Главная // Актуальные документы // ГОСТ Р (Государственный стандарт)СПРАВКА
Источник публикации
М.: ФГБУ "РСТ", 2022
Примечание к документу
Документ
введен в действие с 01.04.2022.
Название документа
"ГОСТ Р 59890-2021. Национальный стандарт Российской Федерации. Автомобильные транспортные средства. Выбросы загрязняющих веществ с отработавшими газами. Технические требования и методы испытаний на базе всемирной согласованной процедуры испытания транспортных средств малой грузоподъемности и испытаний в реальных условиях эксплуатации"
(утв. и введен в действие Приказом Росстандарта от 25.11.2021 N 1604-ст)
"ГОСТ Р 59890-2021. Национальный стандарт Российской Федерации. Автомобильные транспортные средства. Выбросы загрязняющих веществ с отработавшими газами. Технические требования и методы испытаний на базе всемирной согласованной процедуры испытания транспортных средств малой грузоподъемности и испытаний в реальных условиях эксплуатации"
(утв. и введен в действие Приказом Росстандарта от 25.11.2021 N 1604-ст)
Утвержден и введен в действие
по техническому регулированию
и метрологии
от 25 ноября 2021 г. N 1604-ст
НАЦИОНАЛЬНЫЙ СТАНДАРТ РОССИЙСКОЙ ФЕДЕРАЦИИ
АВТОМОБИЛЬНЫЕ ТРАНСПОРТНЫЕ СРЕДСТВА
ВЫБРОСЫ ЗАГРЯЗНЯЮЩИХ ВЕЩЕСТВ С ОТРАБОТАВШИМИ ГАЗАМИ
ТЕХНИЧЕСКИЕ ТРЕБОВАНИЯ И МЕТОДЫ ИСПЫТАНИЙ НА БАЗЕ
ВСЕМИРНОЙ СОГЛАСОВАННОЙ ПРОЦЕДУРЫ ИСПЫТАНИЯ ТРАНСПОРТНЫХ
СРЕДСТВ МАЛОЙ ГРУЗОПОДЪЕМНОСТИ И ИСПЫТАНИЙ
В РЕАЛЬНЫХ УСЛОВИЯХ ЭКСПЛУАТАЦИИ
Motor vehicles. Emissions of pollutants with exhaust
gases. Specifications and test methods based on a globally
harmonized vehicle test procedure light-duty and real-world
testing exploitation
ГОСТ Р 59890-2021
Дата введения
1 апреля 2022 года
1 РАЗРАБОТАН Федеральным государственным унитарным предприятием "Центральный ордена Трудового Красного Знамени научно-исследовательский автомобильный и автомоторный институт "НАМИ" (ФГУП "НАМИ")
2 ВНЕСЕН Техническим комитетом по стандартизации ТК 056 "Дорожный транспорт"
3 УТВЕРЖДЕН И ВВЕДЕН В ДЕЙСТВИЕ
Приказом Федерального агентства по техническому регулированию и метрологии от 25 ноября 2021 г. N 1604-ст
4 ВВЕДЕН ВПЕРВЫЕ
Правила применения настоящего стандарта установлены в статье 26 Федерального закона от 29 июня 2015 г. N 162-ФЗ "О стандартизации в Российской Федерации". Информация об изменениях к настоящему стандарту публикуется в ежегодном (по состоянию на 1 января текущего года) информационном указателе "Национальные стандарты", а официальный текст изменений и поправок - в ежемесячном информационном указателе "Национальные стандарты". В случае пересмотра (замены) или отмены настоящего стандарта соответствующее уведомление будет опубликовано в ближайшем выпуске ежемесячного информационного указателя "Национальные стандарты". Соответствующая информация, уведомление и тексты размещаются также в информационной системе общего пользования - на официальном сайте Федерального агентства по техническому регулированию и метрологии в сети Интернет (www.rst.gov.ru)
За основу настоящего стандарта принят согласованный странами Женевского
соглашения 1998 г. в ГТП N 15 всемирный ездовой цикл испытаний транспортных средств малой грузоподъемности [ВЦИМГ (WLTC)].
ВЦИМГ разработан как динамический цикл. Для его создания ездовые данные всех стран из числа участвующих договаривающихся сторон были собраны и взвешены с учетом относительной доли регионов в глобальном пробеге и данных, собранных для целей всемирной процедуры испытания транспортных средств малой грузоподъемности (ВПИМ).
Затем обработанные ездовые данные были распределены между периодами работы на холостом ходу и поездками на короткие расстояния (т.е. на циклы движения между двумя периодами работы на холостом ходу). С использованием вышеупомянутых весовых коэффициентов были рассчитаны следующие единые вариационные ряды частотности:
- продолжительность поездок на короткие расстояния;
- продолжительность этапов остановки;
- общее распределение фаз скорость - ускорение (v, a) транспортного средства.
Эти вариационные ряды в совокупности со средними показателями скорости транспортного средства, а также продолжительности поездок на короткие расстояния и этапов остановки легли в основу построения скоростной карты ВЦИМГ.
Произвольное объединение этих сегментов позволило получить большое количество предварительных вариантов циклов. Из этой совокупности предварительных вариантов был выбран цикл, параметры которого в наибольшей степени укладывались в указанное выше сочетание средних показателей/вариационных рядов.
Дорожные качества ВЦИМГ были тщательно проанализированы международным сообществом в процессе разработки и подтверждены на трех различных этапах проверки. Для отдельных транспортных средств с ограниченными дорожными качествами, обусловленными низкой удельной мощностью на единицу массы либо ограниченной максимальной скоростью транспортного средства, были разработаны специальные варианты этого цикла. Кроме того, параметры кривой скорости, которой должно следовать испытуемое транспортное средство, будут пропорционально снижены в соответствии с принятым математическим методом в том случае, если для соблюдения хронометража цикла потребуется чрезмерно высокая доля работы при полностью открытой дроссельной заслонке. Для транспортных средств с механической коробкой передач точки переключения передач определяют путем математического расчета, основанного на характеристиках конкретных транспортных средств, что также способствует оптимизации дорожных качеств ВЦИМГ.
Хотя в целом ВПИМ была определена на основе наилучшей технологии из числа существующих в момент ее разработки, внимание также уделялось практическим шагам, облегчающим внедрение процедур ВПИМ на глобальном уровне. Этот вопрос оказал некоторое влияние, в частности, на определение установочных значений и допусков для нескольких параметров испытаний, включая температуру испытания или отклонения от кривой скорости. Кроме того, испытательные центры, не оборудованные самыми современными техническими средствами, должны иметь возможность осуществлять сертификацию в соответствии с ВПИМ, что обусловливает необходимость в более высоких допусках по сравнению с теми, соблюдение которых требовалось бы центрами с более развитой технической базой.
По сравнению с ранее использовавшимися ездовыми циклами ЕСЦ (Правила ООН N 83) ВЦИМГ характеризуется более высокой степенью репрезентативности с точки зрения реальных условий вождения. Таким образом, получения отдачи следует ожидать и в плане информированности потребителей о расходе топлива и потреблении энергии. Кроме того, более репрезентативный ВЦИМГ послужит необходимым стимулом для реализации тех технологий сокращения выбросов CO2 транспортными средствами, которые также являются наиболее эффективными в реальных условиях вождения. Это, в свою очередь, позволит повысить затратоэффективность соответствующей технологии с точки зрения фактического сокращения выбросов CO2 по сравнению с существующими ездовыми циклами, которые являются менее репрезентативными.
Целью настоящего стандарта является установление циклов испытаний транспортных средств малой грузоподъемности для определения уровня выбросов газообразных соединений и взвешенных частиц, количества частиц, выбросов CO2, расхода топлива, топливной экономичности, потребления электроэнергии и запаса хода на электротяге на основе принципов повторяемости и воспроизводимости результатов, который соответствовал бы реальным условиям эксплуатации транспортного средства.
Настоящий стандарт распространяется на транспортные средства (ТС) категорий 1-2 и 2 в соответствии с
[1] и на все ТС категорий 1-1, которые удовлетворяют условиям в отношении эталонных видов топлива, испытательного оборудования и калибровки, изложенным в
[2].
Выбор цикла испытаний зависит от соотношения номинальной мощности испытуемого ТС и его массы в снаряженном состоянии, а также от его максимальной скорости согласно классификации ТС в соответствии с
приложением А.
В настоящем стандарте применены следующие термины с соответствующими определениями:
2.1 Термины, относящиеся к двигателям
2.1.1 рабочий объем поршневого двигателя: Номинальный объем цилиндров.
2.1.2 рабочий объем роторно-поршневого двигателя (двигатель Ванкеля): Двойной номинальный объем камер сгорания для каждого поршня.
2.1.3 рабочий объем цилиндров поршневого двигателя: Номинальный объем цилиндров.
2.1.4 рабочий объем цилиндров роторно-поршневого двигателя (двигатель Ванкеля): Номинальный объем камер сгорания для каждого поршня.
2.2 Термины, относящиеся к испытательному оборудованию
2.2.1 точность: Разница между измеренным значением и контрольным значением, соответствующим национальному стандарту, характеризующая правильность полученного результата.
Рисунок 1 - Определение точности, прецизионности
и контрольного значения
2.2.2 калибровка: Процесс настройки чувствительности системы измерения таким образом, чтобы ее показания соответствовали диапазону эталонных сигналов.
2.2.3 калибровочный газ: Смесь газов, используемая для калибровки газоанализаторов.
2.2.4 метод двойного разбавления потока: Процесс отделения части потока разбавленных отработавших газов и ее последующее смешивание с соответствующим объемом разбавляющего воздуха перед фильтром для отбора проб взвешенных частиц.
2.2.5 система с полным разбавлением потока отработавших газов: Непрерывное разбавление полного потока отработавших газов ТС атмосферным воздухом контролируемым образом с помощью системы отбора проб постоянного объема (CVS).
2.2.6 линеаризация: Использование диапазона концентраций или набора материалов для определения математической связи между концентрацией и чувствительностью системы.
2.2.7 капитальное техническое обслуживание: Регулировка, ремонт или замена соответствующего компонента или модуля, который может отрицательно сказаться на точности измерений.
2.2.8 неметановые углеводороды (NMHC): Совокупность всех углеводородов (THC), за исключением метана (CH4).
2.2.9 прецизионность: Мера сходства результатов, получаемых при повторных измерениях в неизменных условиях, и в настоящем стандарте всегда относится к одному стандартному отклонению.
2.2.10 установочное значение: Целевое значение, которого система контроля стремится достичь.
2.2.11 поверка: Регулировка прибора таким образом, чтобы он надлежащим образом реагировал на калибровочный стандарт, составляющий 75% - 100% максимального значения в реальном или предполагаемом диапазоне эксплуатации прибора.
2.2.12 общее содержание углеводородов (THC): Все летучие соединения, обнаруживаемые плазменно-ионизационным детектором (FID).
2.2.13 проверка: Оценка соответствия показаний системы измерения используемым эталонным сигналам в одном или нескольких заданных допустимых диапазонах для целей определения ее пригодности.
2.2.14 нулевой газ: Газ, не содержащий аналитов и используемый для установления нулевой чувствительности анализатора.
2.2.15 время срабатывания: Разница во времени между моментом изменения компонента, подлежащего измерению в исходной точке, и моментом, в который показания сработавшей системы составляют 90% от конечных показаний (t90) (причем пробоотборник определяется в качестве исходной точки), когда изменение измеряемого компонента составляет, по крайней мере, 60% полной шкалы (FS) и происходит менее чем за 0,1 с.
Примечание - Время срабатывания системы состоит из времени задержки системы и времени восстановления системы.
2.2.16 время задержки: Разница во времени между моментом изменения компонента, подлежащего измерению в исходной точке, и моментом, в который показания сработавшей системы составляют 10% от конечных показаний (t10), причем пробоотборник определяется в качестве исходной точки.
Примечание - В случае газообразных компонентов это время представляет собой время переноса замеряемого компонента от пробоотборника до детектора.
2.2.17 время восстановления: Разница во времени в пределах 10% - 90% конечных показаний времени срабатывания (t90 - t10).
2.3 Термины, относящиеся к дорожной нагрузке и регулировке динамометрического стенда
2.3.1 аэродинамическое сопротивление: Сила, препятствующая поступательному движению ТС в окружающей воздушной среде.
2.3.2 аэродинамическая точка стагнации: Точка на поверхности ТС, в которой скорость ветра равна нулю.
2.3.3 блокировка анемометра: Влияние на показания анемометра присутствия ТС, при котором воспринимаемая скорость воздушного потока отличается от скорости движения ТС с учетом скорости ветра по отношению к грунту.
2.3.4 ограниченный анализ: Определение площади фронтальной поверхности ТС и коэффициента аэродинамического сопротивления по отдельности и использование этих значений в уравнении движения.
2.3.5 масса в снаряженном состоянии: Масса ТС с топливным(и) баком(ами), заполненным(и) не менее чем на 90% его (их) емкости, включая массу водителя, топлива и жидкостей, оснащенного стандартным оборудованием в соответствии с техническими условиями изготовителя, массу кузова, кабины, сцепного устройства и запасного(ых) колеса (колес), в тех случаях, когда они установлены, а также инструментов.
2.3.6 масса водителя: Масса, соответствующая 75 кг, находящаяся в исходной точке сиденья водителя.
2.3.7 максимальная нагрузка на транспортное средство: Технически допустимая максимальная масса в груженом состоянии за вычетом массы в снаряженном состоянии, 25 кг, и массы факультативного оборудования.
2.3.8 факультативное оборудование: Все элементы, которые не входят в стандартную комплектацию, устанавливаются на ТС под ответственность изготовителя и могут быть заказаны покупателем.
2.3.9 масса факультативного оборудования: Максимальная масса любой комбинации элементов факультативного оборудования, которое может быть установлено на ТС в дополнение к стандартному оборудованию в соответствии с техническими условиями изготовителя.
2.3.10
контрольные атмосферные условия (применительно к измерениям дорожной нагрузки): Атмосферные условия, к которым приводятся результаты измерений:
- атмосферное давление, p0 = 100 кПа;
- температура воздуха, T0 = 20 °C;
- плотность сухого воздуха,

