Главная // Актуальные документы // ГОСТ Р (Государственный стандарт)СПРАВКА
Источник публикации
М.: ФГБУ "РСТ", 2022
Примечание к документу
Документ
введен в действие с 01.07.2023.
Название документа
"ГОСТ Р ИСО 11344-2022. Национальный стандарт Российской Федерации. Каучуки и термоэластопласты. Определение молекулярно-массовых характеристик методом гель-проникающей хроматографии"
(утв. и введен в действие Приказом Росстандарта от 27.06.2022 N 539-ст)
"ГОСТ Р ИСО 11344-2022. Национальный стандарт Российской Федерации. Каучуки и термоэластопласты. Определение молекулярно-массовых характеристик методом гель-проникающей хроматографии"
(утв. и введен в действие Приказом Росстандарта от 27.06.2022 N 539-ст)
Утвержден и введен в действие
по техническому регулированию
и метрологии
от 27 июня 2022 г. N 539-ст
НАЦИОНАЛЬНЫЙ СТАНДАРТ РОССИЙСКОЙ ФЕДЕРАЦИИ
КАУЧУКИ И ТЕРМОЭЛАСТОПЛАСТЫ
ОПРЕДЕЛЕНИЕ МОЛЕКУЛЯРНО-МАССОВЫХ ХАРАКТЕРИСТИК
МЕТОДОМ ГЕЛЬ-ПРОНИКАЮЩЕЙ ХРОМАТОГРАФИИ
Raw rubbers and thermoelastoplasts. Determination of the
molecular-mass distribution by gel permeation chromatography
(ISO 11344:2016, Rubber, raw synthetic - Determination
of the molecular-mass distribution of solution polymers
by gel permeation chromatography, IDT)
ГОСТ Р ИСО 11344-2022
Дата введения
1 июля 2023 года
1 ПОДГОТОВЛЕН Федеральным государственным бюджетным учреждением "Российский институт стандартизации" (ФГБУ "РСТ"), Техническим комитетом по стандартизации ТК 160 "Продукция нефтехимического комплекса" на основе собственного перевода на русский язык англоязычной версии стандарта, указанного в
пункте 4
2 ВНЕСЕН Техническим комитетом по стандартизации ТК 160 "Продукция нефтехимического комплекса"
3 УТВЕРЖДЕН И ВВЕДЕН В ДЕЙСТВИЕ
Приказом Федерального агентства по техническому регулированию и метрологии от 27 июня 2022 г. N 539-ст
4 Настоящий стандарт идентичен международному стандарту ИСО 11344:2016 "Каучук синтетический. Определение молекулярно-массового распределения полимеров растворной полимеризации методом гель-проникающей хроматографии" (ISO 11344:2016 "Rubber, raw synthetic - Determination of the molecular-mass distribution of solution polymers by gel permeation chromatography", IDT).
Стандарт разработан подкомитетом ПК 2 "Испытания и анализ" Технического комитета ТК 45 "Каучук и резиновые изделия" Международной организации по стандартизации (ИСО).
Наименование настоящего стандарта изменено относительно наименования указанного международного стандарта для приведения в соответствие с ГОСТ Р 1.5-2012
(пункт 3.5)
5 ВВЕДЕН ВПЕРВЫЕ
Правила применения настоящего стандарта установлены в статье 26 Федерального закона от 29 июня 2015 г. N 162-ФЗ "О стандартизации в Российской Федерации". Информация об изменениях к настоящему стандарту публикуется в ежегодном (по состоянию на 1 января текущего года) информационном указателе "Национальные стандарты", а официальный текст изменений и поправок - в ежемесячном информационном указателе "Национальные стандарты". В случае пересмотра (замены) или отмены настоящего стандарта соответствующее уведомление будет опубликовано в ближайшем выпуске ежемесячного информационного указателя "Национальные стандарты". Соответствующая информация, уведомление и тексты размещаются также в информационной системе общего пользования - на официальном сайте Федерального агентства по техническому регулированию и метрологии в сети Интернет (www.rst.gov.ru)
Предупреждение 1 - Пользователи настоящего стандарта должны быть знакомы с нормальной лабораторной практикой. В настоящем стандарте не предусмотрено рассмотрение всех вопросов обеспечения безопасности, связанных с его применением. Пользователь настоящего стандарта несет ответственность за разработку соответствующих правил по технике безопасности и охране здоровья, а также определяет целесообразность применения законодательных ограничений перед его использованием.
Предупреждение 2 - В некоторых процедурах, описанных в настоящем стандарте, могут использоваться или образовываться вещества или отходы, которые могут представлять опасность для окружающей среды. Следует использовать документацию по безопасному обращению и утилизации данных веществ после использования.
