощностью не более 70 кВт".
ISO 7-1:1994, Pipe threads where pressure-tight joints are made on the threads - Part 1: Dimensions, tolerances and designation (Резьбы трубные, обеспечивающие герметичность соединения. Часть 1. Размеры, допуски и обозначения).
Поправка Cor:2007
ISO 228-1:2000, Pipe threads where pressure-tight joints are not made on the threads - Part 1: Dimensions, tolerances and designation (Резьбы трубные, обеспечивающие герметичность соединения. Часть 1. Размеры, допуски и обозначения).
ISO 274:1975 <2>, Copper tubes of circular section - Dimensions (Трубы медные круглого сечения. Размеры)
--------------------------------
<2> Действует для применения настоящего стандарта.
В настоящем стандарте применены следующие термины с соответствующими определениями:
3.1 комбинированный котел (combination boiler): Котел, который по конструкции предназначен для центрального отопления и горячего водоснабжения. В зависимости от типа горячего водоснабжения комбинированные котлы классифицируются в соответствии с декларацией изготовителя на:
- проточного типа (instantaneous type): Комбинированный котел, который осуществляет беспрерывную подачу воды для горячего водоснабжения с расходом "D", указанным изготовителем.
- накопительного типа (storage type): Комбинированный котел, который осуществляет подачу воды с перерывами для горячего водоснабжения с расходом "D", указанным изготовителем.
3.2 режим работы "лето" ("summer" operating mode): Режим работы котла только горячего водоснабжения.
3.3 требуемый расход (specific rate): Расход воды для горячего водоснабжения, указанный изготовителем, соответствующий среднему превышению температуры на 30 К, который котел может обеспечить в два последовательных периода водоснабжения.
Условное обозначение - D.
Единица измерения: литры в минуту (л/мин).
3.4 номинальная тепловая мощность котла (nominal domestic hot water heat input): Значение тепловой мощности котла в режиме горячего водоснабжения, указанное изготовителем.
Условное обозначение - Qnw.
Единица измерения - киловатт (кВт).
3.5 максимальное рабочее давление воды (maximum water service pressure): Максимально допустимое давление воды в контуре горячего водоснабжения, указанное изготовителем.
Условное обозначение - PMS.
Единица измерения - бар.
3.6 бак (tank): Резервуар для воды, используемой для горячего водоснабжения.
3.7 термоаккумулятор (thermal store): Резервуар, который в основном аккумулирует тепло от контура отопления, в то время как источник тепла для накопления горячей воды находится в баке.
3.8 предохранительный клапан температуры (temperature relief valve): Клапан, открывающийся автоматически при достижении водой температуры 100 °C и сбрасывающий горячую воду.
3.9 пропорциональное управление производством воды для горячего водоснабжения (proportional control of the domestic hot water operation): Способ управления, при котором расход газа пропорционален расходу воды для горячего водоснабжения, при этом коэффициент пропорциональности может быть регулируемым.
3.10 термостатическое управление производством воды для горячего водоснабжения (thermostatic control of the domestic hot water operation): Способ управления, при котором расход топлива зависит от термостатического устройства, контролирующего температуру воды для горячего водоснабжения, заданное значение которой может регулироваться этим устройством.
3.11 термостат (temperature holding thermostat): Устройство, которое поддерживает заданное значение температуры воды в баке или термоаккумуляторе.
4 Требования к конструкции
Проверку котла в сборе на соответствие требованиям к конструкции проводят визуальным осмотром котла и при возможности бака, а также технической документации.
4.1 Материалы и способы конструирования компонентов контура для горячего водоснабжения
Применяемые материалы должны соответствовать требованиям по назначению и максимальному давлению воды, указанному изготовителем.
Требования, касающиеся теплоизоляции и ее применения, указаны в стандартах на котлы и применимы только к деталям контура горячего водоснабжения, которые контактируют с пламенем и расположены близко к выходу продуктов сгорания.
Материалы деталей, контактирующих с водой, не должны влиять на качество, состав и вкус воды.
Весь контур горячего водоснабжения должен быть изготовлен из коррозионно-устойчивых материалов или должен быть защищен от коррозии.
4.2 Присоединения контура горячего водоснабжения
Резьбовые соединения должны соответствовать ISO 228-1 или ISO 7-1.
Если для соединения используют медные трубы, то концы труб должны соответствовать ISO 274.
