Главная // Актуальные документы // ГОСТ (Государственный стандарт)СПРАВКА
Источник публикации
М.: Стандартинформ, 2020
Примечание к документу
Документ включен в
Перечень документов в области стандартизации, в результате применения которых на добровольной основе обеспечивается соблюдение требований Федерального
закона от 30.12.2009 N 384-ФЗ "Технический регламент о безопасности зданий и сооружений" (
Приказ Росстандарта от 02.04.2020 N 687).
Текст данного документа приведен с учетом
поправки, опубликованной в "ИУС", N 7, 2023.
Документ
введен в действие с 01.01.2021.
Название документа
"ГОСТ 20276.3-2020. Межгосударственный стандарт. Грунты. Метод испытания горячим штампом мерзлых грунтов"
(введен в действие Приказом Росстандарта от 11.08.2020 N 482-ст)
"ГОСТ 20276.3-2020. Межгосударственный стандарт. Грунты. Метод испытания горячим штампом мерзлых грунтов"
(введен в действие Приказом Росстандарта от 11.08.2020 N 482-ст)
агентства по техническому
регулированию и метрологии
от 11 августа 2020 г. N 482-ст
МЕЖГОСУДАРСТВЕННЫЙ СТАНДАРТ
ГРУНТЫ
МЕТОД ИСПЫТАНИЯ ГОРЯЧИМ ШТАМПОМ МЕРЗЛЫХ ГРУНТОВ
Soils. Hot stamp test method for frozen soils
ГОСТ 20276.3-2020
Дата введения
1 января 2021 года
Цели, основные принципы и общие правила проведения работ по межгосударственной стандартизации установлены
ГОСТ 1.0 "Межгосударственная система стандартизации. Основные положения" и
ГОСТ 1.2 "Межгосударственная система стандартизации. Стандарты межгосударственные, правила и рекомендации по межгосударственной стандартизации. Правила разработки, принятия, обновления и отмены"
Сведения о стандарте
1 РАЗРАБОТАН Акционерным обществом "Научно-исследовательский центр "Строительство" (АО "НИЦ "Строительство") - Научно-исследовательский, проектно-изыскательский и конструкторско-технологический институт оснований и подземных сооружений (НИИОСП) им. Н.М. Герсеванова
2 ВНЕСЕН Техническим комитетом по стандартизации ТК 465 "Строительство"
3 ПРИНЯТ Межгосударственным советом по стандартизации, метрологии и сертификации (протокол от 30 апреля 2020 г. N 129-П)
За принятие проголосовали:
Краткое наименование страны по МК (ИСО 3166) 004-97 | Код страны по МК (ИСО 3166) 004-97 | Сокращенное наименование национального органа по стандартизации |
Азербайджан | AZ | Азстандарт |
Армения | AM | Минэкономики Республики Армения |
Беларусь | BY | Госстандарт Республики Беларусь |
Казахстан | KZ | Госстандарт Республики Казахстан |
Киргизия | KG | Кыргызстандарт |
Россия | RU | Росстандарт |
Таджикистан | TJ | Таджикстандарт |
4
Приказом Федерального агентства по техническому регулированию и метрологии от 11 августа 2020 г. N 482-ст межгосударственный стандарт ГОСТ 20276.3-2020 введен в действие в качестве национального стандарта Российской Федерации с 1 января 2021 г.
Информация о введении в действие (прекращении действия) настоящего стандарта и изменений к нему на территории указанных выше государств публикуется в указателях национальных стандартов, издаваемых в этих государствах, а также в сети Интернет на сайтах соответствующих национальных органов по стандартизации.
В случае пересмотра, изменения или отмены настоящего стандарта соответствующая информация будет опубликована на официальном интернет-сайте Межгосударственного совета по стандартизации, метрологии и сертификации в каталоге "Межгосударственные стандарты"
Настоящий стандарт содержит требования, предъявляемые к оборудованию, подготовке и проведению испытания горячим штампом мерзлых грунтов, обработке результатов испытаний.
Пересмотр
ГОСТ 20276-2012 осуществлен авторским коллективом НИИОСП им. Н.М. Герсеванова (руководитель разработки - канд. техн. наук И.В. Колыбин, ответственный исполнитель - канд. техн. наук А.Г. Алексеев, инж. П.М. Сазонов).
Настоящий стандарт устанавливает метод испытания горячим штампом мерзлых грунтов при их исследовании для строительства.
В настоящем стандарте использованы нормативные ссылки на следующие стандарты:
ГОСТ 5180 Грунты. Методы лабораторного определения физических характеристик
ГОСТ 12071 Грунты. Отбор, упаковка, транспортирование и хранение образцов
ГОСТ 12536 Грунты. Методы лабораторного определения гранулометрического (зернового) и микроагрегатного составов
ГОСТ 25358 Грунты. Метод полевого определения температуры
ГОСТ 30416 Грунты. Лабораторные испытания. Общие положения
ГОСТ 30672 Грунты. Полевые испытания. Общие положения
Примечание - При пользовании настоящим стандартом целесообразно проверить действие ссылочных стандартов в сети Интернет на официальном сайте Межгосударственного совета по стандартизации, метрологии и сертификации (www.easc.by) или в указателях национальных стандартов, издаваемых в государствах, указанных в предисловии, или на официальных сайтах соответствующих национальных органов по стандартизации. Если на стандарт дана недатированная ссылка, то следует использовать стандарт, действующий на текущий момент, с учетом всех внесенных в него изменений. Если заменен ссылочный стандарт, на который дана датированная ссылка, то следует использовать указанную версию этого стандарта. Если после принятия настоящего стандарта в ссылочный стандарт, на который дана датированная ссылка, внесено изменение, затрагивающее положение, на которое дана ссылка, то это положение применяется без учета данного изменения. Если ссылочный стандарт отменен без замены, то положение, в котором дана ссылка на него, применяется в части, не затрагивающей эту ссылку.
3.1 горные выработки: Искусственно созданные пустоты в земной коре (место испытания грунтов горячим штампом).
3.2 горячий штамп: Штамп с внутренним обогревом.
3.3 природное давление в грунте: Вертикальное давление в массиве грунтов на данной глубине, зависимое от веса вышележащих слоев грунта.
3.4 измерительная система: Комплекс приборов и приспособлений, предназначенных для измерения и регистрации значений нагрузок, осадок штампа и температуры грунта.
3.5 обогревающее устройство: Кольцевое устройство вокруг штампа с внутренним обогревом для расширения зоны оттаивания.
3.6 постоянство каждой ступени давления: Сохранение практически без изменения значения давления на штамп до передачи очередной ступени давления.
3.7 ступень давления: Величина приращения давления на штамп при испытаниях.
3.8 физические характеристики грунтов: Показатели физических свойств грунта, включающие объемный вес, удельный вес, влажность и др.
3.9 центрированная нагрузка: Вертикальная нагрузка, равнодействующая которой приложена по центру штампа.
