Главная // Актуальные документы // ГОСТ Р (Государственный стандарт)СПРАВКА
Источник публикации
М.: ФГБУ "Институт стандартизации", 2023
Примечание к документу
Документ
введен в действие с 01.09.2023.
Название документа
"ГОСТ Р ИСО 14021-2023. Национальный стандарт Российской Федерации. Экологические маркировки и заявления. Самодекларируемые экологические заявления (экологическая маркировка типа II)"
(утв. и введен в действие Приказом Росстандарта от 25.01.2023 N 47-ст)
"ГОСТ Р ИСО 14021-2023. Национальный стандарт Российской Федерации. Экологические маркировки и заявления. Самодекларируемые экологические заявления (экологическая маркировка типа II)"
(утв. и введен в действие Приказом Росстандарта от 25.01.2023 N 47-ст)
Утвержден и введен в действие
агентства по техническому
регулированию и метрологии
от 25 января 2023 г. N 47-ст
НАЦИОНАЛЬНЫЙ СТАНДАРТ РОССИЙСКОЙ ФЕДЕРАЦИИ
ЭКОЛОГИЧЕСКИЕ МАРКИРОВКИ И ЗАЯВЛЕНИЯ
САМОДЕКЛАРИРУЕМЫЕ ЭКОЛОГИЧЕСКИЕ ЗАЯВЛЕНИЯ
(ЭКОЛОГИЧЕСКАЯ МАРКИРОВКА ТИПА II)
Environmental labels and declarations. Self-declared
environmental claims. (Type II environmental labelling)
(ISO 14021:2016, IDT)
ГОСТ Р ИСО 14021-2023
Дата введения
1 сентября 2023 года
1 ПОДГОТОВЛЕН Автономной некоммерческой организацией "Российская система качества" (Роскачество) на основе собственного перевода на русский язык англоязычной версии стандарта, указанного в
пункте 4
2 ВНЕСЕН Техническим комитетом по стандартизации ТК 708 "Экологическая маркировка"
3 УТВЕРЖДЕН И ВВЕДЕН В ДЕЙСТВИЕ
Приказом Федерального агентства по техническому регулированию и метрологии от 25 января 2023 г. N 47-ст
4 Настоящий стандарт идентичен международному стандарту ИСО 14021:2016 "Экологические маркировки и заявления. Самодекларируемые экологические заявления (экологическая маркировка типа II)" [ISO 14021:2016 "Environmental labels and declarations - Self-declared environmental claims (Type II environmental labelling)", IDT], включая изменения и техническую поправку Amd.1:2021.
Изменения и/или технические поправки к указанному международному стандарту, принятые после его официальной публикации, внесены в текст настоящего стандарта и выделены двойной вертикальной линией, расположенной на полях от соответствующего текста, а обозначение и год принятия изменения (технической поправки) приведены в скобках после соответствующего текста (в примечании к тексту).
Международный стандарт разработан Техническим комитетом ISO/TC 207 "Экологический менеджмент", подкомитетом SC 3 "Экологическая маркировка".
При применении настоящего стандарта рекомендуется использовать вместо ссылочных международных стандартов соответствующие им национальные стандарты, сведения о которых приведены в дополнительном
приложении ДА
Правила применения настоящего стандарта установлены в статье 26 Федерального закона от 29 июня 2015 г. N 162-ФЗ "О стандартизации в Российской Федерации". Информация об изменениях к настоящему стандарту публикуется в ежегодном (по состоянию на 1 января текущего года) информационном указателе "Национальные стандарты", а официальный текст изменений и поправок - в ежемесячном информационном указателе "Национальные стандарты". В случае пересмотра (замены) или отмены настоящего стандарта соответствующее уведомление будет опубликовано в ближайшем выпуске ежемесячного информационного указателя "Национальные стандарты". Соответствующая информация, уведомление и тексты размещаются также в информационной системе общего пользования - на официальном сайте Федерального агентства по техническому регулированию и метрологии в сети Интернет (www.rst.gov.ru)
Распространение экологических заявлений обусловило необходимость разработки стандартов на экологическую маркировку, которые требуют учитывать все значимые аспекты жизненного цикла продукции при разработке таких заявлений.
Самодекларируемые экологические заявления могут быть сделаны производителями, импортерами, дистрибьюторами, розничными продавцами или кем-либо еще, кто может получить выгоду от таких заявлений. Экологические заявления по отношению к продукции могут быть в виде словесной формулировки, знака или графического изображения на маркировке продукции либо в документации на продукцию, технической информации, рекламе и рекламных проспектах, телемаркетинге, цифровых или электронных средствах массовой информации, таких как Интернет.
Для экологических заявлений важна гарантия их надежности. Чтобы исключить отрицательные рыночные эффекты, такие как торговые барьеры или несправедливая конкуренция, которые могут возникнуть из-за ненадежных и вводящих в заблуждение экологических заявлений, важно надлежащим образом их проверять. Метод оценки, используемого экологического заявления, должен быть ясным, прозрачным, научно обоснованным и документированным так, чтобы покупатели и потенциальные покупатели продукции могли быть уверены в достоверности заявлений.
Настоящий стандарт устанавливает требования к самодекларируемым экологическим заявлениям, включая словесные формулировки, знаки и графические изображения, относящиеся к продукции. В настоящем стандарте изложены отдельные термины, обычно используемые при экологических заявлениях, и даются пояснения к их использованию. Настоящий стандарт также описывает общие методы оценивания и проверки самодекларируемых экологических заявлений и специализированные методы оценивания и верификации отдельных типов заявлений.
Настоящий стандарт не устраняет, не отменяет и каким-либо образом не изменяет законно требуемую экологическую информацию, заявления или маркировку и остальные применимые законные требования.
В настоящем стандарте использованы нормативные ссылки на следующие стандарты [для датированных ссылок применяют только указанное издание ссылочного стандарта, для недатированных - последнее издание (включая все изменения)]:
ISO 7000, Graphical symbols for use on equipment (Графические символы, наносимые на оборудование. Зарегистрированные символы)
ISO 14020, Environmental labels and declarations - General principles (Экологические маркировки и заявления. Основные принципы)
ISO 14026, Environmental labels and declarations - Principles, requirements and guidelines for communication of footprint information (Этикетки и декларации экологические. Принципы, требования и руководящие указания по обмену информацией об экологическом следе) ISO 14067, Greenhouse gases - Carbon footprint of products - Requirements and guidelines for quantification (Парниковые газы. Углеродный след продукции. Требования и руководящие указания по определению количества) | |
В настоящем стандарте применены термины и определения в соответствии с ISO 14067, а также следующие термины с соответствующими определениями. Организации ИСО и МЭК ведут терминологические базы данных для применения в стандартизации по следующим адресам: - платформа онлайн-просмотра ИСО: доступна по адресу http://www.iso.org/obp - Электропедия МЭК: доступна по адресу http://www.electropedia.org/ | |
3.1 Общие термины
3.1.1 биомасса (biomass): Материал биологического происхождения, за исключением материалов, находящихся в геологических образованиях или материалов, преобразовавшихся в окаменелости, и торфа.
