Главная // Актуальные документы // ГОСТ Р (Государственный стандарт)СПРАВКА
Источник публикации
М.: ФГБУ "Институт стандартизации", 2023
Примечание к документу
Документ
введен в действие с 01.06.2023.
Название документа
"ГОСТ Р ИСО 4210-4-2023. Национальный стандарт Российской Федерации. Велосипеды. Требования безопасности для велосипедов. Часть 4. Методы испытаний тормозной системы"
(утв. и введен в действие Приказом Росстандарта от 04.05.2023 N 289-ст)
"ГОСТ Р ИСО 4210-4-2023. Национальный стандарт Российской Федерации. Велосипеды. Требования безопасности для велосипедов. Часть 4. Методы испытаний тормозной системы"
(утв. и введен в действие Приказом Росстандарта от 04.05.2023 N 289-ст)
Утвержден и введен в действие
агентства по техническому
регулированию и метрологии
от 4 мая 2023 г. N 289-ст
НАЦИОНАЛЬНЫЙ СТАНДАРТ РОССИЙСКОЙ ФЕДЕРАЦИИ
ВЕЛОСИПЕДЫ
ТРЕБОВАНИЯ БЕЗОПАСНОСТИ ДЛЯ ВЕЛОСИПЕДОВ
ЧАСТЬ 4
МЕТОДЫ ИСПЫТАНИЙ ТОРМОЗНОЙ СИСТЕМЫ
Cycles. Safety requirements for bicycles.
Part 4. Braking test methods
(ISO 4210-4:2014, IDT)
ГОСТ Р ИСО 4210-4-2023
Дата введения
1 июня 2023 года
1 ПОДГОТОВЛЕН Обществом с ограниченной ответственностью "ПРОФИТЕСТ" (ООО "ПРОФИТЕСТ") на основе собственного перевода на русский язык англоязычной версии стандарта, указанного в
пункте 4
2 ВНЕСЕН Техническим комитетом по стандартизации ТК 059 "Внедорожная техника"
3 УТВЕРЖДЕН И ВВЕДЕН В ДЕЙСТВИЕ
Приказом Федерального агентства по техническому регулированию и метрологии от 4 мая 2023 г. N 289-ст
4 Настоящий стандарт идентичен международному стандарту ИСО 4210-4:2014 "Велосипеды. Требования безопасности для велосипедов. Часть 4. Методы испытаний тормозной системы" (ISO 4210-4:2014 "Cycles - Safety requirements for bicycles - Part 4: Braking test methods", IDT).
Международный стандарт разработан Техническим комитетом ТК 149 "Велосипеды" Международной организации по стандартизации (ИСО).
При применении настоящего стандарта рекомендуется использовать вместо ссылочных международных стандартов соответствующие им национальные стандарты, сведения о которых приведены в дополнительном
приложении ДА
5 ВВЕДЕН ВПЕРВЫЕ
Правила применения настоящего стандарта установлены в статье 26 Федерального закона от 29 июня 2015 г. N 162-ФЗ "О стандартизации в Российской Федерации". Информация об изменениях к настоящему стандарту публикуется в ежегодном (по состоянию на 1 января текущего года) информационном указателе "Национальные стандарты", а официальный текст изменений и поправок - в ежемесячном информационном указателе "Национальные стандарты". В случае пересмотра (замены) или отмены настоящего стандарта соответствующее уведомление будет опубликовано в ближайшем выпуске ежемесячного информационного указателя "Национальные стандарты". Соответствующая информация, уведомление и тексты размещаются также в информационной системе общего пользования - на официальном сайте Федерального агентства по техническому регулированию и метрологии в сети Интернет (www.rst.gov.ru)
Международный стандарт разработан в связи с ростом спроса во всем мире и с целью гарантировать, что велосипеды, изготовленные в соответствии с настоящим стандартом, будут настолько безопасными, насколько это практически возможно. Испытания разработаны для обеспечения прочности и долговечности отдельных деталей, а также велосипеда в целом, с требованием высокого качества на протяжении всего жизненного цикла и учета аспектов безопасности, начиная со стадии проектирования. Область применения стандарта ограничена соображениями безопасности. В частности, избегают стандартизации компонентов. Если велосипед предназначен для использования на дорогах общего пользования, применяют национальные правила.
Серия стандартов ИСО 4210 состоит из следующих частей под общим названием "Велосипеды. Требования безопасности для велосипедов":
- Часть 1. Термины и определения;
- Часть 2. Требования к городским, трекинговым (гибридным), подростковым, горным и гоночным велосипедам;
- Часть 3. Общие методы испытаний;
- Часть 4. Методы испытаний тормозной системы;
- Часть 5. Методы испытаний рулевого управления;
- Часть 6. Методы испытаний рамы и вилки;
- Часть 7. Методы испытаний колес и ободов;
- Часть 8. Методы испытаний педалей и системы привода;
- Часть 9. Методы испытаний седла и подседельного штыря.
Настоящий стандарт устанавливает общие методы испытаний тормозной системы для ИСО 4210-2.
В настоящем стандарте использованы нормативные ссылки на следующие стандарты [для датированных ссылок применяют только указанное издание ссылочного стандарта, для недатированных - последнее издание (включая все изменения)]:
ISO 4210-1, Cycles - Safety requirements for bicycles - Part 1: Terms and definitions (Велосипеды. Требования безопасности для велосипедов. Часть 1. Термины и определения)
ISO 4210-2:2014, Cycles - Safety requirements for bicycles - Part 2: Requirements for city and trekking, young adult, mountain and racing bicycles (Велосипеды. Требования безопасности для велосипедов. Часть 2. Требования к городским, трекинговым (гибридным), подростковым, горным и гоночным велосипедам)
В настоящем стандарте применены термины по ИСО 4210-1.
4.1 Размеры тормозной ручки на рукоятке руля
4.1.1 Метод испытаний тормозной ручки, относящейся к типу A или типу B
Приставляют шаблон, изображенный на
рисунке 1, к рукоятке руля или к окончанию рулевого стержня (если изготовитель не комплектует велосипед рукоятками руля) и к тормозной ручке, как показано на
рисунке 2, так чтобы поверхность A контактировала с наконечником рукоятки руля или с окончанием рулевого стержня и боковой поверхностью тормозной ручки. Следует убедиться в том, что поверхность B охватывает область тормозной ручки, которая контактирует с пальцами велосипедиста, при этом шаблон не должен вызывать никакого движения тормозной ручки в направлении рукоятки руля. Измеряют размер
a как расстояние между крайней точкой тормозной ручки до плоскости шаблона, прилегающей к поверхности, предназначенной для контакта с пальцами велосипедиста. Измерения проводят только на полностью собранном велосипеде.
A - поверхность A; B - поверхность B;
C - штырь; D - 75 или 90 мм
Рисунок 1 - Размерный шаблон для тормозных ручек
типа A и типа B