Настоящий стандарт устанавливает метод определения молекулярной массы в пересчете на полистирол и молекулярно-массового распределения полимеров растворной полимеризации, полностью растворимых в тетрагидрофуране и имеющих диапазон молекулярных масс от 5·103 до 1·106.
Целью настоящего стандарта не является объяснение теории гель-проникающей хроматографии.
Макромолекулы полимера в зависимости от их размера разделяются на фракции на колонке для гель-проникающей хроматографии. Определенное количество разбавленного раствора полимера вводят в поток растворителя, который переносит его через колонку с постоянной скоростью. Концентрацию разделенных молекулярных компонентов в потоке растворителя измеряют подходящим детектором. Используя калибровочную кривую, по времени удерживания и соответствующей концентрации определяют среднечисленную молекулярную массу Mn и среднемассовую молекулярную массу Mw анализируемого материала.
3.1 Гель-проникающая хроматография (ГПХ) [или эксклюзионная хроматография (SEC)] представляет собой особый тип жидкостной хроматографии, которая позволяет разделять фракции полимера в зависимости от размера молекул.
3.2 Не все молекулы полимера имеют одинаковую массу, их массы образуют диапазон различных значений, поэтому классическое понятие молекулярной массы не применимо к полимерным материалам. Вместо этого определены различные средние молекулярные массы, указанные в
таблице 1.
Таблица 1
Определения различных видов молекулярной массы
Вид молекулярной массы | Определение |
Среднемассовая молекулярная масса Mw | ; |
Среднечисленная молекулярная масса Mn | ; |
z-Средняя молекулярная масса Mz | ; |
Пиковая молекулярная масса Mp | Молекулярная масса в максимуме пика |
Где Ni - число молекул с молекулярной массой Mi; Ai - площадь интервала времени удерживания под хроматограммой (слайса), соответствующего молекулярной массе Mi. |
Молекулярно-массовое распределение является важным параметром при определении свойств полимера. Оно может быть представлено индексом полидисперсности D, определяемым по формуле

. (1)
Примечание - Полимеры состоят из макромолекул с разными молекулярными размерами. Даже так называемые монодисперсные полистиролы имеют индекс полидисперсности 1,1 по сравнению со значением 1,0 для чистого соединения с единственной молекулярной массой. При увеличении диапазона размеров молекул полимера увеличивается и индекс полидисперсности.
4.1 Тетрагидрофуран (ТГФ) с 2,6-ди-трет-бутил-4-метилфенолом [бутилгидрокситолуол (БГТ)] или без него, растворитель для подвижной фазы квалификации ч.д.а.
4.2 ТГФ с 2,6-ди-
трет-бутил-4-метилфенолом, растворитель для образца квалификации ч.д.а. (раствор ТГФ с БГТ).
Раствор 2,6-ди-трет-бутил-4-метилфенола в ТГФ доступен в продаже. Для целей настоящего стандарта раствор называют ТГФ с БГТ.
Альтернативно раствор готовят добавлением от 100 до 500 мг БГТ к 1 дм3 ТГФ. Приготовление такого раствора также эффективно, если не получен заметный пик БГТ.
4.3 Набор аттестованных стандартных образцов полистирола (не менее 10) с молекулярными массами в диапазоне от 5·10
2 до 1·10
7 (в зависимости от диапазона молекулярных масс испытуемого образца) и очень узким молекулярно-массовым распределением (
D менее 1,10); пример такого набора приведен в
таблице 2.
Таблица 2
Набор аттестованных стандартных образцов полистирола
Номер стандартного образца | Фактическая молекулярная масса Mi | Индекс полидисперсности D = Mw/Mn |
1 | 1 030 000 | 1,05 |
2 | 770 000 | 1,04 |
3 | 336 000 | 1,03 |
4 | 210 000 | 1,03 |
5 | 156 000 | 1,03 |
6 | 66 000 | 1,03 |
7 | 30 300 | 1,03 |
8 | 22 000 | 1,03 |
9 | 11 600 | 1,03 |
10 | 7000 | 1,04 |
11 | 5050 | 1,05 |
Обычная лабораторная аппаратура, а также следующее:
5.1 Жидкостный хроматограф для гель-проникающей хроматографии, включающий указанные в
5.1.1 -
5.1.8.
5.1.1 Резервуар с растворителем вместимостью, достаточной для выполнения анализа без повторного заполнения.
Примечание - Необходим большой запас ТГФ, чтобы избежать частых пополнений. Изменения количества растворенного воздуха или примесей из-за добавления свежего растворителя вызывают значительные изменения показателя преломления и также могут влиять на время удерживания. Пузырьки воздуха в головке насоса уменьшают количество перекачиваемого растворителя (что приводит к ошибкам в объеме и времени удерживания) и могут заблокировать насос, когда объем пузырьков воздуха достигает чрезмерного уровня.