Примечание - К биомассе также относят органические материалы (живые и мертвые), находящиеся как над землей, так и под землей, например деревья, сельскохозяйственные культуры, травы, древесная подстилка, водоросли, животные и отходы биологического происхождения, например навоз.
3.1.2 сопутствующая продукция (co-product): Любые два или более вида продукции, получаемых в одном и том же процессе.
[ИСО 14040:2006, 3.10, изменено]
3.1.3 экологический аспект (environmental aspect): Элемент деятельности организации, ее продукции или услуг, который может взаимодействовать с окружающей средой.
3.1.4 экологическое заявление (environmental claim): Словесная формулировка, символ или графическое изображение, указывающие на экологический аспект продукции, ее компонента или упаковки.
Примечание - Экологические заявления могут быть сделаны на маркировке или упаковке продукции, в документации на продукцию, технической информации, рекламе и рекламных проспектах, телемаркетинге, а также в цифровых или электронных средствах массовой информации, таких как Интернет.
3.1.5 верификация экологического заявления (environmental claim verification): Подтверждение достоверности экологического заявления с использованием конкретных предварительно заданных критериев и процедур при гарантии надежности данных.
3.1.6 воздействие на окружающую среду (environmental impact): Любое положительное или отрицательное изменение в окружающей среде, являющееся полностью или частично результатом деятельности организации или воздействия продукции.
3.1.7 пояснительная формулировка (explanatory statement): Любое пояснение, которое необходимо для того, чтобы экологическое заявление было правильно понято покупателем, потенциальным покупателем или пользователем продукции.
3.1.8 функциональная единица (functional unit): Количественная характеристика продукционной системы, используемая в качестве базовой единицы при исследовании оценки жизненного цикла.
[ИСО 14040:2006, 3.20, изменено]
3.1.9 парниковый газ; ПГ [greenhouse gas (GHG)]: Газообразная составляющая атмосферы, как природная, так и антропогенная, которая поглощает и испускает излучение на определенных длинах волн в спектре инфракрасного излучения, испускаемого поверхностью Земли, атмосферой и облаками.
Примечания
1 Термин "парниковый газ" включает в себя диоксид углерода (CO2), метан (CH4), оксид азота (N2O), гидрофторуглероды (HFCs), перфторуглероды (PFCs) и гексафторид серы (SF6).
2 Список признанных парниковых газов представлен МГЭИК (IPCC), Изменение климата 2007: Основы физической науки, глава 2, таблица 2.14.
3.1.10 жизненный цикл (life cycle): Последовательные и взаимосвязанные стадии существования продукционной системы от приобретения сырьевых материалов или добычи природных ресурсов до утилизации продукции.
[ИСО 14040:2006, 3.1]
3.1.11 идентификация материалов (material identification): Слова, цифры или символы, используемые для обозначения состава компонентов продукции или упаковки.
Примечания
1 Символ в идентификации материала не рассматривается как экологическое заявление.
2 Перечень международных стандартов, национальных стандартов и публикаций, где рассматривается использование символов для идентификации материалом, приведен в разделе "Библиография" (
[6] -
[9]).
[ИСО 14001:2015, 3.2.4]
3.1.12 компенсация (offsetting): Механизм компенсации углеродного следа продукции путем предотвращения его выброса либо сокращения или удаления эквивалентного количества выбросов парниковых газов в процессе, выходящем за пределы продукционной системы.
Пример - Внешние инвестиции в технологии возобновляемых источников энергии; меры по повышению энергоэффективности; лесовосстановление/лесоразведение.
3.1.13 упаковка (packaging): Материал, который используют для защиты или размещения продукции при ее транспортировании, хранении, продаже или использовании.
Примечание - Применительно к настоящему стандарту термин "упаковка" также включает любой предмет, физически скрепленный или соединенный с изделием или его тарой для поставки продукции на рынок или информирования о продукции.
3.1.14 продукция (product): Любые товары и услуги.
[ИСО 14040:2006, 3.9, изменено]
3.1.15 обусловленное экологическое заявление (qualified environmental claim): Экологическое заявление, которое сопровождается пояснительной формулировкой, описывающей пределы заявления.
3.1.16 самодекларируемое экологическое заявление (self-declared environmental claim): Экологическое заявление изготовителя, импортера, дистрибьютора, розничного продавца или кого-либо еще, кто может получить выгоду от такого заявления, без сертификации независимой третьей стороной.
3.1.17
устойчивое развитие (sustainable development): Развитие, которое удовлетворяет потребности настоящего времени, не ставя под сомнение возможности будущих поколений удовлетворять свои потребности.
Примечание - Устойчивое развитие относят к объединению целей высокого качества жизни, здоровья и благополучия с социальной справедливостью и поддержанием способности Земли поддерживать жизнь во всем ее разнообразии. Эти социальные, экономические и экологические цели являются взаимозависимыми и взаимоподдерживающимися. Устойчивое развитие может рассматриваться как способ выражения широких ожиданий общества как целого.
[ИСО 26000:2010, 2.23]
3.1.18 способность к модернизации (upgradability): Характеристика продукции, которая позволяет отдельно модернизировать или заменять ее элементы конструкции или части без необходимости заменять продукцию целиком.
3.1.19 отходы (waste): Материальный объект, который производитель или держатель больше не использует, а выбрасывает или выпускает в окружающую среду.
3.1.20 углеродный след продукции; УСП (carbon footprint of a product [CFP]): Сумма выбросов ПГ и поглощений ПГ в продукционной системе, выраженная в единицах CO2-эквивалента и основанная на оценке жизненного цикла продукции с использованием одной категории воздействия - изменения климата. [ИСО 14067:2018, 3.1.1.1, изменено - примечания 1 и 2 удалены] 3.1.21 частичный углеродный след продукции; частичный УСП (partial carbon footprint of a product [partial CFP]): Сумма выбросов ПГ и поглощений ПГ, связанная с одним или несколькими процессами продукционной системы, выраженная в единицах CO2-эквивалента и относящаяся к соответствующим процессам или этапам жизненного цикла продукции. Примечание 1 - Частичный УСП основан или собран на базе данных, относящихся к конкретному процессу (процессам) или информационным модулям углеродного следа, которые являются частью продукционной системы и могут служить основой для количественной оценки УСП. Более подробная информация об информационных модулях приведена в ИСО 14025:2006, 5.4. [ИСО 14067:2018, 3.1.1.2, изменено - примечания 2 и 3 удалены] | |
3.2 Термины, используемые в самодекларируемых экологических заявлениях
Требования к использованию нижеперечисленных терминов при подготовке экологического заявления приведены в
разделе 7.
