Главная // Актуальные документы // ГОСТ Р (Государственный стандарт)СПРАВКА
Источник публикации
М.: ФГБУ "РСТ", 2022
Примечание к документу
Документ
введен в действие с 01.10.2023.
Название документа
"ГОСТ Р ИСО 20776-1-2022. Национальный стандарт Российской Федерации. Исследование чувствительности инфекционных агентов и оценка функциональных характеристик изделий для исследования чувствительности к антимикробным средствам. Часть 1. Референтный метод микроразведений в бульоне для лабораторного исследования активности антимикробных агентов по отношению к быстрорастущим аэробным бактериям, вызывающим инфекционные заболевания"
(утв. и введен в действие Приказом Росстандарта от 10.11.2022 N 1266-ст)
"ГОСТ Р ИСО 20776-1-2022. Национальный стандарт Российской Федерации. Исследование чувствительности инфекционных агентов и оценка функциональных характеристик изделий для исследования чувствительности к антимикробным средствам. Часть 1. Референтный метод микроразведений в бульоне для лабораторного исследования активности антимикробных агентов по отношению к быстрорастущим аэробным бактериям, вызывающим инфекционные заболевания"
(утв. и введен в действие Приказом Росстандарта от 10.11.2022 N 1266-ст)
Утвержден и введен в действие
по техническому регулированию
и метрологии
от 10 ноября 2022 г. N 1266-ст
НАЦИОНАЛЬНЫЙ СТАНДАРТ РОССИЙСКОЙ ФЕДЕРАЦИИ
ИССЛЕДОВАНИЕ ЧУВСТВИТЕЛЬНОСТИ ИНФЕКЦИОННЫХ АГЕНТОВ И ОЦЕНКА
ФУНКЦИОНАЛЬНЫХ ХАРАКТЕРИСТИК ИЗДЕЛИЙ ДЛЯ ИССЛЕДОВАНИЯ
ЧУВСТВИТЕЛЬНОСТИ К АНТИМИКРОБНЫМ СРЕДСТВАМ
ЧАСТЬ 1
РЕФЕРЕНТНЫЙ МЕТОД МИКРОРАЗВЕДЕНИЙ В БУЛЬОНЕ
ДЛЯ ЛАБОРАТОРНОГО ИССЛЕДОВАНИЯ АКТИВНОСТИ
АНТИМИКРОБНЫХ АГЕНТОВ ПО ОТНОШЕНИЮ К БЫСТРОРАСТУЩИМ
АЭРОБНЫМ БАКТЕРИЯМ, ВЫЗЫВАЮЩИМ ИНФЕКЦИОННЫЕ ЗАБОЛЕВАНИЯ
Susceptibility testing of infectious agents and evaluation
of performance of antimicrobial susceptibility test devices.
Part 1. Broth microdilution reference method for laboratory
testing of the activity of antimicrobial agents against
rapidly growing infectious disease-causing aerobic bacteria
(ISO 20776-1:2019, Susceptibility testing of infectious
agents and evaluation of performance of antimicrobial
susceptibility test devices - Part 1: Broth microdilution
reference method for testing the in vitro activity
of antimicrobial agents against rapidly growing
aerobic bacteria involved in infectious diseases, IDT)
ГОСТ Р ИСО 20776-1-2022
Дата введения
1 октября 2023 года
1 ПОДГОТОВЛЕН Ассоциацией специалистов и организаций лабораторной службы "Федерация лабораторной медицины" (Ассоциация "ФЛМ") на основе собственного перевода на русский язык англоязычной версии стандарта, указанного в
пункте 4
2 ВНЕСЕН Техническим комитетом по стандартизации ТК 380 "Клинические лабораторные исследования и диагностические тест-системы ин витро"
3 УТВЕРЖДЕН И ВВЕДЕН В ДЕЙСТВИЕ
Приказом Федерального агентства по техническому регулированию и метрологии от 10 ноября 2022 г. N 1266-ст
4 Настоящий стандарт идентичен международному стандарту ИСО 20776-1:2019 "Определение чувствительности возбудителей инфекционных болезней к антимикробным препаратам и оценка функциональных характеристик изделий для ее определения. Часть 1. Референтный метод микроразведений в бульоне для исследования активности in vitro антимикробных препаратов в отношении быстрорастущих аэробных бактерий, вызывающих инфекционные болезни" (ISO 20776-1:2019 "Susceptibility testing of infectious agents and evaluation of performance of antimicrobial susceptibility test devices - Part 1: Broth microdilution reference method for testing the in vitro activity of antimicrobial agents against rapidly growing aerobic bacteria involved in infectious diseases", IDT).
Международный стандарт разработан Техническим комитетом ТК 212 "Клинические лабораторные исследования и диагностические тест-системы in vitro" Международной организации по стандартизации (ИСО).
Наименование настоящего стандарта изменено относительно наименования международного стандарта для приведения в соответствие с ГОСТ Р 1.5-2012
(пункт 3.5).
Дополнительные сноски в тексте стандарта, выделенные курсивом, приведены для пояснения текста оригинала
Правила применения настоящего стандарта установлены в статье 26 Федерального закона от 29 июня 2015 г. N 162-ФЗ "О стандартизации в Российской Федерации". Информация об изменениях к настоящему стандарту публикуется в ежегодном (по состоянию на 1 января текущего года) информационном указателе "Национальные стандарты", а официальный текст изменений и поправок - в ежемесячном информационном указателе "Национальные стандарты". В случае пересмотра (замены) или отмены настоящего стандарта соответствующее уведомление будет опубликовано в ближайшем выпуске ежемесячного информационного указателя "Национальные стандарты". Соответствующая информация, уведомление и тексты размещаются также в информационной системе общего пользования - на официальном сайте Федерального агентства по техническому регулированию и метрологии в сети Интернет (www.rst.gov.ru)
Чувствительность к антимикробным препаратам in vitro определяют для микроорганизмов, которые являются предполагаемыми возбудителями заболевания, особенно если есть подозрение, что они принадлежат к виду, который мог бы проявлять резистентность (устойчивость) к часто используемым антимикробным препаратам. Данные испытания также важны для эпидемиологического наблюдения за антибиотикорезистентностью, эпидемиологических исследований чувствительности и сравнения новых и существующих антибактериальных препаратов.
Методы разведения используют для определения минимальной подавляющей концентрации (МПК) антимикробных препаратов с целью определения чувствительности микроорганизмов к антимикробным средствам. Методы определения МПК используют для эпидемиологического наблюдения за антибиотикорезистентностью, выявления и определения фенотипов дикого типа, сравнительных исследований новых препаратов, определения чувствительности микроорганизмов, для которых рутинные исследования дают результаты, которые нельзя интерпретировать однозначно или которые могут быть ненадежными, а также в случаях, когда количественный результат требуется для клинического применения. Методами разведений проверяют способность микроорганизмов образовывать видимый рост в бульоне (или бульонной среде), содержащем последовательные разведения антимикробного препарата, или на ряде чашек с агаром (разведение в агаре).
Наименьшую концентрацию антимикробного препарата (выраженную в мг/л), которая при заданных условиях in vitro подавляет появление видимого роста микроорганизма в пределах заданного промежутка времени, называют минимальной подавляющей концентрацией (МПК). МПК служит руководством для клинициста относительно чувствительности организма к антибактериальному агенту и помогает в принятии решений о проведении лечения. Необходимы тщательный контроль и стандартизация внутри- и межлабораторной воспроизводимости, поскольку результаты могут значительно различаться в зависимости от используемого метода. Значения МПК для контрольных штаммов должны находиться в допустимом интервале значений (обычно два-три двукратных разведения); предпочтительнее, если они соответствуют целевому значению допустимого интервала.