В соответствии с инструкциями изготовителя контур горячего водоснабжения должен быть приспособлен для спуска воды без отсоединения от водяных коммуникаций и нарушения электрической безопасности.
4.3 Герметичность контура горячего водоснабжения
Контур горячего водоснабжения и отопительный контур должны быть раздельны. Если исполнительный механизм или орган управления имеют подвижный вал или тягу с мембраной, разделяющие:
- газовый контур и водяной контур отопления;
- водяной контур отопления и контур горячего водоснабжения;
- газовый контур и контур горячего водоснабжения, то между этими контурами должно быть отверстие для выпуска воздуха. Площадь поперечного сечения отверстия должна быть не менее 19 мм2 и диаметр отверстия - не менее 3,5 мм.
4.4 Устройства регулировки, управления и обеспечения безопасности для контура горячего водоснабжения
При необходимости контур горячего водоснабжения должен быть оснащен устройствами управления и обеспечения безопасности для соответствия требованиям EN 297 (раздел 2) и prEN 483 (раздел 5) "Термостаты и предохранительные устройства. Общие положения".
Бак должен быть оснащен устройством, регулирующим температуру воды. Это устройство должно позволять нагреть воду до температуры, достаточной для предотвращения появления бактерий (см.
5.2.3.3).
Если требуются определенные условия и котел оснащен предохранительным клапаном температуры, то любое устройство, регулирующее температуру воды горячего водоснабжения, должно срабатывать перед достижением этого значения.
5 Требования к рабочим характеристикам
Если номинальная тепловая мощность в режиме горячего водоснабжения превышает номинальную тепловую мощность в режиме отопления, то проверяют требования безопасности "стандартов на котлы", приведенные ниже, при номинальной тепловой мощности в режиме горячего водоснабжения и при максимальной температуре воды:
- герметичность контура сгорания;
- предельные температуры;
- зажигание - перекрестное зажигание - стабильность пламени;
- устройство контроля пламени;
- датчик тяги (для котлов типа B11BS);
- оксид углерода.
5.2 Безопасность контура горячего водоснабжения
5.2.1 Для котлов проточного и накопительного типов
5.2.1.1 Герметичность водоведущих деталей
При испытаниях согласно
6.2.1.1 водоведущие детали должны выдерживать испытательное давление без остаточного разрушения или нарушения герметичности по отношению к наружной стороне или отопительному контуру.
5.2.1.2 Перегрев воды в контуре горячего водоснабжения контуром отопления
При испытаниях согласно
6.2.1.2 температура воды в контуре горячего водоснабжения не должна превышать 95 °C.
5.2.1.3 Отказ устройства регулирования температуры воды в контуре горячего водоснабжения
При испытаниях согласно
6.2.1.3 должны выполняться требования:
- для котлов, в которых контур горячего водоснабжения не контактирует с продуктами сгорания, со стандартным выключением и в соответствии с выбранными опциями - как минимум требования, касающиеся термостата предельного нагрева по EN 297 (пункт 3.5.7.3.2.1, испытание N 1) или prEN 483 (пункт 6.5.7.3.2.1, испытание N 1) или защитного ограничителя температуры по EN 297 (пункт 3.5.7.3.2.2) или prEN 483 (пункт 6.5.7.3.2.2);
- для котлов, в которых контур горячего водоснабжения контактирует полностью или частично с продуктами сгорания, устройство ограничения температуры воды горячего водоснабжения должно произвести безопасную блокировку до того момента, когда температура воды в кране достигнет 100 °C.
5.2.2 Для котлов проточного типа
5.2.2.1 Максимальная температура воды в контуре горячего водоснабжения
При испытаниях согласно
6.2.2.1 температура горячей воды на выходе из контура горячего водоснабжения не должна превышать 95 °C.
5.2.2.2 Перегрев воды в контуре горячего водоснабжения
При испытаниях согласно
6.2.2.2 температура воды на выходе из контура горячего водоснабжения не должна превышать 95 °C.
5.2.3 Для котлов накопительного типа
5.2.3.1 Максимальная температура воды в контуре горячего водоснабжения
При испытаниях согласно
6.2.3.1 температура горячей воды для горячего водоснабжения не должна превышать 95 °C.
5.2.3.2 Перегрев воды в контуре горячего водоснабжения
При испытаниях согласно
6.2.3.2 для котлов, в которых часть бака контактирует с продуктами сгорания, температура воды контура горячего водоснабжения не должна превышать 95 °C.