;
- скорость ветра = 0 м/с.
2.3.11 контрольная скорость: Скорость ТС, при которой определяют дорожную нагрузку или проверяют нагрузку на динамометрическом стенде.
2.3.12 дорожная нагрузка: Сила, препятствующая поступательному движению ТС и измеряемая с применением метода выбега либо методов, эквивалентных с точки зрения учета потерь на трение в трансмиссии.
2.3.13 сопротивление качению: Силы, действующие на шины ТС и противодействующие его движению.
2.3.14 сопротивление движению: Крутящий момент, противодействующий поступательному движению ТС и измеряемый при помощи датчиков крутящего момента, установленных на его ведомых колесах.
2.3.15 имитируемая дорожная нагрузка: Дорожная нагрузка, которой ТС подвергается на динамометрическом стенде, служащем для воспроизведения дорожной нагрузки в реальных дорожных условиях.
Примечание - Дорожная нагрузка представляет собой сумму сил, прилагаемых динамометрическим стендом, и сил, противодействующих движению установленного на динамометрическом стенде ТС, соответствующая примерно трехкратному коэффициенту квадратного многочлена.
2.3.16 имитируемое сопротивление движению: Сопротивление движению, которое ТС испытывает на динамометрическом стенде, служащем для воспроизведения сопротивления движению в реальных дорожных условиях.
Примечание - Представляет собой сумму величины крутящего момента, прилагаемого динамометрическим стендом, и величины крутящего момента, противодействующего движению установленного на динамометрическом стенде ТС, и соответствует примерно трехкратному коэффициенту квадратного многочлена.
2.3.17 стационарная анемометрия: Измерение скорости и направления ветра при помощи анемометра, расположенного на участке над испытательным треком в одном направлении с ним, где наблюдаются наиболее репрезентативные ветровые условия.
2.3.18 стандартное оборудование: Базовая конфигурация ТС, оборудованного всеми необходимыми элементами в соответствии с нормативными правовыми актами договаривающейся стороны, включая все элементы, установка которых не обусловливает необходимости в определении каких-либо дополнительных технических требований в отношении конфигурации или комплектации.
2.3.19 целевая дорожная нагрузка: Дорожная нагрузка, которую необходимо воспроизвести на динамометрическом стенде.
2.3.20 целевое сопротивление движению: Сопротивление движению, которое необходимо воспроизвести.
2.3.21 движение транспортного средства в режиме выбега: Функциональный режим, обеспечивающий точность и воспроизводимость результатов измерения при определении дорожной нагрузки и точность регулировки динамометра.
2.3.22 поправка на ветер: Поправка на воздействие ветра на дорожную нагрузку исходя из показаний стационарного или бортового анемометра.
2.3.23 технически допустимая максимальная масса в груженом состоянии: Максимальная масса, определенная для ТС на основе особенностей его конструкции и технических характеристик.
2.3.24 фактическая масса транспортного средства: Масса в снаряженном состоянии плюс масса факультативного оборудования, установленного на отдельном ТС.
2.3.25 испытательная масса транспортного средства: Сумма фактической массы ТС плюс 25 кг и массы, соответствующей нагрузке на ТС.
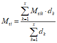
2.3.26 масса, соответствующая нагрузке на транспортное средство: x% максимальной нагрузки на ТС, где x составляет 15% для ТС категории 1 или 28% - для ТС категории 2.
2.3.27
технически допустимая максимальная масса состава в груженом состоянии; МС: Максимальная масса, определенная для состава из механического ТС и одного или нескольких прицепов на основе его конструкционных особенностей и технических характеристик, либо максимальная масса, определенная для состава из тягача и полуприцепа.
2.3.28 соотношение n/v: Частота вращения двигателя, деленная на скорость ТС.
2.3.29 динамометрический стенд с одинарным роликом: Динамометрический стенд, в случае которого каждое колесо на оси ТС соприкасается с одним беговым барабаном.
2.3.30 динамометрический стенд с двойным роликом: Динамометрический стенд, в случае которого каждое колесо на оси ТС соприкасается с двумя беговыми барабанами.
2.3.31 ведущая ось: Ось ТС, которая способна вырабатывать тяговую энергию и/или рекуперировать энергию, независимо от того, возможно это лишь на временной или постоянной основе и/или по выбору водителя.
2.3.32 динамометрический стенд с половинным приводом (ПлП-динамометр): Динамометрический стенд, в случае которого с беговым(и) барабаном(ами) соприкасаются только колеса на одной оси ТС.
2.3.33 полноприводной динамометрический стенд (ПП-динамометр): Динамометрический стенд, в случае которого с беговыми барабанами соприкасаются все колеса на обеих осях ТС.
2.3.34 динамометр, работающий в режиме половинного привода; ПлПР: Динамометрический стенд с половинным приводом, который имитирует силу инерции и дорожную нагрузку только на ведущей оси испытуемого ТС, при этом вращающиеся колеса на оси, не являющейся ведущей, не оказывают влияния на результаты измерений в отличие от ситуации, когда такие колеса не вращаются.
2.3.35 динамометр, работающий в полноприводном режиме; ППР: Полноприводной динамометрический стенд, который имитирует силу инерции и дорожную нагрузку на обеих осях испытуемого ТС.
2.3.36 движение накатом: Функция автоматической коробки передач либо сцепления, которая автоматически отключает двигатель от силовой передачи, когда тяговое усилие больше не требуется или необходимо медленное снижение скорости; в это время двигатель может работать на холостом ходу или отключаться.
2.4 Термины, относящиеся к полным электромобилям, транспортным средствам, работающим только от двигателя внутреннего сгорания, гибридным электромобилям, транспортным средствам на топливных элементах и транспортным средствам, работающим на альтернативном виде топлива
2.4.1 запас хода на одной электротяге; AER: Общее расстояние, пройденное гибридным электромобилем, заряженным с помощью внешнего зарядного устройства от начала испытания в режиме расходования заряда до того момента в ходе испытания, когда двигатель внутреннего сгорания начинает потреблять топливо.
2.4.2 запас хода только на электротяге; PER: Общее расстояние, пройденное полным электромобилем от начала испытания в режиме расходования заряда до того момента, когда будет выполняться граничный критерий.
2.4.3 фактический запас хода в режиме расходования заряда RCDA: Расстояние, пройденное в ходе серии циклов Всемирного цикла испытаний транспортных средств малой грузоподъемности в эксплуатационном режиме расходования заряда до тех пор, пока перезаряжаемая система аккумулирования электроэнергии не будет разряжена.
2.4.4 запас хода в режиме расходования заряда для выполнения цикла RCDC: Расстояние от начала испытания в режиме расходования заряда до конца последнего цикла, предшествующего циклу(ам), удовлетворяющему(им) граничному критерию, включая переходный цикл, в течение которого ТС могло работать как в режиме расходования заряда, так и в режиме его сохранения.
2.4.5 эксплуатационный режим расходования заряда: Рабочий режим, в котором запас энергии, хранящейся в перезаряжаемой системе аккумулирования электроэнергии, может колебаться, но в среднем уменьшается в ходе движения ТС до тех пор, пока не будет осуществлен переход в режим сохранения заряда.
2.4.6 эксплуатационный режим сохранения заряда: Рабочий режим, в котором запас энергии, хранящейся в перезаряжаемой системе аккумулирования электроэнергии, может колебаться, но в среднем в ходе движения ТС баланс заряда поддерживается на нейтральном уровне.
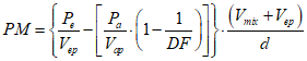
2.4.7 коэффициент полезности: Отношения, определенные исходя из статистических ездовых данных и расстояния, пройденного в режиме расходования заряда, и используемые для вычисления взвешенных значений выбросов химических соединений с отработавшими газами, выбросов CO2 и расхода топлива в режимах расходования и сохранения заряда для гибридного электромобиля, заряжаемого с помощью внешнего зарядного устройства.
2.4.8 преобразователь энергии: Система, в которой вид энергии на выходе отличается от вида энергии на входе.
Примечание - Вид энергии означает:
а) электрическую энергию;
б) механическую энергию;
в) химическую энергию (включая топливо).
2.4.9 устройство преобразования энергии в тягу: Преобразователь энергии силового агрегата, не относящийся к числу периферийных устройств, выходная энергия которого непосредственно или опосредованно используется для приведения ТС в движение.
Примечание - Категория устройства преобразования энергии в тягу означает:
а) двигатель внутреннего сгорания;
б) электрический привод;
в) топливный элемент.
2.4.10 энергоаккумулирующая система: Система для накопления энергии и ее высвобождения в том же виде, в каком осуществлялся ее подвод.
2.4.11 система накопления тяговой энергии: Энергоаккумулирующая система силового агрегата, не относящаяся к числу периферийных устройств, выходная энергия которой непосредственно или опосредованно используется для приведения ТС в движение.
Примечание - Категория системы накопления тяговой энергии означает:
а) систему хранения топлива;
б) перезаряжаемую систему аккумулирования электроэнергии;
в) перезаряжаемую систему аккумулирования механической энергии.
2.4.12 система хранения топлива: Система накопления тяговой энергии, которая служит для хранения химической энергии в виде жидкого или газообразного топлива.
2.4.13 эквивалентный запас хода на одной электротяге; EAER: Часть общего фактического запаса хода в режиме расходования заряда, сопровождающегося потреблением электрической энергии, перезаряжаемой системой аккумулирования электроэнергии, в испытании для определения запаса хода в режиме расходования заряда.
2.4.14 гибридный электромобиль; ГЭМ: Гибридное ТС, в котором одним из устройств преобразования энергии в тягу является электрический привод.
2.4.15 гибридное транспортное средство; ГТС: ТС, оборудованное силовым агрегатом, содержащим не менее двух различных категорий устройств преобразования энергии в тягу и не менее двух различных категорий систем накопления тяговой энергии.
2.4.16 чистое изменение уровня энергии: Изменение уровня энергии перезаряжаемой системы аккумулирования электроэнергии, деленное на величину потребности в электроэнергии, необходимой для выполнения ездовых циклов испытуемым ТС.
2.4.17 гибридный электромобиль, заряжаемый с помощью бортового зарядного устройства; ГЭМ-БЗУ: Гибридный электромобиль, у которого не предусмотрена возможность зарядки от внешнего источника.
2.4.18 гибридный электромобиль, заряжаемый с помощью внешнего зарядного устройства; ГЭМ-ВЗУ: Гибридный электромобиль, у которого предусмотрена возможность зарядки от внешнего источника.
2.4.19 полный электромобиль; ПЭМ: ТС, оборудованное силовым агрегатом, содержащим в качестве устройств преобразования энергии в тягу исключительно электрические приводы, а в качестве систем накопления тяговой энергии - исключительно перезаряжаемые системы аккумулирования электроэнергии.
2.4.20 топливный элемент: Устройство, преобразующее химическую энергию (на входе) в электрическую (на выходе) или наоборот.
2.4.21 транспортное средство на топливных элементах; ТСТЭ: ТС, оборудованное силовым агрегатом, содержащим в качестве устройств(а) преобразования энергии в тягу исключительно топливный(е) элемент(ы) и электрический(е) привод(ы).
2.4.22 гибридное транспортное средство на топливных элементах; ГТСТЭ: ТС на топливных элементах, оборудованное силовым агрегатом, содержащим в качестве систем накопления тяговой энергии не менее одной системы хранения топлива и не менее одной перезаряжаемой системы аккумулирования электроэнергии.
2.4.22.1 гибридное транспортное средство на топливных элементах, заряжаемое с помощью бортового зарядного устройства; ГТСТЭ-БЗУ: Гибридное ТС на топливных элементах, которое не предусматривает возможность зарядки от внешнего источника.
2.4.22.2 гибридное транспортное средство на топливных элементах, заряжаемое с помощью внешнего зарядного устройства; ГТСТЭ-ВЗУ: Гибридное ТС на топливных элементах, которое предусматривает возможность зарядки от внешнего источника.
2.4.23 битопливное транспортное средство: ТС с двумя отдельными системами хранения топлива, которое предназначено для работы в данный момент времени только на одном виде топлива; при этом одновременное использование двух видов топлива ограничено по объему и продолжительности.
2.4.24 битопливное транспортное средство, работающее на газе: Битопливное ТС, в случае которого двумя видами топлива являются бензин (режим работы на бензине), а также сжиженный нефтяной газ, природный газ/биометан либо водород.
2.4.25 транспортное средство, работающее только от двигателя внутреннего сгорания: ТС, у которого все преобразователи энергии, используемые для приведения ТС в движение, представляют собой двигатели внутреннего сгорания.
2.4.26 бортовое зарядное устройство: Преобразователь электроэнергии, поступающей на тяговую перезаряжаемую систему аккумулирования электроэнергии от зарядного разъема ТС.
2.4.27 гибкотопливное транспортное средство: ТС с одной системой хранения топлива, которое может работать на различных смесях из двух или более видов топлива.
2.4.28 гибкотопливное транспортное средство, работающее на этаноле: Гибкотопливное ТС, которое может работать на бензине или на смеси бензина и этанола, содержащей до 85% этанола (E85).
2.4.29 монотопливное транспортное средство: ТС, предназначенное для работы на одном виде топлива.
2.4.30 монотопливное транспортное средство, работающее на газе: Монотопливное ТС, предназначенное для постоянной работы на сжиженном нефтяном газе, природном газе/биометане или водороде, которое может быть также оснащено системой, работающей на бензине, но используемой только для экстренных случаев или для запуска двигателя.
Примечание - Номинальная емкость бензобака монотопливного ТС не должна превышать 15 л.
2.5 Термины, относящиеся к силовому агрегату
2.5.1 силовой агрегат: Устанавливаемый на ТС единый комплекс, состоящий из систем(ы) накопления тяговой энергии, устройств(а) преобразования энергии в тягу и силовых(ой) передач(и) и обеспечивающий механическую энергию, сообщаемую колесам ТС для приведения его в движение, включая периферийные устройства.
2.5.2 вспомогательные устройства: Непериферийные устройства или системы, потребляющие, преобразующие, накапливающие или подающие энергию, которые устанавливаются на ТС для иных целей, нежели приведение его в движение, и в этой связи не рассматриваются в качестве части силового агрегата.
2.5.3 периферийные устройства: Любые устройства, потребляющие, преобразующие, накапливающие или подающие энергию, в которых эта энергия не используется непосредственно или опосредованно для приведения ТС в движение, но которые необходимы для работы силового агрегата и в этой связи рассматриваются в качестве части силового агрегата.
2.5.4 силовая передача: Соединенные между собой элементы силового агрегата, служащие для передачи механической энергии от устройств(а) преобразования энергии в тягу на колеса.
2.5.5 механическая коробка передач: Трансмиссия, в которой переключение передач может осуществляться только в результате действия водителя.
2.6 Общие положения
2.6.1 выбросы основных загрязнителей: Загрязняющие соединения, содержащиеся в отработавших газах, применительно к которым в региональном законодательстве установлены предельные нормы выбросов.
2.6.2 транспортное средство категории 1: Механическое ТС с четырьмя или более колесами, спроектированное и изготовленное для перевозки людей.
2.6.3 транспортное средство категории 1-1: ТС категории 1, имеющее, помимо места водителя, не более восьми мест для сидения.
Примечание - ТС категории 1-1 не может быть использовано для перевозки стоящих пассажиров.
2.6.4 транспортное средство категории 1-2: ТС категории 1, предназначенное для перевозки более восьми сидящих или стоящих пассажиров, не считая водителя.
2.6.5 транспортное средство категории 2: Механическое ТС с четырьмя или более колесами, спроектированное и изготовленное в основном для перевозки грузов.
Примечание - Эта категория включает также:
- тягачи;
- шасси, непосредственно предназначенные для установки на них специального оборудования.
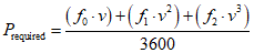
2.6.6 потребность в энергии для выполнения цикла: Расчетная положительная энергия, необходимая для осуществления ТС предписанного испытательного цикла.
2.6.7 блокирующее устройство: Любой элемент конструкции, который с целью активации, модулирования, задержки в срабатывании или отключения любой части системы ограничения выбросов контролирует температуру, скорость ТС, частоту вращения (обороты) двигателя, передаточный механизм, вакуумную систему или любой другой параметр, снижающий эффективность системы ограничения выбросов при обстоятельствах, в отношении которых существуют основания считать, что они могут возникнуть при нормальном функционировании и эксплуатации ТС.
2.6.8 выбираемый водителем режим: Конкретные выбираемые водителем условия, которые способны повлиять на уровень выбросов, или расход топлива, и/или потребление энергии.
2.6.9
преобладающий режим: Один из выбираемых водителем режимов, который выбран при включении силовой установки ТС независимо от того, какой выбираемый водителем режим был задействован перед ее последним выключением, причем его изменение на другой режим не допускается.
Примечание - После включения силовой установки ТС переключение с преобладающего режима на другой выбираемый водителем режим возможно только в результате преднамеренного действия водителя.
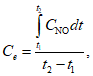
2.6.10 исходные условия (применительно к расчету массы выбросов): Условия, при которых определяют плотность газа, а именно 101,325 кПа и 273,15 К (0 °C).
2.6.11 выбросы отработавших газов: Выбросы газообразных и жидких соединений, а также твердых веществ из выхлопной трубы.
2.6.12 задаваемый режим запуска: Устанавливаемый водителем режим, который водитель может задавать в качестве режима, автоматически выбираемого при включении силовой установки ТС.
Примечание - После включения силовой установки ТС переключение с задаваемого режима запуска на другой режим возможно только в результате преднамеренного действия водителя.
2.7 Термины, относящиеся к выбросам взвешенных частиц/количеству частиц в выбросах
Примечание - Термин "частица" используют применительно к материалу, характеризуемому (измеряемому) в аэрозольном состоянии (взвеси), а термин "взвешенная частица" - применительно к осаждаемому материалу.
2.7.1 количество частиц в выбросах; КЧ: Общее количество твердых частиц в выбросах отработавших газов ТС, определяемое с соблюдением методов разбавления потока, отбора проб и измерения.
2.7.2 выбросы взвешенных частиц; ВЧ: Масса любых взвешенных частиц, содержащихся в отработавших газах ТС, определяемая с соблюдением методов разбавления потока, отбора проб и измерения.
2.8 Термины, относящиеся к всемирному циклу испытаний транспортных средств малой грузоподъемности
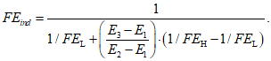
2.8.1 номинальная мощность двигателя Prated: Максимальная полезная мощность двигателя или мотора в кВт.
Примечание - Если номинальная мощность двигателя не определена, то ее заявляет изготовитель в соответствии с
[3].
2.8.2
максимальная скорость vmax: Максимальная скорость движения ТС, как определено договаривающейся стороной.
Примечание - Если максимальная скорость не определена, то ее указывает изготовитель в соответствии с
[2].
2.9 Термины, относящиеся к процедуре
2.9.1
система периодической регенерации: Устройство ограничения выбросов отработавших газов (например, каталитический нейтрализатор, уловитель взвешенных частиц), которое требует периодической регенерации.
3 Обозначения и сокращения
В настоящем стандарте применены следующие обозначения и сокращения:
C1 - углеводород, эквивалентный C1;
C2H6 - этан;
C2H5OH - этанол;
CO - моноксид углерода;
CO2 - диоксид углерода;
H2O - вода;
NH3 - аммиак;
NOx - оксиды азота;
NO - окись азота;
NO2 - диоксид азота;
N2O - закись азота.
БЗП - баланс заряда ПСАЭ;
БЗУ - зарядка с помощью бортового зарядного устройства;
ВГД - вычислительная гидродинамика;
ВЦИМГ - всемирный цикл испытаний транспортных средств малой грузоподъемности;
ГМТС - газомоторное ТС;
ДВС - двигатель внутреннего сгорания;
КСК - коэффициент сопротивления качению;
ПГ/биометан - природный газ/биометан;
ПСАЭ (REESS) - перезаряжаемая система аккумулирования электроэнергии;
СНГ - сжиженный нефтяной газ;
AC - переменный ток;
EAF - суммарное количество этанола, ацетальдегида и формальдегида;
ECD - детектор электронного захвата;
NMC - отделитель неметановых фракций;
PCRF - коэффициент снижения концентрации частиц;
PER - запас хода только на электротяге;
PNC - счетчик количества частиц;
PND1 - первый разбавитель частиц;
VPR - отделитель летучих частиц;
4.1 ТС и его компоненты, которые могут повлиять на уровень выбросов газообразных соединений, взвешенных частиц и количества частиц, должны быть спроектированы, сконструированы и собраны таким образом, чтобы ТС при обычной работе и в условиях воздействия нормальных факторов эксплуатации, связанных с влажностью, атмосферными осадками, высокими и низкими температурами, присутствием песка или грязи, вибрацией, износом и т.д., отвечало положениям настоящего стандарта в течение всего нормативного срока его эксплуатации.
Это также касается надежности всех гибких трубопроводов и их сочленений и соединений, используемых в системах ограничения выбросов.
4.2 Испытуемое ТС должно быть репрезентативным с точки зрения тех его элементов, которые предназначены для ограничения выбросов, и функциональных возможностей планируемой производственной серии, в отношении которой будет предоставлено официальное утверждение. Изготовитель и компетентный орган договариваются о том, какая испытуемая модель ТС является репрезентативной.
4.3 Условия испытания транспортного средства
4.3.1 Типы и количество смазочных материалов и охлаждающей жидкости для испытания на выбросы соответствуют предписаниям изготовителя для нормальной эксплуатации ТС.
4.3.2 Вид топлива для испытания на выбросы должен соответствовать предписаниям, приведенным в
[2] (приложения 10 и 10а).
4.3.3 Все системы ограничения выбросов должны быть в исправном состоянии.
4.3.4 Использование какого-либо блокирующего устройства запрещается.
4.3.5 Двигатель должен быть сконструирован таким образом, чтобы избежать выбросов картерных газов.
4.4 Меры по обеспечению безопасности электронной системы
4.4.1 На любом ТС, оборудованном компьютером для контроля за выбросами, должны быть предусмотрены элементы, исключающие возможность изменения его конструкции, кроме изменений, санкционированных изготовителем. Изготовитель должен выдать разрешение на изменения, если они необходимы для диагностического контроля, обслуживания, осмотра, модернизации или ремонта ТС. Любые перепрограммируемые компьютерные системы команд или эксплуатационные параметры не должны поддаваться изменению и должны иметь меры защиты в любых протоколах связи (см.
[4]). Любые съемные калибровочные чипы должны быть герметизированы, помещены в опломбированный кожух или защищены электронными алгоритмами и не должны поддаваться изменению без использования специальных инструментов и процедур.
4.4.2 Программируемые при помощи компьютера параметры функционирования двигателя не должны поддаваться изменению без использования специальных инструментов и процедур [например, речь идет о запаянных или герметичных элементах компьютера либо опломбированном (или запаянном) защитном кожухе].
4.4.3 Изготовители могут обращаться к компетентному органу с просьбой об освобождении от выполнения одного из этих требований в отношении тех ТС, которые не нуждаются в защите. К числу критериев, подлежащих оценке компетентным органом при рассмотрении вопроса об удовлетворении данной просьбы, относятся, в частности, наличие функциональных чипов, высокие рабочие характеристики ТС и предполагаемый объем продаж ТС.
4.4.4 Изготовители, использующие программируемые системы команд, должны исключить возможность несанкционированного перепрограммирования. Изготовители должны применять усовершенствованные стратегии защиты от несанкционированного вмешательства и обеспечивать защиту от несанкционированной записи для функций, предусматривающих электронный доступ к внешнему компьютеру, обслуживаемому изготовителем. Методы, позволяющие обеспечить адекватный уровень защиты от несанкционированного вмешательства, официально утверждаются компетентным органом.
4.4.5 Использование блокирующих устройств, снижающих эффективность систем ограничения выбросов, запрещается. Это запрещение не применяется в случаях, когда:
- потребность в данном устройстве обусловлена соображениями предохранения двигателя от разрушения или серьезного повреждения и безопасного функционирования ТС;
- данное устройство не работает после запуска двигателя; либо
- соответствующие эксплуатационные условия в основном отражены в методике испытаний для проверки выбросов в результате испарения и среднего уровня выбросов с отработавшими газами.
4.5 Интерполяционное семейство
4.5.1 Интерполяционное семейство для ТС, работающих только от ДВС
4.5.1.1 ТС не могут относиться к одному интерполяционному семейству в любом из следующих случаев, включая сочетание таких случаев:
- они принадлежат к различным классам ТС, указанным в
А.2 (приложение А);
- для них установлены различные уровни пропорционального уменьшения соответствующих параметров, указанные в
А.8 (приложение А);
- для них установлены различные значения предельной скорости, указанные в
А.9 (приложение А).
4.5.1.2 К одному интерполяционному семейству могут относиться только ТС, которые являются идентичными с точки зрения следующих характеристик ТС/силового агрегата/коробки передач:
- тип ДВС: вид топлива (или виды - в случае гибкотопливных или биотопливных ТС), процесс сгорания, рабочий объем цилиндров, характеристики при полной нагрузке, технология двигателя и система зарядки, а также другие подсистемы или характеристики двигателя, которые оказывают существенное влияние на массу выбросов CO2 в условиях ВПИМ;
- принцип работы всех элементов силового агрегата, оказывающих влияние на массу выбросов CO2;
- тип коробки передач (например, механическая, автоматическая, бесступенчатая) и модель коробки передач (например, номинальный крутящий момент, число передач, число дисков сцепления и т.д.);
- разброс соотношений n/v (частота вращения двигателя, деленная на скорость ТС). Это требование считают выполненным, если для всех соответствующих передаточных чисел разница по сравнению с соотношениями n/v наиболее распространенного типа коробки передач находится в пределах 8%;
- число ведущих осей.
4.5.1.3 Если используется альтернативный параметр, например, более высокое значение
nmin_drive, указанное в
перечислении м) Б.2 (приложение Б), либо коэффициент ASM, определенный в
Б.3.4 (приложение Б), то данный параметр должен быть одинаковым для всего интерполяционного семейства.
4.5.2 Интерполяционное семейство для ГЭМ-БЗУ и ГЭМ-ВЗУ
В дополнение к требованиям
4.5.1 к одному интерполяционному семейству могут относиться только ГЭМ-ВЗУ и ГЭМ-БЗУ, которые являются идентичными с точки зрения следующих характеристик:
а) тип и количество электрических приводов: тип конструкции (асинхронный/синхронный и проч.), тип охлаждения (воздушное, жидкостное), а также любые другие характеристики, оказывающие существенное влияние на массу выбросов CO
2 и потребление электроэнергии в условиях ВПИМ;
б) тип тяговой ПСАЭ [модель, емкость, номинальное напряжение, номинальная мощность, тип охлаждения (воздушное, жидкостное)];
в) тип преобразователя электроэнергии на участке "электрический привод - тяговая ПСАЭ", на участке "тяговая ПСАЭ - низковольтный источник питания" и на участке "штепсельное гнездо подзарядки - тяговая ПСАЭ", а также любые другие характеристики, оказывающие существенное влияние на массу выбросов CO2 и потребление электроэнергии в условиях ВПИМ;
г) разница между числом циклов в режиме расходования заряда, считая от начала испытания до (включая его) переходного цикла, не превышает единицы.
4.5.3 Интерполяционное семейство для ПЭМ
К одному интерполяционному семейству могут относиться только ПЭМ, которые являются идентичными с точки зрения следующих характеристик электрического силового агрегата/коробки передач:
а) тип и количество электрических приводов: тип конструкции (асинхронный/синхронный и пр.), тип охлаждения (воздушное, жидкостное), а также любые другие характеристики, оказывающие существенное влияние на потребление электроэнергии и запас хода на электротяге в условиях ВПИМ;
б) тип тяговой ПСАЭ [модель, емкость, номинальное напряжение, номинальная мощность, тип охлаждения (воздушное, жидкостное)];
в) тип коробки передач (например, механическая, автоматическая, бесступенчатая) и модель коробки передач (например, номинальный крутящий момент, число передач, число дисков сцепления и т.д.);
г) число ведущих осей;
д) тип преобразователя электроэнергии на участке "электрический привод - тяговая ПСАЭ", на участке "тяговая ПСАЭ - низковольтный источник питания" и на участке "штепсельное гнездо подзарядки - тяговая ПСАЭ", а также любые другие характеристики, оказывающие существенное влияние на потребление электроэнергии и запас хода на электротяге в условиях ВПИМ;
е) принцип работы всех элементов силового агрегата, оказывающих влияние на потребление электроэнергии;
ж) разброс соотношений n/v (частота вращения двигателя, деленная на скорость ТС). Это требование считают выполненным, если для всех соответствующих передаточных чисел разница по сравнению с соотношениями n/v наиболее распространенного типа и наиболее распространенной модели коробки передач находится в пределах 8%.
4.5.4 Интерполяционное семейство для ГТСТЭ-БЗУ и ГТСТЭ-ВЗУ
К одному интерполяционному семейству могут относиться только ГТСТЭ-БЗУ и ГТСТЭ-ВЗУ, которые являются идентичными с точки зрения следующих характеристик электрического силового агрегата/топливного элемента/коробки передач:
а) тип и количество электрических приводов: тип конструкции (асинхронный/синхронный и пр.), тип охлаждения (воздушное, жидкостное), а также любые другие характеристики, оказывающие существенное влияние на расход топлива (или топливную экономичность) и потребление электроэнергии в условиях ВПИМ;
б) тип топливного элемента [модель, номинальное напряжение, тип охлаждения (воздушное, жидкостное)], а также любые другие подсистемы или характеристики топливного элемента, оказывающие существенное влияние на расход топлива (или топливную экономичность) в условиях ВПИМ;
в) тип тяговой ПСАЭ [модель, емкость, номинальное напряжение, номинальная мощность, тип охлаждения (воздушное, жидкостное)];
г) тип коробки передач (например, механическая, автоматическая, бесступенчатая) и модель коробки передач (например, номинальный крутящий момент, число передач, число дисков сцепления и т.д.);
д) число ведущих осей;
е) тип преобразователя электроэнергии на участке "электрический привод - тяговая ПСАЭ", на участке "тяговая ПСАЭ - низковольтный источник питания" и на участке "штепсельное гнездо подзарядки - тяговая ПСАЭ", а также любые другие характеристики, оказывающие существенное влияние на расход топлива (или топливную экономичность) и потребление электроэнергии в условиях ВПИМ. По просьбе изготовителя и с одобрения компетентного органа в состав семейства могут быть включены преобразователи электроэнергии на участке "штепсельное гнездо подзарядки - тяговая ПСАЭ", характеризующиеся меньшими потерями энергии подзарядки;
ж) принцип работы всех элементов силового агрегата, оказывающих влияние на расход топлива (или топливную экономичность) и потребление электроэнергии;
и) разброс соотношений n/v. Это требование считают выполненным, если для всех соответствующих передаточных чисел разница по сравнению с соотношениями n/v наиболее распространенного типа и наиболее распространенной модели коробки передач находится в пределах 8%.
4.6 Семейство по уровню дорожной нагрузки
К одному семейству по уровню дорожной нагрузки могут относиться только ТС, которые являются идентичными с точки зрения следующих характеристик:
а) тип коробки передач (например, механическая, автоматическая, бесступенчатая) и модель коробки передач (например, номинальный крутящий момент, число передач, число дисков сцепления и т.д.). По просьбе изготовителя и с одобрения компетентного органа в состав семейства может быть включена коробка передач, характеризующаяся меньшими потерями мощности;
б) разброс соотношений n/v (частота вращения двигателя, деленная на скорость ТС). Это требование считают выполненным, если для всех соответствующих передаточных чисел разница по сравнению с передаточными числами наиболее распространенного типа коробки передач находится в пределах 25%;
в) число ведущих осей.
Если при нейтральном положении коробки передач происходит включение по крайней мере одного электрического привода, а ТС не допускает возможность движения в режиме выбега в соответствии с
В.4.2.1.8 (приложение В), так что этот электрический привод никак не влияет на дорожную нагрузку, то применяют критерии согласно
перечислению а) 4.5.2 и
перечислению а) 4.5.3.
При наличии каких-либо различий, помимо массы ТС, значений сопротивления качению и аэродинамических характеристик, оказывающих существенное влияние на дорожную нагрузку, такое ТС рассматривают как относящееся к соответствующему семейству только при условии одобрения со стороны компетентного органа.
4.7 Семейство по матрице дорожных нагрузок
Понятие "семейство по матрице дорожных нагрузок" может применяться в отношении ТС, технически допустимая максимальная масса которых в груженом состоянии не менее 3000 кг.
ТС с технически допустимой максимальной массой в груженом состоянии не менее 2500 кг могут относиться к семейству по матрице дорожных нагрузок при условии, что высота расположения точки R сиденья водителя над уровнем грунта составляет более 850 мм.
"Точка R" означает точку "R" или "контрольную точку места для сидения", как она определена в
[5] (см. пункт 2.4, приложение 1).
К одному семейству по матрице дорожных нагрузок могут относиться только ТС, которые являются идентичными с точки зрения следующих характеристик:
а) тип коробки передач (например, механическая, автоматическая, бесступенчатая);
б) число ведущих осей.
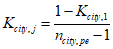
4.8 Семейство систем периодической регенерации (Ki)
К одному семейству систем периодической регенерации могут относиться только ТС, которые являются идентичными с точки зрения следующих характеристик:
а) тип ДВС: вид топлива, процесс сгорания;
б) система периодической регенерации (т.е. каталитический нейтрализатор, уловитель взвешенных частиц);
в) конструкция (т.е. тип корпуса, вид драгоценного металла, тип носителя катализатора, плотность ячеек);
г) тип и принцип работы;
д) объем +/- 10%;
е) расположение (температура +/- 100 °C при второй наивысшей контрольной скорости);
ж) масса каждого ТС в семействе при испытании не превышает аналогичную массу ТС, используемого при испытании на подтверждение Ki, плюс 250 кг.
4.9 Семейство газомоторных транспортных средств
4.9.1 Газомоторные транспортные средства (ГМТС) могут быть объединены в семейство типов ТС, работающих на СНГ или ПГ/биометане, которые идентифицируют по базовому ТС.
4.9.2 Базовое ГМТС - это ТС, отобранное для использования в качестве ТС, на котором предполагается продемонстрировать возможности саморегулировки топливной системы и которое является базовым для семейства ГМТС. Допускается наличие более одного базового ТС в семействе ГМТС.
4.9.3 Транспортные средства, относящиеся к семейству газомоторных транспортных средств
4.9.3.1 К одному семейству ГМТС могут относиться только ТС, имеющие следующие основные характеристики, присущие базовому(ым) ГМТС:
а) они изготавливаются одним и тем же изготовителем;
б) на них распространяются одинаковые предельные нормы выбросов;
в) если топливная система, работающая на газе, оснащена центральным контрольно-измерительным устройством для всего двигателя: номинальная выходная мощность должна составлять от 0,7 до 1,15 от аналогичного параметра базового транспортного средства ГМТС;
г) если топливная система, работающая на газе, оснащена индивидуальным контрольно-измерительным устройством для каждого цилиндра: номинальная выходная мощность должна составлять в расчете на цилиндр от 0,7 до 1,15 от аналогичного параметра базового транспортного средства ГМТС;
д) если топливная система оснащена каталитическим нейтрализатором, то нейтрализатор должен относиться к одному и тому же типу, т.е. трехкомпонентный, окислительный, для NOx;
е) они имеют топливную систему, работающую на газе (включая регуляторы давления), изготовленную одним и тем же изготовителем и относящуюся к одному и тому же типу: всасывание, впрыск распыленной смеси (одноточечный, многоточечный), впрыск жидкости (одноточечный, многоточечный);
ж) функционирование такой газотопливной системы контролируется с помощью электронного управляющего блока (ЭУБ) одного и того же типа с одинаковыми техническими характеристиками, имеющего одинаковые принципы работы на базе микросхем и режим управления. ТС может быть оснащено другим ЭУБ по сравнению с базовым транспортным средством ГМТС при условии, что этот блок служит только для регулировки форсунок, дополнительных запорных клапанов и регистрации данных, поступающих от дополнительных датчиков.
При наличии возможности продемонстрировать, что два газомоторных ТС могут относиться к одному и тому же семейству ТС, за исключением их номинальной выходной мощности, соответственно P1 и P2 (P1 < P2), и если они оба подвергаются испытанию как базовые ТС, их принадлежность к этому семейству считается доказанной для любого ТС, номинальная выходная мощность которого находится в пределах 0,7 P1 - 1,15 P2.
4.10 Определение семейства по признаку использования реагента в системе последующей обработки отработавших газов (РПООГ) (в случае применимости)
К одному семейству по признаку РПООГ могут относиться только ТС, которые являются идентичными с точки зрения следующих характеристик:
- форсунка впрыска реагента (принцип работы, конструкция);
- место расположения форсунки впрыска реагента;
- принцип обнаружения (уровень, дозировка и качество реагента либо уровень реагента и контроль уровня выбросов NOx);
- отображение предупреждения: сообщения, последовательно загорающиеся контрольные сигналы и последовательно подаваемые звуковые сигналы, если таковые предусмотрены;
- стратегия стимулирования действий;
- датчик NOx или датчик контроля за качеством реагента.
Изготовитель и компетентный орган договариваются о том, какая испытуемая модель ТС является репрезентативной для семейства по признаку РПООГ.
5 Эксплуатационные требования
5.1 Процедуры испытаний
5.1.1 Испытание типа 1
Испытания проводят в следующих условиях:
б) надлежащее топливо, указанное в
[2] (приложения 10 и 10а);
в) выбор передачи и определение точки переключения передач в соответствии с
приложением Б;
г) дорожная нагрузка и регулировка динамометрического стенда в соответствии с
приложением В;
д) испытательное оборудование в соответствии с
[2] (приложение 4а);
и) процедура испытаний и методы расчета в соответствии с
приложением Е;
к) определение эквивалентности метода в соответствии с
приложением Ж.
6.1 Если цифра, следующая непосредственно после последнего сохраняемого разряда, меньше 5, то эту цифру оставляют без изменений.
Пример - Если полученный результат составляет 1,234 г, но сохраняют только два знака после запятой, то окончательный результат записывают как 1,23 г.
6.2 Если цифра, следующая непосредственно после последнего сохраняемого разряда, больше или равна 5, то эту цифру увеличивают на единицу.
Пример - Если полученный результат составляет 1,236 г, но сохраняют только два знака после запятой, и поскольку 6 больше 5, то окончательный результат записывают как 1,24 г.
(обязательное)
ВСЕМИРНЫЕ ЦИКЛЫ ИСПЫТАНИЙ ТРАНСПОРТНЫХ СРЕДСТВ
МАЛОЙ ГРУЗОПОДЪЕМНОСТИ
| | ИС МЕГАНОРМ: примечание. В официальном тексте документа, видимо, допущена опечатка: имеется в виду п. 2.8.2, а не 2.9.2. | |
Выбор цикла зависит от соотношения номинальной мощности испытуемого ТС и его массы в снаряженном состоянии минус 75 кг (Вт/кг), а также от его максимальной скорости,
vmax (как она определена в
2.9.2).
Цикл, отвечающий изложенным в настоящем приложении требованиям, именуется как "применимый цикл".
А.2.1 У ТС класса 1 соотношение мощности и массы в снаряженном состоянии минус 75 кг составляет Pmr <= 22 Вт/кг.
А.2.2 У ТС класса 2 соотношение мощности и массы в снаряженном состоянии минус 75 кг составляет 22 Вт/кг < Pmr <= 34 Вт/кг.
А.2.3 У ТС класса 3 соотношение мощности и массы в снаряженном состоянии минус 75 кг составляет Pmr > 34 Вт/кг.
А.2.3.1 ТС класса 3 подразделяют на два подкласса в зависимости от их максимальной скорости, vmax:
ТС класса 3а с vmax < 120 км/ч;
ТС класса 3б с vmax >= 120 км/ч.
А.2.3.2 Все ТС, подвергаемые испытанию в соответствии с
приложением Е, считаются ТС класса 3.
А.3.1 Цикл применительно к классу 1
А.3.1.1 Полный цикл применительно к классу 1 состоит из фазы низкой скорости (Low1), фазы средней скорости (Medium1) и дополнительной фазы низкой скорости (Low1).
А.3.2 Цикл применительно к классу 2
А.3.2.1 Полный цикл применительно к классу 2 состоит из фазы низкой скорости (Low2), фазы средней скорости (Medium2), фазы высокой скорости (High2) и фазы сверхвысокой скорости (Extra High2).
А.3.2.6 По усмотрению договаривающейся стороны фаза сверхвысокой скорости Extra High2 может быть исключена.
А.3.3 Цикл применительно к классу 3
Поскольку ТС класса 3 делятся на два подкласса, то соответствующим образом подразделяют и циклы применительно к классу 3.
А.3.3.1 Цикл применительно к классу 3а
А.3.3.1.1 Полный цикл применительно к классу 3а состоит из фазы низкой скорости (Low3), фазы средней скорости (Medium3а), фазы высокой скорости (High3а) и фазы сверхвысокой скорости (Extra High3).
А.3.3.1.6 По усмотрению договаривающейся стороны фаза сверхвысокой скорости Extra High3 может быть исключена.
А.3.3.2 Цикл применительно к классу 3б
А.3.3.2.1 Полный цикл применительно к классу 3б состоит из фазы низкой скорости (Low3), фазы средней скорости (Medium3б), фазы высокой скорости (High3б) и фазы сверхвысокой скорости (Extra High3).
А.3.3.2.6 По усмотрению договаривающейся стороны фаза сверхвысокой скорости (Extra High3) может быть исключена.
А.3.4 Циклы применительно к классам 1, 2, 3
А.3.4.1 Цикл применительно к классу 1
Первая фаза низкой скорости начинается на 0-й секунде (tstart_low1.1) и завершается на 589-й секунде (tend_low1.1, продолжительность - 589 с).
Фаза средней скорости начинается на 589-й секунде (tstart_medium1) и завершается на 1022-й секунде (tend_medium1, продолжительность - 433 с).
Вторая фаза низкой скорости начинается на 1022-й секунде (tstart_low1.2) и завершается на 1611-й секунде (tend_low1.2, продолжительность - 589 с).
А.3.4.2 Циклы применительно к классам 2 и 3
Фаза низкой скорости начинается на 0-й секунде (tstart_low2, tstart_low3) и завершается на 589-й секунде (tend_low2, tend_low3, продолжительность - 589 с).
Фаза средней скорости начинается на 589-й секунде (tstart_medium2, tstart_medium3) и завершается на 1022-й секунде (tend_medium2, tend_medium3, продолжительность - 433 с).
Фаза высокой скорости начинается на 1022-й секунде (tstart_high2, tstart_high3) и завершается на 1477-й секунде (tend_high2, tend_high3, продолжительность - 455 с).
Фаза сверхвысокой скорости начинается на 1477-й секунде (tstart_exhigh2, tstart_exhigh3) и завершается на 1800-й секунде (tend_exhigh2, tend_exhigh3, продолжительность - 323 с).
А.3.5 Городские циклы ВЦИМГ
ГЭМ-ВЗУ и ПЭМ подвергают испытаниям с использованием ВЦИМГ и городских циклов ВЦИМГ
(приложение Е) применительно к классам 3а и 3б.
Городской цикл ВЦИМГ включает в себя только фазу низкой скорости и фазу средней скорости.
По усмотрению договаривающейся стороны городской цикл ВЦИМГ может быть исключен.
А.4 ВЦИМГ применительно к классу 1
Рисунок А.1 - ВЦИМГ, цикл применительно
к классу 1, фаза Low1.1
Рисунок А.2а - ВЦИМГ, цикл применительно
к классу 1, фаза Medium1
Рисунок А.2б - ВЦИМГ, цикл применительно
к классу 1, фаза Low1.2
Таблица А.1
ВЦИМГ, цикл применительно к классу 1, фаза Low
1.1
(на 589-ю секунду приходится завершение
фазы Low1.1 и начало фазы Medium1)
Время, с | Скорость, км/ч |
0 | 0,0 |
1 | 0,0 |
2 | 0,0 |
3 | 0,0 |
4 | 0,0 |
5 | 0,0 |
6 | 0,0 |
7 | 0,0 |
8 | 0,0 |
9 | 0,0 |
10 | 0,0 |
11 | 0,0 |
12 | 0,2 |
13 | 3,1 |
14 | 5,7 |
15 | 8,0 |
16 | 10,1 |
17 | 12,0 |
18 | 13,8 |
19 | 15,4 |
20 | 16,7 |
21 | 17,7 |
22 | 18,3 |
23 | 18,8 |
24 | 18,9 |
25 | 18,4 |
26 | 16,9 |
27 | 14,3 |
28 | 10,8 |
29 | 7,1 |
30 | 4,0 |
31 | 0,0 |
32 | 0,0 |
33 | 0,0 |
34 | 0,0 |
35 | 1,5 |
36 | 3,8 |
37 | 5,6 |
38 | 7,5 |
39 | 9,2 |
40 | 10,8 |
41 | 12,4 |
42 | 13,8 |
43 | 15,2 |
44 | 16,3 |
45 | 17,3 |
46 | 18,0 |
47 | 18,8 |
48 | 19,5 |
49 | 20,2 |
50 | 20,9 |
51 | 21,7 |
52 | 22,4 |
53 | 23,1 |
54 | 23,7 |
55 | 24,4 |
56 | 25,1 |
57 | 25,4 |
58 | 25,2 |
59 | 23,4 |
60 | 21,8 |
61 | 19,7 |
62 | 17,3 |
63 | 14,7 |
64 | 12,0 |
65 | 9,4 |
66 | 5,6 |
67 | 3,1 |
68 | 0,0 |
69 | 0,0 |
70 | 0,0 |
71 | 0,0 |
72 | 0,0 |
73 | 0,0 |
74 | 0,0 |
75 | 0,0 |
76 | 0,0 |
77 | 0,0 |
78 | 0,0 |
79 | 0,0 |
80 | 0,0 |
81 | 0,0 |
82 | 0,0 |
83 | 0,0 |
84 | 0,0 |
85 | 0,0 |
86 | 0,0 |
87 | 0,0 |
88 | 0,0 |
89 | 0,0 |
90 | 0,0 |
91 | 0,0 |
92 | 0,0 |
93 | 0,0 |
94 | 0,0 |
95 | 0,0 |
96 | 0,0 |
97 | 0,0 |
98 | 0,0 |
99 | 0,0 |
100 | 0,0 |
101 | 0,0 |
102 | 0,0 |
103 | 0,0 |
104 | 0,0 |
105 | 0,0 |
106 | 0,0 |
107 | 0,0 |
108 | 0,7 |
109 | 1,1 |
110 | 1,9 |
111 | 2,5 |
112 | 3,5 |
113 | 4,7 |
114 | 6,1 |
115 | 7,5 |
116 | 9,4 |
117 | 11,0 |
118 | 12,9 |
119 | 14,5 |
120 | 16,4 |
121 | 18,0 |
122 | 20,0 |
123 | 21,5 |
124 | 23,5 |
125 | 25,0 |
126 | 26,8 |
127 | 28,2 |
128 | 30,0 |
129 | 31,4 |
130 | 32,5 |
131 | 33,2 |
132 | 33,4 |
133 | 33,7 |
134 | 33,9 |
135 | 34,2 |
136 | 34,4 |
137 | 34,7 |
138 | 34,9 |
139 | 35,2 |
140 | 35,4 |
141 | 35,7 |
142 | 35,9 |
143 | 36,6 |
144 | 37,5 |
145 | 38,4 |
146 | 39,3 |
147 | 40,0 |
148 | 40,6 |
149 | 41,1 |
150 | 41,4 |
151 | 41,6 |
152 | 41,8 |
153 | 41,8 |
154 | 41,9 |
155 | 41,9 |
156 | 42,0 |
157 | 42,0 |
158 | 42,2 |
159 | 42,3 |
160 | 42,6 |
161 | 43,0 |
162 | 43,3 |
163 | 43,7 |
164 | 44,0 |
165 | 44,3 |
166 | 44,5 |
167 | 44,6 |
168 | 44,6 |
169 | 44,5 |
170 | 44,4 |
171 | 44,3 |
172 | 44,2 |
173 | 44,1 |
174 | 44,0 |
175 | 43,9 |
176 | 43,8 |
177 | 43,7 |
178 | 43,6 |
179 | 43,5 |
180 | 43,4 |
181 | 43,3 |
182 | 43,1 |
183 | 42,9 |
184 | 42,7 |
185 | 42,5 |
186 | 42,3 |
187 | 42,2 |
188 | 42,2 |
189 | 42,2 |
190 | 42,3 |
191 | 42,4 |
192 | 42,5 |
193 | 42,7 |
194 | 42,9 |
195 | 43,1 |
196 | 43,2 |
197 | 43,3 |
198 | 43,4 |
199 | 43,4 |
200 | 43,2 |
201 | 42,9 |
202 | 42,6 |
203 | 42,2 |
204 | 41,9 |
205 | 41,5 |
206 | 41,0 |
207 | 40,5 |
208 | 39,9 |
209 | 39,3 |
210 | 38,7 |
211 | 38,1 |
212 | 37,5 |
213 | 36,9 |
214 | 36,3 |
215 | 35,7 |
216 | 35,1 |
217 | 34,5 |
218 | 33,9 |
219 | 33,6 |
220 | 33,5 |
221 | 33,6 |
222 | 33,9 |
223 | 34,3 |
224 | 34,7 |
225 | 35,1 |
226 | 35,5 |
227 | 35,9 |
228 | 36,4 |
229 | 36,9 |
230 | 37,4 |
231 | 37,9 |
232 | 38,3 |
233 | 38,7 |
234 | 39,1 |
235 | 39,3 |
236 | 39,5 |
237 | 39,7 |
238 | 39,9 |
239 | 40,0 |
240 | 40,1 |
241 | 40,2 |
242 | 40,3 |
243 | 40,4 |
244 | 40,5 |
245 | 40,5 |
246 | 40,4 |
247 | 40,3 |
248 | 40,2 |
249 | 40,1 |
250 | 39,7 |
251 | 38,8 |
252 | 37,4 |
253 | 35,6 |
254 | 33,4 |
255 | 31,2 |
256 | 29,1 |
257 | 27,6 |
258 | 26,6 |
259 | 26,2 |
260 | 26,3 |
261 | 26,7 |
262 | 27,5 |
263 | 28,4 |
264 | 29,4 |
265 | 30,4 |
266 | 31,2 |
267 | 31,9 |
268 | 32,5 |
269 | 33,0 |
270 | 33,4 |
271 | 33,8 |
272 | 34,1 |
273 | 34,3 |
274 | 34,3 |
275 | 33,9 |
276 | 33,3 |
277 | 32,6 |
278 | 31,8 |
279 | 30,7 |
280 | 29,6 |
281 | 28,6 |
282 | 27,8 |
283 | 27,0 |
284 | 26,4 |
285 | 25,8 |
286 | 25,3 |
287 | 24,9 |
288 | 24,5 |
289 | 24,2 |
290 | 24,0 |
291 | 23,8 |
292 | 23,6 |
293 | 23,5 |
294 | 23,4 |
295 | 23,3 |
296 | 23,3 |
297 | 23,2 |
298 | 23,1 |
299 | 23,0 |
300 | 22,8 |
301 | 22,5 |
302 | 22,1 |
303 | 21,7 |
304 | 21,1 |
305 | 20,4 |
306 | 19,5 |
307 | 18,5 |
308 | 17,6 |
309 | 16,6 |
310 | 15,7 |
311 | 14,9 |
312 | 14,3 |
313 | 14,1 |
314 | 14,0 |
315 | 13,9 |
316 | 13,8 |
317 | 13,7 |
318 | 13,6 |
319 | 13,5 |
320 | 13,4 |
321 | 13,3 |
322 | 13,2 |
323 | 13,2 |
324 | 13,2 |
325 | 13,4 |
326 | 13,5 |
327 | 13,7 |
328 | 13,8 |
329 | 14,0 |
330 | 14,1 |
331 | 14,3 |
332 | 14,4 |
333 | 14,4 |
334 | 14,4 |
335 | 14,3 |
336 | 14,3 |
337 | 14,0 |
338 | 13,0 |
339 | 11,4 |
340 | 10,2 |
341 | 8,0 |
342 | 7,0 |
343 | 6,0 |
344 | 5,5 |
345 | 5,0 |
346 | 4,5 |
347 | 4,0 |
348 | 3,5 |
349 | 3,0 |
350 | 2,5 |
351 | 2,0 |
352 | 1,5 |
353 | 1,0 |
354 | 0,5 |
355 | 0,0 |
356 | 0,0 |
357 | 0,0 |
358 | 0,0 |
359 | 0,0 |
360 | 0,0 |
361 | 2,2 |
362 | 4,5 |
363 | 6,6 |
364 | 8,6 |
365 | 10,6 |
366 | 12,5 |
367 | 14,4 |
368 | 16,3 |
369 | 17,9 |
370 | 19,1 |
371 | 19,9 |
372 | 20,3 |
373 | 20,5 |
374 | 20,7 |
375 | 21,0 |
376 | 21,6 |
377 | 22,6 |
378 | 23,7 |
379 | 24,8 |
380 | 25,7 |
381 | 26,2 |
382 | 26,4 |
383 | 26,4 |
384 | 26,4 |
385 | 26,5 |
386 | 26,6 |
387 | 26,8 |
388 | 26,9 |
389 | 27,2 |
390 | 27,5 |
391 | 28,0 |
392 | 28,8 |
393 | 29,9 |
394 | 31,0 |
395 | 31,9 |
396 | 32,5 |
397 | 32,6 |
398 | 32,4 |
399 | 32,0 |
400 | 31,3 |
401 | 30,3 |
402 | 28,0 |
403 | 27,0 |
404 | 24,0 |
405 | 22,5 |
406 | 19,0 |
407 | 17,5 |
408 | 14,0 |
409 | 12,5 |
410 | 9,0 |
411 | 7,5 |
412 | 4,0 |
413 | 2,9 |
414 | 0,0 |
415 | 0,0 |
416 | 0,0 |
417 | 0,0 |
418 | 0,0 |
419 | 0,0 |
420 | 0,0 |
421 | 0,0 |
422 | 0,0 |
423 | 0,0 |
424 | 0,0 |
425 | 0,0 |
426 | 0,0 |
427 | 0,0 |
428 | 0,0 |
429 | 0,0 |
430 | 0,0 |
431 | 0,0 |
432 | 0,0 |
433 | 0,0 |
434 | 0,0 |
435 | 0,0 |
436 | 0,0 |
437 | 0,0 |
438 | 0,0 |
439 | 0,0 |
440 | 0,0 |
441 | 0,0 |
442 | 0,0 |
443 | 0,0 |
444 | 0,0 |
445 | 0,0 |
446 | 0,0 |
447 | 0,0 |
448 | 0,0 |
449 | 0,0 |
450 | 0,0 |
451 | 0,0 |
452 | 0,0 |
453 | 0,0 |
454 | 0,0 |
455 | 0,0 |
456 | 0,0 |
457 | 0,0 |
458 | 0,0 |
459 | 0,0 |
460 | 0,0 |
461 | 0,0 |
462 | 0,0 |
463 | 0,0 |
464 | 0,0 |
465 | 0,0 |
466 | 0,0 |
467 | 0,0 |
468 | 0,0 |
469 | 0,0 |
470 | 0,0 |
471 | 0,0 |
472 | 0,0 |
473 | 0,0 |
474 | 0,0 |
475 | 0,0 |
476 | 0,0 |
477 | 0,0 |
478 | 0,0 |
479 | 0,0 |
480 | 0,0 |
481 | 1,6 |
482 | 3,1 |
483 | 4,6 |
484 | 6,1 |
485 | 7,8 |
486 | 9,5 |
487 | 11,3 |
488 | 13,2 |
489 | 15,0 |
490 | 16,8 |
491 | 18,4 |
492 | 20,1 |
493 | 21,6 |
494 | 23,1 |
495 | 24,6 |
496 | 26,0 |
497 | 27,5 |
498 | 29,0 |
499 | 30,6 |
500 | 32,1 |
501 | 33,7 |
502 | 35,3 |
503 | 36,8 |
504 | 38,1 |
505 | 39,3 |
506 | 40,4 |
507 | 41,2 |
508 | 41,9 |
509 | 42,6 |
510 | 43,3 |
511 | 44,0 |
512 | 44,6 |
513 | 45,3 |
514 | 45,5 |
515 | 45,5 |
516 | 45,2 |
517 | 44,7 |
518 | 44,2 |
519 | 43,6 |
520 | 43,1 |
521 | 42,8 |
522 | 42,7 |
523 | 42,8 |
524 | 43,3 |
525 | 43,9 |
526 | 44,6 |
527 | 45,4 |
528 | 46,3 |
529 | 47,2 |
530 | 47,8 |
531 | 48,2 |
532 | 48,5 |
533 | 48,7 |
534 | 48,9 |
535 | 49,1 |
536 | 49,1 |
537 | 49,0 |
538 | 48,8 |
539 | 48,6 |
540 | 48,5 |
541 | 48,4 |
542 | 48,3 |
543 | 48,2 |
544 | 48,1 |
545 | 47,5 |
546 | 46,7 |
547 | 45,7 |
548 | 44,6 |
549 | 42,9 |
550 | 40,8 |
551 | 38,2 |
552 | 35,3 |
553 | 31,8 |
554 | 28,7 |
555 | 25,8 |
556 | 22,9 |
557 | 20,2 |
558 | 17,3 |
559 | 15,0 |
560 | 12,3 |
561 | 10,3 |
562 | 7,8 |
563 | 6,5 |
564 | 4,4 |
565 | 3,2 |
566 | 1,2 |
567 | 0,0 |
568 | 0,0 |
569 | 0,0 |
570 | 0,0 |
571 | 0,0 |
572 | 0,0 |
573 | 0,0 |
574 | 0,0 |
575 | 0,0 |
576 | 0,0 |
577 | 0,0 |
578 | 0,0 |
579 | 0,0 |
580 | 0,0 |
581 | 0,0 |
582 | 0,0 |
583 | 0,0 |
584 | 0,0 |
585 | 0,0 |
586 | 0,0 |
587 | 0,0 |
588 | 0,0 |
589 | 0,0 |
Таблица А.2
ВЦИМГ, цикл применительно к классу 1, фаза Medium
1
(начало этой фазы приходится на 589-ю секунду)
Время, с | Скорость, км/ч |
590 | 0,0 |
591 | 0,0 |
592 | 0,0 |
593 | 0,0 |
594 | 0,0 |
595 | 0,0 |
596 | 0,0 |
597 | 0,0 |
598 | 0,0 |
599 | 0,0 |
600 | 0,6 |
601 | 1,9 |
602 | 2,7 |
603 | 5,2 |
604 | 7,0 |
605 | 9,6 |
606 | 11,4 |
607 | 14,1 |
608 | 15,8 |
609 | 18,2 |
610 | 19,7 |
611 | 21,8 |
612 | 23,2 |
613 | 24,7 |
614 | 25,8 |
615 | 26,7 |
616 | 27,2 |
617 | 27,7 |
618 | 28,1 |
619 | 28,4 |
620 | 28,7 |
621 | 29,0 |
622 | 29,2 |
623 | 29,4 |
624 | 29,4 |
625 | 29,3 |
626 | 28,9 |
627 | 28,5 |
628 | 28,1 |
629 | 27,6 |
630 | 26,9 |
631 | 26,0 |
632 | 24,6 |
633 | 22,8 |
634 | 21,0 |
635 | 19,5 |
636 | 18,6 |
637 | 18,4 |
638 | 19,0 |
639 | 20,1 |
640 | 21,5 |
641 | 23,1 |
642 | 24,9 |
643 | 26,4 |
644 | 27,9 |
645 | 29,2 |
646 | 30,4 |
647 | 31,6 |
648 | 32,8 |
649 | 34,0 |
650 | 35,1 |
651 | 36,3 |
652 | 37,4 |
653 | 38,6 |
654 | 39,6 |
655 | 40,6 |
656 | 41,6 |
657 | 42,4 |
658 | 43,0 |
659 | 43,6 |
660 | 44,0 |
661 | 44,4 |
662 | 44,8 |
663 | 45,2 |
664 | 45,6 |
665 | 46,0 |
666 | 46,5 |
667 | 47,0 |
668 | 47,5 |
669 | 48,0 |
670 | 48,6 |
671 | 49,1 |
672 | 49,7 |
673 | 50,2 |
674 | 50,8 |
675 | 51,3 |
676 | 51,8 |
677 | 52,3 |
678 | 52,9 |
679 | 53,4 |
680 | 54,0 |
681 | 54,5 |
682 | 55,1 |
683 | 55,6 |
684 | 56,2 |
685 | 56,7 |
686 | 57,3 |
687 | 57,9 |
688 | 58,4 |
689 | 58,8 |
690 | 58,9 |
691 | 58,4 |
692 | 58,1 |
693 | 57,6 |
694 | 56,9 |
695 | 56,3 |
696 | 55,7 |
697 | 55,3 |
698 | 55,0 |
699 | 54,7 |
700 | 54,5 |
701 | 54,4 |
702 | 54,3 |
703 | 54,2 |
704 | 54,1 |
705 | 53,8 |
706 | 53,5 |
707 | 53,0 |
708 | 52,6 |
709 | 52,2 |
710 | 51,9 |
711 | 51,7 |
712 | 51,7 |
713 | 51,8 |
714 | 52,0 |
715 | 52,3 |
716 | 52,6 |
717 | 52,9 |
718 | 53,1 |
719 | 53,2 |
720 | 53,3 |
721 | 53,3 |
722 | 53,4 |
723 | 53,5 |
724 | 53,7 |
725 | 54,0 |
726 | 54,4 |
727 | 54,9 |
728 | 55,6 |
729 | 56,3 |
730 | 57,1 |
731 | 57,9 |
732 | 58,8 |
733 | 59,6 |
734 | 60,3 |
735 | 60,9 |
737 | 61,7 |
738 | 61,8 |
739 | 61,8 |
740 | 61,6 |
741 | 61,2 |
742 | 60,8 |
743 | 60,4 |
744 | 59,9 |
745 | 59,4 |
746 | 58,9 |
747 | 58,6 |
748 | 58,2 |
749 | 57,9 |
750 | 57,7 |
751 | 57,5 |
752 | 57,2 |
753 | 57,0 |
754 | 56,8 |
755 | 56,6 |
756 | 56,6 |
757 | 56,7 |
758 | 57,1 |
759 | 57,6 |
760 | 58,2 |
761 | 59,0 |
762 | 59,8 |
763 | 60,6 |
764 | 61,4 |
765 | 62,2 |
766 | 62,9 |
767 | 63,5 |
768 | 64,2 |
769 | 64,4 |
770 | 64,4 |
771 | 64,0 |
772 | 63,5 |
773 | 62,9 |
774 | 62,4 |
775 | 62,0 |
776 | 61,6 |
777 | 61,4 |
778 | 61,2 |
779 | 61,0 |
780 | 60,7 |
781 | 60,2 |
782 | 59,6 |
783 | 58,9 |
784 | 58,1 |
785 | 57,2 |
786 | 56,3 |
787 | 55,3 |
788 | 54,4 |
789 | 53,4 |
790 | 52,4 |
791 | 51,4 |
792 | 50,4 |
793 | 49,4 |
794 | 48,5 |
795 | 47,5 |
796 | 46,5 |
797 | 45,4 |
798 | 44,3 |
799 | 43,1 |
800 | 42,0 |
801 | 40,8 |
802 | 39,7 |
803 | 38,8 |
804 | 38,1 |
805 | 37,4 |
806 | 37,1 |
807 | 36,9 |
808 | 37,0 |
809 | 37,5 |
810 | 37,8 |
811 | 38,2 |
812 | 38,6 |
813 | 39,1 |
814 | 39,6 |
815 | 40,1 |
816 | 40,7 |
817 | 41,3 |
818 | 41,9 |
819 | 42,7 |
820 | 43,4 |
821 | 44,2 |
822 | 45,0 |
823 | 45,9 |
824 | 46,8 |
825 | 47,7 |
826 | 48,7 |
827 | 49,7 |
828 | 50,6 |
829 | 51,6 |
830 | 52,5 |
831 | 53,3 |
832 | 54,1 |
833 | 54,7 |
834 | 55,3 |
835 | 55,7 |
836 | 56,1 |
837 | 56,4 |
838 | 56,7 |
839 | 57,1 |
840 | 57,5 |
841 | 58,0 |
842 | 58,7 |
843 | 59,3 |
844 | 60,0 |
846 | 61,3 |
847 | 61,5 |
848 | 61,5 |
849 | 61,4 |
850 | 61,2 |
851 | 60,5 |
852 | 60,0 |
853 | 59,5 |
854 | 58,9 |
855 | 58,4 |
856 | 57,9 |
857 | 57,5 |
858 | 57,1 |
859 | 56,7 |
860 | 56,4 |
861 | 56,1 |
862 | 55,8 |
863 | 55,5 |
864 | 55,3 |
865 | 55,0 |
866 | 54,7 |
867 | 54,4 |
868 | 54,2 |
869 | 54,0 |
870 | 53,9 |
871 | 53,7 |
872 | 53,6 |
873 | 53,5 |
874 | 53,4 |
875 | 53,3 |
876 | 53,2 |
877 | 53,1 |
878 | 53,0 |
879 | 53,0 |
880 | 53,0 |
881 | 53,0 |
882 | 53,0 |
883 | 53,0 |
884 | 52,8 |
885 | 52,5 |
886 | 51,9 |
887 | 51,1 |
888 | 50,2 |
889 | 49,2 |
890 | 48,2 |
891 | 47,3 |
892 | 46,4 |
893 | 45,6 |
894 | 45,0 |
895 | 44,3 |
896 | 43,8 |
897 | 43,3 |
898 | 42,8 |
899 | 42,4 |
900 | 42,0 |
901 | 41,6 |
902 | 41,1 |
903 | 40,3 |
904 | 39,5 |
905 | 38,6 |
906 | 37,7 |
907 | 36,7 |
908 | 36,2 |
909 | 36,0 |
910 | 36,2 |
911 | 37,0 |
912 | 38,0 |
913 | 39,0 |
914 | 39,7 |
915 | 40,2 |
916 | 40,7 |
917 | 41,2 |
918 | 41,7 |
919 | 42,2 |
920 | 42,7 |
921 | 43,2 |
922 | 43,6 |
923 | 44,0 |
924 | 44,2 |
925 | 44,4 |
926 | 44,5 |
927 | 44,6 |
928 | 44,7 |
929 | 44,6 |
930 | 44,5 |
931 | 44,4 |
932 | 44,2 |
933 | 44,1 |
934 | 43,7 |
935 | 43,3 |
936 | 42,8 |
937 | 42,3 |
938 | 41,6 |
939 | 40,7 |
940 | 39,8 |
941 | 38,8 |
942 | 37,8 |
943 | 36,9 |
944 | 36,1 |
945 | 35,5 |
946 | 35,0 |
947 | 34,7 |
948 | 34,4 |
949 | 34,1 |
950 | 33,9 |
951 | 33,6 |
952 | 33,3 |
953 | 33,0 |
955 | 32,3 |
956 | 31,9 |
957 | 31,5 |
958 | 31,0 |
959 | 30,6 |
960 | 30,2 |
961 | 29,7 |
962 | 29,1 |
963 | 28,4 |
964 | 27,6 |
965 | 26,8 |
966 | 26,0 |
967 | 25,1 |
968 | 24,2 |
969 | 23,3 |
970 | 22,4 |
971 | 21,5 |
972 | 20,6 |
973 | 19,7 |
974 | 18,8 |
975 | 17,7 |
976 | 16,4 |
977 | 14,9 |
978 | 13,2 |
979 | 11,3 |
980 | 9,4 |
981 | 7,5 |
982 | 5,6 |
983 | 3,7 |
984 | 1,9 |
985 | 1,0 |
986 | 0,0 |
987 | 0,0 |
988 | 0,0 |
989 | 0,0 |
990 | 0,0 |
991 | 0,0 |
992 | 0,0 |
993 | 0,0 |
994 | 0,0 |
995 | 0,0 |
996 | 0,0 |
997 | 0,0 |
998 | 0,0 |
999 | 0,0 |
1000 | 0,0 |
1001 | 0,0 |
1002 | 0,0 |
1003 | 0,0 |
1004 | 0,0 |
1005 | 0,0 |
1006 | 0,0 |
1007 | 0,0 |
1008 | 0,0 |
1009 | 0,0 |
1010 | 0,0 |
1011 | 0,0 |
1012 | 0,0 |
1013 | 0,0 |
1014 | 0,0 |
1015 | 0,0 |
1016 | 0,0 |
1017 | 0,0 |
1018 | 0,0 |
1019 | 0,0 |
1020 | 0,0 |
1021 | 0,0 |
1022 | 0,0 |
Таблица А.3
ВЦИМГ, цикл применительно к классу 1, фаза Low
1.2
(на 1022-ю секунду приходится завершение фазы
Medium1 и начало фазы Low1.2)
Время, с | Скорость, км/ч |
1023 | 0,0 |
1024 | 0,0 |
1025 | 0,0 |
1026 | 0,0 |
1027 | 0,0 |
1028 | 0,0 |
1029 | 0,0 |
1030 | 0,0 |
1031 | 0,0 |
1032 | 0,0 |
1033 | 0,0 |
1034 | 0,2 |
1035 | 3,1 |
1036 | 5,7 |
1037 | 8,0 |
1038 | 10,1 |
1039 | 12,0 |
1040 | 13,8 |
1041 | 15,4 |
1042 | 16,7 |
1043 | 17,7 |
1044 | 18,3 |
1045 | 18,8 |
1046 | 18,9 |
1047 | 18,4 |
1048 | 16,9 |
1049 | 14,3 |
1050 | 10,8 |
1051 | 7,1 |
1052 | 4,0 |
1053 | 0,0 |
1054 | 0,0 |
1055 | 0,0 |
1056 | 0,0 |
1057 | 1,5 |
1058 | 3,8 |
1059 | 5,6 |
1060 | 7,5 |
1061 | 9,2 |
1062 | 10,8 |
1063 | 12,4 |
1064 | 13,8 |
1065 | 15,2 |
1066 | 16,3 |
1067 | 17,3 |
1068 | 18,0 |
1069 | 18,8 |
1070 | 19,5 |
1071 | 20,2 |
1072 | 20,9 |
1073 | 21,7 |
1074 | 22,4 |
1075 | 23,1 |
1076 | 23,7 |
1077 | 24,4 |
1078 | 25,1 |
1079 | 25,4 |
1080 | 25,2 |
1081 | 23,4 |
1082 | 21,8 |
1083 | 19,7 |
1084 | 17,3 |
1085 | 14,7 |
1086 | 12,0 |
1087 | 9,4 |
1088 | 5,6 |
1089 | 3,1 |
1090 | 0,0 |
1091 | 0,0 |
1092 | 0,0 |
1093 | 0,0 |
1094 | 0,0 |
1095 | 0,0 |
1096 | 0,0 |
1097 | 0,0 |
1098 | 0,0 |
1099 | 0,0 |
1100 | 0,0 |
1101 | 0,0 |
1102 | 0,0 |
1103 | 0,0 |
1104 | 0,0 |
1105 | 0,0 |
1106 | 0,0 |
1107 | 0,0 |
1108 | 0,0 |
1109 | 0,0 |
1110 | 0,0 |
1111 | 0,0 |
1112 | 0,0 |
1113 | 0,0 |
1114 | 0,0 |
1115 | 0,0 |
1116 | 0,0 |
1117 | 0,0 |
1118 | 0,0 |
1119 | 0,0 |
1120 | 0,0 |
1121 | 0,0 |
1122 | 0,0 |
1123 | 0,0 |
1124 | 0,0 |
1125 | 0,0 |
1126 | 0,0 |
1127 | 0,0 |
1128 | 0,0 |
1129 | 0,0 |
1130 | 0,7 |
1131 | 1,1 |
1132 | 1,9 |
1133 | 2,5 |
1134 | 3,5 |
1135 | 4,7 |
1136 | 6,1 |
1137 | 7,5 |
1138 | 9,4 |
1139 | 11,0 |
1140 | 12,9 |
1141 | 14,5 |
1142 | 16,4 |
1143 | 18,0 |
1144 | 20,0 |
1145 | 21,5 |
1146 | 23,5 |
1147 | 25,0 |
1148 | 26,8 |
1149 | 28,2 |
1150 | 30,0 |
1151 | 31,4 |
1152 | 32,5 |
1153 | 33,2 |
1154 | 33,4 |
1155 | 33,7 |
1156 | 33,9 |
1157 | 34,2 |
1158 | 34,4 |
1159 | 34,7 |
1160 | 34,9 |
1161 | 35,2 |
1162 | 35,4 |
1163 | 35,7 |
1164 | 35,9 |
1165 | 36,6 |
1166 | 37,5 |
1167 | 38,4 |
1168 | 39,3 |
1169 | 40,0 |
1170 | 40,6 |
1171 | 41,1 |
1172 | 41,4 |
1173 | 41,6 |
1174 | 41,8 |
1175 | 41,8 |
1176 | 41,9 |
1177 | 41,9 |
1178 | 42,0 |
1179 | 42,0 |
1180 | 42,2 |
1181 | 42,3 |
1182 | 42,6 |
1183 | 43,0 |
1184 | 43,3 |
1185 | 43,7 |
1186 | 44,0 |
1187 | 44,3 |
1188 | 44,5 |
1189 | 44,6 |
1190 | 44,6 |
1191 | 44,5 |
1192 | 44,4 |
1193 | 44,3 |
1194 | 44,2 |
1195 | 44,1 |
1196 | 44,0 |
1197 | 43,9 |
1198 | 43,8 |
1199 | 43,7 |
1200 | 43,6 |
1201 | 43,5 |
1202 | 43,4 |
1203 | 43,3 |
1204 | 43,1 |
1205 | 42,9 |
1206 | 42,7 |
1207 | 42,5 |
1208 | 42,3 |
1209 | 42,2 |
1210 | 42,2 |
1211 | 42,2 |
1212 | 42,3 |
1213 | 42,4 |
1214 | 42,5 |
1215 | 42,7 |
1216 | 42,9 |
1217 | 43,1 |
1218 | 43,2 |
1219 | 43,3 |
1220 | 43,4 |
1221 | 43,4 |
1222 | 43,2 |
1223 | 42,9 |
1224 | 42,6 |
1225 | 42,2 |
1226 | 41,9 |
1227 | 41,5 |
1228 | 41,0 |
1229 | 40,5 |
1230 | 39,9 |
1231 | 39,3 |
1232 | 38,7 |
1233 | 38,1 |
1234 | 37,5 |
1235 | 36,9 |
1236 | 36,3 |
1237 | 35,7 |
1238 | 35,1 |
1239 | 34,5 |
1240 | 33,9 |
1241 | 33,6 |
1242 | 33,5 |
1243 | 33,6 |
1244 | 33,9 |
1245 | 34,3 |
1246 | 34,7 |
1247 | 35,1 |
1248 | 35,5 |
1249 | 35,9 |
1250 | 36,4 |
1251 | 36,9 |
1252 | 37,4 |
1253 | 37,9 |
1254 | 38,3 |
1255 | 38,7 |
1256 | 39,1 |
1257 | 39,3 |
1258 | 39,5 |
1259 | 39,7 |
1260 | 39,9 |
1261 | 40,0 |
1262 | 40,1 |
1263 | 40,2 |
1264 | 40,3 |
1265 | 40,4 |
1266 | 40,5 |
1267 | 40,5 |
1268 | 40,4 |
1269 | 40,3 |
1270 | 40,2 |
1271 | 40,1 |
1272 | 39,7 |
1273 | 38,8 |
1274 | 37,4 |
1275 | 35,6 |
1276 | 33,4 |
1277 | 31,2 |
1278 | 29,1 |
1279 | 27,6 |
1280 | 26,6 |
1281 | 26,2 |
1282 | 26,3 |
1283 | 26,7 |
1284 | 27,5 |
1285 | 28,4 |
1286 | 29,4 |
1287 | 30,4 |
1288 | 31,2 |
1289 | 31,9 |
1290 | 32,5 |
1291 | 33,0 |
1292 | 33,4 |
1293 | 33,8 |
1294 | 34,1 |
1295 | 34,3 |
1296 | 34,3 |
1297 | 33,9 |
1298 | 33,3 |
1299 | 32,6 |
1300 | 31,8 |
1301 | 30,7 |
1302 | 29,6 |
1303 | 28,6 |
1304 | 27,8 |
1305 | 27,0 |
1306 | 26,4 |
1307 | 25,8 |
1308 | 25,3 |
1309 | 24,9 |
1310 | 24,5 |
1311 | 24,2 |
1312 | 24,0 |
1313 | 23,8 |
1314 | 23,6 |
1315 | 23,5 |
1316 | 23,4 |
1317 | 23,3 |
1318 | 23,3 |
1319 | 23,2 |
1320 | 23,1 |
1321 | 23,0 |
1322 | 22,8 |
1323 | 22,5 |
1324 | 22,1 |
1325 | 21,7 |
1326 | 21,1 |
1327 | 20,4 |
1328 | 19,5 |
1329 | 18,5 |
1330 | 17,6 |
1331 | 16,6 |
1332 | 15,7 |
1333 | 14,9 |
1334 | 14,3 |
1335 | 14,1 |
1336 | 14,0 |
1337 | 13,9 |
1338 | 13,8 |
1339 | 13,7 |
1340 | 13,6 |
1341 | 13,5 |
1342 | 13,4 |
1343 | 13,3 |
1344 | 13,2 |
1345 | 13,2 |
1346 | 13,2 |
1347 | 13,4 |
1348 | 13,5 |
1349 | 13,7 |
1350 | 13,8 |
1351 | 14,0 |
1352 | 14,1 |
1353 | 14,3 |
1354 | 14,4 |
1355 | 14,4 |
1356 | 14,4 |
1357 | 14,3 |
1358 | 14,3 |
1359 | 14,0 |
1360 | 13,0 |
1361 | 11,4 |
1362 | 10,2 |
1363 | 8,0 |
1364 | 7,0 |
1365 | 6,0 |
1366 | 5,5 |
1367 | 5,0 |
1368 | 4,5 |
1369 | 4,0 |
1370 | 3,5 |
1371 | 3,0 |
1372 | 2,5 |
1373 | 2,0 |
1374 | 1,5 |
1375 | 1,0 |
1376 | 0,5 |
1377 | 0,0 |
1378 | 0,0 |
1379 | 0,0 |
1380 | 0,0 |
1381 | 0,0 |
1382 | 0,0 |
1383 | 2,2 |
1384 | 4,5 |
1385 | 6,6 |
1386 | 8,6 |
1387 | 10,6 |
1388 | 12,5 |
1389 | 14,4 |
1390 | 16,3 |
1391 | 17,9 |
1392 | 19,1 |
1393 | 19,9 |
1394 | 20,3 |
1395 | 20,5 |
1396 | 20,7 |
1397 | 21,0 |
1398 | 21,6 |
1399 | 22,6 |
1400 | 23,7 |
1401 | 24,8 |
1402 | 25,7 |
1403 | 26,2 |
1404 | 26,4 |
1405 | 26,4 |
1406 | 26,4 |
1407 | 26,5 |
1408 | 26,6 |
1409 | 26,8 |
1410 | 26,9 |
1411 | 27,2 |
1412 | 27,5 |
1413 | 28,0 |
1414 | 28,8 |
1415 | 29,9 |
1416 | 31,0 |
1417 | 31,9 |
1418 | 32,5 |
1419 | 32,6 |
1420 | 32,4 |
1421 | 32,0 |
1422 | 31,3 |
1423 | 30,3 |
1424 | 28,0 |
1425 | 27,0 |
1426 | 24,0 |
1427 | 22,5 |
1428 | 19,0 |
1429 | 17,5 |
1430 | 14,0 |
1431 | 12,5 |
1432 | 9,0 |
1433 | 7,5 |
1434 | 4,0 |
1435 | 2,9 |
1436 | 0,0 |
1437 | 0,0 |
1438 | 0,0 |
1439 | 0,0 |
1440 | 0,0 |
1441 | 0,0 |
1442 | 0,0 |
1443 | 0,0 |
1444 | 0,0 |
1445 | 0,0 |
1446 | 0,0 |
1447 | 0,0 |
1448 | 0,0 |
1449 | 0,0 |
1450 | 0,0 |
1451 | 0,0 |
1452 | 0,0 |
1453 | 0,0 |
1454 | 0,0 |
1455 | 0,0 |
1456 | 0,0 |
1457 | 0,0 |
1458 | 0,0 |
1459 | 0,0 |
1460 | 0,0 |
1461 | 0,0 |
1462 | 0,0 |
1463 | 0,0 |
1464 | 0,0 |
1465 | 0,0 |
1466 | 0,0 |
1467 | 0,0 |
1468 | 0,0 |
1469 | 0,0 |
1470 | 0,0 |
1471 | 0,0 |
1472 | 0,0 |
1473 | 0,0 |
1474 | 0,0 |
1475 | 0,0 |
1476 | 0,0 |
1477 | 0,0 |
1478 | 0,0 |
1479 | 0,0 |
1480 | 0,0 |
1481 | 0,0 |
1482 | 0,0 |
1483 | 0,0 |
1484 | 0,0 |
1485 | 0,0 |
1486 | 0,0 |
1487 | 0,0 |
1488 | 0,0 |
1489 | 0,0 |
1490 | 0,0 |
1491 | 0,0 |
1492 | 0,0 |
1493 | 0,0 |
1494 | 0,0 |
1495 | 0,0 |
1496 | 0,0 |
1497 | 0,0 |
1498 | 0,0 |
1499 | 0,0 |
1500 | 0,0 |
1501 | 0,0 |
1502 | 0,0 |
1503 | 1,6 |
1504 | 3,1 |
1505 | 4,6 |
1506 | 6,1 |
1507 | 7,8 |
1508 | 9,5 |
1509 | 11,3 |
1510 | 13,2 |
1511 | 15,0 |
1512 | 16,8 |
1513 | 18,4 |
1514 | 20,1 |
1515 | 21,6 |
1516 | 23,1 |
1517 | 24,6 |
1518 | 26,0 |
1519 | 27,5 |
1520 | 29,0 |
1521 | 30,6 |
1522 | 32,1 |
1523 | 33,7 |
1524 | 35,3 |
1525 | 36,8 |
1526 | 38,1 |
1527 | 39,3 |
1528 | 40,4 |
1529 | 41,2 |
1530 | 41,9 |
1531 | 42,6 |
1532 | 43,3 |
1533 | 44,0 |
1534 | 44,6 |
1535 | 45,3 |
1536 | 45,5 |
1537 | 45,5 |
1538 | 45,2 |
1539 | 44,7 |
1540 | 44,2 |
1541 | 43,6 |
1542 | 43,1 |
1543 | 42,8 |
1544 | 42,7 |
1545 | 42,8 |
1546 | 43,3 |
1547 | 43,9 |
1548 | 44,6 |
1549 | 45,4 |
1550 | 46,3 |
1551 | 47,2 |
1552 | 47,8 |
1553 | 48,2 |
1554 | 48,5 |
1555 | 48,7 |
1556 | 48,9 |
1557 | 49,1 |
1558 | 49,1 |
1559 | 49,0 |
1560 | 48,8 |
1561 | 48,6 |
1562 | 48,5 |
1563 | 48,4 |
1564 | 48,3 |
1565 | 48,2 |
1566 | 48,1 |
1567 | 47,5 |
1568 | 46,7 |
1569 | 45,7 |
1570 | 44,6 |
1571 | 42,9 |
1572 | 40,8 |
1573 | 38,2 |
1574 | 35,3 |
1575 | 31,8 |
1576 | 28,7 |
1577 | 25,8 |
1578 | 22,9 |
1579 | 20,2 |
1580 | 17,3 |
1581 | 15,0 |
1582 | 12,3 |
1583 | 10,3 |
1584 | 7,8 |
1585 | 6,5 |
1586 | 4,4 |
1587 | 3,2 |
1588 | 1,2 |
1589 | 0,0 |
1590 | 0,0 |
1591 | 0,0 |
1592 | 0,0 |
1593 | 0,0 |
1594 | 0,0 |
1595 | 0,0 |
1596 | 0,0 |
1597 | 0,0 |
1598 | 0,0 |
1599 | 0,0 |
1600 | 0,0 |
1601 | 0,0 |
1602 | 0,0 |
1603 | 0,0 |
1604 | 0,0 |
1605 | 0,0 |
1606 | 0,0 |
1607 | 0,0 |
1608 | 0,0 |
1609 | 0,0 |
1610 | 0,0 |
1611 | 0,0 |
А.5 ВЦИМГ применительно к классу 2
Рисунок А.3 - ВЦИМГ, цикл применительно
к классу 2, фаза Low2
Рисунок А.4 - ВЦИМГ, цикл применительно
к классу 2, фаза Medium2
Рисунок А.5 - ВЦИМГ, цикл применительно
к классу 2, фаза High2
Рисунок А.6 - ВЦИМГ, цикл применительно
к классу 2, фаза Extra High2
Таблица А.4
ВЦИМГ, цикл применительно к классу 2, фаза Low
2
(на 589-ю секунду приходится завершение
фазы Low1 и начало фазы Medium1)
Время, с | Скорость, км/ч |
0 | 0,0 |
1 | 0,0 |
2 | 0,0 |
3 | 0,0 |
4 | 0,0 |
5 | 0,0 |
6 | 0,0 |
7 | 0,0 |
8 | 0,0 |
9 | 0,0 |
10 | 0,0 |
11 | 0,0 |
12 | 0,0 |
13 | 1,2 |
14 | 2,6 |
15 | 4,9 |
16 | 7,3 |
17 | 9,4 |
18 | 11,4 |
19 | 12,7 |
20 | 13,3 |
21 | 13,4 |
22 | 13,3 |
23 | 13,1 |
24 | 12,5 |
25 | 11,1 |
26 | 8,9 |
27 | 6,2 |
28 | 3,8 |
29 | 1,8 |
30 | 0,0 |
31 | 0,0 |
32 | 0,0 |
33 | 0,0 |
34 | 1,5 |
35 | 2,8 |
36 | 3,6 |
37 | 4,5 |
38 | 5,3 |
39 | 6,0 |
40 | 6,6 |
41 | 7,3 |
42 | 7,9 |
43 | 8,6 |
44 | 9,3 |
45 | 10,0 |
46 | 10,8 |
47 | 11,6 |
48 | 12,4 |
49 | 13,2 |
50 | 14,2 |
51 | 14,8 |
52 | 14,7 |
53 | 14,4 |
54 | 14,1 |
55 | 13,6 |
56 | 13,0 |
57 | 12,4 |
58 | 11,8 |
59 | 11,2 |
60 | 10,6 |
61 | 9,9 |
62 | 9,0 |
63 | 8,2 |
64 | 7,0 |
65 | 4,8 |
66 | 2,3 |
67 | 0,0 |
68 | 0,0 |
69 | 0,0 |
70 | 0,0 |
71 | 0,0 |
72 | 0,0 |
73 | 0,0 |
74 | 0,0 |
75 | 0,0 |
76 | 0,0 |
77 | 0,0 |
78 | 0,0 |
79 | 0,0 |
80 | 0,0 |
81 | 0,0 |
82 | 0,0 |
83 | 0,0 |
84 | 0,0 |
85 | 0,0 |
86 | 0,0 |
87 | 0,0 |
88 | 0,0 |
89 | 0,0 |
90 | 0,0 |
91 | 0,0 |
92 | 0,0 |
93 | 0,0 |
94 | 0,0 |
95 | 0,0 |
96 | 0,0 |
97 | 0,0 |
98 | 0,0 |
99 | 0,0 |
100 | 0,0 |
101 | 0,0 |
102 | 0,0 |
103 | 0,0 |
104 | 0,0 |
105 | 0,0 |
106 | 0,0 |
107 | 0,8 |
108 | 1,4 |
109 | 2,3 |
110 | 3,5 |
111 | 4,7 |
112 | 5,9 |
113 | 7,4 |
114 | 9,2 |
115 | 11,7 |
116 | 13,5 |
117 | 15,0 |
118 | 16,2 |
119 | 16,8 |
120 | 17,5 |
121 | 18,8 |
122 | 20,3 |
123 | 22,0 |
124 | 23,6 |
125 | 24,8 |
126 | 25,6 |
127 | 26,3 |
128 | 27,2 |
129 | 28,3 |
130 | 29,6 |
131 | 30,9 |
132 | 32,2 |
133 | 33,4 |
134 | 35,1 |
135 | 37,2 |
136 | 38,7 |
137 | 39,0 |
138 | 40,1 |
139 | 40,4 |
140 | 39,7 |
141 | 36,8 |
142 | 35,1 |
143 | 32,2 |
144 | 31,1 |
145 | 30,8 |
146 | 29,7 |
147 | 29,4 |
148 | 29,0 |
149 | 28,5 |
150 | 26,0 |
151 | 23,4 |
152 | 20,7 |
153 | 17,4 |
154 | 15,2 |
155 | 13,5 |
156 | 13,0 |
157 | 12,4 |
158 | 12,3 |
159 | 12,2 |
160 | 12,3 |
161 | 12,4 |
162 | 12,5 |
163 | 12,7 |
164 | 12,8 |
165 | 13,2 |
166 | 14,3 |
167 | 16,5 |
168 | 19,4 |
169 | 21,7 |
170 | 23,1 |
171 | 23,5 |
172 | 24,2 |
173 | 24,8 |
174 | 25,4 |
175 | 25,8 |
176 | 26,5 |
177 | 27,2 |
178 | 28,3 |
179 | 29,9 |
180 | 32,4 |
181 | 35,1 |
182 | 37,5 |
183 | 39,2 |
184 | 40,5 |
185 | 41,4 |
186 | 42,0 |
187 | 42,5 |
188 | 43,2 |
189 | 44,4 |
190 | 45,9 |
191 | 47,6 |
192 | 49,0 |
193 | 50,0 |
194 | 50,2 |
195 | 50,1 |
196 | 49,8 |
197 | 49,4 |
198 | 48,9 |
199 | 48,5 |
200 | 48,3 |
201 | 48,2 |
202 | 47,9 |
203 | 47,1 |
204 | 45,5 |
205 | 43,2 |
206 | 40,6 |
207 | 38,5 |
208 | 36,9 |
209 | 35,9 |
210 | 35,3 |
211 | 34,8 |
212 | 34,5 |
213 | 34,2 |
214 | 34,0 |
215 | 33,8 |
216 | 33,6 |
217 | 33,5 |
218 | 33,5 |
219 | 33,4 |
220 | 33,3 |
221 | 33,3 |
222 | 33,2 |
223 | 33,1 |
224 | 33,0 |
225 | 32,9 |
226 | 32,8 |
227 | 32,7 |
228 | 32,5 |
229 | 32,3 |
230 | 31,8 |
231 | 31,4 |
232 | 30,9 |
233 | 30,6 |
234 | 30,6 |
235 | 30,7 |
236 | 32,0 |
237 | 33,5 |
238 | 35,8 |
239 | 37,6 |
240 | 38,8 |
241 | 39,6 |
242 | 40,1 |
243 | 40,9 |
244 | 41,8 |
245 | 43,3 |
246 | 44,7 |
247 | 46,4 |
248 | 47,9 |
249 | 49,6 |
250 | 49,6 |
251 | 48,8 |
252 | 48,0 |
253 | 47,5 |
254 | 47,1 |
255 | 46,9 |
256 | 45,8 |
257 | 45,8 |
258 | 45,8 |
259 | 45,9 |
260 | 46,2 |
261 | 46,4 |
262 | 46,6 |
263 | 46,8 |
264 | 47,0 |
265 | 47,3 |
266 | 47,5 |
267 | 47,9 |
268 | 48,3 |
269 | 48,3 |
270 | 48,2 |
271 | 48,0 |
272 | 47,7 |
273 | 47,2 |
274 | 46,5 |
275 | 45,2 |
276 | 43,7 |
277 | 42,0 |
278 | 40,4 |
279 | 39,0 |
280 | 37,7 |
281 | 36,4 |
282 | 35,2 |
283 | 34,3 |
284 | 33,8 |
285 | 33,3 |
286 | 32,5 |
287 | 30,9 |
288 | 28,6 |
289 | 25,9 |
290 | 23,1 |
291 | 20,1 |
292 | 17,3 |
293 | 15,1 |
294 | 13,7 |
295 | 13,4 |
296 | 13,9 |
297 | 15,0 |
298 | 16,3 |
299 | 17,4 |
300 | 18,2 |
301 | 18,6 |
302 | 19,0 |
303 | 19,4 |
304 | 19,8 |
305 | 20,1 |
306 | 20,5 |
307 | 20,2 |
308 | 18,6 |
309 | 16,5 |
310 | 14,4 |
311 | 13,4 |
312 | 12,9 |
313 | 12,7 |
314 | 12,4 |
315 | 12,4 |
316 | 12,8 |
317 | 14,1 |
318 | 16,2 |
319 | 18,8 |
320 | 21,9 |
321 | 25,0 |
322 | 28,4 |
323 | 31,3 |
324 | 34,0 |
325 | 34,6 |
326 | 33,9 |
327 | 31,9 |
328 | 30,0 |
329 | 29,0 |
330 | 27,9 |
331 | 27,1 |
332 | 26,4 |
333 | 25,9 |
334 | 25,5 |
335 | 25,0 |
336 | 24,6 |
337 | 23,9 |
338 | 23,0 |
339 | 21,8 |
340 | 20,7 |
341 | 19,6 |
342 | 18,7 |
343 | 18,1 |
344 | 17,5 |
345 | 16,7 |
346 | 15,4 |
347 | 13,6 |
348 | 11,2 |
349 | 8,6 |
350 | 6,0 |
351 | 3,1 |
352 | 1,2 |
353 | 0,0 |
354 | 0,0 |
355 | 0,0 |
356 | 0,0 |
357 | 0,0 |
358 | 0,0 |
359 | 0,0 |
360 | 1,4 |
361 | 3,2 |
362 | 5,6 |
363 | 8,1 |
364 | 10,3 |
365 | 12,1 |
366 | 12,6 |
367 | 13,6 |
368 | 14,5 |
369 | 15,6 |
370 | 16,8 |
371 | 18,2 |
372 | 19,6 |
373 | 20,9 |
374 | 22,3 |
375 | 23,8 |
376 | 25,4 |
377 | 27,0 |
378 | 28,6 |
379 | 30,2 |
380 | 31,2 |
381 | 31,2 |
382 | 30,7 |
383 | 29,5 |
384 | 28,6 |
385 | 27,7 |
386 | 26,9 |
387 | 26,1 |
388 | 25,4 |
389 | 24,6 |
390 | 23,6 |
391 | 22,6 |
392 | 21,7 |
393 | 20,7 |
394 | 19,8 |
395 | 18,8 |
396 | 17,7 |
397 | 16,6 |
398 | 15,6 |
399 | 14,8 |
400 | 14,3 |
401 | 13,8 |
402 | 13,4 |
403 | 13,1 |
404 | 12,8 |
405 | 12,3 |
406 | 11,6 |
407 | 10,5 |
408 | 9,0 |
409 | 7,2 |
410 | 5,2 |
411 | 2,9 |
412 | 1,2 |
413 | 0,0 |
414 | 0,0 |
415 | 0,0 |
416 | 0,0 |
417 | 0,0 |
418 | 0,0 |
419 | 0,0 |
420 | 0,0 |
421 | 0,0 |
422 | 0,0 |
423 | 0,0 |
424 | 0,0 |
425 | 0,0 |
426 | 0,0 |
427 | 0,0 |
428 | 0,0 |
429 | 0,0 |
430 | 0,0 |
431 | 0,0 |
432 | 0,0 |
433 | 0,0 |
434 | 0,0 |
435 | 0,0 |
436 | 0,0 |
437 | 0,0 |
438 | 0,0 |
439 | 0,0 |
440 | 0,0 |
441 | 0,0 |
442 | 0,0 |
443 | 0,0 |
444 | 0,0 |
445 | 0,0 |
446 | 0,0 |
447 | 0,0 |
448 | 0,0 |
449 | 0,0 |
450 | 0,0 |
451 | 0,0 |
452 | 0,0 |
453 | 0,0 |
454 | 0,0 |
455 | 0,0 |
456 | 0,0 |
457 | 0,0 |
458 | 0,0 |
459 | 0,0 |
460 | 0,0 |
461 | 0,0 |
462 | 0,0 |
463 | 0,0 |
464 | 0,0 |
465 | 0,0 |
466 | 0,0 |
467 | 0,0 |
468 | 0,0 |
469 | 0,0 |
470 | 0,0 |
471 | 0,0 |
472 | 0,0 |
473 | 0,0 |
474 | 0,0 |
475 | 0,0 |
476 | 0,0 |
477 | 0,0 |
478 | 0,0 |
479 | 0,0 |
480 | 0,0 |
481 | 1,4 |
482 | 2,5 |
483 | 5,2 |
484 | 7,9 |
485 | 10,3 |
486 | 12,7 |
487 | 15,0 |
488 | 17,4 |
489 | 19,7 |
490 | 21,9 |
491 | 24,1 |
492 | 26,2 |
493 | 28,1 |
494 | 29,7 |
495 | 31,3 |
496 | 33,0 |
497 | 34,7 |
498 | 36,3 |
499 | 38,1 |
500 | 39,4 |
501 | 40,4 |
502 | 41,2 |
503 | 42,1 |
504 | 43,2 |
505 | 44,3 |
506 | 45,7 |
507 | 45,4 |
508 | 44,5 |
509 | 42,5 |
510 | 39,5 |
511 | 36,5 |
512 | 33,5 |
513 | 30,4 |
514 | 27,0 |
515 | 23,6 |
516 | 21,0 |
517 | 19,5 |
518 | 17,6 |
519 | 16,1 |
520 | 14,5 |
521 | 13,5 |
522 | 13,7 |
523 | 16,0 |
524 | 18,1 |
525 | 20,8 |
526 | 21,5 |
527 | 22,5 |
528 | 23,4 |
529 | 24,5 |
530 | 25,6 |
531 | 26,0 |
532 | 26,5 |
533 | 26,9 |
534 | 27,3 |
535 | 27,9 |
536 | 30,3 |
537 | 33,2 |
538 | 35,4 |
539 | 38,0 |
540 | 40,1 |
541 | 42,7 |
542 | 44,5 |
543 | 46,3 |
544 | 47,6 |
545 | 48,8 |
546 | 49,7 |
547 | 50,6 |
548 | 51,4 |
549 | 51,4 |
550 | 50,2 |
551 | 47,1 |
552 | 44,5 |
553 | 41,5 |
554 | 38,5 |
555 | 35,5 |
556 | 32,5 |
557 | 29,5 |
558 | 26,5 |
559 | 23,5 |
560 | 20,4 |
561 | 17,5 |
562 | 14,5 |
563 | 11,5 |
564 | 8,5 |
565 | 5,6 |
566 | 2,6 |
567 | 0,0 |
568 | 0,0 |
569 | 0,0 |
570 | 0,0 |
571 | 0,0 |
572 | 0,0 |
573 | 0,0 |
574 | 0,0 |
575 | 0,0 |
576 | 0,0 |
577 | 0,0 |
578 | 0,0 |
579 | 0,0 |
580 | 0,0 |
581 | 0,0 |
582 | 0,0 |
583 | 0,0 |
584 | 0,0 |
585 | 0,0 |
586 | 0,0 |
587 | 0,0 |
588 | 0,0 |
589 | 0,0 |
Таблица А.5
ВЦИМГ, цикл применительно к классу 2, фаза Medium
2
(начало этой фазы приходится на 589-ю секунду)
Время, с | Скорость, км/ч |
590 | 0,0 |
591 | 0,0 |
592 | 0,0 |
593 | 0,0 |
594 | 0,0 |
595 | 0,0 |
596 | 0,0 |
597 | 0,0 |
598 | 0,0 |
599 | 0,0 |
600 | 0,0 |
601 | 1,6 |
602 | 3,6 |
603 | 6,3 |
604 | 9,0 |
605 | 11,8 |
606 | 14,2 |
607 | 16,6 |
608 | 18,5 |
609 | 20,8 |
610 | 23,4 |
611 | 26,9 |
612 | 30,3 |
613 | 32,8 |
614 | 34,1 |
615 | 34,2 |
616 | 33,6 |
617 | 32,1 |
618 | 30,0 |
619 | 27,5 |
620 | 25,1 |
621 | 22,8 |
622 | 20,5 |
623 | 17,9 |
624 | 15,1 |
625 | 13,4 |
626 | 12,8 |
627 | 13,7 |
628 | 16,0 |
629 | 18,1 |
630 | 20,8 |
631 | 23,7 |
632 | 26,5 |
633 | 29,3 |
634 | 32,0 |
635 | 34,5 |
636 | 36,8 |
637 | 38,6 |
638 | 39,8 |
639 | 40,6 |
640 | 41,1 |
641 | 41,9 |
642 | 42,8 |
643 | 44,3 |
644 | 45,7 |
645 | 47,4 |
646 | 48,9 |
647 | 50,6 |
648 | 52,0 |
649 | 53,7 |
650 | 55,0 |
651 | 56,8 |
652 | 58,0 |
653 | 59,8 |
654 | 61,1 |
655 | 62,4 |
656 | 63,0 |
657 | 63,5 |
658 | 63,0 |
659 | 62,0 |
660 | 60,4 |
661 | 58,6 |
662 | 56,7 |
663 | 55,0 |
664 | 53,7 |
665 | 52,7 |
666 | 51,9 |
667 | 51,4 |
668 | 51,0 |
669 | 50,7 |
670 | 50,6 |
671 | 50,8 |
672 | 51,2 |
673 | 51,7 |
674 | 52,3 |
675 | 53,1 |
676 | 53,8 |
677 | 54,5 |
678 | 55,1 |
679 | 55,9 |
680 | 56,5 |
681 | 57,1 |
682 | 57,8 |
683 | 58,5 |
684 | 59,3 |
685 | 60,2 |
686 | 61,3 |
687 | 62,4 |
688 | 63,4 |
689 | 64,4 |
690 | 65,4 |
691 | 66,3 |
692 | 67,2 |
693 | 68,0 |
694 | 68,8 |
695 | 69,5 |
696 | 70,1 |
697 | 70,6 |
698 | 71,0 |
699 | 71,6 |
700 | 72,2 |
701 | 72,8 |
702 | 73,5 |
703 | 74,1 |
704 | 74,3 |
705 | 74,3 |
706 | 73,7 |
707 | 71,9 |
708 | 70,5 |
709 | 68,9 |
710 | 67,4 |
711 | 66,0 |
712 | 64,7 |
713 | 63,7 |
714 | 62,9 |
715 | 62,2 |
716 | 61,7 |
717 | 61,2 |
718 | 60,7 |
719 | 60,3 |
720 | 59,9 |
721 | 59,6 |
722 | 59,3 |
723 | 59,0 |
724 | 58,6 |
725 | 58,0 |
726 | 57,5 |
727 | 56,9 |
728 | 56,3 |
729 | 55,9 |
730 | 55,6 |
731 | 55,3 |
732 | 55,1 |
733 | 54,8 |
734 | 54,6 |
735 | 54,5 |
736 | 54,3 |
737 | 53,9 |
738 | 53,4 |
739 | 52,6 |
740 | 51,5 |
741 | 50,2 |
742 | 48,7 |
743 | 47,0 |
744 | 45,1 |
745 | 43,0 |
746 | 40,6 |
747 | 38,1 |
748 | 35,4 |
749 | 32,7 |
750 | 30,0 |
751 | 27,5 |
752 | 25,3 |
753 | 23,4 |
754 | 22,0 |
755 | 20,8 |
756 | 19,8 |
757 | 18,9 |
758 | 18,0 |
759 | 17,0 |
760 | 16,1 |
761 | 15,5 |
762 | 14,4 |
763 | 14,9 |
764 | 15,9 |
765 | 17,1 |
766 | 18,3 |
767 | 19,4 |
768 | 20,4 |
769 | 21,2 |
770 | 21,9 |
771 | 22,7 |
772 | 23,4 |
773 | 24,2 |
774 | 24,3 |
775 | 24,2 |
776 | 24,1 |
777 | 23,8 |
778 | 23,0 |
779 | 22,6 |
780 | 21,7 |
781 | 21,3 |
782 | 20,3 |
783 | 19,1 |
784 | 18,1 |
785 | 16,9 |
786 | 16,0 |
787 | 14,8 |
788 | 14,5 |
789 | 13,7 |
790 | 13,5 |
791 | 12,9 |
792 | 12,7 |
793 | 12,5 |
794 | 12,5 |
795 | 12,6 |
796 | 13,0 |
797 | 13,6 |
798 | 14,6 |
799 | 15,7 |
800 | 17,1 |
801 | 18,7 |
802 | 20,2 |
803 | 21,9 |
804 | 23,6 |
805 | 25,4 |
806 | 27,1 |
807 | 28,9 |
808 | 30,4 |
809 | 32,0 |
810 | 33,4 |
811 | 35,0 |
812 | 36,4 |
813 | 38,1 |
814 | 39,7 |
815 | 41,6 |
816 | 43,3 |
817 | 45,1 |
818 | 46,9 |
819 | 48,7 |
820 | 50,5 |
821 | 52,4 |
822 | 54,1 |
823 | 55,7 |
824 | 56,8 |
825 | 57,9 |
826 | 59,0 |
827 | 59,9 |
828 | 60,7 |
829 | 61,4 |
830 | 62,0 |
831 | 62,5 |
832 | 62,9 |
833 | 63,2 |
834 | 63,4 |
835 | 63,7 |
836 | 64,0 |
837 | 64,4 |
838 | 64,9 |
839 | 65,5 |
840 | 66,2 |
841 | 67,0 |
842 | 67,8 |
843 | 68,6 |
844 | 69,4 |
845 | 70,1 |
846 | 70,9 |
847 | 71,7 |
848 | 72,5 |
849 | 73,2 |
850 | 73,8 |
851 | 74,4 |
852 | 74,7 |
853 | 74,7 |
854 | 74,6 |
855 | 74,2 |
856 | 73,5 |
857 | 72,6 |
858 | 71,8 |
859 | 71,0 |
860 | 70,1 |
861 | 69,4 |
862 | 68,9 |
863 | 68,4 |
864 | 67,9 |
865 | 67,1 |
866 | 65,8 |
867 | 63,9 |
868 | 61,4 |
869 | 58,4 |
870 | 55,4 |
871 | 52,4 |
872 | 50,0 |
873 | 48,3 |
874 | 47,3 |
875 | 46,8 |
876 | 46,9 |
877 | 47,1 |
878 | 47,5 |
879 | 47,8 |
880 | 48,3 |
881 | 48,8 |
882 | 49,5 |
883 | 50,2 |
884 | 50,8 |
885 | 51,4 |
886 | 51,8 |
887 | 51,9 |
888 | 51,7 |
889 | 51,2 |
890 | 50,4 |
891 | 49,2 |
892 | 47,7 |
893 | 46,3 |
894 | 45,1 |
895 | 44,2 |
896 | 43,7 |
897 | 43,4 |
898 | 43,1 |
899 | 42,5 |
900 | 41,8 |
901 | 41,1 |
902 | 40,3 |
903 | 39,7 |
904 | 39,3 |
905 | 39,2 |
906 | 39,3 |
907 | 39,6 |
908 | 40,0 |
909 | 40,7 |
910 | 41,4 |
911 | 42,2 |
912 | 43,1 |
913 | 44,1 |
914 | 44,9 |
915 | 45,6 |
916 | 46,4 |
917 | 47,0 |
918 | 47,8 |
919 | 48,3 |
920 | 48,9 |
921 | 49,4 |
922 | 49,8 |
923 | 49,6 |
924 | 49,3 |
925 | 49,0 |
926 | 48,5 |
927 | 48,0 |
928 | 47,5 |
929 | 47,0 |
930 | 46,9 |
931 | 46,8 |
932 | 46,8 |
933 | 46,8 |
934 | 46,9 |
935 | 46,9 |
936 | 46,9 |
937 | 46,9 |
938 | 46,9 |
939 | 46,8 |
940 | 46,6 |
941 | 46,4 |
942 | 46,0 |
943 | 45,5 |
944 | 45,0 |
945 | 44,5 |
946 | 44,2 |
947 | 43,9 |
948 | 43,7 |
949 | 43,6 |
950 | 43,6 |
951 | 43,5 |
952 | 43,5 |
953 | 43,4 |
954 | 43,3 |
955 | 43,1 |
956 | 42,9 |
957 | 42,7 |
958 | 42,5 |
959 | 42,4 |
960 | 42,2 |
961 | 42,1 |
962 | 42,0 |
963 | 41,8 |
964 | 41,7 |
965 | 41,5 |
966 | 41,3 |
967 | 41,1 |
968 | 40,8 |
969 | 40,3 |
970 | 39,6 |
971 | 38,5 |
972 | 37,0 |
973 | 35,1 |
974 | 33,0 |
975 | 30,6 |
976 | 27,9 |
977 | 25,1 |
978 | 22,0 |
979 | 18,8 |
980 | 15,5 |
981 | 12,3 |
982 | 8,8 |
983 | 6,0 |
984 | 3,6 |
985 | 1,6 |
986 | 0,0 |
987 | 0,0 |
988 | 0,0 |
989 | 0,0 |
990 | 0,0 |
991 | 0,0 |
992 | 0,0 |
993 | 0,0 |
994 | 0,0 |
995 | 0,0 |
996 | 0,0 |
997 | 0,0 |
998 | 0,0 |
999 | 0,0 |
1000 | 0,0 |
1001 | 0,0 |
1002 | 0,0 |
1003 | 0,0 |
1004 | 0,0 |
1005 | 0,0 |
1006 | 0,0 |
1007 | 0,0 |
1008 | 0,0 |
1009 | 0,0 |
1010 | 0,0 |
1011 | 0,0 |
1012 | 0,0 |
1013 | 0,0 |
1014 | 0,0 |
1015 | 0,0 |
1016 | 0,0 |
1017 | 0,0 |
1018 | 0,0 |
1019 | 0,0 |
1020 | 0,0 |
1021 | 0,0 |
1022 | 0,0 |
Таблица А.6
ВЦИМГ, цикл применительно к классу 2, фаза High
2
(на 1022-ю секунду приходится завершение фазы
Medium2 и начало фазы High2)
Время, с | Скорость, км/ч |
1023 | 0,0 |
1024 | 0,0 |
1025 | 0,0 |
1026 | 0,0 |
1027 | 1,1 |
1028 | 3,0 |
1029 | 5,7 |
1030 | 8,4 |
1031 | 11,1 |
1032 | 14,0 |
1033 | 17,0 |
1034 | 20,1 |
1035 | 22,7 |
1036 | 23,6 |
1037 | 24,5 |
1038 | 24,8 |
1039 | 25,1 |
1040 | 25,3 |
1041 | 25,5 |
1042 | 25,7 |
1043 | 25,8 |
1044 | 25,9 |
1045 | 26,0 |
1046 | 26,1 |
1047 | 26,3 |
1048 | 26,5 |
1049 | 26,8 |
1050 | 27,1 |
1051 | 27,5 |
1052 | 28,0 |
1053 | 28,6 |
1054 | 29,3 |
1055 | 30,4 |
1056 | 31,8 |
1057 | 33,7 |
1058 | 35,8 |
1059 | 37,8 |
1060 | 39,5 |
1061 | 40,8 |
1062 | 41,8 |
1063 | 42,4 |
1064 | 43,0 |
1065 | 43,4 |
1066 | 44,0 |
1067 | 44,4 |
1068 | 45,0 |
1069 | 45,4 |
1070 | 46,0 |
1071 | 46,4 |
1072 | 47,0 |
1073 | 47,4 |
1074 | 48,0 |
1075 | 48,4 |
1076 | 49,0 |
1077 | 49,4 |
1078 | 50,0 |
1079 | 50,4 |
1080 | 50,8 |
1081 | 51,1 |
1082 | 51,3 |
1083 | 51,3 |
1084 | 51,3 |
1085 | 51,3 |
1086 | 51,3 |
1087 | 51,3 |
1088 | 51,3 |
1089 | 51,4 |
1090 | 51,6 |
1091 | 51,8 |
1092 | 52,1 |
1093 | 52,3 |
1094 | 52,6 |
1095 | 52,8 |
1096 | 52,9 |
1097 | 53,0 |
1098 | 53,0 |
1099 | 53,0 |
1100 | 53,1 |
1101 | 53,2 |
1102 | 53,3 |
1103 | 53,4 |
1104 | 53,5 |
1105 | 53,7 |
1106 | 55,0 |
1107 | 56,8 |
1108 | 58,8 |
1109 | 60,9 |
1110 | 63,0 |
1111 | 65,0 |
1112 | 66,9 |
1113 | 68,6 |
1114 | 70,1 |
1115 | 71,5 |
1116 | 72,8 |
1117 | 73,9 |
1118 | 74,9 |
1119 | 75,7 |
1120 | 76,4 |
1121 | 77,1 |
1122 | 77,6 |
1123 | 78,0 |
1124 | 78,2 |
1125 | 78,4 |
1126 | 78,5 |
1127 | 78,5 |
1128 | 78,6 |
1129 | 78,7 |
1130 | 78,9 |
1131 | 79,1 |
1132 | 79,4 |
1133 | 79,8 |
1134 | 80,1 |
1135 | 80,5 |
1136 | 80,8 |
1137 | 81,0 |
1138 | 81,2 |
1139 | 81,3 |
1140 | 81,2 |
1141 | 81,0 |
1142 | 80,6 |
1143 | 80,0 |
1144 | 79,1 |
1145 | 78,0 |
1146 | 76,8 |
1147 | 75,5 |
1148 | 74,1 |
1149 | 72,9 |
1150 | 71,9 |
1151 | 71,2 |
1152 | 70,9 |
1153 | 71,0 |
1154 | 71,5 |
1155 | 72,3 |
1156 | 73,2 |
1157 | 74,1 |
1158 | 74,9 |
1159 | 75,4 |
1160 | 75,5 |
1161 | 75,2 |
1162 | 74,5 |
1163 | 73,3 |
1164 | 71,7 |
1165 | 69,9 |
1166 | 67,9 |
1167 | 65,7 |
1168 | 63,5 |
1169 | 61,2 |
1170 | 59,0 |
1171 | 56,8 |
1172 | 54,7 |
1173 | 52,7 |
1174 | 50,9 |
1175 | 49,4 |
1176 | 48,1 |
1177 | 47,1 |
1178 | 46,5 |
1179 | 46,3 |
1180 | 46,5 |
1181 | 47,2 |
1182 | 48,3 |
1183 | 49,7 |
1184 | 51,3 |
1185 | 53,0 |
1186 | 54,9 |
1187 | 56,7 |
1188 | 58,6 |
1189 | 60,2 |
1190 | 61,6 |
1191 | 62,2 |
1192 | 62,5 |
1193 | 62,8 |
1194 | 62,9 |
1195 | 63,0 |
1196 | 63,0 |
1197 | 63,1 |
1198 | 63,2 |
1199 | 63,3 |
1200 | 63,5 |
1201 | 63,7 |
1202 | 63,9 |
1203 | 64,1 |
1204 | 64,3 |
1205 | 66,1 |
1206 | 67,9 |
1207 | 69,7 |
1208 | 71,4 |
1209 | 73,1 |
1210 | 74,7 |
1211 | 76,2 |
1212 | 77,5 |
1213 | 78,6 |
1214 | 79,7 |
1215 | 80,6 |
1216 | 81,5 |
1217 | 82,2 |
1218 | 83,0 |
1219 | 83,7 |
1220 | 84,4 |
1221 | 84,9 |
1222 | 85,1 |
1223 | 85,2 |
1224 | 84,9 |
1225 | 84,4 |
1226 | 83,6 |
1227 | 82,7 |
1228 | 81,5 |
1229 | 80,1 |
1230 | 78,7 |
1231 | 77,4 |
1232 | 76,2 |
1233 | 75,4 |
1234 | 74,8 |
1235 | 74,3 |
1236 | 73,8 |
1237 | 73,2 |
1238 | 72,4 |
1239 | 71,6 |
1240 | 70,8 |
1241 | 69,9 |
1242 | 67,9 |
1243 | 65,7 |
1244 | 63,5 |
1245 | 61,2 |
1246 | 59,0 |
1247 | 56,8 |
1248 | 54,7 |
1249 | 52,7 |
1250 | 50,9 |
1251 | 49,4 |
1252 | 48,1 |
1253 | 47,1 |
1254 | 46,5 |
1255 | 46,3 |
1256 | 45,1 |
1257 | 43,0 |
1258 | 40,6 |
1259 | 38,1 |
1260 | 35,4 |
1261 | 32,7 |
1262 | 30,0 |
1263 | 29,9 |
1264 | 30,0 |
1265 | 30,2 |
1266 | 30,4 |
1267 | 30,6 |
1268 | 31,6 |
1269 | 33,0 |
1270 | 33,9 |
1271 | 34,8 |
1272 | 35,7 |
1273 | 36,6 |
1274 | 37,5 |
1275 | 38,4 |
1276 | 39,3 |
1277 | 40,2 |
1278 | 40,8 |
1279 | 41,7 |
1280 | 42,4 |
1281 | 43,1 |
1282 | 43,6 |
1283 | 44,2 |
1284 | 44,8 |
1285 | 45,5 |
1286 | 46,3 |
1287 | 47,2 |
1288 | 48,1 |
1289 | 49,1 |
1290 | 50,0 |
1291 | 51,0 |
1292 | 51,9 |
1293 | 52,7 |
1294 | 53,7 |
1295 | 55,0 |
1296 | 56,8 |
1297 | 58,8 |
1298 | 60,9 |
1299 | 63,0 |
1300 | 65,0 |
1301 | 66,9 |
1302 | 68,6 |
1303 | 70,1 |
1304 | 71,0 |
1305 | 71,8 |
1306 | 72,8 |
1307 | 72,9 |
1308 | 73,0 |
1309 | 72,3 |
1310 | 71,9 |
1311 | 71,3 |
1312 | 70,9 |
1313 | 70,5 |
1314 | 70,0 |
1315 | 69,6 |
1316 | 69,2 |
1317 | 68,8 |
1318 | 68,4 |
1319 | 67,9 |
1320 | 67,5 |
1321 | 67,2 |
1322 | 66,8 |
1323 | 65,6 |
1324 | 63,3 |
1325 | 60,2 |
1326 | 56,2 |
1327 | 52,2 |
1328 | 48,4 |
1329 | 45,0 |
1330 | 41,6 |
1331 | 38,6 |
1332 | 36,4 |
1333 | 34,8 |
1334 | 34,2 |
1335 | 34,7 |
1336 | 36,3 |
1337 | 38,5 |
1338 | 41,0 |
1339 | 43,7 |
1340 | 46,5 |
1341 | 49,1 |
1342 | 51,6 |
1343 | 53,9 |
1344 | 56,0 |
1345 | 57,9 |
1346 | 59,7 |
1347 | 61,2 |
1348 | 62,5 |
1349 | 63,5 |
1350 | 64,3 |
1351 | 65,3 |
1352 | 66,3 |
1353 | 67,3 |
1354 | 68,3 |
1355 | 69,3 |
1356 | 70,3 |
1357 | 70,8 |
1358 | 70,8 |
1359 | 70,8 |
1360 | 70,9 |
1361 | 70,9 |
1362 | 70,9 |
1363 | 70,9 |
1364 | 71,0 |
1365 | 71,0 |
1366 | 71,1 |
1367 | 71,2 |
1368 | 71,3 |
1369 | 71,4 |
1370 | 71,5 |
1371 | 71,7 |
1372 | 71,8 |
1373 | 71,9 |
1374 | 71,9 |
1375 | 71,9 |
1376 | 71,9 |
1377 | 71,9 |
1378 | 71,9 |
1379 | 71,9 |
1380 | 72,0 |
1381 | 72,1 |
1382 | 72,4 |
1383 | 72,7 |
1384 | 73,1 |
1385 | 73,4 |
1386 | 73,8 |
1387 | 74,0 |
1388 | 74,1 |
1389 | 74,0 |
1390 | 73,0 |
1391 | 72,0 |
1392 | 71,0 |
1393 | 70,0 |
1394 | 69,0 |
1395 | 68,0 |
1396 | 67,7 |
1397 | 66,7 |
1398 | 66,6 |
1399 | 66,7 |
1400 | 66,8 |
1401 | 66,9 |
1402 | 66,9 |
1403 | 66,9 |
1404 | 66,9 |
1405 | 66,9 |
1406 | 66,9 |
1407 | 66,9 |
1408 | 67,0 |
1409 | 67,1 |
1410 | 67,3 |
1411 | 67,5 |
1412 | 67,8 |
1413 | 68,2 |
1414 | 68,6 |
1415 | 69,0 |
1416 | 69,3 |
1417 | 69,3 |
1418 | 69,2 |
1419 | 68,8 |
1420 | 68,2 |
1421 | 67,6 |
1422 | 67,4 |
1423 | 67,2 |
1424 | 66,9 |
1425 | 66,3 |
1426 | 65,4 |
1427 | 64,0 |
1428 | 62,4 |
1429 | 60,6 |
1430 | 58,6 |
1431 | 56,7 |
1432 | 54,8 |
1433 | 53,0 |
1434 | 51,3 |
1435 | 49,6 |
1436 | 47,8 |
1437 | 45,5 |
1438 | 42,8 |
1439 | 39,8 |
1440 | 36,5 |
1441 | 33,0 |
1442 | 29,5 |
1443 | 25,8 |
1444 | 22,1 |
1445 | 18,6 |
1446 | 15,3 |
1447 | 12,4 |
1448 | 9,6 |
1449 | 6,6 |
1450 | 3,8 |
1451 | 1,6 |
1452 | 0,0 |
1453 | 0,0 |
1454 | 0,0 |
1455 | 0,0 |
1456 | 0,0 |
1457 | 0,0 |
1458 | 0,0 |
1459 | 0,0 |
1460 | 0,0 |
1461 | 0,0 |
1462 | 0,0 |
1463 | 0,0 |
1464 | 0,0 |
1465 | 0,0 |
1466 | 0,0 |
1467 | 0,0 |
1468 | 0,0 |
1469 | 0,0 |
1470 | 0,0 |
1471 | 0,0 |
1472 | 0,0 |
1473 | 0,0 |
1474 | 0,0 |
1475 | 0,0 |
1476 | 0,0 |
1477 | 0,0 |
Таблица А.7
ВЦИМГ, цикл применительно к классу 2, фаза Extra High
2
(на 1477-ю секунду приходится завершение фазы High2
и начало фазы Extra High2)
Время, с | Скорость, км/ч |
1478 | 0,0 |
1479 | 1,1 |
1480 | 2,3 |
1481 | 4,6 |
1482 | 6,5 |
1483 | 8,9 |
1484 | 10,9 |
1485 | 13,5 |
1486 | 15,2 |
1487 | 17,6 |
1488 | 19,3 |
1489 | 21,4 |
1490 | 23,0 |
1491 | 25,0 |
1492 | 26,5 |
1493 | 28,4 |
1494 | 29,8 |
1495 | 31,7 |
1496 | 33,7 |
1497 | 35,8 |
1498 | 38,1 |
1499 | 40,5 |
1500 | 42,2 |
1501 | 43,5 |
1502 | 44,5 |
1503 | 45,2 |
1504 | 45,8 |
1505 | 46,6 |
1506 | 47,4 |
1507 | 48,5 |
1508 | 49,7 |
1509 | 51,3 |
1510 | 52,9 |
1511 | 54,3 |
1512 | 55,6 |
1513 | 56,8 |
1514 | 57,9 |
1515 | 58,9 |
1516 | 59,7 |
1517 | 60,3 |
1518 | 60,7 |
1519 | 60,9 |
1520 | 61,0 |
1521 | 61,1 |
1522 | 61,4 |
1523 | 61,8 |
1524 | 62,5 |
1525 | 63,4 |
1526 | 64,5 |
1527 | 65,7 |
1528 | 66,9 |
1529 | 68,1 |
1530 | 69,1 |
1531 | 70,0 |
1532 | 70,9 |
1533 | 71,8 |
1534 | 72,6 |
1535 | 73,4 |
1536 | 74,0 |
1537 | 74,7 |
1538 | 75,2 |
1539 | 75,7 |
1540 | 76,4 |
1541 | 77,2 |
1542 | 78,2 |
1543 | 78,9 |
1544 | 79,9 |
1545 | 81,1 |
1546 | 82,4 |
1547 | 83,7 |
1548 | 85,4 |
1549 | 87,0 |
1550 | 88,3 |
1551 | 89,5 |
1552 | 90,5 |
1553 | 91,3 |
1554 | 92,2 |
1555 | 93,0 |
1556 | 93,8 |
1557 | 94,6 |
1558 | 95,3 |
1559 | 95,9 |
1560 | 96,6 |
1561 | 97,4 |
1562 | 98,1 |
1563 | 98,7 |
1564 | 99,5 |
1565 | 100,3 |
1566 | 101,1 |
1567 | 101,9 |
1568 | 102,8 |
1569 | 103,8 |
1570 | 105,0 |
1571 | 106,1 |
1572 | 107,4 |
1573 | 108,7 |
1574 | 109,9 |
1575 | 111,2 |
1576 | 112,3 |
1577 | 113,4 |
1578 | 114,4 |
1579 | 115,3 |
1580 | 116,1 |
1581 | 116,8 |
1582 | 117,4 |
1583 | 117,7 |
1584 | 118,2 |
1585 | 118,1 |
1586 | 117,7 |
1587 | 117,0 |
1588 | 116,1 |
1589 | 115,2 |
1590 | 114,4 |
1591 | 113,6 |
1592 | 113,0 |
1594 | 112,2 |
1595 | 111,9 |
1596 | 111,6 |
1597 | 111,2 |
1598 | 110,7 |
1599 | 110,1 |
1600 | 109,3 |
1601 | 108,4 |
1602 | 107,4 |
1603 | 106,7 |
1604 | 106,3 |
1605 | 106,2 |
1606 | 106,4 |
1607 | 107,0 |
1608 | 107,5 |
1609 | 107,9 |
1610 | 108,4 |
1611 | 108,9 |
1612 | 109,5 |
1613 | 110,2 |
1614 | 110,9 |
1615 | 111,6 |
1616 | 112,2 |
1617 | 112,8 |
1618 | 113,3 |
1619 | 113,7 |
1620 | 114,1 |
1621 | 114,4 |
1622 | 114,6 |
1623 | 114,7 |
1624 | 114,7 |
1625 | 114,7 |
1626 | 114,6 |
1627 | 114,5 |
1628 | 114,5 |
1629 | 114,5 |
1630 | 114,7 |
1631 | 115,0 |
1632 | 115,6 |
1633 | 116,4 |
1634 | 117,3 |
1635 | 118,2 |
1636 | 118,8 |
1637 | 119,3 |
1638 | 119,6 |
1639 | 119,7 |
1640 | 119,5 |
1641 | 119,3 |
1642 | 119,2 |
1643 | 119,0 |
1644 | 118,8 |
1645 | 118,8 |
1646 | 118,8 |
1647 | 118,8 |
1648 | 118,8 |
1649 | 118,9 |
1650 | 119,0 |
1651 | 119,0 |
1652 | 119,1 |
1653 | 119,2 |
1654 | 119,4 |
1655 | 119,6 |
1656 | 119,9 |
1657 | 120,1 |
1658 | 120,3 |
1659 | 120,4 |
1660 | 120,5 |
1661 | 120,5 |
1662 | 120,5 |
1663 | 120,5 |
1664 | 120,4 |
1665 | 120,3 |
1666 | 120,1 |
1667 | 119,9 |
1668 | 119,6 |
1669 | 119,5 |
1670 | 119,4 |
1671 | 119,3 |
1672 | 119,3 |
1673 | 119,4 |
1674 | 119,5 |
1675 | 119,5 |
1676 | 119,6 |
1677 | 119,6 |
1678 | 119,6 |
1679 | 119,4 |
1680 | 119,3 |
1681 | 119,0 |
1682 | 118,8 |
1683 | 118,7 |
1684 | 118,8 |
1685 | 119,0 |
1686 | 119,2 |
1687 | 119,6 |
1688 | 120,0 |
1689 | 120,3 |
1690 | 120,5 |
1691 | 120,7 |
1692 | 120,9 |
1693 | 121,0 |
1694 | 121,1 |
1695 | 121,2 |
1696 | 121,3 |
1697 | 121,4 |
1698 | 121,5 |
1699 | 121,5 |
1700 | 121,5 |
1701 | 121,4 |
1702 | 121,3 |
1703 | 121,1 |
1704 | 120,9 |
1705 | 120,6 |
1706 | 120,4 |
1707 | 120,2 |
1708 | 120,1 |
1709 | 119,9 |
1710 | 119,8 |
1711 | 119,8 |
1712 | 119,9 |
1713 | 120,0 |
1714 | 120,2 |
1715 | 120,4 |
1716 | 120,8 |
1717 | 121,1 |
1718 | 121,6 |
1719 | 121,8 |
1720 | 122,1 |
1721 | 122,4 |
1722 | 122,7 |
1723 | 122,8 |
1724 | 123,1 |
1725 | 123,1 |
1726 | 122,8 |
1727 | 122,3 |
1728 | 121,3 |
1729 | 119,9 |
1730 | 118,1 |
1731 | 115,9 |
1732 | 113,5 |
1733 | 111,1 |
1734 | 108,6 |
1735 | 106,2 |
1736 | 104,0 |
1737 | 101,1 |
1738 | 98,3 |
1739 | 95,7 |
1740 | 93,5 |
1741 | 91,5 |
1742 | 90,7 |
1743 | 90,4 |
1744 | 90,2 |
1745 | 90,2 |
1746 | 90,1 |
1747 | 90,0 |
1748 | 89,8 |
1749 | 89,6 |
1750 | 89,4 |
1751 | 89,2 |
1752 | 88,9 |
1753 | 88,5 |
1754 | 88,1 |
1755 | 87,6 |
1756 | 87,1 |
1757 | 86,6 |
1758 | 86,1 |
1759 | 85,5 |
1760 | 85,0 |
1761 | 84,4 |
1762 | 83,8 |
1763 | 83,2 |
1764 | 82,6 |
1765 | 81,9 |
1766 | 81,1 |
1767 | 80,0 |
1768 | 78,7 |
1769 | 76,9 |
1770 | 74,6 |
1771 | 72,0 |
1772 | 69,0 |
1773 | 65,6 |
1774 | 62,1 |
1775 | 58,5 |
1776 | 54,7 |
1777 | 50,9 |
1778 | 47,3 |
1779 | 43,8 |
1780 | 40,4 |
1781 | 37,4 |
1782 | 34,3 |
1783 | 31,3 |
1784 | 28,3 |
1785 | 25,2 |
1786 | 22,0 |
1787 | 18,9 |
1788 | 16,1 |
1789 | 13,4 |
1790 | 11,1 |
1791 | 8,9 |
1792 | 6,9 |
1793 | 4,9 |
1794 | 2,8 |
1795 | 0,0 |
1796 | 0,0 |
1797 | 0,0 |
1798 | 0,0 |
1799 | 0,0 |
1800 | 0,0 |
А.6 ВЦИМГ применительно к классу 3
Рисунок А.7 - ВЦИМГ, цикл применительно
к классу 3, фаза Low3
Рисунок А.8 - ВЦИМГ, цикл применительно
к классу 3а, фаза Medium3а
Рисунок А.9 - ВЦИМГ, цикл применительно
к классу 3б, фаза Medium3б
Рисунок А.10 - ВЦИМГ, цикл применительно
к классу 3а, фаза High3а
Рисунок А.11 - ВЦИМГ, цикл применительно
к классу 3б, фаза High3б
Рисунок А.12 - ВЦИМГ, цикл применительно
к классу 3, фаза Extra High3
Таблица А.8
ВЦИМГ, цикл применительно к классу 3, фаза Low
3
(на 589-ю секунду приходится завершение фазы
Low3 и начало фазы Medium3)
Время, с | Скорость, км/ч |
0 | 0,0 |
1 | 0,0 |
2 | 0,0 |
3 | 0,0 |
4 | 0,0 |
5 | 0,0 |
6 | 0,0 |
7 | 0,0 |
8 | 0,0 |
9 | 0,0 |
10 | 0,0 |
11 | 0,0 |
12 | 0,2 |
13 | 1,7 |
14 | 5,4 |
15 | 9,9 |
16 | 13,1 |
17 | 16,9 |
18 | 21,7 |
19 | 26,0 |
20 | 27,5 |
21 | 28,1 |
22 | 28,3 |
23 | 28,8 |
24 | 29,1 |
25 | 30,8 |
26 | 31,9 |
27 | 34,1 |
28 | 36,6 |
29 | 39,1 |
30 | 41,3 |
31 | 42,5 |
32 | 43,3 |
33 | 43,9 |
34 | 44,4 |
35 | 44,5 |
36 | 44,2 |
37 | 42,7 |
38 | 39,9 |
39 | 37,0 |
40 | 34,6 |
41 | 32,3 |
42 | 29,0 |
43 | 25,1 |
44 | 22,2 |
45 | 20,9 |
46 | 20,4 |
47 | 19,5 |
48 | 18,4 |
49 | 17,8 |
50 | 17,8 |
51 | 17,4 |
52 | 15,7 |
53 | 13,1 |
54 | 12,1 |
55 | 12,0 |
56 | 12,0 |
57 | 12,0 |
58 | 12,3 |
59 | 12,6 |
60 | 14,7 |
61 | 15,3 |
62 | 15,9 |
63 | 16,2 |
64 | 17,1 |
65 | 17,8 |
66 | 18,1 |
67 | 18,4 |
68 | 20,3 |
69 | 23,2 |
70 | 26,5 |
71 | 29,8 |
72 | 32,6 |
73 | 34,4 |
74 | 35,5 |
75 | 36,4 |
76 | 37,4 |
77 | 38,5 |
78 | 39,3 |
79 | 39,5 |
80 | 39,0 |
81 | 38,5 |
82 | 37,3 |
83 | 37,0 |
84 | 36,7 |
85 | 35,9 |
86 | 35,3 |
87 | 34,6 |
88 | 34,2 |
89 | 31,9 |
90 | 27,3 |
91 | 22,0 |
92 | 17,0 |
93 | 14,2 |
94 | 12,0 |
95 | 9,1 |
96 | 5,8 |
97 | 3,6 |
98 | 2,2 |
99 | 0,0 |
100 | 0,0 |
101 | 0,0 |
102 | 0,0 |
103 | 0,0 |
104 | 0,0 |
105 | 0,0 |
106 | 0,0 |
107 | 0,0 |
108 | 0,0 |
109 | 0,0 |
110 | 0,0 |
111 | 0,0 |
112 | 0,0 |
113 | 0,0 |
114 | 0,0 |
115 | 0,0 |
116 | 0,0 |
117 | 0,0 |
118 | 0,0 |
119 | 0,0 |
120 | 0,0 |
121 | 0,0 |
122 | 0,0 |
123 | 0,0 |
124 | 0,0 |
125 | 0,0 |
126 | 0,0 |
127 | 0,0 |
128 | 0,0 |
129 | 0,0 |
130 | 0,0 |
131 | 0,0 |
132 | 0,0 |
133 | 0,0 |
134 | 0,0 |
135 | 0,0 |
136 | 0,0 |
137 | 0,0 |
138 | 0,2 |
139 | 1,9 |
140 | 6,1 |
141 | 11,7 |
142 | 16,4 |
143 | 18,9 |
144 | 19,9 |
145 | 20,8 |
146 | 22,8 |
147 | 25,4 |
148 | 27,7 |
149 | 29,2 |
150 | 29,8 |
151 | 29,4 |
152 | 27,2 |
153 | 22,6 |
154 | 17,3 |
155 | 13,3 |
156 | 12,0 |
157 | 12,6 |
158 | 14,1 |
159 | 17,2 |
160 | 20,1 |
161 | 23,4 |
162 | 25,5 |
163 | 27,6 |
164 | 29,5 |
165 | 31,1 |
166 | 32,1 |
167 | 33,2 |
168 | 35,2 |
169 | 37,2 |
170 | 38,0 |
171 | 37,4 |
172 | 35,1 |
173 | 31,0 |
174 | 27,1 |
175 | 25,3 |
176 | 25,1 |
177 | 25,9 |
178 | 27,8 |
179 | 29,2 |
180 | 29,6 |
181 | 29,5 |
182 | 29,2 |
183 | 28,3 |
184 | 26,1 |
185 | 23,6 |
186 | 21,0 |
187 | 18,9 |
188 | 17,1 |
189 | 15,7 |
190 | 14,5 |
191 | 13,7 |
192 | 12,9 |
193 | 12,5 |
194 | 12,2 |
195 | 12,0 |
196 | 12,0 |
197 | 12,0 |
198 | 12,0 |
199 | 12,5 |
200 | 13,0 |
201 | 14,0 |
202 | 15,0 |
203 | 16,5 |
204 | 19,0 |
205 | 21,2 |
206 | 23,8 |
207 | 26,9 |
208 | 29,6 |
209 | 32,0 |
210 | 35,2 |
211 | 37,5 |
212 | 39,2 |
213 | 40,5 |
214 | 41,6 |
215 | 43,1 |
216 | 45,0 |
217 | 47,1 |
218 | 49,0 |
219 | 50,6 |
220 | 51,8 |
221 | 52,7 |
222 | 53,1 |
223 | 53,5 |
224 | 53,8 |
225 | 54,2 |
226 | 54,8 |
227 | 55,3 |
228 | 55,8 |
229 | 56,2 |
230 | 56,5 |
231 | 56,5 |
232 | 56,2 |
233 | 54,9 |
234 | 52,9 |
235 | 51,0 |
236 | 49,8 |
237 | 49,2 |
238 | 48,4 |
239 | 46,9 |
240 | 44,3 |
241 | 41,5 |
242 | 39,5 |
243 | 37,0 |
244 | 34,6 |
245 | 32,3 |
246 | 29,0 |
247 | 25,1 |
248 | 22,2 |
249 | 20,9 |
250 | 20,4 |
251 | 19,5 |
252 | 18,4 |
253 | 17,8 |
254 | 17,8 |
255 | 17,4 |
256 | 15,7 |
257 | 14,5 |
258 | 15,4 |
259 | 17,9 |
260 | 20,6 |
261 | 23,2 |
262 | 25,7 |
263 | 28,7 |
264 | 32,5 |
265 | 36,1 |
266 | 39,0 |
267 | 40,8 |
268 | 42,9 |
269 | 44,4 |
270 | 45,9 |
271 | 46,0 |
272 | 45,6 |
273 | 45,3 |
274 | 43,7 |
275 | 40,8 |
276 | 38,0 |
277 | 34,4 |
278 | 30,9 |
279 | 25,5 |
280 | 21,4 |
281 | 20,2 |
282 | 22,9 |
283 | 26,6 |
284 | 30,2 |
285 | 34,1 |
286 | 37,4 |
287 | 40,7 |
288 | 44,0 |
289 | 47,3 |
290 | 49,2 |
291 | 49,8 |
292 | 49,2 |
293 | 48,1 |
294 | 47,3 |
295 | 46,8 |
296 | 46,7 |
297 | 46,8 |
298 | 47,1 |
299 | 47,3 |
300 | 47,3 |
301 | 47,1 |
302 | 46,6 |
303 | 45,8 |
304 | 44,8 |
305 | 43,3 |
306 | 41,8 |
307 | 40,8 |
308 | 40,3 |
309 | 40,1 |
310 | 39,7 |
311 | 39,2 |
312 | 38,5 |
313 | 37,4 |
314 | 36,0 |
315 | 34,4 |
316 | 33,0 |
317 | 31,7 |
318 | 30,0 |
319 | 28,0 |
320 | 26,1 |
321 | 25,6 |
322 | 24,9 |
323 | 24,9 |
324 | 24,3 |
325 | 23,9 |
326 | 23,9 |
327 | 23,6 |
328 | 23,3 |
329 | 20,5 |
330 | 17,5 |
331 | 16,9 |
332 | 16,7 |
333 | 15,9 |
334 | 15,6 |
335 | 15,0 |
336 | 14,5 |
337 | 14,3 |
338 | 14,5 |
339 | 15,4 |
340 | 17,8 |
341 | 21,1 |
342 | 24,1 |
343 | 25,0 |
344 | 25,3 |
345 | 25,5 |
346 | 26,4 |
347 | 26,6 |
348 | 27,1 |
349 | 27,7 |
350 | 28,1 |
351 | 28,2 |
352 | 28,1 |
353 | 28,0 |
354 | 27,9 |
355 | 27,9 |
356 | 28,1 |
357 | 28,2 |
358 | 28,0 |
359 | 26,9 |
360 | 25,0 |
361 | 23,2 |
362 | 21,9 |
363 | 21,1 |
364 | 20,7 |
365 | 20,7 |
366 | 20,8 |
367 | 21,2 |
368 | 22,1 |
369 | 23,5 |
370 | 24,3 |
371 | 24,5 |
372 | 23,8 |
373 | 21,3 |
374 | 17,7 |
375 | 14,4 |
376 | 11,9 |
377 | 10,2 |
378 | 8,9 |
379 | 8,0 |
380 | 7,2 |
381 | 6,1 |
382 | 4,9 |
383 | 3,7 |
384 | 2,3 |
385 | 0,9 |
386 | 0,0 |
387 | 0,0 |
388 | 0,0 |
389 | 0,0 |
390 | 0,0 |
391 | 0,0 |
392 | 0,5 |
393 | 2,1 |
394 | 4,8 |
395 | 8,3 |
396 | 12,3 |
397 | 16,6 |
398 | 20,9 |
399 | 24,2 |
400 | 25,6 |
401 | 25,6 |
402 | 24,9 |
403 | 23,3 |
404 | 21,6 |
405 | 20,2 |
406 | 18,7 |
407 | 17,0 |
408 | 15,3 |
409 | 14,2 |
410 | 13,9 |
411 | 14,0 |
412 | 14,2 |
413 | 14,5 |
414 | 14,9 |
415 | 15,9 |
416 | 17,4 |
417 | 18,7 |
418 | 19,1 |
419 | 18,8 |
420 | 17,6 |
421 | 16,6 |
422 | 16,2 |
423 | 16,4 |
424 | 17,2 |
425 | 19,1 |
426 | 22,6 |
427 | 27,4 |
428 | 31,6 |
429 | 33,4 |
430 | 33,5 |
431 | 32,8 |
432 | 31,9 |
433 | 31,3 |
434 | 31,1 |
435 | 30,6 |
436 | 29,2 |
437 | 26,7 |
438 | 23,0 |
439 | 18,2 |
440 | 12,9 |
441 | 7,7 |
442 | 3,8 |
443 | 1,3 |
444 | 0,2 |
445 | 0,0 |
446 | 0,0 |
447 | 0,0 |
448 | 0,0 |
449 | 0,0 |
450 | 0,0 |
451 | 0,0 |
452 | 0,0 |
453 | 0,0 |
454 | 0,0 |
455 | 0,0 |
456 | 0,0 |
457 | 0,0 |
458 | 0,0 |
459 | 0,0 |
460 | 0,0 |
461 | 0,0 |
462 | 0,0 |
463 | 0,0 |
464 | 0,0 |
465 | 0,0 |
466 | 0,0 |
467 | 0,0 |
468 | 0,0 |
469 | 0,0 |
470 | 0,0 |
471 | 0,0 |
472 | 0,0 |
473 | 0,0 |
474 | 0,0 |
475 | 0,0 |
476 | 0,0 |
477 | 0,0 |
478 | 0,0 |
479 | 0,0 |
480 | 0,0 |
481 | 0,0 |
482 | 0,0 |
483 | 0,0 |
484 | 0,0 |
485 | 0,0 |
486 | 0,0 |
487 | 0,0 |
488 | 0,0 |
489 | 0,0 |
490 | 0,0 |
491 | 0,0 |
492 | 0,0 |
493 | 0,0 |
494 | 0,0 |
495 | 0,0 |
496 | 0,0 |
497 | 0,0 |
498 | 0,0 |
499 | 0,0 |
500 | 0,0 |
501 | 0,0 |
502 | 0,0 |
503 | 0,0 |
504 | 0,0 |
505 | 0,0 |
506 | 0,0 |
507 | 0,0 |
508 | 0,0 |
509 | 0,0 |
510 | 0,0 |
511 | 0,0 |
512 | 0,5 |
513 | 2,5 |
514 | 6,6 |
515 | 11,8 |
516 | 16,8 |
517 | 20,5 |
518 | 21,9 |
519 | 21,9 |
520 | 21,3 |
521 | 20,3 |
522 | 19,2 |
523 | 17,8 |
524 | 15,5 |
525 | 11,9 |
526 | 7,6 |
527 | 4,0 |
528 | 2,0 |
529 | 1,0 |
530 | 0,0 |
531 | 0,0 |
532 | 0,0 |
533 | 0,2 |
534 | 1,2 |
535 | 3,2 |
536 | 5,2 |
537 | 8,2 |
538 | 13,0 |
539 | 18,8 |
540 | 23,1 |
541 | 24,5 |
542 | 24,5 |
543 | 24,3 |
544 | 23,6 |
545 | 22,3 |
546 | 20,1 |
547 | 18,5 |
548 | 17,2 |
549 | 16,3 |
550 | 15,4 |
551 | 14,7 |
552 | 14,3 |
553 | 13,7 |
554 | 13,3 |
555 | 13,1 |
556 | 13,1 |
557 | 13,3 |
558 | 13,8 |
559 | 14,5 |
560 | 16,5 |
561 | 17,0 |
562 | 17,0 |
563 | 17,0 |
564 | 15,4 |
565 | 10,1 |
566 | 4,8 |
567 | 0,0 |
568 | 0,0 |
569 | 0,0 |
570 | 0,0 |
571 | 0,0 |
572 | 0,0 |
573 | 0,0 |
574 | 0,0 |
575 | 0,0 |
576 | 0,0 |
577 | 0,0 |
578 | 0,0 |
579 | 0,0 |
580 | 0,0 |
581 | 0,0 |
582 | 0,0 |
583 | 0,0 |
584 | 0,0 |
585 | 0,0 |
586 | 0,0 |
587 | 0,0 |
588 | 0,0 |
589 | 0,0 |
Таблица А.9
ВЦИМГ, цикл применительно к классу 3а, фаза Medium
3а
(на 589-ю секунду приходится завершение фазы Low3
и начало фазы Medium3а)
Время, с | Скорость, км/ч |
590 | 0,0 |
591 | 0,0 |
592 | 0,0 |
593 | 0,0 |
594 | 0,0 |
595 | 0,0 |
596 | 0,0 |
597 | 0,0 |
598 | 0,0 |
599 | 0,0 |
600 | 0,0 |
601 | 1,0 |
602 | 2,1 |
603 | 5,2 |
604 | 9,2 |
605 | 13,5 |
606 | 18,1 |
607 | 22,3 |
608 | 26,0 |
609 | 29,3 |
610 | 32,8 |
611 | 36,0 |
612 | 39,2 |
613 | 42,5 |
614 | 45,7 |
615 | 48,2 |
616 | 48,4 |
617 | 48,2 |
618 | 47,8 |
619 | 47,0 |
620 | 45,9 |
621 | 44,9 |
622 | 44,4 |
623 | 44,3 |
624 | 44,5 |
625 | 45,1 |
626 | 45,7 |
627 | 46,0 |
628 | 46,0 |
629 | 46,0 |
630 | 46,1 |
631 | 46,7 |
632 | 47,7 |
633 | 48,9 |
634 | 50,3 |
635 | 51,6 |
636 | 52,6 |
637 | 53,0 |
638 | 53,0 |
639 | 52,9 |
640 | 52,7 |
641 | 52,6 |
642 | 53,1 |
643 | 54,3 |
644 | 55,2 |
645 | 55,5 |
646 | 55,9 |
647 | 56,3 |
648 | 56,7 |
649 | 56,9 |
650 | 56,8 |
651 | 56,0 |
652 | 54,2 |
653 | 52,1 |
654 | 50,1 |
655 | 47,2 |
656 | 43,2 |
657 | 39,2 |
658 | 36,5 |
659 | 34,3 |
660 | 31,0 |
661 | 26,0 |
662 | 20,7 |
663 | 15,4 |
664 | 13,1 |
665 | 12,0 |
666 | 12,5 |
667 | 14,0 |
668 | 19,0 |
669 | 23,2 |
670 | 28,0 |
671 | 32,0 |
672 | 34,0 |
673 | 36,0 |
674 | 38,0 |
675 | 40,0 |
676 | 40,3 |
677 | 40,5 |
678 | 39,0 |
679 | 35,7 |
680 | 31,8 |
681 | 27,1 |
682 | 22,8 |
683 | 21,1 |
684 | 18,9 |
685 | 18,9 |
686 | 21,3 |
687 | 23,9 |
688 | 25,9 |
689 | 28,4 |
690 | 30,3 |
691 | 30,9 |
692 | 31,1 |
693 | 31,8 |
694 | 32,7 |
695 | 33,2 |
696 | 32,4 |
697 | 28,3 |
698 | 25,8 |
699 | 23,1 |
700 | 21,8 |
701 | 21,2 |
702 | 21,0 |
703 | 21,0 |
704 | 20,9 |
705 | 19,9 |
706 | 17,9 |
707 | 15,1 |
708 | 12,8 |
709 | 12,0 |
710 | 13,2 |
711 | 17,1 |
712 | 21,1 |
713 | 21,8 |
714 | 21,2 |
715 | 18,5 |
716 | 13,9 |
717 | 12,0 |
718 | 12,0 |
719 | 13,0 |
720 | 16,3 |
721 | 20,5 |
722 | 23,9 |
723 | 26,0 |
724 | 28,0 |
725 | 31,5 |
726 | 33,4 |
727 | 36,0 |
728 | 37,8 |
729 | 40,2 |
730 | 41,6 |
731 | 41,9 |
732 | 42,0 |
733 | 42,2 |
734 | 42,4 |
735 | 42,7 |
736 | 43,1 |
737 | 43,7 |
738 | 44,0 |
739 | 44,1 |
740 | 45,3 |
741 | 46,4 |
742 | 47,2 |
743 | 47,3 |
744 | 47,4 |
745 | 47,4 |
746 | 47,5 |
747 | 47,9 |
748 | 48,6 |
749 | 49,4 |
750 | 49,8 |
751 | 49,8 |
752 | 49,7 |
753 | 49,3 |
754 | 48,5 |
755 | 47,6 |
756 | 46,3 |
757 | 43,7 |
758 | 39,3 |
759 | 34,1 |
760 | 29,0 |
761 | 23,7 |
762 | 18,4 |
763 | 14,3 |
764 | 12,0 |
765 | 12,8 |
766 | 16,0 |
767 | 20,4 |
768 | 24,0 |
769 | 29,0 |
770 | 32,2 |
771 | 36,8 |
772 | 39,4 |
773 | 43,2 |
774 | 45,8 |
775 | 49,2 |
776 | 51,4 |
777 | 54,2 |
778 | 56,0 |
779 | 58,3 |
780 | 59,8 |
781 | 61,7 |
782 | 62,7 |
783 | 63,3 |
784 | 63,6 |
785 | 64,0 |
786 | 64,7 |
787 | 65,2 |
788 | 65,3 |
789 | 65,3 |
790 | 65,4 |
791 | 65,7 |
792 | 66,0 |
793 | 65,6 |
794 | 63,5 |
795 | 59,7 |
796 | 54,6 |
797 | 49,3 |
798 | 44,9 |
799 | 42,3 |
800 | 41,4 |
801 | 41,3 |
802 | 43,0 |
803 | 45,0 |
804 | 46,5 |
805 | 48,3 |
806 | 49,5 |
807 | 51,2 |
808 | 52,2 |
809 | 51,6 |
810 | 49,7 |
811 | 47,4 |
812 | 43,7 |
813 | 39,7 |
814 | 35,5 |
815 | 31,1 |
816 | 26,3 |
817 | 21,9 |
818 | 18,0 |
819 | 17,0 |
820 | 18,0 |
821 | 21,4 |
822 | 24,8 |
823 | 27,9 |
824 | 30,8 |
825 | 33,0 |
826 | 35,1 |
827 | 37,1 |
828 | 38,9 |
829 | 41,4 |
830 | 44,0 |
831 | 46,3 |
832 | 47,7 |
833 | 48,2 |
834 | 48,7 |
835 | 49,3 |
836 | 49,8 |
837 | 50,2 |
838 | 50,9 |
839 | 51,8 |
840 | 52,5 |
841 | 53,3 |
842 | 54,5 |
843 | 55,7 |
844 | 56,5 |
845 | 56,8 |
846 | 57,0 |
847 | 57,2 |
848 | 57,7 |
849 | 58,7 |
850 | 60,1 |
851 | 61,1 |
852 | 61,7 |
853 | 62,3 |
854 | 62,9 |
855 | 63,3 |
856 | 63,4 |
857 | 63,5 |
858 | 63,9 |
859 | 64,4 |
860 | 65,0 |
861 | 65,6 |
862 | 66,6 |
863 | 67,4 |
864 | 68,2 |
865 | 69,1 |
866 | 70,0 |
867 | 70,8 |
868 | 71,5 |
869 | 72,4 |
870 | 73,0 |
871 | 73,7 |
872 | 74,4 |
873 | 74,9 |
874 | 75,3 |
875 | 75,6 |
876 | 75,8 |
877 | 76,6 |
878 | 76,5 |
879 | 76,2 |
880 | 75,8 |
881 | 75,4 |
882 | 74,8 |
883 | 73,9 |
884 | 72,7 |
885 | 71,3 |
886 | 70,4 |
887 | 70,0 |
888 | 70,0 |
889 | 69,0 |
890 | 68,0 |
891 | 67,3 |
892 | 66,2 |
893 | 64,8 |
894 | 63,6 |
895 | 62,6 |
896 | 62,1 |
897 | 61,9 |
898 | 61,9 |
899 | 61,8 |
900 | 61,5 |
901 | 60,9 |
902 | 59,7 |
903 | 54,6 |
904 | 49,3 |
905 | 44,9 |
906 | 42,3 |
907 | 41,4 |
908 | 41,3 |
909 | 42,1 |
910 | 44,7 |
911 | 46,0 |
912 | 48,8 |
913 | 50,1 |
914 | 51,3 |
915 | 54,1 |
916 | 55,2 |
917 | 56,2 |
918 | 56,1 |
919 | 56,1 |
920 | 56,5 |
921 | 57,5 |
922 | 59,2 |
923 | 60,7 |
924 | 61,8 |
925 | 62,3 |
926 | 62,7 |
927 | 62,0 |
928 | 61,3 |
929 | 60,9 |
930 | 60,5 |
931 | 60,2 |
932 | 59,8 |
933 | 59,4 |
934 | 58,6 |
935 | 57,5 |
936 | 56,6 |
937 | 56,0 |
938 | 55,5 |
939 | 55,0 |
940 | 54,4 |
941 | 54,1 |
942 | 54,0 |
943 | 53,9 |
944 | 53,9 |
945 | 54,0 |
946 | 54,2 |
947 | 55,0 |
948 | 55,8 |
949 | 56,2 |
950 | 56,1 |
951 | 55,1 |
952 | 52,7 |
953 | 48,4 |
954 | 43,1 |
955 | 37,8 |
956 | 32,5 |
957 | 27,2 |
958 | 25,1 |
959 | 27,0 |
960 | 29,8 |
961 | 33,8 |
962 | 37,0 |
963 | 40,7 |
964 | 43,0 |
965 | 45,6 |
966 | 46,9 |
967 | 47,0 |
968 | 46,9 |
969 | 46,5 |
970 | 45,8 |
971 | 44,3 |
972 | 41,3 |
973 | 36,5 |
974 | 31,7 |
975 | 27,0 |
976 | 24,7 |
977 | 19,3 |
978 | 16,0 |
979 | 13,2 |
980 | 10,7 |
981 | 8,8 |
982 | 7,2 |
983 | 5,5 |
984 | 3,2 |
985 | 1,1 |
986 | 0,0 |
987 | 0,0 |
988 | 0,0 |
989 | 0,0 |
990 | 0,0 |
991 | 0,0 |
992 | 0,0 |
993 | 0,0 |
994 | 0,0 |
995 | 0,0 |
996 | 0,0 |
997 | 0,0 |
998 | 0,0 |
999 | 0,0 |
1000 | 0,0 |
1001 | 0,0 |
1002 | 0,0 |
1003 | 0,0 |
1004 | 0,0 |
1005 | 0,0 |
1006 | 0,0 |
1007 | 0,0 |
1008 | 0,0 |
1009 | 0,0 |
1010 | 0,0 |
1011 | 0,0 |
1012 | 0,0 |
1013 | 0,0 |
1014 | 0,0 |
1015 | 0,0 |
1016 | 0,0 |
1017 | 0,0 |
1018 | 0,0 |
1019 | 0,0 |
1020 | 0,0 |
1021 | 0,0 |
1022 | 0,0 |
Таблица А.10
ВЦИМГ, цикл применительно к классу 3б, фаза Medium
3б
(на 589-ю секунду приходится завершение фазы Low3
и начало фазы Medium3б)
Время, с | Скорость, км/ч |
590 | 0,0 |
591 | 0,0 |
592 | 0,0 |
593 | 0,0 |
594 | 0,0 |
595 | 0,0 |
596 | 0,0 |
597 | 0,0 |
598 | 0,0 |
599 | 0,0 |
600 | 0,0 |
601 | 1,0 |
602 | 2,1 |
603 | 4,8 |
604 | 9,1 |
605 | 14,2 |
606 | 19,8 |
607 | 25,5 |
608 | 30,5 |
609 | 34,8 |
610 | 38,8 |
611 | 42,9 |
612 | 46,4 |
613 | 48,3 |
614 | 48,7 |
615 | 48,5 |
616 | 48,4 |
617 | 48,2 |
618 | 47,8 |
619 | 47,0 |
620 | 45,9 |
621 | 44,9 |
622 | 44,4 |
623 | 44,3 |
624 | 44,5 |
625 | 45,1 |
626 | 45,7 |
627 | 46,0 |
628 | 46,0 |
629 | 46,0 |
630 | 46,1 |
631 | 46,7 |
632 | 47,7 |
633 | 48,9 |
634 | 50,3 |
635 | 51,6 |
636 | 52,6 |
637 | 53,0 |
638 | 53,0 |
639 | 52,9 |
640 | 52,7 |
641 | 52,6 |
642 | 53,1 |
643 | 54,3 |
644 | 55,2 |
645 | 55,5 |
646 | 55,9 |
647 | 56,3 |
648 | 56,7 |
649 | 56,9 |
650 | 56,8 |
651 | 56,0 |
652 | 54,2 |
653 | 52,1 |
654 | 50,1 |
655 | 47,2 |
656 | 43,2 |
657 | 39,2 |
658 | 36,5 |
659 | 34,3 |
660 | 31,0 |
661 | 26,0 |
662 | 20,7 |
663 | 15,4 |
664 | 13,1 |
665 | 12,0 |
666 | 12,5 |
667 | 14,0 |
668 | 19,0 |
669 | 23,2 |
670 | 28,0 |
671 | 32,0 |
672 | 34,0 |
673 | 36,0 |
674 | 38,0 |
675 | 40,0 |
676 | 40,3 |
677 | 40,5 |
678 | 39,0 |
679 | 35,7 |
680 | 31,8 |
681 | 27,1 |
682 | 22,8 |
683 | 21,1 |
684 | 18,9 |
685 | 18,9 |
686 | 21,3 |
687 | 23,9 |
688 | 25,9 |
689 | 28,4 |
690 | 30,3 |
691 | 30,9 |
692 | 31,1 |
693 | 31,8 |
694 | 32,7 |
695 | 33,2 |
696 | 32,4 |
697 | 28,3 |
698 | 25,8 |
699 | 23,1 |
700 | 21,8 |
701 | 21,2 |
702 | 21,0 |
703 | 21,0 |
704 | 20,9 |
705 | 19,9 |
706 | 17,9 |
707 | 15,1 |
708 | 12,8 |
709 | 12,0 |
710 | 13,2 |
711 | 17,1 |
712 | 21,1 |
713 | 21,8 |
714 | 21,2 |
715 | 18,5 |
716 | 13,9 |
717 | 12,0 |
718 | 12,0 |
719 | 13,0 |
720 | 16,0 |
721 | 18,5 |
722 | 20,6 |
723 | 22,5 |
724 | 24,0 |
725 | 26,6 |
726 | 29,9 |
727 | 34,8 |
728 | 37,8 |
729 | 40,2 |
730 | 41,6 |
731 | 41,9 |
732 | 42,0 |
733 | 42,2 |
734 | 42,4 |
735 | 42,7 |
736 | 43,1 |
737 | 43,7 |
738 | 44,0 |
739 | 44,1 |
740 | 45,3 |
741 | 46,4 |
742 | 47,2 |
743 | 47,3 |
744 | 47,4 |
745 | 47,4 |
746 | 47,5 |
747 | 47,9 |
748 | 48,6 |
749 | 49,4 |
750 | 49,8 |
751 | 49,8 |
752 | 49,7 |
753 | 49,3 |
754 | 48,5 |
755 | 47,6 |
756 | 46,3 |
757 | 43,7 |
758 | 39,3 |
759 | 34,1 |
760 | 29,0 |
761 | 23,7 |
762 | 18,4 |
763 | 14,3 |
764 | 12,0 |
765 | 12,8 |
766 | 16,0 |
767 | 19,1 |
768 | 22,4 |
769 | 25,6 |
770 | 30,1 |
771 | 35,3 |
772 | 39,9 |
773 | 44,5 |
774 | 47,5 |
775 | 50,9 |
776 | 54,1 |
777 | 56,3 |
778 | 58,1 |
779 | 59,8 |
780 | 61,1 |
781 | 62,1 |
782 | 62,8 |
783 | 63,3 |
784 | 63,6 |
785 | 64,0 |
786 | 64,7 |
787 | 65,2 |
788 | 65,3 |
789 | 65,3 |
790 | 65,4 |
791 | 65,7 |
792 | 66,0 |
793 | 65,6 |
794 | 63,5 |
795 | 59,7 |
796 | 54,6 |
797 | 49,3 |
798 | 44,9 |
799 | 42,3 |
800 | 41,4 |
801 | 41,3 |
802 | 42,1 |
803 | 44,7 |
804 | 48,4 |
805 | 51,4 |
806 | 52,7 |
807 | 53,0 |
808 | 52,5 |
809 | 51,3 |
810 | 49,7 |
811 | 47,4 |
812 | 43,7 |
813 | 39,7 |
814 | 35,5 |
815 | 31,1 |
816 | 26,3 |
817 | 21,9 |
818 | 18,0 |
819 | 17,0 |
820 | 18,0 |
821 | 21,4 |
822 | 24,8 |
823 | 27,9 |
824 | 30,8 |
825 | 33,0 |
826 | 35,1 |
827 | 37,1 |
828 | 38,9 |
829 | 41,4 |
830 | 44,0 |
831 | 46,3 |
832 | 47,7 |
833 | 48,2 |
834 | 48,7 |
835 | 49,3 |
836 | 49,8 |
837 | 50,2 |
838 | 50,9 |
839 | 51,8 |
840 | 52,5 |
841 | 53,3 |
842 | 54,5 |
843 | 55,7 |
844 | 56,5 |
845 | 56,8 |
846 | 57,0 |
847 | 57,2 |
848 | 57,7 |
849 | 58,7 |
850 | 60,1 |
851 | 61,1 |
852 | 61,7 |
853 | 62,3 |
854 | 62,9 |
855 | 63,3 |
856 | 63,4 |
857 | 63,5 |
858 | 64,5 |
859 | 65,8 |
860 | 66,8 |
861 | 67,4 |
862 | 68,8 |
863 | 71,1 |
864 | 72,3 |
865 | 72,8 |
866 | 73,4 |
867 | 74,6 |
868 | 76,0 |
869 | 76,6 |
870 | 76,5 |
871 | 76,2 |
872 | 75,8 |
873 | 75,4 |
874 | 74,8 |
875 | 73,9 |
876 | 72,7 |
877 | 71,3 |
878 | 70,4 |
879 | 70,0 |
880 | 70,0 |
881 | 69,0 |
882 | 68,0 |
883 | 68,0 |
884 | 68,0 |
885 | 68,1 |
886 | 68,4 |
887 | 68,6 |
888 | 68,7 |
889 | 68,5 |
890 | 68,1 |
891 | 67,3 |
892 | 66,2 |
893 | 64,8 |
894 | 63,6 |
895 | 62,6 |
896 | 62,1 |
897 | 61,9 |
898 | 61,9 |
899 | 61,8 |
900 | 61,5 |
901 | 60,9 |
902 | 59,7 |
903 | 54,6 |
904 | 49,3 |
905 | 44,9 |
906 | 42,3 |
907 | 41,4 |
908 | 41,3 |
909 | 42,1 |
910 | 44,7 |
911 | 48,4 |
912 | 51,4 |
913 | 52,7 |
914 | 54,0 |
915 | 57,0 |
916 | 58,1 |
917 | 59,2 |
918 | 59,0 |
919 | 59,1 |
920 | 59,5 |
921 | 60,5 |
922 | 62,3 |
923 | 63,9 |
924 | 65,1 |
925 | 64,1 |
926 | 62,7 |
927 | 62,0 |
928 | 61,3 |
929 | 60,9 |
930 | 60,5 |
931 | 60,2 |
932 | 59,8 |
933 | 59,4 |
934 | 58,6 |
935 | 57,5 |
936 | 56,6 |
937 | 56,0 |
938 | 55,5 |
939 | 55,0 |
940 | 54,4 |
941 | 54,1 |
942 | 54,0 |
943 | 53,9 |
944 | 53,9 |
945 | 54,0 |
946 | 54,2 |
947 | 55,0 |
948 | 55,8 |
949 | 56,2 |
950 | 56,1 |
951 | 55,1 |
952 | 52,7 |
953 | 48,4 |
954 | 43,1 |
955 | 37,8 |
956 | 32,5 |
957 | 27,2 |
958 | 25,1 |
959 | 26,0 |
960 | 29,3 |
961 | 34,6 |
962 | 40,4 |
963 | 45,3 |
964 | 49,0 |
965 | 51,1 |
966 | 52,1 |
967 | 52,2 |
968 | 52,1 |
969 | 51,7 |
970 | 50,9 |
971 | 49,2 |
972 | 45,9 |
973 | 40,6 |
974 | 35,3 |
975 | 30,0 |
976 | 24,7 |
977 | 19,3 |
978 | 16,0 |
979 | 13,2 |
980 | 10,7 |
981 | 8,8 |
982 | 7,2 |
983 | 5,5 |
984 | 3,2 |
985 | 1,1 |
986 | 0,0 |
987 | 0,0 |
988 | 0,0 |
989 | 0,0 |
990 | 0,0 |
991 | 0,0 |
992 | 0,0 |
993 | 0,0 |
994 | 0,0 |
995 | 0,0 |
996 | 0,0 |
997 | 0,0 |
998 | 0,0 |
999 | 0,0 |
1000 | 0,0 |
1001 | 0,0 |
1002 | 0,0 |
1003 | 0,0 |
1004 | 0,0 |
1005 | 0,0 |
1006 | 0,0 |
1007 | 0,0 |
1008 | 0,0 |
1009 | 0,0 |
1010 | 0,0 |
1011 | 0,0 |
1012 | 0,0 |
1013 | 0,0 |
1014 | 0,0 |
1015 | 0,0 |
1016 | 0,0 |
1017 | 0,0 |
1018 | 0,0 |
1019 | 0,0 |
1020 | 0,0 |
1021 | 0,0 |
1022 | 0,0 |
Таблица А.11
ВЦИМГ, цикл применительно к классу 3а, фаза High
3а
(начало этой фазы приходится на 1022-ю секунду)
Время, с | Скорость, км/ч |
1023 | 0,0 |
1024 | 0,0 |
1025 | 0,0 |
1026 | 0,0 |
1027 | 0,8 |
1028 | 3,6 |
1029 | 8,6 |
1030 | 14,6 |
1031 | 20,0 |
1032 | 24,4 |
1033 | 28,2 |
1034 | 31,7 |
1035 | 35,0 |
1036 | 37,6 |
1037 | 39,7 |
1038 | 41,5 |
1039 | 43,6 |
1040 | 46,0 |
1041 | 48,4 |
1042 | 50,5 |
1043 | 51,9 |
1044 | 52,6 |
1045 | 52,8 |
1046 | 52,9 |
1047 | 53,1 |
1048 | 53,3 |
1049 | 53,1 |
1050 | 52,3 |
1051 | 50,7 |
1052 | 48,8 |
1053 | 46,5 |
1054 | 43,8 |
1055 | 40,3 |
1056 | 36,0 |
1057 | 30,7 |
1058 | 25,4 |
1059 | 21,0 |
1060 | 16,7 |
1061 | 13,4 |
1062 | 12,0 |
1063 | 12,1 |
1064 | 12,8 |
1065 | 15,6 |
1066 | 19,9 |
1067 | 23,4 |
1068 | 24,6 |
1069 | 27,0 |
1070 | 29,0 |
1071 | 32,0 |
1072 | 34,8 |
1073 | 37,7 |
1074 | 40,8 |
1075 | 43,2 |
1076 | 46,0 |
1077 | 48,0 |
1078 | 50,7 |
1079 | 52,0 |
1080 | 54,5 |
1081 | 55,9 |
1082 | 57,4 |
1083 | 58,1 |
1084 | 58,4 |
1085 | 58,8 |
1086 | 58,8 |
1087 | 58,6 |
1088 | 58,7 |
1089 | 58,8 |
1090 | 58,8 |
1091 | 58,8 |
1092 | 59,1 |
1093 | 60,1 |
1094 | 61,7 |
1095 | 63,0 |
1096 | 63,7 |
1097 | 63,9 |
1098 | 63,5 |
1099 | 62,3 |
1100 | 60,3 |
1101 | 58,9 |
1102 | 58,4 |
1103 | 58,8 |
1104 | 60,2 |
1105 | 62,3 |
1106 | 63,9 |
1107 | 64,5 |
1108 | 64,4 |
1109 | 63,5 |
1110 | 62,0 |
1111 | 61,2 |
1112 | 61,3 |
1113 | 61,7 |
1114 | 62,0 |
1115 | 64,6 |
1116 | 66,0 |
1117 | 66,2 |
1118 | 65,8 |
1119 | 64,7 |
1120 | 63,6 |
1121 | 62,9 |
1122 | 62,4 |
1123 | 61,7 |
1124 | 60,1 |
1125 | 57,3 |
1126 | 55,8 |
1127 | 50,5 |
1128 | 45,2 |
1129 | 40,1 |
1130 | 36,2 |
1131 | 32,9 |
1132 | 29,8 |
1133 | 26,6 |
1134 | 23,0 |
1135 | 19,4 |
1136 | 16,3 |
1137 | 14,6 |
1138 | 14,2 |
1139 | 14,3 |
1140 | 14,6 |
1141 | 15,1 |
1142 | 16,4 |
1143 | 19,1 |
1144 | 22,5 |
1145 | 24,4 |
1146 | 24,8 |
1147 | 22,7 |
1148 | 17,4 |
1149 | 13,8 |
1150 | 12,0 |
1151 | 12,0 |
1152 | 12,0 |
1153 | 13,9 |
1154 | 17,7 |
1155 | 22,8 |
1156 | 27,3 |
1157 | 31,2 |
1158 | 35,2 |
1159 | 39,4 |
1160 | 42,5 |
1161 | 45,4 |
1162 | 48,2 |
1163 | 50,3 |
1164 | 52,6 |
1165 | 54,5 |
1166 | 56,6 |
1167 | 58,3 |
1168 | 60,0 |
1169 | 61,5 |
1170 | 63,1 |
1171 | 64,3 |
1172 | 65,7 |
1173 | 67,1 |
1174 | 68,3 |
1175 | 69,7 |
1176 | 70,6 |
1177 | 71,6 |
1178 | 72,6 |
1179 | 73,5 |
1180 | 74,2 |
1181 | 74,9 |
1182 | 75,6 |
1183 | 76,3 |
1184 | 77,1 |
1185 | 77,9 |
1186 | 78,5 |
1187 | 79,0 |
1188 | 79,7 |
1189 | 80,3 |
1190 | 81,0 |
1191 | 81,6 |
1192 | 82,4 |
1193 | 82,9 |
1194 | 83,4 |
1195 | 83,8 |
1196 | 84,2 |
1197 | 84,7 |
1198 | 85,2 |
1199 | 85,6 |
1200 | 86,3 |
1201 | 86,8 |
1202 | 87,4 |
1203 | 88,0 |
1204 | 88,3 |
1205 | 88,7 |
1206 | 89,0 |
1207 | 89,3 |
1208 | 89,8 |
1209 | 90,2 |
1210 | 90,6 |
1211 | 91,0 |
1212 | 91,3 |
1213 | 91,6 |
1214 | 91,9 |
1215 | 92,2 |
1216 | 92,8 |
1217 | 93,1 |
1218 | 93,3 |
1219 | 93,5 |
1220 | 93,7 |
1221 | 93,9 |
1222 | 94,0 |
1223 | 94,1 |
1224 | 94,3 |
1225 | 94,4 |
1226 | 94,6 |
1227 | 94,7 |
1228 | 94,8 |
1229 | 95,0 |
1230 | 95,1 |
1231 | 95,3 |
1232 | 95,4 |
1233 | 95,6 |
1234 | 95,7 |
1235 | 95,8 |
1236 | 96,0 |
1237 | 96,1 |
1238 | 96,3 |
1239 | 96,4 |
1240 | 96,6 |
1241 | 96,8 |
1242 | 97,0 |
1243 | 97,2 |
1244 | 97,3 |
1245 | 97,4 |
1246 | 97,4 |
1247 | 97,4 |
1248 | 97,4 |
1249 | 97,3 |
1250 | 97,3 |
1251 | 97,3 |
1252 | 97,3 |
1253 | 97,2 |
1254 | 97,1 |
1255 | 97,0 |
1256 | 96,9 |
1257 | 96,7 |
1258 | 96,4 |
1259 | 96,1 |
1260 | 95,7 |
1261 | 95,5 |
1262 | 95,3 |
1263 | 95,2 |
1264 | 95,0 |
1265 | 94,9 |
1266 | 94,7 |
1267 | 94,5 |
1268 | 94,4 |
1269 | 94,4 |
1270 | 94,3 |
1271 | 94,3 |
1272 | 94,1 |
1273 | 93,9 |
1274 | 93,4 |
1275 | 92,8 |
1276 | 92,0 |
1277 | 91,3 |
1278 | 90,6 |
1279 | 90,0 |
1280 | 89,3 |
1281 | 88,7 |
1282 | 88,1 |
1283 | 87,4 |
1284 | 86,7 |
1285 | 86,0 |
1286 | 85,3 |
1287 | 84,7 |
1288 | 84,1 |
1289 | 83,5 |
1290 | 82,9 |
1291 | 82,3 |
1292 | 81,7 |
1293 | 81,1 |
1294 | 80,5 |
1295 | 79,9 |
1296 | 79,4 |
1297 | 79,1 |
1298 | 78,8 |
1299 | 78,5 |
1300 | 78,2 |
1301 | 77,9 |
1302 | 77,6 |
1303 | 77,3 |
1304 | 77,0 |
1305 | 76,7 |
1306 | 76,0 |
1307 | 76,0 |
1308 | 76,0 |
1309 | 75,9 |
1310 | 76,0 |
1311 | 76,0 |
1312 | 76,1 |
1313 | 76,3 |
1314 | 76,5 |
1315 | 76,6 |
1316 | 76,8 |
1317 | 77,1 |
1318 | 77,1 |
1319 | 77,2 |
1320 | 77,2 |
1321 | 77,6 |
1322 | 78,0 |
1323 | 78,4 |
1324 | 78,8 |
1325 | 79,2 |
1326 | 80,3 |
1327 | 80,8 |
1328 | 81,0 |
1329 | 81,0 |
1330 | 81,0 |
1331 | 81,0 |
1332 | 81,0 |
1333 | 80,9 |
1334 | 80,6 |
1335 | 80,3 |
1336 | 80,0 |
1337 | 79,9 |
1338 | 79,8 |
1339 | 79,8 |
1340 | 79,8 |
1341 | 79,9 |
1342 | 80,0 |
1343 | 80,4 |
1344 | 80,8 |
1345 | 81,2 |
1346 | 81,5 |
1347 | 81,6 |
1348 | 81,6 |
1349 | 81,4 |
1350 | 80,7 |
1351 | 79,6 |
1352 | 78,2 |
1353 | 76,8 |
1354 | 75,3 |
1355 | 73,8 |
1356 | 72,1 |
1357 | 70,2 |
1358 | 68,2 |
1359 | 66,1 |
1360 | 63,8 |
1361 | 61,6 |
1362 | 60,2 |
1363 | 59,8 |
1364 | 60,4 |
1365 | 61,8 |
1366 | 62,6 |
1367 | 62,7 |
1368 | 61,9 |
1369 | 60,0 |
1370 | 58,4 |
1371 | 57,8 |
1372 | 57,8 |
1373 | 57,8 |
1374 | 57,3 |
1375 | 56,2 |
1376 | 54,3 |
1377 | 50,8 |
1378 | 45,5 |
1379 | 40,2 |
1380 | 34,9 |
1381 | 29,6 |
1382 | 28,7 |
1383 | 29,3 |
1384 | 30,5 |
1385 | 31,7 |
1386 | 32,9 |
1387 | 35,0 |
1388 | 38,0 |
1389 | 40,5 |
1390 | 42,7 |
1391 | 45,8 |
1392 | 47,5 |
1393 | 48,9 |
1394 | 49,4 |
1395 | 49,4 |
1396 | 49,2 |
1397 | 48,7 |
1398 | 47,9 |
1399 | 46,9 |
1400 | 45,6 |
1401 | 44,2 |
1402 | 42,7 |
1403 | 40,7 |
1404 | 37,1 |
1405 | 33,9 |
1406 | 30,6 |
1407 | 28,6 |
1408 | 27,3 |
1409 | 27,2 |
1410 | 27,5 |
1411 | 27,4 |
1412 | 27,1 |
1413 | 26,7 |
1414 | 26,8 |
1415 | 28,2 |
1416 | 31,1 |
1417 | 34,8 |
1418 | 38,4 |
1419 | 40,9 |
1420 | 41,7 |
1421 | 40,9 |
1422 | 38,3 |
1423 | 35,3 |
1424 | 34,3 |
1425 | 34,6 |
1426 | 36,3 |
1427 | 39,5 |
1428 | 41,8 |
1429 | 42,5 |
1430 | 41,9 |
1431 | 40,1 |
1432 | 36,6 |
1433 | 31,3 |
1434 | 26,0 |
1435 | 20,6 |
1436 | 19,1 |
1437 | 19,7 |
1438 | 21,1 |
1439 | 22,0 |
1440 | 22,1 |
1441 | 21,4 |
1442 | 19,6 |
1443 | 18,3 |
1444 | 18,0 |
1445 | 18,3 |
1446 | 18,5 |
1447 | 17,9 |
1448 | 15,0 |
1449 | 9,9 |
1450 | 4,6 |
1451 | 1,2 |
1452 | 0,0 |
1453 | 0,0 |
1454 | 0,0 |
1455 | 0,0 |
1456 | 0,0 |
1457 | 0,0 |
1458 | 0,0 |
1459 | 0,0 |
1460 | 0,0 |
1461 | 0,0 |
1462 | 0,0 |
1463 | 0,0 |
1464 | 0,0 |
1465 | 0,0 |
1466 | 0,0 |
1467 | 0,0 |
1468 | 0,0 |
1469 | 0,0 |
1470 | 0,0 |
1471 | 0,0 |
1472 | 0,0 |
1473 | 0,0 |
1474 | 0,0 |
1475 | 0,0 |
1476 | 0,0 |
1477 | 0,0 |
Таблица А.12
ВЦИМГ, цикл применительно к классу 3б, фаза High
3б
(начало этой фазы приходится на 1022-ю секунду)
Время, с | Скорость, км/ч |
1023 | 0,0 |
1024 | 0,0 |
1025 | 0,0 |
1026 | 0,0 |
1027 | 0,8 |
1028 | 3,6 |
1029 | 8,6 |
1030 | 14,6 |
1031 | 20,0 |
1032 | 24,4 |
1033 | 28,2 |
1034 | 31,7 |
1035 | 35,0 |
1036 | 37,6 |
1037 | 39,7 |
1038 | 41,5 |
1039 | 43,6 |
1040 | 46,0 |
1041 | 48,4 |
1042 | 50,5 |
1043 | 51,9 |
1044 | 52,6 |
1045 | 52,8 |
1046 | 52,9 |
1047 | 53,1 |
1048 | 53,3 |
1049 | 53,1 |
1050 | 52,3 |
1051 | 50,7 |
1052 | 48,8 |
1053 | 46,5 |
1054 | 43,8 |
1055 | 40,3 |
1056 | 36,0 |
1057 | 30,7 |
1058 | 25,4 |
1059 | 21,0 |
1060 | 16,7 |
1061 | 13,4 |
1062 | 12,0 |
1063 | 12,1 |
1064 | 12,8 |
1065 | 15,6 |
1066 | 19,9 |
1067 | 23,4 |
1068 | 24,6 |
1069 | 25,2 |
1070 | 26,4 |
1071 | 28,8 |
1072 | 31,8 |
1073 | 35,3 |
1074 | 39,5 |
1075 | 44,5 |
1076 | 49,3 |
1077 | 53,3 |
1078 | 56,4 |
1079 | 58,9 |
1080 | 61,2 |
1081 | 62,6 |
1082 | 63,0 |
1083 | 62,5 |
1084 | 60,9 |
1085 | 59,3 |
1086 | 58,6 |
1087 | 58,6 |
1088 | 58,7 |
1089 | 58,8 |
1090 | 58,8 |
1091 | 58,8 |
1092 | 59,1 |
1093 | 60,1 |
1094 | 61,7 |
1095 | 63,0 |
1096 | 63,7 |
1097 | 63,9 |
1098 | 63,5 |
1099 | 62,3 |
1100 | 60,3 |
1101 | 58,9 |
1102 | 58,4 |
1103 | 58,8 |
1104 | 60,2 |
1105 | 62,3 |
1106 | 63,9 |
1107 | 64,5 |
1108 | 64,4 |
1109 | 63,5 |
1110 | 62,0 |
1111 | 61,2 |
1112 | 61,3 |
1113 | 62,6 |
1114 | 65,3 |
1115 | 68,0 |
1116 | 69,4 |
1117 | 69,7 |
1118 | 69,3 |
1119 | 68,1 |
1120 | 66,9 |
1121 | 66,2 |
1122 | 65,7 |
1123 | 64,9 |
1124 | 63,2 |
1125 | 60,3 |
1126 | 55,8 |
1127 | 50,5 |
1128 | 45,2 |
1129 | 40,1 |
1130 | 36,2 |
1131 | 32,9 |
1132 | 29,8 |
1133 | 26,6 |
1134 | 23,0 |
1135 | 19,4 |
1136 | 16,3 |
1137 | 14,6 |
1138 | 14,2 |
1139 | 14,3 |
1140 | 14,6 |
1141 | 15,1 |
1142 | 16,4 |
1143 | 19,1 |
1144 | 22,5 |
1145 | 24,4 |
1146 | 24,8 |
1147 | 22,7 |
1148 | 17,4 |
1149 | 13,8 |
1150 | 12,0 |
1151 | 12,0 |
1152 | 12,0 |
1153 | 13,9 |
1154 | 17,7 |
1155 | 22,8 |
1156 | 27,3 |
1157 | 31,2 |
1158 | 35,2 |
1159 | 39,4 |
1160 | 42,5 |
1161 | 45,4 |
1162 | 48,2 |
1163 | 50,3 |
1164 | 52,6 |
1165 | 54,5 |
1166 | 56,6 |
1167 | 58,3 |
1168 | 60,0 |
1169 | 61,5 |
1170 | 63,1 |
1171 | 64,3 |
1172 | 65,7 |
1173 | 67,1 |
1174 | 68,3 |
1175 | 69,7 |
1176 | 70,6 |
1177 | 71,6 |
1178 | 72,6 |
1179 | 73,5 |
1180 | 74,2 |
1181 | 74,9 |
1182 | 75,6 |
1183 | 76,3 |
1184 | 77,1 |
1185 | 77,9 |
1186 | 78,5 |
1187 | 79,0 |
1188 | 79,7 |
1189 | 80,3 |
1190 | 81,0 |
1191 | 81,6 |
1192 | 82,4 |
1193 | 82,9 |
1194 | 83,4 |
1195 | 83,8 |
1196 | 84,2 |
1197 | 84,7 |
1198 | 85,2 |
1199 | 85,6 |
1200 | 86,3 |
1201 | 86,8 |
1202 | 87,4 |
1203 | 88,0 |
1204 | 88,3 |
1205 | 88,7 |
1206 | 89,0 |
1207 | 89,3 |
1208 | 89,8 |
1209 | 90,2 |
1210 | 90,6 |
1211 | 91,0 |
1212 | 91,3 |
1213 | 91,6 |
1214 | 91,9 |
1215 | 92,2 |
1216 | 92,8 |
1217 | 93,1 |
1218 | 93,3 |
1219 | 93,5 |
1220 | 93,7 |
1221 | 93,9 |
1222 | 94,0 |
1223 | 94,1 |
1224 | 94,3 |
1225 | 94,4 |
1226 | 94,6 |
1227 | 94,7 |
1228 | 94,8 |
1229 | 95,0 |
1230 | 95,1 |
1231 | 95,3 |
1232 | 95,4 |
1233 | 95,6 |
1234 | 95,7 |
1235 | 95,8 |
1236 | 96,0 |
1237 | 96,1 |
1238 | 96,3 |
1239 | 96,4 |
1240 | 96,6 |
1241 | 96,8 |
1242 | 97,0 |
1243 | 97,2 |
1244 | 97,3 |
1245 | 97,4 |
1246 | 97,4 |
1247 | 97,4 |
1248 | 97,4 |
1249 | 97,3 |
1250 | 97,3 |
1251 | 97,3 |
1252 | 97,3 |
1253 | 97,2 |
1254 | 97,1 |
1255 | 97,0 |
1256 | 96,9 |
1257 | 96,7 |
1258 | 96,4 |
1259 | 96,1 |
1260 | 95,7 |
1261 | 95,5 |
1262 | 95,3 |
1263 | 95,2 |
1264 | 95,0 |
1265 | 94,9 |
1266 | 94,7 |
1267 | 94,5 |
1268 | 94,4 |
1269 | 94,4 |
1270 | 94,3 |
1271 | 94,3 |
1272 | 94,1 |
1273 | 93,9 |
1274 | 93,4 |
1275 | 92,8 |
1276 | 92,0 |
1277 | 91,3 |
1278 | 90,6 |
1279 | 90,0 |
1280 | 89,3 |
1281 | 88,7 |
1282 | 88,1 |
1283 | 87,4 |
1284 | 86,7 |
1285 | 86,0 |
1286 | 85,3 |
1287 | 84,7 |
1288 | 84,1 |
1289 | 83,5 |
1290 | 82,9 |
1291 | 82,3 |
1292 | 81,7 |
1293 | 81,1 |
1294 | 80,5 |
1295 | 79,9 |
1296 | 79,4 |
1297 | 79,1 |
1298 | 78,8 |
1299 | 78,5 |
1300 | 78,2 |
1301 | 77,9 |
1302 | 77,6 |
1303 | 77,3 |
1304 | 77,0 |
1305 | 76,7 |
1306 | 76,0 |
1307 | 76,0 |
1308 | 76,0 |
1309 | 75,9 |
1310 | 75,9 |
1311 | 75,8 |
1312 | 75,7 |
1313 | 75,5 |
1314 | 75,2 |
1315 | 75,0 |
1316 | 74,7 |
1317 | 74,1 |
1318 | 73,7 |
1319 | 73,3 |
1320 | 73,5 |
1321 | 74,0 |
1322 | 74,9 |
1323 | 76,1 |
1324 | 77,7 |
1325 | 79,2 |
1326 | 80,3 |
1327 | 80,8 |
1328 | 81,0 |
1329 | 81,0 |
1330 | 81,0 |
1331 | 81,0 |
1332 | 81,0 |
1333 | 80,9 |
1334 | 80,6 |
1335 | 80,3 |
1336 | 80,0 |
1337 | 79,9 |
1338 | 79,8 |
1339 | 79,8 |
1340 | 79,8 |
1341 | 79,9 |
1342 | 80,0 |
1343 | 80,4 |
1344 | 80,8 |
1345 | 81,2 |
1346 | 81,5 |
1347 | 81,6 |
1348 | 81,6 |
1349 | 81,4 |
1350 | 80,7 |
1351 | 79,6 |
1352 | 78,2 |
1353 | 76,8 |
1354 | 75,3 |
1355 | 73,8 |
1356 | 72,1 |
1357 | 70,2 |
1358 | 68,2 |
1359 | 66,1 |
1360 | 63,8 |
1361 | 61,6 |
1362 | 60,2 |
1363 | 59,8 |
1364 | 60,4 |
1365 | 61,8 |
1366 | 62,6 |
1367 | 62,7 |
1368 | 61,9 |
1369 | 60,0 |
1370 | 58,4 |
1371 | 57,8 |
1372 | 57,8 |
1373 | 57,8 |
1374 | 57,3 |
1375 | 56,2 |
1376 | 54,3 |
1377 | 50,8 |
1378 | 45,5 |
1379 | 40,2 |
1380 | 34,9 |
1381 | 29,6 |
1382 | 27,3 |
1383 | 29,3 |
1384 | 32,9 |
1385 | 35,6 |
1386 | 36,7 |
1387 | 37,6 |
1388 | 39,4 |
1389 | 42,5 |
1390 | 46,5 |
1391 | 50,2 |
1392 | 52,8 |
1393 | 54,3 |
1394 | 54,9 |
1395 | 54,9 |
1396 | 54,7 |
1397 | 54,1 |
1398 | 53,2 |
1399 | 52,1 |
1400 | 50,7 |
1401 | 49,1 |
1402 | 47,4 |
1403 | 45,2 |
1404 | 41,8 |
1405 | 36,5 |
1406 | 31,2 |
1407 | 27,6 |
1408 | 26,9 |
1409 | 27,3 |
1410 | 27,5 |
1411 | 27,4 |
1412 | 27,1 |
1413 | 26,7 |
1414 | 26,8 |
1415 | 28,2 |
1416 | 31,1 |
1417 | 34,8 |
1418 | 38,4 |
1419 | 40,9 |
1420 | 41,7 |
1421 | 40,9 |
1422 | 38,3 |
1423 | 35,3 |
1424 | 34,3 |
1425 | 34,6 |
1426 | 36,3 |
1427 | 39,5 |
1428 | 41,8 |
1429 | 42,5 |
1430 | 41,9 |
1431 | 40,1 |
1432 | 36,6 |
1433 | 31,3 |
1434 | 26,0 |
1435 | 20,6 |
1436 | 19,1 |
1437 | 19,7 |
1438 | 21,1 |
1439 | 22,0 |
1440 | 22,1 |
1441 | 21,4 |
1442 | 19,6 |
1443 | 18,3 |
1444 | 18,0 |
1445 | 18,3 |
1446 | 18,5 |
1447 | 17,9 |
1448 | 15,0 |
1449 | 9,9 |
1450 | 4,6 |
1451 | 1,2 |
1452 | 0,0 |
1453 | 0,0 |
1454 | 0,0 |
1455 | 0,0 |
1456 | 0,0 |
1457 | 0,0 |
1458 | 0,0 |
1459 | 0,0 |
1460 | 0,0 |
1461 | 0,0 |
1462 | 0,0 |
1463 | 0,0 |
1464 | 0,0 |
1465 | 0,0 |
1466 | 0,0 |
1467 | 0,0 |
1468 | 0,0 |
1469 | 0,0 |
1470 | 0,0 |
1471 | 0,0 |
1472 | 0,0 |
1473 | 0,0 |
1474 | 0,0 |
1475 | 0,0 |
1476 | 0,0 |
1477 | 0,0 |
Таблица А.13
ВЦИМГ, цикл применительно к классу 3, фаза Extra High
3
(начало этой фазы приходится на 1477-ю секунду)
Время, с | Скорость, км/ч |
1478 | 0,0 |
1479 | 2,2 |
1480 | 4,4 |
1481 | 6,3 |
1482 | 7,9 |
1483 | 9,2 |
1484 | 10,4 |
1485 | 11,5 |
1486 | 12,9 |
1487 | 14,7 |
1488 | 17,0 |
1489 | 19,8 |
1490 | 23,1 |
1491 | 26,7 |
1492 | 30,5 |
1493 | 34,1 |
1494 | 37,5 |
1495 | 40,6 |
1496 | 43,3 |
1497 | 45,7 |
1498 | 47,7 |
1499 | 49,3 |
1500 | 50,5 |
1501 | 51,3 |
1502 | 52,1 |
1503 | 52,7 |
1504 | 53,4 |
1505 | 54,0 |
1506 | 54,5 |
1507 | 55,0 |
1508 | 55,6 |
1509 | 56,3 |
1510 | 57,2 |
1511 | 58,5 |
1512 | 60,2 |
1513 | 62,3 |
1514 | 64,7 |
1515 | 67,1 |
1516 | 69,2 |
1517 | 70,7 |
1518 | 71,9 |
1519 | 72,7 |
1520 | 73,4 |
1521 | 73,8 |
1522 | 74,1 |
1523 | 74,0 |
1524 | 73,6 |
1525 | 72,5 |
1526 | 70,8 |
1527 | 68,6 |
1528 | 66,2 |
1529 | 64,0 |
1530 | 62,2 |
1531 | 60,9 |
1532 | 60,2 |
1533 | 60,0 |
1534 | 60,4 |
1535 | 61,4 |
1536 | 63,2 |
1537 | 65,6 |
1538 | 68,4 |
1539 | 71,6 |
1540 | 74,9 |
1541 | 78,4 |
1542 | 81,8 |
1543 | 84,9 |
1544 | 87,4 |
1545 | 89,0 |
1546 | 90,0 |
1547 | 90,6 |
1548 | 91,0 |
1549 | 91,5 |
1550 | 92,0 |
1551 | 92,7 |
1552 | 93,4 |
1553 | 94,2 |
1554 | 94,9 |
1555 | 95,7 |
1556 | 96,6 |
1557 | 97,7 |
1558 | 98,9 |
1559 | 100,4 |
1560 | 102,0 |
1561 | 103,6 |
1562 | 105,2 |
1563 | 106,8 |
1564 | 108,5 |
1565 | 110,2 |
1566 | 111,9 |
1567 | 113,7 |
1568 | 115,3 |
1569 | 116,8 |
1570 | 118,2 |
1571 | 119,5 |
1572 | 120,7 |
1573 | 121,8 |
1574 | 122,6 |
1575 | 123,2 |
1576 | 123,6 |
1577 | 123,7 |
1578 | 123,6 |
1579 | 123,3 |
1580 | 123,0 |
1581 | 122,5 |
1582 | 122,1 |
1583 | 121,5 |
1584 | 120,8 |
1585 | 120,0 |
1586 | 119,1 |
1587 | 118,1 |
1588 | 117,1 |
1589 | 116,2 |
1590 | 115,5 |
1591 | 114,9 |
1592 | 114,5 |
1593 | 114,1 |
1594 | 113,9 |
1595 | 113,7 |
1596 | 113,3 |
1597 | 112,9 |
1598 | 112,2 |
1599 | 111,4 |
1600 | 110,5 |
1601 | 109,5 |
1602 | 108,5 |
1603 | 107,7 |
1604 | 107,1 |
1605 | 106,6 |
1606 | 106,4 |
1607 | 106,2 |
1608 | 106,2 |
1609 | 106,2 |
1610 | 106,4 |
1611 | 106,5 |
1612 | 106,8 |
1613 | 107,2 |
1614 | 107,8 |
1615 | 108,5 |
1616 | 109,4 |
1617 | 110,5 |
1618 | 111,7 |
1619 | 113,0 |
1620 | 114,1 |
1621 | 115,1 |
1622 | 115,9 |
1623 | 116,5 |
1624 | 116,7 |
1625 | 116,6 |
1626 | 116,2 |
1627 | 115,2 |
1628 | 113,8 |
1629 | 112,0 |
1630 | 110,1 |
1631 | 108,3 |
1632 | 107,0 |
1633 | 106,1 |
1634 | 105,8 |
1635 | 105,7 |
1636 | 105,7 |
1637 | 105,6 |
1638 | 105,3 |
1639 | 104,9 |
1640 | 104,4 |
1641 | 104,0 |
1642 | 103,8 |
1643 | 103,9 |
1644 | 104,4 |
1645 | 105,1 |
1646 | 106,1 |
1647 | 107,2 |
1648 | 108,5 |
1649 | 109,9 |
1650 | 111,3 |
1651 | 112,7 |
1652 | 113,9 |
1653 | 115,0 |
1654 | 116,0 |
1655 | 116,8 |
1656 | 117,6 |
1657 | 118,4 |
1658 | 119,2 |
1659 | 120,0 |
1660 | 120,8 |
1661 | 121,6 |
1662 | 122,3 |
1663 | 123,1 |
1664 | 123,8 |
1665 | 124,4 |
1666 | 125,0 |
1667 | 125,4 |
1668 | 125,8 |
1669 | 126,1 |
1670 | 126,4 |
1671 | 126,6 |
1672 | 126,7 |
1673 | 126,8 |
1674 | 126,9 |
1675 | 126,9 |
1676 | 126,9 |
1677 | 126,8 |
1678 | 126,6 |
1679 | 126,3 |
1680 | 126,0 |
1681 | 125,7 |
1682 | 125,6 |
1683 | 125,6 |
1684 | 125,8 |
1685 | 126,2 |
1686 | 126,6 |
1687 | 127,0 |
1688 | 127,4 |
1689 | 127,6 |
1690 | 127,8 |
1691 | 127,9 |
1692 | 128,0 |
1693 | 128,1 |
1694 | 128,2 |
1695 | 128,3 |
1696 | 128,4 |
1697 | 128,5 |
1698 | 128,6 |
1699 | 128,6 |
1700 | 128,5 |
1701 | 128,3 |
1702 | 128,1 |
1703 | 127,9 |
1704 | 127,6 |
1705 | 127,4 |
1706 | 127,2 |
1707 | 127,0 |
1708 | 126,9 |
1709 | 126,8 |
1710 | 126,7 |
1711 | 126,8 |
1712 | 126,9 |
1713 | 127,1 |
1714 | 127,4 |
1715 | 127,7 |
1716 | 128,1 |
1717 | 128,5 |
1718 | 129,0 |
1719 | 129,5 |
1720 | 130,1 |
1721 | 130,6 |
1722 | 131,0 |
1723 | 131,2 |
1724 | 131,3 |
1725 | 131,2 |
1726 | 130,7 |
1727 | 129,8 |
1728 | 128,4 |
1729 | 126,5 |
1730 | 124,1 |
1731 | 121,6 |
1732 | 119,0 |
1733 | 116,5 |
1734 | 114,1 |
1735 | 111,8 |
1736 | 109,5 |
1737 | 107,1 |
1738 | 104,8 |
1739 | 102,5 |
1740 | 100,4 |
1741 | 98,6 |
1742 | 97,2 |
1743 | 95,9 |
1744 | 94,8 |
1745 | 93,8 |
1746 | 92,8 |
1747 | 91,8 |
1748 | 91,0 |
1749 | 90,2 |
1750 | 89,6 |
1751 | 89,1 |
1752 | 88,6 |
1753 | 88,1 |
1754 | 87,6 |
1755 | 87,1 |
1756 | 86,6 |
1757 | 86,1 |
1758 | 85,5 |
1759 | 85,0 |
1760 | 84,4 |
1761 | 83,8 |
1762 | 83,2 |
1763 | 82,6 |
1764 | 82,0 |
1765 | 81,3 |
1766 | 80,4 |
1767 | 79,1 |
1768 | 77,4 |
1769 | 75,1 |
1770 | 72,3 |
1771 | 69,1 |
1772 | 65,9 |
1773 | 62,7 |
1774 | 59,7 |
1775 | 57,0 |
1776 | 54,6 |
1777 | 52,2 |
1778 | 49,7 |
1779 | 46,8 |
1780 | 43,5 |
1781 | 39,9 |
1782 | 36,4 |
1783 | 33,2 |
1784 | 30,5 |
1785 | 28,3 |
1786 | 26,3 |
1787 | 24,4 |
1788 | 22,5 |
1789 | 20,5 |
1790 | 18,2 |
1791 | 15,5 |
1792 | 12,3 |
1793 | 8,7 |
1794 | 5,2 |
1795 | 0,0 |
1796 | 0,0 |
1797 | 0,0 |
1798 | 0,0 |
1799 | 0,0 |
1800 | 0,0 |
А.7 Идентификация цикла
Контрольные суммы по значениям скорости ТС применительно к фазам цикла и всему циклу, используемые для подтверждения правильности выбора варианта цикла или правильности алгоритма цикла, введенного в операционную систему испытательного стенда, приведены в
таблице А.14.
Таблица А.14
Контрольные суммы при частоте снятия показаний 1 Гц
Цикл применительно к соответствующему классу | Фаза цикла | Контрольная сумма по заданному значению скорости транспортного средства при частоте снятия показаний 1 Гц |
Класс 1 | Низкой скорости | 11988,4 |
Средней скорости | 17162,8 |
Низкой скорости | 11988,4 |
Всего | 41139,6 |
Класс 2 | Низкой скорости | 11162,2 |
Средней скорости | 17054,3 |
Высокой скорости | 24450,6 |
Сверхвысокой скорости | 28869,8 |
Всего | 81536,9 |
Класс 3а | Низкой скорости | 11140,3 |
Средней скорости | 16995,7 |
Высокой скорости | 25646,0 |
Сверхвысокой скорости | 29714,9 |
Всего | 83496,9 |
Класс 3б | Низкой скорости | 11140,3 |
Средней скорости | 17121,2 |
Высокой скорости | 25782,2 |
Сверхвысокой скорости | 29714,9 |
Всего | 83758,6 |
Настоящий пункт не применяют к ГЭМ-ВЗУ, ГЭМ-БЗУ и ГТСТЭ-БЗУ.
А.8.1 Общие замечания
В случае ТС с отношением мощности к массе, приближающимся к пограничным значениям между классами 1 и 2, классами 2 и 3, а также ТС класса 1 с очень низкой мощностью могут возникать проблемы, связанные с дорожными качествами.
Поскольку эти проблемы в основном связаны с теми фазами цикла, которые характеризуются сочетанием высокой скорости и больших ускорений, а не с фазами максимальной скорости цикла, в целях оптимизации дорожных качеств цикла применяют процедуру пропорционального уменьшения соответствующих параметров.
А.8.2 В настоящем пункте описан метод изменения профиля цикла с использованием процедуры пропорционального уменьшения. Измененные значения скорости ТС, рассчитанные по
А.8.2.1 -
А.8.2.3, округляют согласно
разделу 6 до одного знака после запятой.
А.8.2.1 Процедура пропорционального уменьшения для циклов применительно к классу 1
На
рисунке А.13 приведен пример редуцированной фазы средней скорости ВЦИМГ для ТС класса 1.