Метод разведений в бульоне - метод, при котором контейнеры, содержащие равные объемы растворов бульона с антибактериальными средствами в возрастающих (обычно в геометрической прогрессии) концентрациях, инокулируют известным количеством микроорганизмов.
Методы последовательных (серийных) разведений - выполнение разведений в бульоне на планшетах для микроразведения.
Метод, описанный в настоящем стандарте, предназначен для определения чувствительности чистых культур аэробных бактерий, быстрорастущих на агаре в течение 12 - 18 ч инкубации и в бульоне Мюллера - Хинтон (объемом <= 200 мкл), модификация которого может потребоваться в зависимости от исследуемого антимикробного препарата.
Метод микроразведений в бульоне, описанный в настоящем стандарте, в общем и целом аналогичен методам, используемым во многих странах, и методу, приведенному в
[1] и
[2]. Данные методы основаны на принципах, описанных в
[3].
ПРЕДОСТЕРЕЖЕНИЕ - Применение настоящего стандарта может быть связано с использованием опасных материалов, операций и оборудования. Настоящий стандарт не затрагивает решения проблем безопасности, связанных с его использованием. Пользователь настоящего стандарта несет ответственность за установление соответствующих мер безопасности, условий охраны здоровья и определение применимости регулирующих ограничений перед использованием стандарта.
Настоящий стандарт устанавливает референтный метод микроразведения в бульоне для определения МПК. МПК отражает активность препарата в приведенных в настоящем стандарте условиях проведения теста и может быть использована клиницистами для целей лечения, принимая в расчет другие факторы, такие как фармакология препарата или механизмы резистентности бактерий. Это позволяет классифицировать бактерии как "чувствительные" (S), "умеренно резистентные" (I) и "резистентные" (R). Кроме того, распределения МПК могут использоваться для определения дикого или недикого типа бактериальной популяции. Несмотря на то, что клиническая интерпретация значения МПК не является предметом настоящего стандарта, для облегчения клинической интерпретации при исследовании некоторых комбинаций антимикробных препаратов и бактерий требуется модификация основного метода. Эти модификации приведены в
приложении A. Чтобы гарантировать сопоставимость и достоверность результатов при использовании других методов исследования чувствительности как без применения приборов (например, диск-диффузионных), так и с использованием диагностических анализаторов, необходимо использовать для их валидации данный референтный метод.
В настоящем стандарте нормативные ссылки отсутствуют.
В настоящем стандарте применены термины по ИСО 15189, а также следующие термины с соответствующими определениями.
Терминологические базы данных ИСО и МЭК доступны по следующим интернет-адресам:
- платформа онлайн-просмотра ИСО по адресу: http://www.iso.org/obp;
- электропедия МЭК по адресу: http://www.electropedia.org/.
3.1 антимикробный препарат (antimicrobial agent): Вещество биологического, полусинтетического или синтетического происхождения, которое ингибирует рост бактерий или убивает их и таким образом может быть использовано для лечения инфекций.
Примечание 1 - Дезинфицирующие средства, антисептики и консерванты не включены в это определение.
3.2 активность (potency): Мера противомикробного действия препарата, выраженная в его количестве, необходимом для получения эффекта заданной интенсивности.
Примечание 1 - Активность выражают в виде массовой концентрации в миллиграммах на грамм, или в виде содержания активности в международных единицах (МЕ) на грамм, или в виде объемной или массовой доли в процентах, или в виде концентрации количества вещества (молярная доля) в молях на литр компонентов в тестируемом препарате.
3.3 концентрация (concentration): Количество антимикробного препарата в определенном объеме жидкости.
Примечание 1 - Концентрацию выражают в мг/л.
Примечание 2 - мг/л - единица, рекомендуемая ИСО.
3.4 базовый [основной] раствор (stock solution): Первоначальный раствор, используемый для дальнейших разведений.
3.5 минимальная подавляющая концентрация; МПК (minimum inhibitory concentration; MIC): Наименьшая концентрация, которая при определенных условиях in vitro предотвращает видимый рост бактерий в течение определенного промежутка времени.
Примечание 1 - МПК выражают в мг/л.
3.6 пограничное значение; BP (breakpoint, BP): Определенные значения параметров, например МПК, на основе которых бактерии могут быть отнесены по клиническим категориям к "чувствительным", "умеренно резистентным" и "резистентным".
Примечание 1 - Действующие пограничные значения для интерпретации результатов приведены в актуальных публикациях организаций, использующих данный референтный метод (таких, как CLSI и EUCAST).
3.7 дикий тип (wild type): Отсутствие приобретенных механизмов резистентности к антимикробному препарату у данного штамма.
3.8 референтный [контрольный] штамм (reference strain): Каталогизированные, охарактеризованные бактерии со стабильными определенными фенотипами и/или генотипами чувствительности к антимикробным препаратам.
Примечание 1 - Контрольные штаммы хранят в качестве исходных культур, из которых получают рабочие культуры. Их получают из признанных коллекций культур и можно использовать для контроля качества.
3.9 разведение в бульоне (broth dilution): Техника, при которой емкости заполняют соответствующими объемами раствора антимикробного препарата в возрастающих (обычно вдвое) концентрациях и соответствующими объемами бульона с определенным инокулюмом.
Примечание 1 - Цель данного метода - определение МПК.
3.10 микроразведение (microdilution): Выполнение разведения среды в планшетах для микроразведения вместимостью 200 мм3 (мкл) на лунку.
3.11 бульон (broth): Жидкая среда, используемая для роста бактерий in vitro.
Примечание 1 - Для выполнения референтного метода используют стандартный бульон Мюллера - Хинтон (см.
приложение A).
3.12 инокулюм (посевной материал/инфекционный материал) (inoculum): Число бактерий в суспензии, рассчитанное относительно окончательного объема.
Примечание 1 - Инокулюм выражают в колониеобразующих единицах в миллилитре (КОЕ/мл).
3.13 инокулюм-эффект (inoculum effect): Изменение МПК, связанное с изменением концентрации инокулюма, выраженном в КОЕ/мл.
4 Проведение исследования
4.1 Общие положения
Рабочие растворы распределяют в планшеты для микроразведения по 50 мкл на лунку с удвоенной предполагаемой окончательной концентрацией антимикробного препарата (и последующим добавлением бактериального инокулюма в объем 50 мкл в каждую лунку) или по 100 мкл на лунку с предполагаемой окончательной концентрацией антимикробного препарата (и последующим добавлением инокулюма в объеме не более 10 мкл). По крайней мере одна лунка, содержащая 50 мкл или 100 мкл питательной среды без антимикробного препарата, должна быть использована как контроль роста для каждого проверяемого штамма. Аналогично одна лунка, содержащая 100 мкл среды без антимикробного препарата, должна быть оставлена неинокулированной и использована для отрицательного контроля для каждого проверяемого штамма.
4.2 Питательная среда
Следует использовать бульон Мюллера - Хинтон (более подробное описание - см.
приложения A и
D).
4.3 Антимикробные препараты
4.3.1 Общие положения
Антимикробные препараты должны быть получены непосредственно от изготовителя или из надежных коммерческих источников <*>; использование лекарственных средств неприемлемо. Антимикробные препараты должны поставляться в виде порошка с указанием номера партии, активности, срока действия и подробным описанием рекомендованных условий хранения. Субстанции следует хранить в плотно закрытых контейнерах в темном месте с влагопоглотителем при рекомендованной изготовителем температуре. Гигроскопические препараты должны быть распределены на аликвоты, при каждом проведении исследования используют одну из них.
--------------------------------
<*> В Российской Федерации в качестве антимикробных препаратов применяют зарегистрированные в установленном порядке медицинские изделия для диагностики ин витро.
Чтобы избежать конденсации, контейнеры перед вскрытием согревают до комнатной температуры.