5.2.3.3 Температура воды контура горячего водоснабжения
При испытаниях согласно
6.2.3.3 должна быть возможность настройки и нагрева воды для горячего водоснабжения в баке до температуры не менее 60 °C.
5.3 Рациональное использование энергии
5.3.1 Коэффициент полезного действия
Коэффициент полезного действия измеряют в режиме центрального отопления.
Потери котла и бака (при наличии) измеряют при условиях испытаний согласно
6.3.2, и потери должны быть меньше, чем значение, полученное по формуле

,
где qc - потери котла и бака, кВт;
V - емкость бака (включая объем воды во внутреннем теплообменнике) и теплоаккумулятора (при наличии), л;
Qnw - номинальная тепловая мощность котла в режиме горячего водоснабжения, кВт.
5.4 Соответствие назначению
5.4.1 Для котлов проточного и накопительного типов - Требуемый расход воды
При условиях испытаний по
6.4.1 измеренное значение расхода воды не должно отличаться более чем на 5% от значения
D, указанного изготовителем на маркировочной табличке.
5.4.2 Для котлов проточного типа
5.4.2.1 Номинальная тепловая мощность в режиме горячего водоснабжения
При условиях испытаний по
6.4.2.1 номинальная тепловая мощность в режиме горячего водоснабжения должна быть в пределах +/- 5%.
5.4.2.2 Давление воды для достижения номинальной тепловой мощности
При условиях испытаний по
6.4.2.2 достигаемая тепловая мощность должна составлять не менее 95% от тепловой мощности, достигнутой в
6.4.2.1.
5.4.2.3 Достижение температуры воды
При условиях испытаний по
6.4.2.3 должна быть достигнута или настроена работа котла на расход воды с температурой от 50 °C до 80 °C для котлов с термостатическим управлением или превышение температуры воды на выходе из котла от 45 К до 65 К для котлов с пропорциональным управлением.
5.4.2.4 Время нагрева воды в контуре горячего водоснабжения
При условиях испытаний по
6.4.2.4 время нагрева воды не должно превышать 2 мин.
Если не указано иное, условия испытаний должны соответствовать указанным в стандартах на котлы, а также дополнительно следующим условиям:
- температура холодной воды - (10 +/- 2) °C;
- температура горячей воды - 50 °C или как можно ближе;
- температура воды для центрального отопления (если необходимо) - как указано в стандартах на котлы (подача 80 °C, обратка 60 °C).
Для испытаний:
- давление воды в контуре горячего водоснабжения отличается от статических давлений между входом и выходом котла, измеренных как можно ближе к котлу;
- температуру воды в контуре горячего водоснабжения на входе и выходе котла измеряют в центре потока и как можно ближе к котлу.
В некоторых испытаниях применяют малоинерционный термометр.
Малоинерционный термометр - измерительный прибор с таким временем отклика, что отображение 90% значения от максимального возрастания температуры в диапазоне от 15 °C до 100 °C происходит в течение 5 с после погружения датчика в воду.
6.1.1 Регулировка давления воды в контуре горячего водоснабжения
Давление воды в контуре горячего водоснабжения должно регулироваться в пределах +/- 4% от требуемого значения.
6.1.2 Функционирование котла
Если не указано иное, испытания проводят на котле, функционирующем в режиме горячего водоснабжения и режиме "лето".
6.2 Безопасность контура горячего водоснабжения
6.2.1 Для проточного и накопительного типов
6.2.1.1 Герметичность водоведущих деталей
В контур подают воду под давлением, равным полуторакратному от максимального давления, указанного на маркировочной табличке, и выдерживают в течение 10 мин.
Проверяют соответствие требованиям
5.2.1.1.
6.2.1.2 Перегрев воды в контуре горячего водоснабжения контуром отопления
В котел подают соответствующий эталонный газ (EN 437). Термостат контура отопления устанавливают в максимальное положение.
Котел работает непрерывно в течение 1 ч при номинальной тепловой мощности в режиме центрального отопления без отбора воды в контуре горячего водоснабжения. Расход воды в контуре горячего водоснабжения устанавливают на значение
D и проверяют соответствие требованиям
5.2.1.2.