3.10 чаша оттаивания: Контур (объем) оттаявшего под штампом грунта.
4.1 Общие требования к полевым испытаниям грунтов, оборудованию и приборам, подготовке площадок и выработок для испытаний приведены в
ГОСТ 30672.
4.2 Испытания проводят непосредственно на поверхности грунта или в открытых и подземных горных выработках (расчистках, котлованах, шурфах, штреках и т.д.).
4.3 При испытании грунта в шурфе размеры шурфа определяют в зависимости от необходимости крепления его стен и глубины проходки. Минимальные размеры шурфа в плане - 2,0 x 2,0 м.
4.4 Высота горной выработки при проведении испытаний в штреке определяется габаритами установки, применяемой для испытаний, и должна быть не менее 1,8 м.
4.5 Площадка для проведения испытаний должна быть спланирована и оконтурена водоотводной канавой.
4.6 Проходку горных выработок проводят до требуемой по условиям испытаний глубины максимального сезонного оттаивания, а в условиях несливающейся многолетне-мерзлой толщи - до верхней границы этой толщи.
4.7 Технологию проходки выработки следует принимать из условия сохранения естественного сложения мерзлых грунтов.
4.8 Минимальная толщина однородного слоя испытуемого грунта должна быть не менее двух диаметров штампа.
4.9 На отметке испытания грунта должны быть отобраны образцы и в лабораторных условиях определены их классификационные показатели: гранулометрический состав по
ГОСТ 12536, влажность и плотность грунта, плотность частиц грунта, влажность на границах раскатывания и текучести по
ГОСТ 5180, а также вычислены плотность сухого грунта, коэффициент пористости, коэффициент водонасыщения, число пластичности и показатель текучести по
ГОСТ 25100.
5.1 Испытание горячим штампом проводят для определения следующих характеристик деформируемости мерзлого грунта: коэффициента оттаивания Ath, коэффициента сжимаемости mf, модуля деформации E.
5.2 Характеристики определяют по результатам нагружения грунта вертикальной нагрузкой в забое горной выработки (открытой или подземной) или непосредственно на поверхности грунта с помощью штампа с внутренним обогревом.
Результаты испытания оформляют в виде графиков зависимости осадки штампа от нагрузки.
6.1 В состав установки для испытания грунта горячим штампом должны входить:
- штамп с внутренним обогревом;
- обогревающее устройство;
- устройство для создания и измерения нагрузки на штамп;
- устройства для измерения осадок штампа и температуры грунта;
- насос для откачки воды.
6.2 Конструкция установки должна обеспечивать:
- нагружение штампа ступенями давления по 0,01 - 0,1 МПа;
- центрированную передачу нагрузки на штамп;
- постоянство каждой ступени давления;
- исключение продольного изгиба труб-штанг (крепление труб-штанг при большой глубине испытаний по четырем направлениям).
6.3 Штамп должен быть жестким, круглым и плоским со сплошной подошвой площадью F = 5000 см2 (допускается F = 2500 см2).
Конструкция штампа должна обеспечивать равномерный нагрев его днища технологиями жидкостного или электрического нагрева до температуры не более 90 °C.
6.4 Обогревающее устройство должно быть расположено по периметру штампа (шириной 0,3 его диаметра) и должно обеспечивать равномерное оттаивание грунта под штампом. При испытании грунтов с естественной влажностью выше влажности на границе текучести должна быть предусмотрена пригрузка обогревающего устройства, соответствующая вертикальному нормальному напряжению от собственного веса грунта на отметке испытания.
6.5 Нагружение штампа осуществляют домкратом или тарированным грузом.
6.6 Прогибомеры для измерения осадки штампа должны быть закреплены на реперной системе. Штамп должен быть соединен с прогибомером нитью из стальной проволоки диаметром 0,3 - 0,5 мм. Измерительная система должна обеспечивать измерение осадок с погрешностью не более 0,1 мм.
Необходимо учитывать деформацию проволоки от температурных воздействий и вводить поправку в показания прогибомеров. Поправку определяют по показаниям контрольного прогибомера. Контрольный прогибомер устанавливают на реперной системе, его нить закрепляют к неподвижному реперу, устраиваемому в стене выработки; длина нити должна быть равна длине нити прогибомера, измеряющего осадку штампа. Осадку штампа следует определять как среднее арифметическое значение показаний трех прогибомеров, фиксирующих осадку штампа в трех точках, расположенных под углом 120° от центра штампа.
Для измерения осадки штампа допускается применять другие приборы, обеспечивающие измерение осадок с погрешностью не более 0,1 мм.
Примечание - При испытании грунтов в шурфах при измерении осадок штампа по перемещениям верха колонны труб, служащих для передачи нагрузки на штамп, учитывают деформацию сжатия труб от нагрузки и предусматривают мероприятия, исключающие их продольный изгиб.
6.7 Реперная система с датчиками деформаций должна быть закреплена в мерзлый грунт устья или забоя горной выработки (при условии обеспечения полной неподвижности системы) и защищена от воздействия солнечных лучей, ветра и атмосферных осадков.
6.8 Измерительная система должна обеспечивать точность измерений:
- вертикальных перемещений штампа (индикаторами часового типа, индуктивными датчиками или прогибомерами) 0,1 мм;
- температур грунта под штампом 0,1 °C.
7.1 На подготовленный забой горной выработки по ее центру или непосредственно на поверхность грунта устанавливают штамп с внутренним обогревом, монтируют устройство для нагружения штампа, реперную систему с приборами для измерения осадок штампа.
7.2 Поверхность грунта в пределах площади установки штампа должна быть зачищена до ненарушенного мерзлого грунта и тщательно спланирована. Для достижения плотного контакта подошвы штампа с грунтом под штамп устраивают подушку из маловлажного песка средней крупности толщиной не более 1 - 2 см для глинистых и не более 5 см - для крупнообломочных грунтов.
7.3 Контроль глубины оттаивания грунта под штампом проводят с помощью температурных датчиков и металлического щупа с учетом требований
ГОСТ 25358. Температурные датчики устанавливают с интервалом в 10 см в две скважины диаметром 3 - 4 см и глубиной до 80 см, пробуренные по краям штампа. Скважины необходимо тщательно гидроизолировать охлажденным глинистым грунтом.
7.4 Перед началом испытания для достижения полного контакта штампа с грунтом, обжатия всех конструктивных элементов установки и для исключения разуплотнения мерзлого грунта следует приложить на штамп (без включения его обогрева) нагрузку обжатия, соответствующую вертикальному нормальному напряжению от собственного веса грунта