4.3.2 Приготовление базовых (основных) растворов
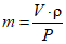
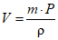
Для взвешивания антимикробных препаратов следует использовать калиброванные аналитические весы. Количество действующей субстанции антимикробного препарата с учетом ее активности или объема разбавителя, необходимого для приготовления стандартного раствора, вычисляют по формулам:

, (1)

, (2)
где m - масса антимикробного препарата (порошка), г;
V - объем разбавителя, л;

- концентрация базового раствора, мг/л;
P - активность антимикробного препарата (порошка), мг/г.
Концентрация базовых растворов должна составлять 1000 мг/л или больше, вместе с тем растворимость некоторых препаратов может не обеспечивать данную концентрацию. Фактические концентрации базовых растворов зависят от метода подготовки рабочих растворов (последовательных разведений). Препараты растворяют и разводят стерильной дистиллированной водой, если изготовителем не установлено иное. Для некоторых препаратов следует использовать альтернативные растворители (см.
приложение B).
Примечание - Информация о наиболее подходящих растворителе и разбавителе новых антимикробных препаратов, не приведенных в
приложении, должна быть указана в информации, предоставленной изготовителем. Стерилизация растворов обычно не требуется. При необходимости стерилизацию проводят с помощью мембранной фильтрации; образцы до и после стерилизации сравнивают методом количественного анализа для исключения адсорбции.
Если нет информации о стабильности базовых растворов при определенных условиях хранения, то свежий базовый раствор следует готовить для каждой исследуемой партии.
4.3.3 Приготовление рабочих растворов
Диапазон концентраций, выбранных исследователем для тестирования, зависит от микроорганизма и антимикробного препарата и должен обеспечивать определение требуемых диапазонов значений МПК для соответствующих контрольных штаммов микроорганизмов.
Серию двукратных разведений антимикробного препарата готовят в бульоне Мюллера - Хинтон из расчета 1 мг/л. Разведения следует готовить только согласно процедурам, изложенным в
приложении C. Рабочие растворы должны быть использованы в тот же день, если нет информации о стабильности растворов при определенных условиях хранения.
4.3.4 Подготовка планшетов для микроразведений
В лунки планшета для микроразведений вносят по 50 мкл рабочего раствора с удвоенной к требуемой конечной концентрацией антимикробного препарата или по 100 мкл раствора с конечной требуемой концентрацией.
Для контроля роста каждого исследуемого штамма должна использоваться как минимум одна лунка, содержащая 50 или 100 мкл питательной среды без антимикробного препарата. Также не менее одной лунки, содержащей 100 мкл питательной среды без антимикробного препарата, оставляют без внесения инокулюма и используют в качестве отрицательного контроля каждого исследуемого штамма.
4.3.5 Хранение планшетов для микроразведений
Заполненные планшеты могут быть использованы немедленно или храниться в течение трех месяцев, или до тех пор, пока отраженные в документах результаты контроля качества или другие доказательства не укажут на деградацию антимикробного препарата. Для хранения заполненные планшеты должны быть запечатаны в полиэтиленовые пакеты и немедленно помещены в морозильную камеру при температуре, не превышающей минус 60 °C, если нет информации относительно стабильности антимикробного препарата при более высоких температурах.
Не допускаются хранение планшетов в морозильной камере с функцией саморазмораживания, а также повторная заморозка размороженных антимикробных препаратов, так как повторные циклы замораживания - оттаивания ускоряют деградацию некоторых антимикробных препаратов, особенно

.
Замороженным планшетам дают оттаять в течение не более 2 ч и инокулируют в течение 4 ч после изъятия из морозильной камеры.
4.4.1 Общие положения
Стандартизация инокулюма является необходимой процедурой для обеспечения точности и воспроизводимости процедуры определения чувствительности методом микроразведений в бульоне. В связи с этим контроль чистоты и подсчет жизнеспособных колоний должны быть выполнены для каждого изолята, исследуемого данным методом.
4.4.2 Методы приготовления инокулюма в бульонной культуре
Инокулюм может быть подготовлен путем разбавления бульонной культуры или суспендирования в бульоне нескольких морфологически сходных (если возможно) колоний культуры, выращенной в течение 12 - 18 ч инкубации на неселективной агаровой среде, с помощью нанесения стерильной петлей или тампоном. При суспендировании колоний следует отбирать морфологически сходные колонии, чтобы избежать контаминации другими видами или атипичными формами того же вида.
Используемый бульон не должен влиять на действие антимикробного препарата. Бульон инкубируют при температуре (35 +/- 1) °C, пока рост не достигнет мутности, равной или превышающей 0,5 по стандарту МакФарланда
[4]. При необходимости культура может быть доведена до мутности, эквивалентной 0,5 по стандарту МакФарланда, с помощью физиологического раствора или бульона. Измерение плотности инокулюма может быть проведено как с помощью фотометрического устройства (используют длину волны 625 нм и кювету с длиной пути световой волны 1 см, абсорбция составит 0,08 - 0,13), так и с помощью должным образом откалиброванного нефелометра. Такой же результат может быть достигнут путем визуального сравнения четкости линий черного цвета при просмотре их через инокулюм и суспензию с мутностью, эквивалентной 0,5 по МакФарланду (инокулюм и стандарт МакФарланда должны находиться в пробирках одного и того же размера) или любым другим методом, который дает воспроизводимую концентрацию КОЕ/мл. Конечный инокулюм должен содержать 5 x 10
5 КОЕ/мл (целевой диапазон от 2 x 10
5 до 8 x 10
5 КОЕ/мл).
Примечание 1 - 0,5 стандарта МакФарланда можно приготовить путем добавления к 0,5 мл раствора BaCl2 концентрацией 0,048 моль/л (1,175%-ный раствор BaCl2·2H2O) медленно при тщательном перемешивании 99,5 мл раствора серной кислоты (H2SO4) концентрацией 0,18 моль/л (1%-ный раствор) до получения гомогенной суспензии.
4.4.3 Метод прямого суспендирования колоний
Стерильной петлей касаются нескольких морфологически сходных колоний, выросших на неселективной питательной агаровой среде, инкубированной при температуре (35 +/- 1) °C в течение 12 - 18 ч (если более длительная инкубация не требуется), переносят в стерильный бульон или физиологический раствор. Суспензию доводят до мутности, эквивалентной 0,5 по стандарту МакФарланда (см.
4.4.2).
Для всех микроорганизмов точная концентрация жизнеспособных клеток (КОЕ/мл) в окончательном инокулюме зависит от фазы роста культуры. Этот эффект наиболее выражен у прихотливых микроорганизмов, таких как Streptococcus pneumoniae, когда при использовании старых культур может значительно сократиться число жизнеспособных клеток в суспензии.
При использовании любого метода точно доведенная до нужной плотности суспензия должна содержать от 1 x 108 до 2 x 108 КОЕ/мл для широко распространенных значимых бактерий.
Доведенный до необходимой плотности инокулюм, приготовленный, как указано выше, разводят в бульоне до получения окончательной концентрации клеток 5 x 10
5 КОЕ/мл (диапазон - от 2 x 10
5 до 8 x 10
5 КОЕ/мл). Необходимое разведение зависит от исследуемого микроорганизма и метода, используемого для подготовки инокулюма. При добавлении 0,1 мл стандартизированной суспензии микроорганизма в пробирку, содержащую 9,9 мл бульона (разведение 1:100), получают суспензию с концентрацией клеток 1 x 10
6 КОЕ/мл, которую в объеме 50 мкл добавляют к равному объему (50 мкл) раствора антимикробного препарата, и получают окончательную плотность инокулюма 5 x 10
5 КОЕ/мл для большинства грамотрицательных бактерий (например,
Escherichia coli). Если лунки уже содержат по 100 мкл бульона с антимикробным препаратом, соответствующее разведение, необходимое для обеспечения требуемой окончательной концентрации инокулюма, должно быть приготовлено перед добавлением разведенной суспензии в объеме не более 10 мкл в каждую лунку. В соответствии с результатом подсчета колоний при проведении предварительных исследований
[5] могут применяться альтернативные разведения суспензии плотностью 0,5 по стандарту МакФарланда.