- ВЦИМГ для класса 1, фаза Medium1;

- пропорционально уменьшенная скорость
Рисунок А.13 - Редуцированная фаза средней скорости ВЦИМГ
для ТС класса 1 (коэффициент пропорционального уменьшения
ПУ = 0,25)
В случае цикла применительно к классу 1 периодом пропорционального уменьшения является период времени между 651-й и 906-й секундами. В течение этого периода ускорение для исходного цикла вычисляют по формуле

, (А.1)
где vi - скорость ТС, км/ч;
i - время между 651-й и 906-й секундами.
Процедуру пропорционального уменьшения сначала применяют в период между 651-й и 848-й секундами. После этого строят редуцированную кривую скорости по формуле

(А.2)
при i = 651 - 847.
Для
i = 651

.
Для достижения первоначальной скорости транспортного средства на 907-й секунде рассчитывают коэффициент поправки на замедление по формуле

, (А.3)
где 36,7 - первоначальная скорость ТС на 907-й секунде, км/ч.
После этого рассчитывают редуцированную скорость ТС между 849-й и 906-й секундами по следующему уравнению:

(А.4)
при i = 849 - 906.
А.8.2.2 Процедура пропорционального уменьшения для циклов применительно к классу 2
Поскольку проблемы, связанные с дорожными качествами, присущи исключительно фазам сверхвысокой скорости, входящим в циклы испытания транспортных средств классов 2 и 3, пропорциональное уменьшение параметров осуществляется применительно к тем сегментам фаз сверхвысокой скорости, на которых ожидается возникновение указанных проблем (см.
рисунки А.14 и
А.15).

- ВЦИМГ для класса 2, фаза Extra High
2;

- пропорционально уменьшенная скорость
Рисунок А.14 - Редуцированная фаза сверхвысокой скорости
ВЦИМГ для ТС класса 2
В случае цикла применительно к классу 2 периодом пропорционального уменьшения является период времени между 1520-й и 1742-й секундами. В течение этого периода ускорение для исходного цикла вычисляют по формуле

, (А.5)
где vi - скорость ТС, км/ч;
i - время между 1520-й и 1742-й секундами.
Процедуру пропорционального уменьшения сначала применяют к периоду между 1520-й и 1725-й секундами. На 1725-й секунде достигается максимальная скорость фазы сверхвысокой скорости. После этого строят редуцированную кривую скорости по формуле

(А.6)
при i = 1724.
Для
i = 1520,

.
Для достижения первоначальной скорости ТС на 1743-й секунде рассчитывают коэффициент поправки на замедление по формуле

, (А.7)
где 90,4 - первоначальная скорость ТС на 1743-й секунде, км/ч.
Редуцированную скорость ТС между 1726-й и 1742-й секундами вычисляют по формуле

(А.8)
при i = 1726 - 1742.
А.8.2.3 Процедура пропорционального уменьшения для циклов применительно к классу 3
На
рисунке А.15 приведен пример редуцированной фазы сверхвысокой скорости ВЦИМГ для ТС класса 3.

- ВЦИМГ для класса 3, фаза Extra High
3;

- пропорционально уменьшенная скорость
Рисунок А.15 - Редуцированная фаза сверхвысокой скорости
ВЦИМГ для ТС класса 3
В случае цикла применительно к классу 3 периодом пропорционального уменьшения является период времени между 1533-й и 1762-й секундами. В течение этого периода ускорение для исходного цикла вычисляют по формуле

, (А.9)
где vi - скорость ТС, км/ч;
i - время между 1533-й и 1762-й секундами.
Процедуру пропорционального уменьшения сначала применяют в период между 1533-й и 1724-й секундами. На 1724-й секунде достигается максимальная скорость фазы сверхвысокой скорости. После этого строят редуцированную кривую скорости по формуле

(А.10)
при i = 1533 - 1723.
Для
i = 1533

.
Для достижения первоначальной скорости ТС на 1763-й секунде вычисляют коэффициент поправки на замедление по формуле

, (А.11)
где 82,6 - первоначальная скорость транспортного средства на 1763-й секунде, км/ч.
После этого вычисляют редуцированную скорость ТС между 1725-й и 1762-й секундами по формуле

(А.12)
при i = 1725 - 1762.
А.8.3 Определение понижающего коэффициента
Понижающий коэффициент fdsc является функцией отношения, rmax, максимальной требуемой мощности фаз цикла, для которых применяется пропорциональное уменьшение параметров, к номинальной мощности ТС, Prated.
Максимальная требуемая мощность Preq,max,i, кВт, связана с определенным моментом i и соответствующей скоростью vi ТС на кривой цикла, и ее вычисляют по формуле

, (А.13)
где f0, f1, f2 - применимые коэффициенты дорожной нагрузки, Н, Н/(км/ч) и Н/(км/ч)2 соответственно;
TM - применимая испытательная масса, кг;
vi - скорость в момент i, км/ч;
ai - ускорение в момент i, м/с2.
Моментом i цикла, в который необходимо обеспечить максимальную мощность или мощность, близкую к максимальной, является 764-я секунда для цикла применительно к классу 1, 1574-я секунда - для цикла применительно к классу 2 и 1566-я секунда - для цикла применительно к классу 3.
Соответствующие значения скорости vi и ускорения ai ТС являются следующими:
vi = 61,4 км/ч, ai = 0,22 м/с2 для класса 1,
vi = 109,9 км/ч, ai = 0,36 м/с2 для класса 2,
vi = 111,9 км/ч, ai = 0,50 м/с2 для класса 3.
rmax вычисляют по формуле

. (А.14)
Понижающий коэффициент fdsc определяют следующим образом:
если rmax < r0, то fdsc = 0, причем пропорциональное уменьшение параметров не применяется;
если rmax >= r0, то fdsc вычисляют по формуле
fdsc = a1·rmax + b1. (А.15)
Используемые для расчетов параметры/коэффициенты r0, a1 и b1 являются следующими:
класс 1 r0 = 0,978, a1 = 0,680, b1 = -0,665,
класс 2 r0 = 0,866, a1 = 0,606, b1 = -0,525,
класс 3 r0 = 0,867, a1 = 0,588, b1 = -0,510.
Вычисленный таким образом
fdsc округляют согласно
разделу 6 до одной тысячной и применяют только в том случае, если он превышает 0,010.
Регистрируют следующие данные:
а) fdsc;
б) vmax;
в) dcycle (пройденное расстояние), м.
Расстояние вычисляют по формуле

(А.16)
при i = tstart + 1 до tend,
tstart - время начала применимого испытательного цикла (см.
А.3), с;
tend - время завершения применимого испытательного цикла (см.
А.3), с.
А.8.4 Дополнительные требования
В случае различных конфигураций ТС с точки зрения массы при испытании и коэффициентов сопротивления движению к применению процедуры пропорционального уменьшения подходят индивидуально.
Если после использования процедуры пропорционального уменьшения максимальная скорость ТС ниже максимальной скорости цикла, то для целей применимого цикла применяют процедуру по
А.9.
Если невозможно обеспечить соблюдение ТС кривой скорости для применимого цикла в пределах допусков, установленных для скоростей, не превышающих его максимальную скорость, то в эти периоды его движения устройство управления акселератором должно быть полностью активировано. В такие периоды работы нарушения скоростного режима не учитывают.
А.9 Модификация цикла применительно к указанным в А.8 ТС, максимальная скорость которых ниже максимальной скорости цикла
А.9.1 Общие замечания
Положения настоящего пункта применяют к ТС, которые в силу технических характеристик способны следовать хронометражу применимого цикла, указанного в
А.1 (базовый цикл), на скоростях ниже их максимальной скорости, но максимальная скорость которых - в силу других причин - ограничена значением, являющимся меньшим по сравнению с максимальной скоростью базового цикла. Для целей настоящего пункта применимый цикл, указанный в
А.1, принимают за "базовый цикл" и используют для определения цикла в режиме предельной скорости.
В случаях применения процедуры пропорционального уменьшения параметров согласно
А.8.2 в качестве базового цикла используют редуцированный цикл.
Максимальную скорость базового цикла обозначают как vmax,cycle.
Максимальную скорость ТС принимают равной его предельной скорости, которую обозначают как vcap.
Если показатель
vcap применяют в отношении ТС класса 3б, то в качестве базового цикла используют цикл применительно к классу 3б, определенный в
А.3.3.2. Его применяют даже в том случае, если
vcap менее 120 км/ч.
В случаях применения показателя
vcap производят модификацию базового цикла в соответствии с
А.9.2 в порядке обеспечения возможности прохождения за цикл в режиме предельной скорости того же расстояния, что и за базовый цикл.
А.9.2.1 Определение разности пройденного расстояния в расчете на фазу цикла
Для построения промежуточного цикла в режиме предельной скорости все значения скорости ТС vi, где vi > vcap, заменяют на vcap.
А.9.2.1.1 Если vcap < vmax,medium, то расстояния, пройденные за фазы средней скорости базового цикла, dbase,medium, и промежуточного цикла в режиме предельной скорости, dcap,medium, применительно к обоим случаям вычисляют по формуле

при
i = 590 - 1022, (А.17)
где
vmax,medium - максимальная скорость ТС в фазе средней скорости согласно
таблице А.2 для цикла применительно к классу 1,
таблице А.5 - для цикла применительно к классу 2,
таблице А.9 - для цикла применительно к классу 3а и
таблице А.10 - для цикла применительно к классу 3б.
А.9.2.1.2 Если vcap < vmax,high, то расстояния, пройденные за фазы высокой скорости базового цикла, dbase,high, и промежуточного цикла в режиме предельной скорости, dcap,high, применительно к обоим случаям вычисляют по формуле

при
i = 1023 - 1477, (А.18)
где
vmax,high - максимальная скорость ТС в фазе высокой скорости согласно
таблице А.6 для цикла применительно к классу 2,
таблице А.11 - для цикла применительно к классу 3а и
таблице А.12 - для цикла применительно к классу 3б.
А.9.2.1.3 Расстояния, пройденные за фазы сверхвысокой скорости базового цикла, dbase,exhigh, и промежуточного цикла в режиме предельной скорости, dcap,exhigh, применительно к фазе сверхвысокой скорости обоих циклов вычисляют по формуле

при
i = 1478 - 1800. (А.19)
А.9.2.2 Определение периодов времени, добавляемых к промежуточному циклу в режиме предельной скорости в порядке компенсации разности пройденного расстояния
В порядке компенсации разности расстояния, пройденного за базовый цикл и промежуточный цикл в режиме предельной скорости, к промежуточному циклу в режиме предельной скорости добавляют соответствующие периоды времени (при
vi =
vcap), как это предусмотрено в
А.9.2.2.1 -
А.9.2.2.3.
А.9.2.2.1 Дополнительный период времени для фазы средней скорости
Если vcap < vmax,medium, то дополнительный период времени, добавляемый к фазе средней скорости промежуточного цикла в режиме предельной скорости, вычисляют по формуле

. (А.20)
Количество

выборок
nadd,medium (при
vi =
vcap), добавляемых к фазе средней скорости промежуточного цикла в режиме предельной скорости,

, округляют согласно
разделу 6 до ближайшего целого числа.
А.9.2.2.2 Дополнительный период времени для фазы высокой скорости
Если vcap < vmax,high, то дополнительный период времени, добавляемый к фазе высокой скорости промежуточного цикла в режиме предельной скорости, вычисляют по формуле

. (А.21)
Количество

выборок
nadd,high (при
vi =
vcap), добавляемых к фазе высокой скорости промежуточного цикла в режиме предельной скорости,

, округляют согласно
разделу 6 до ближайшего целого числа.
А.9.2.2.3 Дополнительный период времени, добавляемый к фазе сверхвысокой скорости промежуточного цикла в режиме предельной скорости, вычисляют по формуле

. (А.22)
Количество

выборок
nadd,exhigh (при
vi =
vcap), добавляемых к фазе сверхвысокой скорости промежуточного цикла в режиме предельной скорости,

, округляют согласно
разделу 6 до ближайшего целого числа.
А.9.2.3 Построение окончательного цикла в режиме предельной скорости
А.9.2.3.1 Цикл применительно к классу 1
Первая часть окончательного цикла в режиме предельной скорости предполагает прогон ТС по хронометражу промежуточного цикла в режиме предельной скорости до момента проведения последнего замера в фазе средней скорости, причем v = vcap. Время этого замера обозначают как tmedium.
Затем добавляют значение nadd,medium (при vi = vcap), с тем чтобы время последнего замера соответствовало (tmedium + nadd,medium).
Далее добавляют остальную часть фазы средней скорости промежуточного цикла в режиме предельной скорости, которая идентична аналогичной части базового цикла, с тем чтобы время последнего замера соответствовало (1022 + nadd,medium).
А.9.2.3.2 Циклы применительно к классу 2 и классу 3
а) vcap < vmax,medium
Первая часть окончательного цикла в режиме предельной скорости предполагает прогон ТС по хронометражу промежуточного цикла в режиме предельной скорости до момента проведения последнего замера в фазе средней скорости, причем v = vcap. Время этого замера обозначают как tmedium.
Затем добавляют значение nadd,medium (при vi = vcap), с тем чтобы время последнего замера соответствовало (tmedium + nadd,medium).
Далее добавляют остальную часть фазы средней скорости промежуточного цикла в режиме предельной скорости, которая идентична аналогичной части базового цикла, с тем чтобы время последнего замера соответствовало (1022 + nadd,medium).
На следующем этапе добавляют первую часть фазы высокой скорости промежуточного цикла в режиме предельной скорости до момента проведения последнего замера в фазе высокой скорости, причем v = vcap. Время этого замера в условиях промежуточного цикла в режиме предельной скорости обозначают как thigh, с тем чтобы время такого замера в условиях окончательного цикла в режиме предельной скорости соответствовало (thigh + nadd,medium).
Затем добавляют значение nadd,high (при vi = vcap), с тем чтобы время последнего замера соответствовало (thigh + nadd,medium + nadd,high).
Далее добавляют остальную часть фазы высокой скорости промежуточного цикла в режиме предельной скорости, которая идентична аналогичной части базового цикла, с тем чтобы время последнего замера соответствовало (1477 + nadd,medium + nadd,high).
На следующем этапе добавляют первую часть фазы сверхвысокой скорости промежуточного цикла в режиме предельной скорости до момента проведения последнего замера в фазе сверхвысокой скорости, причем v = vcap. Время этого замера в условиях промежуточного цикла в режиме предельной скорости обозначают как texhigh, с тем чтобы время такого замера в условиях окончательного цикла в режиме предельной скорости соответствовало (texhigh + nadd,medium + nadd,high).
Затем добавляют значение nadd,exhigh (при vi = vcap), с тем чтобы время последнего замера соответствовало (texhigh + nadd,medium + nadd,high + nadd,exhigh).
Далее добавляют остальную часть фазы сверхвысокой скорости промежуточного цикла в режиме предельной скорости, которая идентична аналогичной части базового цикла, с тем чтобы время последнего замера соответствовало (1800 + nadd,medium + nadd,high + nadd,exhigh).
Протяженность окончательного цикла в режиме предельной скорости эквивалентна протяженности базового цикла, за исключением различий, обусловленных округлением согласно
разделу 6 значений
nadd,medium,
nadd,high и
nadd,exhigh.
б) vmax, medium <= vcap < vmax, high
Первая часть окончательного цикла в режиме предельной скорости предполагает прогон ТС по хронометражу промежуточного цикла в режиме предельной скорости до момента проведения последнего замера в фазе высокой скорости, причем v = vcap. Время этого замера обозначают как thigh.
Затем добавляют значение nadd,high (при vi = vcap), с тем чтобы время последнего замера соответствовало (thigh + nadd,high).
Далее добавляют остальную часть фазы высокой скорости промежуточного цикла в режиме предельной скорости, которая идентична аналогичной части базового цикла, с тем чтобы время последнего замера соответствовало (1477 + nadd,high).
На следующем этапе добавляют первую часть фазы сверхвысокой скорости промежуточного цикла в режиме предельной скорости до момента проведения последнего замера в фазе сверхвысокой скорости, причем v = vcap. Время этого замера в условиях промежуточного цикла в режиме предельной скорости обозначают как texhigh, с тем чтобы время такого замера в условиях окончательного цикла в режиме предельной скорости соответствовало (texhigh + nadd,high).
Затем добавляют значение nadd,exhigh (при vi = vcap), с тем чтобы время последнего замера соответствовало (texhigh + nadd,high + nadd,exhigh).
Далее добавляют остальную часть фазы сверхвысокой скорости промежуточного цикла в режиме предельной скорости, которая идентична аналогичной части базового цикла, с тем чтобы время последнего замера соответствовало (1800 + nadd,high + nadd,exhigh).
Протяженность окончательного цикла в режиме предельной скорости эквивалентна протяженности базового цикла, за исключением различий, обусловленных округлением согласно
разделу 6 значений
nadd,high и
nadd,exhigh.
в) vmax, high <= vcap < vmax, exhigh
Первая часть окончательного цикла в режиме предельной скорости предполагает прогон ТС по хронометражу промежуточного цикла в режиме предельной скорости до момента проведения последнего замера в фазе сверхвысокой скорости, причем v = vcap. Время этого замера обозначают как texhigh.
Затем добавляют значение nadd,exhigh (при vi = vcap), с тем чтобы время последнего замера соответствовало (texhigh + nadd,exhigh).
Далее добавляют остальную часть фазы сверхвысокой скорости промежуточного цикла в режиме предельной скорости, которая идентична аналогичной части базового цикла, с тем чтобы время последнего замера соответствовало (1800 + nadd,exhigh).
Протяженность окончательного цикла в режиме предельной скорости эквивалентна протяженности базового цикла, за исключением различий, обусловленных округлением согласно
разделу 6 значения
nadd,exhigh.
А.10 Распределение циклов с учетом класса ТС
А.10.1 ТС, относящиеся к определенному классу, испытывают с использованием цикла применительно к тому же классу, т.е. ТС класса 1 - по циклу применительно к классу 1, ТС класса 2 - по циклу применительно к классу 2, ТС класса 3а - по циклу применительно к классу 3а и ТС класса 3б - по циклу применительно к классу 3б. Вместе с тем по просьбе изготовителя и с одобрения компетентного органа испытание ТС можно проводить по циклу применительно к более высокому порядковому классу; например, ТС класса 2 может испытываться по циклу применительно к классу 3. В этом случае надлежит учитывать разницу между классами 3а и 3б, а также допускается редуцирование цикла согласно
А.8 -
А.8.4 включительно.
(обязательное)
ВЫБОР ПЕРЕДАЧ И ОПРЕДЕЛЕНИЕ ТОЧКИ ПЕРЕКЛЮЧЕНИЯ ПЕРЕДАЧ
ДЛЯ ТРАНСПОРТНЫХ СРЕДСТВ С МЕХАНИЧЕСКОЙ КОРОБКОЙ ПЕРЕДАЧ
Б.1 Общий подход
Б.1.1 Процедуры переключения передач, описанные в настоящем приложении, применяются к ТС, оснащенным механической коробкой передач.
Б.1.2 Предписания, касающиеся передач и точек их переключения, основаны на необходимости обеспечения сбалансированности между мощностью, требуемой для преодоления сопротивления движению и для ускорения, и мощностью, обеспечиваемой двигателем на всех возможных передачах в определенной фазе цикла.
Б.1.3 Расчет для определения используемой передачи строится на основе частоты вращения двигателя и кривых зависимости мощности в режиме работы двигателя при полной нагрузке от частоты вращения двигателя.
Б.1.4 В случае ТС, оснащенных демультипликатором (с низшим и высшим диапазонами передач), для целей определения порядка переключения передач учитывают только диапазон, предназначенный для использования в условиях обычной дорожной эксплуатации.
Б.1.5 Предписания относительно функционирования сцепления не применяются, если сцепление функционирует автоматически, без необходимости его включения или отключения водителем.
Б.1.6 Настоящее приложение не применяют к ТС, испытываемым в соответствии с
приложением Е.
Б.2 Необходимые данные и предварительные расчеты
Для определения передач, которые будут использоваться во время прогона по циклу на динамометрическом стенде, необходимы следующие данные и расчеты:
а) Prated, максимальная номинальная мощность двигателя, заявленная изготовителем, кВт;
б) nrated, номинальная частота вращения двигателя, заявленная изготовителем как частота вращения, при которой двигатель развивает максимальную мощность, мин-1;
в) nidle, частота вращения холостого хода, мин-1.
nidle измеряют за период времени продолжительностью не менее 1 мин с минимальной частотой 1 Гц. Измерения проводят на прогретом двигателе, с рычагом переключения передач в нейтральном положении и при включенном сцеплении. Температурный режим, а также состояние периферийных и вспомогательных устройств и т.д. являются теми же, что и указанные в
приложении Г, касающемся испытания типа 1.
Используемые в настоящем приложении значения рассчитывают как среднее арифметическое по всему периоду измерений и округляют согласно
разделу 6 до ближайших 10 мин
-1;
г) ng, число передних передач.
Передние передачи в диапазоне, предназначенном для использования в условиях обычной дорожной эксплуатации, нумеруют в порядке уменьшения соотношения, получаемого в результате деления частоты вращения двигателя (в мин-1) на скорость ТС (в км/ч). Передачей с наиболее высоким соотношением является передача 1, а с наименее высоким - передача ng. В зависимости от ng определяют число передних передач;
д) (
n/
v)
i, соотношение, полученное в результате деления частоты вращения
n двигателя на скорость
v ТС для каждой передачи
i,
i = 1 к
ng, мин
-1/(км/ч). (
n/
v)
i рассчитывают по формулам, приведенным в
Е.8;
е) f0, f1, f2, коэффициенты дорожной нагрузки, выбранные для целей испытания Н, Н/(км/ч) и Н/(км/ч)2 соответственно;
ж) nmax.
nmax1 = n95_high, максимальная частота вращения двигателя, при которой достигается 95% номинальной мощности, мин-1.
В случае невозможности определить n95_high ввиду того, что частота вращения двигателя на всех передачах ограничена более низкой величиной nlim, а соответствующая мощность при полной нагрузке превышает 95% номинальной мощности, n95_high устанавливают на nlim.
nmax2 = (n/v)(ngvmax)·vmax,cycle
nmax3 = (n/v)(ngvmax)·vmax,vehicle,
где
vmax,cycle - максимальная скорость по кривой скорости ТС согласно
приложению А, км/ч;
(n/v)(ngvmax) - соотношение, полученное в результате деления частоты вращения n двигателя на скорость v ТС для передачи ngvmax, мин-1/(км/ч);
nmax - максимальное значение nmax1, nmax2 и nmax3, мин-1;
и)
Pwot(
n), кривая мощности при полной нагрузке для всего диапазона частот вращения двигателя.
Кривую мощности строят с использованием достаточного числа наборов данных (
n,
Pwot), с тем чтобы промежуточные точки между последовательными наборами данных можно было рассчитать методом линейной интерполяции. Отклонение интерполяционной кривой от кривой мощности при полной нагрузке согласно
[3] не должно превышать 2%. Первый набор данных соответствует
nmin_drive_set (см.
перечисление м) 3) или менее высокому значению. Последний набор данных соответствует
nmax или наибольшей частоте вращения двигателя. Одинакового разнесения набора данных не требуется, однако регистрируют все наборы данных.
Наборы данных и значения Prated и nrated получают с помощью заявленной изготовителем кривой мощности.
Мощность при полной нагрузке при частотах вращения двигателя, не охватываемых
[3], определяют методом, описанным в
[3];
к) Определение
ngvmax и
vmax
ngvmax, передача, на которой ТС развивает максимальную скорость и которую определяют следующим образом:
если vmax(ng) >= vmax(ng-1) и vmax(ng-1) >= vmax(ng-2), то ngvmax = ng и vmax = vmax(ng).
Если vmax(ng) < vmax(ng-1) и vmax(ng-1) >= vmax(ng-2), то ngvmax = ng-1 и vmax = vmax(ng-1).
В противном случае ngvmax = ng-2 и vmax = vmax(ng-2),
где
vmax(
ng) - скорость ТС, при которой мощность, требуемая для преодоления сопротивления движению, равняется располагаемой мощности
Pwot на передаче
ng [см.
рисунок Б.1а)];
vmax(
ng-1) - скорость ТС, при которой мощность, требуемая для преодоления сопротивления движению, равняется располагаемой мощности
Pwot на следующей более низкой передаче (передача
ng-1) [см.
рисунок Б.1б)];
vmax(ng-2) - скорость ТС, при которой мощность, требуемая для преодоления сопротивления движению, равняется располагаемой мощности Pwot на передаче ng-2.

-
Pres;

- 0,9
Pwot, передача 1;

- 0,9
Pwot, передача 2;

- 0,9
Pwot, передача 3;

- 0,9
Pwot, передача 4;

- 0,9
Pwot, передача 5;

- 0,9
Pwot, передача 6
а)
ngvmax - самая высокая передача (
ngvmax = 6)

-
Pres;

- 0,9
Pwot, передача 1;

- 0,9
Pwot, передача 2;

- 0,9
Pwot, передача 3;

- 0,9
Pwot, передача 4;

- 0,9
Pwot, передача 5;

- 0,9
Pwot, передача 6
б)
ngvmax - 2-я самая высокая передача (
ngvmax = 5)
Рисунок Б.1
Для определения
vmax и
ngvmax используют значения скорости ТС, округляемые согласно
разделу 6 до первого знака после запятой.
Мощность, требуемую для преодоления сопротивления движению, кВт, вычисляют по формуле

, (Б.1)
где v - скорость ТС, указанная выше, км/ч.
Располагаемую мощность при скорости ТС vmax для передачи ng, передачи ng-1 или передачи ng-2 определяют по кривой мощности при полной нагрузке, Pwot(n), с помощью следующих уравнений:
nng = (n/v)ng·vmax(ng); (Б.2)
nng-1 = (n/v)ng-1·vmax(ng-1); (Б.3)
nng-2 = (n/v)ng-2·vmax(ng-2) (Б.4)
с уменьшением значений мощности на кривой мощности при полной нагрузке на 10%.
При необходимости указанный выше метод распространяется и на более низкие передачи, например ng-3, ng-4 и т.д.
Если же для цели ограничения максимальной скорости ТС максимальная частота вращения двигателя ограничена величиной nlim, которая меньше значения частоты вращения двигателя, соответствующего точке пересечения кривой мощности, требуемой для преодоления сопротивления движению, и кривой располагаемой мощности, то в этом случае:
ngvmax = ng и vmax = nlim/(n/v)(ng).
л) Исключение тихоходной передачи
По просьбе изготовителя передача 1 может быть исключена при соблюдении всех следующих условий:
1) семейство ТС сертифицировано для буксировки прицепа;
2) (
n/
v)
1·(
vmax/
n95_high) > 6,74;
3) (
n/
v)
2·(
vmax/
n95_high) > 3,85;
4) ТС, масса
mt которого определена по приведенному ниже
уравнению, стоящее на подъеме с крутизной не менее 12%, в состоянии пятикратно за 5-минутный период трогаться с места в течение 4 с.
mt =
mr0 + 25 кг + (MC -
mr0 - 25 кг)·0,28 (Б.5)
(коэффициент 0,28 в вышеуказанном
уравнении используют применительно к ТС категории 2 с полной массой до 3,5 т, а в случае ТС категории 1 заменяют коэффициентом 0,15),
где
vmax - максимальная скорость ТС, указанная в
перечислении к) Б.2. Применительно к указанным выше
условиям 2) и
3) используют только значение
vmax, полученное для соответствующей передачи в точке пересечения кривой мощности, требуемой для преодоления сопротивления движению, и кривой располагаемой мощности. Значение
vmax, полученное в результате ограничения частоты вращения двигателя, что исключает пересечение этих кривых, не используют;
(n/v)(ngvmax) - соотношение, полученное в результате деления частоты вращения n двигателя на скорость v ТС для передачи ngvmax, мин-1/(км/ч);
mr0 - масса в снаряженном состоянии, кг;
MC - технически допустимая максимальная масса состава в груженом состоянии (см.
2.3.27), кг.
В этом случае передачу 1 при прогоне по циклу на динамометрическом стенде не используют, а нумерацию передач изменяют (передачей 1 становится вторая передача);
м) определение
nmin_drive
nmin_drive, минимальная частота вращения двигателя во время движения ТС, мин-1:
1) если ngear = 1, то nmin_drive = nidle;
2) если ngear = 2, то:
- при переходе с первой передачи на вторую:
nmin_drive = 1,15·nidle,
- при замедлении до полной остановки:
nmin_drive = nidle,
- при всех прочих условиях вождения:
nmin_drive = 0,9·nidle.
3) Если
ngear > 2, то
nmin_drive вычисляют по формуле
nmin_drive = nidle + 0,125·(nrated - nidle). (Б.6)
Это значение обозначают как nmin_drive_set.
nmin_drive_set округляют согласно
разделу 6 до ближайшего целого числа.
Если ngear > 2, то по просьбе изготовителя могут использоваться более высокие значения nmin_drive_set. В этом случае изготовитель может указать одно значение для фаз ускорения/движения с постоянной скоростью (nmin_drive_up) и иное значение - для фаз замедления (nmin_drive_down).
Замеры со значением ускорения
a >= -0,1389 м/с
2 соответствуют фазам ускорения/движения с постоянной скоростью. Такую фазовую компоновку используют только при определении начальной передачи согласно
Б.3.5, и она неприменима к требованиям
Б.4.
Кроме того, применительно к начальному периоду времени (tstart_phase) и для значений nmin_drive или nmin_drive_up и nmin_drive_down при ngear > 2 изготовитель может указать более высокие значения (nmin_drive_start или nmin_drive_up_start и nmin_drive_down_start) по сравнению с предусмотренными выше.
Указываемый изготовителем начальный период времени не должен выходить за рамки низкоскоростной фазы цикла и должен завершаться в фазе остановки, с тем чтобы значение nmin_drive при прогоне в режиме "поездок на малые расстояния" оставалось неизменным.
Все индивидуально выбранные значения nmin_drive должны быть не ниже nmin_drive_set, но не превышать (2·nmin_drive_set).
Все индивидуально выбранные значения nmin_drive и величину tstart_phase регистрируют.
В качестве нижнего предела для построения кривой мощности при полной нагрузке согласно
Б.2 перечислению и) используют только значение
nmin_drive_set;
н) TM, масса ТС при испытании, кг
Б.3 Расчеты необходимой мощности, частоты вращения двигателя, располагаемой мощности и определение возможных подходящих передач
Б.3.1 Расчет необходимой мощности
Для каждой секунды j на кривой цикла мощность, требуемую для преодоления сопротивления движению и для ускорения, вычисляют по формуле

, (Б.7)
где Prequired, j - необходимая мощность в секунду j, кВт;
aj - ускорение ТС в секунду j, м/с2, которое вычисляют по формуле

(Б.8)
при j = tstart до tend = 1,
tstart - время начала применимого испытательного цикла (см.
А.3), с;
tend - время завершения применимого испытательного цикла (см.
А.3), с.
Значение ускорения в секунду tend (1611-я секунда для цикла применительно к классу 1 и 1800-я секунда для циклов применительно к классам 2 и 3) может быть принято равным нулю во избежание незаполненных ячеек;
kr - коэффициент учета инерционного сопротивления трансмиссии при ускорении, принимаемый за 1,03.
Б.3.2 Определение частоты вращения двигателя
Для любой vj < 1,0 км/ч считают, что ТС находится в неподвижном состоянии, и частоту вращения двигателя принимают за nidle. Рычаг переключения передач устанавливают в нейтральное положение при включенном сцеплении, за исключением первой секунды, предшествующей началу ускорения с места, когда выбирают первую передачу при выключенном сцеплении.
Для каждой vj >= 1,0 км/ч на кривой цикла и каждой передачи i, i = 1 к ng, частоту вращения двигателя, ni,j, рассчитывают по следующему уравнению:
ni,j = (n/v)i·vj. (Б.9)
Расчеты проводят с числами с плавающей точкой; результаты не округляют.
Б.3.3 Выбор возможных передач в зависимости от частоты вращения двигателя
При прогоне ТС с соблюдением хронометража цикла со скоростью vj могут выбираться следующие передачи:
а) все передачи
i <
ngvmax, для которых
nmin_drive <=
ni,j <=
nmax1;
б) все передачи i >= ngvmax, для которых nmin_drive <= ni,j <= nmax2;
в) передача 1, если
n1,j <
nmin_drive.
Если aj < 0, а ni,j <= nidle, то ni,j принимают равной nidle и сцепление выключают.
Если aj >= 0, а ni,j меньше максимального значения [1,15·nidle; минимальная частота вращения двигателя на кривой мощности Pwot(n)], то ni,j принимают равной максимальному значению (1,15·nidle) или же минимальной частоте вращения двигателя на кривой мощности Pwot(n) и сцепление переводят в "неопределенный" статус.
Под "неопределенным", в зависимости от индивидуальной компоновки "двигатель - трансмиссия", понимается любой статус сцепления между разомкнутым и включенным состоянием. В этом случае фактическая частота вращения двигателя может отличаться от расчетной частоты вращения.
Во время фазы замедления передачи, на которых ngear > 2 используют только до того момента, пока частота вращения двигателя не снижается до уровня ниже nmin_drive.
Передачу 2 в фазе замедления при прогоне по циклу в режиме "поездок на малые расстояния" (но не в конце поездки на малое расстояние) используют только до того момента, пока частота вращения двигателя не снижается до уровня ниже (0,9·nidle).
Если частота вращения двигателя снижается до уровня ниже nidle, то сцепление выключают.
Если последним сегментом "поездки на малые расстояния", непосредственно предшествующим фазе остановки, является фаза замедления, то вторую передачу используют до тех пор, пока частота вращения двигателя не снижается до уровня ниже nidle. Данное требование применяют ко всей фазе замедления, вплоть до полной остановки.
Под фазой замедления понимается период времени продолжительностью свыше 2 с при скорости ТС >= 1 км/ч, в течение которого скорость ТС неукоснительно постепенно снижается
(приложение В).
Б.3.4 Расчет располагаемой мощности
Для каждого значения частоты вращения двигателя
nk на кривой мощности при полной нагрузке, указанной в
перечислении и) Б.2, располагаемую мощность
Pavailable_k вычисляют по формуле
Pavailable_k = Pwot(nk)·(1 - (SM + ASM)), (Б.10)
где Pwot - мощность, доступная при nk в условиях полной нагрузки в соответствии с кривой мощности при полной нагрузке;
SM - коэффициент запаса, компенсирующий разницу между кривой мощности в неподвижном состоянии при полной нагрузке и располагаемой мощностью в переходном режиме. SM принимают равным 10%;
ASM - дополнительный коэффициент запаса мощности, который может применяться по просьбе изготовителя.
По соответствующей просьбе изготовитель указывает значения ASM (в % снижения
Pwot), а также предоставляет наборы данных для
Pwot(
n), как показано в качестве примера в
таблице Б.1. Между последовательными точками измерения прибегают к линейной интерполяции. Максимальное значение ASM составляет 50%.
Для применения ASM требуется одобрение компетентного органа.
n, мин-1 | Pwot, кВт | SM % | ASM % | Pavailable, кВт |
700 | 6,3 | 10,0 | 20,0 | 4,4 |
1000 | 15,7 | 10,0 | 20,0 | 11,0 |
1500 | 32,3 | 10,0 | 15,0 | 24,2 |
1800 | 56,6 | 10,0 | 10,0 | 45,3 |
1900 | 59,7 | 10,0 | 5,0 | 50,8 |
2000 | 62,9 | 10,0 | 0,0 | 56,6 |
3000 | 94,3 | 10,0 | 0,0 | 84,9 |
4000 | 125,7 | 10,0 | 0,0 | 113,2 |
5000 | 157,2 | 10,0 | 0,0 | 141,5 |
5700 | 179,2 | 10,0 | 0,0 | 161,3 |
5800 | 180,1 | 10,0 | 0,0 | 162,1 |
6000 | 174,7 | 10,0 | 0,0 | 157,3 |
6200 | 169,0 | 10,0 | 0,0 | 152,1 |
6400 | 164,3 | 10,0 | 0,0 | 147,8 |
6600 | 156,4 | 10,0 | 0,0 | 140,8 |
По смежным значениям
nk на кривой мощности при полной нагрузке методом линейной интерполяции рассчитывают располагаемую мощность,
Pavailable_k, для каждой из возможных передач
i, каждого значения скорости ТС на кривой цикла,
vj (при
j, указанной в
Б.3.1), и каждого значения частоты вращения двигателя
ni,j >=
nmin на кривой мощности при полной нагрузке.
Б.3.5 Определение возможных подходящих передач
Передачи, которые могут использоваться, должны удовлетворять следующим условиям:
б) для ngear > 2, если Pavailable_i,j >= Prequired,j.
Начальная передача, которая используется на каждой секунде j на кривой цикла, является самой высокой возможной конечной передачей, imax. При запуске двигателя, находившегося в состояния покоя, используют только первую передачу.
Самая низкая возможная конечная передача - imin.
Б.4 Дополнительные требования к корректировке и/или изменению используемых передач
Выбор начальной передачи подлежит проверке и изменению во избежание чрезмерно частого переключения передач и из соображений управляемости и практичности.
Под фазой ускорения понимается период времени продолжительностью свыше 2 с при скорости ТС v >= 1,0 км/ч, в течение которого скорость ТС неукоснительно постепенно нарастает. Под фазой замедления понимается период времени продолжительностью свыше 2 с при скорости ТС v >= 1,0 км/ч, в течение которого скорость ТС неукоснительно постепенно снижается. Под фазой движения с постоянной скоростью понимается период времени продолжительностью свыше 2 с при постоянной скорости ТС v >= 1,0 км/ч.
Момент окончания фазы ускорения/замедления определяется по последней

выборке, в которой скорость ТС является более высокой/низкой по сравнению со скоростью ТС в предыдущей

выборке. При этом момент окончания той или иной фазы замедления может совпадать с моментом начала фазы ускорения. В таком случае требования в отношении фаз ускорения имеют преимущественную силу по сравнению с требованиями к фазам замедления.
Корректировку и/или изменения проводят в соответствии со следующими требованиями (применению требований (см.
перечисления б) -
е) Б.4) предшествует двукратная проверка внесенного изменения применительно к развертке кривой полного цикла (см.
перечисление а) Б.4):
а) если в течение периода времени, составляющего лишь одну секунду, требуется повышенная на одну ступень передача (
n+1), причем передачи, использовавшиеся до и после этого периода, являются той же передачей (
n) либо одна из них является пониженной на одну ступень передачей (
n-1), то передача (
n+1) меняется на передачу
n.
Примеры
1 Последовательность переключения передач i - 1, i, i - 1 меняется на i - 1, i - 1, i - 1.
2 Последовательность переключения передач i - 1, i, i - 2 меняется на i - 1, i - 1, i - 2.
3 Последовательность переключения передач i - 2, i, i - 1 меняется на i - 2, i - 1, i - 1.
Если во время фазы ускорения или движения с постоянной скоростью либо при переходе с фазы движения с постоянной скоростью в фазу ускорения или наоборот (причем для этих фаз предусматриваются только повышающие передачи) какая-либо передача используется в течение лишь одной секунды, то передачу, задействуемую в следующую секунду, корректируют с учетом предшествующей передачи таким образом, чтобы она включалась не менее чем на 2 с.
Примеры:
1 Последовательность переключения передач 1, 2, 3, 3, 3, 3, 3 меняется на 1, 1, 2, 2, 3, 3, 3.
2 Последовательность переключения передач 1, 2, 3, 4, 5, 5, 6, 6, 6, 6, 6 меняется на 1, 1, 2, 2, 3, 3, 4, 4, 5, 5, 6.
Данное требование не распространяется на понижения передач во время фазы ускорения, либо если какая-либо передача используется в течение лишь одной секунды, непосредственно следующей за таким переходом на пониженную передачу, или же если переход на пониженную передачу происходит в самом начале фазы ускорения. В этих случаях производят сперва корректировку понижений передач в соответствии с
перечислением б) Б.4).
Примеры
1 Последовательность переключения передач 4, 4, 3, 4, 5, 5, 5, при которой первая или третья секунда определяет начало фазы ускорения, причем в дальнейшем предписания (см. перечисление б) Б.4) на фазу ускорения не распространяются, меняется на 4, 4, 4, 4, 5, 5, 5.
Если же передача, задействуемая в начале фазы ускорения, на одну ступень ниже передачи, которая использовалась в предшествующую секунду, а передачи, переход на которые осуществляют в последующие (до 5) секунды, аналогичны передаче, задействованной в предыдущую секунду, но с последующим переходом на пониженную передачу, так что при их корректировке по перечислению в) Б.4 получалась бы та же передача, что и в начале фазы ускорения, то в этом случае целесообразно руководствоваться положениями перечисления в) Б.4.
2 Для предусмотренной кривой скорости последовательности 19,6; 18,3; 18,0; 18,3; 18,5; 17,9; 15,0 км/ч с использованием начальной передачи 3, 3, 2, 3, 3, 2, 2 вместо корректировки передачи, задействуемой в начале фазы ускорения (3-я секунда), передачи, переход на которые осуществляют на четвертой и пятой секундах, меняют на пониженную на одну ступень передачу [с применением положений перечисления в) В.4] с получением после корректировки следующей последовательности переключения передач: 3, 3, 2, 2, 2, 2, 2.
Кроме того, если передача, задействуемая в первую секунду фазы ускорения, аналогична передаче, которая использовалась в предшествующую секунду, а передача, переход на которую осуществляют в последующие секунды, на одну ступень выше, то передачу, задействуемую во 2-ю секунду фазы ускорения, меняют на передачу, используемую в первую секунду фазы ускорения.
3 Для предусмотренной кривой скорости последовательности 30,9; 25,5; 21,4; 20,2; 22,9; 26,6; 30,2 км/ч с использованием начальной передачи 3, 3, 2, 2, 3, 3, 3, с целью обеспечить использование какой-либо передачи в фазе ускорения в течение не менее двух секунд передачу, переход на которую осуществляют на пятой секунде (2-я секунда фазы ускорения), меняют на пониженную на одну ступень передачу с получением после корректировки следующей последовательности переключения передач: 3, 3, 2, 2, 2, 3, 3.
При переходе на повышенные передачи в фазах ускорения пропускание передач не допускается.
Однако допускается повышение передачи на две ступени при переходе с фазы ускорения к фазе постоянной скорости, если продолжительность фазы постоянной скорости превышает 5 с;
б) если во время либо в начале фазы ускорения необходимо понижение передачи, то отмечают передачу, которая требуется при таком понижении (
iDS). Начальную точку процедуры корректировки определяет либо секунда, предшествующая той, в которую было установлено
iDS, либо момент начала фазы ускорения, если во всех предшествующих

выборках использовались передачи выше
iDS. Наивысшая передача по

выборкам, предшествующим переходу на пониженную передачу, определяет исходную передачу
iref для такого понижения. Понижение передачи, при котором
iDS =
iref - 1, называется понижением на одну ступень, переход на пониженную передачу, при котором
iDS =
iref - 2, называется понижением на две ступени, а аналогичный переход, при котором
iDS =
iref - 3, называется понижением на три ступени. Затем выполняют следующую проверку:
1) Понижения передач на одну ступень
Отсчитывая вперед от начальной точки процедуры корректировки до момента завершения фазы ускорения, определяют самый последний 10-секундный период, содержащий iDS продолжительностью либо две или более секунд подряд, либо две или более отдельных секунд. Последнее использование iDS в течение этого периода определяет конечную точку процедуры корректировки. Между началом и окончанием периода корректировки все требования в отношении передач выше iDS корректируют для приведения их в соответствие с требованием iDS.
На отрезке от окончания периода корректировки (в случае 10секундных периодов, содержащих iDS продолжительностью либо две или более секунд подряд, либо две или более отдельных секунд) или от момента начала процедуры корректировки (если все 10-секундные периоды содержат iDS продолжительностью лишь одна секунда или же некоторые 10-секундные периоды вообще не содержат iDS) до завершения фазы ускорения исключают все понижения передачи продолжительностью только одна секунда;
2) понижения передач на две или три ступени
Отсчитывая вперед от начальной точки процедуры корректировки до момента завершения фазы ускорения, определяют самый последний случай iDS. На отрезке от момента начала процедуры корректировки все требования в отношении передач выше или равных iDS вплоть до последнего случая iDS корректируют до (iDS + 1);
3) Понижения передач на одну ступень и понижения передач на две и/или три ступени
Если во время фазы ускорения происходит понижение передач как на одну, так и на две и/или три ступени, то корректировке двух- или одноступенчатых понижений предшествует корректировка трехступенчатых понижений, а корректировке одноступенчатых понижений предшествует корректировка двухступенчатых понижений. В этих случаях начальную точку процедуры корректировки для одноступенчатых понижений определяет секунда, непосредственно следующая за окончанием периода корректировки для двухступенчатых понижений. Если понижение передачи на три ступени происходит после одно- или двухступенчатого понижения, то на период времени, предшествующий трехступенчатому понижению, оно блокирует такие понижения передач. Если понижение передачи на две ступени происходит после одноступенчатого понижения, то на период времени, предшествующий двухступенчатому понижению, оно блокирует понижение передачи на одну ступень.
Время | j | j+1 | j+2 | j+3 | j+4 | j+5 | j+6 | j+7 | j+8 | j+9 | j+10 | j+11 | j+12 | j+13 | j+14 | j+15 | j+16 | j+17 | j+18 |
| Начало ускорения | | | | | | | | Понижение передачи, iDS = 3 | | | | | | | Понижение передачи, iDS = 3 | | | Конец ускорения |
Использование начальной передачи | 2 | 2 | 3 | 3 | 4 | 4 | 4 | 4 | 3 | 4 | 4 | 4 | 4 | 4 | 4 | 3 | 4 | 4 | 4 |
| | | | Начало корректировочной проверки | | | | | | | | | | | | | | | |
| | | | iref = 4 |
| | | | Первый 10-секундный период корректировочной проверки | | | | | | |
| | | | | | | | | | Последний 10-секундный период корректировочной проверки |
| | | | | | | Самый последний 10-секундный период с двумя iDS | | | |
| | | | | | | | | | | | | | | | Завершение корректировки | | | |
Корректировка | | | | | 3 | 3 | 3 | 3 | | 3 | 3 | 3 | 3 | 3 | 3 | | | | |
Исключение | | | | | | | | | | | | | | | | | | | |
Использование конечной передачи | 2 | 2 | 3 | 3 | 3 | 3 | 3 | 3 | 3 | 3 | 3 | 3 | 3 | 3 | 3 | 3 | 4 | 4 | 4 |
Таблица Б.3
Время | j | j+1 | j+2 | j+3 | j+4 | j+5 | j+6 | j+7 | j+8 | j+9 | j+10 | j+11 | j+12 | j+13 | j+14 | j+15 | j+16 | j+17 | j+18 |
| Начало ускорения | | | | | | Понижение передачи, iDS = 3 | | | | | | | | | | | Понижение передачи, iDS = 3 | Конец ускорения |
Использование начальной передачи | 2 | 2 | 3 | 3 | 4 | 4 | 3 | 4 | 4 | 4 | 4 | 4 | 4 | 4 | 4 | 4 | 4 | 3 | 4 |
| | | | Начало корректировочной проверки | | | | | | | | | | | | | | | |
| | | | iref = 4 |
| | | | Первый 10-секундный период корректировочной проверки | | | | | | |
| | | | | | | | | | Последний 10-секундный период корректировочной проверки |
| | | | Самый последний 10-секундный период с двумя iDS | | | | | | |
| | | | | | Завершение корректировки | | | | | | | | | | | | | |
Корректировка | | | | | 3 | 3 | | | | | | | | | | | | | |
Исключение | | | | | | | | | | | | | | | | | | 4 | |
Использование конечной передачи | 2 | 2 | 3 | 3 | 3 | 3 | 3 | 4 | 4 | 4 | 4 | 4 | 4 | 4 | 4 | 4 | 4 | 4 | 4 |
Таблица Б.4
Время | j | j+1 | j+2 | j+3 | j+4 | j+5 | j+6 | j+7 | j+8 | j+9 | j+10 | j+11 | j+12 | j+13 | j+14 | j+15 | j+16 | j+17 | j+18 |
| Начало ускорения | | | Понижение передачи, iDS = 3 | | | | | | | | | | | Понижение передачи, iDS = 3 | | | | Конец ускорения |
Использование начальной передачи | 4 | 4 | 4 | 3 | 4 | 4 | 4 | 4 | 4 | 4 | 4 | 4 | 4 | 4 | 3 | 4 | 4 | 5 | 5 |
| Начало корректировочной проверки | | | | | | | | | | | | | | | | | | |
| iref = 4 |
| Первый 10-секундный период корректировочной проверки | | | | | | | | | |
| | | | | | | | | | Последний 10-секундный период корректировочной проверки |
| Отсутствие 10-секундных периодов с двумя iDS |
Корректировка | | | | | | | | | | | | | | | | | | | |
Исключение | | | | 4 | | | | | | | | | | | 4 | | | | |
Использование конечной передачи | 4 | 4 | 4 | 4 | 4 | 4 | 4 | 4 | 4 | 4 | 4 | 4 | 4 | 4 | 4 | 4 | 4 | 5 | 5 |
Таблица Б.5
Время | j | j+1 | j+2 | j+3 | j+4 | j+5 | j+6 | j+7 | j+8 | j+9 | j+10 | j+11 | j+12 | j+13 | j+14 | j+15 | j+16 | j+17 | j+18 | j+19 |
| Начало ускорения | | | Понижение передачи, iDS1 = 5 | | Понижение передачи на две ступени, iDS1 = 4 | | | | | | | | | | | | | Понижение передачи на одну ступень, iDS2 = 5 | Конец ускорения |
Использование начальной передачи | 6 | 6 | 6 | 5 | 5 | 4 | 4 | 4 | 4 | 4 | 5 | 6 | 6 | 6 | 6 | 6 | 6 | 6 | 5 | 5 |
| Начало корректировки iDS1 | | | | | | | | | | Начало корректировки iDS2 | | | | | | | | | |
| iref = 6 | iref = 6 |
| Самый последний 10-секундный период с двумя или более iDS1 | Самый последний 10-секундный период с двумя или более iDS2 |
| | | | | Завершение корректировки iDS1 | | | | | | | | | | | | | Завершение корректировки iDS2 | | |
Корректировка | 4 | 4 | 4 | 4 | 4 | | | | | | | 5 | 5 | 5 | 5 | 5 | 5 | 5 | | |
Исключение | | | | | | | | | | | | | | | | | | | | |
Использование конечной передачи | 4 | 4 | 4 | 4 | 4 | 4 | 4 | 4 | 4 | 4 | 5 | 5 | 5 | 5 | 5 | 5 | 5 | 5 | 5 | 5 |
Время | j | j+1 | j+2 | j+3 | j+4 | j+5 | j+6 | j+7 | j+8 | j+9 | j+10 | j+11 | j+12 | j+13 | j+14 | j+15 | j+16 | j+17 | j+18 |
| Начало ускорения | Понижение передачи, iDS1 = 3 | | | | | Понижение передачи, iDS2 = 4 | | | | | | | Понижение передачи. iDS3 = 5 | | | | | Конец ускорения |
Использование начальной передачи | 4 | 3 | 3 | 4 | 5 | 5 | 4 | 5 | 5 | 6 | 6 | 6 | 6 | 5 | 5 | 6 | 6 | 6 | 6 |
| Начало корректировки iDS1 | | | Начало корректировки iDS2 | | | | | Начало корректировки iDS3 | | | | | | | | | | |
| iref = 4 | iref = 5 | iref = 6 |
| Самый последний 10-секундный период с двумя или более iDS1 | | | | | | | | | |
| | | | Самый последний 10-секундный период с двумя или более iDS2 | | | | | | |
| | | | | | | | | Самый последний 10-секундный период с двумя или более iDS3 | |
| Завершение корректировки iDS1 | | | | | Завершение корректировки iDS2 | | | | | | | Завершение корректировки iDS3 | | | | | | |
Корректировка | 3 | | | | 4 | 4 | | | | 5 | 5 | 5 | 5 | | | | | | |
Исключение | | | | | | | | | | | | | | | | | | | |
Использование конечной передачи | 3 | 3 | 3 | 4 | 4 | 4 | 4 | 5 | 5 | 5 | 5 | 5 | 5 | 5 | 5 | 6 | 6 | 6 | 6 |
Для передачи 1 такую корректировку не проводят. Требования, приведенные в
Б.3.3 (относительно
aj >= 0), не распространяются на корректировку последовательности переключения передач по настоящему пункту при числе передач более 2.
в) если передача
i используется в течение периода времени продолжительностью от 1 до 5 с, а передача, использовавшаяся до этого периода времени, на одну ступень ниже, и передача, использовавшаяся после него, на одну или две ступени ниже, чем в течение этого периода, либо передача, использовавшаяся до этого периода времени, на две ступени ниже, и передача, использовавшаяся после него, на одну ступень ниже, чем в течение этого периода, то передачу, задействованную в течение этого периода, корректируют с учетом максимальных передач до и после этого периода.
Примеры:
1 Последовательность переключения передач i - 1, i, i - 1 меняется на i - 1, i - 1, i - 1;
последовательность переключения передач i - 1, i, i - 2 меняется на i - 1, i - 1, i - 2;
последовательность переключения передач i - 2, i, i - 1 меняется на i - 2, i - 1, i - 1.
2 Последовательность переключения передач i - 1, i, i, i - 1 меняется на i - 1, i - 1, i - 1, i - 1;
последовательность переключения передач i - 1, i, i, i - 2 меняется на i - 1, i - 1, i - 1, i - 2;
последовательность переключения передач i - 2, i, i, i - 1 меняется на i - 2, i - 1, i - 1, i - 1.
3 Последовательность переключения передач i - 1, i, i, i, i - 1 меняется на i - 1, i - 1, i - 1, i - 1, i - 1;
последовательность переключения передач i - 1, i, i, i, i - 2 меняется на i - 1, i - 1, i - 1, i - 1, i - 2;
последовательность переключения передач i - 2, i, i, i, i - 1 меняется на i - 2, i - 1, i - 1, i - 1, i - 1.
4 Последовательность переключения передач i - 1, i, i, i, i, i - 1 меняется на i - 1, i - 1, i - 1, i - 1, i - 1, i - 1;
последовательность переключения передач i - 1, i, i, i, i, i - 2 меняется на i - 1, i - 1, i - 1, i - 1, i - 1, i - 2;
последовательность переключения передач i - 2, i, i, i, i, i - 1 меняется на i - 2, i - 1, i - 1, i - 1, i - 1, i - 1.
5 Последовательность переключения передач i - 1, i, i, i, i, i, i - 1 меняется на i - 1, i - 1, i - 1, i - 1, i - 1, i - 1, i - 1;
последовательность переключения передач i - 1, i, i, i, i, i, i - 2 меняется на i - 1, i - 1, i - 1, i - 1, i - 1, i - 1, i - 2;
последовательность переключения передач i - 2, i, i, i, i, i, i - 1 меняется на i - 2, i - 1, i - 1, i - 1, i - 1, i - 1, i - 1.
Во всех случаях 1 - 5 выполняется условие i - 1 >= imin.
г) в фазе замедления переключение на более высокую передачу не выполняют;
д) при переходе с фазы ускорения или движения с постоянной скоростью в фазу замедления переключение на более высокую передачу не выполняют, если одна из передач, используемых в первые две секунды, следующие за фазой замедления, является более низкой по сравнению с такой повышенной передачей либо передачей 0.
Пример - если vi <= vi+1 и vi+2 < vi+1, причем передача i = 4, передача (i + 1 = 5), а передача (i + 2 = 5), то передачу (i + 1) и передачу (i + 2) устанавливают на 4, если передача на фазе, следующей за фазой замедления, является передачей 4 или более низкой. Для всей последующей кривой цикла применительно к точкам в фазе замедления, в случае которой передача = 5, эту передачу также устанавливают на 4. Если передачей, следующей за фазой замедления, является передача 5, то переходят на повышенную передачу.
Если при переходе с одной фазы на другую и в начале фазы замедления требуется повышенная на две ступени передача, то тогда переключение на повышенную передачу выполняют пошагово. В этом случае при последующих проверках порядка переключения передач никаких дальнейших изменений не вносят;
е) другие изменения порядка переключения передач для фаз замедления
Во время фаз замедления переход на первую передачу не допускается. Если же на последнем сегменте "поездки на малые расстояния", непосредственно предшествующем фазе остановки, возникает необходимость в переходе на такую пониженную передачу, поскольку на 2-й передаче частота вращения двигателя снижается до уровня ниже nidle, то вместо этого используют передачу 0, а рычаг переключения передач устанавливают в нейтральное положение при включенном сцеплении.
Если в период времени продолжительностью не менее 2 с, непосредственно предшествующий замедлению до полной остановки, требуется первая передача, то эту передачу используют до момента первого замера в фазе замедления. На остальном отрезке фазы замедления используют передачу 0, а рычаг переключения передач устанавливают в нейтральное положение при включенном сцеплении.
Если во время фазы замедления длительность какого-либо периода переключения передач (определенный отрезок времени при задействованной фиксированной передаче) между двумя периодами переключения передач продолжительностью 3 с или более составляет лишь одну секунду, то вместо предписанной передачи используют передачу 0, причем сцепление выключают.
Если во время фазы замедления длительность какого-либо периода переключения передач между двумя периодами переключения передач продолжительностью 3 с или более составляет 2 с, то в течение первой секунды вместо предписанной передачи используют передачу 0, а в течение второй секунды - передачу, которая следует после 2-секундного периода. В течение первой секунды сцепление должно быть выключено.
Пример - Последовательность переключения передач 5, 4, 4, 2 меняется на 5, 0, 2, 2.
Данное требование применяют только в том случае, если передача, которая следует после 2-секундного периода, больше передачи 0.
Если несколько периодов переключения передач продолжительностью 1 или 2 с следуют друг за другом, то корректировку проводят следующим образом:
последовательность переключения передач i, i, i, i - 1, i - 1, i - 2 или i, i, i, i - 1, i - 2, i - 2 меняется на i, i, i, 0, i - 2, i - 2.
Такая последовательность переключения передач, как i, i, i, i - 1, i - 2, i - 3 или i, i, i, i - 2, i - 2, i - 3 либо иная возможная последовательность, меняется на i, i, i, 0, i - 3, i - 3.
Это изменение применяется также в отношении последовательностей передач, при которых ускорение составляет a >= 0 в течение первых двух секунд и a < 0 в течение третьей секунды либо a >= 0 для последних двух секунд.
В случае нестандартных конфигураций передач периоды переключения передач продолжительностью 1 или 2 с, следующие друг за другом, могут длиться до 7 секунд. В таких случаях вышеописанную корректировку дополняют нижеследующими требованиями к корректировке на втором этапе.
Последовательность переключения передач j, 0, i, i, i - 1, k при j > (i + 1), а k <= (i - 1), но > 0, меняется на j, 0, i - 1, i - 1, i - 1, k, если передача (i - 1) на одну или две ступени ниже imax на третьей секунде этой последовательности (следующей после передачи 0).
Если передача (i - 1) более чем на две ступени ниже imax на третьей секунде этой последовательности, то последовательность переключения передач j, 0, i, i, i - 1, k при j > (i + 1), а k <= (i - 1), но > 0, меняется на j, 0, 0, k, k, k.
Последовательность переключения передач j, 0, i, i, i - 2, k при j > (i + 1), а k <= (i - 2), но > 0, меняется на j, 0, i - 2, i - 2, i - 2, k, если передача (i - 2) на одну или две ступени ниже imax на третьей секунде этой последовательности (следующей после передачи 0).
Если передача (i - 2) более чем на две ступени ниже imax на третьей секунде этой последовательности, то последовательность переключения передач j, 0, i, i, i - 2, k при j > (i + 1), а k <= (i - 2), но k > 0, меняется на j, 0, 0, k, k, k.
Во всех случаях, указанных выше
(перечисление е) Б.4), в течение первой секунды сцепление должно быть выключено (передача 0) во избежание чрезмерно высокой частоты вращения двигателя в эту секунду. Если такой проблемы не возникает и по просьбе изготовителя допускается использование более низкой передачи в течение следующей секунды вместо передачи 0 при понижении передачи не более чем на три ступени. Применение этого варианта регистрируют.
Если последним сегментом "поездки на малые расстояния", непосредственно предшествующим фазе остановки, является фаза замедления, а последняя передача > 0 до фазы остановки используется только в течение периода времени, не превышающего двух секунд, то вместо этого используют передачу 0, а рычаг переключения передач устанавливают в нейтральное положение при включенном сцеплении.
Примеры
1 Последовательность переключения передач 4, 0, 2, 2, 0 для последних 5 с, предшествующих фазе остановки, меняется на 4, 0, 0, 0, 0.
2 Последовательность переключения передач 4, 3, 3, 0 для последних 4 с, предшествующих фазе остановки, меняется на 4, 0, 0, 0.
Б.5 Заключительные требования
Требования
перечислений а) -
е) Б.4 применяют последовательно, с анализом в каждом случае развертки кривой полного цикла. Поскольку изменения, вносимые в
перечисления а) -
е) Б.4, могут приводить к появлению новых последовательностей переключения передач, эти новые последовательности подвергают двукратной проверке и, при необходимости, модифицируют.
После выполнения требований
перечисления б) Б.4 при переходе с фазы замедления или движения с постоянной скоростью в фазу ускорения допускается понижение передачи более чем на одну ступень.
В этом случае передачу, предписанную на момент последнего замера в фазе замедления или движения с постоянной скоростью, меняют на передачу 0, причем сцепление выключают. Если выбирается вариант по
перечислению е) Б.4, предусматривающий "отказ от использования передачи 0 при понижении передач", то вместо передачи 0 используют передачу, задействованную в течение следующей секунды (первой секунды фазы ускорения).
В порядке обеспечения возможности оценки того, являются ли расчеты правильными, рассчитывают и регистрируют контрольную сумму передач
v* при
v >= 1,0 км/ч с округлением полученного значения до четырех знаков после запятой согласно
разделу 6.
Б.6 Инструментарий для расчета
Предлагается следующий инструментарий:
- инструментальное средство на базе платформы "ACCESS";
- инструментальное средство анализа "Matlab";
- инструментальное средство ".NET core".
Применимость этих инструментальных средств была подтверждена путем сопоставительного анализа результатов расчетов, полученных с использованием "ACCESS", "Matlab" и ".NET core" для 115 различных конфигураций ТС, а по семи из них подкреплена дополнительными расчетами с добавлением таких опций, как "ограничение скорости", "отказ от пропорционального уменьшения параметров", "выбор применительно к данному классу ТС другого цикла" и "выбор значений nmin_drive для отдельных ТС".
Указанными 115 конфигурациями ТС охватываются коробки передач и двигатели в нестандартном исполнении, а также все классы автомобилей.
Все три инструментальных средства обеспечивают одинаковые результаты в отношении использования передач и работы сцепления, и, хотя юридически обязательным является только текст
приложений А и Б, эти инструменты получили статус, позволяющий квалифицировать их в качестве справочного инструментария.
(обязательное)
ДОРОЖНАЯ НАГРУЗКА И РЕГУЛИРОВКА ДИНАМОМЕТРИЧЕСКОГО СТЕНДА
В.1 Область применения
В настоящем приложении изложен порядок определения дорожной нагрузки, которой подвергается испытуемое ТС, и ее воспроизведения на динамометрическом стенде.
В.2 Термины и определения
В.2.1 Для целей настоящего стандарта применяют термины и определения, приведенные в
разделе 2. В случае определений, не фигурирующих в
разделе 2, - с учетом
[6].
В.2.2 Отсчет точек контрольной скорости начинают с 20 км/ч с шагом приращения, составляющим 10 км/ч, при наивысшей контрольной скорости, отвечающей следующим требованиям:
а) точка наивысшей контрольной скорости соответствует 130 км/ч или точке контрольной скорости, следующей непосредственно за максимальной скоростью применимого испытательного цикла, если это значение составляет меньше 130 км/ч. В случаях, когда применимый испытательный цикл включает менее четырех фаз (низкой, средней, высокой и сверхвысокой скорости), по просьбе изготовителя и с одобрения компетентного органа наивысшая контрольная скорость может быть увеличена до точки контрольной скорости, следующей непосредственно за максимальной скоростью следующей более высокой фазы, но без превышения 130 км/ч; в этом случае определение дорожной нагрузки и регулировку динамометрического стенда проводят с использованием одних и тех же точек контрольной скорости;
б) если применительно к циклу какая-либо точка контрольной скорости плюс 14 км/ч соответствует значению, превышающему максимальную скорость vmax транспортного средства или равному ей, то для целей испытания методом выбега и регулировки динамометрического стенда такую точку контрольной скорости исключают. Точкой наивысшей контрольной скорости, устанавливаемой для транспортного средства, становится следующая по порядку точка меньшей контрольной скорости.
В.2.3 Если не указано иное, то расчет потребности в энергии для выполнения цикла производят согласно
Д.5 на основе заданной кривой скорости применимого ездового цикла.
В.2.4 f0, f1, f2 - это коэффициенты дорожной нагрузки в уравнении дорожной нагрузки F = f0 + f1·v + f2·v2, определяемые в соответствии с настоящим приложением.
f0 - постоянный коэффициент дорожной нагрузки, округляемый согласно
разделу 6 до одной десятой, Н;
f1 - коэффициент дорожной нагрузки при члене в первой степени, округляемый согласно
разделу 6 до одной тысячной, Н/(км/ч);
f2 - коэффициент дорожной нагрузки при члене во второй степени, округляемый согласно
разделу 6 до пятого знака после запятой, Н/(км/ч)
2.
Если не указано иное, то коэффициенты дорожной нагрузки рассчитывают по всему диапазону точек контрольной скорости с помощью регрессионного анализа методом наименьших квадратов.
В.2.5 Вращающаяся масса
mr - это эквивалентная эффективная масса всех колес и элементов ТС, вращающихся вместе с колесами при движении по дороге и с рычагом переключения передач, установленным в нейтральное положение, в килограммах (кг). mr измеряют или рассчитывают при помощи соответствующего метода, определенного по согласованию с компетентным органом. В качестве альтернативы mr можно принимать равной 3% от суммы массы в снаряженном состоянии плюс 25 кг.
В.2.5.2 Применение вращающейся массы для определения дорожной нагрузки
Для преобразования значений времени выбега в силу и наоборот принимают в расчет применимую испытательную массу плюс mr. Это относится к измерениям как в дорожных условиях, так и на динамометрическом стенде.
В.2.5.3 Применение вращающейся массы для регулирования момента инерции
Если ТС испытывают на полноприводном динамометрическом стенде, то эквивалентная инерционная масса динамометрического стенда должна соответствовать применимой испытательной массе.
В противном случае эквивалентную инерционную массу динамометрического стенда принимают равной испытательной массе плюс либо эквивалентная эффективная масса колес, не оказывающих влияния на результаты измерений, либо 50% mr.
В.2.6 Дополнительные грузы, используемые для целей регулировки испытательной массы, применяют таким образом, чтобы распределение веса данного ТС примерно соответствовало аналогичному параметру при массе ТС в снаряженном состоянии. В случае ТС категории 2 либо пассажирских ТС на базе ТС категории 2 такие дополнительные грузы размещают репрезентативным образом с представлением компетентному органу - по соответствующему запросу - надлежащего обоснования. Распределение веса ТС регистрируют и используют для всех последующих испытаний с определением дорожной нагрузки.
В.3 Общие требования
Изготовитель отвечает за точность расчета коэффициентов дорожной нагрузки и обеспечивает ее применительно к каждому серийному ТС из семейства по уровню дорожной нагрузки. Во избежание недооценки дорожной нагрузки, которой подвергаются серийные ТС, при определении, имитации и расчете дорожной нагрузки допуски не используют. По просьбе компетентного органа представляют данные, подтверждающие точность коэффициентов дорожной нагрузки применительно к отдельному ТС.
В.3.1 Общая погрешность, прецизионность, дискретность и частота измерения
Требования в отношении общей погрешности измерения являются следующими:
а) скорость ТС: погрешность +/- 0,2 км/ч, при измерении с частотой не менее 10 Гц;
б) время: максимальная погрешность: +/- 10 мс; минимальная прецизионность и дискретность измерения: +/- 10 мс;
в) крутящий момент колеса: для всего ТС - погрешность +/- 6 Н·м или +/- 0,5% от максимального измеренного суммарного крутящего момента в зависимости от того, какая величина больше, при частоте измерений не менее 10 Гц;
г) скорость ветра: погрешность +/- 0,3 м/с, при измерении с частотой не менее 1 Гц;
д) направление ветра: погрешность +/- 3°, при измерении с частотой не менее 1 Гц;
е) температура воздуха: погрешность +/- 1 °C, при измерении с частотой не менее 0,1 Гц;
ж) атмосферное давление: погрешность +/- 0,3 кПа, при измерении с частотой не менее 0,1 Гц;
и) масса ТС, измеренная на одних и тех же весах до и после испытания: погрешность +/- 10 кг (+/- 20 кг для ТС массой > 4 000 кг);
к) давление в шинах: погрешность +/- 5 кПа;
л) скорость вращения колеса: погрешность +/- 0,05 с-1 или 1%, в зависимости от того, какая величина больше.
В.3.2 Критерии выбора аэродинамической трубы
В.3.2.1 Скорость ветра
Во время измерения скорость ветра в центре сечения рабочего участка должна оставаться в пределах +/- 2 км/ч. Возможная скорость ветра составляет не менее 140 км/ч.
В.3.2.2 Температура воздуха
Во время измерения температура воздуха в центре сечения рабочего участка должна оставаться в пределах +/- 3 °C. Диапазон температуры воздуха на выходе из сопла должен оставаться в пределах +/- 3 °C.
В.3.2.3 Турбулентность
При использовании равносторонней решетки с тремя ячейками по горизонтали и тремя по вертикали, полностью перекрывающей выпускное отверстие сопла, интенсивность турбулентности, Tu, не должна превышать 1%. См.
рисунок В.1.
Рисунок В.1 - Интенсивность турбулентности
Интенсивность турбулентности вычисляют по формуле

, (В.1)
где u' - колебания скорости турбулентного потока, м/с;

- скорость свободного потока, м/с.
В.3.2.4 Коэффициент загромождения
Коэффициент загромождения ТС

, вычисленный как отношение площади фронтальной поверхности ТС к площади выходного отверстия сопла в соответствии с приведенным ниже уравнением, не должен превышать 0,35.

, (В.2)
где

- коэффициент загромождения ТС;
Af - площадь фронтальной поверхности ТС, м2;
Anozzle - площадь выходного отверстия сопла, м2.
В.3.2.5 Вращающиеся колеса
Для правильного определения влияния аэродинамического сопротивления колес испытуемого ТС они должны вращаться с такой скоростью, чтобы результирующая скорость ТС находилась в пределах +/- 3 км/ч по сравнению со скоростью ветра.
В.3.2.6 Бегущая лента
Для воссоздания потока среды в подднищевой зоне испытуемого ТС аэродинамическая труба должна быть оснащена бегущей лентой, движущейся по направлению от передней части ТС к задней. Скорость бегущей ленты должна находиться в пределах +/- 3 км/ч от скорости ветра.
В.3.2.7 Угол натекания потока
В девяти точках, равномерно распределенных по площади сопла, среднеквадратичное отклонение как угла уклона

, так и угла рыскания

(в плоскостях Y и Z) на выходе из сопла не должно превышать 1°.
В девяти точках, равномерно распределенных по площади выходного отверстия сопла, стандартное отклонение общего давления на выходе из сопла должно составлять не более 0,02.

, (В.3)
где

- стандартное отклонение коэффициента давления

;

- разница общего давления между точками измерения, Н/м
2;
q - динамическое давление, Н/м2.
Отклонение (абсолютная разность значений) коэффициента давления cp на отрезке между отметкой, соответствующей 3 м перед центром тяжести на порожнем рабочем участке по центру выхода из сопла, и отметкой, соответствующей 3 м позади него, не должно превышать +/- 0,02.
|cpx = +3м - cpx = -3м| <= 0,02,
где cp - коэффициент давления.
В.3.2.9 Толщина пограничного слоя
При x = 0 (центр тяжести) скорость ветра на уровне 30 мм над полом аэродинамической трубы должна составлять не менее 99% скорости натекания потока.

,
где

- высота, измеренная перпендикулярно к поверхности дороги, где скорость свободного потока достигает 99% (толщина пограничного слоя).
В.3.2.10 Коэффициент загромождения системой фиксации
Крепление системы фиксации не должно находиться в передней части ТС. Коэффициент относительного загромождения фронтальной поверхности ТС, приходящегося на систему фиксации,

, не должен превышать 0,10.