После добавления свежего растворителя требуется выждать такое количество времени, которое необходимо для получения стабильной базовой линии.
5.1.2 Автоматическая система дегазации или продувки гелием резервуара с растворителем для стабилизации потока растворителя, главным образом для предотвращения образования пузырьков в растворителе.
5.1.3 Насос для обеспечения постоянной скорости течения растворителя ТГФ, программируемой в диапазоне от 0,1 до 2,0 см3/мин с высокой степенью прецизионности.
5.1.4 Инжектор или автоматический пробоотборник с петлевым дозатором вместимостью 100 мм3 (100 мкл).
5.1.5 Колонки, заполненные жесткими пористыми сферами правильной формы. Размер пор набивочного материала колонки выражают в ангстремах

, в диапазоне молекулярной массы или в предельной молекулярной массе исключения по размеру. Набивочные сферы изготавливают из сшитого полистирола, полученного полимеризацией стирола с дивинилбензолом. Сферы должны иметь номинальный диаметр от 3 до 10 мкм. Колонки обычно имеют длину от 150 до 300 мм. Размер пор выбирают в зависимости от диапазона анализируемых молекулярных масс.
Примечание 1 - При определении повторяемости и воспроизводимости настоящего метода использовали четыре колонки с размерами пор

,

,

и

. Растворитель сначала поступает в колонку с самым большим размером пор, а выходит из колонки с самым маленьким размером пор. Допускается использовать другие подходящие колонки, доступные у многих поставщиков.
Примечание 2 - Рекомендуемые характеристики колонки:
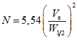
- линейный диапазон в исследуемой области: от 1000 до 400 000 000;
- гарантированная эффективность колонки: более 2400 теоретических тарелок для колонок длиной 150 мм и 4800 теоретических тарелок для колонок длиной 300 мм; для мультимодальных объектов для колонки длиной 300 мм эффективность должна быть не менее 10 000 теоретических тарелок; эффективность колонки выражают числом теоретических тарелок
N (см.
рисунок 1).
Число теоретических тарелок вычисляют по формуле

, (2)
где Ve - объем удерживания до максимума пика;
W1/2 - ширина пика на половине высоты (для Ve и W1/2 используют одинаковые единицы измерения).
Результат выражают как число теоретических тарелок на полную длину колонки;
- число колонок: от двух до четырех колонок (длиной от 150 до 300 мм, внутренним диаметром от 4,6 до 8,0 мм).
1 - ввод образца

. (3)
Рисунок 1 - Определение числа теоретических тарелок
N методом половинной высоты
5.1.6 Детектор
Используют разные типы детекторов, например дифференциальный рефрактометр или УФ-детектор.
5.1.7 Интегратор, способный интегрировать не менее 150 слайсов во время элюирования анализируемого полимера.
5.1.8 Персональный компьютер и программное обеспечение, позволяющие избежать долгих и сложных расчетов вручную.
5.2 Фильтры ПТФЭ размером пор 0,50 или 0,45 мкм.
5.3 Шприцы вместимостью 10 см3 (10 мл) и 250 мм3 (250 мкл).
5.4 Автоколлектор (опционально) со стеклянными виалами.
5.5 Мешалка подходящего типа.
6 Условия проведения испытания
Скорость потока: от 0,2 до 1,0 см3/мин.
Объем ввода: 100 мм3 (100 мкл) раствора или другой объем, подходящий для используемой колонки.
Объем ввода должен соответствовать количеству используемых колонок. Общий объем ввода не должен превышать объема петли. Концентрация вводимого раствора образца должна быть от 0,1 до 5,0 г/дм3.
Температура колонки: 40 °C - 45 °C.
7.1 Дегазация растворителя
Дегазируют 1 дм3 растворителя под вакуумом и/или в ультразвуковой бане в течение 30 мин.
Для получения постоянной базовой линии дегазацию растворителя желательно проводить за 12 ч до использования. Периодически следует промывать колонки в течение 8 ч растворителем ТГФ, дегазированным, как указано выше, для удаления пероксидов, оставшихся в колонке.
При наличии автоматической онлайн-системы дегазации дегазацию, описанную выше, допускается не проводить.
7.2.1 Для калибровки используют стандартные образцы полистирола
(4.3), растворенные в растворе ТГФ с БГТ
(4.2). Для обеспечения постоянного размера пика взвешивают разное количество каждого отдельного стандарта в зависимости от его молекулярной массы, например: 1 г/дм
3 [0,025 г в 25 см
3 раствора
(4.2)] для молекулярных масс примерно до 1 000 000, 5 г/дм
3 [0,125 г в 25 см
3 раствора
(4.2)] для молекулярных масс менее 30 000. Градуировочный график должен охватывать весь диапазон молекулярных масс анализируемого полимера.