6.2.1.3 Отказ устройства регулирующего температуру воды в контуре горячего водоснабжения
Проверяют соответствие требованиям
5.2.1.3 после вывода из действия устройства, регулирующего температуру воды:
- для котлов, в которых контур горячего водоснабжения не контактирует с продуктами сгорания, испытания проводят в соответствии с требованиями, касающимися термостата предельного нагрева по EN 297 (пункт 7.5.7.3.2.1, испытание N 1) или prEN 483 (пункт 7.5.7.3.2.1, испытание N 1) или защитного ограничителя температуры по EN 297 (пункт 7.5.7.3.2.2) или prEN 483 (пункт 7.5.7.3.2.2);
- для котлов, в которых контур горячего водоснабжения контактирует полностью или частично с продуктами сгорания, кран горячей воды котла постепенно перекрывают до момента погасания горелки.
Если котел оснащен устройством задания диапазона, то испытания проводят при установке максимальной тепловой мощности в режиме центрального отопления.
6.2.2 Для проточного типа
6.2.2.1 Максимальная температура воды в контуре горячего водоснабжения
В котел подают соответствующий эталонный газ (EN 437). Котел работает при номинальной тепловой мощности в режиме горячего водоснабжения с давлением воды в контуре 2 бар.
Начиная с давления в контуре 2 бар, давление постепенно уменьшают до погасания горелки. Температуру на выходе из котла непрерывно измеряют малоинерционным термометром. При измерении максимальной температуры должны выполняться требования
5.2.2.1.
6.2.2.2 Перегрев воды в контуре горячего водоснабжения
В котел подают соответствующий эталонный газ (EN 437). Котел работает при номинальной тепловой мощности в режиме горячего водоснабжения. Расход воды и температуру воды устанавливают такими, чтобы достигнуть максимальной температуры воды при номинальной тепловой мощности.
После работы котла в течение 10 мин кран горячей воды быстро перекрывают. По истечении 10 с кран быстро открывают и измеряют наибольшую температуру в центре потока, как можно ближе к выходу из котла. Измерение производят малоинерционным термометром. Котел продолжает работу до тех пор, пока снова не достигнет устойчивого состояния. Аналогичные измерения проводят в течение подобных операционных циклов, но только период перекрытия воды постепенно увеличивают на 10 с до тех пор, пока будет достигнута максимальная температура.
Проверяют выполнение условий
5.2.2.2.
6.2.3 Для накопительного типа
6.2.3.1 Максимальная температура воды в контуре горячего водоснабжения
В котел подают соответствующий эталонный газ (EN 437). Котел работает при номинальной тепловой мощности с установленным положением термостата в максимальное положение. Воду открывают после погасания горелки. Измеряют максимальную температуру, при этом должны выполняться требования
5.2.3.1.
6.2.3.2 Перегрев воды в контуре горячего водоснабжения
Испытание начинается после того, как вода в баке или термоаккумуляторе достигла заданной температуры и после погасания горелки. Воду сливают несколько раз с расходом, соответствующим 5% от вместимости бака, в литрах в минуту.
В каждом случае воду сливают до зажигания горелки и достижения 95% от номинальной тепловой мощности. Следующий слив воды осуществляют сразу же после погасания горелки и так до достижения максимальной температуры.
Для модуляционных котлов или горелок с несколькими диапазонами мощности следующий слив воды осуществляют, когда расход топлива уменьшится до значения, соответствующего 50% от максимальной тепловой мощности горячего водоснабжения.
При каждом сливе воды температуру сливаемой воды измеряют и проверяют выполнение требований
5.2.3.2.
6.2.3.3 Температура воды контура горячего водоснабжения
Если применимо, регулятор устанавливают в положение, указанное изготовителем. После контролируемого отключения котла воду сливают в течение 10 мин с расходом, соответствующим 5% от вместимости бака, в литрах в минуту, или при минимальном расходе, указанном изготовителем, при котором возможно зажигание горелки, если расход больше чем 5% от вместимости бака, в литрах в минуту. По истечении 1 мин проверяют выполнение требований
5.2.3.3.
6.3 Рациональное использование энергии
6.3.1 Коэффициент полезного действия
Испытание проводят в режиме центрального отопления в соответствии со стандартами на котлы.
В зависимости от способа производства горячей воды проверяют требования
5.3.2 при условиях, указанных ниже.
6.3.2.1 Бак, который можно отсоединить от котла
6.3.2.1.1 Общие положения
Потери от котла и бака в сборе определяют путем суммирования потерь от котла и бака.