на отметке испытания (с учетом собственного веса штампа и деталей установки, не сбалансированных противовесом), но не менее 0,05 МПа. Нагрузку следует выдерживать до условной стабилизации деформации грунта (осадки штампа). Затем (без сброса нагрузки обжатия) устанавливают показания приборов на нулевые деления.
8.1 Испытание выполняют в два этапа:
- 1-й этап - создание под штампом зоны оттаявшего грунта на глубину 0,5 диаметра штампа под давлением
p, соответствующим напряжению

на отметке испытания (в первую ступень давления включают вес штампа и деталей установки, не сбалансированных противовесами);
- 2-й этап - уплотнение оттаявшего грунта ступенчато-возрастающей нагрузкой. Общее количество ступеней давления должно быть не менее пяти.
8.2 На 1-м этапе испытания включают обогрев штампа с помощью обогревающего устройства.
Обогрев штампа проводят до тех пор, пока глубина оттаивания под штампом не станет равной 25 - 30 см. После этого обогрев прекращают, и дальнейшее оттаивание грунта до глубины 0,5 диаметра штампа (примерно 40 см) происходит за счет запаса тепла в оттаявшем слое.
При понижении температуры грунта на глубине 40 см ниже 0 °C следует проводить кратковременный обогрев штампа, обеспечивающий поддержание оттаивания грунта под штампом в течение испытания до глубины, равной 0,5 диаметра штампа.
8.3 Отсчеты по температурным датчикам необходимо проводить на 1-м этапе испытания сначала через каждый час, а по мере приближения границы оттаивания к глубине 40 см - через каждые 15 мин. На 2-м этапе испытания отсчеты по температурным датчикам снимают один раз перед приложением очередной ступени давления.
8.4 Замеры глубины оттаивания грунта металлическим щупом следует проводить на 1-м этапе испытания дважды: после прекращения прогрева и при достижении нулевых температур на глубине 40 см, а на 2-м этапе - каждый раз перед приложением очередной ступени давления.
8.5 После стабилизации осадки оттаявшего грунта при напряжении