, (В.4)
где Arestr - площадь фронтальной поверхности системы фиксации, проецируемая на входное сечение сопла, м2;
Af - площадь фронтальной поверхности ТС, м2.
В.3.2.11 Точность измерения баланса по оси
x
Погрешность результирующей силы по оси x не должна превышать +/- 5 Н. Разрешающая способность прибора для измерения силы должна находиться в пределах +/- 3 Н.
В.3.2.12 Прецизионность результатов измерений
Прецизионность результатов измерения силы должна быть в пределах +/- 3 Н.
В.4 Измерение дорожной нагрузки на дороге
В.4.1 Требования к дорожным испытаниям
В.4.1.1 Атмосферные условия для дорожных испытаний
Атмосферные параметры (ветровые условия, температуру воздуха и атмосферное давление) измеряют с соблюдением требований
В.3.1. Для целей проверки достоверности данных и корректировки значений используют только атмосферные параметры, замеренные в ходе измерения времени выбега и/или измерения крутящего момента.
В.4.1.1.1 Допустимые ветровые условия, определяемые методами стационарной и бортовой анемометрии
Допустимые ветровые условия определяют методом стационарной анемометрии.
Скорость ветра измеряют на том участке, находящемся рядом с испытательным треком, и на той высоте над уровнем дороги, где наблюдаются наиболее репрезентативные ветровые условия. В случаях, когда испытательные прогоны в противоположных направлениях на одном и том же участке испытательного трека (например, на овальном испытательном треке с обязательным направлением движения) выполнить невозможно, скорость и направление ветра измеряют с противоположных сторон испытательного трека.
Ветровые условия во время парных прогонов должны отвечать всем следующим критериям:
а) средняя скорость ветра за любой 5-секундный период времени составляет менее 5 м/с;
б) скорость порывов ветра продолжительностью более 2 с подряд не превышает 8 м/с;
в) средняя арифметическая векторная составляющая скорости ветра, перпендикулярная испытательному треку, не превышает 2 м/с. Расчет поправки на ветер проводят в соответствии с
В.4.5.3.
Допустимые ветровые условия определяют методом бортовой анемометрии.
Для проведения испытаний с использованием бортового анемометра применяют устройство, указанное в
В.4.3.2. Ветровые условия во время парных прогонов должны отвечать следующим критериям:
а) средняя арифметическая скорость ветра составляет менее 7 м/с;
б) скорость порывов ветра продолжительностью более 2 с подряд не превышает 10 м/с;
в) средняя арифметическая векторная составляющая скорости ветра, перпендикулярная треку, не превышает 4 м/с.
В.4.1.1.2 Температура воздуха должна быть в пределах 5 °C - 40 °C включительно. На региональном уровне договаривающиеся стороны могут допускать отклонение от верхнего предела на +/- 5 °C.
По усмотрению изготовителя испытания методом выбега допускается проводить в диапазоне 1 °C - 5 °C. Если перепад между максимальным и минимальным значениями температуры, измеренной в ходе испытания в режиме выбега, составляет более 5 °C, то поправку на температуру применяют отдельно для каждого прогона на основе среднего арифметического значения температуры окружающей среды при данном прогоне.
В этом случае определение и корректировку значений коэффициентов дорожной нагрузки f0, f1 и f2 проводят для каждого парного прогона. Окончательный набор значений f0, f1 и f2 представляет собой среднее арифметическое скорректированных по отдельности коэффициентов f0, f1 и f2 соответственно.
В.4.1.2 Испытательный трек
Поверхность трека должна быть плоской, ровной, чистой и сухой; она не должна иметь препятствий или ветровых барьеров, способных помешать измерению дорожной нагрузки, а ее покрытие по текстуре и составу должно соответствовать покрытию, используемому в настоящее время на городских дорогах и автомагистралях, т.е. не иметь характеристик летной полосы. Продольный уклон испытательного трека не должен превышать +/- 1%. Кроме того, локальный уклон между любыми точками, расположенными друг от друга на расстоянии 3 м, не должен отличаться от указанного продольного уклона более чем на +/- 0,5%. Если испытательные прогоны в противоположных направлениях не могут быть выполнены на одном и том же участке испытательного трека (например, на овальном испытательном треке с обязательным направлением движения), то сумма продольных уклонов параллельных сегментов испытательного трека должна составлять от 0% до 0,1% с восходящим уклоном. Максимальная выпуклость испытательного трека составляет 1,5%.
В.4.2.1 Испытуемое транспортное средство
Все узлы и детали каждого испытуемого ТС должны соответствовать серийным (например, боковые зеркала заднего вида должны быть установлены в том же положении, что и при нормальной эксплуатации ТС; проемы кузова не должны герметизироваться); если же ТС отличается от базового варианта данной серии, то в протоколе испытания дается полное описание.
В.4.2.1.1 Требования к отбору испытуемого ТС
а) Без использования метода интерполяции
Испытуемое ТС (транспортное средство H) с таким сочетанием связанных с дорожной нагрузкой параметров (т.е. масса, аэродинамическое сопротивление и сопротивление шин качению), которое характеризуется максимальной потребностью в энергии для выполнения цикла, отбирают из соответствующего семейства (см.
4.5 и
4.6).
Если влияние аэродинамического сопротивления различных колес в рамках одного интерполяционного семейства не известно, то выбирают колеса с самым высоким ожидаемым значением аэродинамического сопротивления. Как правило, самое высокое аэродинамическое сопротивление будут иметь колеса с наибольшей шириной, наибольшим диаметром и самой открытой конструкцией (в порядке значимости).
Выбор колес осуществляют с учетом требования относительно максимальной потребности в энергии для выполнения цикла;
б) с использованием метода интерполяции
По просьбе изготовителя можно применять метод интерполяции.
В этом случае из семейства отбирают два испытуемых ТС, отвечающих требованиям, предъявляемым к соответствующему семейству.
В этой выборке ТС с более высокой, желательно наибольшей, потребностью в энергии для выполнения цикла является испытуемое ТС H, а с менее высокой, желательно наименьшей, потребностью в энергии для выполнения цикла - испытуемое ТС L.
В случае элементов факультативного оборудования и/или форм кузова, не учитываемых при использовании метода интерполяции, все соответствующие элементы факультативного оборудования, которыми оборудованы оба испытуемых ТС (H и L), должны быть одинаковыми, так чтобы эти элементы характеризовались сочетанием связанных с дорожной нагрузкой параметров (например, масса, аэродинамическое сопротивление и сопротивление шин качению), при котором потребность в энергии для выполнения цикла является максимальной.
Если отдельные ТС могут поставляться с полным комплектом стандартных колес и шин и дополнительным полным комплектом зимних шин (обозначенных "трехвершинной горой со снежинкой" - 3PMS), смонтированных на диски или без дисков, то такие дополнительные диски/шины не рассматривают в качестве факультативного оборудования.
Что касается связанных с дорожной нагрузкой параметров, то в отношении ТС H и L должны соблюдаться следующие требования:
а) в порядке обеспечения возможности для экстраполяции коэффициентов дорожной нагрузки:
1) если при проведении расчетов по
Д.3.2.3.2 коэффициент
f0_ind оказывается меньше
f*
0_L или больше
f0_H, то минимальная дельта, требуемая между ТС H и L, должна составлять:
по сопротивлению качению (RR) - не менее 1,0 кг/т и по массе - не менее 30 кг; если RR составляет от 0 до 1,0, то минимальную разность масс заменяют с 30 кг на 100 кг;
2) если при проведении расчетов по
Д.3.2.3.2 коэффициент
f2_ind оказывается меньше
f*
2_L или больше
f2_H, то минимальная дельта, требуемая между ТС H и L, должна составлять:
3) по аэродинамическому сопротивлению (CD·Af) - по меньшей мере 0,05 м2.
Если изготовитель в состоянии доказать, что результаты, полученные после экстраполяции, по-прежнему реалистичны, то от соблюдения минимальных критериев по
1),
2) можно отказаться;
б) по каждому связанному с дорожной нагрузкой параметру (например, масса, аэродинамическое сопротивление и сопротивление шин качению), а также по коэффициентам дорожной нагрузки f0 и f2 соответствующее значение, полученное для ТС H, должно превышать аналогичное значение для ТС L; в противном случае к такой связанной с дорожной нагрузкой характеристике применяют наиболее неблагоприятный сценарий. По просьбе изготовителя и с одобрения компетентного органа соблюдение требований настоящего пункта может быть признано необязательным.
С целью обеспечить достаточную степень различия между ТС H и L в плане того или иного конкретного параметра, связанного с дорожной нагрузкой, либо для выполнения критериев по В.4.2.1.1 изготовитель может искусственно ухудшить показатели ТС H, например за счет применения более высокой испытательной массы.
В.4.2.1.2 Требования в отношении семейств
а) Требования в отношении применения концепции интерполяционного семейства без использования метода интерполяции
Критерии принадлежности к интерполяционному семейству см. в
4.5.
б) Требования в отношении применения концепции интерполяционного семейства с использованием метода интерполяции являются следующими:
- соблюдение перечисленных в
4.5 критериев принадлежности к интерполяционному семейству;
в) Требования в отношении применения концепции семейства по уровню дорожной нагрузки
По просьбе изготовителя и при соблюдении критериев, указанных в
4.6, рассчитывают значения дорожной нагрузки для ТС H и L в составе интерполяционного семейства.
Для целей концепции семейства по уровню дорожной нагрузки испытуемые ТС H и L, как они определены в
В.4.2.1.1, обозначают как H
R и L
R.
Разность потребности в энергии для выполнения цикла между HR и LR из семейства по уровню дорожной нагрузки должна составлять не менее 4%, но не более 35% за полный цикл ВЦИМГ для транспортных средств класса 3, причем за основу берется HR.
Если семейство по уровню дорожной нагрузки охватывает более одного типа коробки передач, то для целей определения дорожной нагрузки используют коробку передач, характеризующуюся наибольшими потерями мощности.
Если дельта-коэффициент дорожной нагрузки для ТС в иной конфигурации, которой обусловливается разница в силе трения, определяется по
В.6.8, то рассчитывают параметры нового семейства по уровню дорожной нагрузки, включая дельта-коэффициент дорожной нагрузки как для ТС L, так и ТС H в составе этого нового семейства по уровню дорожной нагрузки.
f0,N = f0,R + f0,Delta (В.5)
f1,N = f1,R + f1,Delta (В.6)
f2,N = f2,R + f2,Delta, (В.7)
где N - коэффициенты дорожной нагрузки для нового семейства по уровню дорожной нагрузки;
R - коэффициенты дорожной нагрузки для исходного семейства по уровню дорожной нагрузки;
Delta - дельта-коэффициенты дорожной нагрузки, определенные по
В.6.8.1.
В.4.2.1.3 Допустимые сочетания требований к отбору испытуемого ТС и требований в отношении семейств
В
таблице В.1 приведены допустимые сочетания указанных в
В.4.2.1.1 и
В.4.2.1.2 требований к отбору испытуемого ТС и требований в отношении семейств.
Таблица В.1
Допустимые сочетания требований к отбору
испытуемого ТС и требований в отношении семейств
Подлежащие соблюдению требования | Без использования метода интерполяции (1) | Метод интерполяции без применения концепции семейства по уровню дорожной нагрузки (2) | С применением концепции семейства по уровню дорожной нагрузки (3) | Метод интерполяции на базе одного или нескольких семейств по уровню дорожной нагрузки (4) |
Дорожная нагрузка для испытуемого ТС | | | | Данных нет |
Семейство | | | | |
Дополнительно | Нет | Нет | Нет | |
Значения дорожной нагрузки H
R и/или L
R определяют в соответствии с настоящим приложением. Дорожную нагрузку для ТС H (и L) из интерполяционного семейства в составе семейства по уровню дорожной нагрузки рассчитывают в соответствии с
Д.3.2.3.2:
а) с использованием в качестве коэффициентов в уравнениях значений HR и LR вместо H и L;
б) с использованием в качестве исходных данных применительно к отдельному ТС параметров дорожной нагрузки (т.е. масса при испытании, значения

по сравнению с ТС L
R и сопротивление шин качению) для ТС H (или L) из интерполяционного семейства;
в) посредством повторения данного расчета для каждого ТС H и L из любого интерполяционного семейства в составе семейства по уровню дорожной нагрузки.
Интерполяция дорожной нагрузки применима только к тем связанным с дорожной нагрузкой параметрам, которые, как было установлено, являются различными для испытуемых ТС LR и HR. В случае всех других связанных с дорожной нагрузкой характеристик используют значения, относящиеся к ТС HR.
Значения для ТС H и L из интерполяционного семейства могут быть выведены из соответствующих значений для различных семейств по уровню дорожной нагрузки.
В.4.2.1.4 Применение концепции семейства по матрице дорожных нагрузок
Для целей определения дорожной нагрузки используют ТС, которое отвечает критериям, указанным в
4.7, и является:
а) репрезентативным для намечаемых серий комплектных ТС, подлежащих включению в семейство по уровню дорожной нагрузки, с точки зрения наихудшего расчетного показателя CD и формы кузова;
б) репрезентативным для намечаемых серий ТС, подлежащих включению в семейство по матрице дорожных нагрузок, с точки зрения расчетной средней массы факультативного оборудования.
Если определить репрезентативную форму кузова комплектного ТС не представляется возможным, то испытуемое ТС оснащают кузовом квадратной формы с закругленными краями (максимальный радиус закругления - 25 мм) и шириной, равной максимальной ширине ТС в составе семейства по матрице дорожных нагрузок, при общей высоте испытуемого ТС, включая кузов, составляющей (3,0 +/- 0,1) м.
Изготовитель и компетентный орган договариваются о том, какая испытуемая модель ТС является репрезентативной.
Применительно к обоим ТС HM и LM параметры ТС (масса при испытании, сопротивление шин качению и площадь фронтальной поверхности) определяют таким образом, чтобы в рамках семейства по матрице дорожных нагрузок ТС HM характеризовалось наибольшей, а ТС LM - наименьшей потребностью в энергии для выполнения цикла. Изготовитель и компетентный орган согласовывают соответствующие параметры ТС HM и LM.
Дорожную нагрузку для всех отдельных ТС из семейства по матрице дорожных нагрузок, включая H
M и L
M, рассчитывают в соответствии с
В.5.1.
В.4.2.1.5 Подвижные аэродинамические части кузова
Подвижные аэродинамические части кузова испытуемых ТС используются в ходе определения дорожной нагрузки по своему назначению в соответствии с условиями испытания типа 1 ВПИМ (температура испытания, диапазон скорости и ускорения ТС, нагрузка двигателя и т.д.).
Подвижной аэродинамической частью кузова считают всякую систему ТС, которая динамически изменяет коэффициент аэродинамического сопротивления ТС (например, регулятор высоты подвески автомобиля). Впоследствии следует добавить соответствующие требования на случай, если в будущем ТС будут оснащаться подвижными аэродинамическими элементами, относящимися к факультативному оборудованию, которые в силу своего влияния на аэродинамическое сопротивление обосновывают необходимость в дополнительных требованиях.
В.4.2.1.6 Взвешивание
До и после процедуры определения дорожной нагрузки отобранное ТС, включая водителя-испытателя и оборудование, взвешивают для определения средней арифметической массы, mav. Масса транспортного средства в начале процедуры определения дорожной нагрузки должна быть выше массы ТС H или ТС L при испытании либо равна этой массе.
В.4.2.1.7 Конфигурация испытуемого ТС
Конфигурацию испытуемого ТС регистрируют и используют для всех последующих испытаний методом выбега.
В.4.2.1.8 Состояние испытуемого ТС
Обкатка
Для целей последующего испытания испытуемое ТС подвергают соответствующей обкатке в пределах от 10 000 до 80 000 км.
По просьбе изготовителя может использоваться ТС с обкаткой не менее 3000 км.
Технические требования изготовителя
В соответствии с техническими требованиями изготовителя во избежание нехарактерного паразитного сопротивления давление в шинах согласно
В.4.2.2.3, регулировка углов установки колес, дорожный просвет, высота ТС, смазочные материалы трансмиссии и подшипников колес и регулировка тормозов ТС должны удовлетворять техническим требованиям изготовителя для соответствующего серийного ТС.
Регулировка установки колес
При регулировке установки колес для схождения и развала устанавливают максимальное отклонение от продольной оси ТС в пределах допусков, определенных изготовителем. Если для ТС изготовителем предписываются конкретные значения схождения и развала, то используют эти значения. По просьбе изготовителя можно использовать значения, при которых отклонение от продольной оси ТС является

, нежели в случае предписанных значений. Применительно к любому техническому обслуживанию на протяжении всего срока эксплуатации ТС предписанные значения рассматривают в качестве контрольных.
Для других регулируемых параметров установки колес (например, угол продольного наклона поворотного шкворня) устанавливают значения, рекомендуемые изготовителем. При отсутствии рекомендуемых значений выбирают среднее арифметическое значение в диапазоне, определенном изготовителем. Такие регулируемые параметры и установочные значения регистрируют.
Закрытые панели
В ходе определения дорожной нагрузки капот моторного отсека, крышка багажника, панели, приводимые в движение вручную, и все окна должны быть закрыты.
Движение ТС в режиме выбега
Если по причине невоспроизводимости действующих сил невозможно обеспечить соответствие настроек динамометра критериям, приведенным в
В.8.1.3 или
В.8.2.3, то ТС должно допускать возможность движения в режиме выбега. Такой режим выбега подлежит утверждению и регистрируется компетентным органом.
Если ТС допускает возможность движения в режиме выбега, то этот режим включают как во время определения дорожной нагрузки, так и на динамометрическом стенде.
В.4.2.2.1 Сопротивление шин качению
Сопротивление шин качению измеряют в соответствии с
[7] (приложение 6) или эквивалентными им предписаниями, принятыми на международном уровне. Коэффициенты сопротивления качению должны быть выверены согласно соответствующим региональным процедурам (например,
[8]) и распределены по классам сопротивления качению, указанным в
таблице В.2.
Таблица В.2
Классы энергоэффективности в зависимости от коэффициентов
сопротивления качению (КСК) для шин C1, C2 и C3 и значения
КСК, используемые применительно к этим классам
энергоэффективности для целей интерполяции, кг/т
Класс энергоэффективности | Диапазон значений КСК для шин C1 | Диапазон значений КСК для шин C2 | Диапазон значений КСК для шин C3 |
1 | КСК <= 6,5 | КСК <= 5,5 | КСК <= 4,0 |
2 | 6,5 < КСК <= 7,7 | 5,5 < КСК <= 6,7 | 4,0 < КСК <= 5,0 |
3 | 7,7 < КСК <= 9,0 | 6,7 < КСК <= 8,0 | 5,0 < КСК <= 6,0 |
4 | 9,0 < КСК <= 10,5 | 8,0 < КСК <= 9,2 | 6,0 < КСК <= 7,0 |
5 | 10,5 < КСК <= 12,0 | 9,2 < КСК <= 10,5 | 7,0 < КСК <= 8,0 |
6 | КСК > 12,0 | КСК > 10,5 | КСК > 8,0 |
Окончание таблицы В.2
Класс энергоэффективности | Значение КСК, используемое применительно к шинам C1 для целей интерполяции | Значение КСК, используемое применительно к шинам C2 для целей интерполяции | Значение КСК, используемое применительно к шинам C3 для целей интерполяции |
1 | КСК = 5,9 | КСК = 4,9 | КСК = 3,5 |
2 | КСК = 7,1 | КСК = 6,1 | КСК = 4,5 |
3 | КСК = 8,4 | КСК = 7,4 | КСК = 5,5 |
4 | КСК = 9,8 | КСК = 8,6 | КСК = 6,5 |
5 | КСК = 11,3 | КСК = 9,9 | КСК = 7,5 |
6 | КСК = 12,9 | КСК = 11,2 | КСК = 8,5 |
Если сопротивление качению определяют методом интерполяции, то фактические значения сопротивления качению для шин, установленных на испытуемых ТС L и H, используют в процедуре расчета по методу интерполяции в качестве исходных данных. Применительно к отдельным ТС в интерполяционном семействе используют значения КСК в зависимости от класса энергоэффективности шин, установленных на этих ТС.
Если отдельные ТС могут поставляться с полным комплектом стандартных колес и шин и дополнительным полным комплектом зимних шин (обозначенных "трехвершинной горой со снежинкой" - 3PMS), смонтированных на диски или без дисков, то такие дополнительные диски/шины не рассматривают в качестве факультативного оборудования.
В.4.2.2.2 Состояние шин
Шины, используемые для испытания, должны удовлетворять следующим требованиям:
а) период, истекший с даты их изготовления, не должен превышать 2 лет;
б) не допускается специальное кондиционирование или обработка шин (например, нагревание или искусственное старение), за исключением нанесения оригинального протекторного рисунка;
в) перед определением дорожной нагрузки шины должны быть обкатаны в дорожных условиях при пробеге на расстояние не менее 200 км;
г) до проведения испытания глубина протектора должна быть постоянной и составлять в любой точке от 100% до 80% от первоначальной глубины протектора шины по всей его ширине.
После измерения глубины протектора длина пробега должна быть ограничена 500 км. В случае превышения 500 км глубину протектора измеряют повторно.
В.4.2.2.3 Давление в шинах
Передние и задние шины накачивают до нижнего предела диапазона давления для выбранной шины на соответствующей оси с учетом массы ТС при проведении испытания методом выбега, как указано изготовителем ТС.
Если разница между температурой окружающей среды и температурой выдерживания превышает 5 °C, то давление в шинах регулируют следующим образом:
а) шины выдерживают более 1 ч при давлении, на 10% превышающем заданное давление;
б) перед проведением испытания давление в шинах уменьшают до внутреннего давления, указанного в В.4.2.2.3, с поправкой на разницу между температурой выдерживания и температурой окружающей среды при проведении испытания из расчета 0,8 кПа на 1 °C, используя следующее уравнение:

, (В.8)
где

- корректировка давления в шинах, которая суммируется с давлением в шинах, указанным в В.4.2.2.3, кПа;
0,8 - коэффициент корректировки давления, кПа/°C;
Tsoak - температура выдерживания шин, °C;
Tamb - температура окружающей среды при проведении испытания, °C;
в) в период между регулировкой давления и прогреванием ТС шины следует предохранять от внешних источников тепла, включая солнечную радиацию.
В.4.2.3 Контрольно-измерительные приборы
Любые контрольно-измерительные приборы устанавливают таким образом, чтобы свести к минимуму их воздействие на аэродинамические характеристики ТС.
Если предполагаемое воздействие установленного прибора на C
D·A
f превышает 0,015 м
2, то измерение на ТС с прибором и без него проводят в аэродинамической трубе, отвечающей критериям по
В.3.2. Соответствующую разницу вычитают из
f2. По просьбе изготовителя и с одобрения компетентного органа полученное значение можно использовать применительно к аналогичным ТС, в случае которых предполагаемое воздействие установленного оборудования является таким же.
В.4.2.4 Прогревание транспортного средства
В дорожных условиях прогревание ТС осуществляется только за счет его движения.
Перед прогреванием осуществляют замедление ТС с выключенным сцеплением или с рычагом автоматической коробки передач, переведенным в нейтральное положение, в условиях умеренного торможения, сопровождающегося снижением скорости с 80 до 20 км/ч в течение 5 - 10 с. После такого торможения никакое дальнейшее приведение в действие или ручное регулирование тормозной системы не допускается.
По просьбе изготовителя и с одобрения компетентного органа тормоза можно также приводить в действие после прогревания, при условии замедления на том же уровне, который предусмотрен в настоящем пункте, и только при необходимости.
Прогревание и стабилизация
Скорость прогона всех ТС составляет 90% от максимальной скорости применимого ВЦИМГ. Прогон ТС можно производить на скорости, составляющей 90% от максимальной скорости следующей фазы цикла с более высокой скоростью (см.
таблицу В.3), если эта фаза добавляется к процедуре прогревания применимого транспортного средства малой грузоподъемности, как это определено в
В.7.3.4. ТС прогревают не менее 20 мин, пока не будут достигнуты стабильные условия.
Таблица В.3
Прогревание и стабилизация по фазам
Цикл применительно к соответствующему классу | Применимый ВЦИМГ | 90% от максимальной скорости | Следующая фаза с более высокой скоростью |
Класс 1 | Low1 + Medium1 | 58 км/ч | Неприменимо |
Класс 2 | Low2 + Medium2 + High2 + Extra High2 | 111 км/ч | Неприменимо |
Low2 + Medium2 + High2 | 77 км/ч | Extra High (111 км/ч) |
Класс 3 | Low3 + Medium3 + High3 + Extra High3 | 118 км/ч | Неприменимо |
Low3 + Medium3 + High3 | 88 км/ч | Extra High (118 км/ч) |
В.4.3 Измерение и расчет дорожной нагрузки методом выбега
Дорожную нагрузку определяют при помощи метода либо стационарной
(В.4.3.1), либо бортовой
(В.4.3.2) анемометрии.
В.4.3.1 Испытание методом выбега в условиях стационарной анемометрии
В.4.3.1.1 Выбор контрольных скоростей для определения кривой дорожной нагрузки
Контрольные значения скорости для определения кривой дорожной нагрузки выбирают в соответствии с
В.2.2.
В.4.3.1.2 Сбор данных
Во время испытания истекшее время и скорость ТС измеряют с частотой не менее 10 Гц.
В.4.3.1.3 Процедура испытания ТС методом выбега
После выполнения процедуры прогревания ТС, описанной в
В.4.2.4, и непосредственно перед каждым прогоном с выбегом испытуемое ТС разгоняют до скорости, которая на 10 - 15 км/ч превышает наивысшую контрольную скорость, и прогоняют на этой скорости в течение максимум 1 мин. После этого незамедлительно приступают к прогону с выбегом.
Во время выполнения прогона с выбегом включают нейтральную передачу. По мере возможности следует избегать любого подкручивания рулевого колеса, а тормоза ТС не включают.
Испытание повторяют до тех пор, пока данные прогона на выбеге не будут соответствовать требованиям к статистической точности, определенным в
В.4.3.1.4.
Хотя каждый прогон с выбегом рекомендуется выполнять без перерыва, в случае если данные по всем точкам контрольной скорости не могут быть собраны за один прогон, испытание методом выбега допускается проводить прогонами, при которых значения первой и последней контрольных скоростей не обязательно соответствуют наивысшей и наименьшей контрольным скоростям. В этом случае применяются следующие дополнительные требования:
а) по крайней мере одно значение контрольной скорости при каждом прогоне с выбегом должно заходить в диапазон последующей повышенной скорости на выбеге. Это значение контрольной скорости задает точку, разделяющую фрагменты;
б) в каждой накладывающейся точке контрольной скорости отклонение средней силы, прилагаемой при предшествующей пониженной скорости прогона с выбегом, от аналогичного показателя при последующей повышенной скорости на выбеге не должно превышать +/- 10 Н или +/- 5%, в зависимости от того, какая величина больше;
в) данные о точках наложения контрольной скорости при прогоне с выбегом на пониженной скорости используют исключительно для целей проверки
критерия б) и исключают из оценки статистической точности по
В.4.3.1.4;
г) значение скорости, зачитываемой для наложения, может не превышать 10 км/ч, но должно составлять не менее 5 км/ч. В этом случае критерий наложения по
перечислению б) проверяют путем либо экстраполирования полиномиальных кривых, полученных для сегментов пониженной и повышенной скорости при интервале наложения 10 км/ч, либо сопоставления средней силы, прилагаемой в конкретном скоростном диапазоне.
Прогоны с выбегом рекомендуется выполнять последовательно и без необоснованных перерывов между отдельными прогонами. Если между прогонами возникает задержка (например, на отдых для водителя, проверку целостности ТС и т.п.), то ТС повторно прогревают с соблюдением процедуры по
В.4.2.4 и сразу после этого возобновляют прогоны с выбегом.
В.4.3.1.4 Измерение времени выбега
Время выбега при контрольной скорости vj измеряется как время перехода ТС от скорости (vj + 5 км/ч) к скорости (vj - 5 км/ч).
Эти измерения проводят в прямом и обратном направлениях до тех пор, пока не будет получено не менее трех пар значений со статистической точностью pj, определяемой следующим уравнением:

, (В.9)
где n - количество пар измерений;

- средняя гармоническая составляющая времени выбега при контрольной скорости
vj, в секундах, рассчитанная по следующему уравнению:

(В.10)
где

- средняя гармоническая составляющая времени выбега для
i-й пары измерений при скорости
vj, в секундах, рассчитанная по следующему уравнению:

(В.11)
где

и

- время выбега для
i-й пары измерений при контрольной скорости
vj, в секундах, в прямом и обратном направлениях соответственно;

- стандартное отклонение, выраженное в секундах и вычисляемое по формуле

, (В.12)
Таблица В.4
Коэффициент
h как функция
n
n | h |
3 | 4,3 |
4 | 3,2 |
5 | 2,8 |
6 | 2,6 |
7 | 2,5 |
8 | 2,4 |
9 | 2,3 |
10 | 2,3 |
11 | 2,2 |
12 | 2,2 |
13 | 2,2 |
14 | 2,2 |
15 | 2,2 |
16 | 2,1 |
17 | 2,1 |
18 | 2,1 |
19 | 2,1 |
20 | 2,1 |
21 | 2,1 |
22 | 2,1 |
23 | 2,1 |
24 | 2,1 |
25 | 2,1 |
26 | 2,1 |
27 | 2,1 |
28 | 2,1 |
29 | 2,0 |
30 | 2,0 |
В случае явного воздействия во время измерения при движении в одном из направлений какого-либо внешнего фактора или действия водителя, которые могут повлиять на ход испытания на измерение дорожной нагрузки, результаты этого измерения и результаты соответствующего измерения при движении в противоположном направлении в расчет не принимают. Все отклоненные данные с указанием причины их отклонения регистрируют, причем количество не принимаемых в расчет пар не должно превышать 1/3 от общего количества пар измерений. В случае фрагментации прогона критерии отклонения применяют к каждому скоростному диапазону прогона с фрагментацией.
В силу неопределенности в плане достоверности данных и по практическим соображениям допускается проводить больше парных прогонов, нежели минимальное количество, требуемое по В.4.3.1.4, однако общее количество парных прогонов, включая отклоненные пары (как указано в настоящем пункте), не должно превышать 30. В этом случае оценку данных проводят начиная с первого парного прогона и с последующим охватом такого количества последовательных парных прогонов, которое необходимо для обеспечения статистической точности применительно к набору данных, в котором количество отклоненных пар не превышает 1/3. Остальные парные прогоны в расчет не принимают.
Среднее арифметическое дорожной нагрузки вычисляют по следующему уравнению, в котором используется средняя гармоническая составляющая времени выбега в обоих направлениях:

, (В.13)
где mav - среднее арифметическое значение массы испытуемого ТС в начале и в конце процедуры определения дорожной нагрузки, кг;
mr - эквивалентная эффективная масса вращающихся элементов согласно
В.2.5.1;

- 5 км/ч;

- средняя гармоническая составляющая измеренного времени выбега в обоих направлениях при скорости
vj, в секундах, полученная при помощи уравнения:

(В.14)
где

и

- средние гармонические составляющие времени выбега в прямом и обратном направлениях соответственно при контрольной скорости
vj в секундах, полученные при помощи следующих двух уравнений:

(В.15)

(В.16)
Коэффициенты f0, f1 и f2 в уравнении дорожной нагрузки рассчитывают с помощью регрессионного анализа методом наименьших квадратов.
Если же испытуемое ТС является репрезентативным ТС для семейства по матрице дорожных нагрузок, то коэффициент f1 принимают равным нулю, а коэффициенты f0 и f2 пересчитывают с помощью регрессионного анализа методом наименьших квадратов.
| | ИС МЕГАНОРМ: примечание. В официальном тексте документа, видимо, допущена опечатка: пункт Г.4.3.1.4 отсутствует. | |
Кривую, построенную в соответствии с Г.4.3.1.4, приводят к исходным условиям в соответствии с
В.4.5.
В.4.3.2 Испытание методом выбега в условиях бортовой анемометрии
Прогревание и стабилизацию транспортного средства осуществляют в соответствии с
В.4.2.4.
В.4.3.2.1 Дополнительные приборы для бортовой анемометрии
Бортовой анемометр и контрольно-измерительные приборы калибруют в процессе их работы на испытуемом ТС на этапе прогревания ТС перед испытанием.
Относительную скорость ветра измеряют с минимальной частотой 1 Гц и точностью до 0,3 м/с. При калибровке анемометра учитывают коэффициент загромождения ТС.
Направление ветра должно соотноситься с направлением движения ТС. Относительное направление ветра (рыскание) измеряют с интервалом 1° и точностью до 3°; зона нечувствительности прибора должна составлять не более 10° и быть расположена по направлению к задней части ТС.
Перед прогоном на выбеге анемометр калибруют с поправкой на смещение скорости и рыскания согласно
[9] (приложение А).
В процессе калибровки производят корректировку на загромождение анемометра согласно
[9] (приложение А) с целью сведения его влияния к минимуму.
В.4.3.2.2 Выбор диапазона скорости ТС для определения кривой дорожной нагрузки
Диапазон скорости ТС для испытания выбирают в соответствии с
В.2.2.
В.4.3.2.3 Сбор данных
Во время процедуры истекшее время, скорость ТС и вектор скорости воздушного потока (скорость, направление) относительно ТС измеряют с частотой не менее 5 Гц. Температура окружающей среды должна синхронизироваться, и минимальная частота снятия показаний должна составлять 0,1 Гц.
В.4.3.2.4 Процедура испытания ТС методом выбега
Измерения проводят путем парных прогонов в противоположных направлениях до тех пор, пока не будет выполнено минимум десять последовательных прогонов (по пять пар). Если какой-либо отдельный прогон не удовлетворяет требуемым параметрам испытания в условиях бортовой анемометрии, то конкретную пару, т.е. данный прогон и соответствующий прогон в противоположном направлении, признают недействительной. При окончательном анализе учитывают все зачетные пары при минимальном числе пар прогонов с выбегом, равном 5.
Анемометр устанавливают в таком положении, чтобы его влияние на рабочие характеристики ТС было сведено к минимуму.
Анемометр устанавливают в соответствии с одним из следующих вариантов монтажа:
а) на штанге примерно на расстоянии 2 м перед передней аэродинамической точкой стагнации ТС;
б) на крыше ТС по осевой линии. По возможности анемометр устанавливают на расстоянии не более 30 см от верхней части ветрового стекла;
в) на капоте моторного отсека ТС по осевой линии, причем таким образом, чтобы он располагался в точке, отстоящей на равном расстоянии от передней части ТС и основания ветрового стекла.
Во всех случаях анемометр устанавливают параллельно поверхности дороги. При использовании вариантов монтажа
б) или
в) проводят аналитическую корректировку результатов измерения выбега на дополнительное аэродинамическое сопротивление, вызванное наличием анемометра. Корректировку проводят путем испытания ТС, на котором осуществляется прогон с выбегом, в аэродинамической трубе как с установленным анемометром, причем в том же положении, что и при испытании на треке, так и без него. Вычисленная разница представляет собой коэффициент приращения аэродинамического сопротивления CD с учетом площади фронтальной поверхности, который используют для корректировки результатов измерения выбега.
После выполнения процедуры прогревания ТС, описанной в
В.4.2.4, и непосредственно перед каждым прогоном с выбегом испытуемое ТС разгоняют до скорости, которая на 10 - 15 км/ч превышает наивысшую контрольную скорость, и прогоняют на этой скорости в течение максимум 1 мин. После этого незамедлительно приступают к прогону с выбегом.
Во время выполнения прогона с выбегом включают нейтральную передачу. По мере возможности следует избегать любого подкручивания рулевого колеса, а тормоза ТС не включают.
Хотя каждый прогон с выбегом рекомендуется выполнять без перерыва, в случае если данные по всем точкам контрольной скорости не могут быть собраны за один прогон, испытание методом выбега допускается проводить прогонами, при которых значения первой и последней контрольных скоростей не обязательно соответствуют наивысшей и наименьшей контрольным скоростям. В случае фрагментации прогона применяются следующие дополнительные требования:
а) по крайней мере одно значение контрольной скорости при каждом прогоне с выбегом должно заходить в диапазон последующей повышенной скорости на выбеге. Это значение контрольной скорости задает точку, разделяющую фрагменты;
б) в каждой накладывающейся точке контрольной скорости отклонение средней силы, прилагаемой при предшествующей пониженной скорости прогона с выбегом, от аналогичного показателя при последующей повышенной скорости на выбеге не должно превышать +/- 10 Н или +/- 5%, в зависимости от того, какая величина больше;
в) данные о точках наложения контрольной скорости при прогоне с выбегом на пониженной скорости используют исключительно для целей проверки
критерия б) и исключают из оценки статистической точности;
г) значение скорости, учитываемой для наложения, может не превышать 10 км/ч, но должно составлять не менее 5 км/ч. В этом случае критерий наложения по
перечислению б) проверяют путем либо экстраполирования полиномиальных кривых, полученных для сегментов пониженной и повышенной скорости при интервале наложения 10 км/ч, либо сопоставления средней силы, прилагаемой в конкретном скоростном диапазоне.
Прогоны с выбегом рекомендуется выполнять последовательно и без необоснованных перерывов между отдельными прогонами. Если между прогонами возникает задержка (например, на отдых для водителя, проверку целостности ТС и пр.), то ТС повторно прогревают с соблюдением процедуры по
В.4.2.4 и сразу после этого возобновляют прогоны с выбегом.
В.4.3.2.5 Составление уравнения движения
Условные обозначения, используемые в уравнениях движения для бортовой анемометрии, приведены в
таблице В.5.
Таблица В.5
Условные обозначения, используемые в уравнениях движения
для бортовой анемометрии
Условное обозначение | Единицы измерения | Наименование параметра |
Af | м2 | Площадь фронтальной поверхности ТС |
a0 ... an | град-1 | Коэффициенты аэродинамического сопротивления в зависимости от угла рыскания |
Am | Н | Коэффициент механического сопротивления |
Bm | Н/(км/ч) | Коэффициент механического сопротивления |
Cm | Н/(км/ч)2 | Коэффициент механического сопротивления |
CD(Y) | | Коэффициент аэродинамического сопротивления при угле рыскания Y |
D | Н | Сопротивление |
Daero | Н | Аэродинамическое сопротивление |
Df | Н | Сопротивление передней оси (включая трансмиссию) |
Dgrav | Н | Гравитационное сопротивление |
Dmech | Н | Механическое сопротивление |
Dr | Н | Сопротивление задней оси (включая трансмиссию) |
Dtyre | Н | Сопротивление качению шин |
(dh/ds) | - | Синус угла наклона трека в направлении движения (+ указание подъема) |
(dv/dt) | м/с2 | Ускорение |
g | м/с2 | Гравитационная постоянная |
mav | кг | Среднее арифметическое значение массы испытуемого ТС до и после процедуры определения дорожной нагрузки |
me | кг | Эффективная масса ТС, включая вращающиеся элементы |
p | кг/м3 | Плотность воздуха |
t | с | Время |
T | К | Температура |
v | км/ч | Скорость ТС |
v | км/ч | Относительная скорость ветра |
Y | градусы | Угол рыскания кажущегося ветра по отношению к направлению движения ТС |
В общем виде уравнение движения является следующим:

, (В.17)
где Dmech = Dtyre + Df + Dr;

;

.
В случае если уклон испытательного трека по всей его длине не превышает 0,1%, гравитационное сопротивление Dgrav может быть принято равным нулю.
Механическое сопротивление, которое складывается из отдельных составляющих, в частности сопротивления качению шин Dtyre и потерь на трение на передней и задней осях, Df и Dr (включая потери в трансмиссии), представляют в виде многочлена третьей степени как функции скорости v ТС, записанного следующим образом:
Dmech = Am + Bmv + Cmv2, (В.18)
где Am, Bm и Cm определяют путем анализа данных методом наименьших квадратов. Эти константы отражают суммарные потери в трансмиссии и сопротивление качению шин.
Если же испытуемое ТС является репрезентативным ТС для семейства по матрице дорожных нагрузок, то коэффициент Bm принимают равным нулю, а коэффициенты Am и Cm пересчитывают с помощью регрессионного анализа методом наименьших квадратов.
Коэффициент аэродинамического сопротивления CD(Y) представляют в виде многочлена четвертой степени как функции угла рыскания Y, записанного следующим образом:
CD(Y) = a0 + a1Y + a2Y2 + a3Y3 + a4Y4,
где a0 - a4 - постоянные коэффициенты, значения которых определяются путем анализа данных.
Расчет аэродинамического сопротивления проводят на основе коэффициента аэродинамического сопротивления, площади фронтальной поверхности ТС Af и относительной скорости ветра vr:

, (В.19)

. (В.20)
После замены окончательное уравнение движения принимает следующий вид:

. (В.21)
В.4.3.2.6 Предварительная обработка данных
Для описания зависимости дорожной нагрузки от скорости составляют уравнение в виде трехчлена F = A + Bv + Cv2, приведенное к нормальной температуре окружающей среды и давлению и условиям безветрия.
Если калибровочные коэффициенты для поправки на загромождение ТС еще не определены, то их рассчитывают по относительной скорости ветра и углу рыскания. Результаты измерения скорости ТС (v), относительной скорости ветра (vr) и угла рыскания (Y) регистрируют на этапе прогревания при проведении процедуры испытаний. На испытательном треке в обоих направлениях осуществляют парные прогоны при постоянной скорости 80 км/ч и определяют средние арифметические значения v, vr и Y для каждого прогона. Выбирают калибровочные коэффициенты, позволяющие свести до минимума суммарную погрешность, связанную с встречным и боковым ветром для всех парных прогонов, т.е. сумму (headi - headi+1)2 и т.д., где headi и headi+1 - скорость и направление ветра, измеренные в ходе парных испытательных прогонов в противоположных направлениях в процессе прогревания/стабилизации ТС перед проведением испытания.
Значения
v,

,

,

и
Y определяют на основе результатов измерений, произведенных во время прогонов с выбегом, путем применения калибровочных коэффициентов, полученных по
В.4.3.2.1. Для приведения частоты измерения к 1 Гц используют фильтрацию данных.
Все точки измерения анализируют одновременно с помощью линейной регрессии методом наименьших квадратов для определения
Am,
Bm,
Cm,
a0,
a1,
a2,
a3 и
a4 при известных
me,

,

,
v,
vr и

.
Определенную расчетным путем ожидаемую нагрузку

сравнивают со значением, полученным в каждой точке измерения. Отмечают точки измерения, характеризующиеся чрезмерным отклонением, т.е. превышающим три среднеквадратичных отклонения.
Можно применять соответствующие методы фильтрации данных, причем оставшиеся точки измерения сглаживаются.
Отмечают точки измерения с углами рыскания свыше +/- 20° относительно направления движения ТС. Также отмечают точки измерения, в которых относительная скорость ветра составляет менее +5 км/ч (во избежание условий, когда скорость попутного ветра превышает скорость ТС). Анализ данных осуществляют в диапазоне скоростей ТС, выбранного в соответствии с
В.4.3.2.2.
Все неотмеченные данные подвергают анализу с помощью линейной регрессии методом наименьших квадратов. При известных
me,

,

,
v,
vr и

определяют
Am,
Bm,
Cm,
a0,
a1,
a2,
a3 и
a4.
Для более четкого разграничения сил аэродинамического и механического сопротивления, действующих на ТС, можно прибегать к ограниченному анализу, при котором за площадь фронтальной поверхности ТС Af и коэффициент аэродинамического сопротивления принимают постоянные значения, как если бы они были определены ранее.
Уравнения движения приводят к исходным условиям в соответствии с
В.4.5.
С исключением каждой отдельной пары пробегов с выбегом - без учета требования в отношении последовательных приближений и для всех пар i и j - изменяется значение расчетной дорожной нагрузки при каждом значении контрольной скорости на выбеге:

, (В.22)
где

- разница между значением расчетной дорожной нагрузки при всех пробегах с выбегом и соответствующим значением при исключении
i-й пары пробегов с выбегом, Н;
F(vj) - расчетная дорожная нагрузка с учетом всех пробегов с выбегом, Н;
vj - контрольная скорость, км/ч;
n - количество пар пробегов с выбегом, включая все зачетные пары.
Если требование в отношении последовательных приближений не выполняется, то соответствующие пары, начиная с той, которая характеризуется наибольшим отступлением от расчетной дорожной нагрузки, и до момента выполнения вышеуказанного требования, исключают из анализа, при условии, что для определения окончательного значения дорожной нагрузки используется не менее пяти зачетных пар.
В.4.4 Измерение и расчет сопротивления движению методом определения крутящего момента
В качестве альтернативы методу выбега также можно применять метод определения крутящего момента, в соответствии с которым сопротивление движению определяется путем измерения крутящего момента ведомых колес по точкам контрольной скорости в течение периодов продолжительностью не менее 5 с.
В.4.4.1 Установка измерителей крутящего момента
Измерители крутящего момента устанавливают между ступицей и диском каждого ведомого колеса и используют для определения крутящего момента, который необходим для обеспечения движения ТС на постоянной скорости.
В порядке обеспечения требуемой точности и прецизионности измерений производят регулярную, не реже одного раза в год, калибровку измерителей крутящего момента согласно соответствующим национальным стандартам.
В.4.4.2 Процедура и отбор данных
В.4.4.2.1 Выбор значений контрольной скорости для построения кривой сопротивления движению
Точки контрольной скорости для определения сопротивления движению выбирают в соответствии с
В.2.2.
Значения контрольной скорости измеряют в порядке убывания. По просьбе изготовителя между измерениями допускаются периоды стабилизации, однако скорость в период стабилизации не должна превышать следующую контрольную скорость.
Наборы данных, включающие фактическую скорость vji, фактический крутящий момент Cji и время для периодов продолжительностью не менее 5 с, измеряют для каждого значения vj с частотой не менее 10 Гц. Наборы данных, собранных в течение одного периода времени для контрольной скорости vj, считают одним замером.
В.4.4.2.3 Процедура испытания ТС методом измерения крутящего момента
Перед началом испытания методом измерения крутящего момента ТС прогревают в соответствии с
В.4.2.4.
Во время испытания следует по мере возможности избегать любого подкручивания рулевого колеса, а тормоза ТС не включают.
Испытание повторяют до тех пор, пока данные о сопротивлении движению не будут соответствовать требованиям к точности измерения, определенным в
В.4.4.3.2.
В.4.4.2.4 Отклонение скорости
При измерении в каждой отдельной точке контрольной скорости отклонение фактической скорости от средней арифметической скорости (
vji -
vjm), рассчитанное в соответствии с
В.4.4.3, должно соответствовать значениям, приведенным в
таблице В.6. Кроме того, в каждой точке контрольной скорости отклонение средней арифметической скорости
vjm от контрольной скорости
vj не должно превышать +/- 1 км/ч или 2% в зависимости от того, какая величина больше.
Таблица В.6
Период времени, с | Отклонение скорости, км/ч |
5 - 10 | +/- 0,2 |
10 - 15 | +/- 0,4 |
15 - 20 | +/- 0,6 |
20 - 25 | +/- 0,8 |
25 - 30 | +/- 1,0 |
>= 30 | +/- 1,2 |
В.4.4.2.5 Температура воздуха
Испытания проводят при тех же температурных условиях, что определены в
В.4.1.1.2.
В.4.4.3 Расчет средней арифметической скорости и среднего арифметического значения крутящего момента
В.4.4.3.1 Процедура расчета
Для каждого измерения среднюю арифметическую скорость
vjm, км/ч, и среднее арифметическое значение крутящего момента
Cjm, Н·м, рассчитывают на основе наборов данных, собранных в соответствии с требованиями
В.4.4.2.2, по следующим уравнениям:

; (В.23)

, (В.24)
где vji - фактическая скорость ТС для i-го набора данных в точке контрольной скорости j, км/ч;
k - число наборов данных при одном замере;
Cji - фактический крутящий момент для i-го набора данных, Н·м;
Cjs - поправочный коэффициент на плавание оборотов, Н·м, задаваемый следующим уравнением:

. (В.25)

не должен превышать 0,05%, и им можно пренебречь, если

не превышает +/- 0,005 м/с
2;
mst - масса испытуемого ТС в начале измерений (измерения проводят непосредственно перед процедурой прогревания и никак не раньше), кг;
mr - эквивалентная эффективная масса вращающихся элементов согласно
В.2.5.1, кг;
rj - динамический радиус шины, определяемый в контрольной точке, соответствующей скорости 80 км/ч, либо в точке наивысшей контрольной скорости, если скорость ТС составляет менее 80 км/ч, и вычисляется по формуле

, (В.26)
где n - частота вращения ведомого колеса, с-1;

- среднее арифметическое ускорение, м/с
2, вычисляется по формуле

, (В.27)
где ti - время снятия i-го набора данных, с.
В.4.4.3.2 Точность измерения
Измерения проводят в ходе прогонов в противоположных направлениях до тех пор, пока для каждого значения контрольной скорости
vi не будет получено не менее трех пар измерений, для которых

удовлетворяет точности

в соответствии со следующим уравнением:

, (В.28)
где n - количество пар измерений для Cjm;

- сопротивление движению, в Н·м, при скорости
vj, задаваемое уравнением:

, (В.29)
где Cjmi - среднее арифметическое значение крутящего момента, Н·м, для i-й пары измерений при скорости vj, задаваемого уравнением:

, (В.30)
где
Cjmai и
Cjmbi - средние арифметические значения крутящих моментов для
i-го измерения при скорости
vj, определенной в
В.4.4.3.1 для каждого направления, Н·м;
s - стандартное отклонение, Н·м, рассчитанное по следующему уравнению:

; (В.31)
причем
h - коэффициент как функция
n, указанный в
таблице В.4.
В.4.4.4 Построение кривой сопротивления движению
Среднюю арифметическую скорость и среднее арифметическое значение крутящего момента в каждой точке контрольной скорости рассчитывают по следующим уравнениям:
vjm = 1/2·(vjma + vjmb), (В.32)
Cjm = 1/2·(Cjma + Cjmb). (В.33)
В целях определения коэффициентов c
0, c
1 и c
2 при помощи метода наименьших квадратов строят кривую регрессии среднего арифметического сопротивления движению для всех пар данных (
vjm,
Cjm) по всем значениям контрольной скорости, указанным в
В.4.4.2.1.
Коэффициенты
c0,
c1 и
c2, а также время выбега, измеренное на динамометрическом стенде (см.
В.8.2.4), регистрируют.
Если же испытуемое ТС является репрезентативным ТС для семейства по матрице дорожных нагрузок, то коэффициент c1 принимают равным нулю, а коэффициенты c0 и c2 пересчитывают с помощью регрессионного анализа методом наименьших квадратов.
В.4.5 Приведение к исходным условиям и измерительное оборудование
В.4.5.1 Поправочный коэффициент на сопротивление воздуха
Поправочный коэффициент на сопротивление воздуха K2 определяют по следующему уравнению:

, (В.34)
где T - среднее арифметическое значение температуры окружающей среды при всех отдельных прогонах, К;
P - среднее арифметическое значение атмосферного давления, кПа.
В.4.5.2 Поправочный коэффициент на сопротивление качению
Поправочный коэффициент K0 на сопротивление качению, в градусах Цельсия-1 (°C-1), может быть определен на основе эмпирических данных и утвержден компетентным органом для конкретного сочетания ТС и шин, подлежащего испытанию, либо принимается равным следующему значению:
K0 = 8,6·10-3 °C-1.
В.4.5.3 Поправка на ветер
В.4.5.3.1 Поправка на ветер в условиях стационарной анемометрии
Поправку на ветер можно не учитывать, если во время каждого зачетного парного прогона средняя арифметическая скорость ветра не превышает 2 м/с. При измерении скорости ветра более чем на одном участке испытательного трека, как, например, в случае проведения испытания на овальном испытательном треке, выводят среднее значение скорости ветра в каждой точке измерения и на основе более высокого из этих двух усредненных значений определяют, требуется ли поправка на ветер или же от нее можно отказаться.
Поправку на сопротивление ветра w1 для метода выбега или w2 для метода измерения крутящего момента рассчитывают при помощи следующих уравнений

(В.35)
или

, (В.36)
где f2 - коэффициент при аэродинамическом члене;
vw - если скорость ветра измеряют только в одной точке, то vw означает среднюю арифметическую векторную составляющую скорости ветра вдоль испытательного трека при всех зачетных парных прогонах, м/с;
vw - если скорость ветра измеряют в двух точках, то vw означает меньшую из двух средних арифметических векторных составляющих скорости ветра вдоль испытательного трека при всех зачетных парных прогонах, м/с;
c2 - коэффициент при аэродинамическом члене для метода измерения крутящего момента, определенный по
В.4.4.4.
В.4.5.3.2 Поправка на ветер в условиях бортовой анемометрии
В случае метода выбега в условиях бортовой анемометрии значения
w1 и
w2 принимают равными нулю, поскольку поправка на ветер уже учтена согласно
В.4.3.2.
В.4.5.4 Поправочный коэффициент на массу при испытании
Поправочный коэффициент K1 на массу ТС при испытании определяют по следующему уравнению:

, (В.37)
где TM - масса ТС при испытании, кг;
mav - среднее арифметическое значений массы испытуемого ТС в начале и в конце процедуры определения дорожной нагрузки, кг.
В.4.5.5 Корректировка кривой дорожной нагрузки
В.4.5.5.1 Кривую, построенную в соответствии с
В.4.3.1.4, приводят к исходным условиям следующим образом:
F* = (f0(1 - K1) - w1 + f1v)·(1 + K0(T - 20)) +
+ K2f2v2, (В.38)
где F* - приведенная дорожная нагрузка, Н;
f0 - постоянный коэффициент дорожной нагрузки, Н;
f1 - коэффициент дорожной нагрузки при члене в первой степени, Н/(км/ч);
f2 - коэффициент дорожной нагрузки при члене во второй степени, Н/(км/ч)2;
| | ИС МЕГАНОРМ: примечание. В официальном тексте документа, видимо, допущена опечатка: имеется в виду п. В.4.5.2, а не Г.4.5.2. | |
K0 - поправочный коэффициент на сопротивление качению, определенный по
Г.4.5.2;
K1 - поправочный коэффициент на массу при испытании, определенный по
В.4.5.4;
K2 - поправочный коэффициент на сопротивление воздуха, определенный по
В.4.5.1;
T - среднее арифметическое значение температуры окружающей среды при всех зачитываемых парных прогонах, °C;
v - скорость ТС, км/ч;
w1 - поправка на сопротивление ветра, определенная по
В.4.5.3, Н.
Результат нижеуказанных расчетов служит в качестве коэффициента целевой дорожной нагрузки
At, используемого при расчете устанавливаемой нагрузки на динамометрическом стенде по
В.8:
(f0(1 - K1) - w1)·(1 + K0(T - 20)). (В.39)
Результат нижеуказанных расчетов служит в качестве коэффициента целевой дорожной нагрузки
Bt, используемого при расчете устанавливаемой нагрузки на динамометрическом стенде по
В.8.1:
f1·(1 + K0·(T - 20)). (В.40)
Результат нижеуказанных расчетов служит в качестве коэффициента целевой дорожной нагрузки
Ct, используемого при расчете устанавливаемой нагрузки на динамометрическом стенде по
В.8.1:
(K2·f2). (В.41)
В.4.5.5.2 Кривую, построенную в соответствии с
В.4.4.4, приводят к исходным условиям, а измерительное оборудование устанавливают с соблюдением нижеследующей процедуры.
Приведение к исходным условиям
C* = ((
c0(1 -
K1) -
w2) +
c1v)·(1 +
K0(
T - 20)) +
+ K2f2v2, (В.42)
где C* - приведенное сопротивление движению, Н·м;
c0 - константа, определенная по
В.4.4.4, Н·м;
c1 - коэффициент при члене в первой степени, определенный по
В.4.4.4, Н·м (км/ч);
c2 - коэффициент при члене во второй степени, определенный по
В.4.4.4, Н·м (км/ч)
2;
K0 - поправочный коэффициент на сопротивление качению, определенный по
В.4.5.2;
K1 - поправочный коэффициент на массу при испытании, определенный по
В.4.5.4;
K2 - поправочный коэффициент на сопротивление воздуха, определенный по
В.4.5.1;
v - скорость ТС, км/ч;
T - среднее арифметическое значение температуры окружающей среды при всех зачитываемых парных прогонах, °C;
w2 - поправка на сопротивление ветра, определенная по
В.4.5.3.
Если сопротивление движению определяют методом измерения крутящего момента, то производят корректировку величины сопротивления движению с учетом того воздействия, которое оборудование для измерения крутящего момента, установленное снаружи ТС, оказывает на его аэродинамические характеристики.
Корректировку коэффициента сопротивления движению c2 проводят по следующему уравнению:

, (В.43)
где

; (В.44)
CD'·
Af' - результат умножения коэффициента аэродинамического сопротивления на площадь фронтальной поверхности ТС (когда измерение производят в аэродинамической трубе, отвечающей критериям выбора по
В.3.2, при установленном оборудовании для измерения крутящего момента), м
2;
CD·A
f - результат умножения коэффициента аэродинамического сопротивления на площадь фронтальной поверхности ТС (когда измерение производят в аэродинамической трубе, отвечающей критериям выбора по
В.3.2, без установленного оборудования для измерения крутящего момента), м
2.
Коэффициенты целевого сопротивления движению
Результат нижеуказанных расчетов служит в качестве коэффициента целевого сопротивления движению
at, используемого при расчете устанавливаемой нагрузки на динамометрическом стенде по
В.8.2
(c0(1 - K1)·w2)·(1 + K0(T - 20)). (В.45)
| | ИС МЕГАНОРМ: примечание. В официальном тексте документа, видимо, допущена опечатка: имеется в виду п. В.8.2, а не Г.8.2. | |
Результат нижеуказанных расчетов служит в качестве коэффициента целевого сопротивления движению
bt, используемого при расчете устанавливаемой нагрузки на динамометрическом стенде по
Г.8.2
c1·(1 + K0·(T - 20)). (В.46)
Результат нижеуказанных расчетов служит в качестве коэффициента целевого сопротивления движению
ct, используемого при расчете устанавливаемой нагрузки на динамометрическом стенде по
В.8.2
c2corr·r. (В.47)
В.5 Метод расчета дорожной нагрузки или сопротивления движению исходя из параметров ТС
В.5.1 Расчет дорожной нагрузки и сопротивления движению исходя из параметров репрезентативного ТС для семейства по матрице дорожных нагрузок
Если дорожная нагрузка, которой подвергается репрезентативное ТС, определяется методом выбега, описанным в
В.4.3, либо методом испытания в аэродинамической трубе, описанным в
В.6, то дорожную нагрузку, приходящуюся на отдельное ТС, рассчитывают по
В.5.1.1.
Если сопротивление движению для репрезентативного ТС определяется методом определения крутящего момента, описанным в
В.4.4, то сопротивление движению для отдельного ТС рассчитывают по
В.5.1.2.
В.5.1.1 Для расчета дорожной нагрузки применительно к ТС из семейства по матрице дорожных нагрузок используют параметры ТС, указанные в
В.4.2.1.4, и коэффициенты дорожной нагрузки для испытуемого репрезентативного ТС, определенные по
В.4.3.
В.5.1.1.1 Значение дорожной нагрузки для отдельного ТС вычисляют по формуле
Fc = f0 + f1·v + f2·v2, (В.48)
где Fc - расчетная дорожная нагрузка как функция скорости ТС, Н;
f0 - постоянный коэффициент дорожной нагрузки, Н, определяемый по уравнению:

; (В.49)

; (В.50)
f0r - постоянный коэффициент дорожной нагрузки для репрезентативного ТС из семейства по матрице дорожных нагрузок, Н;
f1 - коэффициент дорожной нагрузки при члене в первой степени, Н/(км/ч), принимаемый равным нулю;
f2 - коэффициент дорожной нагрузки при члене во второй степени, Н/(км/ч)2, определяемый по уравнению:
f2 = Max((0,05·f2r + 0,95·f2r·Af/Afr); (0,2·f2r +
+ 0,8·f2r·Af/Afr)); (B.51)
f2r - коэффициент дорожной нагрузки при члене во второй степени для репрезентативного ТС из семейства по матрице дорожных нагрузок, Н/(км/ч)2;
v - скорость ТС, км/ч;
TM - фактическая масса отдельного ТС из семейства по матрице дорожных нагрузок при испытании, кг;
TMr - масса репрезентативного ТС из семейства по матрице дорожных нагрузок при испытании, кг;
Af - площадь фронтальной поверхности отдельного ТС из семейства по матрице дорожных нагрузок, м2;
Afr - площадь фронтальной поверхности репрезентативного ТС из семейства по матрице дорожных нагрузок, м2;
RR - сопротивление качению шин для отдельного ТС из семейства по матрице дорожных нагрузок, кг/т;
RRr - сопротивление качению шин для репрезентативного ТС из семейства по матрице дорожных нагрузок, кг/т.
Для шин, установленных на отдельном ТС, сопротивление качению RR принимают равным величине, определенной для соответствующего класса энергоэффективности шин в соответствии с
таблицей В.2.
Если шины на передней и задней осях относятся к различным классам энергоэффективности, то используют средневзвешенное значение, вычисленное по
формуле, приведенной в Д.3.2.3.2.
Если на испытуемых ТС L и H установлены одни и те же шины, то значение RRind для расчетов по методу интерполяции принимают равным RRH.
В.5.1.2 Для расчета сопротивления движению применительно к ТС из семейства по матрице дорожных нагрузок используют параметры ТС, указанные в
В.4.2.1.4, и коэффициенты сопротивления движению для испытуемого репрезентативного ТС, определенные по
В.4.4.
В.5.1.2.1 Сопротивление движению для отдельного ТС вычисляют по формуле
Cc = c0 + c1·v + c2·v2, (В.52)
где Cc - расчетное сопротивление движению как функция скорости ТС, Н·м;
c0 - постоянный коэффициент сопротивления движению, Н·м, определяемый по уравнению:

; (В.53)

, (В.54)
c0r - постоянный коэффициент сопротивления движению репрезентативного ТС из семейства по матрице дорожных нагрузок, Н·м;
c1 - коэффициент сопротивления движению при члене в первой степени, Н·м/(км/ч), принимаемый равным нулю;
c2 - коэффициент сопротивления движению при члене во второй степени, Н·м/(км/ч)2, определяемый по уравнению:
c2 = r'/1,02·Max(0,05·1,02·c2r/r' +
+ 0,95·1,02·c2r/r'·Af/Afr); (В.55)
(0,2·1,02·c2r/r' + 0,8·1,02·c2r/r'·Af/Afr) (В.56)
c2r - коэффициент сопротивления движению при члене во второй степени для репрезентативного ТС из семейства по матрице дорожных нагрузок, Н·(км/ч)2;
v - скорость ТС, км/ч;
TM - фактическая масса отдельного ТС из семейства по матрице дорожных нагрузок при испытании, кг;
TMr - масса репрезентативного ТС из семейства по матрице дорожных нагрузок при испытании, кг;
Af - площадь фронтальной поверхности отдельного ТС из семейства по матрице дорожных нагрузок, м2;
Afr - площадь фронтальной поверхности репрезентативного ТС из семейства по матрице дорожных нагрузок, м2;
RR - сопротивление качению шин для отдельного ТС из семейства по уровню дорожной нагрузки, кг/т;
RRr - сопротивление качению шин для репрезентативного ТС из семейства по матрице дорожных нагрузок, кг/т;
r' - динамический радиус шины на динамометрическом стенде, полученный при скорости 80 км/ч, м;
1,02 - приблизительный коэффициент компенсации потерь в трансмиссии.
В.5.2 Расчет общепринятой дорожной нагрузки исходя из параметров ТС
В.5.2.1 В качестве альтернативы определению дорожной нагрузки методом выбега или методом измерения крутящего момента можно применять метод расчета общепринятой дорожной нагрузки.
Для расчета общепринятой дорожной нагрузки исходя из параметров ТС используют ряд параметров, в частности массу при испытании, ширину и высоту ТС. Общепринятую дорожную нагрузку рассчитывают по точкам контрольной скорости.
В.5.2.2 Общепринятое значение дорожной нагрузки Fc, Н, вычисляют по формуле
Fc = f0 + f1·v + f2·v2, (В.57)
где f0 - постоянный коэффициент дорожной нагрузки, Н, вычисляемый по формуле
f0 = 0,140·TM; (В.58)
f1 - коэффициент дорожной нагрузки при члене в первой степени, Н/(км/ч), принимаемый равным нулю;
f2 - коэффициент дорожной нагрузки при члене во второй степени, Н·(км/ч)2, вычисляемый по формуле
f2 = (2,8·10-6·TM) + (0,0170·ширина·высота); (В.59)
v - скорость ТС, км/ч;
TM - масса при испытании, кг;
ширина - ширина ТС, определяемая согласно 6.2
[10], м;
высота - высота ТС, определяемая согласно 6.3
[10], м.
В.6 Метод испытания в аэродинамической трубе
Метод испытания в аэродинамической трубе представляет собой метод измерения дорожной нагрузки путем совмещения испытаний в аэродинамической трубе и на роликовом динамометрическом стенде либо в аэродинамической трубе и на ленточном трансмиссионном динамометре. Испытательные стенды имеются в виде отдельных установок или могут иметь совмещенную конструкцию.
В.6.1 Метод измерения
В.6.1.1 Дорожную нагрузку определяют путем:
а) суммирования значений дорожной нагрузки, измеренных в аэродинамической трубе и на ленточном трансмиссионном динамометре; или
б) суммирования значений дорожной нагрузки, измеренных в аэродинамической трубе и на роликовом динамометрическом стенде.
В.6.1.2 Аэродинамическое сопротивление измеряют в аэродинамической трубе.
В.6.1.3 Сопротивление качению и потери в трансмиссии измеряют на ленточном трансмиссионном динамометре или роликовом динамометрическом стенде, причем одновременно на передней и задней осях.
В.6.2 Утверждение установок компетентным органом
В порядке подтверждения соответствия установок техническим требованиям результаты, полученные методом испытания в аэродинамической трубе, сопоставляют с результатами, полученными методом выбега, и регистрируют.
В.6.2.1 Компетентным органом отбираются три ТС. Они должны охватывать весь диапазон параметров ТС (например, размер, вес и т.д.), измерение которых намечается проводить при помощи соответствующих установок.
В.6.2.2 Каждое из этих трех ТС подвергают двум отдельным испытаниям методом выбега согласно
В.4.3, а результирующие коэффициенты дорожной нагрузки
f0,
f1 и
f2 определяют в соответствии с указанным
пунктом и корректируют по
В.4.5.5. Для испытуемого ТС результат испытания методом выбега представляет собой среднее арифметическое значение коэффициентов дорожной нагрузки, полученных по итогам двух отдельных испытаний методом выбега. Если для соблюдения критериев утверждения установок требуется более двух испытаний методом выбега, то усредняют результаты всех зачетных испытаний.
В.6.2.3 Измерение методом испытания в аэродинамической трубе проводят согласно
В.6.3 -
В.6.7 включительно на тех же трех ТС, отобранных по
В.6.2.1, причем в тех же условиях, и определяют результирующие коэффициенты дорожной нагрузки
f0,
f1 и
f2.
Если изготовитель предпочитает использовать одну или несколько из доступных в условиях аэродинамического метода альтернативных процедур (а именно по
В.6.5.2.1 - предварительное кондиционирование и
В.6.5.2.2 и
В.6.5.2.3 - процедура, в том числе - регулировка динамометра), то эти процедуры используют также для целей утверждения установок.
В.6.2.4 Критерии утверждения
Соответствующую установку или используемую комбинацию установок утверждают при условии соблюдения следующих критериев:
а) для каждого из трех ТС k разница в потреблении энергии за цикл, обозначаемая как

, между испытаниями в аэродинамической трубе и методом выбега должна находиться в пределах +/- 0,05. Расчет разницы в потреблении энергии за цикл (полный цикл ВЦИМГ для ТС класса 3) применительно к ТС k между испытаниями в аэродинамической трубе и методом выбега

, %, проводят по следующему уравнению:

, (В.60)
где
Ek,WTM - потребление энергии за цикл (полный цикл ВЦИМГ для ТС класса 3) применительно к ТС k при значении дорожной нагрузки, определенном методом испытания в аэродинамической трубе (WTM), рассчитанное по
Д.5, Дж;
Ek,coastdown - потребление энергии за цикл (полный цикл ВЦИМГ для ТС класса 3) применительно к ТС k при значении дорожной нагрузки, определенном методом выбега, рассчитанное по
Д.5, Дж;
б) среднее арифметическое

трех различающихся значений должно находиться в пределах 0,02:

. (В.61)
Компетентный орган регистрирует факт утверждения установок с указанием соответствующих данных измерения.
Соответствующую установку можно использовать для определения дорожной нагрузки в течение максимум двух лет после ее утверждения.
Любую комбинацию роликового динамометрического стенда/трансмиссионного динамометра с бегущей лентой и аэродинамической трубы утверждают отдельно.
Правильность любой комбинации значений скорости ветра (см.
В.6.4.3), используемой для определения значений дорожной нагрузки, подтверждают отдельно.
В.6.3 Подготовка ТС и температурные условия
Применительно к измерениям как на ленточном трансмиссионном динамометре или роликовом динамометрическом стенде, так и в аэродинамической трубе кондиционирование и подготовку ТС проводят в соответствии с
В.4.2.1 и
В.4.2.2.
В случае применения альтернативной процедуры прогревания, описанной в
В.6.5.2.1, корректировку заданной массы при испытании, взвешивание ТС и измерения производят на ТС без водителя.
Температуру в испытательном боксе, где находится ленточный трансмиссионный динамометр или роликовый динамометрический стенд, поддерживают на заданном уровне 20 °C с допустимым отклонением +/- 3 °C. По просьбе изготовителя установочное значение температуры может также составлять 23 °C с допустимым отклонением +/- 3 °C.
В.6.4 Процедура испытания в аэродинамической трубе
В.6.4.1 Критерии выбора аэродинамической трубы
Конструкция аэродинамической трубы, используемые методы испытания и производимые коррективы должны обеспечивать получение такого значения (CD·Af), которое отражает реальные условия дорожного движения, при стабильности результатов измерений +/- 0,015 м2.
Перечисленные в
В.3.2 критерии выбора аэродинамической трубы должны соблюдаться применительно ко всем измерениям (
CD·
Af) с учетом следующих изменений:
а) коэффициент загромождения согласно
В.3.2.4 составляет менее 25%;
б) поверхность бегущей ленты, вступающая в контакт с любой шиной, превышает длину контактной поверхности этой шины не менее чем на 20%, а по ширине как минимум соответствует ширине пятна контакта;
в) стандартное отклонение общего давления воздуха на выходе из сопла согласно
В.3.2.8 составляет менее 1%;
г) коэффициент загромождения системой фиксации согласно
В.3.2.10 составляет менее 3%;
д) в дополнение к требованиям
В.3.2.11 при проведении замеров на ТС класса 1 прецизионность результатов измерения силы должна быть в пределах +/- 2,0 Н.
В.6.4.2 Измерение в аэродинамической трубе
Состояние ТС должно соответствовать указанному в
В.6.3.
ТС устанавливают параллельно продольной осевой линии аэродинамической трубы с максимальным допуском +/- 10 мм.
Угол рыскания ТС должен составлять 0° с допуском +/- 0,1°.
Аэродинамическое сопротивление измеряют за период времени продолжительностью не менее 60 с с минимальной частотой 5 Гц. В качестве альтернативы аэродинамическое сопротивление можно измерять с минимальной частотой 1 Гц с проведением не менее 300 последовательных замеров. Результат рассчитывают как среднее арифметическое значение.
Перед началом испытания проверяют, чтобы аэродинамическая сила, измеренная при скорости ветра 0 км/ч, равнялась 0 Н.
Если ТС имеет подвижные аэродинамические части кузова, то применяют положения
В.4.2.1.5. В случае, когда аэродинамическое сопротивление подвижных элементов зависит от скорости, измерения в аэродинамической трубе проводят для каждого применимого положения, и компетентному органу представляют данные, подтверждающие наличие зависимости между контрольной скоростью, положением подвижного элемента и соответствующим значением (
CD·
Af).
В.6.4.3 Значения скорости ветра при измерении в аэродинамической трубе
Измерение аэродинамической силы проводят при двух значениях скорости ветра с соблюдением следующих условий:
а) ТС класса 1
Нижнее значение скорости ветра vlow при измерении аэродинамической силы составляет vlow < 80 км/ч; верхнее значение скорости ветра vhigh составляет (vlow + 40 км/ч <= vhigh <= 150 км/ч);
б) Транспортные средства классов 2 и 3
Нижнее значение скорости ветра vlow при измерении аэродинамической силы составляет 80 км/ч <= vlow <= 100 км/ч; верхнее значение скорости ветра составляет (vlow + 40 км/ч <= vhigh <= 150 км/ч).
В.6.5 Бегущая лента, применяемая для целей метода испытания в аэродинамической трубе
В.6.5.1 Критерии выбора бегущей ленты
В.6.5.1.1 Описание ленточного испытательного стенда
Характеристики качения колес, вращающихся по бегущей ленте, должны соответствовать аналогичным характеристикам в условиях движения по дороге. Силы, измеряемые в направлении x, включают силы трения в трансмиссии.
В.6.5.1.2 Система фиксации ТС
Динамометр оборудуют центрирующим механизмом для выравнивания ТС при допустимом вращении вокруг оси z в пределах +/- 0,5°. Во время прогонов с выбегом для целей определения дорожной нагрузки система фиксации должна обеспечивать сцентрированное положение ведущих колес в нижеследующих пределах.
Поперечное положение (по оси y): ТС должно быть выровнено в направлении y при минимальном боковом смещении.
Продольное положение (передняя и задняя части) (по оси x): в дополнение к требованиям по поперечному положению обе оси колес должны находиться на расстоянии +/- 10 мм от боковой кромки бегущей ленты по ее центру.
Вертикальная сила: конструкция системы фиксации должна исключать приложение к ведущим колесам какой-либо вертикальной силы.
В.6.5.1.3 Точность измеряемых значений сил
Измеряют только силу противодействия повороту колес. Действие никаких внешних сил в окончательном результате не учитывают (например, давление воздуха, нагнетаемого вентилятором охлаждения, влияние систем фиксации транспортного средства, аэродинамическое противодействие бегущей ленты, потери в системе динамометра и т.д.).
Силу, действующую в направлении x, измеряют с точностью +/- 5 Н.
В.6.5.1.4 Регулирование скорости движения бегущей ленты
Скорость движения бегущей ленты регулируют с точностью +/- 0,1 км/ч.
В.6.5.1.5 Поверхность бегущей ленты
Поверхность бегущей ленты должна быть чистой и сухой и не иметь каких-либо посторонних веществ или предметов, которые могут вызвать проскальзывание шин.
На ТС направляют с переменной скоростью поток воздуха. При замерах на скоростях свыше 5 км/ч установочное значение линейной скорости воздуха на выходе воздуходувки должно быть равно скорости соответствующего полотна динамометра. Линейная скорость воздуха у выпускного отверстия воздуходувки должна находиться в пределах +/- 5 км/ч или +/- 10% по отношению к скорости, на которой проводят соответствующий замер, в зависимости от того, какая величина больше.
В.6.5.2 Измерение на бегущей ленте
В.6.5.2.1 Предварительное кондиционирование
| | ИС МЕГАНОРМ: примечание. Здесь и далее в официальном тексте документа, видимо, допущены опечатки: п. В.4.2.4.1 отсутствует. | |
Кондиционирование ТС на динамометре проводят в соответствии с В.4.2.4.1.
Для целей предварительного кондиционирования регулирование нагрузки на динамометре, Fd, осуществляют на основе уравнения:
Fd = ad + (bd·v) + (cd·v2), (В.62)
где (в случае применения положений
В.6.7.2.1)
ad = 0,
bd = f1a,
cd = f2a,
или (в случае применения положений
В.6.7.2.2):
ad = 0,
bd = 0,

. (В.63)
Эквивалентная инерция динамометра соответствует массе при испытании.
Значение аэродинамического сопротивления для целей регулирования нагрузки получают по
В.6.7.2; его можно принимать непосредственно за исходный параметр. В противном случае используют значения
ad,
bd и
cd из настоящего пункта.
По просьбе изготовителя и в качестве альтернативы В.4.2.4.1 прогревание ТС можно осуществлять за счет его прогона на ленточном динамометре. В этом случае скорость при прогревании должна составлять 110% от максимальной скорости применимого ВЦИМГ. Прогревание считают завершенным после прогона ТС в течение не менее 1200 с до тех пор, пока разность измеряемых значений силы за 200-секундный период не будет составлять менее 5 Н.
В.6.5.2.2 Процедура измерения при установившейся скорости
Испытание проводят в диапазоне от наивысшей контрольной скорости до точки, соответствующей наименьшему контрольному значению скорости.
Сразу же после измерения в предыдущей точке скорости производят плавное замедление порядка 1 м/с2 с текущей скорости до следующей применимой точки контрольной скорости.
Контрольную скорость стабилизируют в течение периода продолжительностью не менее 4 с, но не более 10 с. По истечении этого периода измерительное оборудование должно обеспечивать стабильное считывание показаний измеряемой силы.
Измерение силы при каждом значении контрольной скорости проводят в течение минимум 6 с в условиях поддержания скорости ТС на постоянном уровне. Результирующая сила для данной точки контрольной скорости, FjDyno, представляет собой среднее арифметическое значений сил, полученных в ходе измерения.
| | ИС МЕГАНОРМ: примечание. В официальном тексте документа, видимо, допущена опечатка: имеется в виду п. В.6.5.2.2, а не Г.6.5.2.2. | |
Шаги по Г.6.5.2.2 повторяют для каждого значения контрольной скорости.
В.6.5.2.3 Процедура измерения в условиях замедления
Предварительное кондиционирование и регулировку динамометра проводят в соответствии с
В.6.5.2.1. Перед каждым выбегом ТС прогоняют при наивысшей контрольной скорости или, если используется альтернативная процедура прогревания, при 110% от наивысшей контрольной скорости в течение периода продолжительностью не менее 1 мин. Затем ТС разгоняют до скорости, которая не менее чем на 10 км/ч превышает наивысшую контрольную скорость, и незамедлительно переходят в режим выбега.
Измерения проводят согласно
В.4.3.1.3 -
В.4.3.1.4 включительно, за исключением измерений в противоположных направлениях, когда показатели

и

заменяют на

. Измерение прекращают после двух фаз замедления, если разброс значений силы, замеренных для обоих прогонов в каждой точке контрольной скорости, находится в пределах +/-10 Н; в противном случае проводят не менее трех прогонов с выбегом с соблюдением указанных критериев.
Силу fjDyno при каждой контрольной скорости vj вычисляют путем вычитания значения регулировочной нагрузки динамометра по формуле
fjDyno = fjDecel - fdj, (В.64)
где
fjDecel - сила, определенная по уравнению расчета
Fj согласно
В.4.3.1.4 в точке контрольной скорости
j, Н;
fdj - сила, определенная по уравнению расчета
Fd согласно
В.6.5.2.1 в точке контрольной скорости
j, Н.
В качестве альтернативного варианта и по просьбе изготовителя на время выбега и для целей расчета fjDyno коэффициент cd может приниматься равным нулю.
В.6.5.2.4 Условия проведения измерений
Состояние ТС должно соответствовать указанному в
В.4.3.1.3.
В.6.5.3 Результат измерения методом испытания на динамометре с бегущей лентой
Для целей дальнейших расчетов по
В.6.7 результат измерения на ленточном динамометре,
fjDyno, обозначают как
fj.
В.6.6 Динамометрический стенд, применяемый для целей метода испытания в аэродинамической трубе
В.6.6.1 Критерии
В.6.6.1.1 Описание динамометрического стенда
Переднюю и заднюю оси оборудуют одним беговым барабаном диаметром не менее 1,2 м.
В.6.6.1.2 Система фиксации ТС
Динамометр оборудуют центрирующим механизмом для выравнивания ТС. Во время прогонов с выбегом для целей определения дорожной нагрузки система фиксации должна обеспечивать сцентрированное положение ведущих колес в следующих рекомендуемых пределах:
- установка ТС
подлежащее испытанию ТС устанавливают на беговые барабаны динамометрического стенда, как это предусмотрено в
В.7.3.3;
- вертикальная сила
| | ИС МЕГАНОРМ: примечание. В официальном тексте документа, видимо, допущена опечатка: имеется в виду п. В.6.5.1.2, а не Г.6.5.1.2. | |
Система фиксации должна отвечать требованиям
Г.6.5.1.2.
В.6.6.1.3 Точность измеряемых значений сил
Точность измеряемых значений сил должна соответствовать указанной в
В.6.5.1.3, за исключением силы, действующей в направлении
x, которую измеряют с точностью, указанной в
[2] (приложение 4а).
В.6.6.1.4 Регулирование скорости работы динамометрического стенда
Скорость вращения беговых барабанов регулируют с точностью +/- 0,2 км/ч.
В.6.6.1.5 Поверхность бегового барабана
Поверхность бегового барабана должна быть чистой и сухой и не иметь каких-либо посторонних веществ или предметов, которые могут вызвать проскальзывание шин.
Охлаждающий вентилятор должен соответствовать описанию, приведенному в
В.6.5.1.6.
В.6.6.2 Измерение на динамометрическом стенде
Измерения проводят в порядке, указанном в
В.6.5.2.
В.6.6.3 Приведение сил, измеренных на динамометрическом стенде, к значению, соответствующему движению по плоской поверхности
Силы, измеренные на динамометрическом стенде, приводят к стандартному эквиваленту, соответствующему движению по дороге (плоская поверхность), и полученный результат обозначают как fj, который вычисляют по формуле

(В.65)
где c1 - доля в fjDyno, приходящаяся на сопротивление шин качению;
c2 - поправочный коэффициент на конкретный радиус барабана динамометрического стенда;
fjDyno - сила, рассчитанная для каждой контрольной скорости j, Н;
RWheel - половина номинального расчетного диаметра шины, м;
RDyno - радиус барабана динамометрического стенда, м.
Изготовитель и компетентный орган, опираясь на представленные изготовителем данные корреляционного анализа различных параметров шин, предназначенных для испытания на динамометрическом стенде, согласуют подлежащие использованию коэффициенты c1 и c2.
В качестве альтернативы можно использовать следующее консервативное уравнение:

(В.66)
| | ИС МЕГАНОРМ: примечание. В официальном тексте документа, видимо, допущена опечатка: имеется в виду п. В.6.8.1, а не Г.6.8.1. | |
Коэффициент
c2 (кроме случая использования метода на базе дельта-коэффициента дорожной нагрузки (см.
В.6.8) и при отрицательном значении соответствующего дельта-коэффициента, рассчитанного по
Г.6.8.1, когда
c2 соответствует 2,0) составляет 0,2.
В.6.7.1 Корректировка результатов измерения на динамометре с бегущей лентой и роликовом динамометрическом стенде
Силы, измеренные по
В.6.5 -
В.6.6, корректируют для приведения к исходным условиям при помощи следующего уравнения:
FDj = fj(1 - K1)·(1 + K0(T - 293)), (В.67)
где FDj - скорректированное значение сопротивления, замеренное на динамометре с бегущей лентой или роликовом динамометрическом стенде, при контрольной скорости j, Н;
fj - сила, измеренная при контрольной скорости j, Н;
K0 - поправочный коэффициент на сопротивление качению, определенный по
В.4.5.2,
K-1;
K1 - поправочный коэффициент на массу при испытании, определенный по
В.4.5.4, Н;
T - среднее арифметическое значение температуры в испытательном боксе в ходе измерения, K.
В.6.7.2 Расчет аэродинамической силы
Расчеты по
В.6.7.2.1 проводят с учетом результатов, полученных для обоих значений скорости ветра. Если же разность произведений коэффициента аэродинамического сопротивления на площадь фронтальной поверхности (
CD·
Af), измененных при значениях скорости ветра
vlow и
vhigh, составляет менее 0,015 м
2, то по просьбе изготовителя можно прибегнуть к расчетам по
В.6.7.2.2.
В.6.7.2.1 Аэродинамическую силу при каждом значении скорости ветра
F0wind,
Flow и
Fhigh, Н, вычисляют по формуле

, (В.68)
где (CD·Af)j - результат умножения коэффициента аэродинамического сопротивления на площадь фронтальной поверхности при измерении в аэродинамической трубе в определенной точке контрольной скорости j, если это применимо, м2;

- плотность сухого воздуха, определенная в
2.3.10 настоящего стандарта, кг/м
3;
vw - применимая скорость ветра, км/ч;
w - обозначение применимой скорости ветра: "0wind" (нулевая), "low" (низкая) и "high" (высокая);
F0wind - аэродинамическая сила при 0 км/ч, Н;
Flow - аэродинамическая сила при vlow, Н;
Fhigh - аэродинамическая сила при vhigh, Н.
Коэффициенты аэродинамического сопротивления f1a и f2a рассчитывают по F0wind, Flow и Fhigh с помощью регрессионного анализа методом наименьших квадратов и подставляют в формулу
F = f1a·v + f2a·v2. (В.69)
Окончательное значение результирующей аэродинамической силы
FAj рассчитывают по приведенному ниже
уравнению в каждой точке контрольной скорости
vj. Если ТС имеет подвижные аэродинамические части кузова, аэродинамическое сопротивление которых зависит от скорости, то для конкретных точек контрольной скорости применяют соответствующее значение аэродинамической силы.

. (В.70)
В.6.7.2.2 Расчет аэродинамической силы проводят по приведенному ниже
уравнению с использованием конечного значения (
CD·
Af) при данной скорости ветра, которое служит также для целей определения методом интерполяции соответствующих параметров факультативного оборудования. Если ТС имеет подвижные аэродинамические части кузова, аэродинамическое сопротивление которых зависит от скорости, то для конкретных точек контрольной скорости применяют соответствующие значения (
CD·
Af). Аэродинамическую силу
FAj, Н, рассчитанную при контрольной скорости
j, вычисляют по формуле

, (В.71)
где (CD·Af)j - результат умножения коэффициента аэродинамического сопротивления на площадь фронтальной поверхности при измерении в аэродинамической трубе в определенной точке контрольной скорости j, если это применимо, м2;

- плотность сухого воздуха, определенная в
2.3.10, кг/м
3;
vj - контрольная скорость j, км/ч.
| | ИС МЕГАНОРМ: примечание. Нумерация пунктов дана в соответствии с официальным текстом документа. | |
Г.6.7.3 Расчет значений дорожной нагрузки
Общую величину дорожной нагрузки как сумму результатов, полученных по
В.6.7.1 и
В.6.7.2, вычисляют по формуле

(В.72)
для всех применимых точек контрольной скорости j, N.
Применительно ко всем расчетным значениям

коэффициенты
f0,
f1 и
f2 в уравнении дорожной нагрузки рассчитывают с помощью регрессионного анализа методом наименьших квадратов и используют в качестве целевых коэффициентов по
В.8.1.1.
Если ТС, испытанное в соответствии с методом испытания в аэродинамической трубе, является репрезентативным для семейства по матрице дорожных нагрузок, то коэффициент f1 устанавливают на нулевое значение, а коэффициенты f0 и f2 пересчитывают с помощью регрессионного анализа методом наименьших квадратов.
В.6.8 Метод на базе дельта-коэффициента дорожной нагрузки
Для целей учета при расчетах методом интерполяции конфигураций, не охватываемых в рамках интерполяции дорожной нагрузки (т.е. аэродинамические характеристики, сопротивление качению и масса), допускается возможность измерения дельты сил трения в ТС (например, разницы в силе трения между тормозными системами) посредством метода на базе дельта-коэффициента дорожной нагрузки. Выполняют следующую последовательность операций:
а) измеряют силу трения для контрольного ТС R;
б) измеряют силу трения для ТС в конфигурации (ТС N), которой обусловливается разница в силе трения;
в) рассчитывают разницу по
В.6.8.1.
Такие измерения проводят на динамометре с бегущей лентой согласно
В.6.5 либо на роликовом динамометрическом стенде согласно
В.6.6 с корректировкой результатов (за исключением аэродинамической силы), рассчитанных по
В.6.7.1.
Применение данного метода допускается только при выполнении следующего критерия:

, (В.73)
где
FDj,R - скорректированное значение сопротивления для ТС R, замеренное на динамометре с бегущей лентой или роликовом динамометрическом стенде при контрольной скорости
j и рассчитанное по
В.6.7.1, Н;
FDj,N - скорректированное значение сопротивления для ТС N, замеренное на динамометре с бегущей лентой или роликовом динамометрическом стенде при контрольной скорости
j и рассчитанное по
В.6.7.1, Н;
n - общее количество точек измерения.
Данный альтернативный метод определения дорожной нагрузки можно применять только в том случае, если ТС R и N имеют одинаковое аэродинамическое сопротивление и если измеренный дельта-коэффициент позволяет полностью учесть то влияние, которое оказывается на потребление ТС электроэнергии. Данный метод не применяют, если это каким-либо образом негативно сказывается на общей точности измерения абсолютного значения дорожной нагрузки для ТС N.
В.6.8.1 Определение дельта-коэффициентов для динамометра с бегущей лентой или роликового динамометрического стенда
Дельта-коэффициент дорожной нагрузки при контрольной скорости j, Н, вычисляют по формуле
FDj,Delta = FDj,N - FDj,R, (В.74)
где
FDj,N - скорректированное значение сопротивления для ТС
N, замеренное на динамометре с бегущей лентой или роликовом динамометрическом стенде при контрольной скорости
j и рассчитанное по
В.6.7.1, Н;
FDj,R - скорректированное значение сопротивления для контрольного ТС R, замеренное на динамометре с бегущей лентой или роликовом динамометрическом стенде при контрольной скорости
j и рассчитанное по
В.6.7.1, Н.
Применительно ко всем расчетным значениям FDj,Delta коэффициенты f0,Delta, f1,Delta и f2,Delta в уравнении дорожной нагрузки рассчитывают с помощью регрессионного анализа методом наименьших квадратов.
В.6.8.2 Определение общей величины дорожной нагрузки
Если метод интерполяции (см.
Д.3.2.3.2) не используется, то применяют метод на базе дельта-коэффициента дорожной нагрузки для ТС N, причем расчеты проводят по следующим формулам:
f0,N = f0,R + f0,Delta (В.75)
f1,N = f1,R + f1,Delta (В.76)
f2,N = f2,R + f2,Delta (В.77)
где N - коэффициенты дорожной нагрузки для ТС N;
R - коэффициенты дорожной нагрузки для контрольного ТС R;
Delta - дельта-коэффициенты дорожной нагрузки, определенные по
В.6.8.1.
В.7 Перенос дорожной нагрузки на динамометрический стенд
В.7.1 Подготовка к проведению испытания на динамометрическом стенде
В.7.1.1 Выбор режима работы на динамометре
Испытание проводят в соответствии с
Г.2.4.2.4.
В.7.1.2 Условия на испытательной станции
В.7.1.2.1 Барабан(ы)
Барабан(ы) динамометрического стенда должен (должны) быть чистым(и) и сухим(и) и не иметь каких-либо посторонних веществ или предметов, которые могут вызвать проскальзывание шин. Динамометр работает в том же сцепленном или расцепленном состоянии, в котором он будет находиться при последующем проведении испытания типа 1. Скорость работы динамометрического стенда измеряют на барабане, соединенном с энергопоглощающим устройством.
Проскальзывание шин
Для предотвращения проскальзывания шин в ТС или на него может быть помещен дополнительный вес. При использовании дополнительного веса изготовитель проводит соответствующую регулировку нагрузки на динамометрическом стенде. Дополнительный вес используют как при регулировке нагрузки, так и при проведении испытаний на выбросы и на расход топлива. Факт использования какого-либо дополнительного веса регистрируют.
В.7.1.2.2 Температура помещения
Установочное значение температуры воздуха на испытательной станции составляет 23 °C, и в ходе испытания она не должна отклоняться более чем на +/- 5 °C, если только для проведения любого последующего испытания не требуется иная температура.
В.7.2 Подготовка динамометрического стенда
В.7.2.1 Установка инерционной массы
Эквивалентную инерционную массу динамометрического стенда устанавливают в соответствии с
В.2.5.3. Если динамометрический стенд не позволяет точно отрегулировать момент инерции, то выбирают следующую более высокую регулировку момента инерции при максимальном увеличении массы на 10 кг.
В.7.2.2 Прогревание динамометрического стенда
Прогревание динамометрического стенда осуществляют в соответствии с рекомендациями его изготовителя или по мере необходимости с целью стабилизации потерь на трение в стенде.
В.7.3 Подготовка ТС
В.7.3.1 Регулирование давления в шинах
Давление в шинах при температуре выдерживания в ходе испытания типа 1 должно превышать нижний предел диапазона давления, указанного изготовителем ТС для выбранных шин (см.
В.4.2.2.3), не более чем на 50%; давление регистрируют.
В.7.3.2 Если по причине невоспроизводимости действующих сил невозможно обеспечить соответствие регулировки динамометра критериям, приведенным в
В.8.1.3, то ТС должно допускать возможность движения в режиме выбега. Режим движения ТС в режиме выбега подлежит утверждению компетентным органом, и его использование фиксируют в протоколах испытаний.
Если ТС допускает возможность движения в режиме выбега, то этот режим должен быть включен как во время определения дорожной нагрузки, так и на динамометрическом стенде.
В.7.3.3 Помещение ТС на динамометр
Испытуемое ТС помещают на динамометрический стенд, выравнивают и надежно фиксируют.
В.7.3.3.1 В случае использования динамометрического стенда с одинарным роликом ТС устанавливают и фиксируют в этом положении на протяжении всей процедуры.
Корректировка ориентации (вращение вокруг оси z): ТС выравнивают по оси x с тем, чтобы свести к минимуму вращение вокруг оси z.
Поперечное положение (по оси y): ТС должно быть выровнено в направлении y при минимальном боковом смещении.
Продольное положение (передняя и задняя части) (по оси x): для всех вращающихся колес точка контакта шины с барабаном должна находиться в пределах +/- 25 мм или +/- 2% диаметра барабана, в зависимости от того, какая величина меньше, от верхней части барабана.
Испытуемое ТС фиксируют при помощи системы, соответствующей
[2] (приложение 4а).
При использовании метода измерения крутящего момента давление в шинах регулируют таким образом, чтобы динамический радиус шины составлял +/- 0,5% от динамического радиуса
rj, рассчитанного по приведенным в
В.4.4.3.1 уравнениям в точке контрольной скорости, соответствующей 80 км/ч. Расчет динамического радиуса для динамометрического стенда производят с соблюдением процедуры, изложенной в
В.4.4.3.1.
Если такая регулировка выходит за пределы диапазона, определенного в
В.7.3.1, то метод измерения крутящего момента не применяют.
В.7.3.4.1 ТС прогревают в соответствии с применимым ВЦИМГ. В случае, если во время процедуры, установленной в
В.4.2.4, прогревание ТС осуществлялось на скорости, соответствующей 90% от максимальной скорости следующей более высокой фазы, то эту более высокую фазу включают в применимый ВЦИМГ.
Таблица В.7
Прогревание ТС
Класс ТС | Применимый ВЦИМГ | Переход к следующей фазе с более высокой скоростью | Цикл прогревания |
Класс 1 | Low1 + Medium1 | Неприменимо | Low1 + Medium1 |
Класс 2 | Low2 + Medium2 + High2 + Extra High2 | Неприменимо | Low2 + Medium2 + High2 + Extra High2 |
Low2 + Medium2 + High2 | Да (Extra High2) |
Нет | Low2 + Medium2 + High2 |
Класс 3 | Low3 + Medium3 + High3 + Extra High3 | Low3 + Medium3 + High3 + Extra High3 | Low3 + Medium3 + High3 + Extra High3 |
Low3 + Medium3 + High3 | Да (Extra High3) |
Нет | Low3 + Medium3 + High3 |
В.7.3.4.2 Если ТС уже находится в прогретом состоянии, то прогон осуществляют в фазе ВЦИМГ, применяемой в соответствии с
В.7.3.4.1, с наивысшей скоростью.
В.7.3.4.3 Альтернативная процедура прогревания
По просьбе изготовителя ТС и с одобрения компетентного органа можно использовать альтернативную процедуру прогревания. Утвержденная альтернативная процедура прогревания может использоваться для ТС, относящихся к одному семейству по уровню дорожной нагрузки, и она должна отвечать следующим требованиям:
а) из семейства по уровню дорожной нагрузки выбирают, по крайней мере, одно репрезентативное ТС;
б) потребность в энергии для выполнения цикла, рассчитанная по
Д.5 с учетом коэффициентов дорожной нагрузки
f0a,
f1a и
f2a, скорректированных на альтернативную процедуру прогревания, должна составлять не менее потребности в энергии для выполнения цикла, рассчитанной с учетом коэффициентов целевой дорожной нагрузки
f0,
f1 и
f2 для каждой применимой фазы.
Скорректированные коэффициенты дорожной нагрузки f0a, f1a и f2a вычисляют по формулам:
f0a = f0 + Ad_alt - Ad_WLTC, (В.78)
f1a = f1 + Bd_alt - Bd_WLTC, (В.79)
f2a = f2 + Cd_alt - Cd_WLTC, (В.80)
где Ad_alt, Bd_alt и Cd_alt - коэффициенты регулировки динамометрического стенда после альтернативной процедуры прогревания;
Ad_WLTC,
Bd_WLTC и
Cd_WLTC - коэффициенты регулировки динамометрического стенда после процедуры прогревания в соответствии с ВЦИМГ, описанной в
В.7.3.4.1, при действительной регулировке нагрузки на динамометрическом стенде согласно
В.8;
в) скорректированные коэффициенты дорожной нагрузки
f0a,
f1a и
f2a используют только для целей
перечисления б) В.7.3.4.3. Для всех прочих целей в качестве коэффициентов целевой дорожной нагрузки используют
f0,
f1 и
f2;
г) компетентному органу предоставляют подробную информацию о данной процедуре и ее эквивалентности.
В.8 Регулировка нагрузки на динамометрическом стенде
В.8.1 Регулировка нагрузки на динамометрическом стенде с использованием метода выбега
Этот метод применяют в том случае, когда были определены коэффициенты f0, f1 и f2.
В случае семейства по матрице дорожных нагрузок этот метод применяют тогда, когда дорожная нагрузка, которой подвергается репрезентативное ТС, определяется методом выбега, описанным в
В.4.3 настоящего приложения. Значения целевой дорожной нагрузки соответствуют значениям, рассчитанным с помощью метода, указанного в
В.5.1.
В.8.1.1 Первоначальная регулировка нагрузки
В случае динамометрического стенда с функцией контроля коэффициента нагрузки регулировку энергопоглощающего устройства осуществляют с учетом произвольных начальных коэффициентов Ad, Bd и Cd. Установленную нагрузку динамометрического стенда, Fd, Н вычисляют по формуле:
Fd = Ad + Bdv + Cdv2, (В.81)
где v - скорость барабана динамометрического стенда, км/ч.
Ниже приведены коэффициенты, рекомендуемые для первоначальной регулировки нагрузки:
а) Ad = 0,5·At, Bd = 0,2·Bt, Cd = Ct, (В.82)
для одноосных динамометрических стендов или
Ad = 0,1·At, Bd = 0,2·Bt, Cd = Ct, (В.83)
для двуосных динамометрических стендов, где At, Bt и Ct - коэффициенты целевой дорожной нагрузки;
б) эмпирические значения, используемые для регулировки в случае ТС аналогичного типа.
В случае динамометрического стенда с полигональной функцией контроля для энергопоглощающего устройства динамометрического стенда задаются соответствующие значения нагрузки в каждой точке контрольной скорости.
В.8.1.2 Выбег
Испытание методом выбега на динамометрическом стенде проводят в соответствии с процедурой, определенной в методе измерения при постоянных оборотах или в итерационном методе, и начинают не позднее чем через 120 с после завершения процедуры прогревания. Затем незамедлительно приступают к последовательным прогонам с выбегом. По просьбе изготовителя и с одобрения компетентного органа при помощи метода итерации допускается увеличение периода времени между процедурой прогревания и осуществлением прогонов с выбегом в порядке обеспечения надлежащей установки ТС для целей таких прогонов. Изготовитель предоставляет компетентному органу доказательства в обоснование необходимости дополнительного времени и свидетельства того, что это не повлияет на параметры регулировки нагрузки на динамометрическом стенде (например, температура охлаждающей жидкости и/или масла; сила, действующая на поверхности барабана динамометра).
В.8.1.3.1 Значение целевой дорожной нагрузки Ftj, Н, при контрольной скорости vj с использованием коэффициентов целевой дорожной нагрузки At, Bt и Ct, для каждого значения контрольной скорости вычисляют по формуле:

, (В.84)
где At, Bt и Ct - параметры целевой дорожной нагрузки;
vj - j-е значение контрольной скорости, км/ч.
В.8.1.3.2 Измеренное значение дорожной нагрузки Fmj, Н, для каждого значения контрольной скорости vj вычисляют по формуле:

, (В.85)
где TM - масса ТС при испытании, кг;
mr - эквивалентная эффективная масса вращающихся элементов согласно
В.2.5.1, кг;

- 5 км/ч;

- время выбега со скорости
vj, с.
В.8.1.3.3 Применительно к имитируемой дорожной нагрузке на динамометрическом стенде коэффициенты As, Bs и Cs в уравнении дорожной нагрузки рассчитывают с помощью регрессионного анализа методом наименьших квадратов:
Fs = As + (Bs·v) + (Cs·v2). (В.86)
Имитируемую дорожную нагрузку для каждого значения контрольной скорости vj вычисляют с использованием расчетных значений As, Bs и Cs по формуле

. (В.87)
В.8.1.3.4 Для регулировки нагрузки на динамометрическом стенде можно применять два различных метода. Если ускорение ТС обеспечивается стендом, то применяют метод измерения при постоянных оборотах. Если ускорение ТС происходит за счет собственного хода, то применяют метод измерения при постоянных оборотах или итерационный метод, причем минимальное ускорение, умноженное на скорость, должно составлять 6 м2/с3. ТС, которые не способны достичь показателя 6 м2/с3, управляют с полностью выжатой педалью акселератора.
Метод измерения при постоянных оборотах
Программное обеспечение динамометрического стенда инициирует в общей сложности четыре прогона с выбегом. В рамках первого прогона с выбегом рассчитывают коэффициенты регулировки динамометра для второго прогона согласно
В.8.1.4. После первого прогона с выбегом это программное обеспечение инициирует три дополнительных прогона либо при фиксированных коэффициентах регулировки динамометра, определенных по итогам первого прогона с выбегом, либо при скорректированных коэффициентах регулировки динамометра согласно
В.8.1.4.
Окончательные коэффициенты регулировки динамометрического стенда A, B и C вычисляют по формулам:

(В 88)

(В.89)

(В.90)
где At, Bt и Ct - параметры целевой дорожной нагрузки;

,

и

- коэффициенты имитируемой дорожной нагрузки для
n-го прогона;

,

и

- коэффициенты регулировки динамометрического стенда для
n-го прогона;
n - порядковый номер прогонов с выбегом, включая первый стабилизационный прогон.
Итерационный метод
Расчетные силы в указанных диапазонах скоростей должны либо, при сопоставлении с целевыми значениями, находиться в пределах +/- 10 Н от этих значений после регрессии сил методом наименьших квадратов для двух последовательных выбегов, либо после регулирования нагрузки на динамометрическом стенде в соответствии с
В.8.1.4 дополнительные выбеги проводят до тех пор, пока не будет обеспечено соблюдение данного допуска.
Для регулирования нагрузки на динамометрическом стенде вычисляют скорректированную установочную нагрузку на динамометрическом стенде,

, Н, по формуле:

(В.91)
Таким образом:

, (В.92)

, (В.93)

, (В.94)
где Fdj - первоначальная установочная нагрузка на динамометрическом стенде, Н;
Fj - корректировка дорожной нагрузки, равной (Fsj - Ftj), Н;
Fsj - имитируемая дорожная нагрузка при контрольной скорости vj, Н;
Ftj - целевая дорожная нагрузка при контрольной скорости vj, Н;

,

и

- новые коэффициенты регулировки динамометрического стенда.
В.8.1.5 Значения At, Bt и Ct используют в качестве окончательных значений f0, f1 и f2 для следующих целей:
а) определение понижающего коэффициента - по
А.8;
в) интерполяция значений CO
2 и расхода топлива - по
Д.3.2.3;
| | ИС МЕГАНОРМ: примечание. В официальном тексте документа, видимо, допущена опечатка: имеется в виду п. Е.4, а не И.4. | |
г) расчет результатов для электромобилей и гибридных электромобилей - по
И.4.
В.8.2 Регулировка нагрузки на динамометрическом стенде с использованием метода измерения крутящего момента
Этот метод применяют в том случае, когда сопротивление движению определяется методом измерения крутящего момента, описанным в
В.4.4.
В случае семейства по матрице дорожных нагрузок этот метод применяют тогда, когда сопротивление движению для репрезентативного ТС определяется методом измерения крутящего момента, указанным в
В.4.4. Значения целевого сопротивления движению соответствуют значениям, рассчитанным с помощью метода, указанного в
В.5.1.
В.8.2.1 Первоначальная регулировка нагрузки
В случае динамометрического стенда с функцией контроля коэффициента нагрузки регулировку энергопоглощающего устройства осуществляют с учетом произвольных начальных коэффициентов Ad, Bd и Cd по следующему уравнению:
Fd = Ad + Bdv + Cdv2, (В.95)
где Fd - установленная нагрузка динамометрического стенда, Н;
v - скорость барабана динамометрического стенда, км/ч.
Ниже приведены коэффициенты, рекомендуемые для первоначальной регулировки нагрузки:
а) для одноосных динамометрических стендов

; (В.96)
для двуосных динамометрических стендов

, (В.97)
где at, bt и ct - коэффициенты целевого сопротивления движению;
r' - динамический радиус шины на динамометрическом стенде, полученный при скорости 80 км/ч, м; либо
б) эмпирические значения, используемые для регулировки в случае ТС аналогичного типа.
В случае динамометрического стенда с полигональной функцией контроля для энергопоглощающего устройства динамометрического стенда задаются соответствующие значения нагрузки в каждой точке контрольной скорости.
В.8.2.2 Измерение крутящего момента колеса
Крутящий момент на динамометрическом стенде измеряют в соответствии с процедурой, определенной в
В.4.4.2. Используемый(е) измеритель(и) крутящего момента должен (должны) быть идентичен (идентичными) измерителю(ям), который(е) применялся (применялись) в ходе предыдущего дорожного испытания.
В.8.2.3.1 Кривую целевого сопротивления движению (крутящего момента) строят по
уравнению (В.42), которое записывают следующим образом:

, (В.98)
В.8.2.3.2 Кривую имитируемого сопротивления движению (крутящего момента) на динамометрическом стенде рассчитывают по методу, описанному в
В.4.4.3.2, при указанной в нем прецизионности измерений, а кривую сопротивления движению (крутящего момента) строят согласно
В.4.4.4 с учетом применимых коррективов по
В.4.5, за исключением измерения в противоположных направлениях, с получением в итоге кривой имитируемого сопротивления движению, записываемой следующим уравнением:

, (В.99)
В каждой точке контрольной скорости имитируемое сопротивление движению (крутящий момент) должно соответствовать целевому показателю сопротивления движению с допустимым отклонением +/- 10 Н·r', где r' - динамический радиус шины на динамометрическом стенде, в метрах, полученный при скорости 80 км/ч.
Если при любом значении контрольной скорости данный допуск не удовлетворяет критерию метода, описанного в настоящем пункте, то для регулирования нагрузки на динамометрическом стенде применяют процедуру, указанную в
В.8.2.3.3.
Для регулирования нагрузки на динамометрическом стенде вычисляют вновь установленную нагрузку на динамометрическом стенде

, Н, по формуле:

. (В.100)
Таким образом,

, (В.101)

, (В.102)

, (В.103)
где Fej - корректировка дорожной нагрузки, равной (Fsj - Ftj), Н·м;
Fsj - имитируемая дорожная нагрузка при контрольной скорости vj, Н·м;
Ftj - целевая дорожная нагрузка при контрольной скорости vj, Н·м;

,

и

- новые коэффициенты регулировки динамометрического стенда;
r' - динамический радиус шины на динамометрическом стенде, полученный при скорости 80 км/ч, м.
Операции по
В.8.2.2 и В.8.2.3 повторяют до тех пор, пока не будет обеспечено соблюдение допуска, предусмотренного в
В.8.2.3.2.
В.8.2.3.4 При соблюдении требований
В.8.2.3.2 регистрируют массу, приходящуюся на ведущую(ие) ось(и), технические характеристики шин и установленную нагрузку динамометрического стенда.
В.8.2.4 Преобразование коэффициентов сопротивления движению в коэффициенты дорожной нагрузки
f0,
f1,
f2.
В.8.2.4.1 Если ТС не допускает возможность воспроизводимого движения в режиме выбега и использование режима выбега ТС согласно
В.4.2.1.8 нельзя обеспечить практически, то коэффициенты
f0,
f1 и
f2 в уравнении дорожной нагрузки вычисляют по
формулам (В.104) -
(В.106). Во всех других случаях применяют процедуру, описанную в
В.8.2.4.2 -
В.8.2.4.4 включительно.