7.2.2 Осторожно встряхивают растворы.
7.2.3 Фильтруют каждый раствор через ПТФЭ-фильтр
(5.2), прикрепленный к шприцу вместимостью 10 см
3.
Примечание - Стандартные растворы хранят в холодильнике при температуре от 6 °C до 7 °C не более 3 мес.
7.2.4 Процедура калибровки, описанная в
7.2.4.1 -
7.2.4.5, приведена в качестве примера.
7.2.4.1 Готовят 11 растворов полистирола в соответствии с
таблицей 3.
Таблица 3
Растворы стандартных образцов полистирола
Номер раствора | Концентрация, г в 25 см 3 раствора (см. 4.2) | Фактическая молекулярная масса M |
1 | 0,025 | 1 030 000 |
2 | 0,025 | 770 000 |
3 | 0,030 | 336 000 |
4 | 0,050 | 210 000 |
5 | 0,050 | 156 000 |
6 | 0,075 | 66 000 |
7 | 0,125 | 30 300 |
8 | 0,125 | 22 000 |
9 | 0,125 | 11 600 |
10 | 0,125 | 7000 |
11 | 0,125 | 5050 |
7.2.4.2 При использовании ручного ввода отбирают из каждой виалы по 250 мм3 (250 мкл) раствора стандартного образца, промывают петлевой дозатор и вводят по 100 мкл раствора. Определяют время удерживания, соответствующее пику каждого стандарта. При использовании автоматического пробоотборника следуют инструкциям изготовителя. При необходимости повторяют калибровку.
7.2.4.3 При повторе калибровки определяют среднее время удержания БГТ в каждом повторе и усредняют значение по всем повторам.
7.2.4.4 Строят график зависимости среднего времени удерживания в минутах от соответствующего значения log(
Mi) для каждого стандартного образца и вычисляют наилучшую эмпирическую кривую (см.
рисунок 2).
X - время удерживания, мин; Y - log(Mi)
Рисунок 2 - Калибровочная кривая
7.2.4.5 Коэффициент корреляции должен быть выше 0,9995. В противном случае повторяют процедуру калибровки для стандартов, наиболее отстоящих от кривой на расстояние, соответствующее разности между сертифицированными (фактическими) молекулярными массами и вычисленными молекулярными массами (см.
таблицу 4) с использованием полинома третьей степени, представляющего наилучшую эмпирическую кривую на
рисунке 2.
Таблица 4
Калибровочные данные, соответствующие графику на
рисунке 2
Фактическая молекулярная масса Mi | Время удерживания ti, мин | Вычисленная молекулярная масса |
1 030 000 | 22,08 | 1 049 591 |
770 000 | 22,89 | 749 228 |
336 000 | 25,15 | 323 397 |
210 000 | 26,15 | 231 316 |
156 000 | 27,58 | 147 045 |
66 000 | 30,18 | 66 955 |
30 300 | 32,76 | 29 978 |
22 000 | 33,68 | 22 039 |
11 600 | 35,46 | 11 542 |
7000 | 36,64 | 7163 |
5050 | 37,47 | 4979 |
Для данных, представленных на
рисунке 2, наилучшая эмпирическая кривая задана следующим полиномом третьей степени:

. (4)
Для этих данных коэффициент корреляции составляет 0,99953.
7.3 Приготовление испытуемого раствора
7.3.1 Концентрация испытуемого раствора, указанная в
7.3.2, подходит для большинства случаев, но может варьироваться в зависимости от испытуемого полимера, ожидаемого диапазона молекулярных масс, объемов колонок, типа детектора и объема раствора.
7.3.2 Помещают 0,075 г образца в градуированную колбу вместимостью 50 см
3 и добавляют примерно 35 см
3 профильтрованного (см.
7.2.3) раствора ТГФ с БГТ
(4.2).
7.3.3 Аккуратно перемешивают раствор в шейкере до полного растворения полимера, затем доводят до метки 50 см3 профильтрованным раствором ТГФ с БГТ.
Встряхивают раствор при комнатной температуре для обеспечения полного растворения и гомогенизации; для образцов со средней молярной массой менее 70 000 г/моль можно использовать магнитную мешалку. Не допускается использовать ультразвук из-за риска деструкции, также не следует использовать нагревание. Исключения, например для ПВХ, должны быть обоснованы в протоколе испытаний.
Удаляют нерастворимые посторонние вещества из вводимого раствора подходящими способами, например ультрацентрифугированием, фильтрованием или мембранной фильтрацией. Даже если раствор кажется прозрачным, рекомендуется всегда фильтровать его через мембранные фильтры. Если образец содержит нерастворимые полимерные частицы, например микрогель, в протоколе испытаний должно быть четко указано, что результаты ГПХ относятся только к растворимым компонентам. Внешний вид таких образцов должен быть описан в протоколе испытаний.