a) Тип A
b) Тип B
Примечание - Приведена минимальная длина наконечника рукоятки руля.
Рисунок 2 - Метод размещения размерного шаблона
на тормозных ручках и рукоятках руля
4.1.2 Метод испытаний тормозной ручки, относящейся к типу C
Накладывают шаблон, изображенный на
рисунке 3 на рукоятку руля и тормозную ручку, как показано на
рисунке 4, так чтобы поверхность A контактировала с рукояткой руля и с тормозной ручкой. Располагают поверхность цилиндра B так, чтобы она соприкасалась с частью рукоятки руля, которая контактирует с рукой велосипедиста, и проверяют выполнение требований.
A - поверхность A; B - поверхность цилиндра; C - штырь
Рисунок 3 - Размерный шаблон для тормозных ручек типа C
Рисунок 4 - Метод размещения размерного шаблона
на тормозных ручках и рукоятках руля для типа C
4.2 Тормозные ручки. Позиционирование прикладываемого усилия
4.2.1 Тормозные ручки типов A и B
Для целей тормозных испытаний в настоящем стандарте для тормозных ручек типов A и B испытательное усилие следует прикладывать на расстоянии
b, которое или равно размеру
a [см. ИСО 4210-2:2014, рисунок 2 a), b)], как определяется в
4.1.1, или 25 мм от свободной оконечности тормозной ручки, выбирая при этом вариант с наибольшим значением [см.
рисунок 5 a),
b)].
F - приложенное усилие; b - >= 25 мм
Рисунок 5 - Позиционирование прикладываемого усилия
на тормозной ручке
4.2.2 Тормозные ручки типа C
Для целей тормозных испытаний в настоящем стандарте для тормозных ручек типа C испытательное усилие следует прикладывать на расстоянии 25 мм от свободной оконечности тормозной ручки [см.
рисунок 5 c)].
4.3 Тормозная колодка и тормозная накладка в сборе с тормозной колодкой. Проверка надежности соединения
Испытания проводят на полностью собранном велосипеде с правильно отрегулированными тормозами, с велосипедистом или эквивалентной массой на седле. Общая масса велосипеда с велосипедистом (или эквивалентной массой) должна составлять 100 кг.
Воздействуют на каждую тормозную ручку усилием 180 Н, приложенным в точке, указанной на
рисунке 5, или с усилием, достаточным для возникновения контакта тормозной ручки с рукояткой руля, выбирая при этом вариант с наименьшим значением. Сохраняют действие указанного усилия, осуществив при этом пять продвижений велосипеда вперед и пять продвижений назад, каждое из которых расстоянием не менее 75 мм.
Затем проводят испытания, описанные в
4.4 или
4.5, по мере необходимости в зависимости от вида тормозов, а затем испытания, описанные в
4.6.
4.4 Тормозные системы с ручным приводом. Прочностные испытания
Проводят испытания на полностью собранном велосипеде. После того, как будет установлено, что тормозная система отрегулирована в соответствии с рекомендациями изготовителя, прикладывают усилие к тормозной ручке в точке, указанной на рисунке 5. Это усилие должно составлять 450 Н или меньше, чтобы:
a) привести тормозную ручку к соприкосновению с рукояткой руля или с окончанием рулевого стержня, в случае когда изготовитель не комплектует велосипед рукоятками руля;
b) к совмещению удлинителя тормозной ручки с поверхностью рулевого стержня или соприкосновению с ним;
c) довести дублирующую ручку тормоза до упора.
Повторяют испытания 10 раз на каждой тормозной ручке, дублирующей ручке тормоза или на удлинителе тормозной ручки.
4.5 Тормозные системы с обратным усилием на педалях. Прочностные испытания
Проводят испытания на полностью собранном велосипеде. После того, как будет установлено, что тормозная система правильно отрегулирована и шатуны педалей находятся в горизонтальном положении, как показано на
рисунке 6, прикладывают вертикально направленное усилие к центру оси левой педали. Прогрессивно увеличивают усилие до 1500 Н и удерживают его в течение 1 мин.
1 - цепь; 2 - ведомая звездочка; 3 - шатун педали
со стороны, противоположной ведущей звездочке;
4 - ведущая звездочка и шатун педали; 5 - точка
приложения усилия; 6 - педаль
Рисунок 6 - Испытание тормозной системы
с обратным усилием на педалях
4.6 Эффективность тормозов
4.6.1 Велосипед для испытаний
Испытания тормозной эффективности проводят на полностью собранном велосипеде после того, как тормоза пройдут испытания на прочность в соответствии с ИСО 4210-2:2014 (пункты 4.6.6 и 4.6.7). Перед проведением испытаний любым методом следует обеспечить требуемое давление в шинах и отрегулировать тормоза в соответствии с инструкциями изготовителя. В случае ободных тормозов регулируют зазор до максимальной величины, оговоренной изготовителем.
4.6.2 Дублирующие ручки тормоза
В случае когда велосипед оснащен дублирующими ручками тормоза, прикрепленными к тормозным ручкам, рулевыми окончаниями или аэродинамическими элементами, необходимо провести отдельные испытания дублирующих ручек тормоза в дополнение к испытаниям без этих элементов.
4.6.3 Метод дорожных испытаний
4.6.3.1 Испытательный трек
a) По возможности используют трек в закрытых помещениях. Если испытания проводят под открытым небом, особое внимание следует уделить условиям окружающей среды.
b) Градиент испытательного трека - не более 0,5%. Если градиент не превышает 0,2%, все заезды проводят в одном направлении. Если градиент находится в пределах от 0,2% до 0,5%, испытания проводят поочередно в разных направлениях.
c) Поверхность трека должна быть твердой, с покрытием из бетона или асфальта, очищенным от частиц грязи или гравия. Минимальный коэффициент сцепления шин велосипеда на сухой поверхности трека - 0,75.
d) Поверхность трека обязательно должна быть сухой в начале испытаний. При испытаниях по требованиям, изложенным в
4.6.3.6, поверхность трека должна быть сухой на протяжении всего периода испытания.
e) Скорость ветра на треке - не более 3 м/с на протяжении всего периода испытаний.
4.6.3.2 Испытательное оборудование
Испытательное оборудование тестового велосипеда или испытательного трека включает:
a) калиброванный спидометр или тахометр (с точностью измерений +/- 5%) для получения велосипедистом информации о приблизительной скорости в начале торможения;
b) прибор регистрации скорости (с точностью измерений +/- 2%) для фиксации скорости в начале торможения;
c) прибор регистрации пройденного расстояния (с точностью измерений +/- 1%) для фиксации тормозного пути;