Компостируемый (compostable) | |
Подверженный деградации (degradable) | |
Сконструирован с возможностью разборки (designed for disassembly) | |
Продукция с увеличенным сроком службы (extended life product) | |
Восстановленная энергия (recovered energy) | |
Пригодный для переработки (recyclable) | |
Переработанное содержимое (recycled content) | |
Материал, полученный из отходов производства (pre-consumer material) | |
Материал, полученный из отходов потребления (post-consumer material) | |
Переработанный материал (recycled material) | |
Восстановленный [рекультивированный] материал (recovered [reclaimed] material) | |
Сниженное энергопотребление (reduced energy consumption) | |
Сниженное потребление ресурсов (reduced resource use) | |
Сниженное водопотребление (reduced water consumption) | |
Продукция (упаковка) многократного использования (reusable) | |
Продукция (упаковка) многократного заполнения (refillable) | |
Снижение количества отходов (waste reduction) | |
4 Цель самодекларируемых экологических заявлений
Общая цель экологических маркировок и заявлений состоит в том, чтобы через точную и проверяемую, не вводящую в заблуждение информацию об экологических аспектах продукции и услуг способствовать спросу и поставкам тех продукции и услуг, которые вызывают меньшую нагрузку на окружающую среду, тем самым стимулируя непрерывное улучшение окружающей среды при помощи рынка.
Целью настоящего стандарта является гармонизация использования самодекларируемых экологических заявлений. При этом достигается следующее:
a) точность и проверяемость экологических заявлений, которые не вводят в заблуждение;
b) увеличение возможностей рынка стимулировать улучшение экологичности производства, процессов и продукции;
c) предотвращение или сокращение до минимума неоправданных заявлений;
d) уменьшение путаницы на рынке;
e) содействие международной торговле;
f) увеличение возможности покупателей, потенциальных покупателей и пользователей продукции совершать более осознанный выбор.
5 Требования к самодекларируемым экологическим заявлениям
5.1 Общие положения
Требования настоящего раздела следует применять к любому самодекларируемому экологическому заявлению, сделанному заявителем, независимо от его вида.
5.2 Взаимосвязь с ИСО 14020
В дополнение к требованиям, изложенным в настоящем стандарте, применяют принципы, установленные в ИСО 14020. Если настоящий стандарт излагает более конкретные требования, чем ИСО 14020, должны применяться эти конкретные требования.
5.3 Нечеткие или неконкретные заявления
Не допускается использование экологических заявлений с нечеткими, неконкретными или широко трактуемыми формулировками, подразумевающими, что продукция "экологически полезная" или "экологически благоприятная". Поэтому в экологических заявлениях не должны использоваться такие формулировки, как "экологически безопасная", "экологически благоприятная", "благоприятная для почвы", "не загрязняющая", "зеленая", "благоприятная для природы", "не разрушает озоновый слой".
Примечание - Данный перечень не является исчерпывающим.
5.4 Заявления типа "не содержит..."
Экологическое заявление типа "не содержит..." должно применяться только тогда, когда количество определенного вещества находится на уровне, не превышающем допустимого для следовых количеств или фонового значения.
5.5 Заявления об устойчивости
Понятия устойчивости весьма сложны и находятся в стадии исследования. В настоящее время нет четких методов измерения устойчивости или подтверждения ее достижения. Поэтому об устойчивости не допускается делать никаких заявлений.
5.6 Использование пояснительных формулировок
Если самодекларируемое экологическое заявление может привести к недопониманию, оно должно сопровождаться пояснительной формулировкой. Экологические заявления могут быть без пояснительной формулировки только в том случае, если они будут достоверными во всех предполагаемых обстоятельствах без каких-либо оговорок.
5.7 Специальные требования
Самодекларируемые экологические заявления и любые пояснительные формулировки должны соответствовать следующим требованиям:
a) быть точными и не вводящими в заблуждение;
b) быть обоснованными и проверяемыми;
c) относиться к конкретной продукции и использоваться только в соответствующем контексте или при определенных условиях;
d) способ представления должен четко указывать, применяется ли заявление ко всей продукции или только к ее компоненту, упаковке или элементу услуги;
e) относиться к конкретному экологическому аспекту или экологическому улучшению, которые заявлены;
f) не дублироваться с использованием другой терминологии, применяя к себе множественные преимущества от одного экологического изменения;
g) не приводить к неправильному толкованию;
h) быть правдивыми не только в отношении конечной продукции, но и учитывать все соответствующие аспекты жизненного цикла продукции, чтобы идентифицировать возможность усиления одного воздействия в процессе уменьшения другого.
Примечание - Это не означает, что следует проводить оценку жизненного цикла;
i) быть представлены способом, исключающим возможность полагать, что продукция одобрена или сертифицирована организацией, представляющей независимую третью сторону, если это не соответствует действительности;
j) не должны прямо или косвенно указывать на улучшение окружающей среды, которого нет, но и не должны преувеличивать тот экологический аспект продукции, которого касается заявление;
k) должны быть правильно истолкованы потребителями, не вводя их в заблуждение отсутствием фактов, относящихся к их содержанию;
l) касаться только экологических аспектов, которые или существуют, или могут быть реализованы в жизненном цикле продукции;
m) быть представлены таким образом, который четко указывает, что экологическое заявление и пояснительную формулировку следует рассматривать вместе. Пояснительная формулировка должна быть обоснованного размера и находиться в непосредственной близости к экологическому заявлению, которое она сопровождает;
n) сравнительное заключение об экологическом преимуществе или улучшении, при наличии, должно быть конкретным и содержать основание для такого сравнения. В частности, экологическое заявление должно указывать, как давно было достигнуто такое экологическое улучшение;
o) если заявление основывается на имевшемся, но ранее незадекларированном аспекте, оно должно быть представлено таким образом, чтобы покупатели, потенциальные покупатели и пользователи продукции не поняли ошибочно, что заявление основано на недавнем изменении продукции или процесса;
p) не должны быть основаны на отсутствии ингредиентов или свойств, которые никогда не относились к данной группе продукции;
q) заявления должны быть пересмотрены и обновлены при необходимости отражения изменений в технологии, конкурирующей продукции или других обстоятельств, которые могут повлиять на достоверность заявления;
r) должны соотноситься с теми областями, где происходят соответствующие воздействия на окружающую среду.
Примечание - Заявление, относящееся к процессу, может быть сделано в любом виде в течение времени, пока воздействие на окружающую среду оказывается в зоне осуществления этого производственного процесса. Размер такой зоны должен определяться характером воздействия.
5.8 Использование знаков для экологических заявлений
5.8.1 При декларировании экологического заявления использование знака необязательно.
5.8.2 Используемые знаки должны быть простыми, легко воспроизводимыми, пригодными для размещения и изменения размеров в зависимости от продукции, на которую предполагается размещать такой знак.
5.8.3 Знаки, используемые для одного вида экологических заявлений, должны быть легко отличимы от других знаков, включая знаки для других экологических заявлений.
5.8.4 Знак, используемый для обозначения внедрения системы экологического менеджмента, не должен быть истолкован как экологический знак, указывающий на экологические аспекты продукции.
5.8.5 Изображения природных объектов следует использовать при наличии прямой и проверяемой связи между объектом и декларируемым преимуществом.