(1-й этап испытания) на штамп дают ступенчато-возрастающие нагрузки (2-й этап испытания). Каждую ступень давления выдерживают до условной деформации грунта (осадки штампа).
8.6 За критерий условной стабилизации деформации принимают скорость осадки штампа, не превышающую 0,1 мм за 2 ч для глинистых грунтов и 0,1 мм за 1 ч - для песков, крупнообломочных и сильновыветрелых скальных грунтов.
8.7 Отсчеты по приборам для измерения деформаций проводят на обоих этапах испытаний через 10, 20, 30 и 60 мин от начала испытания и далее через каждый час до условной стабилизации осадки штампа на каждой ступени давления.
8.8 Значения ступени давления на штамп на 2-м этапе испытания следует принимать: для песков и глинистых грунтов - 0,05 МПа, для крупнообломочных грунтов - 0,1 МПа, для сильновыветрелых скальных грунтов - 0,2 МПа.
8.9 После окончания испытания установку следует демонтировать, с поверхности оттаявшего грунта под штампом удалить верхний слой толщиной 10 см и отобрать по
ГОСТ 12071 два-три образца для лабораторных определений необходимых характеристик оттаявшего и уплотненного грунта. После этого следует удалить талый грунт, замерить и зарисовать чашу оттаявшего грунта под штампом.
8.10 В процессе испытания ведут журнал, форма которого приведена в
приложении А.
9.1 По данным испытания вычисляют среднее значение глубин оттаивания грунта (под центром и краями штампа)
H и приращение абсолютной осадки штампа

