Главная // Актуальные документы // ГОСТ (Государственный стандарт)СПРАВКА
Источник публикации
М.: Стандартинформ, 2020
Примечание к документу
Текст данного документа приведен с учетом
поправки, опубликованной в "ИУС", N 1, 2021;
поправки, опубликованной в "ИУС", N 6, 2021;
поправки, опубликованной в "ИУС", N 9, 2023.
Документ
введен в действие с 01.08.2020.
Название документа
"ГОСТ 34647-2020 (ISO 10471:2018). Межгосударственный стандарт. Трубы и детали трубопроводов из реактопластов, армированных стекловолокном. Метод определения долговременной предельной деформации изгиба и долговременной предельной относительной кольцевой деформации при воздействии влаги"
(введен в действие Приказом Росстандарта от 28.07.2020 N 420-ст)
"ГОСТ 34647-2020 (ISO 10471:2018). Межгосударственный стандарт. Трубы и детали трубопроводов из реактопластов, армированных стекловолокном. Метод определения долговременной предельной деформации изгиба и долговременной предельной относительной кольцевой деформации при воздействии влаги"
(введен в действие Приказом Росстандарта от 28.07.2020 N 420-ст)
агентства по техническому
регулированию и метрологии
от 28 июля 2020 г. N 420-ст
МЕЖГОСУДАРСТВЕННЫЙ СТАНДАРТ
ТРУБЫ И ДЕТАЛИ ТРУБОПРОВОДОВ ИЗ РЕАКТОПЛАСТОВ,
АРМИРОВАННЫХ СТЕКЛОВОЛОКНОМ
МЕТОД ОПРЕДЕЛЕНИЯ ДОЛГОВРЕМЕННОЙ ПРЕДЕЛЬНОЙ ДЕФОРМАЦИИ
ИЗГИБА И ДОЛГОВРЕМЕННОЙ ПРЕДЕЛЬНОЙ ОТНОСИТЕЛЬНОЙ
КОЛЬЦЕВОЙ ДЕФОРМАЦИИ ПРИ ВОЗДЕЙСТВИИ ВЛАГИ
Fiberglass-reinforced thermosetting plastic pipes and parts
of pipelines. Method for determination of the long-term
ultimate bending strain and the long-term ultimate relative
ring deflection under wet conditions
(ISO 10471:2018, Glass-reinforced thermosetting plastics
(GRP) pipes - Determination of the long-term ultimate
bending strain and the long-term ultimate relative ring
deflection under wet condition, MOD)
ГОСТ 34647-2020
(ISO 10471:2018)
Дата введения
1 августа 2020 года
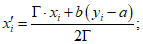
Цели, основные принципы и общие правила проведения работ по межгосударственной стандартизации установлены
ГОСТ 1.0 "Межгосударственная система стандартизации. Основные положения" и
ГОСТ 1.2 "Межгосударственная система стандартизации. Стандарты межгосударственные, правила и рекомендации по межгосударственной стандартизации. Правила разработки, принятия, обновления и отмены"
1 ПОДГОТОВЛЕН Автономной некоммерческой организацией "Центр нормирования, стандартизации и классификации композитов" (АНО "Стандарткомпозит") при участии Объединения юридических лиц "Союз производителей композитов" (Союзкомпозит) на основе официального перевода на русский язык англоязычной версии стандарта, указанного в
пункте 5, который выполнен АНО "Стандарткомпозит"
2 ВНЕСЕН Техническим комитетом по стандартизации ТК 497 "Композиты, конструкции и изделия из них"
3 ПРИНЯТ Межгосударственным советом по стандартизации, метрологии и сертификации (протокол от 28 февраля 2020 г. N 127-П)
За принятие проголосовали:
Краткое наименование страны по МК (ИСО 3166) 004-97 | Код страны по МК (ИСО 3166) 004-97 | Сокращенное наименование национального органа по стандартизации |
Азербайджан | AZ | Азстандарт |
Армения | AM | ЗАО "Национальный орган по стандартизации и метрологии" Республики Армения |
Беларусь | BY | Госстандарт Республики Беларусь |
Казахстан | KZ | Госстандарт Республики Казахстан |
Киргизия | KG | Кыргызстандарт |
Россия | RU | Росстандарт |
Узбекистан | UZ | Узстандарт |
4
Приказом Федерального агентства по техническому регулированию и метрологии от 28 июля 2020 г. N 420-ст межгосударственный стандарт ГОСТ 34647-2020 введен в действие в качестве национального стандарта Российской Федерации с 1 августа 2020 г.
5 Настоящий стандарт является модифицированным по отношению к международному стандарту ISO 10471:2018 "Трубы из реактопластов, армированных стекловолокном (GRP). Определение долговременной предельной деформации при изгибе и долговременной предельной относительной кольцевой деформации при воздействии влаги" ("Glass-reinforced thermosetting plastics (GRP) pipes - Determination of the long-term ultimate bending strain and the long-term ultimate relative ring deflection under wet conditions", MOD) путем изменения содержания отдельных структурных элементов, которые выделены вертикальной линией, расположенной на полях напротив соответствующего текста.
Оригинальный текст модифицированных структурных элементов примененного международного стандарта приведен в дополнительном
приложении ДВ. Отдельные структурные элементы изменены в целях соблюдения норм русского языка и технического стиля изложения, а также в соответствии с требованиями
ГОСТ 1.5.
Сопоставление структуры настоящего стандарта со структурой указанного международного стандарта приведено в дополнительном
приложении ДГ.
Наименование настоящего стандарта изменено относительно наименования указанного международного стандарта для приведения в соответствие с ГОСТ 1.5-2001
(подраздел 3.6)
6 ВВЕДЕН ВПЕРВЫЕ
Информация о введении в действие (прекращении действия) настоящего стандарта и изменений к нему на территории указанных выше государств публикуется в указателях национальных стандартов, издаваемых в этих государствах, а также в сети Интернет на сайтах соответствующих национальных органов по стандартизации.
В случае пересмотра, изменения или отмены настоящего стандарта соответствующая информация будет опубликована на официальном интернет-сайте Межгосударственного совета по стандартизации, метрологии и сертификации в каталоге "Межгосударственные стандарты"
Настоящий стандарт распространяется на трубы и детали трубопроводов из реактопластов, армированных стекловолокном (далее - трубы и фитинги), и устанавливает метод определения долговременной предельной деформации изгиба при воздействии влаги с помощью экстраполяции и метод вычисления долговременной предельной относительной кольцевой деформации при воздействии влаги.
В настоящем стандарте применены следующие термины с соответствующими определениями:
2.1
вертикальная сжимающая нагрузка F, Н: Равномерно распределенная вдоль трубы нагрузка, приложенная перпендикулярно к оси вращения и вызывающая кольцевую деформацию.
2.2 средний диаметр dср, м: Диаметр окружности, соответствующей середине поперечного сечения стенки трубы.
Примечания
1 Средний диаметр dср, м, вычисляют по формуле
где dн - среднее значение наружного диаметра трубы, м;
e - среднее значение толщины стенки трубы, м.
2 Допускается определять средний диаметр dср по формуле
где dв - среднее значение внутреннего диаметра трубы, м.
2.3 кольцевая деформация y, м: Вертикальное изменение среднего диаметра трубы, уложенной горизонтально, вследствие воздействия вертикальной сжимающей нагрузки.
2.4 относительная кольцевая деформация y/dср: Отношение кольцевой деформации к значению среднего диаметра трубы.
2.5 предельная кольцевая деформация при воздействии влаги yп,вл, м: Кольцевая деформация трубы при воздействии влаги в момент возникновения разрушения.
2.6 предельная относительная кольцевая деформация при воздействии влаги yп,вл/dср: Отношение предельной кольцевой деформации при воздействии влаги к значению среднего диаметра трубы.
2.7 долговременная предельная кольцевая деформация при воздействии влаги yп,вл,х, м: Значение предельной кольцевой деформации при воздействии влаги в момент возникновения разрушения за время x, полученное путем экстраполяции.
2.8 долговременная предельная относительная кольцевая деформация при воздействии влаги yп,вл,х/dср: Отношение долговременной предельной кольцевой деформации при воздействии влаги к значению среднего диаметра трубы.
2.9 разрушение: Нарушение целостности трубы в процессе испытания, приводящее к ее неспособности выдерживать приложенную нагрузку.
2.10 время до разрушения tр, ч: Продолжительность испытаний до возникновения разрушения.
2.11 удельная кольцевая жесткость S, Н/м2: Физико-механическое свойство трубы, определяющее ее способность выдерживать нагрузку, направленную перпендикулярно к оси вращения.
Примечания
1 Удельную кольцевую жесткость определяют по формуле