d) систему распыления воды для смачивания поверхности фрикционных поверхностей тормозов, включающую емкость для воды с трубками, подводящими воду к двум распылителям на переднем колесе и двум распылителям на заднем колесе. В оборудование следует включить быстродействующий клапан с отсечкой, управляемый велосипедистом. Каждый распылитель должен подавать поток воды с интенсивностью не менее 4 мл/с и с температурой окружающей среды. Конкретное расположение и направление действия распылителей в случае ободных тормозов, втулочных тормозов, ленточных тормозов, дисковых тормозов и тормозов с обратным усилием на педали приведено на
рисунках 7 -
13.
Примечание -
Рисунки 7 и
8 для ободных тормозов показывают тормозные скобы с боковым расположением вытягиваемого тросика, хотя аналогичная схема может применяться и для тормозных скоб с центральным расположением вытягиваемого тросика и для кантилеверных тормозов;
e) систему индикации приведения в действие тормозов, фиксирующую независимо друг от друга приведение в действие каждой тормозной ручки или педали.
1 - распылители воды; 2 - корона вилки; 3 - передний
тройник; 4 - обод колеса; 5 - направление вращения
Рисунок 7 - Распылители воды
для ободного тормоза (переднего)
1 - распылители воды; 2 - задний тройник; 3 - рама
велосипеда; 4 - обод колеса: 5 - узел тормоза;
6 - направление вращения колеса
Рисунок 8 - Распылители воды для ободного тормоза (заднего)
1 - распылитель воды; 2 - два распылителя воды;
3 - втулочный тормоз; 4 - направление вращения колеса
Рисунок 9 - Распылители воды для втулочного тормоза
1 - распылитель воды; 2 - рама велосипеда; 3 - задний
тройник; 4 - ленточный тормоз; 5 - задняя втулка;
6 - направление вращения колеса
Рисунок 10 - Распылители воды для ленточного тормоза
1 - передняя втулка; 2 - распылители воды; 3 - гибкая
трубка; 4 - перо передней вилки; 5 - Y-образное соединение;
6 - диск тормоза; 7 - направление вращения колеса;
8 - скоба дискового тормоза
Рисунок 11 - Распылители воды для дискового тормоза
(переднего)
1 - распылители воды; 2 - рама велосипеда; 3 - задняя
втулка; 4 - Y-образное соединение; 5 - диск тормоза;
6 - скоба дискового тормоза; 7 - направление вращения колеса
Рисунок 12 - Распылители воды для дискового тормоза
(заднего)
1 - распылители воды; 2 - задний тройник;
3 - рама велосипеда; 4 - тормозная втулка;
5 - направление вращения колеса
Рисунок 13 - Распылители воды для тормозов
с обратным усилием на педалях
4.6.3.3 Масса велосипеда, велосипедиста и испытательного оборудования
Общая масса велосипеда, велосипедиста и испытательного оборудования должна составлять 100 кг.
При проведении испытаний в условиях влажного покрытия общая масса может уменьшаться в процессе испытаний из-за расхода воды, но к окончанию зачетных заездов общая масса не должна быть менее 99 кг.
В случае когда изготовитель заявляет, что велосипед может перевозить массу такой величины, что сумма этой массы и массы велосипеда превышает 100 кг (60 кг для подросткового велосипеда) относительно некоторой величины, следует принять М, как исходную массу.
Любой дополнительный вес необходимо размещать над задним колесом, перед задней осью.
4.6.3.4 Усилие, прикладываемое к тормозным ручкам
a) Величина и позиционирование усилия на тормозных ручках.
Прикладывают в направлении рукоятки руля усилие, не превышающее 180 Н в точке, как показано на
рисунке 5. Проверяют до и после каждой серии испытательных заездов усилие на тормозной ручке.
b) Опционное устройство приложения тормозного усилия.
Допускается использование испытательного механизма воздействия на тормозную ручку, и в этом случае следует выполнять требования
4.6.3.4, перечисление a), а также предусматривать контроль степени возрастания усилия на тормозную ручку, чтобы 63% требуемой величины усилия достигалось не менее чем за 0,2 с.
4.6.3.5 Притирка тормозных поверхностей
Процедуру притирки тормозных поверхностей необходимо провести на каждом тормозе до начала испытаний тормозных характеристик.
Приводят в действие тормоза на период не менее 3 с, сохраняя устойчивое замедление велосипеда, движущегося со скоростью приблизительно 16 км/ч. Повторяют это действие 10 раз.
4.6.3.6 Метод испытаний - испытательные заезды при сухой поверхности
Разгоняют тестовый велосипед с помощью педалей до достижения испытательной скорости [см. ИСО 4210-2:2014 (таблица 2)]. После этого прекращают воздействие на педали и приводят в действие тормоза. Велосипед должен плавно и безопасно остановиться [см. ИСО 4210-2:2014 (подпункт 4.6.8.2, перечисление a)].
4.6.3.7 Метод испытаний - испытательные заезды при влажной поверхности
Метод испытаний должен соответствовать описанному в
4.6.3.6 с дополнением, что увлажнение тормозной системы (систем) начинается на дистанции не менее чем 25 м до начала торможения и продолжается до момента остановки велосипеда. Излишки воды следует удалять с поверхности испытательного трека в промежутках между заездами.
4.6.3.8 Количество зачетных заездов
a) Если градиент испытательного трека меньше 0,2%, необходимо проведение следующих заездов:
1) пять последовательных заездов в условиях сухой поверхности;
2) два заезда акклиматизации в условиях влажной поверхности (результаты не регистрируются);
3) пять последовательных заездов в условиях влажной поверхности.
b) Если градиент испытательного трека находится в диапазоне от 0,2% до 0,5%, необходимо проведение следующих заездов:
1) шесть последовательных заездов в условиях сухой поверхности с поочередными заездами в обратном направлении;
2) два заезда акклиматизации в условиях влажной поверхности (результаты не регистрируются);
3) шесть последовательных заездов в условиях влажной поверхности с поочередными заездами в обратном направлении.
Между последовательными заездами допускаются паузы длительностью не более 3 мин.
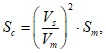
4.6.3.9 Поправочный коэффициент по скорости/пути
Поправочный коэффициент должен применяться к измеренному тормозному пути в том случае, когда скорость, измеренная с использованием прибора отсчета времени, не совпадает со значениями, предписанными ИСО 4210-2:2014 (подпункт 4.6.8.1.1).
Скорректированная величина тормозного пути определяется по формуле