для каждой ступени давления.
9.2 Для каждой ступени давления вычисляют среднее значение приращения относительной осадки

и полного значения относительной осадки слоя по формулам:

(1)

(2)
9.3 По вычисленным значениям строят график зависимости относительной осадки штампа от давления

(см.
приложение Б).
На графике проводят осредняющую прямую методом наименьших квадратов или графическим методом.
За начальные значения
p и

(первая точка, включаемая в осреднение) принимают такие значения, которые соответствуют напряжению

, за конечные значения
pn и

(последняя точка, включаемая в осреднение) - соответствующие напряжению, которое вызывает приращение осадки, превышающее ее значение на предыдущей ступени давления не более чем в два раза.
9.4 Коэффициент оттаивания
Ath по графику

принимают равным отрезку, отсекаемому осредняющей прямой на оси ординат.
Коэффициент сжимаемости mf, МПа-1, вычисляют по формуле

(3)
где

- устанавливаемое по графику приращение значения относительной осадки на осредняющей прямой, соответствующее интервалу

;
K - безразмерный коэффициент напряженного состояния грунта, который принимают равным: для крупнообломочных грунтов и сильновыветрелых скальных грунтов - 1,35; для песков и супесей - 1,30; для суглинков - 1,20; для глин - 1,0.
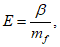
При необходимости по полученным значениям mf вычисляют модуль деформации грунта E по формуле