(3)
где E - окружной модуль упругости материала трубы на растяжение, Н/м2;
I - момент инерции площади поперечного сечения трубы на единицу длины, м4/м.
2 Момент инерции определяют по формуле

(4)
2.12 начальная удельная кольцевая жесткость S0, Н/м2: Начальное значение удельной кольцевой жесткости трубы.
2.13
коэффициент деформации Dд: Безразмерный коэффициент, используемый для преобразования кольцевой деформации в значение предельной деформации изгиба.
Сущность метода заключается в нагружении образцов, расположенных горизонтально и погруженных в воду, при заданной температуре, вертикальной сжимающей нагрузкой до достижения заданных значений относительной кольцевой деформации. После достижения заданных значений относительной кольцевой деформации, поддерживая вертикальную сжимающую нагрузку неизменной (постоянной), измеряют увеличивающиеся значения кольцевой деформации у каждого образца через определенные промежутки времени вплоть до момента разрушения образцов. По результатам испытаний определяют (рассчитывают) значения долговременной предельной деформации изгиба при воздействии влаги и долговременной предельной относительной кольцевой деформации при воздействии влаги. |
4.1 Установка для испытаний на сжатие
Установка для испытаний должна обеспечивать сжатие погруженных в воду образцов с постоянной скоростью нагружения, поддержание заданной постоянной вертикальной сжимающей нагрузки в течение длительного времени и ее измерение с погрешностью не более +/- 1% от измеряемой величины. Установка для испытаний должна включать нагружающие площадки по 4.2. |
Примечание - Для образцов, находящихся под воздействием больших предварительно установленных нагрузок с предполагаемым разрушением в течение 100 ч, необходим прибор, автоматически регистрирующий время до разрушения и кольцевую деформацию образцов.
4.2.1 В качестве нагружающих площадок используют пару пластин (см. 4.2.2) или пару брусков (см. 4.2.3). Одинаковые нагружающие площадки применяют, если относительная кольцевая деформация при нагружении образца не более 28%. Если при нагружении относительная кольцевая деформация образца более 28%, одной из нагружающих площадок должен быть брусок. Главные оси нагружающих площадок должны быть перпендикулярны и отцентрованы к направлению вертикальной сжимающей нагрузки в соответствии со схемой нагружения образца, приведенной на рисунке 1. Нагружающие площадки должны быть плоскими, гладкими и параллельными друг другу. |
| |
а - нагрузка пластиной | б - нагрузка бруском |
1 - емкость с водой; 2 - средство измерения кольцевой
деформации; 3 - уровень воды; 4 - статическая нагрузка;
5 - сжимающая нагрузка, F; 6 - пластины; 7 - бруски;
8 - образец; 9 - ширина плоской поверхности бруска
Рисунок 1 - Схемы нагружения образца
Нагружающие площадки должны быть изготовлены из материала, стойкого к воздействию воды (цветного металла или нержавеющей стали). |
Пластины должны быть достаточно жесткими, чтобы в процессе нагружения не возникло их деформации. Ширина пластин должна быть не менее 100 мм, длина - не менее длины образца, толщина - не менее 6 мм. |
Бруски должны быть достаточно жесткими, чтобы в процессе нагружения не возникло их деформации. Каждый брусок должен иметь закругленные края, плоскую поверхность (см.
рисунок 1) без острых краев. Длина брусков должна быть не менее длины образца, а ширина плоской поверхности должна быть от 15 до 55 мм.
Бруски должны быть такой формы, чтобы во время проведения испытаний они контактировали с образцом только плоской поверхностью.
Емкость, наполненная водой, должна быть снабжена устройством, поддерживающим постоянную заданную температуру воды. Размеры емкости должны обеспечивать полное погружение в воду заданного количества образцов.
Уровень воды должен оставаться постоянным на протяжении всего испытания.
4.4.1 Для измерения длины, диаметра и толщины стенки трубы используют средства измерений, обеспечивающие измерения с погрешностью не более +/- 1% от измеряемой величины.
4.4.2 Для измерения кольцевой деформации используют средства измерений с погрешностью не более +/- 1%.
Примечание - При выборе прибора для измерения кольцевой деформации образца необходимо учитывать коррозионную среду, в которой прибор будет использоваться.
5 Подготовка к проведению испытаний
5.1.1 Образец представляет собой отрезок трубы. Длина образца - в соответствии с нормативным документом или технической документацией на изделие. Допустимое отклонение - +/- 5%. Если длина образца не указана в нормативном документе или технической документации на изделие, она должна составлять (300 +/- 15) мм.
Торцы образца должны быть гладкими без зарезов и сколов и перпендикулярны к его продольной оси. Торцы образца могут быть герметизированы.
Вдоль образца по наружной или внутренней поверхности трубы с шагом 90° по окружности наносят четыре прямые линии, выполняющие роль опорных линий, любым способом, не нарушающим целостность поверхности.
5.1.2 Для испытаний используют не менее 18 образцов, если иное не установлено в нормативном документе и технической документации на изделие.
Образцы кондиционируют в соответствии с требованиями нормативного документа или технической документации на изделие.
6.1 Температура и показатель pH воды должны соответствовать требованиям нормативного документа или технической документации на изделие.
6.2 Измеряют длину каждого образца вдоль опорной линии.
Рассчитывают среднюю длину каждого образца L, м, по результатам четырех измерений.
6.3 Измеряют толщину стенки каждого образца вдоль каждой опорной линии в четырех равноудаленных друг от друга точках.
Рассчитывают среднюю толщину стенки e, м, по результатам 16 измерений.
6.4 Измеряют одно из следующих значений:
- внутренний диаметр образца dв, м, посередине между каждой парой противоположных опорных линий;
- наружный диаметр образца dн, м.
По
формуле (1) или
(2) вычисляют средний диаметр каждого образца, используя полученное значение средней толщины стенки (см.
6.3), а также внутренний или наружный диаметры.
6.5 Определяют начальную удельную кольцевую жесткость каждого образца в соответствии с
приложением ДА. Начальная удельная кольцевая жесткость может быть использована для задания вертикальной сжимающей нагрузки, величина которой обеспечивает необходимую относительную кольцевую деформацию, позволяющую разрушить образцы за соответствующее заданное время до разрушения, установленного в нормативном документе или технической документации на изделие.
6.6 Относительная кольцевая деформация более 28% может вызывать локальное сплющивание образцов и приводить к ошибочным результатам испытания. Для более точного задания относительной кольцевой деформации рекомендуется использовать график зависимости кольцевой деформации от деформации стенки трубы, измеренной при помощи тензометров.
6.7 Устанавливают образцы в установку для испытаний на сжатие таким образом, чтобы противоположные опорные линии контактировали с нагружающими площадками. Следят, чтобы контакт между образцами и нагружающими площадками был одинаковый по всей линии контакта, а также чтобы нагружающие площадки не были перекошены.
6.8 Помещают установку для испытаний на сжатие в емкость (см.
4.3). Наполняют емкость водой так, чтобы образцы были полностью погружены в воду.
6.9 К образцам с постоянной скоростью прикладывают вертикальную сжимающую нагрузку до достижения требуемой относительной кольцевой деформации в течение 3 мин и записывают значение вертикальной сжимающей нагрузки и кольцевой деформации.
6.10 Испытания проводят до разрушения образцов. В течение испытаний измеряют и записывают, через предварительно определенные в соответствии с нормативным документом или технической документацией на изделие промежутки времени, кольцевую деформацию образца при помощи подходящих ручных или автоматических средств измерений, обеспечивающих точность, указанную в
4.4.2. За время до разрушения
tр и предельную кольцевую деформацию при воздействии влаги
yп,вл принимают одно из следующих значений:
- общее затраченное время и соответствующую ему кольцевую деформацию, записанную автоматическим средством измерения;
- последние зафиксированные результаты (до возникновения разрушения) кольцевой деформации и соответствующее время.
Примечание - В
таблице А.1 (приложение А) приведены значения интервалов логарифмов времени в часах.
6.11 Продолжают испытания по
6.5 -
6.10 до разрушения не менее 18 образцов с распределением времени до разрушения, установленного в соответствующих нормативных документах или технической документации на изделие. В случае, если 16 образцов разрушатся, а два других будут испытываться более 10000 ч без разрушения, то результаты испытаний по этим двум образцам могут быть записаны с указанием этого времени и соответствующей кольцевой деформации.
7.1 Вычисляют предельную деформацию изгиба при воздействии влаги