7.4 Проведение анализа
7.4.1 Пропускают растворитель через колонки (скорость потока от 0,2 до 1,0 см3/мин) до стабилизации базовой линии.
Примечание - Для некоторых детекторов и наборов колонок потребуется до 7 ч.
7.4.2 После стабилизации базовой линии проводят анализ, как описано ниже, при условиях, указанных в
разделе 6.
7.4.2.1 Отбирают шприцем 10 см
3 испытуемого раствора, приготовленного по
7.3.
7.4.2.2 Фильтруют раствор через PTFE-фильтр
(5.2) непосредственно в виалу.
7.4.2.3 При использовании ручного ввода вводят 250 мм3 (250 мкл) раствора для промывки петлевого дозатора, а затем вводят 100 мкл и начинают анализ. При необходимости повторяют испытание.
Объем удерживания очень чувствителен к количеству вводимого полимера. Если для конкретного образца наблюдают аномальные формы пиков, следует изменить (увеличить или уменьшить) концентрацию вводимого раствора до тех пор, пока разброс вычисленных значений Mw не будет снижен до значения менее 5%.
7.4.2.4 При использовании автоматического пробоотборника следуют инструкциям изготовителя. При необходимости повторяют процедуру.
7.4.2.5 Молекулярные параметры обычно вычисляет интегратор
(5.1.7) с использованием данных, полученных при калибровке.
Примечание - Для вычисления необходимых параметров образца программное обеспечение хроматографа использует калибровочную кривую.
8 Представление результатов
8.1 Результаты считают приемлемыми, если время удерживания маркера БГТ находится в пределах +/- 30 с от значения, полученного при калибровке (см.
7.2). Если это не достигнуто, очищают колонки свежим растворителем, пропуская его не менее 3 ч, а затем снова определяют время удерживания маркера БГТ.
8.2 В случае подтверждения аномального времени удерживания повторно калибруют систему с использованием стандартных образцов полистирола (см.
7.2).
8.3 Программное обеспечение хроматографа позволяет вычислять большое количество данных о молекулярно-массовом распределении (см.
приложение A).
8.4 В протоколе испытания указывают:
a) среднемассовую молекулярную массу Mw;
b) среднечисленную молекулярную массу Mn;
c) z-среднюю молекулярную массу Mz;
d) индекс полидисперсности D = Mw/Mn;
e) пиковую молекулярную массу Mp;
f) площадь пика в процентах, соответствующую присутствующим молекулярным фракциям.
8.5 Если подходящее программное обеспечение недоступно, результаты вычисляют с использованием процедуры, приведенной в
приложении B (вычисление вручную).
8.6 Сравнение результатов, полученных с помощью автоматической процедуры и процедуры вручную, приведено в
приложении C.
Протокол испытаний должен содержать:
a) обозначение настоящего стандарта;
b) все детали, необходимые для идентификации испытуемого образца;
c) тип и количество использованных колонок;
d) тип использованного детектора;
e) набор использованных стандартных образцов полистирола;
f) полученные результаты молекулярной массы:
1) среднемассовую молекулярную массу Mw,
2) среднечисленную молекулярную массу Mn,
3) индекс полидисперсности D = Mw/Mn;
g) любые отклонения от указанной процедуры;
h) любую операцию, не включенную в настоящий стандарт или считающуюся необязательной;
i) дату проведения испытания;
j) использованную процедуру вычисления (программное обеспечение или ручная).
(справочное)
МОЛЕКУЛЯРНО-МАССОВЫЕ ПАРАМЕТРЫ, ОПРЕДЕЛЕННЫЕ НА ХРОМАТОГРАФЕ
С ПРОГРАММНЫМ ОБЕСПЕЧЕНИЕМ
A.1 Общие положения
Программное обеспечение хроматографа позволяет вычислять молекулярно-массовые параметры полимера по его хроматограмме ГПХ и использовать специальную калибровочную кривую, полученную по
7.2.
A.2 Получение хроматограммы
Устанавливают условия проведения испытаний и начинают анализ. Во время анализа кривая ГПХ отображается в реальном времени на экране компьютера (см.
рисунок A.1).
X - время удерживания, мин; Y - отклик детектора
Рисунок A.1 - Полученная хроматограмма ГПХ
A.3 Анализ хроматограммы
A.3.1 В конце цикла (время цикла - 55,0 мин) программным обеспечением вычисляют молекулярные параметры после установки следующих параметров:
a) интервал времени по базовой линии, включающей в себя все пики на хроматограмме.
Примечание 1 - В примере (см.