4.5 Инокулирование планшетов для микроразведений
Суспензию следует инокулировать в планшеты не позднее чем в течение 30 мин после ее приготовления для сохранения числа жизнеспособных клеток в КОЕ/мл. В каждую лунку, содержащую 50 мкл раствора антимикробного препарата, разведенного в бульоне (см.
4.3), добавляют 50 мкл бактериальной суспензии (см.
4.4). В лунки планшета, содержащие по 100 мкл бульон с раствором антимикробного препарата, должно быть добавлено не более чем по 10 мкл разведенной суспензии инокулюма.
Для контроля содержания необходимого числа клеток - около 5 x 105 КОЕ/мл - в лунке следует выполнить подсчет жизнеспособных клеток в исследуемой суспензии. Для этого немедленно после инокулирования из лунки для контроля роста берут 10 мкл содержимого и переносят в пробирку с 10 мл бульона или физиологического раствора. 100 мкл этого разведения распределяют по поверхности соответствующего агара в чашке, которую затем инкубируют с вечера и всю ночь (12 - 18 ч). При достижении в исследуемой суспензии плотности 0,5 по стандарту МакФарланда ожидается рост от 20 до 80 колоний. При получении другого результата необходимо предпринять корректирующие действия для обеспечения подготовки инокулюма необходимой плотности.
4.6 Инкубация планшетов для микроразведений
Для предотвращения высушивания перед инкубацией планшеты для микроразведений должны быть запечатаны в полиэтиленовые пакеты или закрыты плотной крышкой или клейкой пленкой. Для предотвращения неравномерного нагревания планшетов стопки, в которые их складывают, должны состоять не более чем из четырех планшетов; стопка планшетов должна быть плотно закрыта сверху единой герметичной крышкой.
Если не указано другое, планшеты для микроразведений инкубируют при температуре (35 +/- 1) °C в течение (18 +/- 2) ч при исследовании большинства комбинаций антимикробных препаратов и бактерий. Не должно осуществляться инкубирование планшетов в атмосфере, обогащенной CO2.
4.7 Интерпретация результатов исследования
Учет результатов исследования проводят только при наличии достаточного роста исследуемого микроорганизма (т.е. при явном осадке или определяемом помутнении в лунке положительного контроля роста), отсутствии роста в лунке, не содержащей инокулюма или отрицательного контроля роста (при наличии), и при установленной чистоте культуры и соответствующей концентрации инокулюма. Степень роста в каждой лунке сравнивают со степенью роста в лунке положительного контроля роста. Наименьшую концентрацию препарата, которая полностью подавляет видимый рост, регистрируют как МПК. Существуют некоторые исключения из этого правила, на которые пользователю следует обратить особое внимание (например, постепенное угнетение роста линезолидом, частичное подавление сульфаниламидами, неполное подавление некоторыми бактериостатическими препаратами).
4.8 Особые случаи при исследовании, при которых результат определения МПК может быть ненадежным
В некоторых случаях значение МПК может не отражать истинную активность. Поэтому в целях клинического использования может возникнуть необходимость изменения интерпретации результатов исследования некоторых антимикробных препаратов. В этих случаях референтный метод должен быть модифицирован, например путем изменения условий инкубации или введением добавок в среду. Кроме того, при использовании стандартного метода разведений не всегда могут быть обнаружены определенные механизмы резистентности, например экспрессия некоторых

, эффлюксных насосов или модификация мишеней для препарата. В таких случаях МПК следует интерпретировать с осторожностью или использовать другую информацию для принятия клинических решений. В
приложении D приведены некоторые комбинации антимикробных препаратов и бактерий, требующие особого внимания.
Достоверность результатов исследования должна отслеживаться с проведением одновременного исследования контрольных штаммов. Банк контрольных штаммов следует хранить в лиофилизированном или замороженном виде (при температуре минус 60 °C или ниже). Рабочие культуры готовят с помощью субкультивирования из банка контрольных штаммов на неселективной питательной агаровой среде. Дальнейшие субкультуры могут быть приготовлены из первой рабочей культуры только в течение одной недели. Каждый день при проведении исследования следует тестировать как минимум два соответствующих контрольных штамма, если такое возможно. Работу с исследуемыми колониями контрольных культур проводят таким же образом, как и с обычными культурами. МПК антимикробных препаратов для контрольных организмов должны быть в пределах диапазонов, приведенных в последних версиях
[15] или
[16]. Единую таблицу контроля качества составить невозможно. Различия в разрешенных питательных средах <*>, справочных материалах, применении сред разных изготовителей и т.д. могут быть причиной некоторых различий в допустимых диапазонах значений МПК для контрольных штаммов микроорганизмов и сказываться на результатах исследований. Кроме того, в результате возможной коррекции диапазонов контроля качества вследствие поступления новых данных, могут быть установлены новые диапазоны, которые не отражены в настоящем стандарте. Наконец, могут появиться новые противомикробные препараты, которые не включены в настоящий стандарт. Стандартизация процедуры микроразведений в бульоне для определения чувствительности к антимикробным препаратам должна нивелировать большинство различий в диапазонах контроля качества, но сотрудникам лабораторий и изготовителям изделий для метода микроразведений следует обращаться к выше упомянутым документам, чтобы убедиться в соблюдении указанных диапазонов.
--------------------------------
<*> Для медицинских целей в Российской Федерации применяют зарегистрированные в установленном порядке питательные среды, относящиеся к медицинским изделиям для диагностики ин витро.
(справочное)
ТРЕБОВАНИЯ К БУЛЬОНУ МЮЛЛЕРА - ХИНТОН
A.1 Общие положения
Добавки, помимо двухвалентных катионов или других дополнительных компонентов, не должны использоваться, если они не являются необходимыми для роста исследуемых организмов.
A.2 Исследование неприхотливых микроорганизмов в бульоне Мюллера - Хинтон
A.2.1 Общие положения
Стандартной средой для исследования неприхотливых микроорганизмов является бульон Мюллера - Хинтон.
Формула его приготовления следующая
[6]:
- мясной гидролизат из 300 г говядины;
- кислотный гидролизат казеина 17,5 г;
- крахмал 1,5 г;
- дистиллированная вода до 1000 мл;
- pH 7,2 - 7,4.
Практически весь используемый бульон Мюллера - Хинтон выпускается промышленным способом. Приготовление бульона из порошка всех изготовителей аналогично и соответствует оригинальной рецептуре среды.
A.2.2 Регулирование количества и содержание катионов
Бульон должен содержать достаточную концентрацию катионов, чтобы обеспечить рост, позволяющий пользователю определить значение МПК для контрольных штаммов в пределах, указанных в
[1] и
[2].
Для новых партий бульона Мюллера - Хинтон может потребоваться определение приемлемого содержания катионов. Это исследование может быть выполнено с помощью спектроскопии с индуктивно связанной плазмой (ICP) или плазменной атомно-абсорбционной спектрометрии (FAAS)
[7].
Для регулирования количества ионов кальция и магния готовят растворы, содержащие по 10 мг/л хлорида кальция (3,68 г CaCl2·2H2O в 100 мл деионизированной воды) и хлорида магния (8,36 g MgCl2·6H2O в 100 мл деионизированной воды), стерилизуют с помощью мембранного фильтра и хранят при температуре от 2 °C до 8 °C. Каждые 0,1 мл объема раствора катионов с концентрацией 10 мг/л, добавленные к 1 л бульона, повышают содержание катионов на 1 мг/л. Растворы солей добавляют, помешивая, при температуре от 2 °C до 8 °C.