, %, для каждого образца по формуле

(5)
где Dд - коэффициент деформации;
e - толщина стенки трубы, мм;
yп,вл - предельная кольцевая деформация при воздействии влаги, мм;
dср - средний диаметр трубы, мм.
Коэффициент деформации Dд в случае разрушения образца вдоль верхней или нижней части определяют по формуле

(6)
Коэффициент деформации Dд, в случае разрушения образца вдоль правой или левой стороны, определяют по формуле

(7)
7.2 Долговременная предельная деформация изгиба при воздействии влаги
7.2.1 Вычисляют lg времени до разрушения
tр в часах и lg предельной деформации изгиба при воздействии влаги

, %, для каждого образца.
7.2.2 Используя значения по
7.2.1, определяют формулу регрессионной прямой в соответствии с
приложением ДБ и вычисляют экстраполированный логарифм долговременной предельной деформации изгиба при воздействии влаги за время
x 
, %, а затем долговременную предельную деформацию изгиба при воздействии влаги

, %.
7.2.3 Строят график зависимости предельной деформации изгиба от времени до разрушения в логарифмических координатах.
7.3 Долговременная предельная относительная кольцевая деформация при воздействии влаги
Долговременную предельную относительную кольцевую деформацию при воздействии влаги
yп,вл,х/
dср, %, вычисляют, преобразовав долговременную предельную деформацию изгиба при воздействии влаги

, % (см.
7.2).
Результаты испытаний заносят в протокол испытаний, который должен содержать:
- ссылку на настоящий стандарт и на нормативный документ или техническую документацию на изделие;
- всю необходимую информацию для полной идентификации образца:
- линейные размеры образца,
- участок трубы, откуда были вырезаны образцы,
- сведения о герметизации концов образов (см.
5.1);
- количество образцов;
| | ИС МЕГАНОРМ: примечание. В официальном тексте документа, видимо, допущена опечатка: пункт 5.5 отсутствует. | |
- начальную удельную кольцевую жесткость образцов S0, Н/м2 (см. 5.5);
- при необходимости условия кондиционирования (см.
5.2);
- сведения об оборудовании, в том числе о применении брусков и/или пластин, а также ширине плоской поверхности;
- температуру и значения pH воды при проведении испытаний;
- значения сжимающей нагрузки и кольцевой деформации для каждого образца;
- предельную кольцевую деформацию, время до разрушения и предельную деформацию изгиба при воздействии влаги для каждого образца;
- место разрушения;
- график зависимости предельной деформации изгиба от времени до разрушения в логарифмических координатах;
- вычисленное значение долговременной предельной деформации изгиба при воздействии влаги