(1)
где Sc - скорректированный тормозной путь, м;
Sm - измеренный тормозной путь, м;
Vs - предписанная скорость испытания, м/с;
Vm - зафиксированная скорость испытания, м/с.
4.6.3.10 Зачет испытательных заездов
a) Испытательный заезд может быть не зачтен, если:
1) имел место чрезмерный боковой занос, вынудивший велосипедиста коснуться ногой опорной поверхности, чтобы не потерять управление;
2) имела место потеря управления.
При некоторых типах тормозных систем может возникнуть вероятность заноса заднего колеса при торможении. Это считается допустимым, если в результате не происходит последствий, описанных в
перечислениях 1) и
2).
b) Если скорректированная величина тормозного пути превышает величину тормозного пути, указанную в ИСО 4210-2:2014 (таблица 2), испытательный заезд не должен быть зачтен, если скорость в начале испытания превышает предписанную величину более чем на 1,5 км/ч, как указано в ИСО 4210-2:2014 (таблица 2).
c) Если скорректированная величина тормозного пути меньше величины тормозного пути, указанной в ИСО 4210-2:2014 (таблица 2), испытательный заезд не должен быть зачтен, если скорость в начале испытания меньше предписанной величины на 1,5 км/ч и более.
Если скорректированная величина тормозного пути превышает величину тормозного пути, указанную в ИСО 4210-2:2014 (таблица 2), испытательный заезд следует зачесть.
4.6.3.11 Результаты испытаний
a) Торможение на сухой поверхности.
Для соответствия требованиям ИСО 4210-2:2014 (подпункт 4.6.8.1.1) упомянутые выше средние значения не должны превышать соответствующие значения тормозного пути, указанные в ИСО 4210-2:2014 (таблица 2).
b) Торможение на влажной поверхности.
Для соответствия требованиям ИСО 4210-2:2014 (подпункт 4.6.8.1.1) упомянутые выше средние значения не должны превышать соответствующие значения тормозного пути, указанные в ИСО 4210-2:2014 (таблица 2).
c) Соотношение между характеристиками торможения на влажной и сухой поверхности для городских, трекинговых (гибридных), подростковых и горных велосипедов.
Из-за того, что тормозной путь на сухом и влажном покрытии измеряется при различных испытательных скоростях, простое сравнение величин тормозного пути не имеет смысла. В связи с этим сравнение должно проводиться на уровне эквивалентных, вычисляемых по
формуле (2) величин:

(2)
где
- скорректированный тормозной путь на сухом покрытии, м;

- скорректированный тормозной путь на влажном покрытии, м.
4.6.4 Испытания на линейность характеристики тормозов с обратным усилием на педали
Эти испытания проводят на полностью собранном велосипеде. Тормозная сила для тормозов с обратным усилием на педали измеряется касательно к окружности шины заднего колеса, когда колесо вращается в направлении движения вперед и усилие на педали в диапазоне от 90 до 300 Н приложено под прямым углом к шатуну в направлении торможения.
Показания тормозной силы снимают при постоянном нажатии и после одного оборота колеса. Необходимо получить как минимум пять результатов, каждый при разном уровне усилия на педали. Каждый результат представляет собой среднее значение трех отдельных показаний при одном и том же уровне нагрузки.
Результаты следует нанести на график, показывающий линию наилучшего соответствия и линии пределов +/- 20%, полученные методом наименьших квадратов, приведенным в
приложении A.
4.6.5 Метод испытаний на стенде
4.6.5.1 Общие положения
Испытательный стенд позволяет рассчитать тормозной путь как для обоих тормозов, так и только для заднего тормоза на основе измерений отдельных тормозных сил передних и задних тормозов на барабане или на движущейся ленте.
FOp - тормозное усилие (т.е. усилие, приложенное к тормозному рычагу или педали);
FOp intend - предопределенное тормозное усилие (т.е. 40, 60, 80 Н и т.д.);
FOp rec - зарегистрированное тормозное усилие (т.е. 38, 61, 79 Н и т.д.);
FBr - тормозная сила;
FBr rec - зарегистрированная тормозная сила;
FBr corr - скорректированная тормозная сила (скорректированная по разнице между предопределенным тормозным усилием FOp intend и зарегистрированным тормозным усилием FOp rec);
FBr average - среднее арифметическое трех значений скорректированной тормозной силы FBr corr для одного уровня тормозного усилия FOp intend;
FBr max - максимальное значение FBr average;
- тормозная сила на сухой поверхности;
- тормозная сила на влажной поверхности.
При испытании методами, описанными в
4.6.5.7, перечисление c), пункты 1) и
2), среднее тормозное усилие
FBr average должно быть линейно пропорционально (в пределах +/- 20%) постепенно увеличивающимся предопределенным тормозным усилиям
FOp intend. Требование применяется к среднему тормозному усилию
FBr average, равному и превышающему 80 Н (см.
приложение A).
4.6.5.4 Испытательный стенд
Испытательный стенд включает в себя систему, которая приводит в движение колесо во время испытания за счет контакта с шиной, и средства измерения тормозной силы; типичные примеры двух типов стендов приведены на
рисунках 14 и
15.
|
a) Проверка переднего тормоза | b) Проверка заднего тормоза |
1 - датчик тормозной силы; 2 - приложенная нагрузка;
3 - дополнительная масса; 4 - направление вращения барабана
Рисунок 14 - Испытательный стенд для определения
эффективности тормозов. Тип с единственным барабаном
1 - датчик тормозной силы; 2 - приложенная нагрузка;
3 - дополнительная масса; 4 - направление движения
движущейся дорожки
Рисунок 15 - Испытательный стенд для определения
эффективности тормозов. Тип с движущейся дорожкой
На
рисунке 14 изображен стенд, в котором барабан приводит в движение отдельные колеса, а на
рисунке 15 - стенд, в котором движущаяся дорожка контактирует с обоими колесами. Допускаются стенды других типов при условии, что они отвечают конкретным требованиям, перечисленным ниже, и требованиям
4.6.5.5 и
4.6.5.6.
Конкретные требования заключаются в следующем:
a) линейная скорость шины в контакте составляет 12,5 км/ч и контролируется в пределах +/- 5%;
b) необходимо предусмотреть средства поперечной фиксации испытываемого колеса, которые не влияют на измерение тормозной силы;
c) следует предусмотреть средства бокового приложения усилий к тормозным рычагам в точке, указанной на
рисунке 5, с шириной контакта на рычаге не более 5 мм. В случае тормозов с обратным усилием на педали также требуется средство приложения усилия к педали.
4.6.5.5 Средства измерения
Испытательный стенд необходимо оборудовать следующими средствами измерений и оборудованием:
a) прибором для измерения и регистрации скорости в контакте шины с погрешностью измерения +/- 2%;
b) прибором для измерения и регистрации тормозной силы (например, см.
рисунки 14 и
15) с погрешностью +/- 5%;
c) прибором для измерения и регистрации тормозных усилий, прикладываемых к тормозным рычагам или к педали с погрешностью измерения +/- 1%;
d) системой для распыления воды для обеспечения увлажнения тормозов велосипеда, состоящей из резервуара для воды, соединенного трубками с двумя распылителями, установленными, как показано на
рисунке 16. Каждый распылитель должен обеспечивать подачу воды с температурой окружающей среды и интенсивностью не менее 4 мл/с. Колесо должно быть окружено распылителями таким образом, чтобы кроме обода любая тормозная втулка или дисковый тормоз были полностью смочены перед началом испытаний;
e) системой нагружения колес велосипеда в направлении приводного устройства (см.
4.6.5.6).