В
[8],
[9] указано, что для большинства комбинаций антимикробных препаратов и бактерий добавление ионов кальция и магния до окончательной концентрации от 20 до 25 мг/л и от 10 до 12,5 мг/л, соответственно, обеспечивало получение точных результатов контроля качества. В настоящем стандарте под "исследованием в бульоне Мюллера - Хинтон" подразумевают исследование в бульоне Мюллера - Хинтон со сбалансированным количеством катионов.
Случаи, в которых требуется дополнительная корректировка содержания катионов в бульоне Мюллера - Хинтон для обеспечения воспроизводимости результатов определения чувствительности к антимикробным препаратам, приведены ниже.
A.2.3 Коррекция состава среды по сравнению с эталонной средой Мюллера - Хинтон для метода микроразведений в бульоне при исследовании некоторых видов бактерий и других микроорганизмов
A.2.3.1 Род Streptococcus
При исследовании стрептококков к бульону Мюллера - Хинтон должна быть добавлена лизированная (или дефибринированная) лошадиная кровь до окончательной концентрации от 2,5% до 5,0%. Кровь должна быть получена от надежного поставщика. Должно быть определено значение гематокрита (не менее 30%). Для приготовления лизированной крови в стерильных условиях смешивают равные объемы дефибринированной крови и стерильной дистиллированной воды. Замораживают при температуре минус 20 °C и размораживают до окончательного лизирования клеток (может потребоваться пять - семь циклов замораживания - оттаивания). Центрифугируют для осветления раствора. Прозрачность раствора относится к значимым критериям для интерпретации результатов. Недостаточный лизис или центрифугирование могут быть причиной того, что раствор не удается получить прозрачным. Повторное центрифугирование может повысить прозрачность раствора. Полученный препарат лизированной крови является базовым раствором с объемной концентрацией 50%
[10].
A.2.3.2 Сульфаниламиды и триметоприм
Среда должна иметь массовую концентрацию тимидина менее чем 0,03 мг/л. Такая среда не исключает возможность исследования других антимикробных препаратов
[11].
A.2.3.3 Тигециклин
Тигециклин должен быть добавлен в бульон Мюллера - Хинтон не позднее чем через 12 ч после приготовления бульона. Приготовленные планшеты для микроразведений должны быть заморожены, если не предусмотрено их использование в течение 12 ч после приготовления
[12].
A.2.3.4 Липогликопептиды (далбаванцин, телаванцин и оритаванцин)
Для исследования далбаванцина, телаванцина и оритаванцина следует в бульон Мюллера - Хинтон добавить полисорбат-80 (объемная доля 0,002%)
[13].
A.2.3.5 Цефидерокол
Для исследования данного сидерофорного цефалоспоринового препарата из бульона Мюллера - Хинтон сначала выводят железо с помощью хелатирующего соединения. Затем среду восстанавливают путем добавления стандартных растворов кальция, магния и цинка
[14].
A.2.3.6 Определение чувствительности стафилококков к оксациллину
Метод микроразведений в бульоне не может надежно выявить mecA- или mecC-опосредованную резистентность. Для того чтобы улучшить возможность обнаружения резистентности, следует использовать следующие модификации метода:
- включение NaCl в конечной концентрации 20 г/л в бульон при исследовании оксациллина;
- инкубация в течение 24 ч;
- температура инкубации не более 35 °C;
- использование прямого метода приготовления суспензии для получения инокулюма.
Для некоторых типов штаммов, даже при использовании этих рекомендаций, резистентность проявляется настолько слабо, что не отражается на полученных значениях МПК. Это особенно характерно для изолятов, имеющих ген mecC. Обнаружение гена mecA или mecC является референтным методом выявления устойчивости к оксациллину.
A.2.3.7 Даптомицин
Бульон Мюллера - Хинтон должен быть дополнен ионами Ca++ до конечной концентрации 50 мг/л
[18].
A.2.3.8 Карбапенемы
При исследовании в бульоне Мюллера - Хинтон имипенема и меропенема, относящихся к препаратам группы карбапенемов, установлено, что конечная концентрация цинка должна быть менее 3 мг/л
[19]. Массовые концентрации цинка, необходимые для оптимальной активности других карбапенемов, до настоящего времени не определены, но должны находиться в том же диапазоне.
A.2.3.9 Гликопептиды
Для получения более точных и надежных результатов МПК следует учитывать после 24-часовой инкубации.
A.2.3.10 Полимиксины (Колистин)
Несмотря на ранее общепринятую практику, полисорбат-80 или другие поверхностно-активные вещества не следует добавлять в среду при исследовании препаратов класса полимиксинов: колистина и полимиксина B.
A.2.4 Дополнительные аспекты, касающиеся среды, не регулируемые международными стандартами
A.2.4.1 Общие положения
В настоящее время невозможно определить все вопросы, которые могут возникнуть при контроле качества и определении референтным методом чувствительности аэробных и факультативно-анаэробных видов бактерий к антимикробным препаратам. Некоторые данные о влиянии качества питательной среды содержатся в материалах, не прошедших рецензирование экспертами или изготовителями. Для новых антимикробных препаратов используемые в настоящее время методы подготовки среды могут оказаться неподходящими. Пользователи должны обеспечить соблюдение контроля качества и сообщать на международном уровне о возникающих вопросах для регулярного обновления данного стандарта. Известные конкретные проблемы, возникающие при проведении исследования (например, исследование прихотливых видов бактерий или специфические дополнительные требования к стандартному бульону Мюллера - Хинтон при вариациях среды в различных частях мира), включены в
приложение D для ознакомления.
Примечание - Для уточнения информации о других новых препаратах, не включенных в текущую версию этого документа, можно обратиться к последним версиям
[15] -
[17], а также к информации изготовителя.