Примечание - Существует много преимуществ в использовании одинаковых знаков для обозначения одинаковых экологических аспектов на конкурирующей продукции. При разработке новых знаков заявителям рекомендуется применять согласованный подход и не препятствовать использованию другими такого же знака для обозначения того же экологического аспекта. При выборе нового знака следует точно выяснить, не нарушаются ли при этом права на интеллектуальную собственность (например, зарегистрированные знаки) третьей стороны.
5.9 Другая информация или заявления
5.9.1 Слова, цифры или знаки могут быть использованы в дополнение к экологическим знакам для передачи информации по идентификации материала, инструкции по утилизации или предупреждения об опасности.
5.9.2 Слова, цифры или знаки, используемые в иных целях, кроме целей экологического заявления, следует использовать так, чтобы они не были поняты как составляющие экологического заявления.
5.9.3 Экологический знак (5.10) не должен видоизменяться так, чтобы его можно было отнести к конкретному торговому знаку, позиции компании или корпорации.
5.10 Специальные знаки
5.10.1 Общие положения
В настоящем стандарте выбор специальных знаков для экологических заявлений основан на их широком применении и узнаваемости. Это не означает преимуществ таких экологических заявлений перед другими экологическими заявлениями. В настоящее время в стандарт включена только лента Мебиуса. Другие специальные знаки, которые не представлены в настоящем стандарте, будут представлены в соответствующее время.
5.10.2.1 Лента Мебиуса - знак, имеющий форму трех закрученных стрелок, образующих треугольник. Форма знака и его графическое изображение при использовании для экологического заявления должны соответствовать требованиям ИСО 7000-1135. Знак должен быть контрастным и четко различимым. В
разделе 7 представлены более детальные требования относительно использования и применения ленты Мебиуса. Примеры графического изображения ленты Мебиуса приведены на
рисунке 1.
5.10.2.2 Лента Мебиуса может быть размещена на продукции или упаковке. При вероятности ошибки отнесения знака к продукции или упаковке он должен сопровождаться пояснительной формулировкой.
5.10.2.3 Если знак ленты Мебиуса используют для заявления о том, что содержимое является перерабатываемым или переработанным, то он должен соответствовать
7.7 и
7.8.
5.10.2.4 Лента Мебиуса должна использоваться только для заявлений о перерабатываемом или переработанном содержимом (
7.7 и
7.8).
Рисунок 1 - Примеры ленты Мебиуса
6 Требования к оценке и верификации заявлений
6.1 Ответственность заявителя
Заявитель несет ответственность за оценку и предоставление данных, необходимых для верификации самодекларируемых экологических заявлений.
6.2 Надежность метода оценки
6.2.1 Перед тем как сделать заявление, должны быть разработаны критерии оценки для получения надежных и воспроизводимых результатов, необходимых для проверки заявления.
6.2.2 Процесс оценки должен быть полностью задокументирован, а документация сохранена заявителем для предоставления информации в соответствии с
6.5.2. Период хранения определяется периодом нахождения продукции на рынке, а также последующим обоснованным периодом с учетом жизненного цикла продукции.
Примечание - Перечень стандартов по воспроизводимости и надежности данных приведен в библиографии (
[10] -
[13]).
6.3 Оценка сравнительных заявлений
6.3.1 Сравнительные заявления должны оцениваться на основании одного или более из нижеприведенных факторов:
a) собственного ранее использовавшегося организацией процесса;
b) собственной ранее выпускавшейся организацией продукции;
c) процесса другой организации;
d) продукции другой организации.
Сравнение должно быть сделано только с использованием:
- опубликованного стандарта или признанного метода испытаний
(6.4);
- сравнимой продукции, выполняющей аналогичные функции, поставляемой тем же самым или другим поставщиком, находящейся или находившейся недавно в том же секторе рынка.
6.3.2 Сравнительные заявления, включающие экологические аспекты жизненного цикла продукции, должны быть:
a) количественно выражены и рассчитаны с использованием одинаковых единиц измерения;
b) основаны на одной функциональной единице;
c) рассчитаны по одному и тому же периоду времени, обычно 12 мес.
6.3.3 Сравнительные заявления могут основываться на:
a) процентах, выраженных в абсолютной разности значений.
Примечание - Следующий пример приведен для пояснения того, как можно применять относительные измерения: для возросшего пригодного для переработки содержимого с 10 до 15%, абсолютная разность составляет 15% - 10% = 5%; в этом случае можно сделать заявление о дополнительном увеличении пригодного для переработки содержимого на 5%; однако заявление об увеличении на 50%, хотя и точное, может ввести в заблуждение;
b) абсолютные (измеримые) значения, выраженные в относительных единицах.
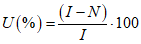
Примечание - Следующий пример приведен для пояснения того, как можно применять абсолютные измерения: для улучшения, которое привело к увеличению срока службы с 10 до 15 месяцев, относительная разность составит:

.
В этом случае может быть сделано заявления об увеличении срока службы на 50%. Если одно из значений нулевое, следует использовать абсолютную разницу.
6.3.4 Поскольку есть значительный риск спутать абсолютное значение заявления с относительным, в заявлении должно быть четко указано, что оно является заявлением абсолютной, а не относительной разности.
6.3.5 Улучшения, относящиеся к продукции и ее упаковке, должны быть расположены отдельно и не должны быть объединены.
Методы оценки и проверки заявления должны быть расположены в следующем приоритетном порядке: международные стандарты, признанные на международном уровне стандарты (региональные и национальные стандарты) и методы, применяемые в промышленности и торговле, которые были подвергнуты экспертной оценке. Если таких методов не существует, заявитель может сам разработать метод при условии, что он соответствует требованиям раздела 6 и будет доступен для экспертной оценки.
Примечание - Перечень международных и национальных стандартов и некоторые специальные промышленные методы, относящиеся к отобранным заявлениям, приведены в библиографии (
[14] -
[68]).
6.5.1 Самодекларируемое экологическое заявление следует считать верифицируемым, если верификация может быть проведена без доступа к конфиденциальной коммерческой информации. Не допускается делать заявления, если верифицировать их можно только с использованием конфиденциальной деловой информации.
6.5.2 Заявитель может добровольно предоставить общественности информацию, необходимую для верификации экологического заявления. В противном случае информация, необходимая для верификации, может быть предоставлена по запросу за обоснованную цену (покрывающую административные расходы), в обоснованное время и место лицу, заинтересованному в верификации заявления.
6.5.3 Минимальный объем информации, который необходимо документировать и сохранять в соответствии с
6.2, включает в себя:
a) данные для идентификации используемого стандарта или метода;
b) задокументированные доказательства, если заявления нельзя верифицировать испытаниями конечной продукции;
c) результаты испытаний, если они необходимы для верификации заявления;
d) если испытания выполнены независимой третьей стороной, наименование и адрес независимой стороны;
f) четко сформулированное описание используемого метода, результаты испытаний этой продукции и любые сделанные допущения, если самодекларируемое экологическое заявление включает сравнение с другой продукцией.