, (В.104)

, (В.105)

, (В.106)
где
c0,
c1,
c2 - коэффициенты сопротивления движению, определенные по
В.4.4.4, Н·м, Н·м/(км/ч), Н·м/(км/ч)
2;
r - динамический радиус шин транспортного средства, при котором определялось сопротивление движению, м;
1,02 - приблизительный коэффициент компенсации потерь в трансмиссии.
Полученные значения f0, f1, f2 не используют для целей регулировки динамометрического стенда либо проведения каких-либо испытаний на выбросы или определение запаса хода. Их используют только в следующих случаях:
а) определение понижающего коэффициента - по
А.8;
в) интерполяция значений CO
2 и расхода топлива - по
Д.3.2.3;
г) расчет результатов для электромобилей и гибридных электромобилей - по
Е.4.
В.8.2.4.2 После проведения регулировки динамометрического стенда в соответствии с установленными допусками выполняют прогон ТС на динамометрическом стенде с переходом в режим выбега, как указано в
В.4.3.1.3. Время выбега регистрируют.
В.8.2.4.3 Дорожную нагрузку Fj при контрольной скорости vj, Н, вычисляют по формуле

, (В.107)
где TM - масса ТС при испытании, кг;
mr - эквивалентная эффективная масса вращающихся элементов согласно
В.2.5.1, кг;

- 5 км/ч;

- время выбега со скорости
vj, с.
В.8.2.4.4 Коэффициенты
f0,
f1 и
f2 в формулах дорожной нагрузки вычисляют с помощью регрессионного анализа методом наименьших квадратов по всему диапазону значений контрольной скорости.
(обязательное)
ПРОЦЕДУРЫ И УСЛОВИЯ ПРОВЕДЕНИЯ ИСПЫТАНИЙ ТИПА 1
Г.1 Описание испытаний
Г.1.1 Испытание типа 1 предназначено для контроля выбросов газообразных загрязняющих соединений, взвешенных частиц, количества частиц в выбросах (если применимо), массы выбросов CO2, расхода топлива, потребления электроэнергии и запаса хода на электротяге в ходе применимого испытательного цикла ВПИМ.
Г.1.1.1 Испытания проводят в соответствии с методом, описанным в
Г.2, либо в
Е.3, применительно к полным электромобилям, гибридным электромобилям и ГТСТЭ, работающим на компримированном водороде. Отбор и анализ проб отработавших газов, взвешенных частиц, а также определение количества частиц (если применимо) проводят в соответствии с предписанными методами.
Г.1.1.2 Если в качестве эталонного топлива должен использоваться СНГ или ПГ/биометан, то дополнительно применяют положения, приведенные в
Г.1.1.2.1,
Г1.1.2.2.
Г.1.1.2.1 Официальное утверждение базового ТС в отношении выбросов отработавших газов
Следует продемонстрировать способность базового ТС адаптироваться к топливу любого состава, которое может иметься на рынке. В случае СНГ существуют различия по составу C3/C4. В случае ПГ/биометана обычно существуют два вида топлива - топливо с высокой теплотворной способностью (H-газ) и топливо с низкой теплотворной способностью (L-газ), но при этом наблюдается значительный разброс в рамках этих двух ассортиментов; они существенно различаются по коэффициенту Воббе. Эти различия отражены в составе эталонных топлив.
В случае ТС, работающих на СНГ или ПГ/биометане, базовые(ое) ТС проходят(ит) испытание типа 1 с использованием двух совершенно разных эталонных видов топлива, предусмотренных
[2] (приложения 10 и 10а). В случае ПГ/биометана, если переход с одного вида топлива на другой на практике осуществляют с помощью переключателя, этот переключатель не используют в ходе испытания на официальное утверждение типа. В таком случае по просьбе изготовителя и по согласованию с компетентным органом продолжительность цикла предварительного кондиционирования, указанного в
Г.2.6, может быть увеличена.
Считается, что ТС отвечает предписаниям, если при испытаниях с использованием эталонных видов топлива оно соответствует предельным нормам выбросов.
В случае ТС, работающих на СНГ или ПГ/биометане, по каждому загрязняющему веществу определяют коэффициент результирующего выброса r в соответствии с
таблицей Г.1.
Вид(ы) топлива | Эталонные виды топлива | Формула для расчета r |
СНГ и бензин или только СНГ | Топливо A | |
Топливо B |
ПГ/биометан и бензин или только ПГ/биометан | Топливо G20 | |
Топливо G25 |
Г.1.1.2.2 Официальное утверждение ТС данного семейства в отношении выбросов отработавших газов
В случае официального утверждения типа монотопливного ТС, работающего на газообразном топливе, и двухтопливных ТС, работающих на газообразном топливе в режиме газа с использованием СНГ или ПГ/биометана в качестве представителя данного семейства, испытание типа 1 проводят с использованием одного вида газообразного эталонного топлива. В качестве эталонного топлива может использоваться любой из двух видов газообразного эталонного топлива. Считается, что ТС отвечает предписаниям, если выполняются следующие требования:
- ТС соответствует определению ТС данного семейства, которое приведено в
4.9.3;
- если испытательным топливом является эталонное топливо A для СНГ или G20 для ПГ/биометана, то результаты испытания на выбросы умножают на соответствующий коэффициент r, если r > 1; если же r < 1, то корректировка не требуется;
- если испытательным топливом является эталонное топливо B для СНГ или G25 для ПГ/биометана, то результаты испытания на выбросы делят на соответствующий коэффициент r, если r < 1; если же r > 1, то корректировка не требуется;
- по просьбе изготовителя испытание типа 1 можно проводить с использованием обоих видов эталонного топлива, и в этом случае корректировка не требуется;
- ТС должно соответствовать требованиям в отношении предельных значений выбросов, предписанных для данной категории, в случае как измеренных, так и рассчитанных выбросов;
- если один и тот же двигатель подвергают повторным испытаниям, то сначала усредняют результаты, полученные по эталонному топливу G20 или A и по эталонному топливу G25 или B, затем на основе этих усредненных результатов рассчитывают коэффициент r;
- без ущерба для положений
Г.2.6.4.1 в процессе испытания типа 1 допускается использовать только бензин или одновременно бензин и газ в случае работы в режиме газа, при условии, что энергопотребление газа превышает 80% от общего количества энергии, потребленного в ходе испытания.
Для расчета газоэнергетического коэффициента газообразных видов топлива (СНГ и ПГ/биометан) используются результаты измерения массы газообразного топлива, потребленного в ходе испытательного цикла типа 1.
Измерение массы газа, потребленного в ходе цикла, проводят с помощью соответствующей системы взвешивания топлива, которая позволяет измерять вес емкости для хранения газа в ходе испытания в соответствии со следующими критериями:
а) точность +/- 2% от разницы между показаниями в начале и конце испытания или выше;
б) следует принять меры предосторожности во избежание ошибок при измерении.
Такие меры предосторожности включают как минимум тщательную установку устройства измерения в соответствии с рекомендациями изготовителя прибора и надлежащей инженерной практикой;
в) допускаются другие методы измерения, если может быть подтверждено, что они обеспечивают такую же точность.
Расчет газоэнергетического коэффициента
Расход топлива рассчитывают на основе выбросов углеводородов, моноксида углерода и диоксида углерода, определенных по результатам измерения в предположении, что в ходе испытания сжигается только газообразное топливо.
Коэффициент потребления энергии газа в ходе цикла Ggas, %, вычисляют по формуле

, (Г.1)
где Mgas - масса газообразного топлива, потребленного в ходе цикла, кг;
FCnorm - расход топлива (л/100 км для СНГ, м
3/100 км для ПГ/биометана), рассчитанный в соответствии с
Д.6.6 и
Д.6.7;
dist - расстояние, пройденное в ходе цикла, км;

- плотность газа:

- для ПГ/биометана;

- для СНГ;
cf - поправочный коэффициент с учетом следующих значений:
cf = 1 в случае СНГ или эталонного топлива G20;
cf = 0,78 в случае эталонного топлива G25.
Г.1.2 Число испытаний определяют по схеме, приведенной на
рисунке Г.1. Предельное значение - это максимально допустимое значение для выброса соответствующего основного загрязнителя, определенное договаривающейся стороной.
Г.1.2.1 Схема, приведенная на
рисунке Г.1, относится ко всему применимому испытательному циклу ВПИМ, а не к отдельным фазам.
Рисунок Г.1 - Схема определения числа испытаний типа 1
Г.1.2.2 Результаты испытания представляют собой значения, полученные после применения соответствующих коррективов, указанных в таблицах
приложений Д и
Е для последующей обработки данных.
Г.1.2.3 Определение значений по всему циклу
Г.1.2.3.1 Если в ходе любого испытания превышаются предельные нормы выбросов основных загрязнителей, то ТС отбраковывают.
Г.1.2.3.2 В зависимости от типа ТС изготовитель заявляет в качестве применимых следующие значения по всему циклу согласно
таблице Г.2: массу выбросов CO
2, потребление электроэнергии, расход топлива, топливную экономичность, а также PER и AER.
Таблица Г.2
Нормы, действующие применительно к значениям, заявленным
изготовителем (значения по всему циклу)
<1> (в зависимости
от того, что применимо)
Силовой агрегат | | Расход топлива (FC), кг/100 км | Топливная экономичность (FE), км/л или км/кг | Потребление электроэнергии <3>, Вт·ч/км | Запас хода на одной электротяге/запас хода только на электротяге <3>, км |
ТС, подвергаемые испытаниям в соответствии с приложением Г (работающие только от ДВС) | | FC | FE | - | - |
ГТСТЭ-БЗУ | - | FCCS | FECS | - | - |
ГТСТЭ-ВЗУ | РЗ | - | FCCD | - | ECAC,CD | AER |
СЗ | - | FCCS | - | - | - |
ГЭМ-БЗУ | | - | FECS | - | - |
ГЭМ-ВЗУ | РЗ | | - | FECD | Для 4-фазного испытания по: Для 3-фазного испытания по ВПИМ: ЕС (Е.4.6.2) | AER |
СЗ | | - | FECS | - | - |
ПЭМ | - | - | - | ECWLTC | PERWLTC |
<1> Заявленное значение является значением, к которому применяются необходимые поправки (например, поправочный коэффициент Ki и другие коррективы, диктуемые региональными требованиями). <2> Округление до второго знака после запятой согласно разделу 6. <3> Округление до первого знака после запятой согласно разделу 6. |
Г.1.2.3.3 По усмотрению договаривающейся стороны выбирают один из следующих вариантов.
Вариант А. Согласно схеме, приведенной на
рисунке Г.1, заявленное значение потребления электроэнергии для ГЭМ-ВЗУ в эксплуатационном режиме расходования заряда не определяют. Его принимают за значение для официального утверждения типа при условии признания заявленного значения уровня выбросов CO
2. В противном случае за значение для официального утверждения типа принимают измеренное значение потребления электроэнергии. При необходимости компетентному органу заблаговременно представляют данные, свидетельствующие о корреляции между заявленными значениями массы выбросов CO
2 и потребления электроэнергии.
Вариант Б. Согласно схеме, приведенной на
рисунке Г.1, заявленное значение топливной экономичности для ГЭМ-ВЗУ в эксплуатационном режиме расходования заряда не определяют. Его принимают за значение для официального утверждения типа при условии признания заявленного значения потребления электроэнергии. В противном случае за значение для официального утверждения типа принимают измеренный показатель топливной экономичности. При необходимости компетентному органу заблаговременно представляют данные, свидетельствующие о корреляции между заявленными значениями топливной экономичности и потребления электроэнергии.
Г.1.2.3.4 Если после первого испытания выполняются все критерии по
строке 1 таблицы Г.3, то все заявленные изготовителем значения принимают в качестве значений для официального утверждения типа. Если же не выполняется любой из критериев по
строке 1 таблицы Г.3, то проводят второе испытание с использованием того же ТС.
Таблица Г.3
Критерии определения числа испытаний для ТС, работающих
только от ДВС, ГЭМ-БЗУ и ГЭМ-ВЗУ при испытании типа 1
в режиме сохранения заряда (в зависимости от того,
что применимо)
Строка | Испытание | Оценочный параметр | Выброс основного загрязнителя | Для 4-фазного испытания по ВПИМ:  | Для 3-фазного испытания по ВПИМ: FE |
| Первое испытание | Результаты первого испытания | Не более допустимого предела x 0,9 <1> | Не более заявленного значения x dCO 21 <2> | Не менее заявленного значения x 1,0 |
| Второе испытание | Среднее арифметическое результатов первого и второго испытаний | Не более допустимого предела x 1,0 <1> | Не более заявленного значения x dCO 22 <2> | Не менее заявленного значения x 1,0 |
| Третье испытание | Среднее арифметическое результатов трех испытаний | Не более допустимого предела x 1,0 <1> | Не более заявленного значения x dCO 23 <2> | Не менее заявленного значения x 1,0 |
<1> Результат каждого испытания должен соответствовать допустимому пределу. <2> dCO 21, dCO 22 и dCO 23 определяют в соответствии с Г.1.2.3.8. |
Если в ходе первого испытания при испытании типа 1 в режиме расходования заряда для ГЭМ-ВЗУ количество циклов отличается от ожидаемого количества циклов с расходованием заряда, то по просьбе изготовителя и с одобрения компетентного органа первое испытание повторяют. Изготовитель представляет компетентному органу соответствующее техническое обоснование.
Г.1.2.3.5 После второго испытания рассчитывают среднее арифметическое результатов двух испытаний. Если полученный среднеарифметический результат отвечает всем критериям по
строке 2 таблицы Г.3, то все заявленные изготовителем значения принимают в качестве значений для официального утверждения типа. Если же не выполняется любой из критериев по
строке 2 таблицы Г.3, то проводят третье испытание с использованием того же ТС.
Если в ходе второго испытания при испытании типа 1 в режиме расходования заряда для ГЭМ-ВЗУ количество циклов отличается от ожидаемого количества циклов с расходованием заряда, то по просьбе изготовителя и с одобрения компетентного органа второе испытание повторяют. Изготовитель представляет компетентному органу соответствующее техническое обоснование.
Г.1.2.3.6 После третьего испытания рассчитывают среднее арифметическое результатов трех испытаний. Для всех параметров, отвечающих соответствующему критерию по
строке 3 таблицы Г.3, заявленное значение принимают в качестве значения для официального утверждения типа. Для любого параметра, не отвечающего соответствующему критерию по
строке 3 таблицы Г.3, за значение для официального утверждения типа принимают среднеарифметический результат.
Если в ходе третьего испытания при испытании типа 1 в режиме расходования заряда для ГЭМ-ВЗУ количество циклов отличается от ожидаемого количества циклов с расходованием заряда, то по просьбе изготовителя и с одобрения компетентного органа третье испытание повторяют. Изготовитель представляет компетентному органу соответствующее техническое обоснование.
Г.1.2.3.7 Если после первого или второго испытания не выполняется любой из критериев по
таблице Г.3, то в целях сокращения требуемого числа испытаний для официального утверждения типа соответствующие значения - по просьбе изготовителя и с одобрения компетентного органа - могут быть перезаявлены как более высокие (применительно к выбросам или расходу) либо как более низкие (применительно к запасу хода на электротяге).
Г.1.2.3.8 Определение допустимых значений dCO
21, dCO
22 и dCO
23
Договаривающаяся сторона определяет значение для dCO
21 в диапазоне от 0,990 до 1,020, для dCO
22 - в диапазоне от 0,995 до 1,020 и для dCO
23 - в диапазоне от 1,000 до 1,020 согласно
таблице Г.3.
Если испытание типа 1 в режиме расходования заряда для ГЭМВЗУ состоит из двух или более применимых испытательных циклов ВПИМ, а значение dCO2x меньше 1,0, то значение dCO2x заменяют на 1,0.
Г.1.2.3.9 Если в качестве значения для официального утверждения типа принимают и подтверждают результат испытания или средний результат испытаний, то этот результат считают "заявленным значением" для дальнейших вычислений.
Таблица Г.4
Для ГЭМ-ВЗУ при испытании типа 1 в режиме расходования
заряда (в зависимости от того, что применимо)
Строка | Испытание | Оценочный параметр | Выбросы основного загрязнителя | Для 4-фазного испытания по ВПИМ:  | Для 3-фазного испытания по ВПИМ: EC | Для 4-фазного испытания по ВПИМ: AER |
Строка 1 | Первое испытание | Результаты первого испытания | Не более допустимого предела x 0,9 <1> | Не более заявленного значения x dCO 21 <3> | Не более заявленного значения x 1,0 | Не менее заявленного значения x 1,0 |
Строка 2 | Второе испытание | Среднее арифметическое результатов первого и второго испытаний | Не более допустимого предела x 1,0 <2> | Не более заявленного значения x dCO 22 <3> | Не более заявленного значения x 1,0 | Не менее заявленного значения x 1,0 |
Строка 3 | Третье испытание | Среднее арифметическое результатов трех испытаний | Не более допустимого предела x 1,0 <2> | Не более заявленного значения x dCO 23 <3> | Не более заявленного значения x 1,0 | Не менее заявленного значения x 1,0 |
<1> Применительно к испытанию типа 1 в режиме расходования заряда для ГЭМ-ВЗУ значение "0,9" заменяют на "1,0" только в том случае, если испытанием в режиме расходования заряда охватываются два или более циклов применимого ВЦИМГ. <2> Результат каждого испытания должен соответствовать допустимому пределу. <3> dCO 21, dCO 22 и dCO 23 определяют в соответствии с Г.1.2.3.8. |
Таблица Г.5
Для ПЭМ
Строка | Испытание | Оценочный параметр | Потребление электроэнергии | PER |
Строка 1 | Первое испытание | Результаты первого испытания | Не более заявленного значения x 1,0 | Не менее заявленного значение x 1,0 |
Строка 2 | Второе испытание | Среднее арифметическое результатов первого и второго испытаний | Не более заявленного значения x 1,0 | Не менее заявленного значения x 1,0 |
Строка 3 | Третье испытание | Среднее арифметическое результатов трех испытаний | Не более заявленного значения x 1,0 | Не менее заявленного значения x 1,0 |
Таблица Г.6
Для ГТСТЭ-ВЗУ при испытании типа 1 в режиме расходования
заряда
Строка | Испытание | Оценочный параметр | FC, РЗ | ECAC,CD | AER |
Строка 1 | Первое испытание | Результаты первого испытания | Не более заявленного значения x 1,0 | Не более заявленного значения x 1,0 | Не менее заявленного значения x 1,0 |
Строка 2 | Второе испытание | Среднее арифметическое результатов первого и второго испытаний | Не более заявленного значения x 1,0 | Не более заявленного значения x 1,0 | Не менее заявленного значения x 1,0 |
Строка 3 | Третье испытание | Среднее арифметическое результатов трех испытаний | Не более заявленного значения x 1,0 | Не более заявленного значения x 1,0 | Не менее заявленного значения x 1,0 |
Таблица Г.7
Для ГТСТЭ-БЗУ и ГТСТЭ-ВЗУ в условиях СЗ (в зависимости
от того, что применимо)
Строка | Испытание | Оценочный параметр | Для 4-фазного испытания по ВПИМ: FCCS | Для 3-фазного испытания по ВПИМ: FECS (нижнее значение) |
Строка 1 | Первое испытание | Результаты первого испытания | Не более заявленного значения x 1,0 | Не менее заявленного значения x 1,0 |
Строка 2 | Второе испытание | Среднее арифметическое результатов первого и второго испытаний | Не более заявленного значения x 1,0 | Не менее заявленного значения x 1,0 |
Строка 3 | Третье испытание | Среднее арифметическое результатов трех испытаний | Не более заявленного значения x 1,0 | Не менее заявленного значения x 1,0 |
Г.1.2.4 Определение соответствующих фазе значений
Г.1.2.4.1 Соответствующее фазе значение для CO
2
После принятия заявленного значения массы выбросов CO2 по всему циклу полученное по результатам испытания среднее арифметическое соответствующих фазе значений, в г/км, умножают на поправочный коэффициент CO2-AF с целью компенсировать разницу между заявленным значением и результатами испытания. Полученное скорректированное значение принимают за уровень выбросов CO2 для официального утверждения типа по формуле

, (Г.2)
где

, (Г.3)
где

- полученное по результатам испытания(й) среднеарифметическое значение массы выбросов CO
2 для фазы L, г/км;

- полученное по результатам испытания(й) среднеарифметическое значение массы выбросов CO
2 для фазы M, г/км;

- полученное по результатам испытания(й) среднеарифметическое значение массы выбросов CO
2 для фазы H, г/км;

- полученное по результатам испытания(й) среднеарифметическое значение массы выбросов CO
2 для фазы exH, г/км;
DL - теоретическое расстояние, пройденное за фазу L, км;
DM - теоретическое расстояние, пройденное за фазу M, км;
DH - теоретическое расстояние, пройденное за фазу H, км;
DexH - теоретическое расстояние, пройденное за фазу exH, км.
Если заявленное значение массы выбросов CO2 по всему циклу не принимают, то значение, соответствующее фазе массы выбросов CO2 для официального утверждения типа, рассчитывают в виде среднего арифметического результатов всех испытаний для соответствующей фазы.
Г.1.2.4.2 Соответствующие фазе значения для расхода топлива
Значение расхода топлива рассчитывают по значению соответствующей фазе массы выбросов CO
2 с использованием уравнений, приведенных в
Г.1.2.4.1, на основе среднеарифметического значения уровня выбросов.
Г.2.1 Краткое описание
Г.2.1.1 Испытание типа 1 состоит из предписанных последовательных операций подготовки динамометра, заправки топливом, выдерживания и воссоздания условий эксплуатации.
Г.2.1.2 Испытание типа 1 предусматривает прогон ТС на динамометрическом стенде в соответствии с применимым ВЦИМГ для интерполяционного семейства. Для целей последующего анализа непрерывно отбирают пропорциональные пробы разбавленных отработавших газов с использованием системы отбора проб постоянного объема.
Г.2.1.3 Для всех соединений, масса которых определяется в разбавленных выбросах отработавших газов, измеряют фоновые концентрации. В этой связи при испытании на выбросы отработавших газов необходимо проводить отбор и анализ проб разбавляющего воздуха.
Г.2.1.3.1 Измерение содержания фоновых частиц
Если изготовитель обращается с просьбой о вычитании массы фоновых частиц, содержащихся в разбавляющем воздухе или в канале для разбавления, из результатов измерения уровня загрязняющих веществ в выбросах, а договаривающаяся сторона дает на это разрешение, то такие фоновые уровни определяют в соответствии со следующими процедурами:
- максимальная допустимая фоновая составляющая равна массе, осаждаемой на фильтре и эквивалентной 1 мг/км при установленном для испытания расходе потока;
- если фоновая концентрация превышает этот уровень, то принятое значение, равное 1 мг/км, вычитают;
- если значения, полученные в результате вычитания фоновой концентрации, являются отрицательными величинами, то фоновый уровень приравнивают к нулю.
Уровень фоновых концентраций взвешенных частиц в разбавляющем воздухе определяют путем пропускания отфильтрованного разбавляющего воздуха через фоновый фильтр взвешенных частиц. Точка забора этого воздуха находится непосредственно за фильтрами разбавляющего воздуха. Фоновые уровни в мкг/м3 рассчитывают как скользящее среднее арифметическое результатов не менее 14 измерений, проведенных с частотой не менее одного измерения в неделю.
Уровень фоновых концентраций взвешенных частиц в канале для разбавления определяют путем пропускания отфильтрованного разбавляющего воздуха через фоновый фильтр взвешенных частиц. Пробу отбирают в той же точке, где проводится отбор пробы для определения содержания взвешенных частиц. Если при поведении испытания используют систему вторичного разбавления, то ее следует использовать и для целей измерения фоновых концентраций. Одно измерение может быть выполнено до или после испытания в день его проведения.
| | ИС МЕГАНОРМ: примечание. Нумерация пунктов дана в соответствии с официальным текстом документа. | |
Е.2.1.3.2 Определение фонового количества частиц (если применимо)
Если договаривающаяся сторона дает разрешение на вычитание фонового количества частиц, содержащихся в разбавляющем воздухе или в канале для разбавления, из результатов измерения уровня загрязняющих веществ в выбросах и если изготовитель обращается с просьбой провести корректировку с учетом фоновых концентраций, то эти фоновые уровни определяют следующим образом.
Значение фоновой составляющей можно либо рассчитать, либо измерить. Максимально допустимую поправку на фоновую концентрацию соотносят с максимально допустимым коэффициентом утечки для данной системы измерения количества частиц (0,5 частиц на см3), пересчитанным по коэффициенту снижения концентрации частиц, PCRF, и показателю расхода CVS, использованным в ходе фактического испытания.
Либо договаривающаяся сторона, либо изготовитель может просить, чтобы вместо рассчитанных значений использовались фактические результаты измерения фоновой концентрации.
Если значения, полученные в результате вычитания фоновой концентрации, являются отрицательными величинами, то результирующее КЧ приравнивают к нулю.
Фоновый количественный уровень взвешенных частиц в разбавляющем воздухе определяют в пробах отфильтрованного разбавляющего воздуха. Пробу этого воздуха отбирают в точке, находящейся непосредственно за фильтрами разбавляющего воздуха, и направляют в систему измерения КЧ. Фоновые уровни (в частицах на м3) рассчитывают как скользящее среднее арифметическое результатов не менее 14 измерений, проведенных с частотой не менее одного раза в неделю.
Фоновый количественный уровень взвешенных частиц в канале для разбавления определяют в пробах отфильтрованного разбавляющего воздуха. Пробу отбирают в той же точке, в которой проводится отбор пробы для определения КЧ. Если при проведении испытания используют систему вторичного разбавления, то ее следует использовать и для целей измерения фоновых концентраций. Одно измерение может быть выполнено до или после испытания в день его проведения на основе фактического PCRF и показателя расхода CVS, использованных в ходе испытания.
Г.2.2 Типовое оборудование испытательного бокса
Г.2.2.1 Измеряемые параметры
Г.2.2.1.1 Измеряют с точностью до +/- 1,5 °C следующие значения температуры:
а) температуру окружающего воздуха в испытательном боксе;
б) температуру в системах разбавления и отбора проб в соответствии с требованиями для систем измерения уровня выбросов, определенными в
[2] (приложение 4а)
Г.2.2.1.2 Атмосферное давление измеряют с точностью до +/- 0,1 кПа.
Г.2.2.1.3 Удельную влажность H измеряют с точностью до +/- 1 г H2O/кг сухого воздуха.
Г.2.2.2 Испытательный бокс и зона выдерживания
Г.2.2.2.1 Испытательный бокс
Заданное значение температуры в испытательном боксе составляет 23 °C. Отклонение от фактического значения должно находиться в пределах +/- 5 °C. Температуру и влажность воздуха измеряют на выходе вентилятора охлаждения испытательного бокса с частотой не менее 0,1 Гц. Температура в начале испытания должна соответствовать
Г.2.8.1.
Удельная влажность H воздуха в испытательном боксе или воздуха, поступающего в воздухозаборник двигателя, должна быть следующей:
5,5 <= H <= 12,2 (г H2O/кг сухого воздуха).
Влажность измеряют непрерывно, с частотой не менее 0,1 Гц.
Г.2.2.2.2 Зона выдерживания
Заданное значение температуры в зоне выдерживания составляет 23 °C, а допуск для фактического значения, определяемый как скользящее среднее арифметическое за 5-минутный период, составляет +/- 3 °C, причем отклонение от заданной температуры не должно носить систематический характер. Температуру измеряют непрерывно, с частотой не менее 0,033 Гц (каждые 30 с).
Г.2.3 Испытуемое транспортное средство
Все узлы и детали испытуемого ТС должны быть серийными; если же это ТС отличается от базового варианта данной серии (например, при испытании по наиболее неблагоприятному сценарию), то в протоколе испытания дается полное описание. При выборе испытуемого ТС изготовитель и компетентный орган договариваются о том, какая модель ТС является репрезентативной для соответствующего интерполяционного семейства.
Если ТС в составе того или иного интерполяционного семейства оборудованы различными системами ограничения выбросов, что может сказаться на параметрах выбросов, то изготовитель должен либо доказать компетентному органу, что отобранное(ые) испытуемое(ые) транспортное(ые) средство(а) и полученные на нем (них) результаты испытания типа 1 являются репрезентативными для соответствующего интерполяционного семейства, либо продемонстрировать соблюдение норм выбросов основных загрязнителей путем испытания одного или нескольких отдельных ТС с различными системами ограничения выбросов.
При измерении уровня выбросов ТС подвергают дорожной нагрузке, определенной для испытуемого ТС H. В случае семейства по матрице дорожных нагрузок при измерении уровня выбросов ТС подвергают дорожной нагрузке, рассчитанной для ТС, Н·м, согласно
В.5.1.
Если по просьбе изготовителя применяется метод интерполяции (см.
Д.3.2.3.2), то проводят дополнительное измерение уровня выбросов при дорожной нагрузке, определенной для испытуемого ТС L. Испытания ТС H и L должны проводиться на одном и том же испытуемом ТС, причем при самом низком соотношении
n/
v (с допустимым отклонением +/- 1,5%) для соответствующего интерполяционного семейства. В случае семейства по матрице дорожных нагрузок проводят дополнительное измерение уровня выбросов при дорожной нагрузке, рассчитанной для ТС L
M согласно
В.5.1.
Применительно к испытуемым ТС L и H можно использовать коэффициенты дорожной нагрузки и значения массы при испытании, полученные для различных семейств по матрице дорожной нагрузки. Можно также использовать коэффициенты и значения, полученные для различных семейств по уровню дорожной нагрузки, при условии подтверждения компетентному органу (с признанием последним) разницы между этими семействами по уровню дорожной нагрузки, обусловленной либо результатами, полученными согласно
В.6.8, либо использованием шин различных категорий, при соблюдении требований
Г.2.3.2.
Г.2.3.2 Диапазон интерполяции CO
2
Г.2.3.2.1 Метод интерполяции используют только в том случае, если разница в уровне выбросов CO
2 за применимый цикл в результате
шага N 9 по таблице Д.1 между испытуемыми ТС L и H находится в пределах между минимальным значением 5 г/км и максимальным значением, определенным в
Г.2.3.2.2.
Г.2.3.2.2 Максимальная разница в уровне выбросов CO
2, допустимая за применимый цикл в результате
шага N 9 по таблице Д.1 между испытуемыми ТС L и H, составляет 20% плюс 5 г/км выбросов CO
2 ТС H, но не менее 15 г/км и не более 30 г/км (см.
рисунок Г.2).
Рисунок Г.2 - Диапазон интерполяции для ТС, работающих
только от ДВС
Это ограничение не применяют в случае использования семейства по матрице дорожных нагрузок либо при расчете дорожной нагрузки для ТС L и H на основе общепринятой дорожной нагрузки.
Если испытанию в составе данного семейства подвергается ТС M и выполняются условия
Г.2.3.2.4, то допустимый диапазон интерполяции, определенный в Г.2.3.2.2, может быть сдвинут вверх на 10 г/км CO
2 (см.
рисунок Г.3). Такое расширение пределов применительно к интерполяционному семейству допустимо лишь однократно.
Рисунок Г.3 - Диапазон интерполяции для ТС, работающих
только от ДВС, на базе ТС M
Г.2.3.2.3 По просьбе изготовителя и с одобрения компетентного органа допускается расширение пределов применения метода интерполяции для отдельных ТС в составе семейства при условии, что линия интерполяции для отдельного ТС
(шаг 10 по таблице Д.1) остается в пределах 3 г/км выше значения массы выбросов CO
2 ТС H
(шаг 9 по таблице Д.1) и/или 3 г/км ниже значения массы выбросов CO
2 ТС L
(шаг 9 по таблице Д.1). Это расширение пределов действительно только в абсолютных границах диапазона интерполяции, указанного в
Г.2.3.2.2.
В случае использования семейства по матрице дорожных нагрузок либо при расчете дорожной нагрузки для ТС L и H на основе общепринятой дорожной нагрузки экстраполяции не допускается.
Г.2.3.2.4 Транспортное средство M
Транспортным средством M является ТС в составе интерполяционного семейства между ТС L и H, для которого потребность в энергии для выполнения цикла в идеале максимально приближается к среднему показателю ТС L и H.
Предельные значения для целей выбора ТС M (см.
рисунок Г.4) являются таковыми, что ни разница в уровне выбросов CO
2 между ТС H и M, ни разница в уровне выбросов CO
2 между ТС M и L не выходит за верхний предел диапазона значений CO
2 по
Г.2.3.2.2. Установленные коэффициенты дорожной нагрузки и установленную испытательную массу регистрируют.
Рисунок Г.4 - Предельные значения для целей выбора ТС M
Проверку линейности массового показателя выбросов CO
2 для ТС M проводят на основе линейно интерполированных значений массы выбросов CO
2, полученных для ТС L и H за применимый цикл, прибегая к корректировке измеренных значений согласно соответствующему шагу по
таблице Д.1.
Критерий линейности применительно к ТС M (см.
рисунок Г.5) считают выполненным, если разница между значением массы выбросов CO
2 ТС M за применимый ВЦИМГ и полученным путем интерполяции массовым показателем выбросов CO
2 составляет менее 2 г/км или 3% интерполированного значения, в зависимости от того, какое из этих значений меньше, но по крайней мере 1 г/км.
Рисунок Г.5 - Критерий линейности для ТС M
В случае соблюдения критерия линейности интерполяцию значений CO2 между ТС L и H распространяют на отдельные ТС.
Если же критерий линейности не выполнен, то интерполяционное семейство разделяют на два подсемейства: ТС с разбивкой - по потребности в энергии для выполнения цикла - на ТС L и M и ТС с аналогичной разбивкой на ТС M и H. В таком случае окончательное значение массы выбросов CO
2 ТС M определяют по той же процедуре, что и для ТС L и H (см.
шаг 9 по таблице Д.1).
В случае ТС с разбивкой - по потребности в энергии для выполнения цикла - на ТС L и M каждый параметр ТС H, необходимый для применения метода интерполяции значений для отдельных ТС, заменяют соответствующим параметром ТС M.
В случае же ТС с разбивкой - по потребности в энергии для выполнения цикла - на ТС M и H каждый параметр ТС L, необходимый для применения метода интерполяции значений для отдельных ТС, заменяют соответствующим параметром ТС M.
ТС должно находиться в исправном техническом состоянии. Оно должно быть обкатанным и пройти 3000 - 15000 км до начала испытания. Двигатель, трансмиссию и само ТС обкатывают в соответствии с рекомендациями изготовителя.
Г.2.4 Регулировка
Г.2.4.1 Выбор параметров регулировки и проверку динамометра осуществляют в соответствии с
приложением В.
Г.2.4.2 Работа на динамометре
Г.2.4.2.1 На время работы динамометра вспомогательные устройства отключают или дезактивируют, если только требованиями законодательства не предусматривается их функционирование.
По усмотрению договаривающейся стороны, если на ТС предусмотрена функциональная возможность движения накатом, то на время проведения испытания на динамометрическом стенде эту функцию деактивируют при помощи переключателя или посредством задания соответствующего режима работы ТС на динамометре, если только процедурой испытания однозначно не требуется ее наличие.
Г.2.4.2.2 Переход в режим работы ТС на динамометре, при наличии такого режима, проводится в соответствии с указаниями изготовителя (например, посредством нажатия кнопок на рулевом колесе в определенной последовательности, при помощи испытательного оборудования изготовителя или путем удаления предохранителя).
По усмотрению договаривающейся стороны выбирают один из следующих вариантов:
- вариант А. Изготовитель предоставляет компетентному органу перечень выключенных устройств и/или деактивированных функций с обоснованием их отключения. Режим работы на динамометре подлежит утверждению компетентным органом и регистрируется;
- вариант Б. Изготовитель предоставляет компетентному органу перечень выключенных устройств с обоснованием их отключения. Режим работы на динамометре подлежит утверждению компетентным органом и регистрируется.
Г.2.4.2.3 По усмотрению договаривающейся стороны выбирают один из следующих вариантов:
- Вариант А. Переход в режим работы ТС на динамометре не должен сопровождаться активацией, модулированием, задержкой в срабатывании или отключением любого устройства (за исключением функции движения накатом), которое влияет на уровень выбросов и расход топлива в условиях испытания. Любое устройство, которое влияет на работу динамометрического стенда, регулируют таким образом, чтобы обеспечить нормальное функционирование стенда;
- вариант В. Переход в режим работы ТС на динамометре не должен сопровождаться активацией, модулированием, задержкой в срабатывании или отключением любого устройства, которое влияет на уровень выбросов и расход топлива в условиях испытания. Любое устройство, которое влияет на работу динамометрического стенда, регулируют таким образом, чтобы обеспечить нормальное функционирование стенда.
Г.2.4.2.4 Отводимый для испытуемого ТС тип динамометра
В случае испытуемого ТС с двумя ведущими осями, которое в условиях ВПИМ частично или постоянно задействует обе оси, сообщающие тяговое усилие или рекуперирующие энергию на протяжении применимого цикла, такое ТС подвергают испытанию на динамометрическом стенде, работающем в полноприводном режиме (динамометр ППР), который отвечает техническим требованиям
[2] (приложение 4а).
В случае испытуемого ТС только с одной ведущей осью такое ТС подвергают испытанию на динамометрическом стенде, работающем в режиме половинного привода (динамометр ПлПР), который отвечает техническим требованиям
[2] (приложение 4а).
По просьбе изготовителя и с одобрения компетентного органа ТС с одной ведущей осью можно испытывать на полноприводном динамометрическом стенде в режиме ППР.
Если испытуемое ТС может переключаться на две ведущие оси при работе в отдельных выбираемых водителем режимах, которые не предназначены для обычной повседневной эксплуатации и используются только в специальных ограниченных целях (например, "режим вождения в горной местности" или "режим обслуживания"), либо если режим с двумя ведущими осями задействуется только в условиях бездорожья, то такое ТС подвергают испытанию на динамометрическом стенде, работающем в режиме половинного привода, который отвечает техническим требованиям
[2] (приложение 4а).
По просьбе изготовителя и с одобрения компетентного органа такое ТС можно испытывать на полноприводном динамометрическом стенде в режиме ППР.
Если испытуемое ТС подвергают испытанию на полноприводном динамометрическом стенде в режиме половинного привода, то колеса на оси, не являющейся ведущей, могут вращаться во время испытания при условии, что режим работы ТС на динамометре и движение ТС в режиме выбега допускают прогон в таких условиях.
| | ИС МЕГАНОРМ: примечание. В официальном тексте документа, видимо, допущена опечатка: имеется в виду рисунок Г.6, а не 6. | |
Возможные схемы испытаний на динамометрах с половинным и полным приводом представлены на
рисунке 6.
Рисунок Г.6 - Возможные схемы испытаний на динамометрах
с половинным и полным приводом
Г.2.4.2.5 Подтверждение эквивалентности динамометра, работающего в режиме половинного привода, и динамометра, работающего в полноприводном режиме
По просьбе изготовителя и с одобрения компетентного органа ТС, подлежащее испытанию на динамометрическом стенде, работающем в полноприводном режиме, может в качестве альтернативы испытываться на динамометрическом стенде, работающем в режиме половинного привода, если соблюдены следующие условия:
а) испытуемое ТС переключено на режим работы только с одной ведущей осью;
б) изготовитель представляет компетентному органу доказательства того, что для ТС с одной отключенной ведущей осью уровень выбросов CO2, значение расхода топлива и/или показатель потребления электроэнергии являются не меньшими, чем для полноприводного ТС, испытываемого на динамометрическом стенде, работающем в полноприводном режиме;
в) при проведении испытания обеспечивается безопасная эксплуатация (например, за счет удаления предохранителя или демонтажа приводного вала) и прилагается инструкция относительно режима работы на динамометре;
г) переключение на режим работы только с одной ведущей осью касается только ТС, подвергаемого испытанию на динамометрическом стенде, а процедуру определения дорожной нагрузки применяют к полноприводному ТС.
Вышеуказанное подтверждение эквивалентности распространяется на все ТС в составе одного и того же семейства по уровню дорожной нагрузки. По просьбе изготовителя и с одобрения компетентного органа допускается распространение такого подтверждения эквивалентности на другие семейства по уровню дорожной нагрузки при наличии доказательств того, что в качестве испытуемого ТС выбрано ТС, относящееся к соответствующему семейству, характеризующемуся наиболее неблагоприятным сочетанием параметров.
Г.2.4.2.6 Информация о том, подвергалось ли ТС испытанию на динамометрическом стенде с половинным (ПлП) или полным (ПП) приводом и испытывалось ли оно на динамометре, работающем в режиме половинного (ПлПР) или полного (ППР) привода, подлежит включению во все соответствующие протоколы испытаний. Если ТС подвергалось испытанию на полноприводном динамометрическом стенде, но работающем в режиме половинного привода, то эта информация включает также указание на то, вращались ли колеса на оси, не являющейся ведущей.
Г.2.4.3 Система выпуска отработавших газов ТС не должна давать утечки, которая может уменьшить количество собранного газа.
Г.2.4.4 Силовой агрегат и приборы управления ТС должны быть отрегулированы в соответствии с инструкциями изготовителя для серийного оборудования.
Г.2.4.5 Шины должны соответствовать типу, определенному изготовителем ТС в качестве штатного оборудования. Давление в шинах может быть увеличено на 50% по сравнению со значением давления, указанным в
В.4.2.2.3. Это же значение давления в шинах используют для настройки динамометра и всех последующих испытаний. Фактическое давление в шинах заносят в протокол испытания.
Г.2.4.6 Эталонное топливо
Для проведения испытания используют соответствующее эталонное топливо согласно
[2] (приложения 10 и 10а).
Г.2.4.7 Подготовка испытуемого ТС
Г.2.4.7.1 Во время испытания ТС должно находиться в основном в горизонтальном положении, с тем чтобы избежать любых аномалий в распределении топлива.
Г.2.4.7.2 При необходимости изготовитель предоставляет такие дополнительные фитинги и переходники, какие требуются для подсоединения к сливному отверстию топливного(ых) бака(ов) в его (их) максимально низкой точке, а также для обеспечения отбора проб отработавших газов.
Г.2.4.7.3 Для целей отбора проб ВЧ при проведении испытания, в ходе которого устройство регенерации работает в стабилизированном режиме нагрузки (т.е. ТС не подвергается регенерации), рекомендуется, чтобы ТС прошло более 1/3 расстояния между предписанными циклами регенерации или чтобы устройство периодической регенерации имело эквивалентную наработку.
Г.2.5 Предварительные испытательные циклы
Предварительные испытательные циклы могут проводиться по просьбе изготовителя в соответствии с графиком скорости в заданных пределах.
Г.2.6 Предварительное кондиционирование испытуемого ТС
Г.2.6.1 Подготовка ТС
Г.2.6.1.1 Заполнение топливного бака
Топливный(е) бак(и) наполняют предписанным топливом, используемым при испытании. Если топливо, находящееся в топливном(ых) баке(ах), не отвечает техническим требованиям, указанным в
Г.2.4.6, то его сливают перед наполнением бака надлежащим топливом. Система контроля за выбросами в результате испарения не должна подвергаться ни чрезмерному стравливанию, ни чрезмерной нагрузке.
Г.2.6.1.2 Зарядка ПСАЭ
Перед предварительным кондиционированием в целях проведения испытания ПСАЭ полностью заряжают. По просьбе изготовителя цикл подзарядки перед предварительным кондиционированием можно пропустить. Перед проведением официального испытания ПСАЭ не подзаряжают.
Г.2.6.1.3 Давление в шинах
Давление в шинах ведущих колес устанавливают в соответствии с
Г.2.4.5.
Г.2.6.1.4 Газомоторные транспортные средства
ТС, оснащенные двигателями с принудительным зажиганием, работающими на СНГ или ПГ/биометане, либо оборудованные таким образом, что они могут работать на бензине в сочетании с СНГ или ПГ/биометаном, между испытаниями с использованием первого газообразного эталонного топлива и второго газообразного эталонного топлива подвергают повторному предварительному кондиционированию до проведения испытания с использованием второго эталонного топлива.
Г.2.6.2 Испытательный бокс
Г.2.6.2.1 Температура
Во время предварительного кондиционирования температура в испытательном боксе должна соответствовать температуре, определенной для испытания типа 1.
Г.2.6.2.2 Измерение фоновых концентраций
В случае если на результатах испытания ТС с низким уровнем выбросов взвешенных частиц могут отразиться остаточные концентрации от предыдущего испытания, проводившегося в данном испытательном боксе на ТС с высоким уровнем выбросов взвешенных частиц, то для целей предварительного кондиционирования оборудования для отбора проб рекомендуется, чтобы на ТС с низким уровнем выбросов взвешенных частиц выполнялся ездовой цикл в установившемся режиме на скорости 120 км/ч в течение 20 мин. При необходимости для целей предварительного кондиционирования оборудования для отбора проб допускается прогон в течение более продолжительного периода и/или на более высокой скорости. Измерения фоновой концентрации в канале для разбавления, если применимо, проводят после предварительного кондиционирования этого канала и до какого-либо последующего испытания ТС.
Г.2.6.3 Процедура
Г.2.6.3.1 Испытуемое ТС загоняют своим ходом или закатывают на динамометр и прогоняют по применимым циклам ВЦИМГ. ТС не должно быть холодным и может использоваться для регулировки нагрузки динамометра.
Г.2.6.3.2 Регулировку нагрузки динамометра осуществляют в соответствии с
В.7 и
В.8. Если для целей испытания используется динамометр, работающий в режиме половинного привода, то регулировку дорожной нагрузки производят на динамометре ПлПР; если же для целей испытания используется динамометр, работающий в полноприводном режиме, то регулировку дорожной нагрузки проводят на динамометре ППР.
Г.2.6.4.1 Процедуру запуска силового агрегата выполняют с использованием предусмотренных для этой цели устройств запуска согласно инструкциям изготовителя.
Если не указано иное, то принудительное переключение на иной эксплуатационный режим в ходе испытания не допускается.
Если не удается выполнить процедуру запуска силового агрегата (например, двигатель не запускается в штатном режиме или приборы ТС указывают на сбой в процессе запуска), то испытание считается недействительным; процедуру предварительного кондиционирования выполняют повторно, а затем проводят новое испытание.
В случае использования в качестве топлива СНГ или ПГ/биометана допускается запуск двигателя с использованием бензина и его автоматическое переключение на СНГ или ПГ/биометан по прошествии заранее установленного периода времени, который не может быть изменен водителем. Этот период времени не должен превышать 60 с.
Допускается также использовать только бензин или одновременно бензин и газ в случае работы в режиме газа, при условии, что энергопотребление газа превышает 80% от общего количества энергии, потребленного в ходе испытания типа 1. Данную процентную долю рассчитывают, используя результаты измерения массы газообразного топлива, потребленного в ходе испытательного цикла типа 1.
Г.2.6.4.2 Цикл начинают с процедуры запуска силового агрегата ТС.
Г.2.6.4.3 В целях предварительного кондиционирования выполняют прогон по применимому ВЦИМГ.
По просьбе изготовителя или компетентного органа могут быть проведены дополнительные прогоны по ВЦИМГ в целях стабилизации ТС и его систем управления.
Объем такого дополнительного предварительного кондиционирования регистрируют.
Г.2.6.4.4 Ускорение
Управление ходом ТС проводят посредством соответствующего нажатия на педаль акселератора, необходимого для четкого следования заданной кривой скорости.
Ход ТС должен быть плавным; при этом следует соблюдать порядок и процедуру переключения соответствующих передач.
В случае механических коробок передач водитель отпускает педаль акселератора во время каждой смены передачи и производит переключение передачи с минимальной потерей времени.
Если ТС не в состоянии следовать заданной кривой скорости, то надлежит развивать максимально возможную мощность до тех пор, пока скорость ТС вновь не достигнет соответствующего целевого значения.
Г.2.6.4.5 Замедление
Во время замедления водитель отпускает педаль акселератора, но не отключает вручную сцепление до тех пор, пока не будет достигнута точка, указанная в
Б.3.3 или в
перечислении е) Б.4.
Если период замедления ТС меньше предусмотренного в соответствии с кривой скорости, то хронометраж цикла восстанавливают за счет использования устройства управления акселератором.
Если период замедления превышает предусмотренное время, то используют тормоза ТС, с тем чтобы не нарушить хронометраж цикла.
Г.2.6.4.6 Применение тормоза
Во время фаз остановки/холостого хода к педали тормоза прилагают соответствующее усилие, достаточное для предотвращения вращения ведущих колес.
Г.2.6.5 Использование передачи
Г.2.6.5.1 Механическая коробка передач
Следует соблюдать предписания по переключению передач, изложенные в
приложении Б. В случае ТС, испытываемых в соответствии с
приложением Е, прогон осуществляют в соответствии с
Е.1.5.
Переключение передачи начинают и завершают в пределах +/- 1,0 с относительно предписанной точки переключения передач.
Нажатие на педаль сцепления производят в пределах +/- 1,0 с относительно предписанной точки включения сцепления.
Г.2.6.5.2 Автоматическая коробка передач
После первоначального включения селектор не используют в течение всего испытания. Первоначальное включение проводится за 1 с до начала первого цикла ускорения.
ТС, у которых автоматическая коробка передач имеет ручной режим работы, не испытывают в ручном режиме.
Г.2.6.6 Выбираемые водителем режимы
Г.2.6.6.1 ТС, на которых предусмотрен преобладающий режим, испытывают в этом режиме. По просьбе изготовителя и в качестве альтернативы ТС можно испытывать в выбираемом водителем режиме при самом неблагоприятном сценарии в плане уровня выбросов CO
2.
| | ИС МЕГАНОРМ: примечание. В официальном тексте документа, видимо, допущена опечатка: имеется в виду п. 2.6.9, а не 2.7.9. | |
Изготовитель предоставляет компетентному органу данные, подтверждающие наличие режима, который удовлетворяет требованиям
2.7.9. С согласия компетентного органа преобладающий режим может использоваться в качестве единственного режима, который служит для определения уровня выбросов основных загрязнителей, выбросов CO
2 и расхода топлива.
Г.2.6.6.2 Если на данном ТС преобладающий режим не предусмотрен, поскольку имеются два или более задаваемых режима запуска, то испытание проводят в наиболее неблагоприятном из этих задаваемых режимов запуска в плане выбросов CO2 и расхода топлива, причем он может использоваться в качестве единственного режима, который служит для определения уровня выбросов основных загрязнителей, выбросов CO2 и расхода топлива.
Г.2.6.6.3 Если на данном ТС преобладающий режим не предусмотрен или если компетентный орган не признает тот или иной предложенный преобладающий режим либо не имеется двух или более задаваемых режимов запуска, то ТС подвергают испытанию на выбросы основных загрязнителей, выбросы CO
2 и расход топлива в наиболее благоприятном и наиболее неблагоприятном режимах. Самый благоприятный и самый неблагоприятный режимы определяют на основании представленных данных о выбросах CO
2 и расходе топлива во всех режимах. Выбросы CO
2 и расход топлива, измеренные по результатам испытаний в обоих режимах, усредняют (среднее арифметическое значение). Результаты испытаний в обоих режимах регистрируют.
По просьбе изготовителя и в качестве альтернативы ТС можно испытывать в выбираемом водителем режиме при самом неблагоприятном сценарии в плане уровня выбросов CO2.
Г.2.6.6.4 На основании представленных изготовителем технических данных и по согласованию с компетентным органом отдельные режимы, которые выбирает водитель, могут в особых и весьма ограниченных случаях (например, режим технического обслуживания, режим "ползучести") не учитываться. Все остальные режимы, используемые для движения вперед, учитывают, причем во всех этих режимах должны соблюдаться предельные нормы выбросов основных загрязнителей.
Г.2.6.7 Признание испытания типа 1 недействительным и завершение цикла
Если двигатель неожиданно останавливается, то предварительное кондиционирование или испытание типа 1 признают недействительным.
После завершения цикла двигатель ТС выключают и не запускают повторно до начала испытания, для целей которого ТС подвергалось предварительному кондиционированию.
Г.2.6.8 Требуемые данные, контроль качества
Г.2.6.8.1 Измерение скорости
В ходе предварительного кондиционирования скорость измеряют в зависимости от времени или с помощью системы снятия данных с частотой не менее 1 Гц, с тем чтобы можно было проконтролировать фактическую скорость движения.
Г.2.6.8.2 Пройденное расстояние
Расстояние, фактически пройденное ТС, регистрируют для каждой фазы ВЦИМГ.
Г.2.6.8.3 Допустимые отклонения от кривой скорости
В тех случаях, когда ТС не набирают ускорения и не достигают максимальной скорости, предписанных для применимого ВЦИМГ, следует полностью выжимать педаль акселератора до тех пор, пока не будут вновь достигнуты значения заданной кривой скорости. Отклонения от кривой скорости при таких обстоятельствах не являются основанием для признания испытания недействительным. Отклонения от ездового цикла регистрируют в протоколе испытания.
Если в конкретных разделах не указано иное, то с учетом ездовых условий допускаются следующие отклонения фактической скорости ТС от значения скорости, предписанного для применимых испытательных циклов:
а) Допустимое отклонение 1):
- верхний предел: на 2,0 км/ч выше самой высокой точки на графике в пределах +/- 5,0 секунд указанного времени;
- нижний предел: на 2,0 км/ч ниже самой низкой точки на графике в пределах +/- 5,0 секунд указанного времени;
б) Допустимое отклонение 2):
- верхний предел: на 2,0 км/ч выше самой высокой точки на графике в пределах +/- 1,0 с указанного времени;
- нижний предел: на 2,0 км/ч ниже самой низкой точки на графике в пределах +/- 1,0 с указанного времени.
Превышение указанных выше отклонений скорости допускается при условии, что продолжительность отклонений не будет превышать в каждом отдельном случае 1 с.
Количество таких отклонений в течение одного испытательного цикла не должно превышать десяти;
в) Допустимое отклонение 3)
В случае испытания для официального утверждения типа индексные показатели должны отвечать следующим критериям:
- ПИР должен находиться в диапазоне (-2,0 < ПИР < +4,0)%;
- СКПИС, по усмотрению договаривающейся стороны, должна быть менее 0,8 км/ч или менее 1,3 км/ч.
г) Допустимое отклонение 4)
В случае испытания для официального утверждения типа индексные показатели должны отвечать следующим критериям:
- ПИР должен находиться в диапазоне (-2,0 < ПИР < +4,0)%;
- СКПИС, по усмотрению договаривающейся стороны, должна быть менее 1,3 км/ч. По усмотрению договаривающейся стороны изготовитель может заявить менее высокое пороговое значение СКПИС.
Индексные показатели ПИР и СКПИС для хронометража ездового цикла рассчитывают с соблюдением требований
Д.7.
В
таблице Г.8 приводятся условия эксплуатации ТС и допустимые отклонения от них.
Эксплуатация ТС | Цикл прогрева для регулировки динамометра | Предварительное кондиционирование | Испытание для измерения эксплуатационных параметров после предварительного кондиционирования |
Приложения Г и Е: испытания типа 1 | | | |
<*> Допустимое отклонение, которого не видно водителю. |
Если конкретный индексный показатель выходит за рамки соответствующего диапазона допустимых значений применительно к любому из испытаний, то такие отдельные испытания признают недействительными. Допустимые отклонения от кривой скорости - на
рисунке Г.7.
Рисунок Г.7 - Допустимые отклонения от кривой скорости
Г.2.7.1 После предварительного кондиционирования и до начала испытания испытуемое ТС должно находиться в зоне с условиями окружающей среды, указанными в
Г.2.2.2.2.
Г.2.7.2 ТС выдерживают не менее 6 ч и не более 36 ч с открытым или закрытым капотом моторного отсека. Снижение температуры может быть достигнуто путем принудительного охлаждения до заданной температуры, если это не запрещено конкретными положениями для соответствующего ТС. Если процесс охлаждения ускоряют при помощи вентиляторов, то они должны быть расположены таким образом, чтобы обеспечить равномерное максимальное охлаждение трансмиссии, двигателя и системы последующей обработки отработавших газов.
Г.2.8 Испытание на выбросы и расход топлива (испытание типа 1)
Г.2.8.1 В начале испытания температура в испытательном боксе должна составлять 23 °C +/- 3 °C. Температура моторного масла и охлаждающей жидкости, если применимо, должна находиться в пределах +/- 2 °C от заданной температуры 23 °C.
Г.2.8.2 Испытуемое ТС закатывают на динамометр.
Г.2.8.2.1 Ведущие колеса ТС устанавливают на стенд без запуска двигателя.
Г.2.8.2.2 Давление в шинах ведущих колес устанавливают в соответствии с положениями
Г.2.4.5.
Г.2.8.2.3 Капот моторного отсека должен быть закрыт.
Г.2.8.2.4 Соединительный патрубок для отработавших газов присоединяют к выхлопной(ым) трубе(ам) ТС непосредственно перед запуском двигателя.
Г.2.8.2.5 Испытуемое ТС помещают на динамометрический стенд в соответствии с
В.7.3.3 -
В.7.3.3.1.
Г.2.8.3 Запуск силового агрегата и движение
Г.2.8.3.1 Процедуру запуска силового агрегата выполняют с использованием предусмотренных для этой цели устройств запуска согласно инструкциям изготовителя.
Г.2.8.4 Баланс заряда (БЗП) измеряют для каждой фазы ВЦИМГ, как определено в
Г.4.
Г.2.8.5 Фактическую скорость ТС измеряют с минимальной частотой 10 Гц; рассчитывают и записывают хронометраж ездового цикла согласно
Д.7.
Г.2.9 Отбор проб газов
Пробы газов отбирают в мешки; химический состав проб анализируют либо по окончании всего испытания или соответствующей фазы испытания, либо непрерывно с последующим интегрированием за весь цикл.
Г.2.9.1 Перед каждым испытанием выполняют процедуры в соответствии с
Г.2.9.1.1 -
Г.2.9.1.8.
Г.2.9.1.1 Опорожненные и продутые мешки для проб подсоединяют к системам отбора проб разбавленных отработавших газов и разбавляющего воздуха.
Г.2.9.1.2 Измерительные приборы включают в соответствии с инструкциями изготовителя.
Г.2.9.1.3 Теплообменник системы CVS (если он установлен) предварительно подогревают или охлаждают до температуры, соответствующей установленным для него допускам рабочей температуры при испытании, определенным в
[2] (приложение 4а).
Г.2.9.1.4 Такие элементы, как линии отбора проб, фильтры, охладители и насосы, при необходимости подогревают или охлаждают до тех пор, пока не будет достигнута и не стабилизируется их рабочая температура.
Г.2.9.1.5 Показатели расхода системы CVS устанавливают согласно
[2] (приложение 4а) и регулируют поток проб до соответствующего уровня.
Г.2.9.1.6 Все устройства электронного интегрирования устанавливают на нуль; переустановка на нуль возможна перед началом любой фазы цикла.
Г.2.9.1.7 Для всех газоанализаторов непрерывного действия выбирают соответствующие рабочие диапазоны. Диапазоны можно переключать во время испытания только в том случае, если переключение осуществляется посредством изменения диапазона калибровки с цифровым разрешением. Во время испытания переключение коэффициента усиления аналогового операционного усилителя не допускается.
Г.2.9.1.8 Все газоанализаторы непрерывного действия устанавливают на нуль и калибруют при помощи газов согласно требованиям
[2] (приложение 4а).
Г.2.10 Отбор проб для определения содержания ВЧ
| | ИС МЕГАНОРМ: примечание. В официальном тексте документа, видимо, допущена опечатка: имеются в виду п.п. Г.2.10.1.1 - Г.2.10.1.2, а не Е.2.10.1.1 - Е.2.10.1.2.2 соответственно. | |
Для полного применимого ВЦИМГ используют один фильтр для отбора проб взвешенных частиц, не прибегая к применению резервного фильтра. Для учета региональных особенностей циклов в течение первых трех фаз можно применять один фильтр, а для четвертой фазы можно использовать отдельный фильтр.
Г.2.10.1.2 Подготовка фильтра
Не менее чем за 1 ч до начала испытания фильтр помещают в чашку Петри, которая предохраняет от попадания пыли и не препятствует воздухообмену, и устанавливают для стабилизации в камеру (или помещение) для взвешивания.
По окончании периода стабилизации фильтр взвешивают, а его массу регистрируют. После этого фильтр хранят в закрытой чашке Петри или запечатанном фильтродержателе до того момента, пока он не понадобится для испытания. Фильтр следует использовать в течение 8 ч после его извлечения из камеры (или помещения) для взвешивания.
В течение 1 ч после испытания фильтр вновь помещают в стабилизационную камеру и выдерживают в ней не менее 1 ч до взвешивания.
Фильтр для отбора проб взвешенных частиц аккуратно помещают в фильтродержатель. Работа с фильтром осуществляется только при помощи пинцета или щипцов. Неосторожное обращение с фильтром или его трение приведут к искажению результатов определения массы. Фильтродержатель в сборе устанавливают в линии отбора проб без потока.
Рекомендуется проводить проверку аналитических весов в начале каждого сеанса взвешивания, за 24 ч до взвешивания пробы, путем взвешивания эталонного груза массой примерно 100 мг. Этот груз взвешивают три раза и регистрируют среднее арифметическое значение. Если среднеарифметический результат взвешиваний соответствует результату, полученному в ходе предыдущего сеанса взвешивания с отклонением +/- 5 мкг, то сеанс взвешивания признают действительным, а весы - годными.
Г.2.11 Отбор проб для определения КЧ (если применимо)
Г.2.11.1.1 Систему разбавления и измерительное оборудование, специально предназначенные для определения количества частиц, включают и готовят к отбору проб.
Г.2.11.1.2 Надлежащее функционирование таких элементов системы отбора проб частиц, как счетчик PNC и отделитель VPR, подтверждают в соответствии с процедурами:
- проверку утечки проводят с использованием фильтра с соответствующими техническими характеристиками, установленного на входе всей системы измерения КЧ, отделителя VPR и счетчика PNC; при этом измеренная концентрация должна составлять менее 0,5 частицы на см3;
- по результатам ежедневной проверки счетчика PNC при помощи нулевого газа с использованием установленного на входе PNC фильтра с надлежащими характеристиками концентрация частиц должна составлять <= 0,2 частицы на см3. При снятом фильтре, т.е. в условиях воздействия окружающего воздуха, показываемые счетчиком PNC значения замеренной концентрации должны увеличиваться не менее чем до 100 частиц на см3; после повторной установки фильтра эти значения должны возвращаться к уровню <= 0,2 частицы на см3;
- необходимо подтвердить, что согласно показаниям системы измерения температура в испарительном патрубке, если таковой установлен в системе, достигла надлежащего рабочего значения;
- необходимо подтвердить, что согласно показаниям системы измерения температура в разбавителе PND1 достигла надлежащего рабочего значения.
Г.2.12 Отбор проб во время испытания
Г.2.12.1 Включают систему разбавления, пробоотборные насосы и систему сбора данных.
Г.2.12.2 Включают также системы отбора проб для определения содержания ВЧ и, если применимо, КЧ.
Г.2.12.3 Измерение количества частиц, если применимо, производят непрерывно. Среднее арифметическое значение концентрации определяют путем интегрирования сигналов газоанализатора для каждой из фаз.
Г.2.12.4 Отбор проб начинают не позднее начала процедуры запуска силового агрегата и продолжают до завершения цикла.
Г.2.12.5 Отвод проб
Г.2.12.5.1 Газообразные выбросы
По окончании каждой фазы применимого ВЦИМГ одну пару мешков, в которые отводятся пробы разбавленных отработавших газов и разбавляющего воздуха, заменяют следующей парой мешков, если в этом есть необходимость.
Г.2.12.5.2 Взвешенные частицы
Г.2.12.6 Расстояние, пройденное на динамометре, регистрируют для каждой фазы.
Г.2.13 Завершение испытания
Г.2.13.1 По завершении последнего этапа испытания двигатель немедленно выключают.
Г.2.13.2 Систему отбора проб постоянного объема, CVS, или другое всасывающее устройство отключают либо отсоединяют патрубок для отработавших газов от выхлопной трубы или выхлопных труб ТС.
Г.2.13.3 ТС можно снимать с динамометра.
Г.2.14 Процедуры после испытания
Г.2.14.1 Проверка газоанализатора
Проверку газоанализаторов, используемых для проведения непрерывных измерений разбавленных газов, проводят с помощью нулевого и калибровочного газов. Испытание считают приемлемым, если расхождение между результатами, полученными до и после испытания, составляет менее 2% значения калибровочного газа.
Г.2.14.2 Анализ проб, содержащихся в мешках
Г.2.14.2.1 Анализ отработавших газов и разбавляющего воздуха, содержащихся в мешках, проводят как можно быстрее. Анализ отработавших газов в любом случае проводят не позднее чем через 30 мин после окончания данной фазы цикла.
При этом учитывают время реагирования химических соединений в мешке для проб.
Г.2.14.2.2 Перед анализом проверяют как можно скорее, насколько это практически осуществимо, установку на нуль шкалы газоанализатора, используемой для каждого химического соединения, с помощью соответствующего нулевого газа.
Г.2.14.2.3 Калибровочные кривые анализаторов строят по измерениям с калибровочным газом, номинальная концентрация которого составляет 70% - 100% полной шкалы.
Г.2.14.2.4 После этого производят повторную проверку установки анализаторов на нуль; если отклонение показаний любого анализатора составляет более 2% от показаний, предусматриваемых
Г.2.14.2.2, то для этого прибора процедуру повторяют.
Г.2.14.2.5 Затем проводят анализ проб.
Г.2.14.2.6 После анализа с помощью таких же газов вновь проверяют точки установки на нуль и калибровки. Испытание считают приемлемым, если отклонение не превышает 2% от значения, полученного с помощью калибровочного газа.
Г.2.14.2.7 Показатели расхода и давления различных газов, проходящих через анализаторы, должны быть такими же, какие использовались во время калибровки анализаторов.
Г.2.14.2.8 После стабилизации измерительного прибора содержание каждого химического соединения регистрируют.
Г.2.14.2.9 Массу всех выбросов и количество содержащихся в них частиц, когда это применимо, вычисляют в соответствии с
приложением Д.
Г.2.14.2.10 Калибровки и проверки проводят:
а) до и после анализа каждой пары мешков; либо
б) до и после полного цикла испытания.
В случае
б) калибровки и проверки всех анализаторов проводят по всем используемым в ходе испытания диапазонам измерений.
В обоих случаях,
а) и
б), диапазон измерения анализатора для соответствующих мешков с атмосферным воздухом и с отработавшими газами является одинаковым.
Г.2.14.3 Взвешивание фильтра для отбора проб частиц
Г.2.14.3.1 Не позднее чем через 1 ч после завершения испытания фильтр для отбора проб взвешенных частиц вновь помещают в камеру (или помещение) для взвешивания. Его выдерживают в чашке Петри, которая предохраняет от попадания пыли и не препятствует воздухообмену, в течение не менее 1 ч и взвешивают. Регистрируют полную массу фильтра.
Г.2.14.3.2 В течение 8 ч с момента взвешивания фильтра для отбора проб, но предпочтительно одновременно с ним, взвешивают по крайней мере два ранее не использовавшихся эталонных фильтра. Эталонные фильтры должны иметь тот же размер и быть изготовлены из того же материала, что и фильтр для отбора проб.
Г.2.14.3.3 Если отклонение удельного веса любого эталонного фильтра между взвешиваниями фильтра для отбора проб составляет более +/- 5 мкг, то фильтр для отбора проб и эталонные фильтры подвергают повторному кондиционированию в камере (или помещении) для взвешивания и снова взвешивают.
Г.2.14.3.4 При сопоставлении результатов взвешивания эталонного фильтра используют значения удельного веса и скользящее среднее арифметическое значение удельного веса этого эталонного фильтра. Скользящее среднее арифметическое рассчитывают по значениям удельного веса, полученным в период после переноса эталонных фильтров в камеру (или помещение) для взвешивания. Период усреднения составляет не менее одного, но не более 15 дней.
Г.2.14.3.5 До истечения 80-часового периода после измерения параметров газов при испытании на выбросы допускается неоднократное повторное кондиционирование и взвешивание фильтра для отбора проб и эталонных фильтров. Если до или на момент достижения 80-часового рубежа критерию отклонения в пределах +/- 5 мкг соответствует больше половины эталонных фильтров, то результаты взвешивания фильтра для отбора проб могут считаться достоверными. Если же используются два эталонных фильтра и на момент достижения 80-часового рубежа один из фильтров не отвечает критерию отклонения в пределах +/- 5 мкг, то результаты взвешивания фильтра для отбора проб могут считаться достоверными при условии, что сумма абсолютных разностей между значениями удельного веса и скользящими средними значениями для двух эталонных фильтров не превышает 10 мкг.
Г.2.14.3.6 Если критерию отклонения в пределах +/- 5 мкг соответствует меньше половины эталонных фильтров, то фильтр для отбора проб выбраковывают и испытание на измерение выбросов повторяют. Все эталонные фильтры выбраковывают и заменяют в течение 48 ч.
Во всех других случаях эталонные фильтры меняют не реже чем через 30 дней, причем таким образом, чтобы ни один фильтр для отбора проб не взвешивался без сопоставления с эталонным фильтром, который находился в камере (или помещении) для взвешивания не менее одного дня.
Г.2.14.3.7 Если критерии стабилизации в камере (или помещении) для взвешивания, приведенные в
[2] (приложение 4а), не соблюдаются, но результаты взвешивания эталонных фильтров соответствуют указанным выше критериям, то изготовитель ТС может либо принять результаты взвешивания использовавшегося в ходе испытаний фильтра для отбора проб, либо отклонить их, устранив неполадки в системе поддержания необходимых условий в камере (или помещении) для взвешивания и проведя испытание заново.
Г.3 Процедура испытания любых ТС, оснащенных системами периодической регенерации, для определения уровня выбросов
Г.3.1 Общие положения
| | ИС МЕГАНОРМ: примечание. В официальном тексте документа, видимо, допущена опечатка: имеется в виду п. 2.9.1, а не 2.10.1. | |
Г.3.1.1 В настоящем приложении содержатся конкретные положения, касающиеся испытания ТС, оборудованных системами периодической регенерации, определение которых приводится в
2.10.1.
Г.3.1.2 Во время циклов с регенерацией нормы выбросов могут не соблюдаться. Если в ходе испытания типа 1 периодическая регенерация происходит как минимум один раз и до этого периодическая регенерация уже происходила не менее одного раза в период подготовки ТС либо расстояние между двумя последовательными периодическими циклами регенерации превышает 4000 км, пройденных в результате повторных прогонов в рамках испытания типа 1, то специальной процедуры испытания не требуется. В этом случае настоящее приложение не применяют и используют значение коэффициента Ki, равное 1,0.
Г.3.1.3 Положения настоящего приложения не применяют для определения КЧ в выбросах.
Г.3.1.4 По просьбе изготовителя и с одобрения компетентного органа специальную процедуру испытания, применяемую к системам периодической регенерации, можно не использовать для устройства регенерации, если изготовитель представляет данные, которые подтверждают, что в ходе циклов, в течение которых происходит регенерация, уровень выбросов остается ниже предельных значений, применяемых данной договаривающейся стороной к соответствующей категории ТС. В этом случае для расчета уровня выбросов CO2 и расхода топлива используют фиксированное значение коэффициента Ki, равное 1,05.
Г.3.2 Процедура испытания
Для испытуемого ТС должна быть предусмотрена возможность блокирования или инициирования процесса регенерации при условии, что данная операция не оказывает влияния на первоначальную калибровку двигателя. Предотвращение регенерации допускается только в процессе нагрузки системы регенерации и в ходе циклов предварительного кондиционирования. Оно не допускается во время измерения уровня выбросов на стадии регенерации. Испытание на выбросы проводят с немодифицированным блоком управления изготовителя оригинального оборудования (ИОО). По просьбе изготовителя и с согласия компетентного органа при определении коэффициента Ki можно использовать "технический блок управления", не оказывающий влияния на первоначальную калибровку двигателя.
Г.3.2.1 Измерение уровня выбросов отработавших газов между двумя ВЦИМГ с фазами регенерации
Г.3.2.1.1 Среднеарифметические уровни выбросов между фазами регенерации и в процессе нагрузки устройства регенерации определяют на основе среднего арифметического значения нескольких приблизительно равноотстоящих (если больше двух) испытаний типа 1. В качестве альтернативы изготовитель может представить данные, подтверждающие, что уровень выбросов между фазами регенерации остается в ходе ВЦИМГ постоянным (+/- 15%). В этом случае можно использовать данные о выбросах, измеренных в ходе испытания типа 1. В противном случае проводят измерения уровня выбросов, по крайней мере, в течение двух рабочих циклов типа 1: одно - сразу после регенерации (до новой нагрузки) и одно - как можно ближе к началу фазы регенерации. Все измерения уровня выбросов проводят в соответствии с настоящим приложением, а все расчеты - в соответствии с
Г.3.3.
Г.3.2.1.2 Процесс нагрузки и определение коэффициента
Ki осуществляют в ходе ездового цикла типа 1 на динамометрическом стенде или на стенде испытания двигателя с использованием эквивалентного цикла испытания. Эти циклы можно осуществлять непрерывно (т.е. без необходимости отключения двигателя между циклами). После завершения определенного количества циклов транспортное средство может быть снято с динамометрического стенда, а испытания продолжают позднее.
В случае ТС классов 2 и 3 по просьбе изготовителя и с согласия компетентного органа допускается определение коэффициента Ki либо с учетом, либо без учета фазы сверхвысокой скорости.
По просьбе изготовителя и с одобрения компетентного органа изготовитель может разработать альтернативную процедуру подтверждения эквивалентности на основе, в частности, температуры фильтра, насыщения фильтра и пройденного расстояния. Для такого подтверждения можно использовать стенд для испытания двигателя или динамометрический стенд.
Г.3.2.1.3 Количество циклов D между двумя ВЦИМГ с фазами регенерации, количество циклов с измерением уровня выбросов n и результаты измерения массы выбросов M'sij по каждому химическому соединению i в ходе каждого цикла у регистрируют.
Г.3.2.2 Измерение уровня выбросов в ходе фаз регенерации
| | ИС МЕГАНОРМ: примечание. В официальном тексте документа, видимо, допущена опечатка: имеется в виду п. Г.2.6, а не Г.3.2.6. | |
Г.3.2.2.1 Подготовку ТС, если она необходима, к испытанию на измерение уровня выбросов в ходе фазы регенерации можно осуществлять в ходе циклов предварительного кондиционирования, указанных в
Г.3.2.6, или эквивалентных циклов испытания двигателя на стенде в зависимости от процедуры нагрузки, выбранной в соответствии с
Г.3.2.1.2.
Г.3.2.2.2 До проведения первого зачетного испытания на выбросы действуют условия, касающиеся испытаний и состояния ТС при испытании типа 1, определенные в настоящем стандарте.
Г.3.2.2.3 В ходе подготовки ТС регенерация не проводится. Это можно обеспечить при помощи одного из следующих методов:
а) в ходе циклов предварительного кондиционирования можно использовать "фиктивную" систему регенерации или неполную систему;
б) можно использовать любой другой метод, согласованный между изготовителем и компетентным органом.
Г.3.2.2.4 Испытание на выбросы отработавших газов в условиях запуска холодного двигателя с использованием процесса регенерации проводят в соответствии с применимым ВЦИМГ.
Г.3.2.2.5 Если для процесса регенерации требуется более одного ВЦИМГ, то каждый ВЦИМГ должен быть завершен. Допускается использование одного и того же пробоотборного фильтра взвешенных частиц для нескольких циклов, необходимых для завершения процесса регенерации.
Если требуется более одного ВЦИМГ, то последующий(е) цикл(ы) ВЦИМГ проводят незамедлительно, не выключая двигатель до тех пор, пока не будет проведена полная регенерация. В случае, когда число мешков для сбора газообразных выбросов, требуемых для нескольких циклов, превышает число имеющихся мешков, время, необходимое для подготовки нового испытания, должно быть как можно более коротким. На этот период двигатель не выключают.
Г.3.2.2.6 Уровень выбросов в процессе регенерации,
Mri, по каждому химическому соединению
i рассчитывают в соответствии с
Г.3.3. Количество применимых испытательных циклов
r, которые были пройдены для завершения регенерации и в ходе которых проводились измерения, регистрируют.
Г.3.3.1 Расчет уровня выбросов отработавших газов, выбросов CO2 и расхода топлива системой разовой регенерации вычисляют по формулам:

(Г.4)

(Г.5)

, (Г.6)
где для каждого анализируемого химического соединения i:
M'sij - массовый показатель выбросов химического соединения i в ходе испытательного цикла j без регенерации, г/км;
M'rij - массовый показатель выбросов химического соединения i в ходе испытательного цикла j в процессе регенерации (если d > 1, то первое испытание ВЦИМГ проводят в условиях холодного запуска, а последующие - на прогретом двигателе), г/км;
Msi - средний массовый показатель выбросов химического соединения i без регенерации, г/км;
Mri - средний массовый показатель выбросов химического соединения i в процессе регенерации, г/км;
Mpi - средний массовый показатель выбросов химического соединения i, г/км;
n - количество испытательных циклов между циклами с фазами регенерации, во время которых производятся замеры уровня выбросов по ВЦИМГ типа 1, >= 1;
d - количество полных применимых испытательных циклов, требуемых для регенерации;
D - количество полных применимых испытательных циклов между двумя циклами с фазами регенерации.
Рисунок Г.8 - Параметры, измеряемые в ходе испытания
на выбросы во время циклов с регенерацией и между ними
(условный пример, выбросы на этапе D могут
увеличиваться или уменьшаться)
Г.3.3.1.1 Расчет коэффициента регенерации Ki для каждого анализируемого химического соединения i
Изготовитель может принять решение о том, чтобы определить отдельно для каждого химического соединения либо аддитивные поправки, либо мультипликативные коэффициенты.
Коэффициент
Ki:

.
Поправка Ki: Ki = Mpi - Msi.
Результаты Msi, Mpi и Ki и тип коэффициента, выбранного изготовителем, регистрируют.
Величину
Ki можно определять по завершении одной серии регенерации, включающей измерения, производимые до, в ходе и после фаз регенерации, как показано на
рисунке Г.7.
Г.3.3.2 Расчет уровня выбросов отработавших газов, выбросов CO2 и расхода топлива системой многоразовой периодической регенерации
Нижеследующие расчеты проводят по всему рабочему циклу типа 1 в целях определения уровня выбросов основных загрязнителей и выбросов CO
2. Объем выбросов CO
2, используемый для такого расчета, получают в результате применения
шага 3, указанного в таблице Д.1.

(Г.7)

(Г.8)

, (Г.9)

, (Г.10)

, (Г.11)

. (Г.12)
Коэффициент
Ki:

.
Поправка Ki: Ki = Mpi - Msi.
где Msik - средний массовый показатель выбросов химического соединения i для фазы k без регенерации, г/км;
M'sik,j - массовый показатель выбросов химического соединения i для фазы k без регенерации, измеренных в точке j, когда 1 <= j <= nk, г/км;
nk - количество полных испытательных циклов в фазе k между двумя циклами с фазами регенерации, во время которых производятся замеры уровня выбросов (циклы ВЦИМГ типа 1 или эквивалентные циклы испытания двигателя на стенде), nk >= 2;
Mrik - средний массовый показатель выбросов химического соединения i для фазы k в процессе регенерации, г/км;
M'rik,j - массовый показатель выбросов химического соединения i для фазы k в процессе регенерации (если j > 1, то первое испытание типа 1 проводят в условиях холодного запуска, а последующие - на прогретом двигателе), измеренных в ходе испытательного цикла j, когда 1 <= j <= dk, г/км;
dk - количество полных применимых испытательных циклов в фазе k, требуемых для полной регенерации;
Msi - средний массовый показатель выбросов химического соединения i для всех фаз k без регенерации, г/км;
Dk - количество полных применимых испытательных циклов в фазе k между двумя циклами с фазами регенерации;
Mri - средний массовый показатель выбросов химического соединения i для всех фаз k в процессе регенерации, г/км;
Mpi - средний массовый показатель выбросов химического соединения i для всех фаз k, г/км;
X - количество полных циклов регенерации.
Рисунок Г.9 - Параметры, измеряемые в ходе испытания
на выбросы во время циклов с регенерацией и между
ними (условный пример)
Расчет коэффициента Ki для систем многоразовой периодической регенерации возможен только после реализации определенного количества циклов регенерации для каждой системы.
После завершения полной процедуры (A - B, см.
рисунок Г.9) следует вновь обеспечить первоначальные исходные условия A.
Г.3.3.3 Мультипликативные коэффициенты Ki и аддитивные поправки Ki округляют до четырех знаков после запятой. В случае поправок Ki округление проводят исходя из физической величины, в которой выражено значение нормы выбросов.
Г.4 Процедура испытаний на проверку перезаряжаемой системы аккумулирования электроэнергии
Г.4.1 Общие положения
В случае испытания ГЭМ-БЗУ, ГЭМ-ВЗУ, ГТСТЭ-БЗУ и ГТСТЭ-ВЗУ применяют требования
Е.6 -
Е.8.
В настоящем пункте содержатся конкретные положения, касающиеся корректировки результатов испытания на определение массы выбросов CO
2 в зависимости от баланса энергии

всех ПСАЭ.
Скорректированные значения массы выбросов CO
2 соответствуют нулевому балансу энергии

и рассчитываются с использованием поправочного коэффициента, определяемого в указанном порядке.
Г.4.2 Измерительные средства и оборудование
Г.4.2.1 Измерение силы тока
При полной разрядке ПСАЭ считают, что ток имеет отрицательное значение.
Г.4.2.1.1 В ходе испытаний силу тока в ПСАЭ измеряют при помощи преобразователя тока зажимного или закрытого типа. Система измерения силы тока должна отвечать требованиям, приведенным в
таблице Е.1. Преобразователь(и) тока должен (должны) выдерживать пиковые значения тока при запуске двигателя и температурных условиях в точке измерения.
В целях обеспечения точности измерения перед началом испытания производят настройку на нуль и размагничивание в соответствии с инструкциями изготовителя прибора.
Г.4.2.1.2 Преобразователи тока (для любой ПСАЭ) устанавливают на проводе, который непосредственно подсоединен к ПСАЭ и рассчитан на ее полный ток.
В случае экранированных проводов применяют соответствующие методы по согласованию с компетентным органом.
Для облегчения измерения силы тока в ПСАЭ с использованием внешнего измерительного оборудования изготовителям желательно предусмотреть надлежащие безопасные и доступные разъемы на ТС. Если это невозможно обеспечить практически, то изготовитель оказывает поддержку компетентному органу путем предоставления соответствующих устройств подсоединения преобразователя тока к проводам ПСАЭ, описанным выше образом.
Г.4.2.1.3 Измеряемую силу тока интегрируют во

диапазоне с минимальной частотой 20 Гц, что позволяет получить измеряемое значение
Q, выражаемое в ампер-часах (А·ч). Интегрирование можно проводить при помощи системы измерения силы тока.
Г.4.2.2 Данные бортовых приборов ТС
Г.4.2.2.1 В качестве варианта силу тока в ПСАЭ определяют на основе данных бортовых приборов ТС. Этот метод измерения можно применять в том случае, если приборы испытуемого ТС обеспечивают вывод следующих данных:
а) интегрированный баланс заряда после последнего включения зажигания, в А·ч;
б) интегрированный баланс заряда согласно приборам ТС, рассчитываемый с минимальной частотой 5 Гц;
в) баланс заряда, выводимый на разъем системы БД, в соответствии с требованиями
[11].
Г.4.2.2.2 Точность данных измерения зарядки и разрядки ПСАЭ при помощи бортовых приборов подтверждается изготовителем компетентному органу.
Изготовитель может создать семейство ТС по критерию контроля за ПСАЭ в порядке подтверждения правильности данных измерения зарядки и разрядки ПСАЭ при помощи бортовых приборов. Точность данных измерения подтверждается на репрезентативном ТС.
Применительно к семейству ТС действительными считаются следующие критерии:
а) одинаковые процессы сжигания топлива (т.е. принудительное зажигание, воспламенение от сжатия, двухтактный, четырехтактный);
б) одинаковые алгоритмы зарядки и/или рекуперации (программный модуль данных ПСАЭ);
в) возможность вывода данных на бортовые приборы;
г) одинаковый баланс заряда, измеряемый модулем данных ПСАЭ;
д) одинаковая схема имитации измерения баланса заряда бортовыми приборами.
Г.4.2.2.3 Из контрольной проверки исключаются все ПСАЭ, не оказывающие влияния на массу выбросов CO2.
Г.4.3 Процедура корректировки с учетом изменения уровня электроэнергии ПСАЭ
Г.4.3.1 Измерение силы тока в ПСАЭ начинают в момент начала испытания и прекращают сразу же после прохождения ТС полного ездового цикла.
Г.4.3.2 В качестве меры разницы в уровне электроэнергии, которая остается в системе ПСАЭ в конце цикла по сравнению с его началом, используют баланс электроэнергии, Q, измеряемый в системе электроснабжения. Баланс электроэнергии определяют для полного пройденного ВЦИМГ.
Г.4.3.3 По пройденным фазам цикла регистрируют отдельные значения Qphase.
Г.4.3.4 Корректировка уровня выбросов CO2 по массе за весь цикл с учетом критерия корректировки, c
| | ИС МЕГАНОРМ: примечание. Нумерация пунктов дана в соответствии с официальным текстом документа. | |
Е.4.3.4.1 Расчет критерия корректировки, c
Критерий корректировки,
c, представляющий собой соотношение между абсолютным изменением уровня электроэнергии

и энергетичностью топлива, вычисляют по формуле

, (Г.13)
где

- изменение уровня электроэнергии всех ПСАЭ за период
j, определенное в соответствии с
Г.4.4.1, Вт·ч;
j - здесь весь применимый испытательный цикл ВПИМ;
Efuel - энергетичность топлива, вычисляемая по формуле
Efuel = 10·HV·d, (Г.14)
где Efuel - энергоемкость топлива, израсходованного за применимый испытательный цикл ВПИМ, Вт·ч;
HV - теплотворная способность согласно
таблице Г.9, кВт·ч/л;
FCnb - несбалансированный расход топлива в ходе испытания типа 1 (без корректировки на баланс энергии), определенный в соответствии с
Д.6 на основе расчетов в рамках
шага N 2 по таблице Д.1 с использованием результатов измерения уровней выбросов основных загрязнителей и CO
2, л/100 км;
d - расстояние, пройденное за соответствующий применимый испытательный цикл ВПИМ, км;
10 - коэффициент пересчета в Вт·ч.
Таблица Г.9
Топливо | Бензин | Дизельное топливо | СНГ | КПГ |
Содержание этанола/биодизельного топлива, % | E0 | E5 | E10 | E15 | E22 | E85 | E100 | B0 | B5 [B5H] | B7 | B20 | B100 | - | - |
Теплотворная способность, кВт·ч/л | 8,92 | 8,78 | 8,64 | 8,50 | 8,30 | 6,41 | 5,95 | 9,85 | 9,80 | 9,79 | 9,67 | 8,90 | | 11,39 МДж/м3 |
<1>  - плотность испытательного топлива при температуре 15 °C (кг/л). |
Г.4.3.4.2 К корректировке прибегают в том случае, если

имеет отрицательное значение (что соответствует разрядке ПСАЭ).
По просьбе изготовителя пренебречь корректировкой и использовать нескорректированные значения можно в том случае, когда:
а)

имеет положительное значение (что соответствует зараженности ПСАЭ);
б) изготовитель в состоянии представить компетентному органу результаты измерений, свидетельствующие об отсутствии зависимости между

и массой выбросов CO
2, а также между

и расходом топлива соответственно.
Г.4.3.4.3 Корректировкой пренебрегают и используют нескорректированные значения в том случае, когда критерий корректировки, c, рассчитанный по
Г.4.3.4.1, не выходит за рамки применимого порогового значения согласно
таблице Г.10.
Таблица Г.10
Пороговые значения для критериев корректировки на БЗП
Цикл | Скорость: низкая + средняя | Скорость: низкая + средняя + высокая | Скорость: низкая + средняя + высокая + сверхвысокая |
Пороговые значения для критерия корректировки, c | 0,015 | 0,01 | 0,005 |
Г.4.3.4.4 Можно пренебречь корректировкой и использовать нескорректированные значения в том случае, когда:
а)

имеет положительное значение (что соответствует заряженности ПСАЭ), а критерий корректировки, c, рассчитанный по
Г.4.3.4.1, выходит за рамки применимого порогового значения согласно
таблице Г.10;
б) изготовитель в состоянии представить компетентному органу результаты измерений, свидетельствующие об отсутствии зависимости между

и массой выбросов CO
2, а также между

и расходом топлива соответственно.
Г.4.4 Применение функции корректировки
Г.4.4.1 Для применения функции корректировки рассчитывают изменение уровня электроэнергии

всех ПСАЭ за период
j на основе измеренного значения силы тока и номинального напряжения:

, (Г.15)
где

- изменение уровня электроэнергии
i-й ПСАЭ за рассматриваемый период
j, Вт·ч, вычисляемое по формуле

, (Г.16)
где
UREESS - номинальное напряжение ПСАЭ, определенное в соответствии с
[15], В;
I(
t)
j,i - сила тока в
i-й ПСАЭ за рассматриваемый период
j, определенная в соответствии с
В.4.2, А;
t0 - время начала рассматриваемого периода j, с;
tend - время завершения рассматриваемого периода j, с;
I - порядковый номер соответствующей ПСАЭ;
n - общее количество ПСАЭ;
j - порядковый номер рассматриваемого периода, причем под периодом понимается любая фаза применимого цикла, любое сочетание фаз цикла или весь применимый цикл;

- коэффициент пересчета из Вт·с в Вт·ч.
Г.4.4.2 Для корректировки уровня выбросов CO
2 по массе, г/км, используют коэффициенты Вилланса как функцию процесса сгорания топлива, которые приведены в
таблице Г.11.
Таблица Г.11
Наименование показателя | Без наддува | С наддувом |
Принудительное зажигание | Бензин (E0) | л/МДж | 0,0733 | 0,0778 |
г CO2/МДж | 175 | 186 |
Бензин (E5) | л/МДж | 0,0744 | 0,0789 |
г CO2/МДж | 174 | 185 |
Бензин (E10) | л/МДж | 0,0756 | 0,0803 |
| г CO2/МДж | 174 | 184 |
КПГ (G20) | м3/МДж | 0,0719 | 0,0764 |
г CO2/МДж | 129 | 137 |
СНГ | л/МДж | 0,0950 | 0,101 |
г CO2/МДж | 155 | 164 |
E85 | л/МДж | 0,102 | 0,108 |
г CO2/МДж | 169 | 179 |
Воспламенение от сжатия | Дизельное топливо (B0) | л/МДж | 0,0611 | 0,0611 |
г CO2/МДж | 161 | 161 |
Дизельное топливо (B5) [и B5H] | л/МДж | 0,0611 | 0,0611 |
г CO2/МДж | 161 | 161 |
Дизельное топливо (B7) | л/МДж | 0,0611 | 0,0611 |
г CO2/МДж | 161 | 161 |
Г.4.4.3 Корректировку проводят по всему циклу и отдельно по каждой фазе цикла; полученные значения регистрируют.
Г.4.4.4 Для целей этого конкретного вычисления используют постоянное значение КПД генератора переменного тока системы электроснабжения:

для генераторов переменного тока системы электроснабжения ПСАЭ.
Г.4.4.5 Результирующую разницу в уровне выбросов CO
2 по массе за рассматриваемый период
j,

, г/км, обусловленную нагрузочными характеристиками генератора переменного тока для зарядки ПСАЭ, вычисляют по формуле

, (Г.17)
где

- изменение уровня электроэнергии ПСАЭ за рассматриваемый период
j, рассчитанное в соответствии с
Г.4.4.1, Вт·ч;
dj - расстояние, пройденное за рассматриваемый период j, км;
j - порядковый номер рассматриваемого периода, причем под периодом понимается любая фаза применимого цикла, любое сочетание фаз цикла или весь применимый цикл;
0,0036 - коэффициент пересчета из Вт·ч в МДж;

- КПД генератора переменного тока согласно
Г.4.4.4;
Willansfactor - коэффициент Вилланса как функция процесса сгорания топлива, определенный в
таблице Г.11, г CO
2/МДж.
Г.4.4.5.1 Значения CO2 для каждой фазы и всего цикла корректируют следующим образом:

(Г.18)

, (Г.19)
где

- результат по периоду
j, указанный в Г.4.4.5, г/км.
(обязательное)
Д.1 Общие требования
Д.1.1 Если в
приложении Е не указано иное, то все требования и процедуры, изложенные в настоящем приложении, распространяются на ГЭМ-БЗУ, ГЭМ-ВЗУ, ГТСТЭ-БЗУ и ПЭМ.
Д.1.2 К этапам расчета по
Д.1.4 настоящего приложения прибегают исключительно в случае ТС, работающих только от ДВС.
Д.1.3 Округление результатов испытания
Д.1.3.1 За исключением тех случаев, когда это требуется, промежуточные результаты расчетов не округляют.
Д.1.3.2 Окончательные результаты измерения выбросов основных загрязнителей округляют согласно
разделу 6 до такого числа знаков после запятой, которое предусмотрено применимым стандартом на выбросы, плюс одна значащая цифра.
Д.1.3.3 Регистрируемый поправочный коэффициент на
NOx,
KH, округляют согласно
разделу 6 до двух знаков после запятой.
Д.1.3.4 Регистрируемый коэффициент разбавления,
DF, округляют согласно
разделу 6 до двух знаков после запятой.
Д.1.3.5 Если соответствующая информация не указана в стандартах, то руководствуются квалифицированным инженерно-техническим заключением.
Д.1.4 Пошаговая процедура расчета окончательных результатов испытания для транспортных средств с ДВС
Расчет результатов выполняют в порядке, указанном в
таблице Д.1. Все применимые результаты в
колонке "Выходные данные" регистрируют. В
колонке "Порядок" указаны пункты, на основании которых производится расчет или приводятся дополнительные уравнения для расчета.
Таблица Д.1
Процедура расчета окончательных результатов испытания
(показатель FE применим только для 3-фазного испытания
по ВПИМ)
Номер шага | Источник | Исходные данные | | |
1 | | Необработанные результаты испытания | |  , г/км |
| | Mi,p,1, г/км;  , г/км | Расчет значений за полный цикл:  ,  , где  - результаты измерения уровня выбросов за весь цикл; dp - расстояние, пройденное в течение фаз цикла, p |  , г/км |
| |  , г/км;  , г/км | Корректировка на БЗП |  , г/км;  , г/км |
| | Mi,c,2, г/км;  , г/км | Процедура испытания всех ТС, оснащенных системами периодической регенерации, для определения уровня выбросов, Ki. Mi,c,4 = Ki·Mi,c,2 или Mi,c,4 = Ki + Mi,c,2 и или При определении Ki используют аддитивную поправку или мультипликативный коэффициент. Если Ki не применяют, то: Mi,c,4 = Mi,c,2 |  , г/км |
4б | |  , г/км;  , г/км;  , г/км | Если применяют Ki, то соответствующие фазе значения для CO2 корректируют с учетом значения за полный цикл: применительно к каждой фазе p цикла, где  Если Ki не применяют, то: |  , г/км |
| | ИС МЕГАНОРМ: примечание. Здесь и далее в официальном тексте документа, видимо, допущены опечатки: имеется в виду п. Д.6, а не Г.6. | |
|
4с | С учетом результатов по четырем фазам. | Mi,c,4a, г/км;  , г/км | Если эти значения не используются для цели проверки соответствия производства, то: Mi,c,4c = Mi,c,4a | |
С учетом результатов по трем фазам. | Mi,c,4a, г/км;  , г/км; | Расчет показателя топливной экономичности ( FEc,4c_temp) по Г.6. Если это значение не используется для цели проверки соответствия производства, то: FEc,4c = FEc,4c_temp | FEc,4c, км/л |
5 Результат единичного испытания | |  , г/км;  , г/км | Замещающий показатель с учетом дополнительных коррективов, если применимо. В противном случае: |  , г/км;  , г/км |
Mi,c,4c, г/км; FEc,4c, км/л | Показатели ухудшения, применяемые к показателям выбросов основных загрязнителей. Mi,c,5 = Mi,c,4c | Mi,c,5, г/км; FEc,5, км/л |
| С учетом результатов по четырем фазам. | По каждому испытанию: Mi,c,5, г/км;  , г/км;  , г/км | Усреднение результатов испытаний и заявленное значение. |  , г/км;  , г/км;  , г/км |
С учетом результатов по трем фазам. | FEc,5, км/л | Усреднение результатов испытаний и заявленное значение. Преобразование из FEc,declared в  производят для применимого цикла в соответствии с Г.6. Для этой цели используют значение уровня выбросов основных загрязнителей, полученное по применимому циклу | FEc,declared, км/л; FEc,6, км/л;  , г/км |
| | Mi,c,6, г/км;  , г/км;  , г/км;  , г/км | Корректировка соответствующих фазе значений и |  , г/км;  , г/км |
8 Результат испытания типа 1 для испытуемого ТС | | Mi,c,6, г/км;  , г/км;  , г/км | Расчет расхода топлива с преобразованием полученного только по фазе значения в топливную экономичность. Расход топлива рассчитывают отдельно по применимому циклу и его фазам. С этой целью используют: а) значения уровня выбросов CO2, полученные по применимой фазе или применимому циклу; б) значение уровня выбросов основных загрязнителей, полученное по всему циклу; и Mi,c,8 = Mi,c,6 | FCp,8, л/100 км; FEc,8, км/л; FEp,8, км/л; Mi,c,8, г/км;  , г/км;  , г/км |
9 Результат по интерполяционному семейству с учетом результатов по четырем фазам. Окончательный результат по выбросам основных загрязнителей | | По каждому из испытуемых транспортных средств H и L: Mi,c,8, г/км;  , г/км;  , г/км; FCc,8, л/100 км; FCp,8, л/100 км; FEc,8, км/л; FEp,8, км/л | С учетом результатов по четырем фазам Если помимо испытуемого ТС H испытанию подвергалось также испытуемое ТС L и - в случае применимости - ТС M, то за результирующее значение уровня выбросов основных загрязнителей принимают наибольшее из двух или - в случае применимости - трех значений, которое обозначают как Mi,c. В случае объема выбросов THC + NOx в смешанном цикле используют наибольшее значение по сумме, рассчитанной применительно либо к ТС L, либо к ТС H. Если же никакое ТС L испытанию не подвергалось, то Mi,c = Mi,c,8. Что касается CO 2, топливной экономичности ( FE) и расхода топлива ( FC), то используют значения, определенные в рамках шага 8; значения для CO 2 округляют согласно разделу 6 до одной сотой, а для FE и FC - до одной тысячной |  , г/км;  , г/км; FCc,H, л/100 км; FCp,H, л/100 км; FEc,H, км/л; FEp,H, км/л; если же испытывалось транспортное средство L:  , г/км;  , г/км; FCc,L, л/100 км; FCp,L, л/100 км; FEc,L, км/л; FEp,L, км/л |
10 Результат по отдельному ТС. Окончательный результат по CO 2, FE и FC | |  , г/км;  , г/км; FCc,H, л/100 км; FCp,H, л/100 км; FEc,H, км/л; FEp,H, км/л; если же испытывалось ТС L:  , г/км;  , г/км;  , л/100 км; FCp,L, л/100 км; FEc,L, км/л; FEp,L, км/л | Расчет расхода топлива, топливной экономичности и уровня выбросов CO2 для отдельных ТС, относящихся к соответствующему интерполяционному семейству. Расчет расхода топлива, топливной экономичности и уровня выбросов CO2 для отдельных ТС, относящихся к соответствующему семейству по матрице дорожных нагрузок. Значение уровня выбросов CO2, выражаемое в граммах на километр (г/км), округляют до ближайшего целого числа; значения FC, выражаемые в (л/100 км), округляют согласно разделу 6 до одной десятой; значения FE, выражаемые в (км/л), округляют согласно разделу 6 до одной десятой |  , г/км;  , г/км; FCc,ind, л/100 км; FCp,ind, л/100 км; FEc,ind, км/л; FEp,ind, км/л |
Примечание - В настоящей таблице приведены следующие обозначения: c - полный применимый цикл; p - каждая фаза применимого цикла; i - каждый соответствующий основной загрязнитель, содержащийся в выбросах, кроме CO2; CO2 - выбросы CO2. |
Д.2 Определение объема разбавленных отработавших газов
Д.2.1 Расчет объема для устройства переменного разбавления, способного работать при постоянной или переменной скорости потока
Объемный расход измеряют непрерывно. Для всего испытания измеряют суммарный объем.
Д.2.2 Расчет объема для устройства переменного разбавления с нагнетательным насосом
Д.2.2.1 Объем рассчитывают по следующему уравнению:
V = V0·N, (Д.1)
где V - объем разбавленных отработавших газов, в литрах на испытание (до корректировки);
V0 - объем газа, поданный нагнетательным насосом при испытательных условиях, в литрах на оборот вала насоса;
N - число оборотов за испытание.
Д.2.2.1.1 Приведение объема к стандартным условиям
Объем разбавленных отработавших газов, Vmix, приводят к стандартным условиям по следующему уравнению:

, (Д.2)
где

;
Pб - барометрическое давление в испытательном боксе, кПа;
P1 - разрежение на входе нагнетательного насоса по отношению к окружающему барометрическому давлению, кПа;
Tр - средняя арифметическая температура разбавленных отработавших газов, поступающих в нагнетательный насос в ходе испытания, К.
Д.3.1 Общие требования
Д.3.1.1 Если допустить отсутствие эффекта сжимаемости, то все газы, участвующие в работе двигателя в процессе впуска, сжигания и выброса, можно считать идеальными в соответствии с гипотезой Авогадро.
Д.3.1.2 Массу M газообразных соединений, выделенных ТС во время испытания, определяют путем умножения объемной концентрации соответствующего газа на объем разбавленных отработавших газов с учетом следующих значений плотности при эталонных условиях 273,15 К (0 °C) и 101,325 кПа:
- моноксид углерода (СО)

;
- диоксид углерода (CO
2)

;
- углеводороды:
- для бензина (E0)

;
- для бензина (E5)

;
- для бензина (E10)

;
- для дизельного топлива (B0)

;
- для дизельного топлива (B5) [и B5H]

;
- для дизельного топлива (B7)

;
- для СНГ

;
- для ПГ/биометана

;
- для этанола (E85)

;
- формальдегид (если применимо)

;
- ацетальдегид (если применимо)

;
- этанол (если применимо)

;
- оксиды азота (NO
x)

;
- диоксид азота (NO
2) (если применимо)

;
- закись азота (N
2O) (если применимо)

.
Показатель плотности, используемый для расчета массовой доли NMHC, принимают равным показателю для расчета массовой доли всех углеводородов при 273,15 К (0 °C) и 101,325 кПа; этот показатель зависит от вида топлива. Показатель плотности, используемый для расчета массовой доли пропана, составляет 1,967 г/л при стандартных условиях.
В случае вида топлива, не указанного в настоящем пункте, показатель его плотности рассчитывают по
уравнению, приведенному в Д.3.1.3.
Д.3.1.3 Общее уравнение для расчета суммарной плотности углеводородов, включая неметановые углеводороды,

, г/л, применительно к каждому эталонному топливу со средним составом C
XH
YO
Z имеет следующий вид:

(Д.3)
где MWC - молярная масса углерода (12,011 г/моль);
MWH - молярная масса водорода (1,008 г/моль);
MWO - молярная масса кислорода (15,999 г/моль);
VM - молярный объем идеального газа при 273,15 К (0 °C) и 101,325 кПа (22,413 л/моль);
H/C - соотношение водорода и углерода для топлива с конкретным составом CXHYOZ;
O/C - соотношение кислорода и углерода для топлива с конкретным составом CXHYOZ.
Д.3.2 Расчет массы выбросов
Д.3.2.1 Массовый показатель выбросов химического соединения
i за испытание или фазу,
Mi, г/км; вычисляют с помощью следующего уравнения:

, (Д.4)
где Vmix,phase - объем разбавленных отработавших газов за испытание или фазу, выраженный в литрах на испытание/фазу и приведенный к стандартным условиям (273,15 К (0 °C) и 101,325 кПа);

- плотность химического соединения
i в граммах на литр при стандартных значениях температуры и давления (273,15 К (0 °C) и 101,325 кПа);
KH - коэффициент поправки на влажность, используемый только для расчета массы выбросов оксидов азота, NO2 и NOx за испытание или фазу;
Ci,phase - концентрация химического соединения i в разбавленных отработавших газах, выраженная в млн-1 на испытание или фазу и скорректированная на количество химического соединения i, содержащегося в разбавляющем воздухе;
d - расстояние, пройденное в течение применимого ВЦИМГ, км.
Д.3.2.1.1 Концентрацию газообразного соединения
i в разбавленных отработавших газах, скорректированную на содержание данного газообразного соединения
i в разбавляющем воздухе,
Ci, млн
-1, корректируют с помощью следующего уравнения

, (Д.5)
где Ce - измеренная концентрация газообразного соединения i в разбавленных отработавших газах, млн-1;
Cd - концентрация газообразного соединения i в разбавляющем воздухе, млн-1;
DF - коэффициент разбавления.
Коэффициент разбавления DF для каждого соответствующего топлива вычисляют по формулам:
для бензина (E5, E10) и дизельного топлива (B0)

, (Д.6)
для бензина (E0)

, (Д.7)
для дизельного топлива (B5, [B5H] и B7)

, (Д.8)
для СНГ

, (Д.9)
для ПГ/биометана

, (Д.10)
для этанола (E85)

, (Д.11)
для водорода

, (Д.12)
где (применительно к формуле для водорода)

- концентрация H
2O в разбавленных отработавших газах, содержащихся в мешке для проб, % объема;

- концентрация H
2O в разбавляющем воздухе, % объема;

- концентрация H
2 в разбавленных отработавших газах, содержащихся в мешке для проб, млн
-1.
В случае вида топлива, не указанного в настоящем пункте, коэффициент
DF для этого топлива вычисляют по
формуле (Д.14).
Если изготовитель использует один DF с охватом нескольких фаз, то он рассчитывает такой коэффициент по средней концентрации газообразных соединений для соответствующих фаз.
Среднюю концентрацию газообразного соединения

вычисляют по формуле

, (Д.13)
где Ci,phase - концентрация в каждой фазе;
Vmix,phase - объем разбавленных отработавших газов, Vmix, за соответствующую фазу;
n - количество фаз.
Общее уравнение для расчета коэффициента разбавления DF для каждого эталонного топлива со среднеарифметическим составом CxHyOz записывают в следующем виде:

, (Д.14)

(Д.15)

- концентрация CO
2 в разбавленных отработавших газах, содержащихся в мешке для проб, % объема;
CHC - концентрация HC в разбавленных отработавших газах, содержащихся в мешке для проб, млн-1 углеродного эквивалента;
CCO - концентрация CO в разбавленных отработавших газах, содержащихся в мешке для проб, млн-1.
Измерение содержания метана
В целях измерения содержания метана при помощи газового хроматографа с детектором FID скорректированную концентрацию NMHC в разбавленных отработавших газах CNMHC, млн-1, углеродного эквивалента, вычисляют по формуле

, (Д.16)
где CTHC - совокупная концентрация углеводородов (THC) в разбавленных отработавших газах, млн-1 углеродного эквивалента, скорректированная на содержание THC в разбавляющем воздухе;

- концентрация CH
4 в разбавленных отработавших газах, млн
-1 углеродного эквивалента, скорректированная на содержание CH
4 в разбавляющем воздухе;

- коэффициент чувствительности детектора FID к метану, определяемый согласно
[2] (приложение 4а).
В случае измерения содержания метана при помощи детектора FID с отделителем NMC расчет NMHC зависит от калибровочного газа/метода, применяемого для установки на нуль/калибровки.
Детектор FID, используемый для измерения THC (без отделителя NMC), калибруют при помощи смеси пропана с воздухом в обычном порядке.
Для калибровки детектора FID, установленного последовательно с отделителем NMC, допускается использование следующих методов:
а) калибровочный газ, состоящий из пропана и воздуха, пропускают в обход отделителя NMC;
б) калибровочный газ, состоящий из метана и воздуха, пропускают через отделитель NMC.
Детектор FID для метана настоятельно рекомендуется калибровать при помощи смеси метана с воздухом, пропускаемой через отделитель NMC.
В
случае а) концентрации CH
4 и NMHC вычисляют по формулам

, (Д.17)

. (Д.18)
Если
Rf < 1,05, то в
формуле Д.17 этот коэффициент можно опустить.
В
случае б) концентрации CH
4 и NMHC вычисляют по формулам

, (Д.19)

, (Д.20)
где CHC(w/NMC) - концентрация HC в пробе газа, пропускаемой через отделитель NMC, млн-1 C;
CHC(w/oNMC) - концентрация HC в пробе газа, пропускаемой в обход отделителя NMC, млн-1 C;

- коэффициент чувствительности к метану, определяемый согласно
[2] (приложение 4а);
EM - эффективность преобразования метана, определяемая по
формуле (Д.21);
EE - эффективность преобразования этана, определяемая по
формуле (Д.22).
Эффективность преобразования неметановых фракций отделителем NMC
Отделитель NMC применяют для удаления из отбираемой пробы газа неметановых углеводородов путем окисления всех углеводородов, за исключением метана. В идеальном случае преобразование метана должно составлять 0%, а остальных углеводородов, представленных этаном, - 100%. Для точного измерения содержания NMHC определяют два показателя эффективности, которые используют в расчетах выбросов NMHC.
Эффективность преобразования метана, EM
Состоящий из метана и воздуха калибровочный газ подводят к детектору FID через отделитель NMC и в обход этого отделителя; оба значения концентрации регистрируют. Эффективность вычисляют по формуле

, (Д.21)
где CHC(w/NMC) - концентрация HC при пропускании CH4 через отделитель NMC, млн-1 C;
CHC(w/oNMC) - концентрация HC при пропускании CH4 в обход отделителя NMC, млн-1 C.
Эффективность преобразования этана, EE
Состоящий из этана и воздуха калибровочный газ подводят к детектору FID через отделитель NMC и в обход этого отделителя; оба значения концентрации регистрируют. Эффективность вычисляют по формуле

, (Д.22)
где CHC(w/NMC) - концентрация HC при пропускании C2H6 через отделитель NMC, млн-1 C;
CHC(w/oNMC) - концентрация НС при пропускании C2H6 в обход отделителя NMC, млн-1 C.
Если эффективность преобразования этана отделителем NMC составляет 0,98 или выше, то во всех последующих расчетах EE принимают за 1.
Если калибровка детектора FID для метана производится с пропусканием газа через отделитель, то EM равно 0.