(справочное)
РАСТВОРИТЕЛИ И РАЗБАВИТЕЛИ ДЛЯ ПРИГОТОВЛЕНИЯ БАЗОВЫХ
РАСТВОРОВ ДЛЯ ОТДЕЛЬНЫХ АНТИМИКРОБНЫХ ПРЕПАРАТОВ
Таблица B.1
Антимикробный препарат | Растворитель | Разбавитель |
Амикацин | Вода | Вода |
Амоксициллин | Фосфатный буфер 0,1 моль/л, pH 6,0 | Фосфатный буфер 0,1 моль/л, pH 6,0 |
Ампициллин | Фосфатный буфер 0,1 моль/л, pH 8,0 | Фосфатный буфер 0,1 моль/л, pH 8,0 |
Арбекацин | Вода | Вода |
Авибактам | Вода | Вода |
Азитромицин | Этанол, объемная доля 95% или ледяная уксусная кислота <a> | Бульон |
Азлоциллин | Вода | Вода |
Азтреонам | Насыщенный раствор бикарбоната натрия | Вода |
Бесифлоксацин | Метанол | Вода |
Биапенем | NaCl, массовая доля 0,85% | NaCl, массовая доля 0,85% |
Кадазолид | Диметилсульфоксид (ДМСО) | Вода или бульон |
Карбенициллин | Вода | Вода |
Цефаклор | Вода | Вода |
Цефадроксил | Фосфатный буфер 0,1 моль/л, pH 6,0 | Вода |
Цефамандол | Вода | Вода |
Цефазолин | Фосфатный буфер 0,1 моль/л, pH 6,0 | Фосфатный буфер 0,1 моль/л, pH 6,0 |
Цефкапен | Фосфатный буфер 0,1 моль/л, pH 7,0 | Фосфатный буфер 0,1 моль/л, pH 7,0 |
Цефдинир | Фосфатный буфер 0,1 моль/л, pH 6,0 | Вода |
Цефдиторен | Фосфатный буфер 0,1 моль/л, pH 6,0 | Вода |
Цефепим | Фосфатный буфер 0,1 моль/л, pH 6,0 | Фосфатный буфер 0,1 моль/л, pH 6,0 |
Цефетамет | Фосфатный буфер 0,1 моль/л, pH 6,0 | Вода |
Цефидерокол | Физиологический раствор | Вода |
Цефиксим | Фосфатный буфер 0,1 моль/л, pH 7,0 | Фосфатный буфер 0,1 моль/л, pH 7,0 |
Цефменоксим | Фосфатный буфер 0,1 моль/л, pH 6,8 | Фосфатный буфер 0,1 моль/л, pH 6,8 |
Цефметазол | Вода | Вода |
Цефодизим | Вода | Вода |
Цефоницид | Вода | Вода |
Цефоперазон | Вода | Вода |
Цефотаксим | Вода | Вода |
Цефотетан | Диметилсульфоксид (ДМСО) | Вода |
Цефотиам | Вода | Вода |
Цефокситин | Вода | Вода |
Цефозопран | Фосфатный буфер 0,1 моль/л, pH 7,0 | Фосфатный буфер 0,1 моль/л, pH 7,0 |
Цефпиром | Вода | Вода |
Цефподоксим | Раствор бикарбоната натрия, массовая концентрация 0,1% | Вода |
Цефроксадин | 0,1 нормальный раствор HCl | Фосфатный буфер 0,1 моль/л, pH 6,0 |
Цефпрозил | Вода | Вода |
Цефтароллин | ДМСО, до 30% общего объема | Физиологический раствор |
Цефтазидим | Насыщенный раствор бикарбоната натрия <b> | Вода |
Цефтерам | Фосфатный буфер 1/15 моль/л, pH 7,0 | Фосфатный буфер 1/15 моль/л, pH 7,0 |
Цефтибутен | 1/10 объема диметилсульфоксида | Вода |
Цефтизоксим | Вода | Вода |
Цефтобипрол | ДМСО и ледяная уксусная кислота <c> | Вода, при тщательном перемешивании |
Цефтолозан | Вода или физиологический раствор | Вода или физиологический раствор |
Цефтриаксон | Вода | Вода |
Цефуроксим | Фосфатный буфер 0,1 моль/л, pH 6,0 | Фосфатный буфер 0,1 моль/л, pH 6,0 |
Цефалотин | Фосфатный буфер 0,1 моль/л, pH 6,0 | Вода |
Цефалексин | Фосфатный буфер 0,1 моль/л, pH 6,0 | Вода |
Цефапирин | Фосфатный буфер 0,1 моль/л, pH 6,0 | Вода |
Цефрадин | Фосфатный буфер 0,1 моль/л, pH 6,0 | Вода |
Хлорамфеникол | Этанол, объемная доля 95% | Вода |
Циноксацин | 1/2 объема воды, затем добавляют 0,1 моль/л NaOH до полного растворения | Вода |
Ципрофлоксацин | Вода | Вода |
Кларитромицин | Метанол или ледяная уксусная кислота <a> | Фосфатный буфер 0,1 моль/л, pH 6,5 |
Клавулановая кислота | Фосфатный буфер 0,1 моль/л, pH 6,0 | Фосфатный буфер 0,1 моль/л, pH 6,0 |
Клинафлоксацин | Вода | Вода |
Клоксациллин | Вода | Вода |
Клиндамицин | Вода | Вода |
| Вода | Вода |
Далбаванцин | Диметилсульфоксид (ДМСО) | |
Даптомицин | Вода | Вода |
Делафлоксацин | 1/2 объема воды, затем добавляют покапельно 0,1 моль/л NaOH до полного растворения | Вода |
Дибекацин | Вода | Вода |
Диритромицин | Ледяная уксусная кислота <a> | Вода |
Дорипенем | NaCl, массовая доля 0,85% | NaCl, массовая доля 0,85% |
Доксициклин | Вода | Вода |
Эноксацин | 1/2 объема воды, затем добавляют минимум 0,1 моль/л NaOH до растворения, затем доводят водой до окончательного объема | Вода |
Эравациклин | Вода | Вода |
Эртапенем | Фосфатный буфер 0,01 моль/л, pH 7,2 | Фосфатный буфер 0,01 моль/л, pH 7,2 |
Эритромицин | Этанол, объемная доля 95% или ледяная уксусная кислота | Вода |
Фаропенем | Вода | Вода |
Фидаксомицин | Диметилсульфоксид (ДМСО) | Вода |
Финафлоксацин | Вода | Вода |
Флероксацин | 1/2 объема воды, затем добавляют минимум 0,1 моль/л NaOH до растворения, затем доводят водой до окончательного объема | Вода |
Фломоксеф | Вода | Вода |
Флуклоксациллин | Фосфатный буфер 0,05 моль/л, pH 7,0 | Вода |
Фосфомицин | Вода | Вода |
Фузидовая кислота | Вода | Вода |
Гареноксацин | Вода (с перемешиванием) | Вода |
Гатифлоксацин | Вода (с перемешиванием) | Вода |
Гемифлоксацин | Вода | Вода |
Гентамицин | Вода | Вода |
Гепотидацин | Диметилсульфоксид (ДМСО) | Вода |
Грепафлоксацин | Вода с добавлением 0,1 моль/л NaOH покапельно до растворения | Вода |
Иклаприм | Диметилсульфоксид (ДМСО) | Вода |
Изепамицин | Вода | Вода |
Имипенем | Фосфатный буфер 0,01 моль/л, pH 7,2 | Фосфатный буфер 0,01 моль/л, pH 7,2 |
Джозамицин | Метанол | Вода |
Канамицин | Вода | Вода |
Лефамулин | Вода | Вода |
Левофлоксацин | 1/2 объема воды, затем добавляют минимум 1 моль/л NaOH до растворения, затем доводят водой до окончательного объема | Вода |
Левонадифлоксацин | Раствор L-аргинина в воде, 27,5 мг/л | Вода |
Линкомицин | Вода | Вода |
Линезолид | Вода | Вода |
Линопристин-флопристин | Диметилформамид (ДМФ) до 25% от конечного объема/вода для растворения | Вода |
Ломефлоксацин | Вода | Вода |
Локарбеф | Вода | Вода |
Мециллинам | Вода | Вода |
Меропенем | Вода | Вода |
Метициллин | Вода | Вода |
Метронидазол | Диметилсульфоксид (ДМСО) | Вода |
Мезлоциллин | Вода | Вода |
Миноциклин | Вода | Вода |
Моксалактам (диаммониевая соль) <f> | 0,04 моль/л NaCl (настаивают в течение 1,5 - 2,0 ч) | Фосфатный буфер 0,1 моль/л, pH 6,0 |
Моксифлоксацин | Вода | Вода |
Мупироцин | Вода | Вода |
Накубактам | Вода | Вода |
Нафциллин | Вода | Вода |
Нафитромицин | 1/2 объема воды, добавляют ледяную уксусную кислоту покапельно до растворения (содержание уксусной кислоты не должно превышать 2,5 мг/л) | Вода |
Налидиксовая кислота | 1/2 объема воды, затем добавляют минимум 1 моль/л NaOH до растворения, затем доводят водой до окончательного объема | Вода |
Нетилмицин | Вода | Вода |
Нитазоксанид | Диметилсульфоксид (ДМСО) | Вода |
Нитроксолин | Диметилсульфоксид (ДМСО) | Вода |
Нитрофурантоин | Фосфатный буфер 0,1 моль/л, pH 8,0; или Диметилсульфоксид (ДМСО) | Фосфатный буфер 0,1 моль/л, pH 8,0 |
Норфлоксацин | 1/2 объема воды, затем добавляют минимум 1 моль/л NaOH до растворения, затем доводят водой до окончательного объема | Вода |
Офлоксацин | 1/2 объема воды, затем добавляют минимум 0,1 моль/л NaOH до растворения, затем доводят водой до окончательного объема | Вода |
Омадациклин | Вода | Вода |
Оритаванцин | 0,002% полисорбата-80 в воде | 0,002% полисорбата-80 в воде |
Оксациллин | Вода | Вода |
Озеноксацин | NaOH 0,1 моль/л | Вода |