Примечание - Перечень международных и национальных стандартов и некоторые специальные промышленные методы, относящиеся к отобранным заявлениям, приведены в библиографии (
[14] -
[68]);
g) доказательства того, что оценка, проведенная заявителем, гарантирует сохранение точности самодекларируемого экологического заявления на период нахождения продукции на рынке и обоснованный период после, с учетом срока службы продукции.
7 Специальные требования к отдельным заявлениям
7.1.1 В настоящем разделе приведены интерпретация и ограничения применения отдельных терминов, обычно используемых в экологических заявлениях. Эти требования дополняют, но не заменяют требований, содержащихся в других разделах настоящего стандарта. Обязанность заявителя следовать принципам, изложенным в настоящем разделе, не должна уменьшаться путем замены терминов на аналогичные.
7.1.2 Заявления, описываемые в настоящем разделе, не являются вышестоящими по сравнению с другими экологическими заявлениями. Причина их отбора - их настоящее или потенциально широкое использование, а не экологическая значимость. Данные заявления могут быть применены, когда это уместно, к стадиям производства, дистрибуции, использования продукции, а также к ее восстановлению или утилизации.
Примечание - Дополнительно рекомендуется применять ИСО/МЭК 17065.
| Компостируемый (compostable) |
| Подверженный деградации (degradable) |
| Сконструирован с возможностью разборки (designed for disassembly) |
| Продукция с увеличенным сроком службы (extended life product) |
| Восстановленная энергия (recovered energy) |
| Пригодный для переработки (recyclable) |
| Переработанное содержимое (recycled content) |
| Сниженное энергопотребление (reduced energy consumption) |
| Сниженное потребление ресурсов (reduced resource use) |
| Сниженное водопотребление (reduced water consumption) |
| Продукция (упаковка) многократного использования и заполнения (reusable and refillable) |
| Снижение количества отходов (waste reduction) |
7.2.1 Определение термина
Характеристика продукции, упаковки или их компонента, обеспечивающая их биодеградацию и образование относительно однородной и стабильной гумусоподобной массы.
7.2.2 Ограничения
7.2.2.1 Не допускаются заявления о компостируемости для продукции, упаковки или их компонента, которые:
a) отрицательно влияют на общую ценность компоста как почвоулучшителя;
b) выделяют вещества в концентрациях, вредных для окружающей среды в какой-либо момент при разложении или последующем использовании;
c) значительно снижают скорость компостирования в тех системах, куда помещается продукция или ее компонент для компостирования.
7.2.2.2 Все заявления о компостируемости должны быть четко обусловлены следующим:
a) заявление должно указывать тип пункта (домашний, местный или централизованный), в котором указанный компонент компостируется; если же продукция может быть компостирована в пунктах всех типов, уточнение не требуется;
b) если продукция целиком некомпостируема, в заявлении должны быть идентифицированы компостируемые компоненты. Если предполагается отделение этих компонентов потребителем, необходимо четко указывать способ их отделения;
c) если проблемы и риски связаны с переработкой продукции в домашнем, местном или централизованном пункте для компостирования, в заявлении должно быть четко указано, какие именно пункты подходят для компостирования данной продукции.
7.2.2.3 Если заявление о компостируемости относится к домашней установке для компостирования, необходимо учесть следующие дополнительные требования:
a) заявление не делают, если для обеспечения достаточной компостируемости необходима существенная подготовка или модификация продукции, или если требуется дополнительная обработка готового компоста, как прямой результат компостирования продукции или его компонента;
b) если домашнее компостирование продукции или ее компонента требует материалов или оборудования (иного, чем установка для компостирования), или специальных навыков, которые отсутствуют в большинстве хозяйств, заявление о компостировании в домашних условиях не делают.
7.2.2.4 Если заявление о компостируемости зависит от процессов или установок для компостирования не в домашних условиях, то следует учитывать следующее:
a) пункты для компостирования продукции или упаковки должны быть в открытом доступе для достаточной части покупателей, потенциальных покупателей и пользователей там, где эта упаковка или продукция реализуются;
b) если такие установки недоступны для достаточной части покупателей, потенциальных покупателей и пользователей продукции, следует использовать пояснительные формулировки, достаточно информирующие об ограниченной доступности таких установок;
c) общие ограничения, такие как "компостируется, где имеются пункты компостирования", не являются достаточными, так как не указывают на ограниченную доступность пунктов.
7.2.3 Метод оценки
7.3 Подверженный деградации
7.3.1 Определение термина
Характеристика продукции или упаковки, которая в конкретных условиях позволяет им разложиться до определенной степени за определенное время.
Примечание - Подверженность деградации является склонностью к изменениям химической структуры. Последующие изменения физических и механических свойств приводят к разрушению продукции или материала.
7.3.2 Ограничения
7.3.2.1 Ко всем видам деградации, включая биодеградацию и фотодеградацию, относят следующие ограничения:
a) заявление о подверженности деградации должно быть сделано только относительно определенного метода испытаний, который включает значение максимального уровня деградации и продолжительность испытания, и должно соответствовать условиям, при которых продукция или упаковка вероятнее всего будут утилизированы;
b) заявление о подверженности деградации не допускается для продукции или упаковки, или компонента продукции или упаковки, которые выделяют вещества в концентрациях, опасных для окружающей среды.
7.3.3 Метод оценки
7.4 Сконструирован с возможностью разборки
7.4.1 Определение термина
Характеристика конструкции продукции, которая позволяет разобрать продукцию после окончания срока службы на составные части и компоненты таким образом, чтобы они могли повторно использоваться, перерабатываться, восстанавливаться как источники энергии или каким-либо иным образом извлекаться из потока отходов.
7.4.2 Ограничения
7.4.2.1 Заявление о конструировании с возможностью разборки следует сопровождать пояснительной формулировкой, указывающей на компоненты или детали, которые повторно используют, перерабатывают, восстанавливают или каким-либо иным образом извлекают из потока отходов.
7.4.2.2 Если заявление о конструировании с возможностью разборки сопровождает другое заявление, например о пригодности для переработки, то к такому заявлению также должны быть применены относящиеся к нему требования.
7.4.2.3 Заявления о том, что продукция сконструирована с возможностью разборки, должны указывать, кто должен осуществлять разборку (покупатели, пользователи или должен осуществляться возврат продукции для ее разборки специалистами).
7.4.2.4 Если для разборки продукции требуется отдельный процесс, следует учитывать:
a) пункты приема для сборки и разборки должны быть доступными для значительной части покупателей, потенциальных покупателей и пользователей продукции там, где она продается;
b) если такие пункты приема недоступны значительной части покупателей, потенциальных покупателей или пользователей продукции, то должны быть приведены пояснительные формулировки, достаточно информирующие об ограниченной доступности таких пунктов;
c) общие ограничения, например "может быть разобрано, если имеются соответствующие пункты приема", которые не учитывают ограниченную доступность пунктов приема, не являются достаточными.
7.4.2.5 Продукция, сконструированная с возможностью ее разборки покупателем, потенциальным покупателем или пользователем, должна сопровождаться информацией об инструментах для разборки и используемых для этого методах.