, %;
- вычисленное значение долговременной предельной относительной кольцевой деформации при воздействии влаги yп,вл,х/dср, %;
- описание образцов после проведения испытаний, а также сведения об образцах, которые не разрушились (если такие были);
- любые факторы, которые могли повлиять на результаты, например случайный отказ оборудования или другие детали, не указанные в настоящем стандарте;
- дату и продолжительность проведения испытаний для каждого образца в часах.
(справочное)
СОПОСТАВЛЕНИЕ ЛОГАРИФМИЧЕСКОЙ И ЛИНЕЙНОЙ ШКАЛ ВРЕМЕНИ
В
таблице А.1 представлены интервалы времени в минутах, часах и днях, соответствующие последовательным равным приростам lg(
t), ч.
Таблица А.1
Интервалы времени с равным приростом lg(
t), ч
lg(t), ч | Время t | lg(t), ч | Время t |
мин | ч | день | мин | ч | день |
0,0 | 60 | 1 | 0,042 | 2,5 | 18974 | 316 | 13,18 |
0,1 | 76 | 1,3 | 0,052 | 2,6 | 23886 | 398 | 16,59 |
0,2 | 95 | 1,6 | 0,066 | 2,7 | 30071 | 501 | 20,88 |
0,3 | 120 | 2,0 | 0,083 | 2,8 | 37857 | 631 | 26,29 |
0,4 | 151 | 2,5 | 0,105 | 2,9 | 47660 | 794 | 33,10 |
0,5 | 190 | 3,2 | 0,132 | 3,0 | 60000 | 1000 | 41,7 |
0,6 | 239 | 4,0 | 0,166 | 3,1 | 75536 | 1259 | 52,5 |
0,7 | 301 | 5,0 | 0,209 | 3,2 | 95094 | 1585 | 66,0 |
0,8 | 379 | 6,3 | 0,263 | 3,3 | 119716 | 1995 | 83,1 |
0,9 | 477 | 7,9 | 0,331 | 3,4 | 150713 | 2512 | 104,7 |
1,0 | 600 | 10 | 0,42 | 3,5 | 189737 | 3162 | 131,8 |
1,1 | 755 | 13 | 0,52 | 3,6 | 238864 | 3981 | 165,9 |
1,2 | 951 | 16 | 0,66 | 3,7 | 300712 | 5012 | 208,8 |
1,3 | 1197 | 20 | 0,83 | 3,8 | 378574 | 6310 | 262,9 |
1,4 | 1507 | 25 | 1,05 | 3,9 | 476597 | 7943 | 331,0 |
1,5 | 1897 | 32 | 1,32 | 4,0 | 600000 | 10000 | 416,7 |
1,6 | 2389 | 40 | 1,66 | 4,1 | 755355 | 12589 | 524,6 |
1,7 | 3007 | 50 | 2,09 | 4,2 | 950936 | 15849 | 660,4 |
1,8 | 3786 | 63 | 2,63 | 4,3 | 1197157 | 19953 | 831,4 |
1,9 | 4766 | 79 | 3,31 | 4,4 | 1507132 | 25119 | 1046,6 |
2,0 | 6000 | 100 | 4,17 | 4,5 | 1897367 | 31623 | 1317,6 |
2,1 | 7554 | 126 | 5,25 | 4,6 | 2388643 | 39811 | 1658,8 |
2,2 | 9509 | 158 | 6,60 | 4,7 | 3007123 | 50119 | 2088,3 |
2,3 | 11972 | 200 | 8,31 | 4,8 | 3785744 | 63096 | 2629,0 |
2,4 | 15071 | 251 | 10,47 | 4,9 | 4765969 | 79433 | 3309,7 |
(обязательное)
ОПРЕДЕЛЕНИЕ НАЧАЛЬНОЙ УДЕЛЬНОЙ КОЛЬЦЕВОЙ ЖЕСТКОСТИ
(ДАННОЕ ПРИЛОЖЕНИЕ ЗАМЕНЯЕТ ССЫЛКУ НА ISO 7685)
ДА.1 Сущность метода
ДА.1.1 Метод A
К образцу, уложенному горизонтально, после достижения заданной относительной кольцевой деформации прикладывают постоянную сжимающую нагрузку в течение заданного промежутка времени, в конце которого измеряют кольцевую деформацию.
ДА.1.2 Метод B
В образце, уложенном горизонтально, после достижения заданной относительной кольцевой деформации, установленной в нормативном или техническом документе на изделие, поддерживают постоянную кольцевую деформацию в течение заданного промежутка времени, в конце которого измеряют сжимающую нагрузку.
ДА.2 Проведение испытаний
ДА.2.1 Измеряют длину образца
L, м, по
6.2.
ДА.2.2 Измеряют толщину стенки каждого образца
e, м, по
6.3.
ДА.2.3 Измеряют внутренний диаметр образца
dв, м, или наружный диаметр образца
dн, м, и вычисляют средний диаметр каждого образца по
6.4.
ДА.2.4 Метод A
ДА.2.4.1 Устанавливают образец в испытательной машине таким образом, чтобы противоположные опорные линии контактировали с нагружающими площадками. Следят, чтобы контакт между образцом и нагружающими площадками был одинаковый по всей линии контакта, а также чтобы нагружающие площадки не были перекошены.
ДА.2.4.2 К образцу с постоянной скоростью прикладывают сжимающую нагрузку до достижения относительной кольцевой деформации в (3,0 +/- 0,5)% за (60 +/- 10) с.
Полученную сжимающую нагрузку поддерживают постоянной в течение 2 мин, по прошествии этого времени определяют и фиксируют сжимающую нагрузку и кольцевую деформацию.
ДА.2.4.3 На
рисунке ДА.1 показано изменение сжимающей нагрузки и относительной кольцевой деформации во времени при проведении испытания по методу A.
Рисунок ДА.1 - Изменение сжимающей нагрузки и относительной
кольцевой деформации во времени при испытании по методу A
ДА.2.4.4 Испытание проводят для каждой пары опорных линий (см.
5.1.1). После каждого испытания необходимо дать образцу восстановить первоначальную форму окружности. Перерыв между испытаниями должен быть не менее 15 мин.
ДА.2.5 Метод B
ДА.2.5.2 К образцу с постоянной скоростью прикладывают сжимающую нагрузку до достижения относительной кольцевой деформации в (3,0 +/- 0,5)% за (60 +/- 10) с.
Полученную относительную кольцевую деформацию поддерживают постоянной в течение 2 мин, по прошествии этого времени определяют и фиксируют сжимающую нагрузку и кольцевую деформацию.
ДА.2.5.3 На
рисунке ДА.2 показано изменение сжимающей нагрузки и относительной кольцевой деформации во времени при проведении испытания по методу B.
Рисунок ДА.2 - Изменение сжимающей нагрузки и относительной
кольцевой деформации во времени при испытании по методу B
ДА.2.5.4 Повторяют операции по
ДА.2.4.4.
ДА.3 Обработка результатов
Начальную удельную кольцевую жесткость S0, Н/м2, вычисляют по формуле