рисунок A.2) данный интервал составляет от 22,0 до 29,5 мин;
b) соответствующее количество точек данных вокруг экстремумов базовой линии в данном интервале времен, которые позволят программному обеспечению нарисовать прямую линию от одного экстремума к другому для устранения шума;
c) время удерживания пика БГТ с максимальным диапазоном изменения (окно), позволяющее считать хроматограмму приемлемой.
Примечание 2 - В примере (см.
рисунок A.2) время удерживания пика маркера БГТ составляет 45,41 мин с допуском (окном) +/- 30 с. Для вычислений допуск +/- 30 с является предельным, однако на практике используют более узкий допуск +/- 20 с;
d) начальная и конечная точки для интегрирования хроматограммы.
Примечание 3 - В примере (см.
рисунок A.2) начальная точка составляет 23,54 мин, а конечная точка - 28,30 мин;
e) общее количество слайсов хроматограммы между начальной и конечной точками, определенными по
перечислении d).
Примечание 4 - В примере (см.
рисунок A.2) количество слайсов равно 30; как правило, оптимальное количество слайсов составляет 150.
На
рисунке A.2 показана хроматограмма после разделения на слайсы. В
таблице A.1 показаны все параметры каждого слайса, составляющего хроматограмму.
X - время удерживания, мин; Y - отклик детектора
Базовая линия: начало: 22,00 мин, конец: 29,50 мин.
Количество точек данных в интервале базовой линии: 44.
Время удерживания контрольного пика: 45,41 мин, окно: 30 с.
Контрольный пик обнаружен при: 45,42 мин.
Обработка. Начало: 23,54 мин; конец: 28,30 мин.
Количество слайсов: 30.
Рисунок A.2 - Анализ хроматограммы ГПХ
Таблица A.1
Характеристики слайсов хроматограммы ГПХ
Время удерживания ti (в центре слайса), мин | Площадь слайса | Молекулярная масса Mi <a> |
23,6219 | 4306 | 562 357 |
23,7805 | 4043 | 529 530 |
23,9391 | 3862 | 498 958 |
24,0977 | 4875 | 470 462 |
24,2563 | 15 380 | 443 878 |
24,4149 | 72 628 | 419 057 |
24,5735 | 268 561 | 395 863 |
24,7321 | 708 384 | 374 171 |
24,8907 | 1 395 968 | 353 868 |
25,0493 | 2 135 893 | 334 849 |
25,2079 | 2 553 702 | 317 020 |
25,3664 | 2 316 451 | 300 303 |
25,5250 | 1 578 818 | 284 597 |
25,6836 | 859 802 | 269 839 |
25,8422 | 420 762 | 255 962 |
26,0008 | 210 947 | 242 904 |
26,1594 | 119 798 | 230 607 |
26,3180 | 78 122 | 219 019 |
26,4766 | 55 340 | 208 092 |
26,6352 | 40 511 | 197 780 |
26,7938 | 30 408 | 188 043 |
26,9524 | 23 412 | 178 842 |
27,1110 | 18 926 | 170 142 |
27,2695 | 15 512 | 161 916 |
27,4281 | 12 895 | 154 123 |
27,5867 | 10 632 | 146 741 |
27,7453 | 8459 | 139 744 |
27,9039 | 6722 | 133 107 |
28,0625 | 5232 | 126 809 |
28,2211 | 3764 | 120 829 |
<a> Определено по калибровочной кривой (см. рисунок 2). |
A.4 Результаты анализа хроматограммы ГПХ
Окончательные результаты анализа хроматограммы ГПХ приведены в
таблице A.2.
Таблица A.2
Результаты анализа хроматограммы ГПХ
Показатель | Значение |
Среднечисленная молекулярная масса Mn | 316 343 |
Среднемассовая молекулярная масса Mw | 322 380 |
z-Средняя молекулярная масса Mz | 327 646 |
Пиковая молекулярная масса Mp | 323 115 |
Характеристическая вязкость | 1,1460 |
Индекс полидисперсности Mw/Mn | 1,0191 |
Mz/Mw | 1,0163 |
(справочное)
ВЫЧИСЛЕНИЕ МОЛЕКУЛЯРНО-МАССОВЫХ ПАРАМЕТРОВ
ПО ПРОЦЕДУРЕ ВРУЧНУЮ
B.1 Если программное обеспечение недоступно, результаты можно получить по процедуре, приведенной в
B.2 -
B.8.
B.2 Разделяют хроматограмму (см.
рисунок A.1), которая представляет собой график зависимости отклика детектора от времени удерживания в минутах, на равные интервалы времени (слайсы). В приведенном ниже примере хроматограмма была разделена на 16 слайсов (разность между временами удерживания соседних слайсов составляет 0,1586 мин, что равно 9516 мс).