- от 90° до 120°;

- от 30° до 60°;
a - от 150 до 200 мм; 1 - распылители воды
Примечание - Применимо для всех типов тормозов.
Рисунок 16 - Установка распылителей воды
для испытания тормозов с увлажнением
4.6.5.6 Вертикальная нагрузка на испытываемое колесо
Испытываемое колесо направляют вертикально вниз, так чтобы колесо не проскальзывало при испытании в соответствии с
4.6.5.7, перечисление c), пункты 1) и
2). Необходимое усилие допускается прикладывать в любом месте велосипеда (ось колеса, каретка, подседельный штырь и т.д.) при условии, что оно направлено вертикально вниз.
a) Общие положения.
Передние и задние колеса испытывают по отдельности.
b) Приработка тормозных поверхностей.
Перед проведением проверки эффективности осуществляют приработку каждого тормоза.
Чтобы определить тормозное усилие, которое будет использоваться во время процесса приработки, устанавливают и загружают велосипед на испытательном стенде с движущейся дорожкой или барабаном, работающими с заданной скоростью, и прикладывают достаточно высокое тормозное усилие к тормозному рычагу или педали, чтобы достичь тормозной силы 200 Н +/- 10%. Поддерживают это тормозное усилие не менее 2,5 с и регистрируют данное значение приложенного тормозного усилия.
Повторяют процедуру (прикладывая тормозное усилие, определенное в предыдущем параграфе с точностью до +/- 5%) 10 раз или, если необходимо, с