(ДА.1)
где f - коэффициент деформации;
F - вертикальная сжимающая нагрузка, Н;
L - длина образца, м;
y - кольцевая деформация, м.
Коэффициент деформации трубы f вычисляют по формуле

(ДА.2)
где dср - средний диаметр, м.
(обязательное)
ОПРЕДЕЛЕНИЕ ФОРМУЛЫ РЕГРЕССИОННОЙ ПРЯМОЙ
(ДАННОЕ ПРИЛОЖЕНИЕ ЗАМЕНЯЕТ ССЫЛКУ НА ISO 10928)
ДБ.1 Сущность метода
Регрессионный анализ проводят на основе метода наименьших квадратов, который можно адаптировать к асимметричному и/или нормальному распределениям. Используют два метода регрессионного анализа:
- метод A: ковариационный метод с использованием взаимосвязей первого порядка;
- метод B: метод наименьших квадратов с использованием взаимосвязей первого порядка, где в качестве независимой переменной используют время.
Методы регрессионного анализа включают в себя статистическую проверку корреляции данных и их пригодности к экстраполяции.
Экстраполяция с использованием методов регрессионного анализа позволяет продлить данные, полученные в течение 10000 ч, для прогнозирования свойств на 50 лет, что, как правило, является максимальным временем экстраполяции.
ДБ.2 Методика определения линейных взаимосвязей - методы A и B
ДБ.2.1 Общие положения для методов A и B
Используя метод A (см.
ДБ.2.2) или B (см.
ДБ.2.3) строят прямую, задаваемую формулой
где y - десятичный логарифм значения исследуемого свойства;
a - точка пересечения с осью Y;
b - угол наклона прямой;
x - десятичный логарифм времени, ч.
ДБ.2.2 Метод A - ковариационный метод
ДБ.2.2.1 Общие положения
Сумму квадратов регрессионных остатков, параллельных оси Y, Qy вычисляют по формуле

(ДБ.2)
где yi - отдельное измеренное значение;
Y - среднеарифметическое значение по всем
yi, вычисляют по
формуле (ДБ.5);
n - общее количество результатов (соответствующие пары xi, yi).
Сумму квадратов регрессионных остатков, параллельных оси X, Qx вычисляют по формуле

(ДБ.3)
где xi - отдельное измеренное значение;
X - среднеарифметическое значение по всем
xi, вычисляют по
формуле (ДБ.6).
Сумму квадратов регрессионных остатков, перпендикулярных к прямой, Qxy вычисляют по формуле

(ДБ.4)
где

(ДБ.5)

(ДБ.6)
Примечание - Если значение Qxy больше нуля, угол наклона прямой b положительный, если меньше нуля - отрицательный.
ДБ.2.2.2 Пригодность данных
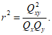
Квадратический коэффициент корреляции r2 вычисляют по формуле

(ДБ.7)
Линейный коэффициент корреляции r вычисляют по формуле

(ДБ.8)
Данные не пригодны для анализа, если выполняется неравенство

(ДБ.9)
где t(f) - t-критерий Стьюдента.
В
таблице ДБ.1 приведены минимальные допустимые значения линейного коэффициента корреляции
r, в зависимости от количества переменных
n. Значения
t-критерия Стьюдента основаны на двухстороннем уровне значимости 0,01.
Таблица ДБ.1
Минимальные допустимые значения линейного коэффициента
корреляции r
Количество переменных, n | Число степеней свободы, (n - 2) | t-критерий Стьюдента, t (0,01) | Минимальное значение, r |
13 | 11 | 3,106 | 0,6835 |
14 | 12 | 3,055 | 0,6614 |
15 | 13 | 3,012 | 0,6411 |
16 | 14 | 2,977 | 0,6226 |
17 | 15 | 2,947 | 0,6055 |
18 | 16 | 2,921 | 0,5897 |
19 | 17 | 2,898 | 0,5751 |
20 | 18 | 2,878 | 0,5614 |
21 | 19 | 2,861 | 0,5487 |
22 | 20 | 2,845 | 0,5368 |
23 | 21 | 2,831 | 0,5256 |
24 | 22 | 2,819 | 0,5151 |
25 | 23 | 2,807 | 0,5052 |
26 | 24 | 2,797 | 0,4958 |
27 | 25 | 2,787 | 0,4869 |
32 | 30 | 2,750 | 0,4487 |
37 | 35 | 2,724 | 0,4182 |
42 | 40 | 2,704 | 0,3932 |
47 | 45 | 2,690 | 0,3721 |
52 | 50 | 2,678 | 0,3542 |
62 | 60 | 2,660 | 0,3248 |
72 | 70 | 2,648 | 0,3017 |
82 | 80 | 2,639 | 0,2830 |
92 | 90 | 2,632 | 0,2673 |
102 | 100 | 2,626 | 0,2540 |
ДБ.2.2.3 Функциональные зависимости

(ДБ.10)
Угол наклона прямой b вычисляют по формуле
b = -(Г)0,5. (ДБ.11)
Точку пересечения a с осью Y вычисляют по формуле
a = Y - b·X. (ДБ.12)
ДБ.2.2.4 Расчет дисперсий
Десятичный логарифм времени до разрушения xu вычисляют по формуле
xu = lg tu, (ДБ.13)
где tu - время до разрушения, ч.
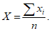
Для каждого отдельно измеренного значения от i = 1 до n вычисляют статистические показатели:
- наилучшее значение x'i для истинного значения xi по формуле

(ДБ.14)
- наилучшее значение y'i для истинного значения yi по формуле
y'i = a + b·x'i. (ДБ.15)
Дисперсию ошибки

для
x вычисляют по формуле

(ДБ.16)
Переменные
E и
D вычисляют по формулам (ДБ.17) и
(ДБ.18) соответственно:

(ДБ.17)

(ДБ.18)
Дисперсию угла наклона прямой C вычисляют по формуле
C = D(1 + E). (ДБ.19)
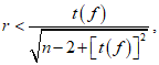
ДБ.2.2.5 Проверка пригодности к экстраполяции
Если прямую предполагается экстраполировать, вычисляют значение T по формуле