Панипенем | Вода | Вода |
Пазуфлоксацин | Вода | Вода |
Пексиганам | Вода | Вода |
Пенициллин | Вода | Вода |
Пиперациллин | Вода | Вода |
Плазомицин | Вода | Вода |
Полимиксин B | Вода | Вода |
Прулифлоксацин | Диметилсульфоксид (ДМСО) | Вода |
Хинупристин-дальфопристин | Вода | Вода |
Рамопланин | Вода | Вода |
Разупенем | Фосфатный буфер 0,01 моль/л, pH 7,2 | Фосфатный буфер 0,01 моль/л, pH 7,2 |
Релебактам | Вода | Вода |
Рифампицин | Метанол | Вода |
Рифаксимин | Метанол | Фосфатный буфер 0,1 моль/л, pH 7,4 + 0,45% натрия додецилсульфоната |
Рокситромицин | Метанол | Фосфатный буфер 0,1 моль/л, pH 8,0 |
Секнидазол | Диметилсульфоксид (ДМСО) | Вода |
Ситафлоксацин | NaOH 0,1 моль/л | Вода |
Солитромицин | Ледяная уксусная кислота | Вода |
Спарфлоксацин | Вода | Вода |
Спектиномицин | Вода | Вода |
Стрептомицин | Вода | Вода |
Сульбактам | Вода | Вода |
Сульфаниламиды | Минимальный объем 0,1 моль/л NaOH до растворения, затем доводят водой до окончательного объема | Вода |
Сульфаметоксазол | Половина объема горячей воды и минимум 2,5 моль/л NaOH до растворения | Вода |
Сульфизоксазол | 1/2 объема горячей воды и минимум 2,5 моль/л NaOH до растворения | Вода |
Сультамициллин | Метанол | Вода |
Сулопенем | Фосфатный буфер 0,01 моль/л, pH 7,2, перемешивают до растворения | Фосфатный буфер 0,01 моль/л, pH 7,2 |
Суротомицин | Вода | Вода |
Тазобактам | Вода | Вода |
Тебипенем | Вода | Вода |
Тедизолид | Диметилсульфоксид (ДМСО) <g> | Диметилсульфоксид (ДМСО) |
Тейкопланин | Вода | Вода |
Телаванцин | Диметилсульфоксид (ДМСО) | Диметилсульфоксид (ДМСО) |
Телитромицин | Ледяная уксусная кислота <a> | Вода |
Темоциллин | Вода | Вода |
Тетрациклин | Вода | Вода |
Тикарциллин | Фосфатный буфер 0,1 моль/л, pH 6,0 | Фосфатный буфер 0,1 моль/л, pH 6,0 |
Тигециклин | Вода | Вода |
Тинидазол | Диметилсульфоксид (ДМСО) | Вода |
Тизоксанид | Диметилсульфоксид (ДМСО) | Диметилсульфоксид (ДМСО) |
Тобрамицин | Вода | Вода |
Тосуфлоксацин | NaOH 0,1 моль/л | Вода |
Триметоприм | 0,05 моль/л молочной кислоты или 0,05 моль/л HCl, 10% от конечного объема с водой | Вода |
Триметоприм (если лактат) | Вода | Вода |
Троспектомицин | Вода | Вода |
Ваборбактам | Диметилсульфоксид (ДМСО) | Вода |
Ванкомицин | Вода | Вода |
Примечание 1 - Информация относительно растворителей и разбавителей приведена из [15] с разрешения Института клинических и лабораторных стандартов (CLSI), Уэйн, штат Пенсильвания. Данная информация периодически обновляется. См. последнюю версию документа M100 в CLSI, 950 Вест Воллей Роад, офис 2500, Уэйн, штат Пенсильвания 19087, США. Примечание 2 - Дальнейшую информацию относительно примеров растворителей и разбавителей для приготовления базовых растворов некоторых антимикробных препаратов можно получить в Европейской Фармакопее или Фармакопее США, государственной Фармакопее Российской Федерации, XIV издание. Москва, 2018. -------------------------------- <a> При работе с ледяной уксусной кислотой берут половину объема воды и добавляют в нее капельно ледяную уксусную кислоту до растворения, не превышая концентрацию 2,5 мг/л, после этого доводят раствор водой до полного объема. Приготовленная таким образом ледяная уксусная кислота эквивалентна уксусной кислоте с объемной фракцией не более 99%. <b> Количество безводного карбоната натрия должно составлять точно 10% от используемого цефтазидима. Карбонат натрия растворяют в большей части необходимого для растворения объема воды. Антимикробный препарат разводят в этом полученном растворе карбоната натрия и добавляют воду до нужного объема. Раствор следует использовать как можно скорее, но его можно хранить не более 6 ч при температуре не более 25 °C. <c> На каждые 1,5 мг цефтобипрола добавляют 110 мкл смеси диметилсульфоксида и ледяной уксусной кислоты в соотношении 10:1. Энергично перемешивают в течение 1 мин, затем - периодически в течение 15 мин. Разводят дистиллированной водой до 1 мл. <d> Соединение колистина, используемое для определения чувствительности, представляет собой сульфат колистина, а не метилсульфонат колистина (сульфометата). <e> Основной раствор далбаванцина должен быть приготовлен с концентрацией не выше 1600 мг/л. Промежуточный раствор с концентрацией x100 должен быть затем разведен в ДМСО. Окончательные разведения 1:100 следует выполнить непосредственно в бульоне Мюллера - Хинтон с добавленным раствором полисорбата-80, в объемной доле 0,002%, таким образом, чтобы конечная концентрация ДМСО не превышала 1%. |
<f> Диаммониевая соль моксалактама характеризуется высокой стабильностью, но является почти чистым R-изомером. Моксалактам для клинического применения представляет собой смесь R- и S-изомеров в соотношении 1:1. Поэтому соль растворяют в 0,04 моль/л HCl и оставляют на 1,5 - 2 ч для взаимодействия, с тем чтобы установилось равное соотношение обоих изомеров. <g> Основной раствор тедизолида должен быть приготовлен с концентрацией не выше 1600 мг/л. Промежуточный раствор с концентрацией x100 должен быть затем разведен в ДМСО. Окончательные 1:100 разведения должны быть выполнены непосредственно в бульоне Мюллера - Хинтон со стандартизированным содержанием катионов таким образом, чтобы конечная концентрация ДМСО не превышала 1%. |
(справочное)
ПОДГОТОВКА РАБОЧИХ РАСТВОРОВ АНТИМИКРОБНЫХ ПРЕПАРАТОВ
ДЛЯ ИСПОЛЬЗОВАНИЯ ПРИ ОПРЕДЕЛЕНИИ ЧУВСТВИТЕЛЬНОСТИ
МЕТОДОМ РАЗВЕДЕНИЙ В БУЛЬОНЕ
Концентрация антимикробного препарата в базовом растворе, мг/л | Объем базового раствора, мл | | Полученная концентрация антимикробного препарата, мг/л |
512 | 1 | 9 | 512 |
512 | 1 | 1 | 256 |
512 | 1 | 3 | 128 |
512 | 1 | 7 | 64 |
64 | 1 | 1 | 32 |
64 | 1 | 3 | 16 |
64 | 1 | 7 | 8 |
8 | 1 | 1 | 4 |
8 | 1 | 3 | 2 |
8 | 1 | 7 | 1 |
1 | 1 | 1 | 0,5 |
1 | 1 | 3 | 0,25 |
1 | 1 | 7 | 0,125 |
<a> Бульон, используемый для растворения, тот же, что и для определения чувствительности. Любая добавка должна быть введена перед разведением антимикробного препарата для сохранения требуемой концентрации. Приготовление рабочих разведений приведено в [8]. |
(справочное)
ОСОБЫЕ СЛУЧАИ ПРИ ПРОВЕДЕНИИ ИССЛЕДОВАНИЯ
D.1 Общие положения
В настоящем приложении перечислены некоторые случаи, возникающие при проведении исследования методом микроразведений в бульоне, которые не были полностью стандартизированы на международном уровне, или при которых результаты исследования методом микроразведений в бульоне Мюллера - Хинтон могут быть ненадежными. Тем не менее важно, чтобы лаборатории были осведомлены об этих случаях, что позволит собирать данные для их последующего включения в основной текст международного стандарта. Во всех случаях в качестве основы для исследования этих препаратов используют среду Мюллера - Хинтон. Со временем могут возникнуть и другие случаи при проведении исследований, которые потребуют валидации для включения в международный стандарт.