7.4.2.6 Заявление о том, что продукция сконструирована с возможностью ее разборки покупателем, потенциальным покупателем или пользователем, следует делать только в следующих случаях:
a) не требуются специальные инструменты или навыки;
b) предоставлена четкая информация о методе разборки и повторного использования, переработки, восстановления или утилизации компонентов продукции.
Примечание - Подробное руководство по информации, предоставляемой потребителю, см. ИСО/МЭК Guide 14.
7.4.2.7 Продукция, сконструированная с возможностью разборки специалистами, должна быть снабжена сопроводительной информацией об оборудовании и средствах, необходимых для ее разборки.
7.4.3 Метод оценки
7.5 Продукция с увеличенным сроком службы
7.5.1 Определение термина
Продукция, предназначенная для более длительного использования, основанного на увеличенной износостойкости, либо возможности ее модернизации, результатом чего является снижение использования ресурсов или сокращение количества отходов.
7.5.2 Ограничения
7.5.2.1 Все заявления, относящиеся к увеличенному сроку службы продукции, должны быть обоснованы. Поскольку такие заявления являются заявлениями сравнительного типа, они должны соответствовать требованиям
6.3.
7.5.2.2 Если заявление об увеличенном сроке службы продукции основано на возможности ее модернизации, должна быть приведена конкретная информация, за счет чего такая модернизация возможна (инфраструктура для модернизации должна быть доступна).
7.5.2.3 В заявлении об увеличенном сроке службы, основанном на увеличенной износостойкости продукции, должно быть указано увеличение срока службы в абсолютных значениях или процентах и приведено наименование измеряемого параметра, характеризующего увеличение ресурса (например, повторяющееся количество циклов на отказ), или приведено основание для такого заявления.
7.5.3 Метод оценки
Оценка проводится в соответствии с
разделом 6. Дополнительно должен быть измерен средний период времени, на который увеличивается срок службы, в соответствии со стандартами и статистическими методами. Выбор методов осуществляют в соответствии с
6.4.
7.6 Восстановленная энергия
7.6.1 Определение термина
Характеристика продукции, которая была изготовлена с использованием энергии, извлеченной из материала или энергии, которые были бы утилизированы как отходы, но вместо этого были собраны с помощью управляемых процессов.
Примечание - В данном контексте восстановленной энергией может быть сама продукция.
7.6.2 Ограничения
Для того чтобы можно было сделать заявление об изготовлении продукции с применением восстановленной энергии, используемая энергия должна оцениваться в соответствии с
7.6.3 с учетом следующих ограничений:
a) восстановление энергии из отходов подразумевает сбор и переработку отходов в полезную энергию. Это включает любые сбор и переработку промышленных, бытовых отходов, отходов объектов бизнеса и общественных служб;
b) до того, как сделать заявление об использовании восстановленной энергии, заявитель должен обеспечить управление и контроль отрицательного воздействия, возникающего в результате этой деятельности, на окружающую среду;
c) должны быть охарактеризованы тип и количество отходов, использованных для восстановления энергии.
Оценку проводят в соответствии с
разделом 6. Дополнительно оценка восстановленной энергии должна быть рассчитана по следующей формуле:
a) заявление делают только при R - E > 0;
b) заявление о суммарной восстановленной энергии выражают следующим образом:

,
где P - количество энергии из первичных источников, используемое в процессе производства продукции;
R - количество энергии, получаемое в результате процесса возобновления энергии;
E - количество энергии из первичных источников, используемое для возобновления или извлечения возобновленной энергии.
7.7 Пригодный для переработки
7.7.1 Определение термина
Характеристика продукции, упаковки или компонента, которые с помощью доступных технологических процессов и программ могут быть собраны, переработаны и возвращены к использованию в качестве сырьевых материалов или продукции, а не утилизированы.
Примечание - Переработка материалов - одна из возможных стратегий предотвращения образования отходов. Выбор конкретной стратегии зависит от обстоятельств, которые учитывают различные особенности на региональном уровне.
7.7.2 Ограничения
7.7.2.1 Если пункты сбора или переработки продукции или упаковки недоступны для значительной части покупателей, потенциальных покупателей и пользователей продукции в регионе, где эта продукция продается, то следует учитывать следующее:
a) заявления о пригодности к переработке должны быть обоснованы;
b) обоснованное заявление должно достаточно информировать об ограниченной доступности пунктов сбора;
c) общие ограничения, такие как "пригоден к переработке при наличии инфраструктуры", которые не учитывают ограниченную доступность пунктов сбора, не являются достаточными.
7.7.3 Использование знака
7.7.3.1 В заявлении о переработке использование соответствующего знака необязательно.
7.7.3.2 Если в заявлении о переработке используется знак, то таким знаком должна быть лента Мебиуса в соответствии с
5.10.2.
7.7.3.3 Для заявления о переработке используют ленту Мебиуса
(5.10.2) без указания значения в процентах.
7.7.3.4 Возможно использование пояснительной формулировки
(5.6).
7.7.3.5 Пояснительная формулировка может включать данные для идентификации материала.
7.7.4 Метод оценки
Оценку проводят в соответствии с
разделом 6. Информация, приведенная в
6.5, должна включать следующее:
a) сбор, сортировка и системы доставки материалов от первоисточника до пунктов переработки должны быть доступны значительной части покупателей, потенциальных покупателей и пользователей продукции;
b) готовность пунктов переработки к принятию собранных материалов;
c) продукция, для которой делается заявление, уже собирается и перерабатывается.
7.8 Переработанное содержимое
7.8.1 Определение термина
7.8.1.1 Переработанное содержимое и связанные с ним термины трактуются следующим образом:
a) Переработанное содержимое
Массовая доля переработанного материала в продукции или упаковке. В качестве переработанного содержимого должны рассматриваться только материалы, полученные из отходов потребления и производства, характеризуемые в соответствии с нижеприведенными определениями.
1) Материал, полученный из отходов производства
Материал, изъятый из образующихся в процессе производства отходов. За исключением повторного использования материала, например повторная обработка, шлифовка или утилизация отходов, полученных в ходе процесса, которые могут быть утилизированы в рамках того же процесса, в котором они образовались;
2) Материал, полученный из отходов потребления
Материал, производимый домашними хозяйствами, коммерческими, промышленными или административными объектами как конечными пользователями продукции, который больше не может использоваться по своему назначению, включая возврат материалов из цепи дистрибуции.
b) Переработанный материал
Материал, который был переработан из восстановленного [рекультивированного] материала посредством производственного процесса и превращен в конечную продукцию или в компонент, используемый в продукции.
c) Восстановленный [рекультивированный] материал
Материал, который мог бы стать отходами или был бы использован для извлечения энергии, но вместо этого был собран и восстановлен как входной материал вместо нового сырьевого материала, как материал для переработки или производственного процесса.
Примечания
1 Схема представления системы переработки материалов приведена в
приложении A.
2 В настоящем стандарте выражения "восстановленный материал" и "рекультивированный материал" воспринимают как синонимы, однако в ряде стран одно из двух этих выражений может быть более предпочтительным.