(ДБ.20)
Если абсолютное значение
T, т.е. |T|, равно или больше, чем применяемое значение
t-критерия Стьюдента

, приведенное в
таблице ДБ.2 для степеней свободы (
n - 2), данные пригодны для экстраполяции.
Примечание - Расчет границ доверительного интервала не требуется, но в приложении D приведен порядок расчета нижних границ доверительного и прогнозируемого интервалов (LCL и LPL соответственно).
Таблица ДБ.2
Значения
t-критерия Стьюдента

(вероятность выхода
за границы доверительного интервала 2,5%, двусторонний
уровень значимости 5%; доверительная вероятность 97,5%)
Число степеней свободы, (n - 2) | Значения t-критерия Стьюдента,  | Число степеней свободы, (n - 2) | Значения t-критерия Стьюдента,  | Число степеней свободы, (n - 2) | Значения t-критерия Стьюдента,  | Число степеней свободы, (n - 2) | Значения t-критерия Стьюдента,  |
1 | 12,7062 | 4 | 2,7764 | 7 | 2,3646 | 10 | 2,2281 |
2 | 4,3027 | 5 | 2,5706 | 8 | 2,3060 | 11 | 2,2010 |
3 | 3,1824 | 6 | 2,4469 | 9 | 2,2622 | 12 | 2,1788 |
Окончание таблицы ДБ.2
13 | 2,1604 | 35 | 2,0301 | 57 | 2,0025 | 79 | 1,9905 |
14 | 2,1448 | 36 | 2,0281 | 58 | 2,0017 | 80 | 1,9901 |
15 | 2,1315 | 37 | 2,0262 | 59 | 2,0010 | 81 | 1,9897 |
16 | 2,1199 | 38 | 2,0244 | 60 | 2,0003 | 82 | 1,9893 |
17 | 2,1098 | 39 | 2,0227 | 61 | 1,9996 | 83 | 1,9890 |
18 | 2,1009 | 40 | 2,0211 | 62 | 1,9990 | 84 | 1,9886 |
19 | 2,0930 | 41 | 2,0195 | 63 | 1,9983 | 85 | 1,9883 |
20 | 2,0860 | 42 | 2,0181 | 64 | 1,9977 | 86 | 1,9879 |
21 | 2,0796 | 43 | 2,0167 | 65 | 1,9971 | 87 | 1,9876 |
22 | 2,0739 | 44 | 2,0154 | 66 | 1,9966 | 88 | 1,9873 |
23 | 2,0687 | 45 | 2,0141 | 67 | 1,9960 | 89 | 1,9870 |
24 | 2,0639 | 46 | 2,0129 | 68 | 1,9955 | 90 | 1,9867 |
25 | 2,0595 | 47 | 2,0112 | 69 | 1,9949 | 91 | 1,9864 |
26 | 2,0555 | 48 | 2,0106 | 70 | 1,9944 | 92 | 1,9861 |
27 | 2,0518 | 49 | 2,0096 | 71 | 1,9939 | 93 | 1,9858 |
28 | 2,0484 | 50 | 2,0086 | 72 | 1,9935 | 94 | 1,9855 |
29 | 2,0452 | 51 | 2,0076 | 73 | 1,9930 | 95 | 1,9853 |
30 | 2,0423 | 52 | 2,0066 | 74 | 1,9925 | 96 | 1,9850 |
31 | 2,0395 | 53 | 2,0057 | 75 | 1,9921 | 97 | 1,9847 |
32 | 2,0369 | 54 | 2,0049 | 76 | 1,9917 | 98 | 1,9845 |
33 | 2,0345 | 55 | 2,0040 | 77 | 1,9913 | 99 | 1,9842 |
34 | 2,0322 | 56 | 2,0032 | 78 | 1,9908 | 100 | 1,9840 |
ДБ.2.2.6 Пример расчета
В
таблице ДБ.3 приведены исходные данные для примера расчета метода A регрессионного анализа. В настоящем примере значение исследуемого свойства обозначено безразмерной величиной
V.
Таблица ДБ.3
Исходные данные для примера расчета метода A
регрессионного анализа
n | V | yi, lg V | Время h, ч | xi, lg h |
1 | 30,8 | 1,4886 | 5184 | 3,7147 |
2 | 30,8 | 1,4886 | 2230 | 3,3483 |
3 | 31,5 | 1,4983 | 2220 | 3,3464 |
4 | 31,5 | 1,4983 | 12340 | 4,0913 |
5 | 31,5 | 1,4983 | 10900 | 4,0374 |
6 | 31,5 | 1,4983 | 12340 | 4,0913 |
7 | 31,5 | 1,4983 | 10920 | 4,0382 |
8 | 32,2 | 1,5079 | 8900 | 3,9494 |
9 | 32,2 | 1,5079 | 4173 | 3,6204 |
10 | 32,2 | 1,5079 | 8900 | 3,9494 |
11 | 32,2 | 1,5079 | 878 | 2,9435 |
12 | 32,9 | 1,5172 | 4110 | 3,6138 |
13 | 32,9 | 1,5172 | 1301 | 3,1143 |
14 | 32,9 | 1,5172 | 3816 | 3,5816 |
15 | 32,9 | 1,5172 | 669 | 2,8254 |
16 | 33,6 | 1,5263 | 1430 | 3,1553 |
17 | 33,6 | 1,5263 | 2103 | 3,3228 |
18 | 33,6 | 1,5263 | 589 | 2,7701 |
19 | 33,6 | 1,5263 | 1710 | 3,2330 |
20 | 33,6 | 1,5263 | 1299 | 3,1136 |
21 | 35,0 | 1,5441 | 272 | 2,4346 |
22 | 35,0 | 1,5441 | 446 | 2,6493 |
23 | 35,0 | 1,5441 | 466 | 2,6684 |
24 | 35,0 | 1,5441 | 684 | 2,8351 |
25 | 36,4 | 1,5611 | 104 | 2,0170 |
26 | 36,4 | 1,5611 | 142 | 2,1523 |
27 | 36,4 | 1,5611 | 204 | 2,3096 |
28 | 36,4 | 1,5611 | 209 | 2,3201 |
29 | 38,5 | 1,5855 | 9 | 0,9542 |
30 | 38,5 | 1,5855 | 13 | 1,1139 |
31 | 38,5 | 1,5855 | 17 | 1,2304 |
32 | 38,5 | 1,5855 | 17 | 1,2304 |
Средние: | | Y = 1,5301 | | X = 2,9305 |
Суммы квадратов регрессионных остатков:
Qx = 0,79812;
Qy = 0,00088;
Qxy = -0,02484.
Коэффициент корреляции:
r2 = 0,87999;
r = 0,93808.
Функциональные зависимости:
Г = 0,00110;
b = -0,03317;
a = 1,62731.
E = 3,5202·10-2;
D = 4,8422·10-6;
C = 5,0127·10-6 (дисперсия угла наклона прямой);