Изготовитель указывает, как следует отсоединять бак от котла и какой трубопровод необходимо принимать в расчет потерь котла, а какой в расчет потерь бака.
6.3.2.1.2 Котел
Для котла потери (потери в горячем резерве) измеряют согласно EN 297/prA2.
Теплообменник бака отсоединяют от котла.
Если котел и бак объединены в один корпус, потери только от котла измеряют с пустым баком.
6.3.2.1.3 Бак
Для бака применяют режим работы, приведенный ниже:
Если котел и бак соединены в один корпус, потери только от бака измеряют с пустым котлом.
a) Предварительные условия
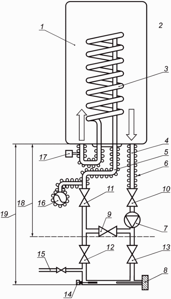
Испытание проводят на стенде, аналогичном приведенному на
рисунке 1, в помещении с температурой окружающего воздуха от 15 °C до 25 °C, с допустимым отклонением температуры в пределах +/- 5 °C во время проведения испытания.
Стенд включает в себя электрическое сопротивление и циркуляционный насос (длинный контур на
рисунке 1).
Перед проведением испытаний бак устанавливают в положение, рекомендуемое изготовителем. Для бака с двумя положениями, вертикальным или горизонтальным, испытание проводят в вертикальном положении.
Бак наполняют водой, подогретой до температуры (65 +/- 2) °C в закрытом контуре, состоящем из бака и его теплообменника. Температуру воды в баке считают достигнутой равномерно смешанной и в этот момент t1 циркуляцию прекращают, если достигнуты следующие условия:
- разница между температурой воды при подаче Ts и температурой на обратке Te составляет меньше чем 1 К в течение 15 мин перед моментом t1;
- температура воды на обратке Te не изменяется более чем на 1 К в течение этого периода.
Предполагается, что средняя температура воды To в баке в момент t1 равна среднеарифметическому значению температуры воды на входе и выходе в этот момент:

.
Предварительные условия считаются выполненными, если средняя температура To равна (65 +/- 2) °C.
b) Охлаждение бака и определение корректированной окончательной средней температуры Tfc.
В момент
t1 краны 2 и 3 на
рисунке 1 перекрывают, все водяные соединения разъединяют и герметизируют на кранах 2 и 3.
Наружные детали трубопровода бака должны быть аккуратно изолированы таким образом, чтобы тепловые потери были отнесены к ним и пренебрежимо малы относительно потерь в баке.
Бак остается в холодном состоянии в течение 24 ч +/- 20 мин (момент t2). Температуру внешней среды измеряют в течение каждого часа и рассчитывают среднюю температуру Tamb.
Конечную среднюю температуру Tf воды в баке в момент t2 определяют следующим способом:
- соединения в коротком контуре на
рисунке 1 монтируют повторно и включают циркуляционный насос;
- среднюю температуру воды в баке в момент t2 определяют после стабилизации, когда разница температур в подающем и обратном контурах составляет менее 1 К. Время рециркуляции учитывается во времени охлаждения;
- корректированную конечную среднюю температуру воды Tfc в баке рассчитывают, учитывая массу воды и температуру воды в коротком испытательном контуре. Данный контур должен быть разработан таким образом, чтобы корректировка конечной температуры воды составляла менее 0,5 К для бака вместимостью, превышающей 50 л, и 1 К для бака вместимостью менее 50 л.
Корректированную конечную среднюю температуру воды Tfc в баке рассчитывают следующим образом:
(VTfc) + (VbTa) = (V + Vb)Tf,
следовательно:

,
где Tfc - корректированная конечная средняя температура воды, °C;
Tf - средняя температура воды в баке в момент t2, °C;
Ta - температура окружающей среды в момент t2 (при условии, что при окончании 24 ч короткий контур находится при температуре окружающей среды), °C;
V - емкость бака (включая объем воды во внутреннем теплообменнике), л. Данное значение указывает изготовитель, проверяют его сливом воды;
Vb - объем воды в соединениях короткого контура испытательного стенда, л.
c) Расчет потерь тепла в баке
Значение потерь тепла в баке приведено в следующем отношении:
или

,
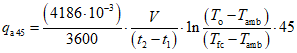
где qa45 - потери тепла в баке при превышении температуры на 45 К, кВт;
t2 - t1 - период охлаждения, ч;
To - средняя температура воды в баке в момент t1, °C;
Tfc - корректированная конечная средняя температура воды в баке в момент t2, °C;
Tamb - средняя температура окружающей среды во время охлаждения, °C;
V - объем воды в баке (включая объем воды во внутреннем теплообменнике), л. Данное значение указывает изготовитель, проверяют его сливом воды.