. (Д.23)
Формула (Д.20) (случай б) для расчета
CNMHC приобретает следующий вид:
CNMHC = CHC(w/oNMC) - CHC(w/NMC)·rh. (Д.24)
Показатель плотности, используемый для расчета массовой доли NMHC, принимают равным показателю для расчета массовой доли всех углеводородов при 273,15 К (0 °C) и 101,325 кПа. Этот показатель зависит от вида топлива.
Расчет концентрации для взвешенного среднеарифметического показателя расхода
Данный метод расчета применяют к системам CVS, не оснащенным теплообменником, или к системам CVS с теплообменником, которые не отвечают требованиям
[2] (приложение 4а);.
К такому расчету концентрации для взвешенного среднеарифметического показателя расхода
Ce прибегают в случае всех непрерывных измерений разбавленных газов, в том числе при определении
КЧ (если применимо). В факультативном порядке допускается применение данного метода к системам CVS с теплообменником, отвечающим требованиям
[2] (приложение 4а).

(Д.25)
где n - время, затраченное на проведение испытания, с.
qVCVS(
i) - расход в системе CVS в момент

, м
3/с;

- интервал отбора проб, с;
C(
i) - концентрация в момент

, млн
-1;
V - общий объем системы CVS, м3.
Д.3.2.1.2 Расчет поправочного коэффициента на влажность для NOx
Корректировку результатов, полученных для оксидов азота, с учетом воздействия влажности производят по формуле

, (Д.26)
где H - удельная влажность, г водяных паров на кг сухого воздуха, вычисляемая по формуле

, (Д.27)
Ra - относительная влажность окружающего воздуха, %;
Pd - давление насыщенных паров при температуре окружающей среды, кПа;
Pб - барометрическое давление в помещении, кПа.
Коэффициент KH рассчитывают для каждой фазы цикла испытаний.
Температуру и относительную влажность окружающей среды определяют как среднее арифметическое значений, непрерывно измеряемых в течение каждой фазы.
Д.3.2.1.3 Определение концентрации NO2 на основе NO и NOx (если применимо)
Концентрацию NO2 определяют как разность между концентрацией NOx в мешке для проб, скорректированной на концентрацию в разбавляющем воздухе, и непрерывно измеряемой концентрацией NO, скорректированной на концентрацию в разбавляющем воздухе.
Концентрации NO
Концентрации NO рассчитывают по интегрированным показаниям анализатора NO с поправкой на изменение потока, если это необходимо.
Среднее арифметическое значение концентрации NO, измеренное в разбавленных отработавших газах, Ce, млн-1, вычисляют по уравнению:

(Д.28)
где

- интеграл показаний анализатора, работающего в режиме непрерывного разбавления NO на протяжении испытания (
t2 -
t1).
Концентрацию NO в разбавляющем воздухе определяют по содержимому мешков с разбавляющим воздухом. Корректировку производят в соответствии с
Д.3.2.1.1.
Концентрации NO2 (если применимо)
Определение концентраций NO2 путем непосредственного измерения его содержания в разбавленных газах
Концентрации NO2 рассчитывают по интегрированным показаниям анализатора NO2 с поправкой на изменение потока, если это необходимо. Среднее арифметическое значение концентрации NO2, измеренной в разбавленных отработавших газах, Ce, млн-1, вычисляют по формуле

(Д.29)
где

- интеграл показаний анализатора, работающего в режиме непрерывного разбавления NO
2 на протяжении испытания (
t2 -
t1).
Концентрацию NO
2 в разбавляющем воздухе определяют по содержимому мешков с разбавляющим воздухом. Корректировку проводят в соответствии с
Д.3.2.1.1.
Д.3.2.1.4 Концентрация N2O (если применимо)
В случае измерений при помощи газового хроматографа с детектором ECD концентрацию N2O вычисляют по формуле

, (Д.30)
где

- концентрация N
2O, млн
-1;

. (Д.31)
Д.3.2.1.5 Концентрация NH3 (если применимо)
Среднюю концентрацию NH3 вычисляют по формуле

, (Д.32)
где

- мгновенное значение концентрации NH
3, млн
-1;
n - число замеров.
Д.3.2.1.6 Концентрация этанола (если применимо)
Для измерения содержания этанола методом газовой хроматографии с помощью импинджеров и в разбавленных газах, поступающих из системы CVS, концентрацию этанола вычисляют по формуле

, (Д.33)
где

.
Д.3.2.1.7 Масса карбонильных соединений (если применимо)
Для измерения концентрации соединений карбонильной группы (формальдегида и ацетальдегида) с применением метода жидкостной хроматографии проводят следующий расчет.
Применительно к каждому конкретному карбонильному соединению рассчитывают массу данного соединения по массе его 2,4-динитрофенилгидразин-производного. Массу каждого карбонильного соединения определяют с помощью следующего уравнения:
Masssample = PeakAreasample·Rf·Vsample·B, (Д.34)
где Rf - коэффициент чувствительности по каждому карбонильному соединению, рассчитанный в ходе калибровки по следующему уравнению:
Rf = Cstandard (мкг 2,4-ДНФГ-производные/мл)/PeakAreastandard.
Vsample - объем пробы, мл;
B - соотношение молекулярных масс карбонильного соединения и его 2,4-динитрофенилгидразин-производного.
Д.3.2.1.8 Определение массы этанола, ацетальдегида и формальдегида (если применимо)
В качестве альтернативы измерению значений концентрации этанола, ацетальдегида и формальдегида для бензина в смеси с этанолом (при объемном содержании этанола менее 25%) можно вычислить показатель MEAF по формуле
MEAF = [0,0302 + 0,0071·(процентная доля этанола)]·MNMHC,
(Д.35)
где MEAF - массовый показатель выбросов EAF за испытание, г/км;
MNMHC - массовый показатель выбросов NMHC за испытание, г/км.
Процентная доля этанола - объемное содержание этанола в используемом при испытании топливе, %.
Д.3.2.2 Определение массы выбросов HC двигателями с воспламенением от сжатия
Д.3.2.2.1 При расчете массы выбросов HC двигателями с воспламенением от сжатия среднее арифметическое значение концентрации HC вычисляют по формуле

(Д.36)
где

- интеграл показаний подогреваемого детектора FID на протяжении испытания (
t1 -
t2);
Ce - измеренная концентрация HC в разбавленных отработавших газах, выраженная в млн-1 Ci, которая используется вместо CHC во всех соответствующих уравнениях.
Концентрацию HC в разбавляющем воздухе определяют по содержимому мешков с разбавляющим воздухом. Корректировку проводят в соответствии с
Д.3.2.1.1.
Д.3.2.3 Расчет расхода топлива, топливной экономичности и уровня выбросов CO
2 (в зависимости от того, что применимо) для отдельных ТС, относящихся к соответствующему интерполяционному семейству
Д.3.2.3.1 Расчет расхода топлива, топливной экономичности и уровня выбросов CO2 (в зависимости от того, что применимо) без использования метода интерполяции (т.е. на базе только ТС H)
Уровень выбросов CO
2, рассчитанный по
формулам (Д.14) и
(Д.15), и расход топлива, рассчитанный в соответствии с
Д.6, используют применительно ко всем отдельным ТС, относящимся к соответствующему интерполяционному семейству, и метод интерполяции не применяют.
Д.3.2.3.2 Расчет расхода топлива, топливной экономичности и уровня выбросов CO
2 (в зависимости от того, что применимо) с использованием метода интерполяции
Расход топлива и уровень выбросов CO2 для испытуемых ТС L и H
Для испытуемых ТС L и H используемые в последующих расчетах значения массы выбросов CO
2 (

и

), а также соответствующие значения для фаз p (

и

) берут из строки
"шаг 9" таблицы Д.1.
Значения расхода топлива также берут из строки
"шаг N 9" таблицы Д.1 и обозначают символами
FCL,p и
FCH,p.
Расчет дорожной нагрузки для отдельного ТС
Если значения для интерполяционного семейства выведены из соответствующих значений для одного или нескольких семейств по уровню дорожной нагрузки, то расчет дорожной нагрузки для отдельного ТС проводят с учетом только того семейства по уровню дорожной нагрузки, к которому принадлежит данное отдельное ТС.
Масса отдельного ТС
В качестве исходных данных в расчетах по методу интерполяции используют значения массы ТС H и L при испытании.
TMind, в кг, означает массу отдельного ТС при испытании.
Если для испытуемых ТС категорий L и H применяется одинаковое значение массы при испытании, то для метода интерполяции значение TMind принимают равным массе испытуемого ТС H.
Сопротивление качению отдельного ТС
В качестве исходных данных в расчетах по методу интерполяции используют фактические значения КСК для шин, установленных на испытуемом ТС категории L, RRL, и испытуемом ТС категории H, RRH.
Если шины на передней и задней осях ТС L или H имеют различные значения КСК, то рассчитывают средневзвешенное значение сопротивления качению по
уравнению (Д.37).
Для шин, установленных на отдельном ТС, коэффициент сопротивления качению
RRind принимают равным величине КСК, определенной для соответствующего класса энергоэффективности шин в соответствии с
таблицей Г.2.
Если отдельные ТС могут поставляться с полным комплектом стандартных колес и шин и дополнительным полным комплектом зимних шин (обозначенных "трехвершинной горой со снежинкой" - 3PMS), смонтированных на диски или без дисков, то такие дополнительные диски/шины не рассматривают в качестве факультативного оборудования.
Если шины на передней и задней осях относятся к различным классам энергоэффективности, то используют средневзвешенное значение, рассчитанное по
уравнению (Д.37).
Если на испытуемых ТС L и H установлены одни и те же шины либо шины с одним и тем же коэффициентом сопротивления качению, то значение RRind для расчетов по методу интерполяции принимают равным RRH.
Расчет средневзвешенного значения сопротивления качению
RRxx =
RRx, FA·
mpx, FA + (
RRx, RA·(1 -
mpx,FA), (Д.37)
где x - ТС категорий L, H или отдельное TC;
RRx,FA - фактические КСК для шин на передней оси ТС категорий L и H и отдельного ТС соответственно, кг/т;
RRx,RA - фактические коэффициенты сопротивления качению для шин на задней оси ТС категорий L и H и отдельного ТС соответственно, кг/т;
mpx,FA - доля массы ТС в снаряженном состоянии, приходящейся на переднюю ось.
RRx не округляют и не категоризируют с учетом класса энергоэффективности шин.
Аэродинамическое сопротивление отдельного ТС
Определение влияния аэродинамического сопротивления факультативного оборудования
Аэродинамическое сопротивление измеряют для каждого элемента факультативного оборудования и каждой формы кузова, оказывающих влияние на это сопротивление, в аэродинамической трубе, удовлетворяющей
приложению В и проверенной компетентным органом на соответствие таким требованиям.
Для метода интерполяции измерение аэродинамического сопротивления факультативного оборудования ТС в составе одного семейства по уровню дорожной нагрузки проводят при том же значении скорости ветра (vlow либо vhigh, но предпочтительнее vhigh). Если значение vlow или vhigh не известно (например, при измерении дорожной нагрузки VL и/или VH методом выбега), то аэродинамическую силу измеряют при одном и том же значении скорости ветра в диапазоне не менее 80 км/ч и не более 150 км/ч. В случае ТС класса 1 измерение проводят при том же значении скорости ветра не более 150 км/ч.
Альтернативный метод определения влияния аэродинамического сопротивления факультативного оборудования
По просьбе изготовителя и с одобрения компетентного органа можно использовать альтернативный метод (например, имитационное моделирование методом ВГД (по усмотрению договаривающейся стороны) в аэродинамической трубе, не отвечающей критериям по
приложению В определения

при условии соблюдения следующих критериев:
а) альтернативный метод обеспечивает точность определения

в пределах +/- 0,015 м
2.
По усмотрению договаривающейся стороны при использовании имитационного моделирования методом ВГД обеспечиваемую данным методом точность подтверждают на основе не менее двух значений

для каждого типа факультативного оборудования, относящегося к базовой комплектации кузова ТС, и совокупно не менее восьми значений

, как показано на
рисунке Д.1;
б) альтернативный метод используют только для факультативного оборудования, влияющего на аэродинамическое сопротивление (например, колеса, системы регулирования подачи охлаждающего воздуха, спойлеры и т.д.), тех типов, применительно к которым была подтверждена его эквивалентность;
в) данные в подтверждение эквивалентности, предусмотренные
перечислениями а) и
б), представляют компетентному органу заблаговременно до официального утверждения типа семейства по уровню дорожной нагрузки. В случае любого альтернативного метода за доказательную основу берут результаты измерения в аэродинамической трубе, полученные с соблюдением критериев, установленных настоящим стандартом;
г) если

какого-либо конкретного элемента факультативного оборудования более чем в два раза превышает показатель

факультативного оборудования, в отношении которого были представлены подтверждающие данные, то для определения аэродинамического сопротивления альтернативный метод не применяют;
д) при использовании метода измерения повторная аттестация требуется раз в четыре года. В случае метода математического расчета любые изменения, внесенные в модель для имитационного моделирования или в программное обеспечение, в результате которых протокол подтверждения может стать недействительным, также требуют повторной аттестации.
Примечание - Аттестация имитационного моделирования методом ВГД на основе не менее двух значений

для каждого типа факультативного оборудования, относящегося к базовой комплектации кузова ТС, и совокупно не менее восьми значений

: успешное подтверждение эквивалентности для вышеуказанных выборок.
Рисунок Д.1 - Пример применения альтернативного метода
определения влияния аэродинамического сопротивления
факультативного оборудования (в зависимости от того,
что применимо)
Изготовитель указывает заявляемый размер выборки ТС, к которым может быть применим альтернативный метод, и этот показатель подлежит отражению в соответствующих протоколах испытаний при условии предоставления компетентному органу доказательств эквивалентности. Компетентный орган может запросить подтверждение эквивалентности такого альтернативного метода на ТС, отобранном из выборки, заявленной изготовителем, уже после представления данных в подтверждение эквивалентности. Полученный результат должен обеспечивать точность

в пределах +/- 0,015 м
2. Основу этой процедуры составляют измерения в аэродинамической трубе, отвечающие критериям по настоящему стандарту. Если условия данной процедуры не соблюдаются, то официальное утверждение по альтернативной методике считают недействительным. По просьбе договаривающейся стороны данный пункт может быть исключен.
Учет аэродинамического воздействия на отдельное ТС

- это разность произведения коэффициента аэродинамического сопротивления на площадь фронтальной поверхности между отдельным ТС и испытуемым ТС категории L, обусловленная различием факультативных элементов и форм кузова между рассматриваемым ТС и испытуемым ТС категории L, м
2.
Разность значений аэродинамического сопротивления,

, определяют с точностью +/- 0,015 м
2.
При соблюдении требуемой точности +/- 0,015 м
2 с помощью следующей формулы может быть рассчитано и суммарное значение

для всех элементов факультативного оборудования и форм кузова:

, (Д.38)
где CD - коэффициент аэродинамического сопротивления;
Af - площадь фронтальной поверхности ТС, м2;
n - количество установленных на ТС элементов факультативного оборудования, по которым отдельное ТС отличается от испытуемого ТС категории L;

- разность произведения коэффициента аэродинамического сопротивления на площадь фронтальной поверхности для отдельного элемента комплектации,
i, ТС; она имеет положительное значение, если элемент факультативного оборудования увеличивает аэродинамическое сопротивление по сравнению с испытуемым ТС категории L, и наоборот, м
2.
Сумма всех значений

, различающихся между испытуемыми ТС категорий L и H, должна соответствовать

.
Определение полной аэродинамической дельты между испытуемыми ТС категорий L и H
Общую разницу произведения коэффициента аэродинамического сопротивления на площадь фронтальной поверхности между испытуемыми ТС категорий L и H обозначают как

и регистрируют в м
2.
Регистрация аэродинамического воздействия в документах
Регистрируют (м
2) увеличение или уменьшение результата произведения коэффициента аэродинамического сопротивления на площадь фронтальной поверхности, обозначаемого как

, для всех элементов факультативного оборудования и форм кузова в рамках интерполяционного семейства, которые:
а) оказывают влияние на аэродинамическое сопротивление ТС;
б) подлежат учету при интерполяции.
Дополнительные положения, касающиеся аэродинамического воздействия
Аэродинамическое сопротивление ТС категории H используют применительно ко всему интерполяционному семейству и значение

принимают равным нулю в том случае, если:
а) аэродинамическая труба не обеспечивает требуемой точности определения

; или
б) не имеется различающихся между испытуемыми ТС категорий H и L элементов факультативного оборудования, влияющих на аэродинамическое сопротивление и подлежащих учету при расчетах по методу интерполяции.
Расчет коэффициентов дорожной нагрузки для отдельных ТС
Коэффициенты дорожной нагрузки
f0,
f1 и
f2 (определенные в
приложении Г) для испытуемых ТС H и L обозначают как
f0,H,
f1,H и
f2,H и соответственно
f0,L,
f1,L и
f2,L. Скорректированную кривую дорожной нагрузки для испытуемого ТС L строят по следующему уравнению:

. (Д.39)
Для FL(v) определяют скорректированные коэффициенты дорожной нагрузки f*0,L и f*2,L и при помощи регрессионного анализа методом наименьших квадратов и в диапазоне точек контрольной скорости на основе коэффициента линейной регрессии f*1,L, принимаемого за f1,H. Коэффициенты дорожной нагрузки f0,ind, f1,ind и f2,ind для отдельного ТС, относящегося к соответствующему интерполяционному семейству, вычисляют по формуле

; (Д.40)
или, если (TMH·RRH - TML·RRL) = 0, для расчета f0,ind применяют следующие формулы:

, (Д.41)
f1,ind = f1,H, (Д.42)

; (Д.43)
или, если

, для расчета применяют следующую формулу:

, (Д.44)
где

,

.
В случае семейства по матрице дорожных нагрузок коэффициенты дорожной нагрузки
f0,
f1 и
f2 для отдельного ТС вычисляют по формулам, приведенным в
В.5.1.1.
Расчет потребности в энергии для выполнения цикла
Потребность в энергии для выполнения применимого ВЦИМГ,
Ek, и потребность в энергии для всех применимых фаз цикла,
Ek,p, вычисляют в соответствии с процедурой, определенной в
Д.5 для следующих наборов,
k, коэффициентов дорожной нагрузки и значений массы:
1)
k = 1:
f0 =
f*0,L,
f1 =
f1,H,
f2 =
f*2,L,
m =
TML (испытуемое ТС категории L),
2) k = 2: f0,H, f1 = f1,H, f2 = f2,H, m = TMH: (испытуемое ТС категории H),
3)
k = 3:
f0 =
f0,ind,
f1 =
f1,H,
f2 =
f2,ind,
m =
TMind (отдельное ТС, относящееся к соответствующему интерполяционному семейству).
Эти три набора коэффициентов дорожной нагрузки могут быть выведены из соответствующих значений для различных семейств по уровню дорожной нагрузки.
Расчет уровня выбросов CO2 для отдельного ТС, относящегося к соответствующему интерполяционному семейству, с использованием метода интерполяции
Для каждой фазы p применимого цикла массу выбросов CO2 (г/км), приходящихся на отдельное ТС, вычисляют по формуле

. (Д.45)
Массу выбросов CO2 (г/км) для отдельного ТС за полный цикл вычисляют по формуле

. (Д.46)
По усмотрению договаривающейся стороны выбирают один из следующих вариантов:
а) вариант A. Расчет значения расхода топлива, FC, для отдельного ТС, относящегося к соответствующему интерполяционному семейству, с использованием метода интерполяции
По каждой фазе p применимого цикла расход топлива, в л/100 км, для отдельного ТС рассчитывают по формуле

. (Д.47)
Расход топлива, в л/100 км, для отдельного ТС за полный цикл вычисляют по формуле

. (Д.48)
б) Вариант B. Расчет показателя топливной экономичности, FE, для отдельного ТС, относящегося к соответствующему интерполяционному семейству, с использованием метода интерполяции.
По каждой фазе p применимого цикла топливную экономичность, в км/л, для отдельного ТС вычисляют по формуле

(Д.49)
Топливную экономичность, в км/л, для отдельного ТС за полный цикл вычисляют по формуле

(Д.50)
По усмотрению договаривающейся стороны выбирают один из нижеследующих вариантов:
а) вариант A. Уровень выбросов CO
2 для отдельного ТС, определенный по
формулам (Д.45) и
(Д.46), может быть увеличен ИОО. В этом случае:
- соответствующие фазе значения CO2 увеличивают на коэффициент увеличенного значения CO2, разделенного на расчетное значение CO2;
- значения расхода топлива увеличивают на коэффициент увеличенного значения CO2, разделенного на расчетное значение CO2.
При этом не обеспечивается компенсация на технические элементы, ввиду наличия которых ТС фактически потребуется исключить из интерполяционного семейства;
б) вариант B. Показатель топливной экономичности для ТС, определенный по
формулам (Д.47) -
(Д.50), может быть уменьшен ИОО. В этом случае соответствующие фазе показатели топливной экономичности уменьшают на коэффициент уменьшенного показателя топливной экономичности, разделенного на расчетный показатель топливной экономичности.
При этом не обеспечивается компенсация на технические элементы, ввиду наличия которых ТС фактически потребуется исключить из интерполяционного семейства.
Д.3.2.4 Расчет расхода топлива, топливной экономичности и уровня выбросов CO
2 (в зависимости от того, что применимо) для отдельных ТС, относящихся к соответствующему семейству по матрице дорожных нагрузок
Уровень выбросов CO
2 и топливную экономичность/расход топлива для каждого отдельного ТС, относящегося к соответствующему семейству по матрице дорожных нагрузок, рассчитывают с применением метода интерполяции, описанного в
Д.3.2.3.2. В случае применимости ссылки на ТС категорий L и/или H заменяют ссылками на ТС категорий L
M и/или H
M соответственно.
Д.3.2.4.1 Определение расхода топлива, топливной экономичности и уровня выбросов CO2 (в зависимости от того, что применимо) для ТС категорий LM и HM
Массу выбросов CO
2,

, ТС категорий L
M и H
M для отдельных фаз
p применимого ВЦИМГ рассчитывают в соответствии с
Д.3.2.1 и обозначают как

и

соответственно. Расход топлива и топливную экономичность для отдельных фаз применимого ВЦИМГ определяют по
Д.6 и обозначают как
FCLM,p,
FCHM,p,
FELM,p и
FELM,p соответственно.
Расчет дорожной нагрузки для отдельного ТС
Значение дорожной нагрузки рассчитывают с соблюдением процедуры по
В.5.1.
Масса отдельного ТС
В качестве исходных данных используют значения массы ТС категорий H
M и L
M при испытании, выбранные в соответствии с
В.4.2.1.4.
TMind, в кг, означает массу отдельного ТС при испытании. Если для ТС категорий LM и HM применяется одинаковое значение массы при испытании, то для целей метода на базе семейства по матрице дорожных нагрузок значение TMind принимают равным массе ТС категории HM.
Сопротивление качению отдельного ТС
В качестве исходных данных используют значения КСК для шин, установленных на ТС
LM,
RRLM, и ТС
HM,
RRHM, выбранные в соответствии с
В.4.2.1.4.
Если шины на передней и задней осях ТС категорий LM или HM имеют различные значения сопротивления качению, то рассчитывают средневзвешенное значение сопротивления качению по уравнению,
Для шин, установленных на отдельном ТС, коэффициент сопротивления качению
RRind принимают равным величине КСК, определенной для соответствующего класса энергоэффективности шин в соответствии с
таблицей В.2.
Если отдельные ТС могут поставляться с полным комплектом стандартных колес и шин и дополнительным полным комплектом зимних шин (обозначенных "трехвершинной горой со снежинкой" - 3PMS), смонтированных на диски или без дисков, то такие дополнительные диски/шины не рассматривают в качестве факультативного оборудования.
Если шины на передней и задней осях относятся к различным классам энергоэффективности, то используют средневзвешенное значение, рассчитанное по
уравнению (Д.51).
Если для ТС LM и HM используют шины с одинаковым сопротивлением качению, то для целей расчетов по методу на базе семейства по матрице дорожных нагрузок значение RRind принимают равным RRHM.
Расчет средневзвешенного значения сопротивления качению
RRx =
RRx, FA·
mpx, FA +
RRx, RA·(1 -
mpx,FA), (Д.51)
где x - транспортное средство L, H или отдельное ТС;
RRx,FA - фактические КСК для шин на передней оси ТС категорий L и H и отдельного ТС соответственно, кг/т;
RRx,RA - фактические коэффициенты сопротивления качению для шин на задней оси ТС категорий L и H и отдельного ТС соответственно, кг/т;
mpx,FA - доля массы ТС в снаряженном состоянии, приходящейся на переднюю ось.
RRx не округляют и не категоризируют с учетом класса энергоэффективности шин.
Площадь фронтальной поверхности отдельного ТС
В качестве исходных данных используют значения площади фронтальной поверхности для ТС L
M,
AfLM, и ТС H
M,
AfHM, выбранные в соответствии с
В.4.2.1.4.
Af,ind, в м2, означает площадь фронтальной поверхности отдельного ТС.
Если для ТС LM и HM используют одну и ту же площадь фронтальной поверхности, то для целей расчетов по методу на базе семейства по матрице дорожных нагрузок значение Af,ind принимают равным площади фронтальной поверхности ТС HM.
Д.3.2.5 Альтернативный метод интерполяционного расчета
В случаях, когда метод интерполяции приводит к получению нереалистичных показателей соответствующих фазе выбросов либо к построению нереалистичной кривой дорожной нагрузки, изготовитель, по соответствующей просьбе и с одобрения компетентного органа, может прибегать к альтернативной процедуре интерполяционного расчета. До предоставления ему такого разрешения изготовитель проверяет и по возможности устраняет за счет соответствующей корректировки:
а) причину, обусловливающую незначительные расхождения между связанными с дорожной нагрузкой параметрами ТС L и H, в случае нереалистичных показателей соответствующих фазе выбросов;
б) причину, обусловливающую непредвиденное расхождение между коэффициентами f1,L и f1,H, в случае нереалистичной кривой дорожной нагрузки.
Просьба изготовителя к компетентному органу должна подкрепляться данными, подтверждающими, что такая корректировка не представляется возможной и что результирующая погрешность является значительной.
Д.3.2.5.1 Альтернативный способ расчета в порядке корректировки нереалистичных показателей соответствующих фазе выбросов
В качестве альтернативы расчетам по
формулам (Д.45) -
(Д.50) расчет соответствующих фазе показателей выбросов CO
2, топливной экономичности и расхода топлива (в зависимости от того, что применимо) можно производить по
формулам (Д.52) -
(Д.54).
Применительно к каждому параметру значение

заменяют на
FC или
FE.
Определение соотношения по каждой фазе для ТС VL и VH
| | ИС МЕГАНОРМ: примечание. Формула дана в соответствии с официальным текстом документа. | |

, (Д.52)

, (Д.53)
Определение соотношения по каждой фазе для ТС Vind

, (Д.54)
Пофазовая масса выбросов ТС vind

. (Д.55)
Д.3.2.5.2 Альтернативный способ расчета в порядке корректировки нереалистичной кривой дорожной нагрузки
В качестве альтернативы расчета по
формулам (Д.39) -
(Д.44) коэффициенты дорожной нагрузки могут быть рассчитаны по формуле

. (Д.56)
Для
Fi(
v) определяют альтернативные скорректированные коэффициенты дорожной нагрузки

и

при помощи регрессионного анализа методом наименьших квадратов и в диапазоне точек контрольной скорости на основе коэффициента линейной регрессии

, принимаемого за
f1,A,
f1,A вычисляют по формуле

, (Д.57)
где
E - потребность в энергии для выполнения цикла, рассчитанная по
Д.5, Вт·с;
i - нижний индекс, обозначающий ТС категорий L, H или отдельное ТС;
HR - испытуемое ТС категории H,
LR - испытуемое ТС категории L.
Д.3.3.1 Расчет
Уровень выбросов ВЧ вычисляют по формуле

; (Д.58)
если отработавшие газы выводятся за пределы канала;
и

, (Д.59)
если отработавшие газы возвращаются в канал,
где
Vmix - объем разбавленных отработавших газов (см.
Д.2) в стандартных условиях;
Vep - объем разбавленных отработавших газов, проходящих через фильтр для отбора проб взвешенных частиц в стандартных условиях;
Pe - масса взвешенных частиц, собранных на одном или нескольких пробоотборных фильтрах, мг;
d - расстояние, пройденное в ходе испытательного цикла, км.
Д.3.3.1.1 При использовании поправки на фоновую концентрацию взвешенных частиц в системе разбавления поправочный коэффициент определяют в соответствии с
Г.2.1.3.1. В этом случае массу взвешенных частиц (мг/км) вычисляют по формуле

, (Д.60)
если отработавшие газы выводятся за пределы канала;
и

, (Д.61)
если отработавшие газы возвращаются в канал,
где Vap - объем воздуха в канале, пропущенного через фильтр для фоновых взвешенных частиц в стандартных условиях;
Pa - масса взвешенных частиц в разбавляющем воздухе либо фоновом воздухе, проходящем через канал для разбавления, определенная одним из методов, указанных в
Г.2.1.3.1;
Если после корректировки по фону полученные результаты имеют отрицательное значение, то результирующую массу частиц приравнивают к нулю, мг/км.
Д.3.3.2 Расчет содержания ВЧ с использованием метода двойного разбавления
Vep = Vset - Vssd, (Д.62)
где Vep - объем разбавленных отработавших газов, проходящих через фильтр для отбора проб взвешенных частиц в стандартных условиях;
Vset - объем дважды разбавленных отработавших газов, проходящих через фильтры для отбора проб взвешенных частиц в стандартных условиях;
Vssd - объем воздуха для вторичного разбавления в стандартных условиях.
Если используемую для измерения содержания ВЧ пробу газа, дважды подвергнутого разбавлению, не возвращают в канал, то объем газа в системе CVS вычисляют, как при использовании системы разового разбавления:
Vmix = Vmix indicated + Vep, (Д.63)
где Vmix indicated - измеренный объем разбавленных отработавших газов в системе разбавления после извлечения пробы взвешенных частиц в стандартных условиях.
Д.4 Определение КЧ (если применимо)
КЧ вычисляют по формуле

, (Д.64)
где PN - количество частиц в выбросах, частицы на километр;
V - объем разбавленных отработавших газов в литрах на испытание (в случае двойного разбавления - только после первого разбавления), приведенный к стандартным условиям [273,15 К (0 °C) и 101,325 кПа];
k - калибровочный коэффициент, используемый для корректировки показаний счетчика PNC и приведения их в соответствие с показаниями эталонного прибора, если применение такого коэффициента не предусмотрено самим счетчиком PNC. Если калибровочный коэффициент учитывается алгоритмом самого счетчика PNC, то его значение принимают равным 1;

- скорректированная количественная концентрация частиц в разбавленных отработавших газах, выраженная в виде среднеарифметического количества частиц на кубический сантиметр, которое рассчитывают за полный ездовой цикл в ходе испытания на выбросы. Если средняя объемная концентрация

, полученная по показаниям счетчика PNC, измеряется в условиях, отличающихся от стандартных [273,15 К (0 °C) и 101,325 кПа], то она должна быть приведена к этим условиям

;
Cb - разрешенная компетентным органом количественная концентрация фоновых частиц либо в разбавляющем воздухе, либо в канале для разбавления, в частицах на кубический сантиметр, скорректированная на совпадение и приведенная к стандартным условиям [273,15 К (0 °C) и 101,325 кПа];

- средний коэффициент снижения концентрации частиц для отделителя VPR при используемом в ходе испытания значении коэффициента разбавления;

- средний коэффициент снижения концентрации частиц для отделителя VPR при используемом в ходе измерения фоновой концентрации значении коэффициента разбавления;
d - расстояние, пройденное в течение применимого испытательного цикла, км.

вычисляют по формуле

(Д.65)
где Ci - значение, полученное при отдельном измерении количественной концентрации частиц в разбавленных отработавших газах с помощью счетчика PNC, выраженное в количестве частиц на см3 и скорректированное на совпадение;
n - общее число отдельных измерений количественной концентрации частиц в ходе применимого испытательного цикла, вычисленное по формуле
n = t·f, (Д.66)
где t - продолжительность применимого испытательного цикла, с;
f - частота регистрации данных счетчиком частиц, Гц.
Д.5 Расчет потребности в энергии для выполнения цикла
Если не указано иное, расчет производят на основе заданной кривой скорости, построенной по дискретным

точкам измерения.
Общую потребность в энергии E для полного цикла или отдельной фазы цикла вычисляют путем суммирования Ei за соответствующий период цикла между tstart+1 и tend по формуле

, (Д.67)
где Ei = Fi·di, если Fi > 0
Ei = 0, если Fi <= 0,
tstart - время начала применимого испытательного цикла или фазы (см.
А.3), с;
tend - время завершения применимого испытательного цикла или фазы (см.
А.3), с;
Ei - потребность в энергии в течение периода времени (i - 1) - (i), Вт·с;
Fi - тяговое усилие в течение периода времени (i - 1) - (i), Н;
di - расстояние, пройденное в течение периода времени (i - 1) - (i), м.

, (Д.68)
где Fi - тяговое усилие в течение периода времени (i - 1) - (i), Н;
vi - заданная скорость в момент времени ti, км/ч;
TM - масса при испытании, кг;
ai - ускорение в течение периода времени (i - 1) - (i), м/с2;
f0, f1, f2 - коэффициенты дорожной нагрузки на рассматриваемое ТС в ходе испытания (TML, TMH или TMind) в Н, Н/км/ч и в Н/(км/ч)2 соответственно.

, (Д.69)
где di - расстояние, пройденное в течение периода времени (i - 1) - (i), м;
vi - заданная скорость в момент времени ti, км/ч;
ti - время, с.

, (Д.70)
где ai - ускорение в течение периода времени (i - 1) - (i), м/с2;
vi - заданная скорость в момент времени ti, км/ч;
ti - время, с.
Д.6 Расчет расхода топлива и топливной экономичности (в зависимости от применения)
Д.6.1 Характеристики топлива, требуемые для расчета значений расхода топлива, по
[2] (приложения 10 и 10а).
Д.6.2 По усмотрению договаривающейся стороны выбирают один из следующих вариантов.
Вариант A. Значения расхода топлива рассчитывают на основе выбросов углеводородов, моноксида углерода и диоксида углерода по результатам, полученным в рамках
шага 6 (уровень выбросов основных загрязнителей) и
шага 7 (уровень выбросов CO
2) по таблице Д.1.
Вариант B. Показатели топливной экономичности рассчитывают на основе выбросов углеводородов, моноксида углерода и диоксида углерода по результатам, полученным в рамках
шага 2 (уровень выбросов основных загрязнителей) и
шага 4а (уровень выбросов CO
2) по таблице Д.1.
Д.6.2.1 Для расчета расхода топлива используют
формулу, приведенную в Д.6.12 с учетом соотношений H/C и O/C.
Д.6.2.2 Во всех формулах, приведенных в Д.6:
FC - расход конкретного вида топлива, л/100 км (либо м3 на 100 км в случае природного газа или кг/100 км в случае водорода);
H/C - соотношение водорода и углерода для топлива с конкретным составом CXHYOZ;
O/C - соотношение кислорода и углерода для топлива с конкретным составом CXHYOZ;
MWC - молярная масса углерода (12,011 г/моль);
MWH - молярная масса водорода (1,008 г/моль);
MWO - молярная масса кислорода (15,999 г/моль);

- плотность топлива, используемого для испытания, кг/л. В случае газообразного топлива - плотность при 15 °C;
HC - объем выбросов углеводородов, г/км;
CO - объем выбросов моноксида углерода, г/км;
CO2 - объем выбросов диоксида углерода, г/км;
H2O - объем выбросов воды, г/км;
H2 - объем выбросов водорода, г/км;
p1 - давление газа в топливном баке до начала применимого испытательного цикла, Па;
p2 - давление газа в топливном баке после завершения применимого испытательного цикла, Па;
T1 - температура газа в топливном баке до начала применимого испытательного цикла, К;
T2 - температура газа в топливном баке после завершения применимого испытательного цикла, К;
Z1 - коэффициент сжимаемости газообразного топлива при p1 и T1;
Z2 - коэффициент сжимаемости газообразного топлива при p2 и T2;
V - внутренний объем резервуара для газообразного топлива, м3;
d - теоретическое расстояние, пройденное за применимую фазу или цикл, км.
Д.6.3 Для ТС, оснащенного двигателем с принудительным зажиганием, работающим на бензине (E0)

. (Д.71)
Д.6.4 Для ТС, оснащенного двигателем с принудительным зажиганием, работающим на бензине (E5)

. (Д.72)
Д.6.5 Для ТС, оснащенного двигателем с принудительным зажиганием, работающим на бензине (E10)

. (Д.73)
Д.6.6 Для ТС, оснащенного двигателем с принудительным зажиганием, работающим на СНГ

. (Д.74)
Д.6.6.1 Если состав топлива, используемого для испытания, отличается от состава, принимаемого для расчета стандартного расхода, то по просьбе изготовителя может применяться поправочный коэффициент cf; при этом используют формулу

. (Д.75)
Поправочный коэффициент cf, который может применяться, вычисляют по формуле
cf = 0,825 + 0,0693·nactual, (Д.76)
где nactual - фактическое соотношение H/C используемого топлива.
Д.6.7 Для ТС, оснащенного двигателем с принудительным зажиганием, работающим на ПГ/биометане

. (Д.77)
Д.6.8 Для ТС, оснащенного двигателем с воспламенением от сжатия, работающим на дизельном топливе (B0)

. (Д.78)
Д.6.9 Для ТС, оснащенного двигателем с воспламенением от сжатия, работающим на дизельном топливе (B5)

. (Д.79)
Д.6.10 Для ТС, оснащенного двигателем с воспламенением от сжатия, работающим на дизельном топливе (B7)

. (Д.80)
Д.6.11 Для ТС, оснащенного двигателем с принудительным зажиганием, работающим на этаноле (E85)

. (Д.81)
Д.6.12 Применительно к любому топливу, используемому для испытания, его расход можно рассчитать по формуле

. (Д.82)
Д.6.13 Расход топлива для ТС, оснащенного двигателем с принудительным зажиганием, работающим на водороде

. (Д.83)
Применительно к ТС, работающим на газообразном или жидком водороде, и с одобрения компетентного органа изготовитель может рассчитывать расход топлива,
FC, либо по приведенному ниже
уравнению, либо методом, соответствующим стандартному протоколу в соответствии с
[12].
FC = 0,1·(0,1119·H
2O + H
2). (Д.84)
Таблица Д.2
Коэффициент сжимаемости
Z
Температура газа в топливном баке T, К | Коэффициент сжимаемости Z при давлении газа в топливном баке p, бар |
5 | 100 | 200 | 300 | 400 | 500 | 600 | 700 | 800 | 900 |
33 | 0,859 | 1,051 | 1,885 | 2,648 | 3,365 | 4,051 | 4,712 | 5,352 | 5,973 | 6,576 |
53 | 0,965 | 0,922 | 1,416 | 1,891 | 2,338 | 2,765 | 3,174 | 3,570 | 3,954 | 4,329 |
73 | 0,989 | 0,991 | 1,278 | 1,604 | 1,923 | 2,229 | 2,525 | 2,810 | 3,088 | 3,358 |
93 | 0,997 | 1,042 | 1,233 | 1,470 | 1,711 | 1,947 | 2,177 | 2,400 | 2,617 | 2,829 |
113 | 1,000 | 1,066 | 1,213 | 1,395 | 1,586 | 1,776 | 1,963 | 2,146 | 2,324 | 2,498 |
133 | 1,002 | 1,076 | 1,199 | 1,347 | 1,504 | 1,662 | 1,819 | 1,973 | 2,124 | 2,271 |
153 | 1,003 | 1,079 | 1,187 | 1,312 | 1,445 | 1,580 | 1,715 | 1,848 | 1,979 | 2,107 |
173 | 1,003 | 1,079 | 1,176 | 1,285 | 1,401 | 1,518 | 1,636 | 1,753 | 1,868 | 1,981 |
193 | 1,003 | 1,077 | 1,165 | 1,263 | 1,365 | 1,469 | 1,574 | 1,678 | 1,781 | 1,882 |
213 | 1,003 | 1,071 | 1,147 | 1,228 | 1,311 | 1,396 | 1,482 | 1,567 | 1,652 | 1,735 |
233 | 1,004 | 1,071 | 1,148 | 1,228 | 1,312 | 1,397 | 1,482 | 1,568 | 1,652 | 1,736 |
248 | 1,003 | 1,069 | 1,141 | 1,217 | 1,296 | 1,375 | 1,455 | 1,535 | 1,614 | 1,693 |
263 | 1,003 | 1,066 | 1,136 | 1,207 | 1,281 | 1,356 | 1,431 | 1,506 | 1,581 | 1,655 |
278 | 1,003 | 1,064 | 1,130 | 1,198 | 1,268 | 1,339 | 1,409 | 1,480 | 1,551 | 1,621 |
293 | 1,003 | 1,062 | 1,125 | 1,190 | 1,256 | 1,323 | 1,390 | 1,457 | 1,524 | 1,590 |
308 | 1,003 | 1,060 | 1,120 | 1,182 | 1,245 | 1,308 | 1,372 | 1,436 | 1,499 | 1,562 |
323 | 1,003 | 1,057 | 1,116 | 1,175 | 1,235 | 1,295 | 1,356 | 1,417 | 1,477 | 1,537 |
338 | 1,003 | 1,055 | 1,111 | 1,168 | 1,225 | 1,283 | 1,341 | 1,399 | 1,457 | 1,514 |
353 | 1,003 | 1,054 | 1,107 | 1,162 | 1,217 | 1,272 | 1,327 | 1,383 | 1,438 | 1,493 |
В случае, если необходимые вводные значения для
p и
T в
таблице не указаны, коэффициент сжимаемости получают посредством линейной интерполяции коэффициентов сжимаемости, указанных в
таблице, с использованием тех из них, которые ближе всего к искомому значению.
Д.6.14 Показатель топливной экономичности FE, км/л (или км/м3 в случае природного газа, либо км/кг в случае водорода), в случае применимости, вычисляют по формуле
FE = 100/FC, (Д.85)
где FC - расход конкретного вида топлива, л/100 км (либо м3/100 км в случае природного газа или кг/100 км в случае водорода).
Д.7 Индексный хронометраж ездового цикла
Д.7.1 Общее требование
Предписанное значение скорости между

точками по
таблицам А.1 -
А.12 определяют посредством линейной интерполяции с частотой 10 Гц.
Если устройство управления акселератором полностью активировано, то в такие периоды работы для целей расчета индексного хронометража ездового цикла вместо фактической скорости ТС используют предписанное значение скорости.
Для установления положения педали акселератора допускается использование системы мониторинга (сбора данных) бортовой диагностики (БД) или электронного управляющего блока (ЭУБ) двигателя. Сбор данных БД и/или ЭУБ не должен сказываться на уровне выбросов либо эффективности работы ТС.
Д.7.2 Расчет индексных показателей для хронометража ездового цикла
В соответствии с требованиями
[13] рассчитывают следующие индексные показатели:
а) ПИР: показатель "инерционной работы", %;
б) СКПИС: среднеквадратическая погрешность измерения скорости, км/ч.
Д.7.3 Индексные показатели для хронометража ездового цикла в применении к конкретным транспортным средствам
Д.7.3.1 ТС, работающие только от ДВС, ГЭМ-БЗУ и ГТСТЭ-БЗУ
Индексные показатели ПИР и СКПИС для хронометража ездового цикла рассчитывают по применимому испытательному циклу и регистрируют.
Д.7.3.2 ГЭМ-ВЗУ
Д.7.3.2.1 Испытание типа 1 в режиме сохранения заряда по
Е.3.2.5
Индексные показатели ПИР и СКПИС для хронометража ездового цикла рассчитывают по применимому испытательному циклу и регистрируют.
Д.7.3.2.2 Испытание типа 1 в режиме расходования заряда по
Е.3.2.4.3
Если количество испытательных циклов типа 1 в режиме расходования заряда составляет меньше четырех, то индексные показатели ПИР и СКПИС для хронометража ездового цикла рассчитывают по каждому отдельному применимому испытательному циклу в ходе испытания типа 1 в режиме расходования заряда и регистрируют.
Если количество испытательных циклов типа 1 в режиме расходования заряда составляет не меньше четырех, то индексные показатели ПИР и СКПИС для хронометража ездового цикла рассчитывают по каждому отдельному применимому испытательному циклу в ходе испытания типа 1 в режиме расходования заряда и регистрируют. В этом случае среднее значение ПИР и среднее значение СКПИС для комбинации любых двух циклов при испытании в режиме расходования заряда сопоставляют с соответствующими критериями по
перечислению в) Г.2.6.8.3 (приложение Г), причем ПИР, рассчитанный для любого отдельного цикла в ходе испытания в режиме расходования заряда, должен быть не менее минус 3,0%, но не более плюс 5,0%.
Д.7.3.2.3 Испытание с прогоном по городскому циклу (по
Е.3.2.4.3, с заменой показателя
WLTC на
WLTCcity)
Для расчета индексного показателя хронометража ездового цикла два последовательных прогона по городскому испытательному циклу (L и M) принимают за один цикл.
Применительно к городскому циклу, в ходе которого ДВС начинает потреблять топливо, индексные показатели ПИР и СКПИС для хронометража ездового цикла отдельно не рассчитывают. Вместо этого, в зависимости от количества завершенных городских циклов, предшествующих городскому циклу, в ходе которого ДВС начинает потреблять топливо, неполный городской цикл объединяют с предшествующими городскими циклами и в контексте расчетов индексного показателя хронометража ездового цикла принимают за один цикл.
Если количество завершенных городских циклов является четным, то неполный городской цикл объединяют с двумя предшествующими завершенными городскими циклами. См. пример, приведенный на
рисунке Д.2.
Рисунок Д.2 - Пример четного количества завершенных
городских испытательных циклов, предшествующих городскому
циклу, в ходе которого ДВС начинает потреблять топливо
Если количество завершенных городских циклов является нечетным, то неполный городской цикл объединяют с тремя предшествующими завершенными городскими циклами. См. пример, приведенный на
рисунке Д.3.
Рисунок Д.3 - Пример нечетного количества завершенных
городских испытательных циклов, предшествующих городскому
циклу, в ходе которого ДВС начинает потреблять топливо
Если количество циклов, полученных на основе таблицы по
рисункам Д.2 или
Д.3, составляет меньше четырех, то индексные показатели ПИР и СКПИС для хронометража ездового цикла рассчитывают по каждому отдельному циклу и регистрируют.
Если количество циклов, полученных на основе таблицы по
рисункам Д.2 или
Д.3, составляет не меньше четырех, то индексные показатели ПИР и СКПИС для хронометража ездового цикла рассчитывают по каждому отдельному циклу. В этом случае среднее значение ПИР и среднее значение СКПИС для комбинации любых двух циклов сопоставляют с соответствующими критериями по
перечислению в) Г.2.6.8.3 (приложение Г), причем ПИР любого отдельного цикла должен быть от минус 3% до плюс 5%.
Д.7.3.3 ПЭМ
Д.7.3.3.1 Испытание с прогоном по последовательным циклам
Процедуру испытания с прогоном по последовательным циклам проводят в соответствии с
Е.3.4.4.1. Индексные показатели ПИР и СКПИС для хронометража ездового цикла рассчитывают по каждому отдельному испытательному циклу в рамках процедуры испытания с прогоном по последовательным циклам и регистрируют. Испытательный цикл, в ходе которого выполняется указанный в
Е.3.4.4.1 граничный критерий, объединяют с предшествующим испытательным циклом. Их принимают за один цикл при расчете индексных показателей ПИР и СКПИС для хронометража ездового цикла.
Д.7.3.3.2 Испытание типа 1 по сокращенной процедуре
При сокращенной процедуре испытания типа 1, проводимой в соответствии с
Е.3.4.4.2, индексные показатели ПИР и СКПИС для хронометража ездового цикла рассчитывают отдельно по каждому динамическому сегменту 1 и 2 и регистрируют. Для сегментов постоянной скорости к расчету индексных показателей хронометража ездового цикла не прибегают.
Д.7.3.3.3 Процедура испытания с прогоном по городскому циклу (
Е.3.4.4.1, с заменой показателя
WLTC на
WLTCcity)
Для расчета индексного показателя хронометража ездового цикла два последовательных прогона по городскому испытательному циклу принимают за один цикл.
Применительно к городскому циклу, в ходе которого выполняется указанный в
Е.3.4.4.1 граничный критерий, индексные показатели ПИР и СКПИС для хронометража ездового цикла отдельно не рассчитывают. Вместо этого в зависимости от количества завершенных городских циклов, предшествующих городскому циклу, в ходе которого выполняется граничный критерий, неполный городской цикл объединяют с предшествующими городскими циклами и в контексте расчетов индексного показателя хронометража ездового цикла принимают за один цикл.
Если количество завершенных городских циклов является четным, то неполный городской цикл объединяют с двумя предшествующими завершенными городскими циклами. См. пример, приведенный на
рисунке Д.4.
Рисунок Д.4 - Пример четного количества завершенных
городских испытательных циклов, предшествующих городскому
циклу, в ходе которого выполняется граничный критерий
Если количество завершенных городских циклов является нечетным, то неполный городской цикл объединяют с тремя предшествующими завершенными городскими циклами. См. пример, приведенный на
рисунке Д.5.
Рисунок Д.5 - Пример нечетного количества завершенных
городских испытательных циклов, предшествующих городскому
циклу, в ходе которого выполняется граничный критерий
Если количество циклов, полученных на основе таблицы по
рисункам Д.4 или
Д.5, составляет меньше четырех, то индексные показатели ПИР и СКПИС для хронометража ездового цикла рассчитывают по каждому из этих циклов и регистрируют.
Если количество циклов, полученных на основе таблицы по
рисункам Д.4 или
Д.5, составляет не меньше четырех, то индексные показатели ПИР и СКПИС для хронометража ездового цикла рассчитывают по каждому из этих циклов и регистрируют. В этом случае среднее значение ПИР и среднее значение СКПИС для комбинации любых двух циклов сопоставляют с соответствующими критериями по
Г.2.6.8.3, причем ПИР любого отдельного цикла должен быть от минус 3% до плюс 5%.
Д.8 Расчет соотношений n/v
Соотношения n/v вычисляют по формуле

, (Д.86)
где n - частота вращения двигателя, мин-1;
v - скорость ТС, км/ч;
ri - передаточное число передачи i;
raxle - передаточное число главной передачи ведущего моста;
Udyn - динамическая окружность качения шин для ведущей оси, вычисляемая по формуле

, (Д.87)
где H/W - отношение высоты профиля шины к его ширине, например, "45" для шины размера 225/45 R17;
W - ширина шины, мм; например, "225" для шины размера 225/45 R17;
R - диаметр колеса, дюймы; например, "17" для шины размера 225/45 R17.
Значение
Udyn округляют согласно
разделу 6 до целых миллиметров.
Если значение Udyn на передней и задней осях различается, то на динамометрах как с половинным, так и с полным приводом для главной ведущей оси используют соотношение n/v.
По соответствующей просьбе компетентному органу предоставляют необходимую информацию для целей такого выбора.
(обязательное)
ПОЛНЫЕ ЭЛЕКТРОМОБИЛИ, ГИБРИДНЫЕ ЭЛЕКТРОМОБИЛИ И ГИБРИДНЫЕ
ТРАНСПОРТНЫЕ СРЕДСТВА НА ТОПЛИВНЫХ ЭЛЕМЕНТАХ, РАБОТАЮЩИЕ
НА КОМПРИМИРОВАННОМ ВОДОРОДЕ
Е.1 Общие требования
В случае испытания ГЭМ-БЗУ, ГЭМ-ВЗУ, ГТСТЭ-БЗУ и ГТСТЭ-ВЗУ
Е.6 и
Е.8 заменяют собой
Г.4.
Если не указано иное, то все требования настоящего приложения применяют к ТС как с возможностью выбора режимов эксплуатации водителем, так и без такой возможности. Если в настоящем приложении четко не указано иное, то все требования и процедуры, изложенные в
приложениях Г и
Д, распространяются на ГЭМ-БЗУ, ГЭМ-ВЗУ, ГТСТЭ-БЗУ, ГТСТЭ-ВЗУ и ПЭМ.
Е.1.1 Единицы измерения, точность и дискретность электрических параметров
Единицы, точность и дискретность измерений должны соответствовать указанным в
таблице Е.1.
Таблица Е.1
Параметры, единицы, точность и дискретность измерений
Параметр | Единицы измерения | Точность измерения | Дискретность |
Электрическая энергия <1> | Вт·ч | +/- 1% | |
Электрический ток | А | +/- 0,3% диапазона полной шкалы или +/- 1% показания <3>, <4> | 0,1 А |
Электрическое напряжение | В | +/- 0,3% диапазона полной шкалы или +/- 1% показания <3> | 0,1 В |
<1> Оборудование: статический счетчик активной энергии. <2> Электросчетчик переменного тока класса 1 в соответствии со стандартом [14] или эквивалентным стандартом. <3> В зависимости от того, какая величина больше. <4> Частота интегрирования тока 20 Гц или более. |
Е.1.2 Испытание на выбросы и расход топлива
Параметры, единицы и точность измерений должны соответствовать требованиям для транспортных средств, работающих только от ДВС.
Е.1.3 Округление результатов испытания
Е.1.3.1 За исключением тех случаев, когда это требуется, промежуточные результаты расчетов не округляют.
Е.1.3.2 В случае ГЭМ-ВЗУ и ГЭМ-БЗУ окончательные результаты измерения выбросов основных загрязнителей округляют согласно
Д.1.3.2, поправочный коэффициент на NO
x,
KH, округляют согласно
Д.1.3.3, а коэффициент разбавления,
DF, округляют согласно
Д.1.3.4.
Е.1.3.3 Если соответствующая информация не указана в стандартах, то руководствуются квалифицированным инженерно-техническим заключением.
Е.1.3.4 Порядок округления результатов определения запаса хода, выбросов CO2, потребления энергии и расхода топлива указан в приведенных в расчетных таблицах настоящего приложения.
Е.1.4 Классификация транспортных средств
Все ГЭМ-ВЗУ, ГЭМ-БЗУ, ПЭМ, ГТСТЭ-ВЗУ и ГТСТЭ-БЗУ относятся к ТС класса 3. Для целей процедуры испытания типа 1 применимый испытательный цикл определяют по
Е.1.4.2 на основе соответствующего исходного испытательного цикла, описанного в
Е.1.4.1.
Е.1.4.1 Исходный испытательный цикл
Е.1.4.1.1 Исходные испытательные циклы применительно к классу 3 указаны в
А.3.3.
Е.1.4.1.2 В отношении ПЭМ применительно к испытательным циклам по
А.3.3 применяют процедуру пропорционального уменьшения параметров согласно
А.8.2.3 и
А.8.3, заключающуюся в соответствии с
[3] в замене показателя номинальной мощности на показатель максимальной полезной мощности. В этом случае редуцированный цикл становится исходным испытательным циклом.
Е.1.4.2 Применимый испытательный цикл
Е.1.4.2.1 Применимый испытательный цикл ВПИМ
Для целей процедуры испытания типа 1 применимым испытательным циклом ВПИМ (ВЦИМГ) является исходный испытательный цикл по
Е.1.4.1.
Если применяют положения
А.9 на основе исходного испытательного цикла, описанного в
Е.1.4.1, то для целей процедуры испытания типа 1 применимым испытательным циклом ВПИМ (ВЦИМГ) является этот модифицированный испытательный цикл.
Е.1.4.2.2 Применимый городской испытательный цикл ВПИМ
Городской испытательный цикл ВПИМ (WLTC
city) применительно к классу 3 указан в
А.3.5.
Е.1.5 ГЭМ-ВЗУ, ГЭМ-БЗУ, ГТСТЭ-ВЗУ, ГТСТЭ-БЗУ и ПЭМ с ручной коробкой передач
Прогон этих ТС выполняют в соответствии с указаниями, имеющимися на органе управления переключением передач, при их наличии, либо в соответствии с инструкциями изготовителя, содержащимися в руководстве по эксплуатации.
Е.2 Обкатка испытуемого ТС
ТС, подвергаемое испытанию в соответствии с настоящим приложением, должно находиться в исправном техническом состоянии и пройти обкатку в соответствии с рекомендациями изготовителя. Если ПСАЭ работают при температуре, превышающей нормальный диапазон рабочих температур, то оператор должен придерживаться процедуры, которая рекомендуется изготовителем ТС для поддержания температуры ПСАЭ в обычном диапазоне ее эксплуатации. Изготовитель представляет доказательства того, что система обеспечения температурного режима ПСАЭ не повреждена и ее функциональные возможности не ограничены.
Е.2.1 ГЭМ-ВЗУ и ГЭМ-БЗУ должны пройти обкатку в соответствии с требованиями
Г.2.3.3.
Е.2.2 ГТСТЭ-БЗУ и ГТСТЭ-ВЗУ должны пройти обкатку не менее 300 км с установленной на них системой топливных элементов и ПСАЭ.
Е.2.3 ПЭМ должны пройти обкатку не менее 300 км или расстояние пробега на одной полной зарядке, в зависимости от того, какая величина больше.
Е.2.4 Из контрольной проверки исключаются все ПСАЭ, не оказывающие влияния на массу выбросов CO2 или расход H2.
Е.3.1 Общие требования
| | ИС МЕГАНОРМ: примечание. В официальном тексте документа, видимо, допущена опечатка: имеются в виду п.п. Е.3.1.1.1 - Е.3.1.1.6, а не Г.3.1.1.1 - Г.3.1.1.6 соответственно. | |
Е.3.1.1 В отношении всех ГЭМ-ВЗУ, ГЭМ-БЗУ, ПЭМ, ГТСТЭ-ВЗУ и ГТСТЭ-БЗУ в соответствующих случаях применяют положения, приведенные в
Г.3.1.1.1 -
Г.3.1.1.6.
Е.3.1.1.1 ТС испытывают с соблюдением применимых испытательных циклов, указанных в
Е.1.4.2.
Е.3.1.1.2 Если ТС не в состоянии придерживаться хронометража применимого испытательного цикла в пределах допустимых отклонений от кривой скорости согласно
перечислению б) Г.2.6.8.3 (приложение Г), то, если не указано иное, включают устройство управления акселератором для восстановления хронометража цикла.
Е.3.1.1.3 Процедуру запуска силового агрегата выполняют с использованием предусмотренных для этой цели устройств запуска согласно инструкциям изготовителя.
Е.3.1.1.4 В случае ГЭМ-ВЗУ, ГЭМ-БЗУ, ГТСТЭ-ВЗУ, ГТСТЭ-БЗУ и ПЭМ для каждого применимого испытательного цикла отбор проб для определения уровня выбросов отработавших газов и измерение потребления электроэнергии начинают до запуска двигателя ТС или в момент его запуска и завершают по окончании соответствующего применимого испытательного цикла.
Е.3.1.1.5 В случае ГЭМ-ВЗУ и ГЭМ-БЗУ анализ содержащихся в выбросах газообразных соединений проводят для каждой отдельной фазы испытания. Пофазовый анализ можно не проводить для тех фаз, на которых двигатель внутреннего сгорания не функционирует.
Е.3.1.1.6 Если это применимо, то определение количества частиц проводят для каждой отдельной фазы, а измерение уровня выбросов взвешенных частиц - для каждого применимого испытательного цикла.
Е.3.1.2 Принудительное охлаждение, предусмотренное
Г.2.7.2, применяют только при испытании типа 1 в режиме сохранения заряда для ГЭМ-ВЗУ согласно
Е.3.2, а также при испытании ГЭМ-БЗУ согласно
Е.3.3.
Е.3.1.3 На испытания ПЭМ, проводимые по
Е.3.4 (процедура испытания ПЭМ), и испытания ГТСТЭ по
Е.3.2 (процедура испытания ГТСТЭ-ВЗУ) и
Е.3.5 (процедура испытания ГТСТЭ-БЗУ) требования
Г.2.2.2.1 не распространяются.
Е.3.2 ГЭМ-ВЗУ и ГТСТЭ-ВЗУ
Е.3.2.1 ТС испытывают в эксплуатационном режиме расходования заряда (режим РЗ) и эксплуатационном режиме сохранения заряда (режим СЗ).
Е.3.2.2 Для испытания ТС может использоваться одна их четырех возможных последовательностей испытаний, приведенных в
Г.3.2.2.1 -
Г.3.2.2.4.
Е.3.2.2.1 Вариант 1: испытание типа 1 в режиме расходования заряда без последующего испытания типа 1 в режиме сохранения заряда.
Е.3.2.2.2 Вариант 2: испытание типа 1 в режиме сохранения заряда без последующего испытания типа 1 в режиме расходования заряда.
Е.3.2.2.3 Вариант 3: испытание типа 1 в режиме расходования заряда с последующим испытанием типа 1 в режиме сохранения заряда.
Е.3.2.2.4 Вариант 4: испытание типа 1 в режиме сохранения заряда с последующим испытанием типа 1 в режиме расходования заряда.
Рисунок Е.1 - Возможные варианты последовательности
испытания ГЭМ-ВЗУ и ГТСТЭ-ВЗУ
Е.3.2.3 Выбираемый водителем режим устанавливают с учетом последовательностей испытания (вариант 1 - вариант 4).
Е.3.2.4 Испытание типа 1 в режиме расходования заряда без последующего испытания типа 1 в режиме сохранения заряда (вариант 1)
Последовательность испытания по варианту 1, описанному в
Е.3.2.4.1 -
Е.3.2.4.7 включительно, а также соответствующий профиль уровня зарядки ПСАЭ показаны на
рисунке Е.7.
Е.3.2.4.1 Предварительное кондиционирование
Подготовку ТС осуществляют в соответствии с процедурами, предусмотренными в
Е.9.2.2.
Е.3.2.4.2 Условия проведения испытания
Испытание ТС проводят при полностью заряженной ПСАЭ, соответствующей требованиям в отношении зарядки, указанным в
Е.9.2.2.3, и в эксплуатационном режиме расходования заряда.
Установление выбираемого водителем режима
Для ТС с возможностью выбора режимов водителем режим применительно к испытанию типа 1 в условиях расходования заряда выбирают в соответствии с
Е.11.2.
Е.3.2.4.3 Процедура испытания типа 1 в режиме расходования заряда
Процедура испытания типа 1 в режиме расходования заряда включает ряд последовательных циклов, за каждым из которых следует период выдерживания продолжительностью не более 30 мин до перехода в эксплуатационный режим сохранения заряда.
В периоды выдерживания между отдельными применимыми испытательными циклами силовой агрегат должен быть выключен, а ПСАЭ не подзаряжают от внешнего источника электроэнергии. Между фазами испытательного цикла контрольно-измерительные приборы для измерения силы тока во всех ПСАЭ и определения напряжения всех ПСАЭ в соответствии с
Е.8 не выключают. Что касается показаний счетчика ампер-часов, то их интегрирование осуществляют непрерывно на протяжении всего испытания до тех пор, пока оно не будет завершено.
При повторном запуске после выдерживания производят прогон ТС в выбираемом водителем режиме работы согласно
Е.3.2.4.2.
Калибровку анализаторов и их установку на нуль можно выполнять до и после испытания типа 1 в режиме расходования заряда.
Е.3.2.4.4 Завершение испытания типа 1 в режиме расходования заряда
Испытание типа 1 в режиме расходования заряда считают завершенным, когда впервые выполняется граничный критерий согласно
Е.3.2.4.5. Количество применимых испытательных циклов ВПИМ вплоть до и включая цикл, когда впервые выполняется граничный критерий, обозначают как
n+1.
Применимый испытательный цикл ВПИМ n называют переходным циклом.
Применимый испытательный цикл ВПИМ n+1 называют подтверждающим циклом.
Для ТС, у которых режим сохранения заряда не поддерживается на протяжении полного применимого испытательного цикла ВПИМ, испытание типа 1 в режиме расходования заряда считают завершенным, когда показания штатных приборов на приборной панели свидетельствуют о необходимости остановки ТС либо когда отклонение ТС от предписанных допусков для кривой скорости составляет не менее 4 с подряд. Устройство управления акселератором выключают и ТС затормаживают до полной остановки в течение 60 с.
Е.3.2.4.5 Граничный критерий
а) Для каждого прогона по применимому испытательному циклу ВПИМ проверяют выполнение граничного критерия.
б) Граничный критерий для испытания типа 1 в режиме расходования заряда считают выполненным, когда относительное изменение уровня электроэнергии
REECi, вычисленное по
формуле (Е.1), составляет менее 0,04.

, (Е.1)
где

- изменение уровня электроэнергии всех ПСАЭ за рассматриваемый испытательный цикл
i в ходе испытания типа 1 в режиме расходования заряда, рассчитанное в соответствии с
Е.4.3, Вт·ч;
Ecycle - потребность в энергии для осуществления рассматриваемого применимого испытательного цикла ВПИМ, рассчитанная в соответствии с
Д.5, Вт·с;
i - порядковый номер рассматриваемого применимого испытательного цикла ВПИМ;
1/3600 - коэффициент пересчета величины потребности в энергии для выполнения цикла в Вт·ч.
Е.3.2.4.6 Зарядка ПСАЭ и измерение электроэнергии подзарядки
ТС подключают к электрической сети в течение 120 мин после завершения применимого испытательного цикла ВПИМ n+1, в ходе которого впервые выполняется граничный критерий для испытания типа 1 в режиме расходования заряда.
ПСАЭ является полностью заряженной, когда выполняется критерий прекращения зарядки, определенный в
Е.9.2.2.3.
Электроэнергию подзарядки
EAC, поступающую из электрической сети, а также продолжительность зарядки измеряют при помощи оборудования для измерения энергии, помещенного между зарядным устройством ТС и электрической сетью. Измерение электрической энергии может быть прекращено, когда выполняется критерий прекращения зарядки, определенный в
Е.9.2.2.3.
Е.3.2.4.7 При прогоне по каждому отдельному применимому испытательному циклу ВПИМ в ходе испытания типа 1 в режиме расходования заряда должны соблюдаться применимые предельные нормы выбросов основных загрязнителей в соответствии с
Г.1.2.
Е.3.2.5 Испытание типа 1 в режиме сохранения заряда без последующего испытания типа 1 в режиме расходования заряда (вариант 2)
| | ИС МЕГАНОРМ: примечание. В официальном тексте документа, видимо, допущена опечатка: имеются в виду п.п. Е.3.2.5.1 - Е.3.2.5.3, а не Г.3.2.5.1 - Г.3.2.5.3 соответственно. | |
Последовательность испытания по варианту 2, описанному в
Г.3.2.5.1 -
Г.3.2.5.3 включительно, а также соответствующий профиль уровня зарядки ПСАЭ показаны на
рисунке Е.8.
Е.3.2.5.1 Предварительное кондиционирование и выдерживание
Подготовку ТС осуществляют в соответствии с процедурами, предусмотренными в
Е.9.2.1.
Е.3.2.5.2 Условия проведения испытания
Испытание ТС проводят в эксплуатационном режиме сохранения заряда.
Установление выбираемого водителем режима
Для ТС с возможностью выбора режимов водителем режим применительно к испытанию типа 1 в условиях сохранения заряда выбирают в соответствии с
Е.11.3.
Е.3.2.5.3 Процедура испытания типа 1
Испытание ТС осуществляют в соответствии с процедурами испытания типа 1, определенными в приложении Е, с соблюдением применимых предельных норм выбросов основных загрязнителей в соответствии с
Е.1.2.
Если это необходимо, то массу выбросов CO
2 корректируют в соответствии с
Е.6.
Е.3.2.6 Испытание типа 1 в режиме расходования заряда с последующим испытанием типа 1 в режиме сохранения заряда (вариант 3)
Последовательность испытания по варианту 3, описанному в
Е.3.2.6.1 -
Е.3.2.6.3, а также соответствующий профиль уровня зарядки ПСАЭ показаны на
рисунке Е.9.
Е.3.2.6.1 При проведении испытания типа 1 в режиме расходования заряда руководствуются положениями
Е.3.2.4.1 -
Е.3.2.4.5, а также
Е.3.2.4.7.
Е.3.2.6.3 Зарядка ПСАЭ и измерение электроэнергии подзарядки
ТС подключают к электрической сети в течение 120 мин после завершения испытания типа 1 в режиме сохранения заряда.
ПСАЭ является полностью заряженной, когда выполняется критерий прекращения зарядки, определенный в
Е.9.2.2.3.
Электроэнергию подзарядки E
AC, поступающую из электрической сети, а также продолжительность зарядки измеряют при помощи оборудования для измерения энергии, помещенного между зарядным устройством ТС и электрической сетью. Измерение электрической энергии может быть прекращено, когда выполняется критерий прекращения зарядки, определенный в
Е.9.2.2.3.
Е.3.2.7 Испытание типа 1 в режиме сохранения заряда с последующим испытанием типа 1 в режиме расходования заряда (вариант 4)
Последовательность испытания по варианту 4, описанному в
Е.3.2.7.1 и
Е.3.2.7.2, а также соответствующий профиль уровня зарядки ПСАЭ показаны на
рисунке Е.10.
Е.3.2.7.1 При проведении испытания типа 1 в режиме сохранения заряда руководствуются положениями
Е.3.2.5.1 -
Е.3.2.5.3, а также
Е.3.2.6.3.
Е.3.2.7.2 Впоследствии при проведении испытания типа 1 в режиме расходования заряда руководствуются положениями
Е.3.2.4.2 -
Е.3.2.4.7.
Последовательность испытания, описанная в
Е.3.3.1 -
Е.3.3.3, а также соответствующий профиль уровня зарядки ПСАЭ показаны на
рисунке Е.11.
Е.3.3.1 Предварительное кондиционирование и выдерживание
Е.3.3.1.1 ТС подвергают предварительному кондиционированию в соответствии с
Г.2.6.
В дополнение к требованиям
Г.2.6 перед предварительным кондиционированием уровень зарядки тяговой ПСАЭ для испытания в условиях сохранения заряда может быть выбран в соответствии с рекомендацией изготовителя для обеспечения применительно к испытанию эксплуатационного режима сохранения заряда.
Е.3.3.1.2 ТС выдерживают в соответствии с
Г.2.7.
Е.3.3.2 Условия проведения испытания
Е.3.3.2.1 Испытание ТС проводят в эксплуатационном режиме сохранения заряда.
Е.3.3.2.2 Установление выбираемого водителем режима
Для ТС с возможностью выбора режимов водителем режим применительно к испытанию типа 1 в условиях сохранения заряда выбирают в соответствии с
Е.11.3.
Е.3.3.3 Процедура испытания типа 1
Е.3.3.3.1 Испытание ТС осуществляют в соответствии с процедурой испытания типа 1, определенной в
приложении Г.
Е.3.3.3.2 Если это необходимо, то массу выбросов CO
2 корректируют в соответствии с
Е.6.
Е.3.3.3.3 Испытание типа 1 в режиме сохранения заряда проводят с соблюдением применимых предельно допустимых уровней выбросов основных загрязнителей в соответствии с
Г.1.2.
Е.3.4.1 Общие требования
Процедуру испытания для определения запаса хода только на электротяге и потребления электроэнергии выбирают с учетом расчетного запаса хода только на электротяге (PER) испытуемого ТС по
таблице Е.2. В случае использования метода интерполяции применимую процедуру испытания выбирают с учетом PER ТС H, относящегося к конкретному интерполяционному семейству.
Таблица Е.2
Процедуры определения запаса хода только на электротяге
и потребления электроэнергии
Применимый испытательный цикл | Требования к расчетному PER | Применимая процедура испытания |
Испытательный цикл согласно Е.1.4.2.1, включая фазу сверхвысокой скорости | Расчетный PER менее продолжительности трех применимых испытательных циклов ВПИМ | Процедура испытания типа 1 с прогоном по последовательным циклам (согласно Е.3.4.4.1) |
Расчетный PER соответствует продолжительности трех применимых испытательных циклов ВПИМ или превышает ее | Сокращенная процедура испытания типа 1 (согласно Е.3.4.4.2) |
Испытательный цикл согласно Е.1.4.2.1, исключая фазу сверхвысокой скорости | Расчетный PER менее продолжительности четырех применимых испытательных циклов ВПИМ | Процедура испытания типа 1 с прогоном по последовательным циклам (согласно Е.3.4.4.1) |
Расчетный PER соответствует продолжительности четырех применимых испытательных циклов ВПИМ или превышает ее | Сокращенная процедура испытания типа 1 (согласно Е.3.4.4.2) |
| Расчетный PER не определяется по применимому испытательному циклу ВПИМ | Процедура испытания типа 1 с прогоном по последовательным циклам (согласно Е.3.4.4.1) |
Перед началом испытания изготовитель предоставляет компетентному органу подтверждающие данные относительно расчетного запаса хода только на электротяге (PER). В случае использования метода интерполяции применимую процедуру испытания определяют на основе расчетного PER ТС H, относящегося к соответствующему интерполяционному семейству. PER, определенный по применяемой процедуре испытания, должен подтверждать правильность выбранной процедуры.
Последовательность испытания применительно к процедуре испытания типа 1 с прогоном по последовательным циклам, описанной в
Е.3.4.2,
Е.3.4.3 и
Е.3.4.4.1, а также соответствующий профиль уровня зарядки ПСАЭ показаны на
рисунке Е.12.
Последовательность испытания применительно к сокращенной процедуре испытания типа 1, описанной в
Е.3.4.2,
Е.3.4.3 и
Е.3.4.4.2, а также соответствующий профиль уровня зарядки ПСАЭ показаны на
рисунке Е.13.
Е.3.4.2 Предварительное кондиционирование
Подготовку ТС осуществляют в соответствии с процедурами, предусмотренными в
Е.9.3.
Е.3.4.3 Установление выбираемого водителем режима
Для ТС с возможностью выбора режимов водителем режим применительно к испытанию выбирают в соответствии с
Е.11.4.
Е.3.4.4 Процедуры испытания типа 1 для ПЭМ
Е.3.4.4.1 Процедура испытания типа 1 с прогоном по последовательным циклам:
а) Кривая скорости и перерывы
Испытание проводят путем прогона по последовательным применимым испытательным циклам до выполнения граничного критерия в соответствии с
перечислением в).
Перерывы для водителя и/или оператора допускаются только между испытательными циклами при максимальном общем времени перерывов, составляющем 10 мин. Во время перерыва силовой агрегат отключают.
б) Измерение силы тока в ПСАЭ и определение напряжения ПСАЭ
С момента начала испытания и до выполнения граничного критерия измерение силы тока во всех ПСАЭ и определение напряжения всех ПСАЭ производят в соответствии с
Е.8.
Граничный критерий считают выполненным, когда отклонение ТС от предписанных допусков для кривой скорости, указанных в
б) Г.2.6.8.3, составляет не менее 4 с подряд. Устройство управления акселератором выключают. ТС затормаживают до полной остановки в течение 60 с.
Е.3.4.4.2 Сокращенная процедура испытания типа 1
Кривая скорости
Сокращенная процедура испытания типа 1 включает два динамических сегмента
DS1 и
DS2 в сочетании с двумя сегментами постоянной скорости (
CSSM и
CSSE), как показано на
рисунке Е.2.
Рисунок Е.2 - Кривая скорости для сокращенной процедуры
испытания типа 1
Динамические сегменты DS1 и DS2 служат для расчета потребления энергии в ходе рассматриваемой фазы, применимого городского испытательного цикла ВПИМ и применимого испытательного цикла ВПИМ.
Сегменты постоянной скорости CSSM и CSSE призваны уменьшить продолжительность испытания за счет более быстрой разрядки ПСАЭ по сравнению с процедурой испытания типа 1 с прогоном по последовательным циклам.
Динамические сегменты
Каждый динамический сегмент,
DS1 и
DS2, состоит из применимого испытательного цикла ВПИМ согласно
Е.1.4.2.1, за которым следует применимый городской испытательный цикл ВПИМ согласно
Е.1.4.2.2.
Сегменты постоянной скорости
Для сегментов CSSM и CSSE значения постоянной скорости должны быть одинаковыми. В случае метода интерполяции постоянная скорость, используемая применительно к интерполяционному семейству, является одной и той же.
а) Параметры скорости
Минимальная скорость для сегментов постоянной скорости составляет 100 км/ч. Если договаривающаяся сторона исключает фазу сверхвысокой скорости (Extra High3), то за минимальную скорость для сегментов постоянной скорости принимают 80 км/ч. По просьбе изготовителя и с одобрения компетентного органа применительно к сегментам постоянной скорости может быть выбрано более высокое значение постоянной скорости.
Разгон до постоянной скорости осуществляют плавно и прекращают в течение 1 мин после завершения динамических сегментов, а в случае перерыва согласно
таблице Е.3 - после начала процедуры запуска силового агрегата.
Замедление при движении с постоянной скоростью осуществляют плавно и прекращают в течение 1 мин после завершения сегментов постоянной скорости.
Если максимальная скорость ТС меньше минимальной скорости, предписанной для сегментов постоянной скорости согласно параметрам скорости, указанным в настоящем пункте, то для такого ТС скорость, требуемая в ходе сегментов постоянной скорости, равняется его максимальной скорости.
б) Определение расстояния, пройденного за CSSE и CSSM
Протяженность сегмента постоянной скорости
CSSE определяют на основе доли используемой полезной энергии ПСАЭ,
UBESTP, согласно
Е.4.4.2.1. Заряд энергии, остающийся в тяговой ПСАЭ после динамического сегмента
DS2, не должен превышать 10%
UBESTP. По завершении испытания изготовитель представляет компетентному органу данные, подтверждающие соблюдение этого требования.
Протяженность dCSSM сегмента постоянной скорости CSSM, вычисляют по формуле

, (Е.2)
где PERest - расчетный запас хода только на электротяге рассматриваемого ПЭМ, км;

- протяженность динамического сегмента 1, км;

- протяженность динамического сегмента 2, км;
dCSSE - протяженность сегмента постоянной скорости CSSE, км.
Перерывы
Перерывы для водителя и/или оператора допускаются только во время сегментов постоянной скорости согласно
таблице Е.3.
Таблица Е.3
Перерывы для водителя и/или оператора
Расстояние, пройденное за сегмент постоянной скорости CSSM, км | Максимальное общее время перерывов, мин |
До 100 | 10 |
До 150 | 20 |
До 200 | 30 |
До 300 | 60 |
Более 300 | С учетом рекомендации изготовителя |
Примечание - Во время перерыва силовой агрегат отключают. |
Измерение силы тока в ПСАЭ и определение напряжения ПСАЭ
С момента начала испытания и до выполнения граничного критерия измерение силы тока во всех ПСАЭ и определение напряжения всех ПСАЭ производят в соответствии с
Е.8.
Граничный критерий
Граничный критерий считают выполненным, когда отклонение ТС от предписанных допусков для кривой скорости, указанных в
б) Г.2.6.8.3, составляет для второго сегмента постоянной скорости
CSSE не менее 4 с подряд. Устройство управления акселератором выключают. ТС затормаживают до полной остановки в течение 60 с.
Е.3.4.4.3 Зарядка ПСАЭ и измерение электроэнергии подзарядки
После затормаживания до полной остановки согласно
перечислению в) Е.3.4.4.1 (в случае процедуры испытания типа 1 с прогоном по последовательным циклам) и граничному критерию по
Е.3.4.4.2 (в случае сокращенной процедуры испытания типа 1) ТС подключают к электрической сети в течение 120 мин.
ПСАЭ является полностью заряженной, когда выполняется критерий прекращения зарядки, определенный в
Е.9.2.2.3.
Электроэнергию подзарядки E
AC, поступающую из электрической сети, а также продолжительность зарядки измеряют при помощи оборудования для измерения энергии, помещенного между зарядным устройством ТС и электрической сетью. Измерение электрической энергии может быть прекращено, когда выполняется критерий прекращения зарядки, определенный в
пункте Е.9.2.2.3.
Последовательность испытания, описанная в
Е.3.5.1 -
Е.3.5.3 включительно, а также соответствующий профиль уровня зарядки ПСАЭ показаны на
рисунке Е.11.
Е.3.5.1 Предварительное кондиционирование и выдерживание
ТС подвергают предварительному кондиционированию и выдерживанию в соответствии с
Е.3.3.1.
Е.3.5.2 Условия проведения испытания
Е.3.5.2.1 Испытание ТС проводят в эксплуатационном режиме сохранения заряда.
Е.3.5.2.2 Установление выбираемого водителем режима
Для ТС с возможностью выбора режимов водителем режим применительно к испытанию типа 1 в условиях сохранения заряда выбирают в соответствии с
Е.11.3.
Е.3.5.3 Процедура испытания типа 1
Е.3.5.3.1 Испытание ТС осуществляют в соответствии с процедурой испытания типа 1, определенной в
приложении Г, а расход топлива вычисляют в соответствии с
Е.11.
Е.3.5.3.2 Если это необходимо, то расход топлива корректируют в соответствии с
Е.6.
Е.4 Расчеты применительно к гибридным электромобилям, полным электромобилям и транспортным средствам на топливных элементах, работающим на компримированном водороде
Е.4.1 Расчет выбросов газообразных соединений, выбросов взвешенных частиц и количества частиц в выбросах
Е.4.1.1 Массовый показатель выбросов газообразных соединений, выбросов взвешенных частиц и количества частиц в выбросах в режиме сохранения заряда для ГЭМ-ВЗУ и ГЭМ-БЗУ
Уровень выбросов взвешенных частиц в режиме сохранения заряда, PM
CS, рассчитывают по
Д.3.3.
Количество частиц в выбросах в режиме сохранения заряда, PN
CS рассчитывают по
Д.4.
Е.4.1.1.1 Пошаговая процедура расчета окончательных результатов испытания типа 1 в режиме сохранения заряда для ГЭМ-БЗУ и ГЭМ-ВЗУ
Расчет результатов выполняют в порядке, указанном в
таблице Е.4. Все применимые результаты в
колонке "Выходные данные" регистрируют. В
колонке "Порядок" указаны пункты, на основании которых производится расчет или приводятся дополнительные уравнения для расчета.
Таблица Е.4
Расчет окончательных значений газообразных выбросов
и показателей топливной экономичности в режиме сохранения
заряда (показатель FE применим только для результатов
после трех фаз)
Номер шага | Источник | Исходные данные | | |
| | Необработанные результаты испытания | Масса выбросов в режиме сохранения заряда ( Д.3 - Д.3.2.2) |  , г/км |
| | Mi,CS,p,1, г/км;  , г/км | Расчет значений за полный цикл в режиме сохранения заряда:  , где Mi,CS,c,2 - результат измерения массы выбросов в режиме сохранения заряда за весь цикл;  - результат измерения массы выбросов CO 2 в режиме сохранения заряда за весь цикл; dp - расстояние, пройденное в течение фаз цикла, p |  , г/км |
| |  , г/км; | |  , г/км;  , г/км |
|  , г/км |
4а | | Mi,CS,c,2, г/км; | Корректировка массового показателя выбросов в режиме сохранения заряда для всех ТС, оснащенных системами периодической регенерации, Ki, согласно Г.3. Mi,CS,c,4 = Ki·Mi,CS,c,2 или Mi,CS,c,4 = Ki + Mi,CS,c,2 и или При определении Ki используют аддитивную поправку или мультипликативный коэффициент. Если Ki не применяют, то: Mi,CS,c,4 = Mi,CS,c,2 |  , г/км |
|  , г/км |
4б | |  , г/км;  , г/км; | Если применяют Ki, то соответствующие фазе значения для CO2 корректируют с учетом значения за полный цикл: применительно к каждой фазе p цикла; где  . Если Ki не применяют, то: |  , г/км |
|  , г/км |
4в | | Mi,CS,c,4a, г/км;  , г/км | Если эти значения не используются для цели проверки соответствия производства, то: Mi,c,4c = Mi,c,4a | |
| Mi,c,4a, г/км;  , г/км | Если эти значения не используются для цели проверки, то: FEc,4c = FEc,4c_temp | FEc,4c, км/л |
5 Результат единичного испытания | |  , г/км;  , г/км | Замещающий показатель с учетом дополнительных коррективов, если применимо. В противном случае: |  , г/км;  , г/км |
Mi,CS,c,4c, г/км; FEc,4c, км/л | Применение показателей ухудшения с учетом показателей выбросов основных загрязнителей Mi,c,5 = Mi,c,4c | Mi,CS,c,5, г/км; FEc,5, км/л |
| | ИС МЕГАНОРМ: примечание. В официальном тексте документа, видимо, допущена опечатка: имеются в виду п.п. Г.1.2 - Г.1.2.3, а не Е.1.2 - Е.1.2.3 соответственно. | |
|
6 Mi,CS результаты испытания типа 1 для испытуемого ТС | | По каждому испытанию: Mi,CS,c,5, г/км;  , г/км;  , г/км | Усреднение результатов испытаний и заявленное значение согласно Е.1.2 - Е.1.2.3. |  , г/км;  , г/км;  , г/км |
| FEc,5, км/л | Усреднение результатов испытаний и заявленное значение ( Г.1.2 - Г.1.2.3). Преобразование из FEc,declared в  производят для применимого цикла. Для этой цели используют значение уровня выбросов основных загрязнителей, полученное по всему циклу. | FEc,declared, км/л;  , г/км |
7  результаты испытания типа 1 для испытуемого ТС | |  , г/км;  , г/км;  , г/км | Корректировка соответствующих фазе значений (Г.1.2.4) и  |  , г/км;  , г/км |
8 С учетом результатов только по четырем фазам Результат по интерполяционному семейству. Окончательный результат по выбросам основных загрязнителей Если метод интерполяции не используется, то шаг 9 не требуется и за окончательный результат по CO 2 принимают выходные данные по настоящему шагу | | По каждому из испытуемых транспортных средств H и L и, в случае применимости, ТС M: Mi,CS,c,6, г/км; | Если помимо испытуемого ТС H испытанию подвергалось также испытуемое ТС L и, в случае применимости, ТС M, то за результирующее значение уровня выбросов основных загрязнителей принимают наибольшее из двух или, в случае применимости, трех значений, которое обозначают как Mi,CS,c. В случае объема выбросов THC + NOx в смешанном цикле заявляют наибольшее значение по сумме, рассчитанной применительно к ТС L или ТС H либо, в случае применимости, ТС M. Если же никакое ТС L или, в случае применимости, ТС M испытанию не подвергалось, то Mi,CS,c = Mi,CS,c,6 При использовании метода интерполяции производят округление промежуточных результатов в соответствии с разделом 6. Значения для CO 2, определенные в рамках шага 7 согласно настоящей таблице, округляют до одной сотой. Кроме того, получают выходные данные по CO 2 для ТС H, L и, в случае применимости, M. Если же метод интерполяции не используется, то производят округление окончательных результатов в соответствии с разделом 6. Значения для CO 2, определенные в рамках шага 7 согласно настоящей таблице, округляют до ближайшего целого числа. |  , г/км;  , г/км |
| По каждому из испытуемых ТС H и L и, в случае применимости, ТС M:  , г/км;  , г/км |
9 С учетом результатов только по четырем фазам Результат по отдельному ТС Окончательный результат по CO2 | |  , г/км;  , г/км | Расчет массы выбросов CO 2 по Е.4.5.4.1 для отдельных ТС, относящихся к соответствующему интерполяционному семейству. Округление окончательных значений CO 2 для отдельных ТС производят в соответствии с разделом 6. Значения для CO 2 округляют до ближайшего целого числа. Выходные данные получают для каждого отдельного ТС. |  , г/км;  , г/км |
Примечание - В таблице используют следующие обозначения: c - полный применимый испытательный цикл; p - каждая фаза применимого цикла; для цели расчета EAERcity (в случае применимости) под p понимают городской ездовой цикл; i - соответствующий основной загрязнитель, содержащийся в выбросах (кроме CO2); CS - режим сохранения заряда; CO2 - масса выбросов CO2. |
Е.4.1.1.2 Если корректировка в соответствии с
Е.6.1.1.4 не производится, то используют следующее значение массы выбросов CO
2 в режиме сохранения заряда:

,
где

- масса выбросов CO
2 в режиме сохранения заряда при испытании типа 1 в условиях сохранения заряда согласно
таблице Е.4 (шаг 3), г/км;

- несбалансированная масса выбросов CO
2 в режиме сохранения заряда при испытании типа 1 в условиях сохранения заряда (без корректировки на баланс энергии), определенная в рамках
шага 2 согласно таблице Е.4, г/км.
Е.4.1.1.3 Если требуется корректировка массового показателя выбросов CO
2 в режиме сохранения заряда согласно
Е.6.1.1.3 либо в случае, когда производится корректировка в соответствии с
Е.6.1.1.4, скорректированную массу выбросов CO
2 в режиме сохранения заряда

, г/км, при испытании типа 1 в условиях сохранения заряда согласно
таблице Е.4 (шаг 3), вычисляют по формуле

, (Е.3)
где

- несбалансированная масса выбросов CO
2 при испытании типа 1 в режиме сохранения заряда (без корректировки на баланс энергии), определенная в рамках
шага 2 согласно таблице Е.4, г/км;
ECDC,CS - потребление электроэнергии в ходе испытания типа 1 в режиме сохранения заряда, определенное согласно
Е.4.3, Вт·ч/км;

- коэффициент корректировки массового показателя выбросов CO
2 согласно
Е.6.2.3.2, (г/км)/(Вт·ч/км).
Е.4.1.1.4 Если коэффициенты корректировки соответствующего фазе массового показателя выбросов CO
2 определены не были, то такой соответствующий фазе p массовый показатель выбросов CO
2 
, г/км, в режиме сохранения заряда при испытании типа 1 в условиях сохранения заряда согласно
таблице Е.4 (шаг 3), вычисляют по формуле

, (Е.4)
где

- соответствующая фазе p несбалансированная масса выбросов CO
2 при испытании типа 1 в режиме сохранения заряда (без корректировки на баланс энергии), определенная в рамках
шага 1 согласно таблице Е.4, г/км;
ECDC,CS,p - соответствующее фазе p потребление электроэнергии в ходе испытания типа 1 в режиме сохранения заряда, определенное согласно
Е.4.3, Вт·ч/км;

- коэффициент корректировки массового показателя выбросов CO
2 согласно
Е.6.2.3.2, (г/км)/(Вт·ч/км).
Е.4.1.1.5 Если коэффициенты корректировки соответствующего фазе массового показателя выбросов CO
2 были определены, то такой соответствующий фазе p массовый показатель выбросов CO
2 
, г/км, в режиме сохранения заряда при испытании типа 1 в условиях сохранения заряда согласно
таблице Е.4 (шаг 3), вычисляют по формуле

, (Е.5)
где

- соответствующая фазе p несбалансированная масса выбросов CO
2 при испытании типа 1 в режиме сохранения заряда (без корректировки на баланс энергии), определенная в рамках
шага 1 согласно таблице Е.4, г/км;
ECDC,CS,p - соответствующее фазе p потребление электроэнергии в ходе испытания типа 1 в режиме сохранения заряда, определенное согласно
Е.4.3, Вт·ч/км;

- коэффициент корректировки массового показателя выбросов CO
2 согласно
Е.6.2.3.2, (г/км)/(Вт·ч/км);
p - порядковый номер отдельной фазы в рамках применимого испытательного цикла ВПИМ.
Е.4.1.2 Массовый показатель выбросов CO
2 в режиме расходования заряда для ГЭМ-ВЗУ
Взвешенный с учетом коэффициента полезности массовый показатель выбросов CO
2 в режиме расходования заряда,

, г/км, вычисляют (по усмотрению договаривающейся стороны) по одной из следующих формул

, (Е.6)
или

, (Е.7)
где

- соответствующая фазе
j масса выбросов CO
2 при испытании типа 1 в режиме расходования заряда, определенная по
Д.3.2.1, г/км;
UFj - соответствующий фазе
j коэффициент полезности согласно
Е.10;
j - порядковый номер рассматриваемой фазы;
k - количество фаз, пройденных до окончания переходного цикла, согласно
Е.3.2.4.4.
В случае использования метода интерполяции под k понимают количество фаз, пройденных до окончания переходного цикла ТС L, nveh_L.
Если количество фаз переходного цикла, пройденных ТС H,
nveh, H, и, в случае применимости, отдельным ТС, относящимся к соответствующему интерполяционному семейству,

, является меньше количества фаз переходного цикла, пройденных ТС L,
nveh_L, то при расчетах учитывают прогон ТС H и, если применимо, отдельного ТС по подтверждающему циклу. Затем производят корректировку массы выбросов CO
2 для каждой фазы подтверждающего цикла исходя из потребления электроэнергии, равного нулю (
ECDC,CS,j = 0) с использованием поправочного коэффициента на объем выбросов CO
2 согласно
Е.6.
Е.4.1.3 Взвешенные с учетом коэффициента полезности показатели выбросов газообразных соединений по массе, выброса взвешенных частиц и количества частиц в выбросах для ГЭМ-ВЗУ
Е.4.1.3.1 Взвешенный с учетом коэффициента полезности массовый показатель выбросов газообразных соединений
Mi,weighted, г/км, вычисляют по формуле

, (Е.8)
где i - индекс содержащегося в выбросах рассматриваемого газообразного соединения (кроме CO2);
UFj - соответствующий фазе
j коэффициент полезности согласно
Е.10;
Mi,CD,j - соответствующий фазе
j при испытании типа 1 в режиме расходования заряда массовый показатель выбросов газообразного соединения
i, определенный по
Д.3.2.1, г/км;
Mi,CS - масса выбросов газообразного соединения
i в режиме сохранения заряда при испытании типа 1 в условиях сохранения заряда, определенная в рамках
шага 6 согласно таблице Е.4, г/км;
j - порядковый номер рассматриваемой фазы;
k - количество фаз, пройденных до окончания переходного цикла, согласно
Е.3.2.4.4.
Взвешенный с учетом коэффициента полезности массовый показатель выбросов CO
2 в режиме расходования заряда

, г/км, вычисляют по формуле

, (Е.9)
где

- заявленное значение массы выбросов CO
2 в режиме расходования заряда согласно
таблице Е.7 (шаг 14), г/км;

- заявленное значение массы выбросов CO
2 в режиме сохранения заряда согласно
таблице Е.4 (шаг 7), г/км;

- среднее суммарное значение коэффициентов полезности для каждого испытания в режиме расходования заряда;
j - порядковый номер рассматриваемой фазы;
| | ИС МЕГАНОРМ: примечание. В официальном тексте документа, видимо, допущена опечатка: имеется в виду п. Е.3.2.4.4, а не Е.2.4.4. | |
k - количество фаз, пройденных до окончания переходного цикла, согласно
Е.2.4.4.
Если при расчете показателя выбросов CO2 прибегают к методу интерполяции, то для целей применения обоих уравнений по настоящему пункту под k понимают количество фаз, пройденных до окончания переходного цикла ТС L, nveh_L.
Если количество фаз переходного цикла, пройденных ТС H,

, и, в случае применимости, отдельным ТС, относящимся к соответствующему интерполяционному семейству,

, является меньше количества фаз переходного цикла, пройденных ТС L,
nveh_L, то при расчетах учитывают прогон ТС H и, если применимо, отдельного ТС по подтверждающему циклу. Затем производят корректировку массы выбросов CO
2 для каждой фазы подтверждающего цикла исходя из потребления электроэнергии, равного нулю (
ECDC,CD,j = 0), с использованием поправочного коэффициента на объем выбросов CO
2 согласно
Е.6.
Е.4.1.3.2 Взвешенный с учетом коэффициента полезности показатель количества частиц в выбросах частицы на километр, вычисляют по формуле

, (Е.10)
где
UFj - соответствующий фазе
j коэффициент полезности согласно
Е.10;
PNCD,J - количество частиц в выбросах в течение фазы
j при испытании типа 1 в режиме расходования заряда, определенное согласно
Д.4, частицы на километр;
PNCS - количество частиц в выбросах при испытании типа 1 в режиме сохранения заряда, определенное согласно
Е.4.1.1, частицы на километр;
j - порядковый номер рассматриваемой фазы;
k - количество фаз, пройденных до окончания переходного цикла
n, согласно
Е.3.2.4.4.
Е.4.1.3.3 Взвешенный с учетом коэффициента полезности показатель выброса взвешенных частиц
PMweighted, мг/км, вычисляют по формуле