(дисперсия ошибки для
x).
Проверка пригодности к экстраполяции (см.
ДБ.2.2.5):
n = 32;

;
T = -0,03317/(5,0127·10-6)0,5 = -14,8167;
|T| = 14,8167 > 2,0423.
Таблица ДБ.4
Расчетные средние значения
Vm
Время h, ч | Vm |
0,1 | 45,76 |
1 | 42,39 |
10 | 39,28 |
100 | 36,39 |
1000 | 33,71 |
10000 | 31,23 |
100000 | 28,94 |
438000 | 27,55 |
Ось X - логарифмическая шкала времени, ч;
ось Y - логарифмическая шкала значений исследуемого
свойства; 1 - 438000 ч (50 лет); 2 - линия регрессии,
Рисунок ДБ.1 - Линия регрессии, построенная по данным
ДБ.2.3 Метод B - Метод наименьших квадратов, где в качестве независимой переменной используют время
ДБ.2.3.1 Общие положения
Сумму квадратов регрессионных остатков Sy, параллельных оси Y, вычисляют по формуле

(ДБ.21)
Сумму квадратов регрессионных остатков Sx, параллельных оси X, вычисляют по формуле

(ДБ.22)
Сумму квадратов регрессионных остатков Sxy, перпендикулярных прямой, вычисляют по формуле

(ДБ.23)
Среднеарифметическое значение
Y по всем
yi вычисляют по
формуле (ДБ.5), среднеарифметическое значение
X по всем
xi вычисляют по
формуле (ДБ.6).
Примечание - Если значение Sxy больше нуля, угол наклона прямой b положительный, если меньше нуля - отрицательный.
ДБ.2.3.2 Пригодность данных
Квадратический коэффициент корреляции r2 вычисляют по формуле

(ДБ.24)
Линейный коэффициент корреляции r вычисляют по формуле

(ДБ.25)
Данные не пригодны для анализа, если значение линейного коэффициента корреляции
r меньше, чем соответствующее минимальное допустимое значение линейного коэффициента корреляции, приведенное в
таблице ДБ.1, в зависимости от количества переменных
n.
ДБ.2.3.3 Функциональные зависимости
Угол наклона прямой b вычисляют по формуле

(ДБ.26)
Точку пересечения a с осью Y вычисляют по формуле
a = Y - b·X. (ДБ.27)
ДБ.2.3.4 Проверка пригодности к экстраполяции
Если прямую предполагается экстраполировать, вычисляют значение M по формуле

(ДБ.28)
где

- значение
t-критерия Стьюдента, приведенное в
таблице ДБ.2.
Если значение M меньше или равно нулю, данные не пригодны для экстраполяции.
ДБ.2.3.5 Пример расчета
В
таблице ДБ.5 приведены исходные данные для примера расчета метода B регрессионного анализа. В настоящем примере значение исследуемого свойства обозначено безразмерной величиной
V.
Таблица ДБ.5
Исходные данные для примера расчета метода B
регрессионного анализа
n | Время T, ч | xi, lg T | V | yi, lg V |
1 | 0,10 | -1,0000 | 7114 | 3,8521 |
2 | 0,27 | -0,5686 | 6935 | 3,8410 |
3 | 0,50 | -0,3010 | 6824 | 3,8341 |
4 | 1,00 | 0 | 6698 | 3,8259 |
5 | 3,28 | 0,5159 | 6533 | 3,8151 |
6 | 7,28 | 0,8621 | 6453 | 3,8098 |
7 | 20,0 | 1,3010 | 6307 | 3,7999 |
8 | 45,9 | 1,6618 | 6199 | 3,7923 |
9 | 72,0 | 1,8573 | 6133 | 3,7877 |
10 | 166 | 2,2201 | 5692 | 3,7552 |
11 | 219 | 2,3404 | 5508 | 3,7410 |
12 | 384 | 2,5843 | 5393 | 3,7318 |
13 | 504 | 2,7024 | 5364 | 3,7295 |
14 | 3000 | 3,4771 | 5200 | 3,7160 |
15 | 10520 | 4,0220 | 4975 | 3,6968 |
Средние: | | X = 1,4450 | | Y = 3,7819 |
Суммы квадратов регрессионных остатков:
Sx = 31,6811;
Sy = 0,0347;
Sxy = -1,0242.
Коэффициент корреляции:
r2 = 0,9556;
r = 0,9775.
Функциональные зависимости (см.
ДБ.2.3.3):
a = 3,8286;
b = -0,0323.
Проверка пригодности к экстраполяции (см.
ДБ.2.3.4):

;
M = 942,21.
Расчетные средние значения
Vm в разные моменты времени приведены в
таблице ДБ.6.
Таблица ДБ.6
Расчетные средние значения
Vm
Время h, ч | Vm |
0,1 | 7259 |
1 | 6739 |
10 | 6256 |
100 | 5808 |
1000 | 5391 |
10000 | 5005 |
100000 | 4646 |
438000 | 4428 |
(справочное)
ОРИГИНАЛЬНЫЙ ТЕКСТ МОДИФИЦИРОВАННЫХ СТРУКТУРНЫХ ЭЛЕМЕНТОВ
ДВ.1
4 Сущность метода
Каждая из нескольких отрезанных длин трубы поддерживается горизонтально и нагружается по длине для диаметрального сжатия с целью достижения необходимого уровня деформации. Поверхностями приложения силы выступают опорные плиты или балочные бруски.
Труба погружается в воду при заданной температуре на время, в течение которого сила остается постоянной, и увеличивающаяся кольцевая деформация измеряется через определенные промежутки времени до возникновения разрушения (см. 3.9). Относительная кольцевая деформация при разрушении [предельная относительная кольцевая деформация,
yu,wet/
dm (см. 3.6)] преобразовывается в деформацию при изгибе при разрушении (предельная деформация при изгибе,

, в процентах), и вычисляется по формуле (1) или определяется по калибровочной кривой напряжения-деформации (см. 10.3).
Деформацию также можно измерять при помощи водонепроницаемых датчиков деформации.
В приведенных ниже расчетах деформаций предполагается, что нулевая ось находится в средней точке стенки трубы. Если конструкция стенок трубы предполагает иное положение нулевой оси, необходимо выполнить расчеты результатов, заменив

на толщину стенки
e, где

- это расстояние от соответствующей поверхности трубы до нулевой оси. Положение нулевой оси определяется соответствующим методом, например методом расчета или использования пар датчиков деформации.