(4)
где

- безразмерный коэффициент, значения которого принимают равными: для крупнообломочных грунтов и сильновыветрелых скальных грунтов - 0,8; для песков и супесей - 0,74; для суглинков - 0,62; для глин - 0,40.
Коэффициент Ath определяют с точностью до 0,001, коэффициент mf - до 0,0001.
(справочное)
ФОРМЫ ПЕРВОЙ И ПОСЛЕДУЮЩИХ СТРАНИЦ ЖУРНАЛА
ИСПЫТАНИЯ ГОРЯЧИМ ШТАМПОМ МЕРЗЛЫХ ГРУНТОВ
Форма первой страницы журнала
ЖУРНАЛ ИСПЫТАНИЯ ГОРЯЧИМ ШТАМПОМ МЕРЗЛЫХ ГРУНТОВ
Организация _______________________________________________________________
Объект ____________________________________________________________________
Сооружение ________________________________________________________________
Дата испытания: начало ____________________________________________________
окончание _________________________________________________
Выработка N ______________________ Абсолютные отметки:
Сечение выработки ________________ устья выработки _______________________
Глубина __________________________ подошвы штампа ________________________
Характеристика испытуемого грунта _________________________________________
___________________________________________________________________________
Краткая характеристика установки для испытаний ____________________________
___________________________________________________________________________
Приборы (тип и N) для измерения:
нагрузки __________________________________________________________________
деформаций грунта _________________________________________________________
температуры грунта ________________________________________________________
Схема размещения установки для испытаний:
Ответственный исполнитель
Форма последующих страниц журнала
а) Нагружение штампа
Номер испытания
Отметка испытания на глубине, м | Дата | Глубина проведения испытания, м | Этап оттаивания, время t, ч | Время проведения испытания t, ч | Интервал времени  (продолжительность испытаний), мин | Показания манометра, МПа | Нагрузка на штамп, кН | Давление p по подошве штампа, МПа | Показание датчиков деформации, мм | Поправка к показаниям датчиков деформации, мм | Среднее значение осадки, мм | Глубина протаивания под штампом (по чаше оттаивания) H, мм | Относительная осадка штампа  | Примечание |
S'1 | S'2 | S'3 | S"1 | S"2 | S"3 | | Hц - под центром; H1, H2, H3, H4 - под краями | Принятая в расчет глубина H |
1 | 2 | 3 | 4 | 5 | 6 | 7 | 8 | 9 | 10 | 11 | 12 | 13 | 14 | 15 | 16 | 17 | 18 | 19 | 20 |
| | | | | | | | | | | | | | | | | | | |
б) Температура грунта под штампом
Номер испытания
Отметка испытания на глубине, м | Дата замера, ч, мин | Глубина заложения температурных датчиков, см | 0 | 10 | 20 | 30 | 40 | 50 | 60 | 70 | 80 | Примечание |
Показания, °C | Место заложения температурных датчиков по краям (Л - левый, П - правый) штампа |
Л | П | Л | П | Л | П | Л | П | Л | П | Л | П | Л | П | Л | П | Л | П |
1 | 2 | 3 | 4 | 5 | 6 | 7 | 8 | 9 | 10 | 11 | 12 | 13 | 14 | 15 | 16 | 17 | 18 | 19 | 20 | 21 | 22 |
| | | | | | | | | | | | | | | | | | | | | |
в) Характеристика сжимаемости мерзлых грунтов при оттаивании
Номер испытания
Отметка испытания на глубине, м | Дата | Глубина кровли испытанного слоя, м | Наименование грунта | Давление | Глубина протаивания грунта под штампом Hi, мм | Приращение осадки за ступень | Относительная осадка  | Коэффициенты | Примечание |
Номер ступени i | pi, МПа | абсолютной  , мм | относительной  | оттаивания Ath | сжимаемости mf, МПа-1 |
1 | 2 | 3 | 4 | 5 | 6 | 7 | 8 | 9 | 10 | 11 | 12 | 13 |
| | | | | | | | | | | | |
(справочное)
ОБРАЗЕЦ ГРАФИЧЕСКОГО ОФОРМЛЕНИЯ РЕЗУЛЬТАТОВ
ИСПЫТАНИЯ ГОРЯЧИМ ШТАМПОМ МЕРЗЛЫХ ГРУНТОВ
Образец графика, построенного по результатам испытания горячим штампом мерзлых грунтов, приведен на рисунке Б.1.
График

Масштаб графика:
- по горизонтали: 40 мм - 0,1 МПа для p;
- по вертикали: 10 мм - 1 мм для

Рисунок Б.1
УДК 624.139 | |
Ключевые слова: мерзлые грунты, деформируемость, испытание горячим штампом, коэффициент оттаивания, коэффициент сжимаемости, модуль деформации |