числом повторений, пока средняя тормозная сила при любом из трех последних испытаний не будет отклоняться более чем на +/- 10% от средней тормозной силы по этим трем испытаниям.
c) Испытание на эффективность торможения:
1) испытание при сухих поверхностях.
Для ручных тормозов, приложив к велосипеду вертикальную силу, достаточную для предотвращения скольжения шины на испытываемом колесе, разгоняют приводной механизм до заданной скорости, затем прилагают тормозное усилие с шагом 20 Н, начиная с 40 Н или до 180 Н (в случае подростковых велосипедов до 120 Н), или до тормозного усилия, необходимого для достижения тормозной силы не менее 700 Н, в зависимости от того, какое из значений меньше. Однако, если колесо блокируется в случае срабатывания какого-либо возможного устройства защиты от перегрузки тормоза или если ручной рычаг касается руля, тормозное усилие не увеличивают. Для каждого приращения приложенного тормозного усилия выполняют три теста в течение 1 мин. Перед применением следующего уровня тормозного усилия дают тормозу остыть в течение 1 мин.
Для тормозов с обратным усилием на педали прикладывают к велосипеду вертикальную силу, достаточную для предотвращения скольжения шины на испытываемом колесе, разгоняют приводной механизм до заданной скорости, а затем прилагают тормозное усилие с шагом 50 Н, начиная с 100 Н или до 350 Н, или до усилия, необходимого для достижения тормозной силы не менее 400 Н, в зависимости от того, что меньше. Однако, если колесо блокируется в случае срабатывания какого-либо возможного устройства защиты от перегрузки тормоза, тормозное усилие не увеличивают. Для каждого приращения приложенного тормозного усилия выполняют три теста в течение 1 мин. Перед применением следующего уровня тормозного усилия дают тормозу остыть в течение 1 мин.
Приложенные тормозные усилия должны находиться в пределах +/- 10% от предполагаемых тормозных усилий, применяться, как указано на
рисунках 5,
6 и
4.6.5.4, перечисление c), регистрироваться с точностью +/- 1% и прилагаться полностью в течение 1,0 с после начала торможения.
Для каждого приращения тормозного усилия регистрируют значение тормозной силы FBr rec в течение периода от 2,0 до 2,5 с, при этом измерения следует начинать с 0,5 до 1,0 с после начала торможения. Регистрируют FBr rec как среднюю тормозную силу за этот период измерения.
Время начала измерения тормозной силы зависит от скорости приложения тормозного усилия. Если тормозное усилие полностью приложено менее чем через 0,5 с после начала торможения, необходимо начать измерение через 0,5 с. Однако, если тормозное усилие полностью приложено между 0,5 и 1,0 с после начала торможения, необходимо начать измерение, когда тормозное усилие полностью приложено;
2) испытания с увлажнением.
Метод должен быть таким, как указано в
4.6.5.7, перечисление c), пункт 1), с дополнением, что смачивание тормозной системы следует начинать не менее чем за 5,0 с до начала торможения и продолжать до окончания периода измерения. Распылители для воды необходимо располагать в соответствии с рисунком 16.
d) Корректировка тормозной силы.
Каждую зарегистрированную тормозную силу FBr rec корректируют для любой разницы между зарегистрированным тормозным усилием и предопределенным тормозным усилием. Скорректированную тормозную силу рассчитывают путем умножения зарегистрированной тормозной силы FBr rec на поправочный коэффициент, который представляет собой соотношение между предопределенным тормозным усилием FOp intend и зарегистрированным тормозным усилием FOp rec.
Пример - Зарегистрированная тормозная сила FBr rec = 225 Н.
Предопределенное тормозное усилие FOp intend = 180 Н.
Зарегистрированное тормозное усилие FOp rec = 184 Н.
Поправочный коэффициент = 180/184.
Скорректированная тормозная сила FBr corr = 225·(180/184).
e) Результаты испытаний.
Выбирают из записей максимальное значение тормозной силы на выходе FBr max для каждой комбинации колес (передних или задних) и для каждого условия испытания (с влажными или сухими поверхностями).
Значение эффективности торможения рассчитывают по формуле

(3)
где Bp - значение эффективности торможения, Н;
FBr max - максимальное значение FBr average, Н;
m - стандартная масса велосипеда, определенная, как 100 кг для взрослого и 60 кг для подросткового велосипедов, кг;
M - максимальная допустимая суммарная масса, указываемая изготовителем в соответствии с ИСО 4210-2:2014 [раздел 5, перечисление h)], кг.
Если изготовитель указывает, что велосипед может перевозить такую массу, что сумма этой массы и массы велосипеда превышает 100 кг (60 кг для подросткового велосипеда) относительно некоторой величины M', для расчета применяется величина M в качестве суммарной массы.
f) Линейность.
Наносят на график рассчитанные средние значения
FBr average (среднее арифметическое трех скорректированных тормозных сил для каждого уровня тормозного усилия) в сравнении с эквивалентными значениями предопределенного тормозного усилия
FOp intend для оценки линейности в соответствии с требованиями
4.6.5.3. Затем наносят результаты на график, показывающий линию наилучшего соответствия и линии пределов +/- 20%, полученные методом наименьших квадратов, указанным в
приложении A.
g) Соотношение между торможением на мокрой и сухой дороге для городских и трекинговых (гибридных), подростковых и горных велосипедов.
Для любого тормозного усилия
FOp, для которого измеренная тормозная сила при сухой поверхности (среднее значение

) больше 200 Н, соотношение между измеренной тормозной силой во влажных условиях (среднее значение