6.3.2.2 Бак или термоаккумулятор являются встроенными и не могут быть отделены от котла
Потери от бака котла или термоаккумулятора котла определяют только для котла в соответствии с EN 297/prA2 или для разницы между температурами, указанными изготовителем в
6.4.1, и температурой окружающей среды, если разница более чем 45 К.
Для этого испытания бак и его теплообменник (при наличии) присоединяют последовательно к котлу.
6.4 Соответствие назначению
6.4.1 Для котлов проточного и накопительного типов - Требуемый расход воды
В котел подают соответствующий эталонный газ (EN 437). Котел функционирует при номинальной тепловой мощности в режиме горячего водоснабжения и давлении на входе в котел 2 бар.
Температуру воды для горячего водоснабжения настраивают таким образом, если возможно, чтобы достигнуть среднее повышение температуры на 30 К, при котором будет достигнута номинальная тепловая мощность.
Перед испытанием котел работает в режиме "лето" при тепловом равновесии без слива воды.
Для котлов накопительного типа термостат устанавливают на температуру 65 °C, для котлов со встроенными, неотсоединяемыми баками устанавливают значение, указанное изготовителем. Если конструктивно температура 65 °C не может быть достигнута, то испытание проводят при температуре, наиболее близкой к 65 °C. Первый слив воды осуществляют не ранее чем произойдет второе управляемое отключение горелки, а длительность слива должна составлять 10 мин. Записывают значения температуры и расхода воды.
Затем ожидают 20 мин и снова в течение 10 мин воду сливают, записывая значения температуры и расхода воды.
Для каждого слива рассчитывают

,
где Di - требуемый расход D1 и D2, определяемый соответственно во время первого и второго слива воды, л/мин;
mi(10) - количество воды, собранное во время первого и последующих сливов воды, л;

- эффективное повышение температуры собранной воды, К.
Если разница между D1 и D2 не превышает 10% от их среднего значения, требование относится к

.
Если разница между D1 и D2 превышает их среднее значение, то требование относится к наименьшему значению из двух.
Проверяют выполнение требований
5.4.1.
6.4.2 Для котлов проточного типа
6.4.2.1 Номинальная тепловая мощность в режиме горячего водоснабжения
В котел подают соответствующий эталонный газ (EN 437). Котел функционирует при номинальной тепловой мощности в режиме горячего водоснабжения и давлении на входе в котел 2 бар. Полный расход может быть настроен в соответствии с инструкциями изготовителя. Производят слив воды для подтверждения соответствия требованиям
5.4.2.1.
6.4.2.2 Давление воды для достижения номинальной тепловой мощности
Испытание проводят снижением давления воды до минимального значения, указанного изготовителем, и проверяют соответствие требованиям
5.4.2.2.
6.4.2.3 Достижение температуры воды
Котел настраивают в соответствии с
6.1 и
6.4.2.1 с соответствующим эталонным газом (EN 437).
Затем устанавливают давление воды 2, 3, 4 и 6 бар или давления, указанные изготовителем, если они меньше данных значений.
Расход воды горячего водоснабжения настраивают в соответствии с инструкциями по монтажу
(7.2.1) и информацией на маркировочной табличке
(7.1).
В установившемся состоянии проверяют соответствие требований
5.4.2.3 для термостата центрального отопления в положении максимума и минимума, если он настраиваемый.
6.4.2.4 Время нагрева воды горячего водоснабжения
Котел настраивают в соответствии с
6.1 и
6.4.2.1 с соответствующим эталонным газом (EN 437).
Термостат центрального отопления и/или термостат контура горячего водоснабжения (если существует) устанавливают в положение минимальной температуры.
Расход воды и среднюю температуру воды регулируют (если регулировка возможна) для достижения следующих температур при номинальной тепловой мощности в установившемся состоянии:
- для котлов с постоянной мощностью или смешанном управлении - превышение температуры 45 К;
- для котлов с термостатическим управлением - температура на выходе 50 °C.
Затем котел выводят в режим теплового равновесия без слива воды.