7.8.1.2 Переработка материалов - одна из возможных стратегий предотвращения образования отходов. Выбор конкретной стратегии зависит от обстоятельств, которые учитывают различные особенности на региональном уровне. Следует учитывать, что более высокий процент переработанного содержимого не обязательно означает меньшее воздействие на окружающую среду, поэтому заявление о переработанном содержимом следует использовать осмотрительно.
7.8.2 Ограничения
7.8.2.1 В заявлении о переработанном содержимом следует указывать процент содержания переработанного материала.
7.8.2.2 Процентные значения переработанного содержимого для продукции и упаковки следует указывать раздельно.
7.8.3 Использование знака
7.8.3.1 В заявлении о переработанном содержимом использование знака необязательно.
7.8.3.2 В заявлении о переработанном содержимом используют знак ленты Мебиуса с указанием значения в процентах "
X%", где
X - массовая доля переработанного содержимого, выраженная в виде целого числа в соответствии с
7.8.4. Значение в процентах должно быть размещено внутри или снаружи ленты Мебиуса или непосредственно рядом с ней. Примеры вариантов размещения процентного значения приведены на
рисунке 2. Лента Мебиуса с указанием значения "
X%" считается заявлением о переработанном содержимом.
7.8.3.3 Если массовая доля переработанного содержимого непостоянная величина, это может быть выражено формулировкой "Не менее X%" или "Свыше X%".
7.8.3.4 Использование пояснительной формулировки необязательно
(5.6).
7.8.3.5 Использование знака может сопровождаться идентификацией материала.
Рисунок 2 - Примеры допустимого размещения
процентного значения при заявлении о переработанном
содержимом при использовании ленты Мебиуса
7.8.4.1 Оценку проводят в соответствии с
разделом 6. Дополнительно массовую долю переработанного содержимого выражают в виде количественного значения в процентах, определяемого по нижеприведенной формуле. Поскольку методы, пригодные для прямого измерения содержания, переработанного содержимого в продукции или упаковке, отсутствуют, следует использовать массу материала, полученного в процессе переработки, после учета потерь и других отклонений.

,
где X - массовая доля переработанного содержимого, выраженная в процентах;
A - масса переработанного материала;
P - масса продукции.
Примечание - Дополнительные разъяснения относительно расчета массовой доли переработанного содержимого приведены в
приложении A.
7.8.4.2 Верификация источника и количества переработанных материалов может быть осуществлена с использованием закупочной документации и других имеющихся доступных данных.
7.9 Сниженное энергопотребление
7.9.1 Определение термина
Снижение количества энергии, потребляемой при использовании продукции по назначению, по сравнению с количеством энергии, потребляемой при использовании другой продукции, выполняющей такие же функции.
Примечание - Заявление о сниженном энергопотреблении обычно выражают следующим образом: "энергоэффективный", "энергосберегающий" или "энергосохраняющий".
7.9.2 Ограничения
7.9.2.1 Все заявления, относящиеся к снижению энергопотребления, должны быть обоснованными. Поскольку такие заявления являются заявлениями сравнительного типа, они должны соответствовать требованиям
6.3.
7.9.2.2 Заявления о сниженном энергопотреблении должны быть основаны на снижении расхода энергии при использовании продукции или выполнении услуги. Они не должны учитывать снижение расхода энергии в процессах при изготовлении продукции.
7.9.3 Метод оценки
Оценку проводят в соответствии с
разделом 6. Дополнительно снижение энергопотребления должно быть рассчитано в соответствии со стандартами и статистическими методами, разработанными для конкретного вида продукции, а среднее значение рассчитано статистическими методами. Выбор методов осуществляют в соответствии с
6.4.
7.10 Сниженное потребление ресурсов
7.10.1 Определение термина
Снижение количества материала, энергии или воды, используемых для производства или дистрибуции продукции, упаковки или определенного их компонента.
Примечание - Заявления о сниженном потреблении ресурсов относительно энергии или воды на эксплуатационном этапе жизненного цикла продукции рассматриваются в
7.9 и
7.11.
7.10.2 Ограничения
7.10.2.1 Под ресурсами подразумевают энергию и воду в дополнение к сырьевым материалам.
7.10.2.2 Заявления о сниженном потреблении ресурсов должны быть обоснованы.
7.10.2.3 Заявление о сниженном потреблении ресурсов для продукции и упаковки следует указывать раздельно.
7.10.2.4 Заявления о сниженном потреблении ресурсов должны быть выражены в процентах. Поскольку такие заявления являются заявлениями сравнительного типа, они должны соответствовать требованиям
6.3.
7.10.2.5 В заявлении о снижении потребления ресурсов должен быть указан тип ресурса в пояснительной формулировке.
7.10.2.6 Если объявленное снижение потребления одного ресурса сопровождается увеличением потребления другого ресурса, то в пояснительной формулировке должны быть указаны ресурс, потребление которого увеличивается, и процентное значение увеличения потребления.
7.10.2.7 Если снижение потребления ресурсов достигается за начальный период 12 мес, заявление может базироваться на оценочном расчете снижения потребления ресурса на основе проектирования или дистрибуции продукции, или процесса производства.
7.10.2.8 Изменение потребления ресурсов должно быть выражено для каждого ресурса отдельно.
7.10.3 Метод оценки
Оценку проводят в соответствии с
разделом 6. Кроме того, за исключением случаев по
7.10.2.7, потребление ресурсов на единицу продукции получают делением общего потребления входных ресурсов за период 12 мес на валовую продукцию за тот же период. Расчетное сниженное потребление ресурса (
U%) вычисляют по формуле

,
где U - снижение потребления ресурса на единицу продукции, выраженное в процентах;
I - изначальное потребление ресурса, выраженное как количество потребленного ресурса на единицу продукции;
N - новое потребление ресурса, выраженное как количество потребленного ресурса на единицу продукции.
7.11 Сниженное водопотребление
7.11.1 Определение термина
Снижение потребления воды при использовании продукции по назначению по сравнению с количеством воды, потребляемой при использовании другой продукции, выполняющей такие же функции.
Примечание - Заявление о сниженном водопотреблении обычно выражают следующим образом: "водоэффективный", "водосохраняющий" или "водосберегающий".
7.11.2 Ограничения
7.11.2.1 Заявления о сниженном водопотреблении должны быть обоснованы. Поскольку такие заявления являются заявлениями сравнительного типа, они должны соответствовать требованиям
6.3.
7.11.2.2 Заявления о сниженном водопотреблении должны быть основаны на сокращении расхода воды при использовании продукции без учета сокращения расхода воды в процессе изготовления продукции.
7.11.3 Метод оценки
Оценку проводят в соответствии с
разделом 6. Дополнительно снижение водопотребления должно быть рассчитано в соответствии со стандартами и статистическими методами, разработанными для конкретного вида продукции, а среднее значение рассчитано статистическими методами. Выбор методов осуществляют в соответствии с
6.4.