D.2 Особые случаи при проведении исследования
D.2.1 Прихотливые аэробные и факультативно-анаэробные виды бактерий (например, Haemophilus)
В настоящее время используют два метода, которые не были полностью сопоставлены. Требования к среде для исследования Haemophilus приведены в
[1], требования к бульону Мюллера - Хинтон для прихотливых бактерий (МН-П) приведены в
[16]. Информация о приготовлении среды, проведении исследований и результатах контроля качества приведена в документах CLSI и EUCAST. После завершения вышеуказанных исследований настоящий стандарт будет обновлен: в него будут включены референтный метод или методы определения чувствительности вышеуказанных микроорганизмов к антимикробным препаратам.
D.2.2 Мециллинам
Исследования показали, что при определении чувствительности к мециллинаму методом микроразведений в бульоне Мюллера - Хинтон получаются некорректные результаты, поэтому использование данного метода не рекомендуется
[20]. Стабильные воспроизводимые результаты обеспечивают метод разведений в агаре (референтный метод) или диско-диффузионный метод.
D.2.3 Фосфомицин
Метод микроразведений в бульоне может не обеспечить получение достоверных результатов. В качестве референтного метода следует использовать метод разведений в агаре. Для проведения исследования в агар необходимо добавить 25 мг/л глюкозо-6-фосфата.
| Methods for Dilution Antimicrobial Susceptibility Tests for Bacteria That Grow Aerobically 7th ed. Approved Standard M7-A7, Clinical and Laboratory Standards Institute Wayne, PA [2006] |
| Determination of minimum inhibitory concentrations (MICs) of antibacterial agents by broth microdilution. European Committee on Antimicrobial Susceptibility Testing. EUCAST Discussion Document E. Def 5.1. Clin Microbiol Infect, (2003), vol. 9 (issue 7 insert), pp. 1 - 10 (see http://www.eucast.org/documents/publications_in_journals/) |
| Ericcson H.M., Sherris J.C., Antibiotic sensitivity testing. Report of an international collaborative study, Acta Pathol Microbiol Scand. (1971), sect. B 217 (suppl), pp. 1 - 90 |
| McFarland J. The nephelometer: An instrument for estimating the number of bacteria in suspensions used for calculating the opsonic index and for vaccines. J. Amer Med Assoc. (1907), vol. 49, pp. 1176 - 1178 |
| Moosdeen F., Williams J.D., Secker A. Standardization of inoculum size for disc susceptibility testing: a preliminary report of a spectrophotometric method. J Antimicrob Chemother. (1988), vol. 21, pp. 439 - 443 |
| Mueller J.H., Hinton J. A protein-free medium for primary isolation of the gonococcus and meningococcus. Proc Soc Exper Biol Med. (1941), vol. 48, p. 330 |
| Morrison G.H. In Critical Reviews in Analytical Chemistry. (1969), vol. 14(28A), CRC Press, Boca Raton, Florida |
| Barry A.L., Miller G.H., Thornsberry C. et al. Influence of cation supplements on activity of netilmicin against Pseudomonas aeruginosa in vitro and in vivo. Antimicrob Agents Chemother. (1987), vol. 31, pp. 1514 - 1518 |
| Barry A.L., Reller L.B., Miller G.H. et al. Revision of standards for adjusting the cation content of Mueller-Hinton broth for testing susceptibility of Pseudomonas aeruginosa to aminoglycosides. J. Clin Microbiol. (1992), vol. 30, pp. 585 - 589 |
| D'Amato R.F., Swensen J.M., McKinley G.A. et al. Quantitative antimicrobial susceptibility test for Streptococcus pneumoniae using inoculum supplemented with whole defibrinated sheep blood. J Clin Microbiol. (1987), vol. 25, pp. 1753 - 1756 |
| Swensen J.M., Thornsberry C. Susceptibility tests for sulfamethoxazole-trimethoprim by broth microdilution procedure. Curr Microbiol. (1978), vol. 1, pp. 189 - 193 |
| Bradford P.A., Petersen P.J., Young M. et al. Tigecycline MIC testing by broth dilution requires Use of fresh medium or addition of the biocatalytic oxygen-reducing reagent oxyrase to standardize the test method. Antimicrob Agents Chemother. (2005), vol. 49, pp. 3903 - 3909 |
| Rennie R.P., Koeth L., Jones R.N. et al. Factors influencing broth microdilution antimicrobial susceptibility test results for dalbavancin, a new glycopeptide agent. J. Clin. Microbiol. (2007), vol. 45, pp. 3151 - 3154 |
| Akinobu I., Toru Nishikawa T., Matsumoto S. et al. Siderophore cephalosporin cefiderocol utilizes ferric iron transporter systems for antibacterial activity against Pseudomonas aeruginosa. Antimicrob Agents Chemother. (2016), vol. 60, pp. 7396 - 7401 |
| Performance Standards for Antimicrobial Susceptibility Testing 28th ed. Informational Supplement M100-S28, Wayne, PA Clinical and Laboratory Standards Institute (2018) |
| Routine internal quality control as recommended by EUCAST European Committee on Antimicrobial Susceptibility Testing (EUCAST). (for the latest version see; http://www.eucast.org/ast_of_bacteria/qc_tables) |
| Media preparation for EUCAST disc diffusion testing and for determination of MIC values by the broth microdilution method. European Committee on Antimicrobial Susceptibility Testing (EUCAST). (for the latest version see: http://www.eucast.org/ast_of_bacteria/media_preparation/) |
| Fuchs P.C., Barry A.L., Brown S.D. Daptomycin susceptibility tests: interpretive criteria, quality control and effect of calcium on in vitro tests. Diag Microbiol Infect Dis. (2000). vol. 38, pp. 51 - 58 |
| Daly J.S., Dodge R.A., Glew R.H. et al. Effect of zinc concentration in Mueller-Hinton agar on susceptibility of Pseudomonas aeruginosa to imipenem. J. Clin Microbiol. (1997), vol. 35, pp. 1027 - 1029 |
| Skov R., Frimot-Moller N., Menday P. et al. Susceptibility testing of urinary isolates of Escherichia coli to mecillinam using NCCLS methodology. International J. Antimicrob Agents. (2005), vol. 25, pp. 198 - 202 |
УДК 579.61:006.354 | |
Ключевые слова: исследование чувствительности к антимикробным препаратам, референтный метод, инокулюм, питательная среда, Мюллер - Хинтон, микроразведение, бульон, бактерии, инфекционные заболевания |