B.3 Для каждого из слайсов строят вертикальную линию от центральной точки на оси времени удерживания до пересечения с хроматограммой. Определяют отклик детектора в точке пересечения и умножают на 1000 для получения (
DR)
i (см. пример на
рисунке B.1).
Рисунок B.1 - Пример анализа хроматограммы вручную
B.4 Записывают время в минутах до центральной точки каждого слайса и переводят значение в миллисекунды.
B.5 Для каждого из этих времен вычисляют значение log(
Mi) по
формуле (4), калибровочной кривой, показанной на
рисунке 1

. (B.1)
B.6 Вычисляют площадь Ai каждого слайса по формуле

, (B.2)
где

- разность между временами удерживания соседних слайсов (9516 мс);
(DR)i - отклик детектора.
Таблица B.1
Номер слайса | Время удерживания ti (в центре слайса) | Отклик детектора (DR)i | Площадь слайса Ai | |
1 | 24,4149 | 7,75 | 73 749 | 419 057 |
2 | 24,5735 | 27,46 | 261 309 | 395 863 |
3 | 24,7321 | 72,60 | 690 862 | 374 171 |
4 | 24,8907 | 133,56 | 1 270 957 | 353 868 |
5 | 25,0493 | 218,19 | 2 076 296 | 334 849 |
6 | 25,2079 | 268,22 | 2 552 382 | 317 020 |
7 | 25,3664 | 247,61 | 2 356 257 | 300 303 |
8 | 25,5250 | 164,38 | 1 564 240 | 284 597 |
9 | 25,6836 | 89,36 | 850 350 | 269 839 |
10 | 25,8422 | 46,10 | 438 688 | 255 962 |
11 | 26,0008 | 23,05 | 219 344 | 242 904 |
12 | 26,1594 | 12,32 | 117 237 | 230 607 |
13 | 26,3180 | 7,45 | 70 894 | 219 019 |
14 | 26,4766 | 5,32 | 50 625 | 208 092 |
15 | 26,6352 | 4,26 | 40 538 | 197 780 |
16 | 26,7938 | 2,84 | 27 025 | 188 043 |
Примечание -  . |
B.7 Для каждого слайса определяют значения
Ai/
Mi и
AiMi, как показано в
таблице B.2.
Таблица B.2
Параметры слайсов хроматограммы ГПХ
Номер слайса | | | Ai/Mi | AiMi·1010 |
1 | 73 749 | 419 057 | 0,1760 | 3,0905 |
2 | 261 309 | 395 863 | 0,6601 | 10,3442 |
3 | 690 862 | 374 171 | 1,8464 | 25,8500 |
4 | 1 270 957 | 353 868 | 3,5916 | 44,9751 |
5 | 2 076 296 | 334 849 | 6,2007 | 69,5245 |
6 | 2 552 382 | 317 020 | 8,0512 | 80,9156 |
7 | 2 356 257 | 300 303 | 7,8463 | 70,7591 |
8 | 1 564 240 | 284 597 | 5,4963 | 44,5178 |
9 | 850 350 | 269 839 | 3,1513 | 22,9457 |
10 | 438 688 | 255 962 | 1,7139 | 11,2287 |
11 | 219 344 | 242 904 | 0,9030 | 5,3279 |
12 | 117 237 | 230 607 | 0,5084 | 2,7035 |
13 | 70 894 | 219 019 | 0,3237 | 1,5527 |
14 | 50 625 | 208 092 | 0,2433 | 1,0534 |
15 | 40 538 | 197 780 | 0,2050 | 0,8017 |
16 | 27 025 | 188 043 | 0,1437 | 0,5081 |
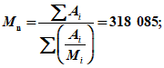
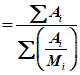
Сумма | 12 660 753 | - | 41,0608 | 396,0991 |
B.8 Вычисляют среднечисловую молекулярную массу, среднемассовую молекулярную массу и индекс полидисперсности по следующим формулам (см.
3.2):

(B.3)
; (B.4)
. (B.5)
(справочное)
СРАВНЕНИЕ РЕЗУЛЬТАТОВ, ПОЛУЧЕННЫХ С ИСПОЛЬЗОВАНИЕМ
АВТОМАТИЧЕСКОЙ ПРОЦЕДУРЫ (ХРОМАТОГРАФА С ПРОГРАММНЫМ
ОБЕСПЕЧЕНИЕМ) И ПРОЦЕДУРЫ ВРУЧНУЮ
Результаты, полученные с помощью двух процедур, описанных в
приложениях A и
B настоящего стандарта, очень близки, о чем свидетельствуют следующие данные:
| Автоматическая процедура | Процедура вручную |
Среднечисленная молекулярная масса Mn | 316 343 | 318 085 |
Среднемассовая молекулярная масса Mw | 322 380 | 322 666 |
Индекс полидисперсности D = Mw/Mn | 1,019 | 1,014 |
(справочное)
ПРЕЦИЗИОННОСТЬ (ТОЛЬКО ДЛЯ ПРОЦЕДУРЫ С ИСПОЛЬЗОВАНИЕМ
ХРОМАТОГРАФА С ПРОГРАММНЫМ ОБЕСПЕЧЕНИЕМ)
D.1 Общие положения
Прецизионность была установлена по результатам программы межлабораторных испытаний (ITP). В программе использовали два образца бутадиен-стирольного блок-сополимера (SBR растворной полимеризации) с бимодальным молекулярно-массовым распределением.