) и измеренной тормозной силой в условиях сухих поверхностей (среднее значение

) должно быть больше 40%.
Для каждого
FOp, где среднее значение

, определяют, были ли выполнены требования, используя формулу

(4)
h) Простое испытание на треке [см. ИСО 4210-2:2014 (подраздел 4.19)].
После завершения испытания на стенде проводят короткое простое испытание на треке с постепенно увеличивающимися тормозными усилиями, чтобы определить, приводит ли торможение к плавной и безопасной остановке велосипеда.
Примечание - Это испытание допускается совместить с испытанием полностью собранного велосипеда.
4.7 Тормоза. Испытания на термостойкость
Приводят в движение колесо с шиной в сборе с включенным тормозом на стенде, как описано в
4.6.5.5 при скорости 12,5 км/ч +/- 5% при скорости охлаждающего воздуха навстречу движению 12,5 км/ч +/- 10%, чтобы была достигнута общая энергия торможения
E, (Вт·ч) +/- 5%, указанная в
таблице 1. Продолжительность испытания должна составлять (15 +/- 2) мин.
Дают тормозу остыть до температуры окружающей среды, а затем повторяют цикл испытаний.
Допускается не более 10 прерываний на цикл испытаний, каждое с максимальной продолжительностью 10 с.
Энергию торможения E, Вт·ч, рассчитывают по формуле
E = FBr·VBr·T, (5)
где FBr - тормозная сила, Н;
VBr - линейная скорость по периферии шины (т.е. 12,5 км/ч = 3472 м/с), м/с;
T - продолжительность каждого цикла испытаний (без перерывов) (т.е. 15 мин = 0,25 ч), ч.
Таблица 1
Суммарная энергия торможения
Тип велосипеда | Городские и трекинговые (гибридные) велосипеды | Подростковые велосипеды | Горные велосипеды | Гоночные велосипеды |
Суммарная энергия торможения E, Вт·ч | 55 | 55 | 75 | 75 |
После проведения испытания тормоза проходят соответствующие этапы испытаний, описанные в
4.6.5, чтобы проверить выполнение требований ИСО 4210-2:2014 (подпункт 4.6.9.2).
(справочное)
ПОЯСНЕНИЯ ОТНОСИТЕЛЬНО ПРИМЕНЕНИЯ МЕТОДА
НАИМЕНЬШИХ КВАДРАТОВ ДЛЯ ПОЛУЧЕНИЯ АППРОКСИМИРУЮЩИХ
И ОГРАНИЧИВАЮЩИХ ЛИНИЙ +/- 20%, ОПРЕДЕЛЯЮЩИХ ЛИНЕЙНОСТЬ
ТОРМОЗНОЙ ХАРАКТЕРИСТИКИ
Данные, записанные в ходе испытания по
4.6.5.7, должны находиться в окрестности некоторой прямой, которую возможно провести через массив полученных точек. Хотя на практике аппроксимирующую прямую допускается проводить "на глаз", метод наименьших квадратов, описываемый в настоящем разделе, обеспечивает критерий минимизации отклонений и позволяет построить прямую, которая может быть обоснованно названа наилучшей аппроксимацией.
Наилучшая аппроксимация представляет собой прямую, обеспечивающую минимум суммы квадратов разностей экспериментальных и расчетных (аппроксимированных) значений.
Функциональную зависимость между переменными допускается представить в следующем виде:
y = a + bx, (A.1)
где x - независимая переменная, которая точно известна (в данном случае нагрузка, приложенная к педали);
y - зависимая переменная, которая известна с некоторой степенью неопределенности (в данном случае тормозная сила, приложенная к колесу);
a и b - неизвестные константы, которые необходимо определить.
При наличии n экспериментальных записей данное выражение возможно разрешить путем отыскания минимальной суммы квадратов разностей:

(A.2)
Принимая

и

, (A.3)
получаем

(A.4)
Параметр a выражают следующим образом:

(A.5)
Например, представленные ниже четыре значения
x и
y записаны в ходе испытания; затем значения

,

,

и

рассчитываются следующим образом:
N | x (сила на педали), Н | y (тормозная сила), Н |
1 | 90 | 90 |
2 | 150 | 120 |
3 | 230 | 160 |
4 | 300 | 220 |
Сумма | | |
Значение | | |
N | xy | x2 |
1 | 8100 | 8100 |
2 | 18000 | 22500 |
3 | 36800 | 52900 |
4 | 66000 | 90000 |
Сумма | | |
Таким образом, уравнение прямой, обеспечивающей наилучшую аппроксимацию, имеет следующий вид:
y = 30,8 + 0,60x,
а уравнения +/- 20% ограничивающих линий:
Графическое представление результатов расчета показано на
рисунке А.1.
Y - тормозная сила, Н; X - сила на педали, Н;
1 - ограничение +20%; 2 - наилучшая аппроксимация;
3 - ограничение минус 20%
Рисунок А.1 - Зависимость тормозной силы от силы на рычаге
или на педали, ее наилучшая аппроксимация и линии
ограничения +/- 20%
(справочное)
СВЕДЕНИЯ О СООТВЕТСТВИИ ССЫЛОЧНЫХ МЕЖДУНАРОДНЫХ
СТАНДАРТОВ НАЦИОНАЛЬНЫМ СТАНДАРТАМ
Таблица ДА.1
Обозначение ссылочного международного стандарта | Степень соответствия | Обозначение и наименование соответствующего национального стандарта |
ISO 4210-1 | IDT | |
ISO 4210-2:2014 | IDT | ГОСТ Р ИСО 4210-2-2023 "Велосипеды. Требования безопасности для велосипедов. Часть 2. Требования к городским, трекинговым (гибридным), подростковым, горным и гоночным велосипедам" |
Примечание - В настоящей таблице использовано следующее условное обозначение степени соответствия стандартов: - IDT - идентичные стандарты. |
[1] | ISO 4210-3:2014 | Cycles - Safety requirements for bicycles - Part 3: Common test methods (Велосипеды. Требования безопасности для велосипедов. Часть 3. Общие методы испытаний) |
УДК 629.322:006.354 | |
Ключевые слова: велосипеды, тормозные системы, испытания, испытательный стенд |