(ДВ.1)
где для разрыва в зените или у низа трубы:
Dg вычисляют по формуле

(ДВ.2)
где для разрыва по линии продольного коробления:
Dg вычисляют по формуле

(ДВ.3)
где yu,wet - предельная кольцевая деформация при воздействии влаги, м;
dm - средний диаметр трубы (см. 3.2), м;
e - средняя толщина стенки трубы в зените у низа или по линии продольного коробления - в зависимости от конкретного случая, м.
Эти значения предельной деформации при изгибе и рассчитываемые периоды,
tu (см. 3.10), используются в процедурах, описанных в ISO 10928, для определения долговременной предельной деформации при изгибе при воздействии влаги,

.
Предполагается, что эти значения для следующих параметров испытания будут установлены в ссылочных стандартах:
a) время x, за которое должны быть экстраполированы значения (см. 3.7 и 3.8);
b) температура проведения испытания (см. 5.3 и 10.1);
c) длина испытуемых образцов и их количество (см. разделы 6 и 7);
d) распределение периодов до разрушения (см. 10.8);
e) показатель pH воды, используемой при проведении испытания.
Стандартная процедура испытаний заключается в определении и анализе деформации при изгибе под воздействием кольцевых деформаций. Эта процедура предполагает изменение от образца к образцу и приводит к определению зависимости напряжения от времени, применяемого для ряда классификаций труб.
Примечание - Редакция раздела изменена в целях соблюдения норм русского языка и технического стиля изложения. Все формулы приведены в соответствие требованиям ГОСТ 1.5-2001 (
пункты 7.9.9,
4.7) и перенесены в раздел 7 настоящего стандарта.
ДВ.2
5.1 Установка для испытаний на сжатие
Установка должна включать в себя систему, способную приложить силу (без ударной нагрузки) двумя параллельными поверхностями приложения силы в соответствии с
5.2 таким образом, чтобы горизонтально расположенный и погруженный в воду испытываемый образец трубы в соответствии с разделом 6 можно было сжать вертикально и поддерживать в условиях постоянного приложения силы в течение испытания в соответствии с 10.7.
Следует убедиться в том, что на прилагаемую силу не воздействуют гидростатические эффекты или трение.
Для точной записи времени до разрушения и деформаций испытуемых образцов, находящихся под воздействием больших нагрузок с предполагаемым разрушением в течение 100 ч, может потребоваться автоматический регистратор. Такие устройства полезны для всех испытуемых образцов.
5.2 Поверхности приложения силы
5.2.1 Общая схема
Метод позволяет использовать опорные плиты или балочные бруски для нагрузки испытуемого образца в зависимости от выбранного способа. Любой из данных способов может быть использован для измерения относительной кольцевой деформации до 28%. При предположении превышения этого уровня процесс ограничивается использованием, по меньшей мере, одного балочного бруска.
Поверхности должны оснащаться парой опорных плит в соответствии с
5.2.2 или парой балочных брусков в соответствии с 5.2.3, или сочетанием из одной опорной плиты и одного балочного бруска. Однако если прилагаемая сила может вызвать относительную кольцевую деформацию более 28%, то, по меньшей мере, одна из поверхностей должна быть балочным бруском. Основные оси поверхности должны быть перпендикулярны к направлению приложения силы F установки для приложения сжимающей нагрузки и сосредоточены в этом направлении, как показано на рисунке 1. Поверхности, контактирующие с испытуемым образцом, должны быть плоскими, гладкими, чистыми и параллельными друг другу.
Минимальная ширина плиты должна быть не менее 100 мм, а минимальная длина должна быть равна длине испытуемого образца (см. раздел 6). Они должны быть достаточно жесткими, чтобы во время испытания не возникало видимых изгибов или других деформаций.
Примечание - Редакция раздела изменена в целях соблюдения принятой терминологии и технического стиля изложения.
ДВ.3
10.9 Преобразовать относительную кольцевую деформацию при разрушении [предельную относительную кольцевую деформацию,
yu,wet/
dm (см. 3.6)], определяемую в соответствии с 10.7 и 10.8, в напряжение при изгибе при разрушении (предельное напряжение при разрушении),

, в процентах, по формуле (1) и (2) или (3) при необходимости, или путем калибровки напряжения по отношению к деформации.
Примечание - Редакция раздела изменена в целях соблюдения норм русского языка, принятой терминологии, технического стиля изложения и в соответствии с требованиями ГОСТ 1.5-2001
(пункты 7.9.9).
(справочное)
СОПОСТАВЛЕНИЕ СТРУКТУРЫ НАСТОЯЩЕГО СТАНДАРТА СО СТРУКТУРОЙ
ПРИМЕНЕННОГО В НЕМ МЕЖДУНАРОДНОГО СТАНДАРТА
Таблица ДГ.1
Структура настоящего стандарта | Структура международного стандарта ISO 10471 |
Раздел | Подраздел | Пункт | Раздел | Подраздел | Пункт |
| - | - | 1 | - | - |
- | - | - | 2 | - | - |
| | - | 3 | 3.1 - 3.13 | - |
| - | - | 4 | - | - |
| | - | 5 | 5.1 | - |
| | 5.2 | 5.2.1 - 5.2.3 |
| - | 5.3 | - |
| | 5.4 | - |
| | | 6 | - | - |
| 7 | - | - |
| | - | 8 | 8.1 - 8.3 | - |
| | - | 9 | - | - |
| | - | 10 | 10.1; 10.2 | - |
| - | 10.3 - 10.8 | - |
| | - | 10.9 | - |
| | 11 | 11.1 | - |
| - | 11.2 | - |
| - | - | 12 | - | - |
Приложения | | Приложения | A |
| - |
Примечания 1 Структура настоящего стандарта изменена относительно примененного международного стандарта для приведения в соответствие с требованиями, установленными в ГОСТ 1.5-2001 ( подразделы 4.2 - 4.3, 7.9). 2 Внесены дополнительные приложения ДА - ДГ в соответствии с требованиями, установленными к оформлению межгосударственного стандарта, модифицированного по отношению к международному стандарту. |
УДК 678. 462:006.354 | | (MOD) |
Ключевые слова: трубы, детали трубопроводов, трубы и детали трубопроводов из реактопластов, армированных стекловолокном, долговременная предельная деформация изгиба, долговременная предельная относительная кольцевая деформация, предельная кольцевая деформация, предельная деформация изгиба, воздействие влаги |