D.2 Результаты ITP по определению прецизионности
D.2.1 Детали программы
В программе испытывали два образца бутадиен-стирольного блок-сополимера (SBR растворной полимеризации) с бимодальным молекулярно-массовым распределением, обозначенных следующим образом:
- S.SBR1 (97) линейный бутадиен-стирольный блок-сополимер;
- S.SBR2 (97) радиальный бутадиен-стирольный блок-сополимер.
Образцы каждого материала были отобраны от однородной гомогенной партии.
Для определения повторяемости получали три результата испытаний одним и тем же методом на номинально идентичных испытуемых материалах при одинаковых условиях (одни и те же оператор, аппаратура и лаборатория) в течение определенного периода времени.
Для определения воспроизводимости получали три результата испытаний одним и тем же методом на номинально идентичных испытуемых материалах в разных условиях (разные операторы, аппаратура и лаборатории) в течение определенного периода времени.
Вычисляли среднемассовую молекулярную массу Mw, среднечисленную молекулярную массу Mn и индекс полидисперсности D = Mw/Mn.
D.2.2 Результаты определения прецизионности
Результаты определения прецизионности приведены в
таблице D.1 для среднемассовой молекулярной массы
Mw, в
таблице D.2 - для среднечисленной молекулярной массы
Mn и в
таблице D.3 - для индекса полидисперсности
D =
Mw/
Mn. Если нет других указаний, доверительная вероятность составляет 95%.
Таблица D.1
Результаты определения прецизионности - среднемассовая
молекулярная масса Mw·10-3
Испытуемый материал | Среднее значение | Внутрилабораторная прецизионность | Межлабораторная прецизионность |
sr | r | (r) | sR | R | (R) |
S.SBR1 (97) | 167,67 | 2,06 | 5,84 | 3,48 | 2,97 | 8,40 | 5,01 |
S.SBR2 (97) | 361,22 | 3,85 | 10,90 | 3,02 | 5,60 | 15,85 | 4,39 |
Таблица D.2
Результаты определения прецизионности - среднечисленная
молекулярная масса Mn·10-3
Испытуемый материал | Среднее значение | Внутрилабораторная прецизионность | Межлабораторная прецизионность |
sr | r | (r) | sR | R | (R) |
S.SBR1 (97) | 138,42 | 1,57 | 4,44 | 3,20 | 25,43 | 71,97 | 52,00 |
S.SBR2 (97) | 268,47 | 8,44 | 23,88 | 8,90 | 42,65 | 120,71 | 44,96 |
Таблица D.3
Результаты определения прецизионности - индекс
полидисперсности D = Mw/Mn
Испытуемый материал | Среднее значение | Внутрилабораторная прецизионность | Межлабораторная прецизионность |
sr | r | (r) | sR | R | (R) |
S.SBR1 (97) | 1,11 | 0,01 | 0,03 | 2,33 | 0,05 | 0,15 | 13,73 |
S.SBR2 (97) | 1,26 | 0,03 | 0,07 | 5,71 | 0,11 | 0,30 | 24,11 |
Для достижения прецизионности, приведенной в
таблицах D.1,
D.2 и
D.3 в других анализах, необходимо уделить особое внимание выбору используемых колонок.
sr - внутрилабораторное стандартное отклонение, единицы измерения;
r - повторяемость, единицы измерения;
(r) - повторяемость, проценты от среднего значения;
sR - межлабораторное стандартное отклонение (для общего межлабораторного разброса), единицы измерения;
R - воспроизводимость, единицы измерения;
(R) - воспроизводимость, проценты от среднего значения.
[1] | | Rubber and rubber products - Determination of precision for test method standards (Резина и резиновые изделия. Определение прецизионности для стандартов на методы испытаний) |
--------------------------------
<1> Действует ISO 19983:2017 "Rubber - Determination of precision of test methods" (Резина. Определение прецизионности методов испытаний).
УДК 678.71:678.012.4:006.354 | |
Ключевые слова: каучуки и термоэластопласты, определение молекулярно-массовых характеристик методом гель-проникающей хроматографии |