, (Е.11)
где
UFc - соответствующий циклу
c коэффициент полезности согласно
Е.10 к настоящему приложению;
PMCD,c - показатель выброса взвешенных частиц в течение цикла c в режиме расходования заряда при испытании типа 1 в условиях расходования заряда, определенный согласно
Д.3.3, мг/км;
PMCS - показатель выброса взвешенных частиц при испытании типа 1 в режиме сохранения заряда, определенный согласно
Е.4.1.1, мг/км;
c - порядковый номер рассматриваемого цикла;
nc - количество применимых испытательных циклов ВПИМ, пройденных до окончания переходного цикла
n, согласно
Е.3.2.4.4.
Е.4.2 Расчет расхода топлива и топливной экономичности
Е.4.2.1 Расход топлива и топливная экономичность в режиме сохранения заряда для ГЭМ-ВЗУ, ГТСТЭ-ВЗУ, ГЭМ-БЗУ и ГТСТЭ-БЗУ
Е.4.2.1.1 Расход топлива и топливную экономичность в режиме сохранения заряда для ГЭМ-ВЗУ и ГЭМ-БЗУ рассчитывают пошагово в соответствии с
таблицей Е.5.
Таблица Е.5
Расчет окончательных значений расхода топлива и показателей
топливной экономичности в режиме сохранения заряда
для ГЭМ-ВЗУ и ГЭМ-БЗУ (показатель FE применим только
для результатов после трех фаз)
Номер шага | Источник | Исходные данные | Порядок | Выходные данные |
| | Mi,CS,c,6, г/км;  , г/км; FECS,declared, км/л | Расчет расхода топлива, FCCS,c, по Д.6 на основе  с преобразованием полученного по фазе значения в топливную экономичность FECS,cFECS,c, = FECS,declared Расход топлива рассчитывают отдельно по применимому циклу и его фазам. С этой целью используют: а) значения уровня выбросов CO2, полученные по применимой фазе или применимому циклу; б) значение уровня выбросов основных загрязнителей, полученное по всему циклу | FECS,c,1, км/л; |
|  , г/км;  , г/км |
FCCS,p,1, л/100 км; FECS,p,1 км/л |
Результат по интерполяционному семейству. Если метод интерполяции не используется, то шаг 3 не требуется и за окончательный результат принимают выходные данные по настоящему шагу | | FCCS,c,1, л/100 км; FCCS,p,1, л/100 км; FECS,c,1, км/л; FECS,p,1,, км/л | Что касается расхода топлива ( FC) и топливной экономичности ( FE), то используют значения, определенные в рамках шага 1 согласно настоящей таблице. При использовании метода интерполяции производят округление промежуточных результатов в соответствии с разделом 6. Значения FC и FE округляют до одной тысячной. Выходные данные получают для ТС H, L и, в случае применимости, M. Если метод интерполяции не используется, то производят округление окончательных результатов в соответствии с разделом 6. Значения FC и FE округляют до одной десятой | FCCS,p, л/100 км; FECS,c, км/л; FECS,p, км/л |
Результат по отдельному ТС. Окончательный результат по FC и FE | | FCCS,c, л/100 км; FCCS,p, л/100 км; FECS,c, км/л; FECS,p, км/л | Расчет расхода топлива по Е.4.5.5.1 для отдельных ТС, относящихся к соответствующему интерполяционному семейству. Расчет показателя топливной экономичности по Е.4.5.5.1 для отдельных ТС, относящихся к соответствующему интерполяционному семейству. Округление окончательных значений для отдельных ТС производят в соответствии с разделом 6. Значения FC и FE округляют до одной десятой. Выходные данные получают для каждого отдельного ТС | FCCS,c,ind, л/100 км; FCCS,p,ind, л/100 км; FECS,c,ind, км/л; FECS,p,ind, км/л |
Е.4.2.1.2 Расход топлива в режиме сохранения заряда для ГТСТЭ-БЗУ и ГТСТЭ-ВЗУ
Пошаговая процедура расчета окончательных результатов испытания типа 1 в условиях сохранения заряда применительно к расходу топлива для ГТСТЭ-БЗУ и ГТСТЭ-ВЗУ
Расчет результатов выполняют в порядке, указанном в
таблице Е.6. Все применимые результаты в
колонке "Выходные данные" регистрируют. В
колонке "Порядок" указаны пункты, на основании которых производится расчет или приводятся дополнительные уравнения для расчета.
Таблица Е.6
Расчет окончательных значений расхода топлива и показателей
топливной экономичности в режиме сохранения заряда
для ГТСТЭ-БЗУ и ГТСТЭ-ВЗУ (показатель FE применим только
для результатов после трех фаз)
Номер шага | Источник | Исходные данные | | |
| | ИС МЕГАНОРМ: примечание. В официальном тексте документа, видимо, допущена опечатка: имеется в виду п. Е.12.2.2.6, а не Е.12.2.2.6.7. | |
|
| | Несбалансированный расход топлива в режиме сохранения заряда FCCS,nb, кг/100 км | Расчет расхода топлива в режиме сохранения заряда, FCCS,c,1, по Е.12.2.2.6.7. Расход топлива рассчитывают отдельно по применимому циклу и его фазам. С этой целью используют показатели FC, полученные по применимой фазе или применимому циклу. Соответствующие фазе значения согласно Е.12.2.2.7 | FCCS,c,1, кг/100 км |
| | FCCS,p,1, кг/100 км; FCCS,c,1, кг/100 км | Корректировка с учетом изменения уровня электроэнергии ПСАЭ. | С учетом результатов по 3 фазам FCCS,p,2, кг/100 км |
3 Результат единичного испытания | | FCCS,p,2, кг/100 км; FCCS,c,2, кг/100 км | FCCS,p,3 = FCCS,p,2 FCCS,c,3 = FCCS,c,2 С учетом результатов по трем фазам. Преобразование значения расхода топлива, FC, в топливную экономичность, FE | FCCS,c,3, кг/100 км; FECS,p,3, км/кг; FECS,c,3, км/кг |
4 | | По каждому испытанию: FCCS,p,3, кг/100 км; FCCS,c,3, кг/100 км; FECS,p,3, км/кг; FECS,c,3, км/кг | Усреднение результатов испытаний и заявленное значение согласно Г.1.2 - Г.1.2.3 | FCCS,c,4, кг/100 км; FECS,p,4, км/кг; FECS,c,4, км/кг |
Результат по интерполяционному семейству. Если метод интерполяции не используется, то шаг 6 не требуется и за окончательный результат принимают выходные данные по настоящему шагу. FCCS результаты испытания типа 1 для испытуемого ТС | | FCCS,p,4, кг/100 км; FCCS,c,4, кг/100 км; FCCS,c,declared, кг/100 км; FECS,p,4, км/кг; FECS,c,4, км/кг; FECS,c,declared, км/кг | Корректировка соответствующих фазе значений. Г.1.2.4 и: FCCS,c,5 = FECS,c,declared Значения FC и FE округляют согласно разделу 6 до одной сотой. Если метод интерполяции не используется, то округление окончательных значений производят в соответствии с разделом 6 до одной десятой | FCCS,c,5, кг/100 км; FECS,p,5, км/кг; FECS,c,5, км/кг |
Результат по отдельному ТС. Окончательный результат по FC | | FCCS,c,5, кг/100 км | Расчет расхода топлива по Е.4.5.5.1 для отдельных ТС, относящихся к соответствующему интерполяционному семейству. Округление окончательных значений для отдельных ТС производят в соответствии с разделом 6. Значения FC округляют до одной десятой. Выходные данные получают для каждого отдельного ТС | FCCS,c,ind, кг/100 км |
Примечание - В таблице используют следующие обозначения: c - полный применимый испытательный цикл; p - каждая фаза применимого цикла; CS - режим сохранения заряда. |
В случае результатов, полученных по четырем фазам, все расчеты по
таблице Е.6 производят применительно к полному циклу.
В случае 3-фазной ВПИМ все расчеты по
таблице Е.6 производят применительно к 3-фазному циклу, а также к отдельным фазам.
Если корректировка в соответствии с
Е.6.1.1.4 не производится, то используют следующее значение расхода топлива в режиме сохранения заряда:
FCCS = FCCS,nb
где
FCCS - расход топлива в режиме сохранения заряда при испытании типа 1 в условиях сохранения заряда согласно
таблице Е.6 (шаг 2), кг/100 км;
FCCS,nb - несбалансированный расход топлива в режиме сохранения заряда при испытании типа 1 в условиях сохранения заряда, без корректировки на баланс энергии, согласно
таблице Е.6 (шаг 1), кг/100 км.
Если требуется корректировка показателя расхода топлива согласно
Е.6.1.1.3 либо в случае, когда производится корректировка в соответствии с
Е.6.1.1.4, коэффициент корректировки расхода топлива определяют по
Е.6.2. Скорректированный расход топлива в режиме сохранения заряда при испытании типа 1 в условиях сохранения заряда согласно
таблице Е.6 (шаг 2), кг/100 км, вычисляют по формуле
FCCS = FCCS,nb - Kfuel,FCHV·ECDC,CS, (Е.12)
где
FCCS,nb - несбалансированный расход топлива при испытании типа 1 в режиме сохранения заряда, без корректировки на баланс энергии, согласно
таблице Е.6 (шаг 1), кг/100 км;
Kfuel,FCHV - коэффициент корректировки показателя расхода топлива согласно
Е.6.2.3.1, (кг/100 км)/(Вт·ч/км);
ECDC,CS - потребление электроэнергии в ходе испытания типа 1 в режиме сохранения заряда, определенное согласно
Е.4.3, Вт·ч/км.
Если коэффициенты корректировки соответствующего фазе показателя расхода топлива определены не были, то такой соответствующий фазе
p расход топлива
FCCS,p, кг/100 км, в режиме сохранения заряда при испытании типа 1 в условиях сохранения заряда согласно
таблице Е.6 (шаг 2), вычисляют по формуле
FCCS,p = FCCS,nb,p - Kfuel,FCHV·ECDC,CS,p, (Е.13)
где
FCCS,nb,p - соответствующий фазе
p несбалансированный расход топлива при испытании типа 1 в режиме сохранения заряда, без корректировки на баланс энергии, согласно
таблице Е.6 (шаг 1), кг/100 км;
ECDC,CS,p - соответствующее фазе
p потребление электроэнергии в ходе испытания типа 1 в режиме сохранения заряда, определенное согласно
Е.4.3, Вт·ч/км;
Kfuel,FCHV - коэффициент корректировки показателя расхода топлива согласно
Е.6.2.3.1, (кг/100 км)/(Вт·ч/км);
p - порядковый номер отдельной фазы в рамках применимого испытательного цикла ВПИМ.
Если коэффициенты корректировки соответствующего фазе показателя расхода топлива были определены, то такой соответствующий фазе p расход топлива в режиме сохранения заряда при испытании типа 1 в условиях сохранения, заряда
FCCS,p, кг/100 км, согласно
таблице Е.6 (шаг 2), вычисляют по формуле
FCCS,p = FCCS,nb,p - Kfuel,FCHV,p·ECDC,CS,p, (Е.14)
где
FCCS,nb,p - соответствующий фазе
p несбалансированный расход топлива при испытании типа 1 в режиме сохранения заряда, без корректировки на баланс энергии, согласно
таблице Е.6 (шаг 1), кг/100 км;
Kfuel,FCHV,p - коэффициент корректировки показателя расхода топлива для фазы p (кг/100 км)/(Вт·ч/км);
ECDC,CS,p - соответствующее фазе
p потребление электроэнергии в ходе испытания типа 1 в режиме сохранения заряда, определенное согласно
Е.4.3, Вт·ч/км;
p - порядковый номер отдельной фазы в рамках применимого испытательного цикла ВПИМ.
Е.4.2.2 Значение расхода топлива в режиме расходования заряда для ГЭМ-ВЗУ и ГТСТЭ-ВЗУ
Взвешенное с учетом коэффициента полезности значение расхода топлива в режиме расходования заряда, FCCD, л/100 км, в случае ГЭМ-ВЗУ и кг/100 км - в случае ГТСТЭ-ВЗУ, вычисляют по формуле

, (Е.15)
где
FCCD,j - соответствующий фазе
j расход топлива при испытании типа 1 в режиме расходования заряда, определенный по
Г.6, л/100 км в случае ГЭМ-ВЗУ и кг/100 км - в случае ГТСТЭ-ВЗУ;
UFj - соответствующий фазе
j коэффициент полезности согласно
Е.10;
j - порядковый номер рассматриваемой фазы;
k - количество фаз, пройденных до окончания переходного цикла, согласно
Е.3.2.4.4.
В случае использования метода интерполяции под k понимают количество фаз, пройденных до окончания переходного цикла ТС L, nveh_L
Если количество фаз переходного цикла, пройденных ТС H,

, и, в случае применимости, отдельным ТС, относящимся к соответствующему интерполяционному семейству,

, является меньше количества фаз переходного цикла, пройденных ТС L,
nveh_L, то при расчетах учитывают прогон ТС H и, если применимо, отдельного ТС по подтверждающему циклу. Расход топлива для каждой фазы подтверждающего цикла рассчитывают по
Д.6 с учетом значения уровня выбросов основных загрязнителей, полученного по всему подтверждающему циклу, и значения уровня выбросов CO
2, полученного по применимой фазе, а затем производят его корректировку исходя из потребления электроэнергии, равного нулю (
ECDC,CD,j = 0), с использованием поправочного коэффициента на массу выбросов CO
2 
согласно
Е.6.
Показатель топливной экономичности в режиме расходования заряда, FECD, км/л, вычисляют по формуле

(Е.16)
где
RCDA - фактический запас хода в режиме расходования заряда, определенный по
Е.4.4.5, км;
FECD,c - показатель топливной экономичности за цикл c при испытании типа 1 в режиме расходования заряда, определенный по
Д.6, км/л;
c - порядковый номер рассматриваемого цикла;
n - количество применимых испытательных циклов ВПИМ, пройденных до окончания переходного цикла, согласно
Е.3.2.4.4 настоящего приложения;
dc - расстояние, пройденное за c-й применимый испытательный цикл ВПИМ при испытании типа 1 в режиме расходования заряда, км;
dn - расстояние, пройденное за n-й применимый испытательный цикл ВПИМ при испытании типа 1 в режиме расходования заряда, км;

.
Е.4.2.3 Взвешенное с учетом коэффициента полезности значение расхода топлива для ГЭМ-ВЗУ и ГТСТЭ-ВЗУ
Взвешенное с учетом коэффициента полезности значение расхода топлива при испытании типа 1 в режимах расходования и сохранения заряда, FCweighted, л/100 км, вычисляют по формуле

, (Е.17)
где
UFj - соответствующий фазе
j коэффициент полезности согласно
Е.10;
FCCD,j - соответствующий фазе
j расход топлива при испытании типа 1 в режиме расходования заряда, определенный по
Д.6, л/100 км;

- заявленное значение массы выбросов CO
2 в режиме расходования заряда согласно
таблице Е.7 (шаг 14), г/км;

- среднее значение массы выбросов CO
2 в режиме расходования заряда, определенное в рамках
шага 13 согласно таблице Е.7, г/км;
FCCS - расход топлива, определенный в рамках
шага 1 согласно таблице Е.5, л/100 км;
j - порядковый номер рассматриваемой фазы;
k - количество фаз, пройденных до окончания переходного цикла, согласно
Е.3.2.4.4.
Взвешенное с учетом коэффициента полезности значение расхода топлива для ГТСТЭ-ВЗУ при испытании типа 1 в режимах расходования и сохранения заряда, FCweighted, кг/100 км, вычисляют по формуле

, (Е.18)
где
UFj - соответствующий фазе
j коэффициент полезности согласно
Е.12 к настоящему приложению;
FCCD,j - соответствующий фазе
j расход топлива при испытании типа 1 в режиме расходования заряда, определенный по
пункту Д.6, кг/100 км;
FCCD,declared - заявленное значение расхода топлива в режиме расходования заряда согласно
таблице Е.9 (шаг 11), кг/100 км;
FCCD,ave - среднее значение расхода топлива в режиме расходования заряда, определенное в рамках
шага 10 согласно таблице Е.9, кг/100 км;
FCCS - расход топлива, определенный в рамках
шага 1 согласно таблице Е.6, кг/100 км;
j - порядковый номер рассматриваемой фазы;
k - количество фаз, пройденных до окончания переходного цикла, согласно
Е.3.2.4.4 настоящего приложения.
В случае использования метода интерполяции под k понимают количество фаз, пройденных до окончания переходного цикла транспортным средством L, nveh_L.
Если количество фаз переходного цикла, пройденных ТС H и, в случае применимости, отдельным ТС, относящимся к соответствующему интерполяционному семейству,

, является меньше количества фаз переходного цикла, пройденных ТС L,
nveh_L, то при расчетах учитывают прогон ТС H и, если применимо, отдельного ТС по подтверждающему циклу.
Расход топлива для каждой фазы подтверждающего цикла рассчитывают по
Д.6 с учетом значения уровня выбросов основных загрязнителей, полученного по всему подтверждающему циклу, и значения уровня выбросов CO
2, полученного по применимой фазе, а затем производят его корректировку исходя из потребления электроэнергии, равного нулю (
ECDC,CD,j = 0) с использованием поправочного коэффициента на массу выбросов CO
2 
согласно
Е.6.
Е.4.3 Расчет потребления электроэнергии
Потребление электроэнергии с учетом силы тока и величины напряжения за рассматриваемый период
j до полной разрядки ПСАЭ,
ECDCj, Вт·ч/км, определенных согласно
Е.8, вычисляют по формуле

, (Е.19)
где

- изменение уровня электроэнергии всех ПСАЭ за рассматриваемый период
j, Вт·ч;
dj - расстояние, пройденное за рассматриваемый период j, км;

, (Е.20)
где

- изменение уровня электроэнергии
i-й ПСАЭ за рассматриваемый период
j, Вт·ч;

, (Е.21)
где
U(
t)
REESS,j - напряжение
i-й ПСАЭ за рассматриваемый период
j, определенное в соответствии с
Е.8, В;
t0 - время начала рассматриваемого периода j, с;
tend - время завершения рассматриваемого периода j, с;
I(
t)
j,I - сила тока в
i-й ПСАЭ за рассматриваемый период
j, определенная в соответствии с
Е.8, А;
i - порядковый номер соответствующей ПСАЭ;
n - общее количество ПСАЭ;
j - порядковый номер рассматриваемого периода, причем под периодом понимается любое сочетание фаз или циклов;

- коэффициент пересчета из Вт·с в Вт·ч.
Е.4.3.1 Взвешенный с учетом коэффициента полезности показатель потребления электроэнергии в режиме расходования заряда при электроэнергии подзарядки, поступающей от сети, для ГЭМ-ВЗУ.
Взвешенный с учетом коэффициента полезности показатель потребления электроэнергии в режиме расходования заряда при электроэнергии подзарядки, поступающей от сети, ECAC,CD, Вт·ч/км, вычисляют по формулам

, (Е.22)
где
UFj - соответствующий фазе
j коэффициент полезности согласно
Е.10;
ECAC,CD,j - соответствующее фазе j потребления электроэнергии при электроэнергии подзарядки, поступающей от сети, Вт·ч/км;

(Е.23)
где
ECDC,CD,j - соответствующее фазе
j потребление электроэнергии до полной разрядки ПСАЭ при испытании типа 1 в режиме расходования заряда согласно
Е.4.3, Вт·ч/км;
EAC - электроэнергия подзарядки от сети, определенная по
Е.3.2.4.6, Вт·ч;

- соответствующее фазе
j изменение уровня электроэнергии всех ПСАЭ, определенное в соответствии с
Е.4.3, Вт·ч;
j - порядковый номер рассматриваемой фазы;
k - количество фаз, пройденных до окончания переходного цикла, согласно
Е.3.2.4.4.
В случае использования метода интерполяции под k понимают количество фаз, пройденных до окончания переходного цикла ТС L, nveh_L.
Е.4.3.2 Взвешенный с учетом коэффициента полезности показатель потребления электроэнергии при электроэнергии подзарядки, поступающей от сети, для ГЭМ-ВЗУ и ГТСТЭ-ВЗУ
Взвешенный с учетом коэффициента полезности показатель потребления электроэнергии при электроэнергии подзарядки, поступающей от сети, ECAC,weighted, Вт·ч/км, вычисляют по формуле

, (Е.24)
где
UFj - соответствующий фазе
j коэффициент полезности согласно
Е.12;
ECAC,CD,declared - заявленный показатель потребления электроэнергии в режиме расходования заряда при электроэнергии подзарядки, поступающей от сети, для ГЭМ-ВЗУ согласно
таблице Е.7 (шаг 14) и для ГТСТЭ-ВЗУ -
согласно таблице Е.9 (шаг 11), Вт·ч/км;
j - порядковый номер рассматриваемой фазы;
k - количество фаз, пройденных до окончания переходного цикла, согласно
Е.3.2.4.4.
В случае использования метода интерполяции под k понимают количество фаз, пройденных до окончания переходного цикла транспортным средством L, nveh_L.
Е.4.3.3 Потребление электроэнергии для ГЭМ-ВЗУ и ГТСТЭ-ВЗУ
Е.4.3.3.1 Определение соответствующего циклу потребления электроэнергии
Для расчета потребления электроэнергии за применимый испытательный цикл ВПИМ при электроэнергии подзарядки, поступающей от сети, и с учетом эквивалентного запаса хода на одной электротяге, EC, Вт·ч/км, используют формулу

, (Е.25)
где
EAC - электроэнергия подзарядки от сети, определенная по
Е.3.2.4.6, Вт·ч;
EAER - эквивалентный запас хода на одной электротяге для ГЭМ-ВЗУ согласно
Е.4.4.4.1 и для ГТСТЭ-ВЗУ - согласно
Е.4.4.6.1, км.
Е.4.3.3.2 Определение соответствующего фазе потребления электроэнергии
Соответствующее фазе потребление электроэнергии при электроэнергии подзарядки, поступающей от сети, и с учетом эквивалентного запаса хода на одной электротяге, ECp, Вт·ч/км, вычисляют по формуле

, (Е.26)
где
EAC - электроэнергия подзарядки от сети, определенная по
Е.3.2.4.6, Вт·ч;
EAERp - соответствующий фазе эквивалентный запас хода на одной электротяге согласно
Е.4.4.4.2, км.
Е.4.3.4 Потребление электроэнергии для ПЭМ
По усмотрению договаривающейся стороны определение показателя
ECcity согласно
Е.4.3.4.3 можно не проводить.
Е.4.3.4.1 Расчет потребления электроэнергии по настоящему пункту производят только в том случае, если ТС в состоянии следовать хронометражу применимого испытательного цикла в пределах допустимых отклонений от кривой скорости согласно
б) Г.2.6.8.3 на протяжении всего рассматриваемого периода.
Е.4.3.4.2 Определение потребления электроэнергии за применимый испытательный цикл ВПИМ
Потребление электроэнергии за применимый испытательный цикл ВПИМ при электроэнергии подзарядки, поступающей от сети, и с учетом запаса хода только на электротяге для применимого испытательного цикла ВПИМ, ECWLTC, Вт·ч/км, вычисляют по формуле

, (Е.27)
где
EAC - электроэнергия подзарядки от сети, определенная по
Е.3.4.4.3, Вт·ч;
PERWLTC - запас хода только на электротяге для применимого испытательного цикла ВПИМ, рассчитанный по
Е.4.4.2.1 или
Е.4.4.2.2 (в зависимости от используемой процедуры испытания ПЭМ), км.
Е.4.3.4.3 Определение потребления электроэнергии за применимый городской испытательный цикл ВПИМ
Потребление электроэнергии за применимый городской испытательный цикл ВПИМ при электроэнергии подзарядки, поступающей от сети, и с учетом запаса хода только на электротяге для применимого городского испытательного цикла ВПИМ ECcity, Вт·ч/км, вычисляют по формуле

, (Е.28)
где
EAC - электроэнергия подзарядки от сети, определенная по
Е.3.4.4.3, Вт·ч;
PERcity - запас хода только на электротяге для применимого городского испытательного цикла ВПИМ, рассчитанный по
Е.4.4.2.1 или
Е.4.4.2.2 (в зависимости от используемой процедуры испытания ПЭМ), км.
Е.4.3.4.4 Определение потребления электроэнергии на основе соответствующих фазе значений.
Потребление электроэнергии по каждой отдельной фазе при электроэнергии подзарядки, поступающей от сети, и с учетом соответствующего фазе запаса хода только на электротяге ECp, Вт·ч/км, вычисляют по формуле

, (Е.29)
где
EAC - электроэнергия подзарядки от сети, определенная по
Е.3.4.4.3, Вт·ч;
PERp - соответствующий фазе запас хода только на электротяге, рассчитанный по
Е.4.4.2.1 или
Е.4.4.2.2 (в зависимости от используемой процедуры испытания ПЭМ), км.
Е.4.4 Расчет показателей запаса хода на электротяге
По усмотрению договаривающейся стороны определение показателей AERcity и PERcity, а также расчет EAERcity можно не проводить.
Е.4.4.1 Показатели запаса хода на одной электротяге, AER и AERcity для ГЭМ-ВЗУ и ГТСТЭ-ВЗУ
Е.4.4.1.1 Запас хода на одной электротяге,
AER
Запас хода на одной электротяге,
AER, для ГЭМ-ВЗУ определяют при испытании типа 1 в режиме расходования заряда, описанном в
Е.3.2.4.3, в рамках последовательности испытания по варианту 1 и со ссылкой на
Е.3.2.6.1, в рамках последовательности испытания по варианту 3 путем прогона по применимому испытательному циклу ВПИМ согласно
Е.1.4.2.1. Под
AER понимается расстояние, пройденное от начала испытания типа 1 в режиме расходования заряда до того момента, когда двигатель внутреннего сгорания или, в случае ГТСТЭ-ВЗУ, топливный элемент начинает потреблять топливо.
Е.4.4.1.2 Запас хода на одной электротяге для городских условий,
Запас хода на одной электротяге для городских условий,
AERcity для ГЭМ-ВЗУ или ГТСТЭ-ВЗУ определяют при испытании типа 1 в режиме расходования заряда, описанном в
Е.3.2.4.1,
Е.3.2.4.2 и
Е.3.2.4.3, в рамках последовательности испытания по варианту 1 путем прогона по применимому городскому испытательному циклу ВПИМ согласно
Е.1.4.2.2. Под
AERcity понимают расстояние, пройденное от начала испытания типа 1 в режиме расходования заряда до того момента, когда двигатель внутреннего сгорания или, в случае ГТСТЭ-ВЗУ, топливный элемент начинает потреблять топливо.
За граничный критерий, заменяющий граничный критерий по
Е.3.2.4.4, принимают момент времени, когда ДВС или, в случае ГТСТЭ-ВЗУ, топливный элемент начинает потреблять топливо.
В качестве альтернативы запас хода на одной электротяге для городских условий,
AERcity можно определять при испытании типа 1 в режиме расходования заряда, описанном в
Е.3.2.4.3, путем прогона по применимым испытательным циклам ВПИМ согласно
Е.1.4.2.1. В этом случае испытание типа 1 в режиме расходования заряда с прогоном по применимому городскому испытательному циклу ВПИМ не проводят, а запас хода на одной электротяге для городских условий,
AERcity, км, вычисляют по формулам

, (Е.30)
где
UBEcity - полезная энергия ПСАЭ, определяемая от начала испытания типа 1 в режиме расходования заряда, описанного в
Е.3.2.4.3, путем прогона по применимым испытательным циклам ВПИМ - до того момента, когда ДВС начинает потреблять топливо, Вт·ч;

, (Е.31)
где

- изменение уровня электроэнергии всех ПСАЭ за фазу
j, Вт·ч;
j - порядковый номер рассматриваемой фазы;
k+1 - количество фаз, пройденных от начала испытания до того момента, когда ДВС начинает потреблять топливо;
ECDC,city - взвешенный показатель потребления электроэнергии при прогоне в полностью электрическом режиме по применимым городским испытательным циклам ВПИМ в ходе испытания типа 1 в условиях расходования заряда, описанного в
Е.3.2.4.3, с прогоном по применимому(ым) испытательному(ым) циклу(ам) ВПИМ, Вт·ч/км;

, (Е.32)
где
ECDC,city - потребление электроэнергии при прогоне в полностью электрическом режиме по
j-му городскому испытательному циклу ВПИМ в ходе испытания типа 1 в условиях расходования заряда согласно
Е.3.2.4.3 с прогоном по применимым испытательным циклам ВПИМ, Вт·ч/км;
j - порядковый номер рассматриваемого применимого городского испытательного цикла ВПИМ (при прогоне в полностью электрическом режиме);
ncity,j - количество применимых городских испытательных циклов ВПИМ (при прогоне в полностью электрическом режиме);
Kcity - весовой коэффициент для
j-го применимого городского испытательного цикла ВПИМ (при прогоне в полностью электрическом режиме) в ходе испытания типа 1 в условиях расходования заряда согласно
Е.3.2.4.3 с прогоном по применимым испытательным циклам ВПИМ;

при
j = 2 на
ncity,pe, (Е.33)

, (Е.34)
где

- изменение уровня электроэнергии всех ПСАЭ за первый применимый городской испытательный цикл ВПИМ в ходе испытания типа 1 в условиях расходования заряда, Вт·ч.
Е.4.4.2 Запас хода только на электротяге для ПЭМ
Расчет запаса хода по настоящему пункту производят только в том случае, если ТС в состоянии следовать хронометражу применимого испытательного цикла ВПИМ в пределах допустимых отклонений от кривой скорости согласно
б) Г.2.6.8.3 на протяжении всего рассматриваемого периода.
Е.4.4.2.1 Определение запаса хода только на электротяге при применении сокращенной процедуры испытания типа 1
В случае сокращенной процедуры испытания типа 1, описанной в
Е.3.4.4.2, запас хода только на электротяге с прогоном по применимому испытательному циклу ВПИМ,
PERWLTC, км, для ПЭМ вычисляют по формулам:

, (Е.35)
где ECDC,WLTC - взвешенный показатель потребления электроэнергии для применимого испытательного цикла ВПИМ при прогоне по сокращенной процедуре испытания типа 1, Вт·ч/км;
UBESTP - полезная энергия ПСАЭ, определяемая с момента начала сокращенной процедуры испытания типа 1 до выполнения граничного критерия, указанного в
Е.3.4.4.2, Вт·ч, вычисляемая по формуле

, (Е.36)
где

- изменение уровня электроэнергии всех ПСАЭ за сегмент
DS1 при прогоне по сокращенной процедуре испытания типа 1, Вт·ч;

- изменение уровня электроэнергии всех ПСАЭ за сегмент
DS2 при прогоне по сокращенной процедуре испытания типа 1, Вт·ч;

- изменение уровня электроэнергии всех ПСАЭ за сегмент
CSSM при прогоне по сокращенной процедуре испытания типа 1, Вт·ч;

- изменение уровня электроэнергии всех ПСАЭ за сегмент
CSSE при прогоне по сокращенной процедуре испытания типа 1, Вт·ч;

, (Е.37)
где
ECDC,WLTC - потребление электроэнергии за сегмент
DSj применимого испытательного цикла ВПИМ при прогоне по сокращенной процедуре испытания типа 1, определенное согласно
Е.4.3, Вт·ч/км;
KWLTC,j - весовой коэффициент для сегмента DSj применимого испытательного цикла ВПИМ при прогоне по сокращенной процедуре испытания типа 1;

, (Е.38)
где

- изменение уровня электроэнергии всех ПСАЭ за сегмент
DS1 применимого испытательного цикла ВПИМ при прогоне по сокращенной процедуре испытания типа 1, Вт·ч.
Запас хода только на электротяге для городских условий (PERcity)
В случае сокращенной процедуры испытания типа 1, описанной в
Е.3.4.4.2, запас хода только на электротяге с прогоном по применимому городскому испытательному циклу ВПИМ,
PERcity, для ПЭМ, км, вычисляют по формуле

, (Е.39)
где UBESTP - полезная энергия ПСАЭ согласно Е.4.4.2.1, Вт·ч;
ECDC,city - взвешенный показатель потребления электроэнергии для сегментов DS1 и DS2 применимого городского испытательного цикла ВПИМ при прогоне по сокращенной процедуре испытания типа 1, Вт·ч/км, вычисляемый по формуле

, (Е.40)
где
ECDC,city,j - потребление электроэнергии за применимый городской испытательный цикл ВПИМ (когда сегмент
DS1 первого применимого городского испытательного цикла ВПИМ обозначается как
j = 1, сегмент
DS1 второго применимого городского испытательного цикла ВПИМ - как
j = 2, сегмент
DS2 первого применимого городского испытательного цикла ВПИМ - как
j = 3, а сегмент
DS2 второго применимого городского испытательного цикла ВПИМ - как
j = 4) при прогоне по сокращенной процедуре испытания типа 1, определенное согласно
Е.4.3, Вт·ч/км;
Kcity,j - весовой коэффициент для применимого городского испытательного цикла ВПИМ (когда сегмент DS1 первого применимого городского испытательного цикла ВПИМ обозначается как j = 1, сегмент DS1 второго применимого городского испытательного цикла ВПИМ - как j = 2, сегмент DS2 первого применимого городского испытательного цикла ВПИМ - как j = 3, а сегмент DS2 второго применимого городского испытательного цикла ВПИМ - как j = 4);

, (Е.41)
где

- изменение уровня электроэнергии всех ПСАЭ за сегмент
DS1 первого применимого городского испытательного цикла ВПИМ при прогоне по сокращенной процедуре испытания типа 1, Вт·ч.
В случае сокращенной процедуры испытания типа 1, описанной в
Е.3.4.4.2, соответствующий фазе запас хода только на электротяге,
PERp, для ПЭМ, км, вычисляют по формуле

, (Е.42)
где UBESTP - полезная энергия ПСАЭ, Вт·ч;
ECDC,p - взвешенный показатель потребления электроэнергии для каждой отдельной фазы сегментов DS1 и DS2 при прогоне по сокращенной процедуре испытания типа 1, Вт·ч/км.
Если одна фаза p соответствует низкой скорости (p - низкая), а другая фаза p - средней скорости (p - средняя), то используют формулы

, (Е.43)
где
ECDC,,p,j - потребление электроэнергии за фазу p (когда первая фаза
p сегмента
DS1 обозначается как
j = 1, вторая фаза
p сегмента
DS1 - как
j = 2, первая фаза
p сегмента
DS2 - как
j = 3, а вторая фаза
p сегмента
DS2 - как
j = 4) при прогоне по сокращенной процедуре испытания типа 1, определенное согласно
Е.4.3, Вт·ч/км;
Kp,j - весовой коэффициент для фазы p (когда первая фаза p сегмента DS1 обозначается как j = 1, вторая фаза p сегмента DS1 - как j = 2, первая фаза p сегмента DS2 - как j = 3, а вторая фаза p сегмента DS2 - как j = 4) при прогоне по сокращенной процедуре испытания типа 1;

, (Е.44)
где

- изменение уровня электроэнергии всех ПСАЭ за первую фазу p сегмента
DS1 при прогоне по сокращенной процедуре испытания типа 1, Вт·ч.
Если одна фаза p соответствует высокой скорости (p - высокая), а другая фаза p - сверхвысокой скорости (p - сверхвысокая), то используют формулы:

, (Е.45)
где
ECDC,p,j - потребление электроэнергии за фазу
p сегмента
DSj при прогоне по сокращенной процедуре испытания типа 1, определенное согласно
Е.4.3, Вт·ч/км;
Kp,j - весовой коэффициент для фазы p сегмента DSj при прогоне по сокращенной процедуре испытания типа 1;

, (Е.46)
где

- изменение уровня электроэнергии всех ПСАЭ за первую фазу
p сегмента
DS1 при прогоне по сокращенной процедуре испытания типа 1, Вт·ч.
Е.4.4.2.2 Определение запаса хода только на электротяге при применении процедуры испытания типа 1 с прогоном по последовательным циклам
В случае процедуры испытания типа 1, описанной в
Е.3.4.4.1, запас хода только на электротяге с прогоном по применимому испытательному циклу ВПИМ,
PERWLTC, для ПЭМ вычисляют по формуле

, (Е.47)
где
UBECCP - полезная энергия ПСАЭ, определяемая с момента начала процедуры испытания типа 1 с прогоном по последовательным циклам до выполнения граничного критерия согласно
Е.3.4.4.1, Вт·ч;
ECDC,WLTC - потребление электроэнергии за применимый испытательный цикл ВПИМ, определяемое по итогам полностью пройденных применимых испытательных циклов ВПИМ в ходе испытания типа 1 с прогоном по последовательным циклам, Вт·ч/км;

, (Е.48)
где

- изменение уровня электроэнергии всех ПСАЭ за фазу
j в ходе испытания типа 1 с прогоном по последовательным циклам, Вт·ч;
j - порядковый номер фазы;
k - количество фаз, пройденных от начала испытания до фазы (включая ее), когда выполняется граничный критерий;

, (Е.49)
где
ECDC,WLTC,j - потребление электроэнергии за
j-й применимый испытательный цикл ВПИМ в ходе испытания типа 1 с прогоном по последовательным циклам, определенное согласно
Е.4.3, Вт·ч/км;
KWLTC,j - весовой коэффициент для j-го применимого испытательного цикла ВПИМ в ходе испытания типа 1 с прогоном по последовательным циклам;
j - порядковый номер применимого испытательного цикла ВПИМ;
nWLTC - общее количество полностью пройденных применимых испытательных циклов ВПИМ;

при
j = 2...
nWLTC, (Е.50)
где

- изменение уровня электроэнергии всех ПСАЭ за первый применимый испытательный цикл ВПИМ в ходе испытания типа 1 с прогоном по последовательным циклам, Вт·ч.
Запас хода только на электротяге для городских условий (PERcity)
В случае процедуры испытания типа 1, описанной в
Е.3.4.4.1, запас хода только на электротяге с прогоном по применимому городскому испытательному циклу ВПИМ,
PERcity, для ПЭМ, км, вычисляют по формулам

, (Е.51)
где UBECCP - полезная энергия ПСАЭ, Вт·ч;
ECDC,city - потребление электроэнергии за применимый городской испытательный цикл ВПИМ, определяемое по итогам полностью пройденных применимых городских испытательных циклов ВПИМ в ходе испытания типа 1 с прогоном по последовательным циклам, Вт·ч/км;

, (Е.52)
где
ECDC,city,j - потребление электроэнергии за
j-й применимый городской испытательный цикл ВПИМ в ходе испытания типа 1 с прогоном по последовательным циклам, определенное согласно
Е.4.3, Вт·ч/км;
Kcity,j - весовой коэффициент для j-го применимого городского испытательного цикла ВПИМ в ходе испытания типа 1 с прогоном по последовательным циклам;
j - порядковый номер применимого городского испытательного цикла ВПИМ;
ncity - общее количество полностью пройденных применимых городских испытательных циклов ВПИМ;

при
j = 2...
ncity, (Е.53)
где

- изменение уровня электроэнергии всех ПСАЭ за первый применимый городской испытательный цикл ВПИМ в ходе испытания типа 1 с прогоном по последовательным циклам, Вт·ч.
В случае процедуры испытания типа 1, описанной в
Е.3.4.4.1, соответствующий фазе запас хода только на электротяге,
PERp, для ПЭМ, км, вычисляют по формулам

, (Е.54)
где UBECCP - полезная энергия ПСАЭ, Вт·ч;
ECDC,p - потребление электроэнергии за рассматриваемую фазу p, определяемое по итогам полностью пройденных фаз, p, в ходе испытания типа 1 с прогоном по последовательным циклам, Вт·ч/км;

, (Е.55)
где
ECDC,p,j - потребление электроэнергии за
j-ю рассматриваемую фазу
p в ходе испытания типа 1 с прогоном по последовательным циклам, определенное согласно
Е.4.3, Вт·ч/км;
Kp,j - весовой коэффициент для j-й рассматриваемой фазы p в ходе испытания типа 1 с прогоном по последовательным циклам;
j - порядковый номер рассматриваемой фазы p;
np - общее количество полностью пройденных фаз p ВПИМ;

при
j = 2...
np, (Е.56)
где

- изменение уровня электроэнергии всех ПСАЭ за первую пройденную фазу
p в ходе испытания типа 1 с прогоном по последовательным циклам, Вт·ч.
Е.4.4.3 Запас хода в цикле с расходованием заряда для ГЭМ-ВЗУ
Запас хода в цикле с расходованием заряда,
RCDC, определяют при испытании типа 1 в режиме расходования заряда, описанном в
Е.3.2.4.3, в рамках последовательности испытания по варианту 1 и, со ссылкой на
Е.3.2.6.1, в рамках последовательности испытания по варианту 3. Под
RCDC понимается расстояние, пройденное от начала испытания типа 1 в режиме расходования заряда до завершения переходного цикла согласно
Е.3.2.4.4.
Е.4.4.4 Эквивалентный запас хода на одной электротяге для ГЭМ-ВЗУ
Е.4.4.4.1 Определение соответствующего циклу эквивалентного запаса хода на одной электротяге
Соответствующий циклу эквивалентный запас хода на одной электротяге EAER, км, вычисляют по формуле

, (Е.57)
где

- заявленное значение массы выбросов CO
2 в режиме сохранения заряда согласно
таблице Е.4 (шаг 7), г/км;

- заявленное значение массы выбросов CO
2 в режиме расходования заряда согласно
таблице Е.7 (шаг 14), г/км;

- среднее значение массы выбросов CO
2 в режиме расходования заряда, определенное в рамках
шага 13 согласно таблице Е.7, г/км;
RCDC - запас хода в цикле с расходованием заряда согласно
Е.4.4.2, км;

- среднеарифметическое значение массы выбросов CO
2 в режиме расходования заряда, г/км. При проведении более чем одного испытания в режиме расходования заряда по каждому испытанию вычисляют дополнительное среднеарифметическое значение по формуле

, (Е.58)
где

- соответствующая фазе
j масса выбросов CO
2 при испытании типа 1 в режиме расходования заряда, определенная по
Д.3.2.1, г/км;
dj - расстояние, пройденное за фазу j при испытании типа 1 в режиме расходования заряда, км;
j - порядковый номер рассматриваемой фазы;
k - количество фаз, пройденных до завершения переходного цикла
n согласно
Е.3.2.4.4.
Е.4.4.4.2 Определение соответствующего фазе эквивалентного запаса хода на одной электротяге
Соответствующий фазе эквивалентный запас хода на одной электротяге EAERp, для рассматриваемой фазы p, км, вычисляют по формуле

, (Е.59)
где

- соответствующее фазе значение массы выбросов CO
2 для рассматриваемой фазы
p при испытании типа 1 в режиме сохранения заряда, определенное в рамках
шага 7 согласно таблице Е.4, г/км;

- заявленное значение массы выбросов CO
2 в режиме расходования заряда согласно
таблице Е.7 (шаг 14), г/км;

- среднее значение массы выбросов CO
2 в режиме расходования заряда, определенное в рамках
шага 13 согласно таблице Е.7, г/км;

- изменение уровня электроэнергии всех ПСАЭ за рассматриваемую фазу
j, Вт·ч. При проведении более чем одного испытания в режиме расходования заряда по каждому испытанию рассчитывают дополнительное среднеарифметическое значение;
ECDC,CD,p - потребление электроэнергии за рассматриваемую фазу p до полной разрядки ПСАЭ, Вт·ч/км;
j - порядковый номер рассматриваемой фазы;
k - количество фаз, пройденных до завершения переходного цикла
n согласно
Е.3.2.4.4;

- среднеарифметическое значение массы выбросов CO
2 в режиме расходования заряда для рассматриваемой фазы
p, г/км, вычисляемое по формуле

. (Е.60)
При проведении более чем одного испытания в режиме расходования заряда по каждому испытанию рассчитывают дополнительное среднеарифметическое значение;

- соответствующая фазе
p цикла
c масса выбросов CO
2 при испытании типа 1 в режиме расходования заряда, определенная по
Д.3.2.1, г/км;
dp,c - расстояние, пройденное за рассматриваемую фазу p цикла c при испытании типа 1 в режиме расходования заряда, км;
c - порядковый номер рассматриваемого применимого испытательного цикла ВПИМ;
p - порядковый номер отдельной фазы в рамках применимого испытательного цикла ВПИМ;
nc - количество применимых испытательных циклов ВПИМ, пройденных до завершения переходного цикла
n согласно
Е.3.2.4.4;
ECDC,CD,p - потребление электроэнергии за рассматриваемую фазу p до полной разрядки ПСАЭ при испытании типа 1 в режиме расходования заряда, Вт·ч/км, вычисляемое по формуле

. (Е.61)
При проведении более чем одного испытания в режиме расходования заряда по каждому испытанию рассчитывают дополнительное среднеарифметическое значение;
ECDC,CD,p,c - потребление электроэнергии за рассматриваемую фазу
p цикла
c до полной разрядки ПСАЭ при испытании типа 1 в режиме расходования заряда, определенное согласно
Е.4.3, Вт·ч/км;
dp,c - расстояние, пройденное за рассматриваемую фазу p цикла c при испытании типа 1 в режиме расходования заряда, км;
c - порядковый номер рассматриваемого применимого испытательного цикла ВПИМ;
p - порядковый номер отдельной фазы в рамках применимого испытательного цикла ВПИМ;
nc - количество применимых испытательных циклов ВПИМ, пройденных до завершения переходного цикла
n согласно
Е.3.2.4.4.
Под рассматриваемыми фазами понимают фазу низкой скорости, фазу средней скорости, фазу высокой скорости, фазу сверхвысокой скорости и городской ездовой цикл. Если договаривающаяся сторона просит исключить фазу сверхвысокой скорости, то соответствующее этой фазе значение не учитывают.
Е.4.4.5 Фактический запас хода в режиме расходования заряда для ГЭМ-ВЗУ
Фактический запас хода в режиме расходования заряда RCDA, км, вычисляют по формуле

, (Е.62)

- масса выбросов CO
2 за
n-й применимый испытательный цикл ВПИМ при испытании типа 1 в режиме расходования заряда, г/км;

- среднеарифметическое значение массы выбросов CO
2 в ходе испытания типа 1 в режиме расходования заряда, считая от начала испытания до (включительно) соответствующего применимого испытательного цикла ВПИМ (
n - 1), г/км, вычисляемое по формуле

, (Е.63)

- масса выбросов CO
2 за
c-й применимый испытательный цикл ВПИМ при испытании типа 1 в режиме расходования заряда, определенная по
Д.3.2.1, г/км;
dc - расстояние, пройденное за c-й применимый испытательный цикл ВПИМ при испытании типа 1 в режиме расходования заряда, км;
dn - расстояние, пройденное за n-й применимый испытательный цикл ВПИМ при испытании типа 1 в режиме расходования заряда, км;
c - порядковый номер рассматриваемого применимого испытательного цикла ВПИМ;
n - количество пройденных применимых испытательных циклов ВПИМ, включая переходный цикл, согласно
Е.3.2.4.4.
Е.4.4.6 Эквивалентный запас хода на одной электротяге для ГТСТЭ-ВЗУ
Е.4.4.6.1 Определение соответствующего циклу эквивалентного запаса хода на одной электротяге
Соответствующий циклу эквивалентный запас хода на одной электротяге EAER, км, вычисляют по формулам

, (Е.64)
где
FCCS,declared - заявленное значение расхода топлива в режиме сохранения заряда согласно
таблице Е.6 (шаг 5), кг/100 км;
FCCD,declared - заявленное значение расхода топлива в режиме расходования заряда согласно
таблице Е.9 (шаг 11), кг/100 км;
FCCD,ave - среднее значение расхода топлива в режиме расходования заряда согласно приведенному ниже
уравнению, кг/100 км;
RCDC - запас хода в цикле с расходованием заряда согласно
Е.4.4.2, км;
FCCD,avg - среднеарифметическое значение расхода топлива в режиме расходования заряда, кг/100 км, вычисляемое по формуле

, (Е.65)
(при проведении более чем одного испытания в режиме расходования заряда по каждому испытанию рассчитывают дополнительное среднеарифметическое значение)
где FCCD,j - соответствующий фазе j расход топлива при испытании типа 1 в режиме расходования заряда, кг/100 км;
dj - расстояние, пройденное за фазу j при испытании типа 1 в режиме расходования заряда, км;
j - порядковый номер рассматриваемой фазы;
k - количество фаз, пройденных до завершения переходного цикла
n согласно
Е.3.2.4.4.
Е.4.4.6.2 Определение соответствующего фазе эквивалентного запаса хода на одной электротяге для ГТСТЭ-ВЗУ
Соответствующий фазе эквивалентный запас хода на одной электротяге EAERp для рассматриваемой фазы p, км, вычисляют по формулам

, (Е.66)
где
FCCS,p - соответствующее фазе значение расхода топлива для рассматриваемой фазы p при испытании типа 1 в режиме сохранения заряда, определенное в рамках
шага 5 согласно таблице Е.6, кг/100 км;
FCCD,declared - заявленное значение расхода топлива в режиме расходования заряда согласно
таблице Е.9 (шаг 11), кг/100 км;
FCCD,ave - среднее значение расхода топлива в режиме расходования заряда согласно
таблице Е.9 (шаг 10), кг/100 км;

- изменение уровня электроэнергии всех ПСАЭ за рассматриваемую фазу
j, Вт·ч. При проведении более чем одного испытания в режиме расходования заряда по каждому испытанию рассчитывают дополнительное среднеарифметическое значение;
j - порядковый номер рассматриваемой фазы;
k - количество фаз, пройденных до завершения переходного цикла
n согласно
Е.3.2.4.4;
FCCD,avg,p - среднеарифметическое значение расхода топлива в режиме расходования заряда для рассматриваемой фазы p, г/км, вычисляемое по формуле

, (Е.67)
(при проведении более чем одного испытания в режиме расходования заряда по каждому испытанию рассчитывают дополнительное среднеарифметическое значение, кг/100 км)
где
FCCD,p,c - соответствующее фазе
p цикла
c значение расхода топлива при испытании типа 1 в режиме расходования заряда, определенное по
Д.3.2.1, кг/100 км;
dp,c - расстояние, пройденное за рассматриваемую фазу p цикла c при испытании типа 1 в режиме расходования заряда, км;
c - порядковый номер рассматриваемого применимого испытательного цикла ВПИМ;
p - порядковый номер отдельной фазы в рамках применимого испытательного цикла ВПИМ;
nc - количество применимых испытательных циклов ВПИМ, пройденных до завершения переходного цикла
n согласно
Е.3.2.4.4;
ECDC,CD,p - потребление электроэнергии за рассматриваемую фазу p до полной разрядки ПСАЭ при испытании типа 1 в режиме расходования заряда, Вт·ч/км, вычисляемое по формуле

, (Е.68)
(при проведении более чем одного испытания в режиме расходования заряда по каждому испытанию рассчитывают дополнительное среднеарифметическое значение)
где
ECDC,CD,p,c - потребление электроэнергии за рассматриваемую фазу
p цикла
c до полной разрядки ПСАЭ при испытании типа 1 в режиме расходования заряда, определенное согласно
Е.4.3, Вт·ч/км;
dp,c - расстояние, пройденное за рассматриваемую фазу p цикла c при испытании типа 1 в режиме расходования заряда, км;
c - порядковый номер рассматриваемого применимого испытательного цикла ВПИМ;
p - порядковый номер отдельной фазы в рамках применимого испытательного цикла ВПИМ;
nc - количество применимых испытательных циклов ВПИМ, пройденных до завершения переходного цикла
n согласно
Е.3.2.4.4.
Под рассматриваемыми фазами понимают фазу низкой скорости, фазу средней скорости, фазу высокой скорости, фазу сверхвысокой скорости и городской ездовой цикл.
Е.4.4.7 Фактический запас хода в режиме расходования заряда для ГТСТЭ-ВЗУ
Фактический запас хода в режиме расходования заряда RCDA, км, вычисляют по формуле

, (Е.69)
FCn,cycle - расход топлива за n-й применимый испытательный цикл ВПИМ при испытании типа 1 в режиме расходования заряда, кг/100 км;
FCCD,avg,n-1 - среднеарифметическое значение расхода топлива в ходе испытания типа 1 в режиме расходования заряда, считая от начала испытания до (включительно) соответствующего применимого испытательного цикла ВПИМ (n - 1), кг/100 км, вычисляемое по формуле

, (Е.70)
где FCCD,c - расход топлива за c-й применимый испытательный цикл ВПИМ при испытании типа 1 в режиме расходования заряда, кг/100 км;
dc - расстояние, пройденное за c-й применимый испытательный цикл ВПИМ при испытании типа 1 в режиме расходования заряда, км;
dn - расстояние, пройденное за n-й применимый испытательный цикл ВПИМ при испытании типа 1 в режиме расходования заряда, км;
c - порядковый номер рассматриваемого применимого испытательного цикла ВПИМ;
n - количество пройденных применимых испытательных циклов ВПИМ, включая переходный цикл, согласно
Е.3.2.4.4.
Е.4.5 Интерполяция значений для отдельных ТС
Е.4.5.1 Диапазон интерполяции
Е.4.5.1.1 Диапазон интерполяции для ГЭМ-БЗУ и ГЭМ-ВЗУ
а) Метод интерполяции используют только в том случае, если разница в уровне выбросов CO
2 в режиме сохранения заряда за применимый цикл в результате
шага 8 по таблице Е.4 между испытуемыми ТС L и H находится в пределах между минимальным значением 5 г/км и максимальным значением, определенным в
б) Е.4.5.1.1.
б) Максимальная разница в уровне выбросов CO
2 в режиме сохранения заряда, допустимая за применимый цикл и полученная на основе расчетов масса выбросов CO
2 в режиме сохранения заряда

в рамках
шага 8 по таблице Е.4 между испытуемыми ТС L и H, составляет 20% плюс 5 г/км выбросов CO
2 в режиме сохранения заряда ТС H, но не менее 15 г/км и не более 20 г/км (см.
рисунок Е.3). Это ограничение не применяют в случае использования семейства по матрице дорожных нагрузок либо при расчете дорожной нагрузки для ТС L и H на основе общепринятой дорожной нагрузки.
Диапазон интерполяции, электромобили
Рисунок Е.3 - Диапазон интерполяции значений между ТС H и L
применительно к ЭМ
в) Если испытанию в составе данного семейства подвергается ТС M и выполняются условия по
б) Е.4.5.1.1, то допустимый диапазон интерполяции, определенный в
д) Е.4.5.1.1, может быть сдвинут вверх на 10 г/км для уровня выбросов CO
2 в режиме сохранения заряда. Такое расширение пределов применительно к интерполяционному семейству допустимо лишь однократно (см.
рисунок Е.4).
Диапазон интерполяции, электромобили, на базе ТС M
Рисунок Е.4 - Диапазон интерполяции для ЭМ, на базе ТС M
г) По просьбе изготовителя и с одобрения компетентного органа допускается расширение пределов применения метода интерполяции для отдельных ТС в составе семейства при условии, что линия интерполяции для отдельного ТС
(шаг 9 по таблице Е.4) остается в пределах 3 г/км выше значения массы выбросов CO
2 в режиме сохранения заряда ТС H
(шаг 8 по таблице Е.4) и/или 3 г/км ниже значения массы выбросов CO
2 в режиме сохранения заряда ТС L
(шаг 8 по таблице Е.4). Это расширение пределов действительно только в абсолютных границах указанного в настоящем пункте диапазона интерполяции.
В случае использования семейства по матрице дорожных нагрузок либо при расчете дорожной нагрузки для ТС L и H на основе общепринятой дорожной нагрузки экстраполяция не допускается.
д) Транспортное средство M
ТС M является ТС в составе интерполяционного семейства между ТС L и H, для которого потребность в энергии для выполнения цикла в идеале максимально приближается к среднему показателю ТС L и H.
Предельные значения для целей выбора ТС M (см.
рисунок Е.5) являются таковыми, что ни разница в значении массы выбросов CO
2 между ТС H и M, ни разница в значении массы выбросов CO
2 в режиме сохранения заряда между ТС M и L не выходит за верхний предел допустимого диапазона значений CO
2 в режиме сохранения заряда по
б) Е.4.5.1.1. Установленные коэффициенты дорожной нагрузки и установленную испытательную массу регистрируют.
Рисунок Е.5 - Предельные значения для целей выбора ТС M
Проверку линейности массового показателя выбросов CO
2 в режиме сохранения заряда для ТС M проводят на основе линейно интерполированных значений массы выбросов CO
2 в режиме сохранения заряда, полученных для ТС L и H за применимый цикл, прибегая к корректировке измеренных значений согласно
шагу 6 
по таблице Е.4.
Критерий линейности применительно к ТС M считают выполненным, если разница между значением массы выбросов CO
2 в режиме сохранения заряда ТС M за применимый ВЦИМГ и полученным путем интерполяции массовым показателем выбросов CO
2 в режиме сохранения заряда составляет менее 2 г/км или 3% интерполированного значения, в зависимости от того, какое из этих значений меньше, но по крайней мере 1 г/км (см.
рисунок Е.6).
Допуск для ТС M, измеренный по сравнению с рассчитанным
Рисунок Е.6 - Критерий линейности для ТС M
В случае соблюдения критерия линейности метод интерполяции значений между ТС L и H применяют ко всем отдельным ТС в составе интерполяционного семейства.
Если же критерий линейности не выполнен, то интерполяционное семейство разделяют на два подсемейства: ТС с разбивкой - по потребности в энергии для выполнения цикла - на ТС L и M и ТС с аналогичной разбивкой на ТС M и H. В таком случае окончательное значение, например, массы выбросов CO
2 в режиме сохранения заряда ТС M определяют по той же процедуре, что и для ТС L или H (см.
таблицы Е.4,
Е.5,
Е.7 и
Е.8).
В случае ТС с разбивкой - по потребности в энергии для выполнения цикла - на ТС L и M каждый параметр ТС H, необходимый для применения метода интерполяции значений для отдельных ГЭМ-ВЗУ и ГЭМ-БЗУ, заменяют соответствующим параметром ТС M.
В случае ТС с разбивкой, по потребности в энергии для выполнения цикла, на ТС M и H каждый параметр ТС L, необходимый для применения метода интерполяции значений для отдельных ГЭМ-ВЗУ и ГЭМ-БЗУ, заменяют соответствующим параметром ТС M.
Е.4.5.2 Расчет потребности в энергии применительно к рассматриваемому периоду
Потребность в энергии,
Ek,p, и пройденное расстояние,
dc,p, в расчете на период
p применительно к отдельным ТС в составе интерполяционного семейства вычисляют в соответствии с процедурой, определенной в
Д.5, для наборов,
k, коэффициентов дорожной нагрузки и массы согласно
Д.3.2.3.2.
Е.4.5.3 Расчет интерполяционного коэффициента
Kind,p применительно к отдельным ТС
Применительно к каждому рассматриваемому периоду p интерполяционный коэффициент для рассматриваемого отдельного ТС Kind,p вычисляют по формуле

, (Е.71)
где
E1,p - потребность в энергии за рассматриваемый период для ТС L согласно
Д.5, Вт·с;
E2,p - потребность в энергии за рассматриваемый период для ТС H согласно
Д.5, Вт·с;
E3,p - потребность в энергии за рассматриваемый период для отдельного ТС согласно
Д.5, Вт·с;
p - порядковый номер отдельного периода в рамках применимого испытательного цикла.
В том случае, если рассматриваемый период p представляет собой применимый испытательный цикл ВПИМ, то Kind,p именуется Kind.
Е.4.5.4 Интерполяция значений массы выбросов CO2 для отдельных ТС
Е.4.5.4.1 Индивидуальные значения массы выбросов CO
2 в режиме сохранения заряда для ГЭМ-ВЗУ и ГЭМ-БЗУ
Массу выбросов CO
2, соответствующую рассматриваемому периоду
p, в режиме сохранения заряда для отдельного ТС,

. г/км, определенную в рамках
шага 9 согласно таблице Е.4, вычисляют по формуле

, (Е.72)
где

- соответствующая рассматриваемому периоду
p масса выбросов CO
2 в режиме сохранения заряда для ТС L, определенная в рамках
шага 8 согласно таблице Е.4, г/км;

- соответствующая рассматриваемому периоду
p масса выбросов CO
2 в режиме сохранения заряда для ТС H, определенная в рамках
шага 8 согласно таблице Е.4, г/км;
Kind,p - интерполяционный коэффициент для рассматриваемого отдельного ТС применительно к периоду p;
p - порядковый номер отдельного периода в рамках применимого испытательного цикла ВПИМ.
Под рассматриваемыми периодами понимают фазу низкой скорости, фазу средней скорости, фазу высокой скорости, фазу сверхвысокой скорости и применимый испытательный цикл ВПИМ. Если договаривающаяся сторона просит исключить фазу сверхвысокой скорости, то соответствующее этой фазе значение не учитывают.
Е.4.5.4.2 Индивидуальный взвешенный с учетом коэффициента полезности массовый показатель выбросов CO2 в режиме расходования заряда для ГЭМ-ВЗУ
Взвешенный с учетом коэффициента полезности массовый показатель выбросов CO
2 в режиме расходования заряда для отдельного ТС

, г/км, вычисляют по формуле

, (Е.73)
где

- взвешенный с учетом коэффициента полезности массовый показатель выбросов CO
2 в режиме расходования заряда для ТС L, г/км;

- взвешенный с учетом коэффициента полезности массовый показатель выбросов CO
2 в режиме расходования заряда для ТС H, г/км;
Kind - интерполяционный коэффициент для рассматриваемого отдельного ТС применительно к соответствующему испытательному циклу ВПИМ.
Е.4.5.4.3 Индивидуальный взвешенный с учетом коэффициента полезности массовый показатель выбросов CO2 для ГЭМ-ВЗУ
Взвешенный с учетом коэффициента полезности массовый показатель выбросов CO
2 для отдельного ТС

, г/км, вычисляют по формуле

, (Е.74)
где

- взвешенный с учетом коэффициента полезности массовый показатель выбросов CO
2 для ТС L, г/км;

- взвешенный с учетом коэффициента полезности массовый показатель выбросов CO
2 для ТС H, г/км;
Kind - интерполяционный коэффициент для рассматриваемого отдельного ТС применительно к соответствующему испытательному циклу ВПИМ.
Е.4.5.5 Интерполяция значений расхода топлива и показателей топливной экономичности для отдельных ТС
Е.4.5.5.1 Индивидуальные значения расхода топлива в режиме сохранения заряда для ГЭМ-ВЗУ, ГЭМ-БЗУ, ГТСТЭ-БЗУ и ГТСТЭ-ВЗУ
Индивидуальные значения расхода топлива в режиме сохранения заряда для ГЭМ-ВЗУ и ГЭМ-БЗУ
Расход топлива в режиме сохранения заряда
FCind,CS,p, л/100 км, соответствующий рассматриваемому периоду
p, для отдельного ТС, определенный в рамках
шага 3 согласно таблице Е.5, вычисляют по формуле
FCind,CS,p = FCL,CS,p + Kind,p·(FCH,CS,p - FCL,CS,p), (Е.75)
где
FCL,CS,p - соответствующий рассматриваемому периоду
p расход топлива в режиме сохранения заряда для ТС L, определенный в рамках
шага 2 согласно таблице Е.5, л/100 км;
FCH,CS,p - соответствующий рассматриваемому периоду
p расход топлива в режиме сохранения заряда для ТС H, определенный в рамках
шага 2 согласно таблице Е.5, л/100 км;
Kind,p - интерполяционный коэффициент для рассматриваемого отдельного ТС применительно к периоду p;
p - порядковый номер отдельного периода в рамках применимого испытательного цикла ВПИМ.
Под рассматриваемыми периодами понимают фазу низкой скорости, фазу средней скорости, фазу высокой скорости, фазу сверхвысокой скорости и применимый испытательный цикл ВПИМ. Если договаривающаяся сторона просит исключить фазу сверхвысокой скорости, то соответствующее этой фазе значение не учитывают.
Индивидуальные показатели топливной экономичности в режиме сохранения заряда для ГЭМ-ВЗУ и ГЭМ-БЗУ
Топливную экономичность в режиме сохранения заряда
FEind,CS,p, км/л, соответствующую рассматриваемому периоду
p, для отдельного ТС, определенную в рамках
шага 3 согласно таблице Е.5, вычисляют по формуле

, (Е.76)
где
FEL,CS,p - соответствующий рассматриваемому периоду
p показатель топливной экономичности в режиме сохранения заряда для ТС L, определенный в рамках
шага 2 согласно таблице Е.5, км/л;
FEH,CS,p - соответствующий рассматриваемому периоду
p показатель топливной экономичности в режиме сохранения заряда для ТС H, определенный в рамках
шага 2 согласно таблице Е.5, км/л;
Kind,p - интерполяционный коэффициент для рассматриваемого отдельного ТС применительно к периоду p;
p - порядковый номер отдельного периода в рамках применимого испытательного цикла ВПИМ.
Под рассматриваемыми периодами понимают фазу низкой скорости, фазу средней скорости, фазу высокой скорости и применимый испытательный цикл ВПИМ.
Индивидуальные значения расхода топлива в режиме сохранения заряда для ГТСТЭ-ВЗУ и ГТСТЭ-БЗУ
Расход топлива в режиме сохранения заряда
FCind,CS,p, кг/100 км, соответствующий рассматриваемому периоду
p для отдельного ТС, определенный в рамках
шага 6 согласно таблице Е.6, вычисляют по формуле
FCind,CS,p = FCL,CS,p + (FCH,CS,p - FCL,CS,p)·Kind,p, (Е.77)
где
FCL,CS,p - соответствующий рассматриваемому периоду
p расход топлива в режиме сохранения заряда для ТС L, определенный в рамках
шага 5 согласно таблице Е.6, кг/100 км;
FEH,CS,p - соответствующий рассматриваемому периоду
p расход топлива в режиме сохранения заряда для ТС H, определенный в рамках
шага 5 согласно таблице Е.6, кг/100 км;
Kind,p - интерполяционный коэффициент для рассматриваемого отдельного ТС применительно к периоду p;
p - порядковый номер отдельного периода в рамках применимого испытательного цикла ВПИМ.
Под рассматриваемыми периодами понимают фазу низкой скорости, фазу средней скорости, фазу высокой скорости, фазу сверхвысокой скорости и применимый испытательный цикл ВПИМ.
Е.4.5.5.2 Индивидуальные значения расхода топлива в режиме расходования заряда для ГЭМ-ВЗУ и ГТСТЭ-ВЗУ
Взвешенное с учетом коэффициента полезности значение расхода топлива в режиме расходования заряда FCind,CD, л/100 км в случае ГЭМ-ВЗУ и кг/100 км - в случае ГТСТЭ-ВЗУ, для отдельного ТС вычисляют по формуле
FCind,CD = FCL,CD + (FCH,CD - FCL,CD)·Kind, (Е.78)
где FCL,CD - взвешенное с учетом коэффициента полезности значение расхода топлива в режиме расходования заряда для ТС L, л/100 км в случае ГЭМ-ВЗУ и кг/100 км - в случае ГТСТЭ-ВЗУ;
FCH,CD - взвешенное с учетом коэффициента полезности значение расхода топлива в режиме расходования заряда для ТС H, л/100 км в случае ГЭМ-ВЗУ и кг/100 км - в случае ГТСТЭ-ВЗУ;
Kind - интерполяционный коэффициент для рассматриваемого отдельного ТС применительно к соответствующему испытательному циклу ВПИМ.
Показатель топливной эффективности в режиме расходования заряда FEind,CD, км/л, для отдельного ТС вычисляют по формуле

, (Е.79)
где FEL,CD - топливная эффективность в режиме расходования заряда для ТС L, км/л;
FEH,CD - топливная эффективность в режиме расходования заряда для ТС H, км/л;
Kind - интерполяционный коэффициент для рассматриваемого отдельного ТС применительно к соответствующему испытательному циклу ВПИМ.
Е.4.5.5.3 Индивидуальные взвешенные с учетом коэффициента полезности значения расхода топлива для ГЭМ-ВЗУ и ГТСТЭ-ВЗУ
Взвешенное с учетом коэффициента полезности значение расхода топлива FCind,weighted, л/100 км в случае ГЭМ ВЗУ и кг/100 км - в случае ГТСТЭ ВЗУ, для отдельного ТС вычисляют по формуле
FCind,weighted = FCL,weighted +
+ (FCH,weighted - FCL,weighted)·Kind, (Е.80)
где FCind,weighted - взвешенное с учетом коэффициента полезности значение расхода топлива для ТС L, л/100 км в случае ГЭМ-ВЗУ и кг/100 км - в случае ГТСТЭ-ВЗУ;
FCH,weighted - взвешенное с учетом коэффициента полезности значение расхода топлива для ТС H, л/100 км в случае ГЭМ-ВЗУ и кг/100 км - в случае ГТСТЭ-ВЗУ;
Kind - интерполяционный коэффициент для рассматриваемого отдельного ТС применительно к соответствующему испытательному циклу ВПИМ.
Е.4.5.6 Интерполяция показателей потребления электроэнергии для отдельных ТС
Е.4.5.6.1 Индивидуальные взвешенные с учетом коэффициента полезности показатели потребления электроэнергии в режиме расходования заряда при электроэнергии подзарядки, поступающей от сети, для ГЭМ-ВЗУ и ГТСТЭ-ВЗУ
Взвешенный с учетом коэффициента полезности показатель потребления электроэнергии в режиме расходования заряда при электроэнергии подзарядки, поступающей от сети, ECAC-ind,CD, Вт·ч/км, для отдельного ТС вычисляют по формуле
ECAC-ind,CD = ECAC-L,CD +
+ (ECAC-H,CD - ECAC-L,CD)·Kind, (Е.81)
где ECAC-L,CD - взвешенный с учетом коэффициента полезности показатель потребления электроэнергии в режиме расходования заряда при электроэнергии подзарядки, поступающей от сети, для ТС L, Вт·ч/км;
ECAC-H,CD - взвешенный с учетом коэффициента полезности показатель потребления электроэнергии в режиме расходования заряда при электроэнергии подзарядки, поступающей от сети, для ТС H, Вт·ч/км;
Kind - интерполяционный коэффициент для рассматриваемого отдельного ТС применительно к соответствующему испытательному циклу ВПИМ.
Е.4.5.6.2 Индивидуальные взвешенные с учетом коэффициента полезности показатели потребления электроэнергии при электроэнергии подзарядки, поступающей от сети, для ГЭМ-ВЗУ и ГТСТЭ-ВЗУ
Взвешенный с учетом коэффициента полезности показатель потребления электроэнергии при электроэнергии подзарядки, поступающей от сети, ECAC-ind,weighted, Вт·ч/км, для отдельного ТС вычисляют по формуле
ECAC-ind,weighted = ECAC-L,weighted +
+ (ECAC-H,weighted - ECAC-L,weighted)·Kind, (Е.82)
где ECAC-L,weighted - взвешенный с учетом коэффициента полезности показатель потребления электроэнергии при электроэнергии подзарядки, поступающей от сети, для ТС L, Вт·ч/км;
ECAC-H,weighted - взвешенный с учетом коэффициента полезности показатель потребления электроэнергии при электроэнергии подзарядки, поступающей от сети, для ТС H, Вт·ч/км;
Kind - интерполяционный коэффициент для рассматриваемого отдельного ТС применительно к соответствующему испытательному циклу ВПИМ.
Е.4.5.6.3 Индивидуальные показатели потребления электроэнергии для ГЭМ-ВЗУ, ГТСТЭ-ВЗУ и ПЭМ
Потребление электроэнергии за рассматриваемый период
p ECind,p, Вт·ч/км, для отдельного ТС согласно
Е.4.3.3 (в случае ГЭМ-ВЗУ) и
Е.4.3.4 (в случае ПЭМ) вычисляют по формуле
ECind,p = ECL,p + (ECH,p - ECL,p)·Kind,p, (Е.83)
где ECL,p - потребление электроэнергии за рассматриваемый период p для ТС L, Вт·ч/км;
ECH,p - потребление электроэнергии за рассматриваемый период p для ТС H, Вт·ч/км;
Kind,p - интерполяционный коэффициент для рассматриваемого отдельного ТС применительно к периоду p;
p - порядковый номер отдельного периода в рамках применимого испытательного цикла.
Под рассматриваемыми периодами понимают фазу низкой скорости, фазу средней скорости, фазу высокой скорости, фазу сверхвысокой скорости и применимый испытательный цикл ВПИМ. Если договаривающаяся сторона просит исключить фазу сверхвысокой скорости, то соответствующее этой фазе значение не учитывают.
Е.4.5.7 Интерполяция показателей запаса хода на электротяге для отдельных ТС
Е.4.5.7.1 Индивидуальные показатели запаса хода на одной электротяге для ГЭМ-ВЗУ и ГТСТЭ-ВЗУ
Если выполняется следующий критерий:

, (Е.84)
где AERL - запас хода на одной электротяге для ТС L в ходе применимого испытательного цикла ВПИМ, км;
AERH - запас хода на одной электротяге для ТС H в ходе применимого испытательного цикла ВПИМ, км;
RCDA,L - фактический запас хода в режиме расходования заряда для ТС L, км;
RCDA,H - фактический запас хода в режиме расходования заряда для ТС H, км,
то запас хода на одной электротяге, соответствующий рассматриваемому периоду p, AERind,p, км, для отдельного ТС вычисляют по формуле
AERind,p = AERL,p + (AERH,p - AERL,p)·Kind,p, (Е.85)
где AERL,p - соответствующий рассматриваемому периоду p запас хода на одной электротяге для ТС L, км;
AERH,p - соответствующий рассматриваемому периоду p запас хода на одной электротяге для ТС H, км;
Kind,p - интерполяционный коэффициент для рассматриваемого отдельного ТС применительно к периоду p;
p - порядковый номер отдельного периода в рамках применимого испытательного цикла.
Под рассматриваемыми периодами понимают применимый городской испытательный цикл ВПИМ и применимый испытательный цикл ВПИМ. Если договаривающаяся сторона просит исключить фазу сверхвысокой скорости, то соответствующее этой фазе значение не учитывают.
Если критерий, указанный в настоящем пункте, не выполняется, то показатель AER, определенный для ТС H, применяется ко всем ТС, относящимся к соответствующему интерполяционному семейству.
Е.4.5.7.2 Индивидуальные показатели запаса хода только на электротяге для ПЭМ
Запас хода только на электротяге, соответствующий рассматриваемому периоду p, PERind,p, км, для отдельного ТС вычисляют по формуле
PERind,p = PERL,p + (PERH,p - PERL,p)·Kind,p, (Е.86)
где PERL,p - соответствующий рассматриваемому периоду p запас хода только на электротяге для ТС L, км;
PERH,p - соответствующий рассматриваемому периоду p запас хода только на электротяге для ТС H, км;
Kind,p - интерполяционный коэффициент для рассматриваемого отдельного ТС применительно к периоду p;
p - порядковый номер отдельного периода в рамках применимого испытательного цикла.
Под рассматриваемыми периодами понимают фазу низкой скорости, фазу средней скорости, фазу высокой скорости, фазу сверхвысокой скорости, применимый городской испытательный цикл ВПИМ и применимый испытательный цикл ВПИМ. Если договаривающаяся сторона просит исключить фазу сверхвысокой скорости, то соответствующее этой фазе значение не учитывают.
Е.4.5.7.3 Индивидуальные показатели эквивалентного запаса хода на одной электротяге для ГЭМ-ВЗУ и ГТСТЭ-ВЗУ
Эквивалентный запас хода на одной электротяге, соответствующий рассматриваемому периоду p, EAERind,p, км, для отдельного ТС вычисляют по формуле
EAERind,p = EAERL,p + (EAERH,p - EAERL,p)·Kind,p, (Е.87)
где EAERL,p - соответствующий рассматриваемому периоду p эквивалентный запас хода на одной электротяге для ТС L, км;
EAERH,p - соответствующий рассматриваемому периоду p эквивалентный запас хода на одной электротяге для ТС H, км;
Kind,p - интерполяционный коэффициент для рассматриваемого отдельного ТС применительно к периоду p;
p - порядковый номер отдельного периода в рамках применимого испытательного цикла.
Под рассматриваемыми периодами понимают фазу низкой скорости, фазу средней скорости, фазу высокой скорости, фазу сверхвысокой скорости, применимый городской испытательный цикл ВПИМ и применимый испытательный цикл ВПИМ. Если договаривающаяся сторона просит исключить фазу сверхвысокой скорости, то соответствующее этой фазе значение не учитывают.
Е.4.5.8 Корректировка значений
Величина показателя
EAER для отдельного ТС, определенная по
Е.4.5.7.3, может быть уменьшена изготовителем. В этом случае соответствующие фазе значения
EAER уменьшают на коэффициент уменьшенного значения
EAER, разделенного на расчетное значение
EAER. При этом не обеспечиваются компенсации на технические элементы, ввиду наличия которых ТС фактически потребуется исключить из интерполяционного семейства.
Е.4.6 Пошаговая процедура расчета окончательных результатов испытания для ГЭМ-ВЗУ
В дополнение к пошаговой процедуре расчета окончательных результатов испытания в условиях сохранения заряда по
Е.4.1.1.1 (для выбросов газообразных соединений) и
Е.4.2.1.1 (для расхода топлива и топливной экономичности) в
Е.4.6.1 и
Е.4.6.2 изложена пошаговая процедура расчета окончательных результатов испытания в условиях расходования заряда, а также окончательных взвешенных результатов испытаний в условиях сохранения и расходования заряда.
Е.4.6.1 Пошаговая процедура расчета окончательных результатов испытания типа 1 в условиях расходования заряда для ГЭМ-ВЗУ
Расчет результатов выполняют в порядке, указанном в
таблице Е.7.
Таблица Е.7
Расчет окончательных значений в режиме расходования заряда
(показатель FE применим только для результатов
после трех фаз)
Номер шага | Источник | Исходные данные | | |
1 | Приложение Е | Результаты испытания в режиме расходования заряда | Результаты измерения согласно Е.8, предварительные расчеты по Е.4.3. |  , Вт·ч; dj, км; |
Электроэнергия подзарядки согласно Е.3.2.4.6. | EAC, Вт·ч; |
Энергия для выполнения цикла согласно Д.5. | Ecycle, Вт·с; |
Масса выбросов CO 2 согласно Д.3.2.1. |  , г/км; |
Массовый показатель выбросов газообразного химического соединения i согласно Е.4.1.3.1. | Mi,CD,j, г/км; |
Запас хода на одной электротяге, определенный по Е.4.4.1.1. | AER, км; |
Может потребоваться применение поправочного коэффициента на массу выбросов CO 2,  , согласно Е.6. Выходные данные получают по каждому испытанию. При использовании метода интерполяции выходные данные (кроме  ) получают для ТС H, L и, в случае применимости, M. |  , (г/км)/(Вт·ч/км) |
| С учетом результатов по 4 фазам приложение Е | | Полезная энергия аккумулятора согласно Е.4.4.1.2. | UBEcity, Вт·ч; |
В случае прогона по применимому городскому испытательному циклу ВЦИМГ: запас хода на одной электротяге для городских условий согласно Е.4.4.1.2. | AERcity, км; |
Количество частиц в выбросах (если применимо) согласно Д.4. | PNCD,j, частицы на километр; |
Выбросы взвешенных частиц согласно Д.4 | PMCD,c, мг/км |
2 | |  , Вт·ч; Ecycle, Вт·с | Расчет относительного изменения уровня электроэнергии за каждый цикл - в соответствии с б) Е.3.2.4.5. Выходные данные получают по каждому испытанию и каждому применимому испытательному циклу ВПИМ. При использовании метода интерполяции выходные данные получают для ТС H, L и - в случае применимости - M | |
3 | | REECi | Определение переходного и подтверждающего циклов согласно Е.3.2.4.4. | |
Если одно ТС подвергается более чем одному испытанию в режиме расходования заряда, то для целей усреднения результатов каждое испытание проводят при одинаковом количестве, nveh, переходных циклов. Определение запаса хода в цикле с расходованием заряда по Е.4.4.3. Выходные данные получают по каждому испытанию. При использовании метода интерполяции выходные данные получают для ТС H, L и, в случае применимости, M | RCDC; км |
4 | | nveh | При использовании метода интерполяции переходный цикл определяют для ТС H, L и, в случае применимости, M. | nveh,H; |
Проверяют выполнение критерия интерполяции согласно 4.5.2 | если применимо, nveh,M |
5 С учетом результатов по 4 фазам | | Mi,CD,j, г/км; PMCD,c, мг/км; PNCD,j, частицы на километр | Расчет совокупных значений выбросов для количества циклов nveh; в случае интерполяции - по каждому ТС для количества циклов nveh,L. Выходные данные получают по каждому испытанию. При использовании метода интерполяции выходные данные получают для ТС H, L и - в случае применимости - M | PMCD,c, мг/км; PNCD,c, частицы на километр |
6 С учетом результатов по 4 фазам | | Mi,CD,c, г/км; PMCD,c, мг/км; PNCD,c, частицы на километр | Усреднение результатов испытаний на выбросы по каждому применимому испытательному циклу ВПИМ в ходе испытания типа 1 в режиме расходования заряда и проверка на соответствие критериям, указанным в таблице Е.2 | Mi,CD,c,ave, г/км; PMCD,c,ave, мг/км; PNCD,c,ave, частицы на километр |
7 С учетом результатов по 4 фазам | |  , Вт·ч; dj, км; UBEcity, Вт·ч | Если AERcity определяют при испытании типа 1 путем прогона по применимым испытательным циклам ВПИМ, то соответствующее значение рассчитывают по Е.4.4.1.2. В случае проведения более чем одного испытания для каждого испытания показатель ncity,pe должен быть одинаковым. Выходные данные получают по каждому испытанию. Выведение среднего значения AERcity. При использовании метода интерполяции выходные данные получают для ТС H, L и, в случае применимости, M | AERcity,ave, км |
8 С учетом результатов по 4 фазам | | dj, км; | Расчет соответствующих фазе и циклу коэффициентов полезности (UF). Выходные данные получают по каждому испытанию. При использовании метода интерполяции выходные данные получают для ТС H, L и, в случае применимости, M | UFcycle,c |
| nveh; |
| nveh,L |
9 С учетом результатов по 4 фазам | |  , Вт·ч; dj, км; EAC, Вт·ч; | Расчет потребления электроэнергии при электроэнергии подзарядки согласно Е.4.3.1. В случае применения метода интерполяции используют количество циклов nveh,L. Поэтому, с учетом требуемой корректировки массы выбросов CO2, потребление электроэнергии в ходе подтверждающего цикла и его фаз принимают равным нулю. Выходные данные получают по каждому испытанию. При использовании метода интерполяции выходные данные получают для ТС H, L и, в случае применимости, M | |
| nveh; |
| nveh,L; |
| UFphase,j |
10 | |  , г/км;  , CO 2 (г/км)/(Вт·ч/км);  , Вт·ч; dj, км; nveh; nveh,L; UFphase,j | Расчет массы выбросов CO 2 в режиме расходования заряда по Е.4.1.2. В случае применения метода интерполяции используют количество циклов nveh,L. Со ссылкой на Е.4.1.2 проводят корректировку подтверждающего цикла согласно Е.7. Выходные данные получают по каждому испытанию. При использовании метода интерполяции выходные данные получают для ТС H, L и - в случае применимости - M |  , г/км |
| dj, км |
| nveh |
| nveh,L; UFphase,j |
11 | |  , г/км; Mi,CD,j, г/км;  CO 2 (г/км)/(Вт·ч/км). nveh; nveh,L; UFphase,j | Расчет расхода топлива и топливной экономичности в режиме расходования заряда по Е.4.2.2. В случае применения метода интерполяции используют количество циклов nveh,L. Со ссылкой на Е.4.1.2 проводят корректировку показателя  подтверждающего цикла согласно Е.6. С учетом результатов по 4 фазам соответствующее фазе значение расхода топлива, FCCD,j, рассчитывают по скорректированной массе выбросов CO 2 согласно Д.6. Выходные данные получают по каждому испытанию. При использовании метода интерполяции выходные данные получают для ТС H, L и - в случае применимости - M | С учетом результатов по 4 фазам FCCD,j, л/100 км; FCCD, л/100 км. С учетом результатов по 3 фазам FECD, км/л |
| nveh |
| nveh,L |
| UFphase,j |
12 | |  , Вт·ч; dj, км | Если применимо, расчет показателя потребления электроэнергии за первый применимый испытательный цикл ВПИМ, как указано в Е.13.2.1. Выходные данные получают по каждому испытанию. При использовании метода интерполяции выходные данные получают для ТС H, L и - в случае применимости - M | |
| | ECAC,CD, Вт·ч/км | Усреднение результатов испытаний по каждому ТС. При использовании метода интерполяции выходные данные получают для каждого ТС H, L и - в случае применимости - M | ECDC,CD,first,ave, Вт·ч/км С учетом результатов по 4 фазам ECAC,CD,ave, Вт·ч/км;  , г/км; FCCD,ave, л/100 км; С учетом результатов по 3 фазам FECD,ave, км/л |
|  , г/км |
| FCCD, л/100 км; FECD, км/л |
| если применимо: ECDC,CD,first, Вт·ч/км |
| | ECAC,CD,ave, Вт·ч/км;  , г/км; FECD,ave, км/л; | Указание заявляемых значений потребления электроэнергии, топливной экономичности и массы выбросов CO2 в режиме расходования заряда для каждого ТС. При использовании метода интерполяции выходные данные получают для каждого ТС H, L и - в случае применимости - M | С учетом результатов по 4 фазам ECAC,CD,declared, Вт·ч/км; ECAC,weighted, Вт·ч/км;  , г/км С учетом результатов по 3 фазам FECD,declared, км/л |
15 | | ECAC,CD,ave, Вт·ч/км; если применимо: ECDC,CD,first,ave, Вт·ч/км | Если применимо: корректировка показателя потребления электроэнергии для целей СП, как указано в Е.13.2.1. При использовании метода интерполяции выходные данные получают для каждого ТС H, L и - в случае применимости - M | |
| ECAC,CD,declared, Вт·ч/км |
16 Результат по интерполяционному семейству. Если метод интерполяции не используется, то шаг 17 не требуется и за окончательный результат принимают выходные данные по настоящему шагу | | Если применимо: ECDC,CD,COP, Вт·ч/км; | При использовании метода интерполяции производят округление промежуточных результатов в соответствии с разделом 6. Значение  округляют до одной сотой. Значения ECAC,CD,final и ECAC,weighted,final округляют до одной десятой. Если применимо: значение ECDC,CD,COP округляют до одной десятой. Значения FCCD и FECD округляют до одной тысячной. Выходные данные получают для ТС H, L и - в случае применимости - M. Если же метод интерполяции не используется, то производят округление окончательных результатов в соответствии с разделом 6. Значения ECAC,CD, ECAC,weighted и  округляют до ближайшего целого числа. Если применимо: значение ECDC,CD,COP округляют до ближайшего целого числа. Значения FCCD и FECD округляют до одной десятой | ECDC,CD,COP,final, Вт·ч/км; С учетом результатов по 4 фазам ECAC,CD,final, Вт·ч/км;  , г/км; ECAC,weighted,final, Вт·ч/км; FCCD,final, л/100 км; С учетом результатов по 3 фазам FECD,final, км/л |
| ECAC,CD,declared, Вт·ч/км; ECAC,weighted, Вт·ч/км; FECD,declared, км/л |
|  , г/км; FCCD,ave, л/100 км |
Результат по отдельному ТС. Окончательный результат испытания | | Если применимо: ECDC,CD,COP,final, Вт·ч/км; ECAC,CD,final, Вт·ч/км;  , г/км; ECAC,weighted,final, Вт·ч/км; FCCD,final, л/100 км; FCCD,final, км/л | Интерполяция значений для отдельных ТС по исходным данным для ТС H и L и - в случае применимости - для ТС M. Округление окончательных значений для отдельных ТС производят в соответствии с разделом 6. Значения ECAC,CD, ECAC,weighted и  округляют до ближайшего целого числа. Если применимо: значение ECDC,CD,COP округляют до ближайшего целого числа. Значение FCCD округляют до одной десятой. Выходные данные получают для каждого отдельного ТС | Если применимо: ECDC,CD,COP,ind, Вт·ч/км; С учетом результатов по 4 фазам ECAC,CD,ind, Вт·ч/км;  , г/км; ECAC,weighted,ind, Вт·ч/км; FCCD,ind, л/100 км; С учетом результатов по 3 фазам FCCD,ind, км/л |
Примечание - В таблице использованы следующие обозначения: c - полный применимый испытательный цикл; p - каждая фаза применимого цикла; для цели расчета EAERcity (в случае применимости) под p понимают городской ездовой цикл; i - соответствующий основной загрязнитель, содержащийся в выбросах; CS - режим сохранения заряда; CO2 - масса выбросов CO2. |
Все применимые результаты в
графе "Выходные данные" регистрируют. В
графе "Порядок" указаны пункты, на основании которых производится расчет, или приводятся дополнительные уравнения для расчета.
Е.4.6.2 Пошаговая процедура расчета окончательных взвешенных результатов испытаний типа 1 в условиях сохранения и расходования заряда для ГЭМ-ВЗУ
Расчет результатов выполняют в порядке, указанном в
таблице Е.8. Все применимые результаты в
графе "Выходные данные" регистрируют. В
графе "Порядок" указаны пункты, на основании которых проводится расчет, или приведены дополнительные уравнения для расчета.
Таблица Е.8
Расчет окончательных взвешенных значений в режимах
расходования и сохранения заряда (показатель FE применим
только для результатов после трех фаз)
Номер шага | Источник | Исходные данные | | |
1 | | Mi,CD,j, г/км; PNCD,j, частицы на километр; PMCD,c, мг/км;  , г/км;  , Вт·ч; dj, км; AER, км; EAC, Вт·ч; | Исходные данные, полученные после обработки результатов испытаний в режимах РЗ и СЗ. |  , г/км; AER, км; EAC, Вт·ч;  , г/км;  , г/км;  , г/км С учетом результатов по 4 фазам Mi,CD,j, г/км; PNCD,j, частицы на километр; PMCD,c, мг/км;  , Вт·ч; dj, км; AERcity,ave, км; nveh; RCDC, км; nveh,L; nveh,H; UFphase,j; UFcycle,c; Mi,CS,c,6, г/км; |
| AERcity,ave, км |
| nveh; RCDC, км; |
| nveh,L; nveh,H; |
| UFphase,j; UFcycle,c; |
| Mi,CS,c,6, г/км;  , г/км; |
| | | В случае РЗ выходные данные получают по каждому испытанию в режиме РЗ. В случае СЗ выходные данные получают только для усредненных значений применительно к испытанию в режиме СЗ. | |
|  , г/км; |
|  , г/км; | При использовании метода интерполяции выходные данные (кроме  ) получают для ТС H, L и - в случае применимости - M. |  , (г/км)/(Вт·ч/км) |
 (г/км)/(Вт·ч/км) | Может потребоваться применение поправочного коэффициента на массу выбросов CO 2,  согласно Е.6 |
2 С учетом результатов по 4 фазам | | Mi,CD,j, г/км; PNCD,j, частицы на километр; PMCD,c, мг/км; nveh; nveh,L; UFphase,j; UFcycle,c; Mi,CS,c,6, г/км | Примечание - Mi,CS,c,6 включает PNCS,c и PMCS,c. ' Выходные данные получают по каждому испытанию в режиме РЗ. При использовании метода интерполяции выходные данные получают для каждого ТС L, H и - в случае применимости - M | Mi,weighted, г/км; PNweighted, частицы на километр; PMweighted, мг/км |
3 | |  , г/км;  , Вт·ч; dj, км; nveh; RCDC, км  , г/км; | Расчет эквивалентного запаса хода на одной электротяге по Е.4.4.4.1 и Е.4.4.4.2, а также фактического запаса хода в режиме расходования заряда по Е.4.4.5. Выходные данные получают по каждому испытанию в режиме РЗ. Значение RCDA округляют согласно разделу 6 до ближайшего целого числа. При использовании метода интерполяции выходные данные получают для каждого ТС L, H и - в случае применимости - M | EAERp, км; RCDA, км |
4 | | AER, км; | Выходные данные получают по каждому испытанию в режиме РЗ. | Наличие интерполяции значений AER |
| RCDA, км | При использовании метода интерполяции проводят проверку на предмет наличия интерполяции значений AER между ТС H, L и - в случае применимости - M согласно Е.4.5.7.1. Если используется метод интерполяции, то предъявляемому требованию должно отвечать каждое испытание |
5 Результат по интерполяционному семейству Если метод интерполяции не используется, то шаг 9 не требуется и за окончательный результат принимают выходные данные по настоящему шагу | | AER, км | Выведение среднего значения AER и указание заявляемого значения AER. Заявленное значение AER округляют согласно разделу 6 до такого числа знаков после запятой, которое указано в таблице Е.1. При использовании метода интерполяции и выполнении критерия наличия интерполяции значений AER значение AER округляют согласно разделу 6 до одной десятой. Выходные данные получают для каждого ТС H, L и - в случае применимости - M. Если же - при использовании метода интерполяции - указанный критерий не выполнен, то значение AER для ТС H применяют ко всему интерполяционному семейству и округляют согласно разделу 6 до ближайшего целого числа. Если же метод интерполяции не используется, то значение AER округляют согласно разделу 6 до ближайшего целого числа | С учетом результатов по 4 фазам AERdec, км |
6 С учетом результатов по 4 фазам | | Mi,CD,j, г/км;  , г/км; nveh; nveh,L; UFphase,j; Mi,CS,c,6, г/км;  , г/км;  , г/км;  , г/км | Расчет - по Е.4.1.3.1 и Е.4.2.3 настоящего приложения - взвешенных показателей выбросов CO 2 по массе и расхода топлива. Выходные данные получают по каждому испытанию в режиме РЗ. В случае применения метода интерполяции используют количество циклов nveh,L. Со ссылкой на Е.4.1.2 производят корректировку показателя  подтверждающего цикла согласно Е.6. При использовании метода интерполяции выходные данные получают для каждого ТС H, L и - в случае применимости - M |  , г/км; FCweighted, л/100 км |
7 | | EAC, Вт·ч | Выходные данные получают по каждому испытанию в режиме РЗ. При использовании метода интерполяции выходные данные получают для каждого ТС H, L и - в случае применимости - M | ECp, Вт·ч/км |
| EAER, км; EAERp, км |
8 Результат по интерполяционному семейству Если метод интерполяции не используется, то шаг 9 не требуется и за окончательный результат принимают выходные данные по настоящему шагу | | AERcity,ave, км; | С учетом результатов по 3 фазам. Выведение среднего значения EC и указание заявляемого значения EC. С учетом результатов по 3 фазам и 4 фазам Выведение среднего значения с округлением промежуточных результатов согласно разделу 6. При использовании метода интерполяции производят округление промежуточных результатов в соответствии с разделом 6. Значения AERcity,ave, EAER и EAERp округляют до одной десятой. Значение  округляют до одной сотой. Значение FCweighted округляют до одной тысячной. Значения EC и ECp округляют до одной десятой. Выходные данные получают для каждого ТС H, L и - в случае применимости - M. Если же метод интерполяции не используется, то производят округление окончательных результатов испытания в соответствии с разделом 6. | С учетом результатов по 3 фазам ECdec, Вт·ч/км; ECp,final, Вт·ч/км; EAERfinal, км С учетом результатов по 4 фазам AERcity,final, км;  , г/км; FCweighted,final, л/100 км; ECfinal, Вт·ч/км; ECp,final, Вт·ч/км; EAERfinal, км; EAERp,final, км |
|  , г/км; FCweighted, л/100 км |
| EC, Вт·ч/км; ECp, Вт·ч/км |
| EAER, км; EAERp, км |
| AERdec, км; AERave, км |
| | | Значения AERcity,ave, EAER и EAERp округляют до ближайшего целого числа. Значение  округляют до ближайшего целого числа. Значение FCweighted округляют до одной десятой. Значения EC и ECp округляют до ближайшего целого числа | |
Результат по отдельному ТС Окончательный результат испытания | | AERdec, км; | Интерполяция значений для отдельных ТС по исходным данным в фазах низкой, средней и высокой скорости согласно Е.4.5 и округление окончательных результатов согласно разделу 6. Значения AERind, AERcity,ind, EAERind и EAERp,ind округляют до ближайшего целого числа. Значение  округляют до ближайшего целого числа. Значение ECweighted,ind округляют до одной десятой. Значение FCweighted,ind округляют до одной десятой. Значения ECind и ECp,ind округляют до ближайшего целого числа. Выходные данные получают для каждого отдельного ТС. | ECind, Вт·ч/км; ECp,ind, Вт·ч/км; EAERind, км С учетом результатов по 4 фазам AERind, км; AERcity,ind, км;  , г/км; FCweighted,ind, л/100 км; EAERp,ind, км |
| AERcity,final, км;  , г/км; FCweighted,final, л/100 км; ECfinal, Вт·ч/км; ECp,final, Вт·ч/км; EAERfinal, км; EAERp,final, км |
| Наличие интерполяции значений AER |
| RCDC |
Значение RCDC округляют согласно разделу 6 до ближайшего целого числа | RCDC,final |
Примечание - В таблице использованы следующие обозначения: c - под рассматриваемым периодом понимается полный применимый испытательный цикл; p - каждая фаза применимого цикла; для цели расчета EAERcity (в случае применимости) под p понимают городской ездовой цикл; i - соответствующий основной загрязнитель, содержащийся в выбросах (кроме CO2); j - порядковый номер рассматриваемого периода; CS - режим сохранения заряда; CD - режим расходования заряда; CO2 - масса выбросов CO2; REESS - перезаряжаемая система аккумулирования электроэнергии. |
Е.4.6.3 Требования настоящего пункта и соответствующих подпунктов применяются по усмотрению договаривающейся стороны
Пошаговая процедура расчета окончательных результатов испытания для ГТСТЭ-ВЗУ
В настоящем разделе изложена пошаговая процедура расчета окончательных результатов испытания в условиях расходования заряда, а также окончательных взвешенных результатов испытаний в условиях сохранения и расходования заряда.
Е.4.6.3.1 Пошаговая процедура расчета окончательных результатов испытания типа 1 в условиях расходования заряда для ГТСТЭ-ВЗУ
Расчет результатов выполняют в порядке, указанном в
таблице Е.9. Все применимые результаты в
графе "Выходные данные" регистрируют. В
графе "Порядок" указаны пункты, на основании которых производится расчет, или приводятся дополнительные уравнения для расчета.
Таблица Е.9
Расчет окончательных значений в режиме расходования заряда
для ГТСТЭ-ВЗУ
Номер шага | Источник | Исходные данные | | |
1 | Приложение Е | Результаты испытания в режиме расходования заряда | Результаты измерения согласно Е.8, предварительные расчеты по Е.4.3. Полезная энергия аккумулятора согласно Е.4.4.1.2. Электроэнергия подзарядки согласно Е.3.2.4.6. Энергия для выполнения цикла согласно Д.5. Масса выбросов CO 2 согласно Д.3.2.1. Запас хода на одной электротяге, определенный по Е.4.4.1.1. В случае прогона по применимому городскому испытательному циклу ВЦИМГ: запас хода на одной электротяге для городских условий согласно Е.4.4.1.2. Может потребоваться применение коэффициента корректировки расхода водородного топлива, Kfuel,FCHV, согласно Е.6. Выходные данные получают по каждому испытанию. При использовании метода интерполяции выходные данные (кроме Kfuel,FCHV) получают для ТС H, L и - в случае применимости - M |  , Вт·ч; dj, км; UBEcity, Вт·ч; EAC, Вт·ч; Ecycle, Вт·с; FCCD,j, кг/100 км; AER, км; AERcity, км; Kfuel,FCHV, (кг/100 км)/(Вт·ч/100 км) |
2 | |  , Вт·ч; Ecycle, Вт·с | Расчет относительного изменения уровня электроэнергии за каждый цикл по б) Е.3.2.4.5. Выходные данные получают по каждому испытанию и каждому применимому испытательному циклу ВПИМ. При использовании метода интерполяции выходные данные получают для ТС H, L и - в случае применимости - M | |
3 | | REECi | Определение переходного и подтверждающего циклов согласно Е.3.2.4.4. Если одно ТС подвергается более чем одному испытанию в режиме расходования заряда, то для целей усреднения результатов каждое испытание проводят при одинаковом количестве, nveh, переходных циклов. | |
Определение запаса хода в цикле с расходованием заряда по Е.4.4.3. Выходные данные получают по каждому испытанию. При использовании метода интерполяции выходные данные получают для ТС H, L и - в случае применимости - M | RCDC; км |
4 | | nveh | При использовании метода интерполяции переходный цикл определяют для ТС H, L и - в случае применимости - M. | nveh,H; |
Проверяют выполнение критерия интерполяции согласно 4.5.4 | если применимо, nveh,M |
5 | |  , Вт·ч; dj, км; UBEcity, Вт·ч | Если AERcity определяют при испытании типа 1 путем прогона по применимым испытательным циклам ВПИМ, то соответствующее значение рассчитывают по Е.4.4.1.2. В случае проведения более чем одного испытания для каждого испытания показатель ncity,pe должен быть одинаковым. Выходные данные получают по каждому испытанию. Выведение среднего значения AERcity. При использовании метода интерполяции выходные данные получают для ТС H, L и - в случае применимости - M | AERcity,ave, км |
6 | | dj, км; | Расчет соответствующих фазе и циклу коэффициентов полезности (UF). | UFcycle,c |
| nveh | Выходные данные получают по каждому испытанию. |
| nveh,L | При использовании метода интерполяции выходные данные получают для ТС H, L и - в случае применимости - M |
7 | |  , Вт·ч; dj, км; EAC, Вт·ч; | Расчет потребления электроэнергии при электроэнергии подзарядки согласно Е.4.3.1 и Е.4.3.2. В случае применения метода интерполяции используют количество циклов nveh,L. Поэтому, с учетом требуемой корректировки массы выбросов CO2, потребление электроэнергии в ходе подтверждающего цикла и его фаз принимают равным нулю. Выходные данные получают по каждому испытанию. При использовании метода интерполяции выходные данные получают для ТС H, L и - в случае применимости - M | ECAC,weighted, Вт·ч/км; ECAC,CD, Вт·ч/км |
| nveh; |
| nveh,L; |
| UFphase,j |
8 | | FCCD,j, л/100 км Kfuel,FCHV, (кг/100 км)/(Вт·ч/100 км); | Расчет расхода топлива в режиме расходования заряда по Е.4.2.2. В случае применения метода интерполяции используют количество циклов nveh,L. Со ссылкой на Е.4.1.2 производят корректировку подтверждающего цикла согласно Е.6. Выходные данные получают по каждому испытанию. При использовании метода интерполяции выходные данные получают для ТС H, L и - в случае применимости - M | FCCD, кг/100 км |
|  , Вт·ч; |
| dj, км; |
| nveh; nveh,L; UFphase,j |
[зарезервирован] | | | | |
| Выходные данные по шагу 9 | ECAC,weighted, Вт·ч/км; ECAC,CD, Вт·ч/км FCCD, кг/100 км; ECDC,CD,first, Вт·ч/км | Усреднение результатов испытаний по каждому ТС. При использовании метода интерполяции выходные данные получают для каждого ТС H, L и - в случае применимости - M | ECAC,weighted,ave, Вт·ч/км; ECAC,CD,ave, Вт·ч/км; FCCD,ave, кг/100 км; ECDC,CD,first,ave, Вт·ч/км |
| | ECAC,CD,ave, Вт·ч/км; FCCD,ave, кг/100 км | Указание заявляемых значений потребления электроэнергии и расхода топлива в режиме расходования заряда для каждого ТС. При использовании метода интерполяции выходные данные получают для каждого ТС H, L и - в случае применимости - M | ECAC,CD,declared, Вт·ч/км; ECCD,declared, кг/100 км |
[зарезервирован] | | | | |
13 Результат по интерполяционному семейству Если метод интерполяции не используется, то шаг 17 не требуется и за окончательный результат принимают выходные данные по настоящему шагу | | ECAC,CD,declared, Вт·ч/км | При использовании метода интерполяции производят округление промежуточных результатов в соответствии с разделом 6Значение  округляют до одной сотой. Значения ECAC,CD и ECAC,weighted округляют до одной десятой. Выходные данные получают для ТС H, L и - в случае применимости - M. Если же метод интерполяции не используется, то производят округление окончательных результатов в соответствии с разделом 6. Значения ECAC,CD, ECAC,weighted и  округляют до ближайшего целого числа | ECAC,weighted,final, Вт·ч/км; FCCD,final, л/100 км |
| ECAC,weighted,ave, Вт·ч/км; FCCD,ave, кг/100 км |
14 Результат по отдельному ТС Окончательный результат испытания | | ECAC,CD,final, Вт·ч/км; ECAC,weighted,final, Вт·ч/км; FCCD,final, кг/100 км | Интерполяция значений для отдельных ТС по исходным данным для ТС H и L и - в случае применимости - для ТС M. Округление окончательных значений для отдельных ТС производят в соответствии с разделом 6. Значения ECAC,CD и ECAC,weighted округляют до ближайшего целого числа. Выходные данные получают для каждого отдельного ТС | ECAC,CD,ind, Вт·ч/км; ECAC,weighted,ind, Вт·ч/км; FCCD,ind, кг/100 км |
Примечание - В таблице использованы следующие обозначения: c - полный применимый испытательный цикл; p - каждая фаза применимого цикла; для цели расчета EAERcity (в случае применимости) под p понимают городской ездовой цикл; CS - режим сохранения заряда. |
Е.4.6.3.2 Пошаговая процедура расчета окончательных взвешенных результатов испытаний типа 1 в условиях сохранения и расходования заряда для ГТСТЭ-ВЗУ
Расчет результатов выполняют в порядке, указанном в
таблице Е.10. Все применимые результаты в
графе "Выходные данные" регистрируют. В
графе "Порядок" указаны пункты, на основании которых производится расчет или приводятся дополнительные уравнения для расчета.
Таблица Е.10
Расчет окончательных взвешенных значений в режимах
расходования и сохранения заряда для ГТСТЭ-ВЗУ
Номер шага | Источник | Исходные данные | | |
1 | | FCCD,j, кг/100 км;  , Вт·ч; dj, км; AER, км; EAC, Вт·ч; | Исходные данные, полученные после обработки результатов испытаний в режимах РЗ и СЗ. |  , Вт·ч; dj, км; AER, км; EAC, Вт·ч; AERcity,ave, км; nveh; RCDC, км; nveh,L; nveh,H; UFphase,j; UFcycle,c; FCCS,declared, кг/100 км; FCCS,p, кг/100 км; FCCD,declared, кг/100 км; FCCD,ave, кг/100 км; |
| AERcity,ave, км; | В случае РЗ выходные данные получают по каждому испытанию в режиме РЗ. В случае СЗ выходные данные получают только для усредненных значений применительно к испытанию в режиме СЗ. При использовании метода интерполяции выходные данные (кроме Kfuel,FCHV) получают для ТС H, L и - в случае применимости - M. |
| nveh; RCDC, км; | |
| nveh,L; nveh,H; |
| | UFphase,j; UFcycle,c; | | |
| FCCS,declared, кг/100 км; FCCS,p, кг/100 км; |
| FCCD,declared, кг/100 км; |
| FCCD,ave, кг/100 км; |
| Kfuel,FCHV, (кг/100 км)/(Вт·ч/100 км) | Может потребоваться применение коэффициента корректировки расхода водородного топлива, Kfuel,FCHV, согласно Е.6 | Kfuel,FCHV, (кг/100 км)/(Вт·ч/100 км) |
2 | | FCCD,j, кг/100 км;  , Вт·ч; dj, км; nveh; RCDC, км | Расчет эквивалентного запаса хода на одной электротяге по Е.4.4.4.1 и Е.4.4.4.2, а также фактического запаса хода в режиме расходования заряда по Е.4.4.5. Выходные данные получают по каждому испытанию в режиме РЗ Значение RCDA округляют согласно разделу 6 до ближайшего целого числа. При использовании метода интерполяции выходные данные получают для каждого ТС L, H и - в случае применимости - M | EAERp, км; RCDA, км |
3 | | AER, км | Выходные данные получают по каждому испытанию в режиме РЗ. При использовании метода интерполяции проводят проверку на предмет наличия интерполяции значений AER между ТС H, L и - в случае применимости - M согласно Е.4.5.7.1. Если используется метод интерполяции, то предъявляемому требованию должно отвечать каждое испытание | Наличие интерполяции значений AER |
| RCDA, км |
4 Результат по интерполяционному семейству Если метод интерполяции не используется, то шаг 9 не требуется и за окончательный результат принимают выходные данные по настоящему шагу | | AER, км | Выведение среднего значения AER и указание заявляемого значения AER. Заявленное значение AER округляют согласно разделу 6 до такого числа знаков после запятой, которое указано в таблице Г.1. При использовании метода интерполяции и выполнении критерия наличия интерполяции значений AER значение AER округляют согласно разделу 6 до одной десятой. Выходные данные получают для каждого ТС H, L и - в случае применимости - M. Если же - при использовании метода интерполяции - указанный критерий не выполнен, то значение AER для ТС H применяют ко всему интерполяционному семейству и округляют согласно разделу 6 до ближайшего целого числа. Если же метод интерполяции не используется, то значение AER округляют согласно разделу 6 до ближайшего целого числа | AERdec, км |
5 | | FCCD,j, кг/100 км; nveh; nveh,L; UFphase,j; FCCS,declared, кг/100 км; FCCD,declared, кг/100 км; FCCD,ave, кг/100 км | Расчет - по Е.4.1.3.1 и Е.4.2.3 - взвешенных показателей выбросов CO 2 по массе и расхода топлива. Выходные данные получают по каждому испытанию в режиме РЗ. В случае применения метода интерполяции используют количество циклов nveh,L. Со ссылкой на Е.4.1.2 производят корректировку показателя  подтверждающего цикла согласно Е.6. При использовании метода интерполяции выходные данные получают для каждого ТС H, L и - в случае применимости - M | |
6 | | EAC, Вт·ч; | Выходные данные получают по каждому испытанию в режиме РЗ. При использовании метода интерполяции выходные данные получают для каждого ТС H, L и - в случае применимости - M | ECp, Вт·ч/км |
| EAER, км; EAERp, км |
7 Результат по интерполяционному семейству Если метод интерполяции не используется, то шаг 9 не требуется и за окончательный результат принимают выходные данные по настоящему шагу | | AERcity,ave, км; | Выведение среднего значения с округлением промежуточных результатов согласно разделу 6. При использовании метода интерполяции производят округление промежуточных результатов в соответствии с разделом 6. Значения AERcity,final, EAER и EAERp округляют до одной десятой. Значение FCweighted округляют до одной тысячной. Значения EC и ECp округляют до одной десятой. Выходные данные получают для каждого ТС H, L и - в случае применимости - M. Если же метод интерполяции не используется, то производят округление окончательных результатов испытания в соответствии с разделом 6. Значения AERcity,ave, EAER и EAERp округляют до ближайшего целого числа. Значение FCweighted округляют до одной тысячной. Значения EC и ECp округляют до ближайшего целого числа | FCweighted,final, кг/100 км; ECfinal, Вт·ч/км; ECp,final, Вт·ч/км; EAERfinal, км; EAERp,final, км |
| FCweighted, кг/100 км; |
| EC, Вт·ч/км; ECp, Вт·ч/км; |
| EAER, км; EAERp, км; |
| AERdec, км; AERave, км |
8 | | AERdec, км; | Интерполяция значений для отдельных ТС по исходным данным в фазах низкой, средней и высокой скорости согласно Е.4.5 и округление окончательных результатов согласно разделу 6. Значения AERind, AERcity,ind, EAERind и EAERp,ind округляют до ближайшего целого числа. Значение ECweighted,ind округляют до одной десятой. Значение FCweighted,ind округляют до одной тысячной. Значения ECind и ECp,ind округляют до ближайшего целого числа. Выходные данные получают для каждого отдельного ТС. | AERind, км; AERcity,ind, км; FCweighted,ind, кг/100 км; ECind, Вт·ч/км; ECp,ind, Вт·ч/км; EAERind, км; EAERp,ind, км |
| AERcity,final, км; FCweighted,final, кг/100 км; ECfinal, Вт·ч/км; ECp,final, Вт·ч/км; EAERfinal, км; EAERp,final, км |
| Наличие интерполяции значений AER |
| RCDC | Значение RCDC округляют согласно разделу 6 до ближайшего целого числа | RCDC,final |
Примечание - В таблице использованы следующие обозначения: c - под рассматриваемым периодом понимается полный применимый испытательный цикл; p - каждая фаза применимого цикла; для цели расчета EAERcity (в случае применимости) под p понимают городской ездовой цикл; j - порядковый номер рассматриваемого периода; CS - режим сохранения заряда; CD - режим расходования заряда; REESS - перезаряжаемая система аккумулирования электроэнергии. |
Е.4.7 Пошаговая процедура расчета окончательных результатов испытания для ПЭМ
Расчет результатов выполняют в порядке, указанном в
таблицах Е.11 (при процедуре испытания с прогоном по последовательным циклам) и
Е.12 (при сокращенной процедуре испытания). Все применимые результаты в графе "Выходные данные" регистрируют. В графе "Порядок" указаны пункты, на основании которых производится расчет или приводятся дополнительные уравнения для расчета.
Е.4.7.1 Пошаговая процедура расчета окончательных результатов испытания для ПЭМ в случае процедуры испытания с прогоном по последовательным циклам
Таблица Е.11
Расчет окончательных значений для ПЭМ, определенных в рамках
процедуры испытания типа 1 с прогоном по последовательным
циклам
Номер шага | Источник | Исходные данные | Порядок | Выходные данные |
1 | Приложение Е | Результаты испытания | Результаты измерения согласно Е.8 и предварительные расчеты по Е.4.3. Полезная энергия аккумулятора согласно Е.4.4.2.2. Электроэнергия подзарядки согласно Е.3.4.4.3. Выходные данные получают по каждому испытанию. Значение EAC округляют согласно разделу 6 до одной десятой. При использовании метода интерполяции выходные данные получают для ТС H и L |  , Вт·ч; dj, км; UBECCP, Вт·ч; EAC, Вт·ч |
2 | |  , Вт·ч; UBECCP, Вт·ч; | Определение - по Е.4.4.2.2 - количества полностью пройденных применимых фаз и циклов ВЦИМГ. Выходные данные получают по каждому испытанию. При использовании метода интерполяции выходные данные получают для ТС H и L | ncity; nlow; nmed; nhigh; nexHigh |
3 | |  , Вт·ч; UBECCP, Вт·ч | Примечание: Число весовых коэффициентов зависит от используемого применимого цикла (3 или 4-фазный ВЦИМГ). В случае 4-фазных ВЦИМГ могут дополнительно потребоваться выходные данные, указанные в скобках. Выходные данные получают по каждому испытанию. При использовании метода интерполяции выходные данные получают для ТС H и L | KWLTC,2; KWLTC,3; (KWLTC,4); Kcity,1; Kcity,2; Kcity,3; (Kcity,4); Klow,1; Klow,2; Klow,3; (Klow,4); Kmed,1; Kmed,2; Kmed,3; (Kmed,4); Khigh,1; Khigh,2; Khigh,3; (Khigh,4); KexHigh,1; KexHigh,2; KexHigh,3; (KexHigh,4) |
| nWLTC; ncity; nlow; nmed; nhigh; nexHigh |
4 | |  ; Вт·ч; dj, км; UBECCP, Вт·ч | Расчет потребления электроэнергии всеми ПСАЭ по Е.4.4.2.2. | ECDC,city, Вт·ч/км; ECDC,low, Вт·ч/км; ECDC,med, Вт·ч/км; ECDC,high, Вт·ч/км; ECDC,exHigh, Вт·ч/км; ECDC,first, Вт·ч/км |
| nWLTC; ncity; nlow; nmed; nhigh; nexHigh | Расчет показателя потребления электроэнергии за первый применимый испытательный цикл ВПИМ, ECDC,first, как указано в Е.13.1.1. Выходные данные получают по каждому испытанию. При использовании метода интерполяции выходные данные получают для ТС H и L |
| Все весовые коэффициенты |
5 | | UBECCP, Вт·ч; | Расчет запаса хода только на электротяге по Е.4.4.2.2. Выходные данные получают по каждому испытанию. При использовании метода интерполяции выходные данные получают для ТС H и L | PERcity, км; PERlow, км; PERmed, км; PERhigh, км; PERexHigh, км |
| ECDC,WLTC, Вт·ч/км; ECDC,city, Вт·ч/км; ECDC,low, Вт·ч/км; ECDC,med, Вт·ч/км; ECDC,high, Вт·ч/км; ECDC,exHigh, Вт·ч/км |
6 | | EAC, Вт·ч; | Расчет потребления электроэнергии при электроэнергии подзарядки, поступающей от сети, по Е.4.3.4. Выходные данные получают по каждому испытанию. При использовании метода интерполяции выходные данные получают для ТС H и L | ECcity, Вт·ч/км; EClow, Вт·ч/км; ECmed, Вт·ч/км; EChigh, Вт·ч/км; ECexHigh, Вт·ч/км |
| PERWLTC, км; PERcity, км; PERlow, км; PERmed, км; PERhigh, км; PERexHigh, км |
7 Если метод интерполяции не используется, то шаг 10 не требуется и за окончательный результат принимают выходные данные по настоящему шагу для PERWLTC,dec и ECWLTC,dec | | PERWLTC, км; PERcity, км; PERlow, км; PERmed, км; PERhigh, км; PERexHigh, км | Усреднение результатов испытаний с учетом всех исходных значений. Указание заявляемых значений PERWLTC,dec и ECWLTC,dec на основе PERWLTC,ave и ECWLTC,ave. | PERWLTC,ave, км; PERcity,ave, км; PERlow,ave, км; PERmed,ave, км; PERhigh,ave, км; PERexHigh,ave, км; |
| ECWLTC, Вт·ч/км; ECcity, Вт·ч/км; EClow, Вт·ч/км; ECmed, Вт·ч/км; EChigh, Вт·ч/км; ECexHigh, Вт·ч/км | Корректировка значения PER применительно к городскому циклу, фазам низкой, средней, высокой и сверхвысокой скорости исходя из соотношения PERWLTC,dec и PERWLTC,ave: Корректировка показателя EC применительно к городскому циклу, фазам низкой, средней, высокой и сверхвысокой скорости исходя из соотношения ECWLTC,dec и ECWLTC,ave: При использовании метода интерполяции выходные данные получают для ТС H и L. Значение PERWLTC,dec, а также значение ECWLTC,dec округляют согласно разделу 6 до такого числа знаков после запятой, которое указано в таблице Г.1. Если же метод интерполяции не используется, то значения PERWLTC,dec и ECWLTC,dec округляют согласно разделу 6 до ближайшего целого числа | ECWLTC,dec, Вт·ч/км; ECWLTC,ave, Вт·ч/км; ECcity,ave, Вт·ч/км; EClow,ave, Вт·ч/км; ECmed,ave, Вт·ч/км; EChigh,ave, Вт·ч/км; ECexHigh,ave, Вт·ч/км; ECDC,first,ave, Вт·ч/км |
| | ECDC,first, Вт·ч/км | | |
8 | | ECWLTC,dec, Вт·ч/км; ECWLTC,ave, Вт·ч/км; ECDC,first,ave, Вт·ч/км | Корректировка показателя потребления электроэнергии для целей проверки СП, как указано в Е.13.1.1. При использовании метода интерполяции выходные данные получают для ТС H и L | |
9 Если метод интерполяции не используется, то шаг 10 не требуется и за окончательный результат принимают выходные данные по настоящему шагу | | PERcity,ave, км; PERlow,ave, км; PERmed,ave, км; PERhigh,ave, км; PERexHigh,ave, км; | Округление промежуточных результатов согласно разделу 6. При использовании метода интерполяции производят округление промежуточных результатов в соответствии с разделом 6. Значения PERcity и PERp округляют до одной десятой. Значения ECcity и ECp округляют до одной десятой. Значение ECDC,COP округляют до одной десятой. Выходные данные получают для ТС H и L. Если же метод интерполяции не используется, то производят округление окончательных результатов испытания в соответствии с разделом 6. Значения PERcity и PERp округляют до ближайшего целого числа. Значения ECcity и ECp округляют до ближайшего целого числа. Значение ECDC,COP округляют до ближайшего целого числа | PERlow,final, км; PERmed,final, км; PERhigh,final, км; PERexHigh,final, км; |
ECcity,ave, Вт·ч/км; EClow,ave, Вт·ч/км; ECmed,ave, Вт·ч/км; EChigh,ave, Вт·ч/км; ECexHigh,ave, Вт·ч/км; | ECcity,final, Вт·ч/км; EClow,final, Вт·ч/км; ECmed,final, Вт·ч/км; EChigh,final, Вт·ч/км; ECexHigh,final, Вт·ч/км; ECDC,COP,final, Вт·ч/км |
| ECDC,COP, Вт·ч/км |
Результат по отдельному ТС Окончательный результат испытания | | PERWLTC,dec, км; ECWLTC,dec, Вт·ч/км; | Интерполяция значений для отдельных ТС по исходным данным для ТС H и L в соответствии с Е.4.5 и округление окончательных результатов согласно разделу 6. Значения PERind, PERcity,ind, и PERp,ind округляют до ближайшего целого числа. Значения ECind, ECcity и ECp,ind округляют до ближайшего целого числа. Значение ECDC,COP,ind округляют до ближайшего целого числа. Выходные данные получают для каждого отдельного ТС | PERWLTC,ind, км; PERcity,ind, км; PERlow,ind, км; PERmed,ind, км; PERhigh,ind, км; PERexHigh,ind, км; ECWLTC,ind, Вт·ч/км; ECcity,ind, Вт·ч/км; EClow,ind, Вт·ч/км; ECmed,ind, Вт·ч/км; EChigh,ind, Вт·ч/км; ECexHigh,ind, Вт·ч/км; ECDC,COP,ind, Вт·ч/км |
| PERcity,final, км; PERlow,final, км; PERmed,final, км; PERhigh,final, км; PERexHigh,final, км; ECcity,final, Вт·ч/км; EClow,final, Вт·ч/км; ECmed,final, Вт·ч/км; EChigh,final, Вт·ч/км; ECexHigh,final, Вт·ч/км; ECDC,COP,final, Вт·ч/км |
Примечание - В таблице использованы следующие обозначения: j - порядковый номер рассматриваемого периода. |
Применительно к результатам по четырем фазам под рассматриваемыми периодами понимают фазу низкой скорости, фазу средней скорости, фазу высокой скорости, фазу сверхвысокой скорости, применимый городской испытательный цикл ВПИМ и применимый испытательный цикл ВПИМ.
Применительно к результатам по трем фазам под рассматриваемыми периодами понимают фазу низкой скорости, фазу средней скорости, фазу высокой скорости и применимый испытательный цикл ВПИМ.
Е.4.7.2 Пошаговая процедура расчета окончательных результатов испытания для ПЭМ в случае сокращенной процедуры испытания
Таблица Е.12
Расчет окончательных значений для ПЭМ, определенных в рамках
сокращенной процедуры испытания типа 1
Номер шага | Источник | Исходные данные | Порядок | Выходные данные |
1 | Приложение Е | Результаты испытания | Результаты измерения согласно Е.8 и предварительные расчеты по Е.4.3. Полезная энергия аккумулятора согласно Е.4.4.2.1. Электроэнергия подзарядки согласно Е.3.4.4.3. Выходные данные получают по каждому испытанию. Значение EAC округляют согласно разделу 6 до одной десятой. При использовании метода интерполяции выходные данные получают для ТС L и H |  , Вт·ч; dj, км; UBESTP, Вт·ч; EAC, Вт·ч |
2 | |  , Вт·ч; UBECCP, Вт·ч | Выходные данные получают по каждому испытанию. При использовании метода интерполяции выходные данные получают для ТС H и L | KWLTC,2; Kcity,1; Kcity,2; Kcity,3; Kcity,4; Klow,1; Klow,2; Klow,3; Klow,4; Kmed,1; Kmed,2; Kmed,3; Kmed,4; Khigh,1; Khigh,2; KexHigh,1; KexHigh,2 |
3 | |  , Вт·ч; UBECCP, Вт·ч dj, км; UBESTP, Вт·ч. | Расчет потребления электроэнергии всеми ПСАЭ по Е.4.4.2.1. Расчет показателя потребления электроэнергии за первый применимый испытательный цикл ВПИМ, ECDC,first, как указано в Е.13.1.1. Выходные данные получают по каждому испытанию. При использовании метода интерполяции выходные данные получают для ТС H и L | ECDC,city, Вт·ч/км; ECDC,low, Вт·ч/км; ECDC,med, Вт·ч/км; ECDC,high, Вт·ч/км; ECDC,exHigh, Вт·ч/км; ECDC,first, Вт·ч/км; |
| Все весовые коэффициенты |
4 | | UBESTP, Вт·ч; | Расчет запаса хода только на электротяге по Е.4.4.2.1. Выходные данные получают по каждому испытанию. При использовании метода интерполяции выходные данные получают для ТС H и L | PERcity, км; PERlow, км; PERmed, км; PERhigh, км; PERexHigh, км |
| ECDC,WLTC, Вт·ч/км; ECDC,city, Вт·ч/км; ECDC,low, Вт·ч/км; ECDC,med, Вт·ч/км; ECDC,high, Вт·ч/км; ECDC,exHigh, Вт·ч/км; |
5 | | EAC, Вт·ч | Расчет потребления электроэнергии при электроэнергии подзарядки, поступающей от сети, по Е.4.3.4. Выходные данные получают по каждому испытанию. При использовании метода интерполяции выходные данные получают для ТС L и H | ECcity, Вт·ч/км; EClow, Вт·ч/км; ECmed, Вт·ч/км; EChigh, Вт·ч/км; ECexHigh, Вт·ч/км |
| PERWLTC, км; PERcity, км; PERlow, км; PERmed, км; PERhigh, км; PERexHigh, км |
6 Если метод интерполяции не используется, то шаг 9 не требуется и за окончательный результат принимают выходные данные по настоящему шагу для PERWLTC,dec и ECWLTC,dec | | PERWLTC, км; PERcity, км; PERlow, км; PERmed, км; PERhigh, км; PERexHigh, км; | Усреднение результатов испытаний с учетом всех исходных значений. Указание заявляемых значений PERWLTC,dec и ECWLTC,dec на основе PERWLTC,ave и ECWLTC,ave. Корректировка значения PER применительно к городскому циклу, фазам низкой, средней, высокой и сверхвысокой скорости исходя из соотношения PERWLTC,dec и PERWLTC,ave: Корректировка показателя EC применительно к городскому циклу, фазам низкой, средней, высокой и сверхвысокой скорости исходя из соотношения ECWLTC,dec и ECWLTC,ave: При использовании метода интерполяции выходные данные получают для ТС H и L. Значение PERWLTC,dec, а также значение ECWLTC,dec округляют согласно разделу 6 до такого числа знаков после запятой, которое указано в таблице Г.1. Если же метод интерполяции не используется, то значения PERWLTC,dec и ECWLTC,dec округляют согласно разделу 6 до ближайшего целого числа | PERWLTC,ave, км; PERcity,ave, км; PERlow,ave, км; PERmed,ave, км; PERhigh,ave, км; PERexHigh,ave, км; ECWLTC,dec, Вт·ч/км; ECWLTC,ave, Вт·ч/км; ECcity,ave, Вт·ч/км; EClow,ave, Вт·ч/км; ECmed,ave, Вт·ч/км; EChigh,ave, Вт·ч/км; ECexHigh,ave, Вт·ч/км; ECDC,first,ave, Вт·ч/км |
| ECWLTC, Вт·ч/км; ECcity, Вт·ч/км; EClow, Вт·ч/км; ECmed, Вт·ч/км; EChigh, Вт·ч/км; ECexHigh, Вт·ч/км |
| ECDC,first, Вт·ч/км |
7 | | ECWLTC,dec, Вт·ч/км; ECWLTC,ave, Вт·ч/км; ECDC,first,ave, Вт·ч/км | Корректировка показателя потребления электроэнергии для целей СП, как указано в Е.13.1.1. При использовании метода интерполяции выходные данные получают для ТС H и L | |
8 Результат по интерполяционному семейству Если метод интерполяции не используется, то шаг 9 не требуется и за окончательный результат принимают выходные данные по настоящему шагу | | PERcity,ave, км; PERlow,ave, км; PERmed,ave, км; PERhigh,ave, км; PERexHigh,ave, км; ECcity,ave, Вт·ч/км; EClow,ave, Вт·ч/км; ECmed,ave, Вт·ч/км; EChigh,ave, Вт·ч/км; ECexHigh,ave, Вт·ч/км | Округление промежуточных результатов согласно разделу 6. При использовании метода интерполяции производят округление промежуточных результатов в соответствии с разделом 6. Значения PERcity и PERp округляют до одной десятой. Значения ECcity и ECp округляют до одной десятой. Значение ECDC,COP округляют до одной десятой. Выходные данные получают для ТС H и L. Если же метод интерполяции не используется, то производят округление окончательных результатов испытания в соответствии с разделом 6. Значения PERcity и PERp округляют до ближайшего целого числа. Значения ECcity и ECp округляют до ближайшего целого числа. Значение ECDC,COP округляют до ближайшего целого числа | PERlow,final, км; PERmed,final, км; PERhigh,final, км; PERexHigh,final, км; ECcity,final, Вт·ч/км; EClow,final, Вт·ч/км; ECmed,final, Вт·ч/км; EChigh,final, Вт·ч/км; ECexHigh,final, Вт·ч/км; ECDC,COP,final, Вт·ч/км |
| ECDC,COP, Вт·ч/км |
Результат по отдельному ТС Окончательный результат испытания | | PERWLTC,dec, км; ECWLTC,dec, Вт·ч/км; | Интерполяция значений для отдельных ТС по исходным данным для ТС H и L в соответствии с Е.4.5 и округление окончательных результатов согласно разделу 6. Значения PERind, PERcity,ind и PERp,ind округляют до ближайшего целого числа. Значения ECind, ECcity и ECp,ind округляют до ближайшего целого числа. Значение ECDC,COP,ind округляют до ближайшего целого числа. Выходные данные получают для каждого отдельного ТС | PERWLTC,ind, км; PERcity,ind, км; PERlow,ind, км; PERmed,ind, км; PERhigh,ind, км; PERexHigh,ind, км; ECWLTC,ind, Вт·ч/км; ECcity,ind, Вт·ч/км; EClow,ind, Вт·ч/км; ECmed,ind, Вт·ч/км; EChigh,ind, Вт·ч/км; ECexHigh,ind, Вт·ч/км; ECDC,COP,ind, Вт·ч/км |
| PERcity,final, км; PERlow,final, км; PERmed,final, км; PERhigh,final, км; PERexHigh,final, км; ECcity,final, Вт·ч/км; EClow,final, Вт·ч/км; ECmed,final, Вт·ч/км; EChigh,final, Вт·ч/км; ECexHigh,final, Вт·ч/км; ECDC,COP,final, Вт·ч/км |
Примечание - В таблице использованы следующие обозначения: j - порядковый номер рассматриваемого периода. |
Применительно к результатам по четырем фазам под рассматриваемыми периодами понимают фазу низкой скорости, фазу средней скорости, фазу высокой скорости, фазу сверхвысокой скорости, применимый городской испытательный цикл ВПИМ и применимый испытательный цикл ВПИМ.
Применительно к результатам по трем фазам под рассматриваемыми периодами понимают фазу низкой скорости, фазу средней скорости, фазу высокой скорости и применимый испытательный цикл ВПИМ.
Е.5 Профиль уровня зарядки ПСАЭ
Е.5.1 Последовательности испытания и профили уровня зарядки ПСАЭ: для ГЭМ-ВЗУ и ГТСТЭ-ВЗУ при испытании в режиме расходования заряда и испытании в режиме сохранения заряда
Е.5.1.1 Последовательность испытания ГЭМ-ВЗУ и ГТСТЭ-ВЗУ по варианту 1
Испытание типа 1 в режиме расходования заряда без последующего испытания типа 1 в режиме сохранения заряда
(рисунок Е.7)
Рисунок Е.7 - ГЭМ-ВЗУ и ГТСТЭ-ВЗУ, испытание типа 1 в режиме
расходования заряда
Е.5.1.2 Последовательность испытания ГЭМ-ВЗУ и ГТСТЭ-ВЗУ по варианту 2
Испытание типа 1 в режиме сохранения заряда без последующего испытания типа 1 в режиме расходования заряда (см.
рисунок Е.8).
Рисунок Е.8 - ГЭМ-ВЗУ и ГТСТЭ-ВЗУ, испытание типа 1 в режиме
сохранения заряда
Е.5.1.3 Последовательность испытания ГЭМ-ВЗУ и ГТСТЭ-ВЗУ по варианту 3
Испытание типа 1 в режиме расходования заряда с последующим испытанием типа 1 в режиме сохранения заряда
(рисунок Е.9)
Рисунок Е.9 - ГЭМ-ВЗУ и ГТСТЭ-ВЗУ, испытание типа 1 в режиме
расходования заряда с последующим испытанием типа 1 в режиме
сохранения заряда
Е.5.1.4 Последовательность испытания ГЭМ-ВЗУ и ГТСТЭ-ВЗУ по варианту 4
Испытание типа 1 в режиме сохранения заряда с последующим испытанием типа 1 в режиме расходования заряда (см.
рисунок Е.10)
Рисунок Е.10 - ГЭМ-ВЗУ и ГТСТЭ-ВЗУ, испытание типа 1
в режиме сохранения заряда с последующим испытанием типа 1
в режиме расходования заряда
Е.5.2 Последовательность испытания ГЭМ-БЗУ и ГТСТЭ-БЗУ
Испытание типа 1 в режиме сохранения заряда (см.
рисунок Е.11)
Рисунок Е.11 - ГЭМ-БЗУ и ГТСТЭ-БЗУ, испытание типа 1
в режиме сохранения заряда
Е.5.3 Последовательности испытания ПЭМ
Е.5.3.1 Процедура испытания с прогоном по последовательным циклам (см.
рисунок Е.12)
Рисунок Е.12 - Последовательность испытания ПЭМ с прогоном
по последовательным циклам
Рисунок Е.13 - Последовательность испытания ПЭМ
по сокращенной процедуре
Е.6 Процедура корректировки с учетом изменения уровня электроэнергии ПСАЭ
В Е.6 изложена применительно к испытанию типа 1 в режиме сохранения заряда процедура корректировки массового показателя выбросов CO2 (для ГЭМ-БЗУ и ГЭМ-ВЗУ) и значения расхода топлива (для ГТСТЭ-БЗУ и ГТСТЭ-ВЗУ) в зависимости от изменения уровня электроэнергии всех ПСАЭ.
Е.6.1 Общие требования
Е.6.1.1 Применимость
Е.6.1.1.1 Процедуру корректировки применяют к соответствующим фазе значениям расхода топлива для ГТСТЭ-БЗУ и ГТСТЭ-ВЗУ при испытании типа 1 в режиме сохранения заряда, а также массы выбросов CO2 для ГЭМ-БЗУ и ГЭМ-ВЗУ при испытании типа 1 в режиме сохранения заряда.
Е.6.1.1.2 Корректировку значений расхода топлива для ГТСТЭ-БЗУ и ГТСТЭ-ВЗУ, а также массы выбросов CO
2 для ГЭМ-БЗУ и ГЭМ-ВЗУ по всему циклу производят на основе величины изменения уровня электроэнергии ПСАЭ в режиме сохранения заряда,

, при испытании типа 1 в условиях сохранения заряда и критерия корректировки
c.
Для целей расчета применяют
Е.4.3. Рассматриваемый период
j, указанный в
Е.4.3, определяют по ходу испытания типа 1 в условиях сохранения заряда. Критерий корректировки
c определяют по
Е.6.1.2.
Е.6.1.1.3 К корректировке значений расхода топлива для ГТСТЭ-БЗУ и ГТСТЭ-ВЗУ, а также массы выбросов CO
2 для ГЭМ-БЗУ и ГЭМ-ВЗУ по всему циклу прибегают в том случае, если

имеет отрицательное значение (что соответствует разрядке ПСАЭ), а критерий корректировки
c, рассчитанный по
Е.6.1.2, выходит за рамки применимого порогового значения согласно
таблице Е.11.
Е.6.1.1.4 Можно пренебречь корректировкой значений расхода топлива для ГТСТЭ-БЗУ и ГТСТЭ-ВЗУ, а также массы выбросов CO
2 для ГЭМ-БЗУ и ГЭМ-ВЗУ по всему циклу и использовать нескорректированные значения в том случае, когда:
а)

имеет положительное значение (что соответствует заряженности ПСАЭ), а критерий корректировки
c, рассчитанный по
Е.6.1.2, выходит за рамки применимого порогового значения согласно
таблице Е.11;
б) критерий корректировки
c, рассчитанный по
Е.6.1.2, не выходит за рамки применимого порогового значения согласно
таблице Е.11;
в) изготовитель в состоянии представить компетентному органу результаты измерений, свидетельствующие об отсутствии зависимости между

и массой выбросов CO
2 в режиме сохранения заряда, а также между

и расходом топлива соответственно.
Е.6.1.2 Критерий корректировки
c, представляющий собой соотношение между абсолютным изменением уровня электроэнергии ПСАЭ,

, и энергетичностью топлива вычисляют по формуле

, (Е.88)
где

- изменение уровня электроэнергии ПСАЭ в режиме сохранения заряда согласно
Е.6.1.1.2, Вт·ч;
Efuel,CS - энергоемкость топлива, израсходованного в режиме сохранения заряда, рассчитываемая по
Е.6.1.2.1 в случае ГЭМ-БЗУ и ГЭМ-ВЗУ и по
Е.6.1.2.2 в случае ГТСТЭ-БЗУ и ГТСТЭ-ВЗУ, Вт·ч.
Е.6.1.2.1 Энергетичность топлива в режиме сохранения заряда для ГЭМ-БЗУ и ГЭМ-ВЗУ
Энергоемкость топлива, израсходованного в режиме сохранения заряда, для ГЭМ-БЗУ и ГЭМ-ВЗУ вычисляют по формуле
Efuel,CS = 10·HV·FCCS,nb·dCS, (Е.89)
где Efuel,CS - энергоемкость топлива, израсходованного в режиме сохранения заряда за применимый испытательный цикл ВПИМ в ходе испытания типа 1 в условиях сохранения заряда, Вт·ч;
HV - теплотворная способность согласно
таблице Е.11, кВт·ч/л;
FCCS,nb - несбалансированный расход топлива в режиме сохранения заряда в ходе испытания типа 1 в условиях сохранения заряда (без корректировки на баланс энергии), определенный в соответствии с
Д.6 с использованием значений выбросов газообразных соединений согласно
таблице Е.4 (шаг 2), л/100 км;
dCS - расстояние, пройденное за соответствующий применимый испытательный цикл ВПИМ, км;
10 - коэффициент пересчета в Вт·ч.
Е.6.1.2.2 Энергетичность топлива в режиме сохранения заряда для ГТСТЭ-БЗУ и ГТСТЭ-ВЗУ
Энергоемкость топлива, израсходованного в режиме сохранения заряда, для ГТСТЭ-БЗУ и ГТСТЭ-ВЗУ вычисляют по формуле

, (Е.90)
где Efuel,CS - энергоемкость топлива, израсходованного в режиме сохранения заряда за применимый испытательный цикл ВПИМ в ходе испытания типа 1 в условиях сохранения заряда, Вт·ч;
121 - низшая теплотворная способность водорода, МДж/кг;
FCCS,nb - несбалансированный расход топлива в режиме сохранения заряда в ходе испытания типа 1 в условиях сохранения заряда (без корректировки на баланс энергии), определенный в рамках
шага 1 согласно таблице Е.6, кг/100 км;
dCS - расстояние, пройденное за соответствующий применимый испытательный цикл ВПИМ, км;

- коэффициент пересчета в Вт·ч.
Таблица Е.13
Пороговые значения для критериев корректировки на БЗП
Применимый цикл в ходе испытания типа 1 | Скорость: низкая + средняя | Скорость: низкая + средняя + высокая | Скорость: низкая + средняя + высокая + сверхвысокая |
Пороговые значения для критерия корректировки c | 0,015 | 0,01 | 0,005 |
Е.6.2 Расчет поправочных коэффициентов
Е.6.2.1 Коэффициент корректировки массы выбросов CO
2,

, коэффициент корректировки расхода топлива,
Kfuel,FCHV, а также - по требованию изготовителя - соответствующие фазе поправочные коэффициенты

и
Kfuel,FCHV,p определяют на основе применимых циклов испытания типа 1 в режиме сохранения заряда.
В том случае, если применительно к ГЭМ-БЗУ и ГЭМ-ВЗУ для определения коэффициента корректировки массы выбросов CO
2 испытанию подвергалось ТС H, полученный коэффициент может применяться к ТС, отвечающим критериям принадлежности к одному интерполяционному семейству. [Применительно к интерполяционным семействам, отвечающим критериям принадлежности к семейству по критерию коэффициента корректировки

, может использоваться одинаковое значение

.]
Е.6.2.2 Поправочные коэффициенты определяют на основе серии испытаний типа 1 в режиме сохранения заряда согласно
Е.6.3. Число проводимых изготовителем испытаний должно составлять не менее пяти.
Перед испытанием изготовитель может просить о доведении уровня зарядки ПСАЭ до значения, рекомендованного изготовителем, как это указано в
Е.6.3. К подобной практике прибегают исключительно с целью обеспечения в ходе испытания типа 1 в режиме сохранения заряда

с противоположным значением, причем с одобрения компетентного органа.
Серия измерений должна отвечать следующим критериям:
а) предусматривать не менее одного испытания при

и не менее одного испытания при

.

- это суммарное изменение уровня электроэнергии всех ПСАЭ за испытание
n, рассчитанное по
Е.4.3;
б) разница в значениях

, полученных по результатам испытаний с максимальным негативным и максимальным позитивным изменением уровня электроэнергии, должна составлять не менее 5 г/км. Этот критерий не применяют при определении
Kfuel,FCHV.
В случае определения

требуемое число испытаний может быть уменьшено до трех при условии соблюдения, помимо
а) и
б), следующих критериев:
в) обусловленная изменением уровня электроэнергии в ходе испытания разница в значениях

, полученных по результатам двух смежных измерений, должна составлять не более 10 г/км;
г) помимо
б), показания, полученные по результатам испытаний с максимальным негативным и максимальным позитивным изменением уровня электроэнергии, должны выходить за рамки следующего диапазона:

,
где
Efuel - энергоемкость потребляемого топлива, вычисленная по
Е.6.1.2, Вт·ч;
д) разница в значениях

, полученных по результатам испытания с максимальным негативным изменением уровня электроэнергии и измерения в средней точке, и разница в значениях

, полученных по результатам измерения в средней точке и испытания с максимальным позитивным изменением уровня электроэнергии, должна быть одинаковой и находиться (желательно) в пределах диапазона, определенного в
перечислении г). Если выполнение этого требования не представляется практически возможным, то компетентный орган принимает решение, требуется ли проведение повторного испытания.
Определяемые изготовителем поправочные коэффициенты до их применения подлежат рассмотрению и утверждению компетентным органом.
Если серия минимум из пяти испытаний не отвечает
критерию а) или
критерию б) либо обоим критериям, то изготовитель представляет компетентному органу данные в обоснование причин, по которым не обеспечивается соответствие ТС любому из этих критериев либо им обоим. Если компетентный орган не считает представленные доказательства удовлетворительными, он может потребовать проведения дополнительных испытаний. Если же критерии не выполняются и после дополнительных испытаний, то компетентный орган определяет на основе измерений консервативный поправочный коэффициент.
Е.6.2.3 Расчет поправочных коэффициентов
Kfuel,FCHV и

Е.6.2.3.1 Определение коэффициента корректировки расхода топлива
Kfuel,FCHV
В случае ГТСТЭ-БЗУ коэффициент корректировки расхода топлива Kfuel,FCHV определяемый путем прогона в рамках серии испытаний типа 1 в режиме сохранения заряда, (кг/100 км)/(Вт·ч/км), вычисляют по формуле

, (Е.91)
где ECDC,CS,avg - среднее потребление электроэнергии за определенное число, nCS, испытаний в режиме сохранения заряда до полной разрядки ПСАЭ, Вт·ч/км, вычисляемое по формуле

, (Е.92)
FCCS,nb,avg - среднее арифметическое значение расхода топлива за определенное число, nCS, испытаний в режиме сохранения заряда с учетом величины расхода топлива, без корректировки на баланс энергии, кг/100 км, вычисляемое по формуле

, (Е.93)
где
FCCS,nb,n - расход топлива за
n испытание в режиме сохранения заряда, без корректировки на баланс энергии, согласно
таблице Е.6 (шаг 1), кг/100 км;
n - порядковый номер рассматриваемого испытания;
nCS - общее число испытаний;
ECDC,CS,n - потребление электроэнергии за n испытание в режиме сохранения заряда до полной разрядки ПСАЭ, Вт·ч/км, вычисляемое по формуле

, (Е.94)
где

- изменение уровня электроэнергии ПСАЭ за
n испытание в режиме сохранения заряда согласно
Е.6.1.1.2, Вт·ч;
dCS,n - расстояние, пройденное за соответствующее n испытание типа 1 в режиме сохранения заряда, км.
Коэффициент корректировки расхода топлива округляют согласно
разделу 6 до четырех значащих цифр. Статистическую значимость коэффициента корректировки расхода топлива определяет компетентный орган.
Поправочный коэффициент на расход топлива, рассчитанный по итогам испытаний за весь применимый испытательный цикл ВПИМ, можно применять в целях корректировки к каждой отдельной фазе.
В дополнение к требованиям
Е.6.2.2 по просьбе изготовителя и с одобрения компетентного органа для каждой отдельной фазы может быть рассчитан собственный поправочный коэффициент на расход топлива
Kfuel,FCHV,p. В случае определения соответствующего каждой фазе коэффициента корректировки применительно к каждой отдельной фазе должны соблюдаться те же критерии, что указаны в
Е.6.2.2, и должна применяться процедура, изложенная в Е.6.2.3.1.
Е.6.2.3.2 Определение коэффициента корректировки массы выбросов CO
2,

В случае ГЭМ-ВЗУ и ГЭМ-БЗУ коэффициент корректировки массы выбросов CO
2,

, (г/км)/(Вт·ч/км), определяемый путем прогона в рамках серии испытаний типа 1 в режиме сохранения заряда, вычисляют по формуле

, (Е.95)
где
ECDC,CS,n - потребление электроэнергии за
n испытание в режиме сохранения заряда до полной разрядки ПСАЭ, Вт·ч/км, согласно
Е.6.2.3.1;
ECDC,CS,avg - среднеарифметическая величина потребления электроэнергии за определенное число,
nCS, испытаний в режиме сохранения заряда до полной разрядки ПСАЭ, Вт·ч/км, согласно
Е.6.2.3.1;

- масса выбросов CO
2 за
n испытание в режиме сохранения заряда, без корректировки на баланс энергии, г/км, рассчитанная в рамках
шага 2 согласно таблице Е.4;
n - порядковый номер рассматриваемого испытания;
nCS - общее число испытаний;

- среднеарифметический массовый показатель выбросов CO
2 за определенное число,
nCS, испытаний в режиме сохранения заряда с учетом массы выбросов CO
2, без корректировки на баланс энергии, г/км, вычисляемый по формуле

. (Е.96)
Коэффициент корректировки массы выбросов CO
2 округляют согласно
разделу 6 до четырех значащих цифр. Статистическую значимость коэффициента корректировки массы выбросов CO
2 определяет компетентный орган.
Поправочный коэффициент на массу выбросов CO2, рассчитанный по итогам испытаний за весь применимый испытательный цикл ВПИМ, можно применять в целях корректировки к каждой отдельной фазе.
В дополнение к требованиям
Е.6.2.2 по просьбе изготовителя и с одобрения компетентного органа для каждой отдельной фазы может быть рассчитан собственный поправочный коэффициент на массу выбросов CO
2,

. В случае определения соответствующего каждой фазе коэффициента корректировки применительно к каждой отдельной фазе должны соблюдаться те же критерии, что указаны в
Е.6.2.2, и должна применяться процедура, изложенная в Е.6.2.3.2.
Е.6.3 Процедура испытания для определения поправочных коэффициентов
Е.6.3.1 ГЭМ-ВЗУ и ГТСТЭ-ВЗУ
В случае ГЭМ-ВЗУ и ГТСТЭ-ВЗУ для проведения всех замеров, необходимых для определения поправочных коэффициентов согласно
Е.6.2, используют одну из последовательностей испытания, показанных на
рисунке Е.14.
Рисунок Е.14 - Последовательности испытания ГЭМ-ВЗУ
и ГТСТЭ-ВЗУ
Е.6.3.1.1 Последовательность испытания по варианту 1
а) Предварительное кондиционирование и выдерживание
Предварительное кондиционирование и выдерживание проводят в соответствии с
Е.9.2.1.
б) Регулировка ПСАЭ
До начала процедуры испытания, предусмотренной в
перечислении в), изготовитель может провести регулировку ПСАЭ. Изготовитель представляет данные, подтверждающие соблюдение требований в отношении начала испытания согласно
перечислению в).
- для целей применимого испытательного цикла ВПИМ выбираемый водителем режим определяют в соответствии с Е.6.3;
- в ходе испытания осуществляют прогон по применимому испытательному циклу ВПИМ согласно
Е.1.4.2;
- ТС подвергают испытанию по процедуре испытания типа 1, описанной в
приложении Г.
- в порядке получения серии применимых испытательных циклов ВПИМ, необходимых для определения поправочных коэффициентов, после собственно испытания допускается ряд последовательных операций, требуемых по
Е.6.2.2 и охватывающих последовательность, предусмотренную в
перечислениях а) -
в).
Е.6.3.1.2 Последовательность испытания по варианту 2
а) Предварительное кондиционирование
Предварительное кондиционирование испытуемого ТС проводят в соответствии с
Е.9.2.1.1 либо
Е.9.2.1.2.
После предварительного кондиционирования, но без проведения выдерживания, предусмотренного
Е.9.2.1.3, следует перерыв максимальной продолжительностью 60 мин, в течение которого допускается регулировка ПСАЭ. Аналогичный перерыв предшествует каждому испытанию. Сразу же по завершении этого перерыва вступают в силу требования, указанные в
перечислении в).
По просьбе изготовителя и в порядке обеспечения при определении поправочных коэффициентов тех же самых исходных условий перед регулировкой ПСАЭ можно применять дополнительную процедуру прогревания. Если изготовитель запрашивает такую дополнительную процедуру прогревания, то в рамках всей последовательности испытания систематически применяют идентичную процедуру прогревания.
- для целей применимого испытательного цикла ВПИМ выбираемый водителем режим определяют в соответствии с
Е.11.3;
| | ИС МЕГАНОРМ: примечание. В официальном тексте документа, видимо, допущена опечатка: имеется в виду п. Е.1.4.2, а не Е.6.1.4.2. | |
- в ходе испытания осуществляют прогон по применимому испытательному циклу ВПИМ согласно
Е.6.1.4.2;
- ТС подвергают испытанию по процедуре испытания типа Е;
- в порядке получения серии применимых испытательных циклов ВПИМ, необходимых для определения поправочных коэффициентов, после собственно испытания допускается ряд последовательных операций, требуемых по
Е.6.2.2 и охватывающих последовательность, предусмотренную в
перечислениях б) -
в).
Е.6.3.2 ГЭМ-БЗУ и ГТСТЭ-БЗУ
В случае ГЭМ-БЗУ и ГТСТЭ-БЗУ для проведения всех замеров, необходимых для определения поправочных коэффициентов согласно
Е.6.2, используют одну из последовательностей испытания, показанных на
рисунке Е.15.
Рисунок Е.15 - Последовательности испытания ГЭМ-БЗУ
и ГТСТЭ-БЗУ
Е.6.3.2.1 Последовательность испытания по варианту 1
а) Предварительное кондиционирование и выдерживание
| | ИС МЕГАНОРМ: примечание. В официальном тексте документа, видимо, допущена опечатка: имеется в виду п. Е.3.3.1, а не Е.6.3.3.1. | |
Предварительное кондиционирование и выдерживание испытуемого ТС проводят в соответствии с
Е.6.3.3.1.
б) Регулировка ПСАЭ
До начала процедуры испытания, предусмотренной в
перечислении в), изготовитель может провести регулировку ПСАЭ. Изготовитель представляет данные, подтверждающие соблюдение требований в отношении начала испытания согласно
перечислению в).
- выбираемый водителем режим определяют в соответствии с
Е.11.3;
- в ходе испытания осуществляют прогон по применимому испытательному циклу ВПИМ согласно
Е.1.4.2;
- ТС подвергают испытанию по процедуре испытания типа 1 в режиме сохранения заряда, описанной в
приложении Г;
- в порядке получения серии применимых испытательных циклов ВПИМ, необходимых для определения поправочных коэффициентов, после собственно испытания допускается ряд последовательных операций, требуемых по
Е.6.2.2 и охватывающих последовательность, предусмотренную
перечислениями а) -
в).
Е.6.3.2.2 Последовательность испытания по варианту 2
а) Предварительное кондиционирование
Предварительное кондиционирование испытуемого ТС проводят в соответствии с
Е.3.3.1.1.
После предварительного кондиционирования, но без проведения выдерживания, предусмотренного
Е.3.3.1.2, следует перерыв максимальной продолжительностью 60 мин, в течение которого допускается регулировка ПСАЭ. Аналогичный перерыв предшествует каждому испытанию. Сразу же по завершении этого перерыва вступают в силу требования.
По просьбе изготовителя и в порядке обеспечения при определении поправочных коэффициентов тех же самых исходных условий перед регулировкой ПСАЭ можно применять дополнительную процедуру прогревания. Если изготовитель запрашивает такую дополнительную процедуру прогревания, то в рамках всей последовательности испытания систематически применяют идентичную процедуру прогревания.
- для целей применимого испытательного цикла ВПИМ выбираемый водителем режим определяют в соответствии с
Е.11.3;
- в ходе испытания осуществляют прогон по применимому испытательному циклу ВПИМ согласно
Е.1.4.2;
- ТС подвергают испытанию по процедуре испытания типа 1, описанной в
приложении Г.
В порядке получения серии применимых испытательных циклов ВПИМ, необходимых для определения поправочных коэффициентов, после собственно испытания допускается ряд последовательных операций, требуемых по
Е.6.2.2 и охватывающих последовательность, предусмотренную в
перечислениях б) и
в).
Е.7 Альтернативная процедура испытаний на проверку перезаряжаемой системы аккумулирования электроэнергии
Е.7.1 Общие положения
В Е.7 оговаривается процедура, альтернативная процедуре, предусмотренной в
Е.6.
В пункте содержатся конкретные положения, касающиеся корректировки результатов испытания на определение массы выбросов CO
2 в зависимости от баланса энергии

всех ПСАЭ.
Скорректированные значения массы выбросов CO
2 соответствуют нулевому балансу энергии

и рассчитываются с использованием поправочного коэффициента, определяемого в указанном ниже порядке.
Е.7.2 Измерительные средства и оборудование
Е.7.2.1 Измерение силы тока
При полной разрядке ПСАЭ считают, что ток имеет отрицательное значение.
Е.7.2.1.1 В ходе испытаний силу тока в ПСАЭ измеряют при помощи преобразователя тока зажимного или закрытого типа. Система измерения силы тока должна отвечать требованиям, приведенным в
таблице Е.1. Преобразователь(и) тока должен (должны) выдерживать пиковые значения тока при запуске двигателя и температурных условиях в точке измерения.
В целях обеспечения точности измерения перед началом испытания производят настройку на нуль и размагничивание в соответствии с инструкциями изготовителя прибора.
Е.7.2.1.2 Преобразователи тока (для любой ПСАЭ) устанавливают на проводе, который непосредственно подсоединен к ПСАЭ и рассчитан на ее полный ток.
В случае экранированных проводов применяют соответствующие методы по согласованию с компетентным органом.
Для облегчения измерения силы тока в ПСАЭ с использованием внешнего измерительного оборудования изготовителям желательно предусмотреть надлежащие безопасные и доступные разъемы на ТС. Если это невозможно обеспечить практически, то изготовитель оказывает поддержку компетентному органу путем предоставления соответствующих устройств подсоединения преобразователя тока к проводам ПСАЭ описанным выше образом.
Е.7.2.1.3 Измеряемую силу тока интегрируют во

диапазоне с минимальной частотой 20 Гц, что позволяет получить измеряемое значение Q, выражаемое в ампер-часах (А·ч). Интегрирование можно производить при помощи системы измерения силы тока.
Е.7.2.2 Данные бортовых приборов ТС
Е.7.2.2.1 В качестве варианта силу тока в ПСАЭ определяют на основе данных бортовых приборов ТС. Этот метод измерения можно применять в том случае, если приборы испытуемого ТС обеспечивают вывод следующих данных:
а) интегрированный баланс заряда после последнего включения зажигания, в А·ч;
б) интегрированный баланс заряда согласно приборам ТС, рассчитываемый с минимальной частотой 5 Гц;
в) баланс заряда, выводимый на разъем системы БД, в соответствии с требованиями
[11].
Е.7.2.2.2 Точность данных измерения зарядки и разрядки ПСАЭ при помощи бортовых приборов подтверждается изготовителем компетентному органу.
Изготовитель может создать семейство ТС по критерию контроля за ПСАЭ в порядке подтверждения правильности данных измерения зарядки и разрядки ПСАЭ при помощи бортовых приборов. Точность данных измерения подтверждается на репрезентативном ТС.
Применительно к семейству ТС действительными считаются следующие критерии:
а) одинаковые процессы сжигания топлива (т.е. принудительное зажигание, воспламенение от сжатия, двухтактный, четырехтактный);
б) одинаковые алгоритмы зарядки и/или рекуперации (программный модуль данных ПСАЭ);
в) возможность вывода данных на бортовые приборы;
г) одинаковый баланс заряда, измеряемый модулем данных ПСАЭ;
д) одинаковая схема имитации измерения баланса заряда бортовыми приборами.
Е.7.2.2.3 Из контрольной проверки исключаются все ПСАЭ, не оказывающие влияния на массу выбросов CO2.
Е.7.3 Процедура корректировки с учетом изменения уровня электроэнергии ПСАЭ
Е.7.3.1 Измерение силы тока в ПСАЭ начинают в момент начала испытания и прекращают сразу же после прохождения ТС полного ездового цикла.
Е.7.3.2 В качестве меры разницы в уровне электроэнергии, которая остается в системе ПСАЭ в конце цикла по сравнению с его началом, используют баланс электроэнергии Q, измеряемый в системе электроснабжения. Баланс электроэнергии определяют для полного пройденного ВЦИМГ.
Е.7.3.3 По пройденным фазам цикла регистрируют отдельные значения Qphase.
Е.7.3.4 Корректировка уровня выбросов CO2 по массе за весь цикл с учетом критерия корректировки, c
Е.7.3.4.1 Расчет критерия корректировки, c
Критерий корректировки,
c, представляющий собой соотношение между абсолютным изменением уровня электроэнергии

и энергетичностью топлива, вычисляют по формуле

. (Е.97)

- изменение уровня электроэнергии всех ПСАЭ за период
j, определенное в соответствии с
Е.7.4.1, Вт·ч;
j - здесь весь применимый испытательный цикл ВПИМ;
Efuel - энергетичность топлива, израсходованного за применимый испытательный цикл ВПИМ, Вт·ч, вычисляемая по формуле
Efuel = 10·HV·FCnb·d, (Е.98)
где
HV - теплотворная способность согласно
таблице Г.9, кВт·ч/л;
FCnb - несбалансированный расход топлива в ходе испытания типа 1 (без корректировки на баланс энергии), определенный в соответствии с
Д.6 на основе расчетов в рамках
шага [2 по таблице Д.1] с использованием результатов измерения уровней выбросов основных загрязнителей и CO
2, л/100 км;
d - расстояние, пройденное за соответствующий применимый испытательный цикл ВПИМ, км;
10 - коэффициент пересчета в Вт·ч.
Е.7.3.4.2 К корректировке прибегают в том случае, если

имеет отрицательное значение (что соответствует разрядке ПСАЭ).
По просьбе изготовителя пренебречь корректировкой и использовать нескорректированные значения можно в том случае, когда:
a)

имеет положительное значение (что соответствует заряженности ПСАЭ);
b) изготовитель в состоянии представить компетентному органу результаты измерений, свидетельствующие об отсутствии зависимости между

и массой выбросов CO
2, а также между

и расходом топлива соответственно.
Е.7.4 Применение функции корректировки
Е.7.4.1 Для применения функции корректировки вычисляют изменение уровня электроэнергии

всех ПСАЭ за период
j на основе измеренного значения силы тока и номинального напряжения по формулам

, (Е.99)
где

- изменение уровня электроэнергии
i-й ПСАЭ за рассматриваемый период
j, Вт·ч;

, (Е.100)
где
UREESS - номинальное напряжение ПСАЭ, определенное в соответствии с
[15], В;
I(
t)
j,i - сила тока в
i-й ПСАЭ за рассматриваемый период
j, определенная в соответствии с
Е.2, А;
t0 - время начала рассматриваемого периода j, с;
tend - время завершения рассматриваемого периода j, с;
i - порядковый номер соответствующей ПСАЭ;
n - общее количество ПСАЭ;
j - порядковый номер рассматриваемого периода, причем под периодом понимается любая фаза применимого цикла, любое сочетание фаз цикла или весь применимый цикл;

- коэффициент пересчета из Вт·с в Вт·ч.
Е.7.4.2 Для корректировки уровня выбросов CO
2 по массе, г/км, используют коэффициенты Вилланса как функцию процесса сгорания топлива, которые приведены в
таблице Г.10.
Е.7.4.3 Корректировку проводят по всему циклу и отдельно по каждой фазе цикла; полученные значения регистрируют.
Е.7.4.4 Для целей этого конкретного вычисления используют постоянное значение КПД генератора переменного тока системы электроснабжения:
если

имеет отрицательное значение (что соответствует разрядке), то

;
если

имеет положительное значение (что соответствует заряженности батареи), то

.
Е.7.4.5 Результирующую разницу в уровне выбросов CO
2 по массе за рассматриваемый период
j, обусловленную нагрузочными характеристиками генератора переменного тока для зарядки ПСАЭ, вычисляют по формуле

, (Е.101)
где

- результирующая разница в уровне выбросов CO
2 по массе за период
j, г/км;

- изменение уровня электроэнергии ПСАЭ за рассматриваемый период
j, рассчитанное в соответствии с
Е.7.4.1, Вт·ч;
dj - расстояние, пройденное за рассматриваемый период j, км;
j - порядковый номер рассматриваемого периода, причем под периодом понимается любая фаза применимого цикла, любое сочетание фаз цикла или весь применимый цикл;
0,0036 - коэффициент пересчета из Вт·ч в МДж;

- КПД генератора переменного тока согласно
Е.7.4.4;
Willansfactor - коэффициент Вилланса как функция процесса сгорания топлива, определенный в
таблице Г.10, г CO
2/МДж.
Е.7.4.5.1 Значения CO2 для каждой фазы и всего цикла корректируют нижеследующим образом

; (Е.102)

, (Е.103)
где

- результат по периоду
j, указанный в
Е.7.4.5, г/км.
Е.8 Определение силы тока в ПСАЭ и напряжения ПСАЭ для ГЭМ-БЗУ, ГЭМ-ВЗУ, ПЭМ, ГТСТЭ-ВЗУ и ГТСТЭ-БЗУ
Е.8.1 Введение
Е.8.1.1 Цель состоит в определении метода и требуемых средств для измерения силы тока в ПСАЭ и напряжения ПСАЭ в случае ГЭМ-БЗУ, ГЭМ-ВЗУ, ПЭМ, ГТСТЭ-ВЗУ и ГТСТЭ-БЗУ.
Е.8.1.2 Измерение силы тока в ПСАЭ и напряжения ПСАЭ начинают в момент начала испытания и прекращают сразу же после завершения испытания ТС.
Е.8.1.3 Силу тока в ПСАЭ и напряжение ПСАЭ определяют для каждой фазы.
Е.8.1.4 Компетентному органу предоставляют перечень оборудования для измерения силы тока в ПСАЭ и напряжения ПСАЭ (в частности, с указанием изготовителя прибора, номера модели, серийного номера, дат последней калибровки (когда это применимо)), используемого изготовителем в ходе:
а) испытания типа 1 согласно
Е.8.3;
б) процедуры определения поправочных коэффициентов согласно
Е.6 (в случае применимости);
в) любой процедуры, которая может быть затребована договаривающейся стороной.
Е.8.2 Сила тока в ПСАЭ
При полной разрядке ПСАЭ считают, что ток имеет отрицательное значение.
Е.8.2.1 Измерение силы тока в ПСАЭ с использованием внешнего оборудования
Е.8.2.1.1 В ходе испытаний силу тока в ПСАЭ измеряют при помощи преобразователя тока зажимного или закрытого типа. Система измерения силы тока должна отвечать требованиям, приведенным в
таблице Е.1. Преобразователь(и) тока должен (должны) выдерживать пиковые значения тока при запуске двигателя и температурных условиях в точке измерения.
В целях обеспечения точности измерения перед началом испытания производят настройку на нуль и размагничивание в соответствии с инструкциями изготовителя прибора.
Е.8.2.1.2 Преобразователи тока (для любой ПСАЭ) устанавливают на проводе, который непосредственно подсоединен к ПСАЭ и рассчитан на ее полный ток.
В случае экранированных проводов применяют соответствующие методы по согласованию с компетентным органом.
Для облегчения измерения силы тока в ПСАЭ с использованием внешнего измерительного оборудования изготовителям следует предусмотреть надлежащие безопасные и доступные разъемы на ТС. Если это невозможно обеспечить практически, то изготовитель обязан оказать компетентному органу поддержку путем подсоединения преобразователя тока к одному из проводов, непосредственно подсоединенных к ПСАЭ, описанным выше в настоящем пункте образом.
Е.8.2.1.3 Минимальная частота измерения выходного сигнала преобразователя тока составляет 20 Гц. Измеряемую силу тока интегрируют во

диапазоне, что позволяет получить измеряемое значение
Q, выражаемое в ампер-часах (А·ч). Интегрирование можно производить при помощи системы измерения силы тока.
Е.8.2.2 Определение силы тока в ПСАЭ на основе данных бортовых приборов ТС
В качестве альтернативы
Е.2.1 для измерения силы тока в ПСАЭ изготовитель может использовать данные бортовых приборов. Точность таких данных подтверждается компетентному органу.
Е.8.3.1 Измерение напряжения ПСАЭ с использованием внешнего оборудования
В ходе испытаний, описанных в Е.8.3, напряжение ПСАЭ измеряют при помощи соответствующего оборудования с соблюдением приведенных в
Е.8.1.1 требований в отношении точности измерений. Для целей измерения напряжения ПСАЭ с использованием внешнего оборудования изготовитель оказывает поддержку компетентному органу путем указания точек измерения напряжения ПСАЭ и предоставления инструкций по безопасности.
Е.8.3.2 Номинальное напряжение ПСАЭ
В случае ГЭМ-БЗУ, ГТСТЭ-БЗУ, ГЭМ-ВЗУ и ГТСТЭ-ВЗУ вместо замеренных по
Е.8.3.1 значений напряжения ПСАЭ можно использовать величину номинального напряжения ПСАЭ, определенную в соответствии с
[15].
Е.8.3.3 Определение напряжения ПСАЭ на основе данных бортовых приборов транспортного средства
В качестве альтернативы
Е.8.3.1 и
Е.8.3.2 для измерения напряжения изготовитель может использовать данные бортовых приборов. Точность таких данных подтверждается компетентному органу.
Е.8.3.4 Ограничение случаев использования мгновенного значения напряжения
Использование мгновенного значения напряжения по
Е.8.3.1 и
Е.8.3.3 запрещается, и используют величину номинального напряжения ПСАЭ, определенную в соответствии со стандартом, указанным в
Е.8.3.2 в следующих ситуациях:
а) при определении указанного в Е.8 коэффициента корректировки с учетом изменения уровня электроэнергии ПСАЭ;
б) при расчете массового показателя выбросов CO
2 в режиме сохранения заряда для ГЭМ-ВЗУ и ГЭМ-БЗУ по
Е.4.1.1.3 -
Е.4.1.1.5;
в) при расчете значения расхода топлива в режиме сохранения заряда для ГТСТЭ-БЗУ и ГТСТЭ-ВЗУ.
Е.9 Предварительное кондиционирование, выдерживание и состояние зарядки ПСАЭ для ПЭМ, ГЭМ-ВЗУ и ГТСТЭ-ВЗУ
Е.9.1 В Е.9 изложена процедура предварительного кондиционирования ПСАЭ и ДВС в рамках испытания в целях подготовки к:
а) измерению запаса хода на электротяге и измерений в режимах расходования и сохранения заряда при испытании ГЭМ-ВЗУ и ГТСТЭ-ВЗУ; и
б) измерению запаса хода на электротяге и потребления электрической энергии при испытании ПЭМ.
Е.9.2 Предварительное кондиционирование и выдерживание ГЭМ-ВЗУ и ГТСТЭ-ВЗУ
Е.9.2.1 Предварительное кондиционирование и выдерживание, когда первым проводится испытание в режиме сохранения заряда
Е.9.2.1.1 Для предварительного кондиционирования ДВС осуществляют прогон ТС не менее чем по одному применимому испытательному циклу ВПИМ. При прогоне по каждому циклу предварительного кондиционирования определяют баланс заряда ПСАЭ. Предварительное кондиционирование прекращают в конце применимого испытательного цикла ВПИМ, в ходе которого выполняется граничный критерий в соответствии с
Е.3.2.4.5.
Е.9.2.1.2 В качестве альтернативы
Е.9.2.1.1 по просьбе изготовителя и с одобрения компетентного органа уровень зарядки ПСАЭ для целей испытания типа 1 в режиме сохранения заряда может быть выбран в соответствии с рекомендацией изготовителя для обеспечения возможности проведения испытания в эксплуатационном режиме сохранения заряда.
В этом случае применяют процедуру предварительного кондиционирования, аналогичную используемой для ТС, работающих только от ДВС, как указано в
Г.2.6.
Е.9.2.1.3 Выдерживание ТС проводят в соответствии с
Г.2.7.
Е.9.2.2 Предварительное кондиционирование и выдерживание, когда первым проводится испытание в режиме расходования заряда
Е.9.2.2.1 Осуществляют прогон ГЭМ-ВЗУ и ГТСТЭ-ВЗУ не менее чем по одному применимому испытательному циклу ВПИМ. При прогоне по каждому циклу предварительного кондиционирования определяют баланс заряда ПСАЭ. Предварительное кондиционирование прекращают в конце применимого испытательного цикла ВПИМ, в ходе которого выполняется граничный критерий в соответствии с
Е.3.2.4.5.
Е.9.2.2.2 Выдерживание ТС производят в соответствии с
Г.2.7. Принудительное охлаждение не применяют для ТС, подвергаемых предварительному кондиционированию в целях испытания типа 1. В процессе выдерживания осуществляют зарядку ПСАЭ в соответствии с обычной процедурой зарядки, определенной в
Е.9.2.2.3.
Е.9.2.2.3 Обычная процедура зарядки
Под обычной зарядкой понимается процедура подачи на электромобиль электроэнергии мощностью не более 22 кВт.
При наличии нескольких возможных методов обычной зарядки от переменного тока (например, проводная, индуктивная и проч.) используют процедуру зарядки с помощью кабеля.
Если зарядка от переменного тока возможна при нескольких уровнях мощности, то используют максимальную мощность обычной зарядки. По рекомендации изготовителя и с одобрения компетентного органа допускается проводить зарядку от переменного тока при уровне мощности, более низком по сравнению с максимальной мощностью обычной зарядки.
Зарядку ПСАЭ осуществляют при температуре окружающей среды, указанной в
Г.2.2.2.2, с помощью бортового зарядного устройства, если оно установлено.
Рекомендуемое изготовителем зарядное устройство, причем с использованием режима зарядки, предписанного для обычной зарядки, используют в следующих случаях:
а) при отсутствии бортового зарядного устройства; или
б) время зарядки превышает указанное в
Г.2.7 время выдерживания.
Предусмотренные настоящим пунктом методы исключают какие-либо специальные виды подзарядки, которая может включаться автоматически или вручную, например выравнивающей или сервисной подзарядки. Изготовитель должен указать, что в ходе испытания специальная подзарядка не проводилась.
Критерий прекращения зарядки
Критерий прекращения зарядки считают выполненным, когда показания бортовых или внешних приборов свидетельствуют о полной зарядке ПСАЭ. Если зарядка производится в период выдерживания и прекращается до истечения минимального времени выдерживания, требуемого по
Г.2.7, то ТС оставляют подключенным к сети по крайней мере до конца минимально требуемого периода выдерживания.
Е.9.3 Предварительное кондиционирование ПЭМ
Е.9.3.1 Первоначальная зарядка ПСАЭ
Первоначальная зарядка ПСАЭ включает разрядку ПСАЭ и ее зарядку до нормального состояния.
Е.9.3.1.1 Разрядка ПСАЭ
Процедуру разрядки осуществляют в соответствии с рекомендациями изготовителя. Изготовитель гарантирует, что ПСАЭ достигает максимально возможной степени разрядки, которую в состоянии обеспечить процедура разрядки.
Е.9.3.1.2 Выдерживание и обычная процедура зарядки
Выдерживание ТС производят в соответствии с
Г.2.7.
В процессе выдерживания осуществляют зарядку ПСАЭ в соответствии с обычной процедурой зарядки, определенной в
Е.9.2.2.3.
Е.10 Коэффициенты полезности (UF) для ГЭМ-ВЗУ и ГТСТЭ-ВЗУ
Е.10.1 Каждая договаривающаяся сторона может устанавливать собственные коэффициенты полезности (UF).
Е.10.2 Описание рекомендуемой методики определения
UF по соответствующей кривой, построенной с учетом статистических ездовых данных, приведено в
[16] (опубликован в марте 2009 г., пересмотрен в сентябре 2010 г.).
Е.10.3 Для расчета взвешенного по периоду
j удельного коэффициента полезности
UFj применяют
уравнение с использованием коэффициентов, приведенных в
таблице Е.12:

, (Е.104)
где UFj - коэффициент полезности применительно к периоду j;
dj - измеренное расстояние, пройденное к концу периода j, км;
k - числовое значение членов и коэффициентов в показателе степени;
j - порядковый номер рассматриваемого периода;
i - числовое значение рассматриваемого члена/коэффициента;

- сумма коэффициентов полезности, рассчитанных вплоть до периода (
j-1).
Таблица Е.14
Параметры для определения удельных UF на региональном уровне
Параметр | Европа | Япония | США (парк) | США (отдельное ТС) |
dn | 800 км | 400 км | 399,9 мили | 400 миль |
C1 | 26,25 | 11,8 | 10,52 | 13,1 |
C2 | -38,94 | -32,5 | -7,282 | -18,7 |
C3 | -631,05 | 89,5 | -26,37 | 5,22 |
C4 | 5 964,83 | -134 | 79,08 | 8,15 |
C5 | -25 095 | 98,9 | -77,36 | 3,53 |
C6 | 60 380,2 | -29,1 | 26,07 | -1,34 |
C7 | -87 517 | Нет данных | Нет данных | -4,01 |
C8 | 75 513,8 | Нет данных | Нет данных | -3,9 |
C9 | -35 749 | Нет данных | Нет данных | -1,15 |
C10 | 7 154,94 | Нет данных | Нет данных | 3,88 |
Е.11 Установление выбираемых водителем режимов
Е.11.1 Общее требование
| | ИС МЕГАНОРМ: примечание. В официальном тексте документа, видимо, допущена опечатка: имеются в виду п.п. Е.11.2 - Е.11.4, а не Е.11.1.2 - Е.11.1.4 соответственно. | |
Е.11.1.1 Применительно к процедуре испытания типа 1 изготовитель устанавливает выбираемый водителем режим в соответствии с
Е.11.1.2 -
Е.11.1.4, что обеспечивает ТС возможность придерживаться хронометража рассматриваемого испытательного цикла в пределах допустимых отклонений от кривой скорости согласно
перечислению б) Г.2.6.8.3. Данное требование применяется ко всем системам ТС, работающим в режиме, который может быть выбран водителем, в том числе к системам, не завязанным исключительно на коробку передач.
Е.11.1.2 Изготовитель представляет компетентному органу подтверждающие данные относительно:
а) наличия в рассматриваемых условиях преобладающего режима;
б) максимальной скорости рассматриваемого ТС;
и, при необходимости:
в) наиболее благоприятного и наиболее неблагоприятного режимов, определенных на основании представленных данных о расходе топлива и, если применимо, о массе выбросов CO
2/расходе топлива во всех режимах (см.
Г.2.6.6.3);
г) максимально энергоемкого режима;
д) потребности в энергии для выполнения цикла (согласно
Д.5, но с использованием вместо заданной скорости фактических значений скорости).
Е.11.1.3 На основании представленных изготовителем технических данных и по согласованию с компетентным органом такие отдельные выбираемые водителем режимы, как "режим вождения в горной местности" или "режим обслуживания", которые не предназначены для обычной повседневной эксплуатации и используются только в специальных ограниченных целях, не учитывают. Независимо от выбираемого водителем режима, отобранного для целей испытания типа 1 по
Е.11.2 и
Е.11.3, во всех остальных выбираемых водителем режимах, используемых для движения вперед, ТС должно соответствовать требованиям в отношении предельных норм выбросов основных загрязнителей.
Е.11.2 ГЭМ-ВЗУ и ГТСТЭ-ВЗУ с возможностью выбора режимов водителем в эксплуатационном режиме расходования заряда
Для ТС с возможностью выбора режимов водителем режим применительно к испытанию типа 1 в условиях расходования заряда выбирают с соблюдением нижеследующих требований.
Порядок выбора режима согласно настоящему пункту показан на схеме, приведенной на
рисунке Е.16.
а) ГЭМ-ВЗУ и ГТСТЭ-ВЗУ: испытание типа 1 в режиме
РЗ - переход одного выбираемого режима на другой
б) ГЭМ-ВЗУ и ГТСТЭ-ВЗУ: испытание типа 1 в режиме
РЗ - переход с одного выбираемого режима на другой
Рисунок Е.16 - Установление выбираемого водителем режима
для ГЭМ-ВЗУ и ГТСТЭ-ВЗУ в эксплуатационном режиме
расходования заряда
Е.11.2.1 При наличии преобладающего режима, обеспечивающего ТС возможность придерживаться хронометража исходного испытательного цикла в эксплуатационном режиме расходования заряда, выбирают именно этот режим.
Е.11.2.2 В отсутствие преобладающего режима либо при наличии преобладающего режима, но не обеспечивающего ТС возможность придерживаться хронометража исходного испытательного цикла в эксплуатационном режиме расходования заряда, режим применительно к испытанию выбирают с соблюдением следующих требований:
а) при наличии только одного режима, обеспечивающего ТС возможность придерживаться хронометража исходного испытательного цикла в эксплуатационном режиме расходования заряда, выбирают именно этот режим;
б) при наличии нескольких режимов, обеспечивающих возможность придерживаться хронометража исходного испытательного цикла в эксплуатационном режиме расходования заряда, причем ни один из них не является задаваемым режимом запуска, выбирают тот режим, который является наиболее неблагоприятным в плане потребления электроэнергии;
в) при наличии нескольких режимов, обеспечивающих возможность придерживаться хронометража исходного испытательного цикла в эксплуатационном режиме расходования заряда, причем по крайней мере два из них относятся к задаваемым режимам запуска, выбирают тот из задаваемых режимов запуска, который является наиболее неблагоприятным в плане потребления электроэнергии.
Е.11.2.3 В отсутствие какого-либо режима согласно
Е.11.2.1 и
Е.11.2.2, обеспечивающего ТС возможность придерживаться хронометража исходного испытательного цикла, исходный испытательный цикл модифицируют в соответствии с
А.9:
а) при наличии преобладающего режима, обеспечивающего ТС возможность придерживаться хронометража модифицированного исходного испытательного цикла в эксплуатационном режиме расходования заряда, выбирают именно этот режим;
б) в отсутствие преобладающего режима, но при наличии других режимов, обеспечивающих ТС возможность придерживаться хронометража модифицированного исходного испытательного цикла в эксплуатационном режиме расходования заряда, выбирают тот режим, который является наиболее неблагоприятным в плане потребления электроэнергии. При наличии же не менее двух задаваемых режимов запуска выбирают тот из задаваемых режимов запуска, который является наиболее неблагоприятным в плане потребления электроэнергии;
в) в отсутствие какого-либо режима, обеспечивающего ТС возможность придерживаться хронометража модифицированного исходного испытательного цикла в эксплуатационном режиме расходования заряда, выявляют режим(ы) с наиболее высокой потребностью в энергии для выполнения цикла и выбирают режим, являющийся наиболее неблагоприятным в плане потребления электроэнергии;
г) по усмотрению договаривающейся стороны исходный испытательный цикл может быть заменен применимым городским испытательным циклом ВПИМ; в этом случае выбирают режим, являющийся наиболее неблагоприятным в плане потребления электроэнергии.
Е.11.3 ГЭМ-ВЗУ, ГЭМ-БЗУ, ГТСТЭ-ВЗУ и ГТСТЭ-БЗУ с возможностью выбора режимов водителем в эксплуатационном режиме сохранения заряда
Для ТС с возможностью выбора режимов водителем режим применительно к испытанию типа 1 в условиях сохранения заряда выбирают с соблюдением нижеследующих требований.
Порядок выбора режима согласно настоящему пункту показан на схеме, приведенной на
рисунке Е.17.
а) ГЭМ-Б(В)ЗУ и ГТСТЭ-Б(В)ЗУ: испытание типа 1 в режиме
СЗ - переход с одного выбираемого режима на другой
б) ГЭМ-Б(В)ЗУ и ГТСТЭ-Б(В)ЗУ: испытание типа 1 в режиме
СЗ - переход с одного выбираемого режима на другой
Рисунок Е.17 - Установление выбираемого водителем режима
для ГЭМ-ВЗУ, ГЭМ-БЗУ, ГТСТЭ-ВЗУ и ГТСТЭ-БЗУ
в эксплуатационном режиме сохранения заряда
Е.11.3.1 При наличии преобладающего режима, обеспечивающего ТС возможность придерживаться хронометража исходного испытательного цикла в эксплуатационном режиме сохранения заряда, выбирают именно этот режим.
Е.11.3.2 В отсутствие преобладающего режима либо при наличии преобладающего режима, но не обеспечивающего ТС возможность придерживаться хронометража исходного испытательного цикла в эксплуатационном режиме сохранения заряда, режим применительно к испытанию выбирают с соблюдением следующих требований:
а) при наличии только одного режима, обеспечивающего ТС возможность придерживаться хронометража исходного испытательного цикла в эксплуатационном режиме расходования заряда, выбирают именно этот режим;
б) при наличии нескольких режимов, обеспечивающих возможность придерживаться хронометража исходного испытательного цикла в эксплуатационном режиме сохранения заряда, причем ни один из них не является задаваемым режимом запуска, выбирают наиболее неблагоприятный режим в плане выбросов CO2 и расхода топлива;
в) при наличии нескольких режимов, обеспечивающих возможность придерживаться хронометража исходного испытательного цикла в эксплуатационном режиме сохранения заряда, причем не менее двух из них относятся к задаваемым режимам запуска, выбирают наиболее неблагоприятный режим в плане выбросов CO2 и расхода топлива.
Е.11.3.3 В отсутствие какого-либо режима согласно
Е.11.3.1 и
Е.11.3.2, обеспечивающего ТС возможность придерживаться хронометража исходного испытательного цикла, исходный испытательный цикл модифицируют в соответствии с
А.9:
а) при наличии преобладающего режима, обеспечивающего ТС возможность придерживаться хронометража модифицированного исходного испытательного цикла в эксплуатационном режиме сохранения заряда, выбирают именно этот режим;
б) в отсутствие преобладающего режима, но при наличии других режимов, обеспечивающих ТС возможность придерживаться хронометража модифицированного исходного испытательного цикла в эксплуатационном режиме сохранения заряда, выбирают тот режим, который является наиболее неблагоприятным в плане выбросов CO2 и расхода топлива;
в) в отсутствие какого-либо режима, обеспечивающего ТС возможность придерживаться хронометража модифицированного исходного испытательного цикла в эксплуатационном режиме сохранения заряда, выявляют режим(ы) с наиболее высокой потребностью в энергии для выполнения цикла и выбирают режим, являющийся наиболее неблагоприятным в плане выбросов CO2 и расхода топлива. Если же не менее двух из этих режимов относятся к задаваемым режимам запуска, то выбирают тот из режимов, который является наиболее неблагоприятным в плане выбросов CO2 и расхода топлива;
г) по усмотрению договаривающейся стороны исходный испытательный цикл может быть заменен применимым городским испытательным циклом ВПИМ; в этом случае выбирают наиболее неблагоприятный режим в плане выбросов CO2 и расхода топлива.
Е.11.4 ПЭМ с возможностью выбора режимов водителем
Для ТС с возможностью выбора режимов водителем режим применительно к испытанию выбирают с соблюдением нижеследующих требований.
Порядок выбора режима согласно настоящему пункту показан на схеме, приведенной на
рисунке Е.18.
а) ПЭМ: переход с одного выбираемого режима на другой
б) ПЭМ: переход с одного выбираемого режима на другой
Рисунок Е.18 - Установление выбираемого водителем режима
для ПЭМ
Е.11.4.1 При наличии преобладающего режима, обеспечивающего ТС возможность придерживаться хронометража исходного испытательного цикла, выбирают именно этот режим.
Е.11.4.2 В отсутствие преобладающего режима либо при наличии преобладающего режима, но не обеспечивающего ТС возможность придерживаться хронометража исходного испытательного цикла, режим применительно к испытанию выбирают с соблюдением следующих требований:
а) при наличии только одного режима, обеспечивающего ТС возможность придерживаться хронометража исходного испытательного цикла, выбирают именно этот режим;
б) при наличии нескольких режимов, обеспечивающих возможность придерживаться хронометража исходного испытательного цикла, причем ни один из них не является задаваемым режимом запуска, выбирают тот режим, который является наиболее неблагоприятным в плане потребления электроэнергии;
в) при наличии нескольких режимов, обеспечивающих возможность придерживаться хронометража исходного испытательного цикла, причем по крайней мере два из них относятся к задаваемым режимам запуска, выбирают тот из задаваемых режимов запуска, который является наиболее неблагоприятным в плане потребления электроэнергии.
Е.11.4.3 В отсутствие какого-либо режима согласно
Е.11.4.1 и
Е.11.4.2, обеспечивающего ТС возможность придерживаться хронометража исходного испытательного цикла, исходный испытательный цикл модифицируют в соответствии с
А.9. Полученный таким образом испытательный цикл называют применимым испытательным циклом ВПИМ:
а) при наличии преобладающего режима, обеспечивающего ТС возможность придерживаться хронометража модифицированного исходного испытательного цикла, выбирают именно этот режим;
б) в отсутствие преобладающего режима, но при наличии других режимов, обеспечивающих ТС возможность придерживаться хронометража модифицированного исходного испытательного цикла, выбирают тот режим, который является наиболее неблагоприятным в плане потребления электроэнергии. При наличии же не менее двух задаваемых режимов запуска выбирают тот из задаваемых режимов запуска, который является наиболее неблагоприятным в плане потребления электроэнергии;
в) в отсутствие какого-либо режима, обеспечивающего ТС возможность придерживаться хронометража модифицированного исходного испытательного цикла, выявляют режим(ы) с наиболее высокой потребностью в энергии для выполнения цикла и выбирают режим, являющийся наиболее неблагоприятным в плане потребления электроэнергии;
г) по усмотрению договаривающейся стороны исходный испытательный цикл может быть заменен применимым городским испытательным циклом ВПИМ; в этом случае выбирают режим, являющийся наиболее неблагоприятным в плане потребления электроэнергии.
Е.12 Измерение расхода топлива в случае ГТС на топливных элементах, работающих на компримированном водороде
Е.12.1 Общие требования
Для измерения расхода топлива используют гравиметрический метод согласно
Е.12.2.
По просьбе изготовителя и с одобрения компетентного органа расход топлива можно определять либо методом перепада давления, либо методом измерения расхода. В этом случае изготовитель представляет технические данные, подтверждающие, что соответствующий метод дает эквивалентные результаты. Описание обоих методов содержится в
[17].
Е.12.2 Гравиметрический метод
Расход топлива рассчитывают по результатам измерения массы топливного резервуара до и после испытания.
Е.12.2.1 Оборудование и его установка
Е.12.2.1.1 Пример расположения измерительной аппаратуры показан на
рисунке Е.19. Для измерения расхода топлива используют один или несколько внешних резервуаров. Внешний(е) резервуар(ы) подсоединяют к топливной магистрали ТС на участке между штатным топливным резервуаром и системой топливных элементов.
1 - внешний источник подачи топлива для целей
предварительного кондиционирования; 2 - регулятор давления;
3 - штатный резервуар; 4 - система топливных элементов;
5 - весы; 6 - внешний(е) резервуар(ы) для измерения расхода
топлива
Рисунок Е.19 - Пример расположения измерительной аппаратуры
Е.12.2.1.2 Для целей предварительного кондиционирования может использоваться штатный резервуар или внешний источник водорода.
Е.12.2.1.3 Давление газа во время заправки регулируют с использованием значения, рекомендованного изготовителем.
Е.12.2.1.4 Когда магистрали находятся под давлением, перепады давления в них подаваемого газа должны быть сведены к минимуму.
Если не исключается возможность влияния от перепада давления, то изготовитель и компетентный орган согласуют необходимость принятия мер по его устранению.
Е.12.2.1.5 Весы
| | ИС МЕГАНОРМ: примечание. В официальном тексте документа, видимо, допущена опечатка: имеется в виду таблица Е.15, а не Е.13. | |
Используемые для измерения расхода топлива весы должны отвечать техническим требованиям, указанным в
таблице Е.13.
Таблица Е.15
Критерии проверки аналитических весов
Средство измерения | Разрешение | Прецизионность |
Весы | максимум 0,1 г | |
< a> Расход топлива (при балансе заряда ПСАЭ = 0) в ходе испытания, по массе, стандартное отклонение |
| | ИС МЕГАНОРМ: примечание. В официальном тексте документа, видимо, допущена опечатка: имеется в виду таблица Е.16, а не Е.14. | |
Калибровку весов проводят в соответствии с техническими требованиями изготовителя прибора или, по крайней мере, с периодичностью, указанной в
таблице Е.14.
Таблица Е.16
Периодичность калибровки прибора
Проверка прибора | Периодичность |
Прецизионность | Ежегодно и при капитальном техническом обслуживании |
Должны быть предусмотрены соответствующие средства для снижения влияния вибрации и конвекции, такие как виброизолирующая платформа или ветрозащитный экран.
Е.12.2.2 Процедура испытания
Е.12.2.2.1 Перед испытанием измеряют массу внешнего резервуара.
Е.12.2.2.2 Внешний резервуар подсоединяют к топливной магистрали ТС, как показано на
рисунке Е.19.
Е.12.2.2.3 Испытание проводят в условиях подачи топлива из внешнего резервуара.
Е.12.2.2.4 Внешний резервуар отсоединяют от топливной магистрали.
Е.12.2.2.5 По завершении испытания вновь измеряют массу резервуара и расход топлива.
По просьбе изготовителя и с одобрения компетентного органа может учитываться изменение веса водорода во вспомогательной магистрали на участке между показанными на
рисунке Е.19 точками 2 и 4, обусловленное колебаниями температуры и давления.
Е.12.2.2.6 Несбалансированный расход топлива в режиме сохранения заряда,
FCCS,nb, вычисляют на основании значений массы, замеренных до и после испытания, по формуле

, (Е.105)
где FCCS,nb - несбалансированный расход топлива в режиме сохранения заряда, измеренный в ходе испытания, кг/100 км;
g1 - масса резервуара в начале испытания, кг;
g2 - масса резервуара по завершении испытания, кг;
d - расстояние, пройденное в ходе испытания, км.
Е.12.2.2.7 Если этого требует какая-либо договаривающаяся сторона, то для каждой отдельной фазы рассчитывают - по Е.12.2.2 - обособленное значение расхода топлива
FCCS,nb,p, определенное в
Е.4.2.1.2. При этом испытание проводят с использованием внешних резервуаров и подсоединений к топливной магистрали ТС, подготовленных с учетом особенностей каждой фазы.
Е.13 Расчет дополнительных показателей, необходимых для целей проверки соответствия производства в отношении потребления электроэнергии для ПЭМ и ГЭМ-ВЗУ
Для проверки соответствия производства требуется представить значения конкретных показателей, порядок расчета которых изложен в Е.13.
Е.13.1 Расчет показателей потребления электроэнергии полными электромобилями для целей проверки соответствия производства
Е.13.1.1 Для целей проверки соответствия производства в отношении потребления электроэнергии полными электромобилями (ПЭМ) заявляют и используют показатель
ECDC-i,COP = ECDC,first,i·AFEC,i, (Е.106)
где
i - это - при использовании метода интерполяции - индекс L в случае ТС L и индекс H в случае ТС категории H. Если же метод интерполяции не используется, то под
i понимают ТС, подвергаемое испытанию, и положениями
Е.13.1.2 пренебрегают;
ECDC-i,COP - потребление электроэнергии ТС i за первый применимый испытательный цикл ВЦИМГ до полной разрядки ПСАЭ, подлежащее проверке в рамках процедуры испытания на соответствие производства;
ECDC,first,i - потребление электроэнергии ТС
i за первый применимый испытательный цикл ВЦИМГ до полной разрядки ПСАЭ, Вт·ч/км, определенное по
Е.4.3;
AFEC,i - поправочный коэффициент для ТС i, компенсирующий разницу между величиной потребления электроэнергии в режиме расходования заряда, заявленной после процедуры испытания типа 1, проведенного при официальном утверждении типа, и результатами замеров, полученными в ходе испытания в рамках процедуры проверки соответствия производства,

, (Е.107)
| | ИС МЕГАНОРМ: примечание. Здесь и далее в официальном тексте документа, видимо, допущены опечатки: п. Е.1.2.3 отсутствует. | |
где ECWLTC,declared,i - заявленный показатель потребления электроэнергии ТС i применительно к ПЭМ согласно Е.1.2.3;
ECWLTC,i - замеренный показатель потребления электроэнергии ТС
i согласно
Е.4.3.4.2.
В случае применения метода интерполяции заявленные и используемые для проверки соответствия производства в отношении потребления электроэнергии ТС H и L значения являются - для целей интерполяции индивидуальных показателей потребления электроэнергии по
Е.13.1.2 - входными значениями.
Е.13.1.2 Интерполяция индивидуальных показателей потребления электроэнергии для ПЭМ
Положения настоящего пункта применяют только в случае использования метода интерполяции. Для целей проверки соответствия производства в отношении потребления электроэнергии отдельным ТС заявляют и используют интерполированный показатель потребления электроэнергии ECDC-ind,COP, Вт·ч/км, вычисляемый по формуле
ECDC-ind,COP = ECDC-L,COP + Kind·(ECDC-H,COP -
- ECDC-L,COP), (Е.108)
где
ECDC-L,COP - потребление электроэнергии ТС L для целей проверки соответствия производства, Вт·ч/км, определенное по
Е.13.1.1;
ECDC-H,COP - потребление электроэнергии ТС H для целей проверки соответствия производства, Вт·ч/км, определенное по
Е.13.1.1;
Kind - интерполяционный коэффициент для рассматриваемого отдельного ТС применительно к соответствующему испытательному циклу ВПИМ согласно
Е.4.5.3.
Е.13.2 Расчет показателей потребления электроэнергии ГЭМ-ВЗУ для целей проверки соответствия производства
Положения настоящего пункта применяют только в том случае, если во время первого цикла испытания типа 1 в режиме расходования заряда, проводимого при официальном утверждении типа, запуск двигателя не производят. Если же производится запуск двигателя, то положениями настоящего пункта пренебрегают.
Е.13.2.1 Для целей проверки соответствия производства в отношении потребления электроэнергии ГЭМ-ВЗУ заявляют и используют показатель:
ECDC,CD-i,COP = ECDC,CD,first,i·AFEC,AC,CD,i, (Е.109)
где
i - при использовании метода интерполяции - индекс L в случае L и индекс H в случае H. Если же метод интерполяции не используется, то под
i понимают ТС, подвергаемое испытанию, и положениями
Е.13.2.2 пренебрегают;
ECDC,CD-i,COP - потребление электроэнергии в режиме расходования заряда ТС i за первый применимый испытательный цикл ВЦИМГ до полной разрядки ПСАЭ при испытании типа 1 в условиях расходования заряда, подлежащее проверке в рамках процедуры испытания на соответствие производства;
ECDC,CD,first,i - потребление электроэнергии в режиме расходования заряда ТС
i за первый применимый испытательный цикл ВЦИМГ до полной разрядки ПСАЭ при испытании типа 1 в условиях расходования заряда, Вт·ч/км, определенное по
Е.4.3;
AFEC,AC,CD,i - поправочный коэффициент для показателя потребления электроэнергии в режиме расходования заряда ТС i, компенсирующий разницу между величиной, заявленной после процедуры испытания типа 1, проведенного при официальном утверждении типа, и результатами замеров, полученными в ходе испытания в рамках процедуры проверки соответствия производства.
По усмотрению договаривающейся стороны для целей расчета AFEC,AC,DC,i выбирают один из следующих вариантов:
а) вариант A

, (Е.110)
где ECAC,CD,declared,i - заявленный показатель потребления электроэнергии в режиме расходования заряда ТС i при испытании типа 1 в условиях расходования заряда согласно Е.1.2.3;
ECAC,CD,i - замеренный показатель потребления электроэнергии в режиме расходования заряда ТС
i при испытании типа 1 в условиях расходования заряда согласно
Е.4.3.1;
б) вариант B

, (Е.111)
где
ECdeclared,i - заявленный показатель потребления электроэнергии ТС
i при испытании типа 1 в условиях расходования заряда согласно
Г.1.2.3;
ECi - замеренный показатель потребления электроэнергии ТС
i при испытании типа 1 в условиях расходования заряда согласно
Е.4.3.1.
Е.13.2.1.1 В случае применения метода интерполяции заявленные и используемые для проверки соответствия производства в отношении потребления электроэнергии ТС H и L значения являются - для целей интерполяции индивидуальных показателей потребления электроэнергии по
Е.13.2.2 - входными значениями.
Е.13.2.2 Интерполяция индивидуальных показателей потребления электроэнергии в режиме расходования заряда для ГЭМ-ВЗУ
Положения настоящего пункта применяют только в случае использования метода интерполяции. Для целей проверки соответствия производства в отношении потребления электроэнергии отдельным ТС заявляют и используют следующий интерполированный показатель потребления электроэнергии ECDC-ind,CD,COP, Вт·ч/км, вычисляемый по формуле
ECDC-ind,CD,COP = ECDC-L,CD,COP +
+ Kind·(ECDC-H,CD,COP - ECDC-L,CD,COP), (Е.112)
где
ECDC-L,CD,COP - потребление электроэнергии в режиме расходования заряда ТС L для целей проверки соответствия производства, Вт·ч/км, определенное по
Е.13.2.1;
ECDC-H,CD,COP - потребление электроэнергии в режиме расходования заряда ТС H для целей проверки соответствия производства, Вт·ч/км, определенное по
Е.13.2.1;
Kind - интерполяционный коэффициент для рассматриваемого отдельного ТС применительно к соответствующему испытательному циклу ВПИМ согласно
Е.4.5.3.
(обязательное)
ОПРЕДЕЛЕНИЕ ЭКВИВАЛЕНТНОСТИ МЕТОДА
Ж.1 Общее требование
По просьбе изготовителя компетентный орган может одобрить применение других методов измерения при условии, что они дают эквивалентные результаты согласно
Ж.1.1. Эквивалентность потенциального метода должна быть подтверждена компетентному органу.
Ж.1.1 Решение относительно эквивалентности
Потенциальный метод считают эквивалентным, если обеспечиваемая им точность и прецизионность являются не менее высокими по сравнению со стандартным методом.
Ж.1.2 Определение эквивалентности
Эквивалентность метода определяют на основе корреляционного анализа потенциального и стандартного методов. Отбираемые для целей испытания на предмет проведения корреляционного анализа методы подлежат утверждению компетентным органом.
Основной принцип определения точности и прецизионности потенциального и стандартного методов закреплен в руководящих положениях части 6 приложения 8
[17].
| TRANS/WP.29/1045 | Специальная резолюция N 1, касающаяся общих определений категорий, масс и размеров транспортных средств (СпР.1) |
| Правила ООН N 83 | Единообразные предписания, касающиеся официального утверждения транспортных средств в отношении выбросов загрязняющих веществ в зависимости от топлива, необходимого для двигателя |
| Правила ООН N 85 | Единообразные предписания, касающиеся официального утверждения двигателей внутреннего сгорания или систем электротяги, предназначенных для приведения в движение механических транспортных средств категорий M и N, в отношении измерения полезной мощности и максимальной 30-минутной мощности систем электротяги |
| ИСО 15031-7:2013 | Транспорт дорожный. Связь между автомобилями и наружным оборудованием для диагностики выбросов автомобиля в окружающий воздух. Часть 7. Безопасность звена данных |
| ECE/TRANS/WP.29/78/Rev.6 | Сводная резолюция о конструкции транспортных средств |
| ИСО 3833:1977 | Транспорт дорожный. Типы. Термины и определения |
| Правила ООН N 117-02 | Единообразные предписания, касающиеся официального утверждения шин в отношении звука, издаваемого ими при качении, их сцепления на мокрых поверхностях и/или сопротивления качению |
| ЕС 1235/2011 | Регламент Комиссии (EU) N 1235/2011 от 29 ноября 2011 г., вносящий изменения в Регламент (ЕС) N 1222/2009 Европейского парламента и Совета в отношении классификации сцепления шин с влажной поверхностью дороги, измерения сопротивления качения и процедуры верификации |
| ИСО 10521-1:2006(Е) | Транспорт дорожный. Нагрузка на дорогу. Часть 1. Определение в нормальных атмосферных условиях |
| ИСО 612:1978 | Транспорт дорожный. Размеры автомобилей и тягачей с прицепами. Термины и определения |
| SAE J1962 | Diagnostic Connector |
| SAE J2572 | Recommended Practice for Measuring Fuel Consumption and Range of Fuel Cell and Hybrid Fuel Cell Vehicles Fuelled by Compressed Gaseous Hydrogen |
| SAE J2951-2014 | Test Method for Resistance of Types 3 and 4 Polyethylene Plastics to Thermal Stress-Cracking (95-1, Item 13) (08.02)/Note: revision of ANSI/ASTM D2951-95*Approved 2000-09-12 |
| МЭК 62053-21 | Аппаратура для измерения электрической энергии. Частные требования. Часть 21. Статические счетчики активной энергии переменного тока (классы точности 0,5, 1 и 2) |
| МЭК 60050-482 | Международный электротехнический словарь. Часть 482. Первичные элементы, аккумуляторы и аккумуляторные батареи |
| SAE J2841 | Utility Factor Definitions for Plug-In Hybrid Electric Vehicles Using Travel Survey Data |
| ИСО 23828:2013 | Дорожный транспорт с топливными ячейками. Измерение потребления энергии. Транспорт на сжатом водороде |
УДК 621:006.354 | |
Ключевые слова: транспортные средства, циклы испытаний, химические соединения, эталонные виды топлива |