По достижении теплового равновесия или в конце цикла управления (если существует) открывают сливной кран.
Время слива измеряют от момента открытия крана до момента повышения температуры на 90% или если будут достигнуты указанные выше температуры.
Эти температуры измеряют малоинерционным термометром.
Проверяют выполнение требования
5.4.2.4.
7 Маркировка и инструкции
7.1 Маркировка котла и/или бака
7.1.1 Маркировочная табличка
Данные на маркировочной табличке, указанные в стандартах на котлы, должны быть дополнены следующей информацией для комбинированных котлов:
- номинальная тепловая мощность в режиме горячего водоснабжения Qnw, кВт, если номинальные мощности для режимов центрального отопления и горячего водоснабжения отличаются;
- максимальное испытательное давление воды для контура горячего водоснабжения PMS, бар;
- требуемое значение расхода воды D (либо для котла, либо для бака) до первого десятичного знака, л/мин.
7.2.1 Инструкции по монтажу
Инструкции по монтажу приведены в стандартах на котлы и должны быть дополнены следующей информацией:
a) для всех типов котлов:
- информация, приведенная на маркировочной табличке - как указано в
7.1;
- массовый расход в граммах/секунду и средняя температура продуктов сгорания в режиме горячего водоснабжения в °C (измеряют при условиях
6.4.1);
в) для комбинированных котлов накопительного типа:
- при необходимости указать способ присоединения котла и бака;
- указать, что в случае необходимости следует установить устройства безопасности в соответствии с местными правилами установки, если они не установлены на котле изготовителем;
c) для комбинированных котлов проточного типа:
- минимальное динамическое давление на входе в контур горячего водоснабжения.
7.2.2 Руководство по эксплуатации для пользователя
Содержание руководства по эксплуатации для пользователя приведено в стандартах на котлы и должно быть дополнено следующей информацией, необходимой для правильной эксплуатации в режиме горячего водоснабжения.
В частности, в нем должны быть указаны:
- значения температуры воды в баке или термоаккумуляторе, необходимые для достижения требуемого расхода воды;
- меры предосторожности от замерзания.
1 - испытуемый бак; 2 - место измерения температуры
окружающего воздуха; 3 - нагревательная спираль;
4, 5 - место измерения температуры; 6 - изоляция; 7 - насос;
8 - электрический нагреватель; 9 - кран 1; 10 - кран 2;
11 - кран 3; 12 - кран 4; 13 - кран 5; 14 - водяной
термостат; 15 - подпитка; 16 - изолированный расширительный
бачок; 17 - регулирующий вентиль; 18 - короткий контур;
19 - длинный контур
(справочное)
РАЗДЕЛЫ НАСТОЯЩЕГО СТАНДАРТА, КАСАЮЩИЕСЯ
СУЩЕСТВЕННЫХ ТРЕБОВАНИЙ ИЛИ ПОЛОЖЕНИЙ ДИРЕКТИВ ЕС
Европейский стандарт подготовлен по поручению, переданному CEN Европейской комиссией и Европейской организацией свободной торговли, и направлен на выполнение существенных требований Директивы ЕС 90/396/EEC "Директива по газовому оборудованию" и
Директивы 92/42/EEC "Требования к энергоэффективности".
ВНИМАНИЕ! К изделиям, подпадающим под область распространения этого стандарта, могут применяться иные требования и иные директивы ЕС.
Нижеприведенные разделы данного стандарта направлены на выполнение требований Директивы ЕС 90/396/EEC "Директива по газовому оборудованию" и
Директивы 92/42/EEC "Требования энергоэффективности для новых водогрейных котлов, работающих на жидком или газообразном топливе".
Соответствие пунктам данного стандарта обеспечивает один из способов обеспечения соответствия существенным требованиям применимой директивы и связанных с ней документов ЕАСТ.
Таблица ZA.1
Существенное требование | Объект | Раздел, пункт стандарта |
1 | Приложение I директивы Общие условия | |
1.1 | Безопасная работа | |
1.2 | Маркировка и инструкции | |
Инструкции по монтажу | |
Руководство по эксплуатации и инструкции по техническому обслуживанию для пользователя | |
Предупредительные надписи на котле | EN* |
на упаковке | EN* |
Официальный язык | EN* |
1.2.1 | Информация в инструкциях по монтажу | |
Тип газа | EN* |
Давление подачи газа | EN* |
Расход воздуха для горения | EN* |
Отвод продуктов сгорания | EN* |
1.2.2 | Содержание инструкций по техническому обслуживанию | |
1.2.3 | Предупредительные надписи на котле и упаковке | EN* |
1.3 | Оборудование | EN* |
2 | Материалы | EN* |
2.1 | Характеристики | |
2.2 | Гарантии | EN* |
3 | Проектирование и конструкция | |
3.1 | Общие положения | |
3.1.1 | Устойчивость к нагрузкам | |
3.1.2 | Конденсация | EN* |
3.1.3 | Взрывоопасность | EN* |
3.1.4 | Водопроницаемость | |
3.1.5 | Нормальные колебания дополнительной энергии | |
3.1.6 | Аномальные колебания дополнительной энергии | |
3.1.7 | Электрическая опасность | EN* |
3.1.8 | Герметичные части | |
3.1.9 | Отказ | |
- устройств контроля пламени | EN* |
- устройства контроля тяги (для типа B11BS) | EN* |
- системы автоматического контроля горелки | |
- устройства защиты от перегрева | |
- газового тракта | EN* |
3.1.10 | Безопасность/регулировка | EN* |
3.1.11 | Защита частей, установленных изготовителем | EN* |
3.1.12 | Маркировка кранов, устройств регулировки и управления | EN* |
3.2 | Выброс несгоревшего газа | |
3.2.1 | Опасность утечки | |
3.2.2 | Опасность скопления газа в котле | EN* |
3.2.3 | Опасность скопления газа в помещении | EN* |
3.3 | Розжиг | |
- розжиг и повторный розжиг | EN* |
- перекрестный розжиг | EN* |
3.4 | Горение | |
3.4.1 | Стабильность пламени | EN* |
Концентрации веществ, опасных для здоровья, в продуктах сгорания | EN* |
3.4.2 | Отвод продуктов сгорания | EN* |
3.4.3 | Выброс продуктов сгорания в помещение для котлов, подключенных к газоходу в условиях аномальной тяги (для типа B11BS) | EN* |
3.4.4 | Предельное CO в помещении (без использования отопительных приборов и проточных водонагревателей) | Не применимо |
3.5 | Рациональное использование энергии | |
3.6 | Температура | |
3.6.1 | Пола и прилегающих стенок | EN* |
3.6.2 | Органов управления | EN* |
3.6.3 | Температура наружных поверхностей | EN* |
3.7 | Вода для горячего водоснабжения | |
Таблица ZA.2
Сертификация на соответствие | Объект | Раздел, пункт стандарта |
| Приложение II директивы | |
Таблица ZA.3
CE-маркировка и обозначения | Объект | Раздел, пункт стандарта |
| Приложение III директивы | |
1 | CE-маркировка | EN* |
2 | Котел или табличка технических данных | EN* |
- CE-маркировка | EN* |
- наименование изготовителя или товарный знак | EN* |
- торговая марка | EN* |
- электропитание | EN* |
- категория котла | EN* |
- информация по монтажу | EN* |
(справочное)
СВЕДЕНИЯ О СООТВЕТСТВИИ ССЫЛОЧНЫХ ЕВРОПЕЙСКИХ
И МЕЖДУНАРОДНЫХ СТАНДАРТОВ МЕЖГОСУДАРСТВЕННЫМ СТАНДАРТАМ
Таблица ДА.1
Обозначение ссылочного европейского или международного стандарта | Степень соответствия | Обозначение и наименование соответствующего межгосударственного стандарта |
EN 297:1994 | - | |
EN 437:2003+A1:2009 | - | |
EN 15502-2-1:2012 | IDT | ГОСТ EN 15502-2-1-2015 "Котлы газовые для центрального отопления. Часть 2-1. Специальный стандарт для приборов типа C и приборов типа B2, B3 и B5 с номинальной тепловой мощностью 1000 кВт" |
EN 677:1998 | - | |
ISO 7-1:1994 | - | |
ISO 228-1:2000 | | |
ISO 274:1975 | | |
<*> Соответствующий межгосударственный стандарт отсутствует. Примечание - В настоящей таблице использовано следующее условное обозначение степени соответствия стандарта: - IDT - идентичный стандарт. |
УДК 697.326.6:662.95(083.74)(476) | | IDT |
Ключевые слова: котел, горелка, розжиг, теплопроизводительность, тепловая мощность, КПД, требования, методы испытаний |