7.12 Продукция (упаковка) многократного использования и заполнения
7.12.1 Определение термина
7.12.1.1
продукция (упаковка) многократного использования: Характеристика продукции или упаковки, которая в течение жизненного цикла выполняет определенное число оборотов, ротаций и использований с той же целью, для которой она сконструирована.
7.12.1.2
продукция (упаковка) многократного заполнения: Характеристика продукции или упаковки, которую можно заполнять той же самой или аналогичной продукцией более одного раза в первоначальном виде и без дополнительной обработки, за исключением выполнения специальных требований (очистка или мойка).
7.12.2 Ограничения
7.12.2.1 Ни продукция, ни упаковка не могут быть заявлены как многократно используемые или заполняемые, если они не могут быть многократно использованы или заполнены по их прямому назначению.
7.12.2.2 Заявления о том, что продукция или упаковка являются многократно используемыми или многократно заполняемыми, могут быть сделаны только в следующих случаях:
a) существует программа сбора использованной продукции или упаковки и многократного их использования или заполнения;
b) имеются пункты или продукция, позволяющие покупателю повторно использовать или заполнять продукцию или упаковку.
7.12.2.3 Если программы сбора использованной продукции или упаковки или пункты для многократного использования или заполнения продукции или упаковки недоступны значительной части покупателей, потенциальных покупателей и пользователей продукции в регионе, где эта продукция продается, то следует учитывать следующее:
a) заявления о многократном использовании или заполнении должны быть обоснованы;
b) обоснованное заявление должно достаточно информировать об ограниченной доступности к пунктам сбора;
c) общие ограничения, такие как "возможно многократно использовать или заполнять, при наличии пунктов сбора", которые не учитывают ограниченную доступность пунктов сбора, не являются достаточными.
7.12.3 Метод оценки
Оценку проводят в соответствии с
разделом 6. Информация, приведенная в
6.5, должна включать следующее:
a) продукция, для которой сделано заявление, действительно многократно заполняется или используется;
b) пункты для многократного заполнения или использования доступны для продукции, для которой делается заявление;
c) пункты, необходимые для многократного использования или заполнения, должны быть доступны значительной части покупателей, потенциальных покупателей и пользователей продукции.
7.13 Снижение количества отходов
7.13.1 Определение термина
Снижение количества (массы) материала, идущего в отходы в результате изменения продукции, процесса или упаковки.
Примечание - Отходы могут включать выбросы в атмосферу, сбросы в воду, а также твердые отходы, образующиеся в ходе производственных процессов или процессов переработки.
7.13.2 Ограничения
7.13.2.1 Заявления о снижении количества отходов должны быть обоснованы. Поскольку такие заявления являются заявлениями сравнительного типа, они должны соответствовать требованиям
6.3.
7.13.2.2 Снижение количества отходов продукции или упаковки может включать сокращение отходов, образующихся на этапах производства, дистрибуции, использования и утилизации продукции.
7.13.2.3 Заявление о снижении количества отходов может включать не только снижение содержания воды в твердых отходах, но и также снижение массы отходов в процессе переработки.
7.13.2.4 При расчете снижения количества отходов не учитывают повторное использование материалов, например при повторной обработке, шлифовке или утилизации отходов, которые образуются в ходе процесса и могут быть повторно использованы в рамках того же процесса, в котором они образовались.
7.13.2.5 Производители отходов, которые передают отходы другим пользователям, имеющим намерение использовать их в конструктивных целях, а не направить их на окончательную утилизацию, могут сделать заявление о снижении количества отходов.
7.13.3 Метод оценки
Оценку проводят в соответствии с
разделом 6. Дополнительно снижение количества отходов может быть рассчитано на основании материального баланса, а также на основании измерения фактических значений количества отходов.
7.14 Возобновляемый материал
7.14.1 Определение термина
Материал, состоящий из биомассы живого источника, который может постоянно восполняться.
7.14.2 Ограничения
В заявлении о возобновляемости материалы должны поступать из источников, которые пополняются со скоростью, равной или превышающей скорость истощения.
Безоговорочное заявление о возобновляемости может быть сделано только в том случае, если продукция состоит на 100% из возобновляемого материала, что позволяет минимизировать количество невозобновляемых материалов, содержащихся в нем.
В противном случае заявление о возобновляемости должно быть обосновано следующим:
a) в заявлении о возобновляемости должно быть указано процентное соотношение массы возобновляемого материала к общей массе;
b) процентные значения возобновляемого материала для продукции и упаковки следует указывать раздельно.
Заявления о возобновляемости материалов должны соответствовать всем другим требованиям настоящего стандарта. В частности, обязанность заявителя следовать принципам, изложенным в этом разделе, не должна уменьшаться путем замены терминов на аналогичные
(7.1).
7.14.3 Метод оценки
7.15 Возобновляемые источники энергии
7.15.1 Определение термина
Энергия, получаемая из источников, которые неисчерпаемы или способны к постоянному пополнению. Возобновляемые источники энергии включают, но не ограничиваются, энергию солнечного света и ветра. К возобновляемым источникам также относятся биомасса и геотермальные источники, соответствующие
7.14.
Заявления о возобновляемых источниках энергии, связанных с перемещением водных ресурсов, могут быть сделаны только в том случае, если они получены из источников, управление которыми осуществляется в соответствии с принципами устойчивого развития
(3.1.17).
7.15.2 Ограничения
Безоговорочное заявление о возобновляемых источниках энергии может быть сделано только в том случае, если 100% энергоресурсов являются возобновляемыми. В противном случае заявления о возобновляемых источниках энергии должно быть обоснованы.
В заявлении о возобновляемых источниках энергии должно быть четко указано процентное значение доли энергии, которая поступает из возобновляемых источников.
Заявления о возобновляемых источниках энергии должны соответствовать всем другим требованиям настоящего стандарта. В частности, обязанность заявителя следовать принципам, изложенным в настоящем разделе, не должна уменьшаться путем замены терминов на аналогичные
(7.1).
Примечание - Особое внимание должно уделяться при заявлениях о возобновляемых источниках энергии, относящихся к продукции или процессам, связанным с использованием энергии, получаемой из электрической сети, при утверждении, что эта электрическая энергия содержит определенный процент возобновляемой энергии.
7.15.3 Метод оценки
7.16.1 Определение термина
В соответствии с
5.5 самодекларируемые заявления о достижении устойчивости не должны выдвигаться. В настоящем подпункте уделяется особое внимание, что безоговорочные утверждения "устойчивый" и "устойчивость" не должны использоваться.
При использовании обоснованного заявления "устойчивый", "устойчивость" или "устойчивое развитие"
(3.1.17) любая часть этого утверждения, относящаяся к экологическому аспекту, должна соответствовать настоящему стандарту.
Примечание - Термин "устойчивый" может быть использован в схемах верификации третьей стороны, связанных с лесным хозяйством и рыболовством, однако такие схемы выходят за область применения настоящего стандарта.
7.17 Заявления, связанные с выбросами парниковых газов
7.17.1 Общие положения
Углеродный след продукции (УСП) и частичный углеродный след продукции (частичный УСП) являются предпочтительными терминами, используемыми при предоставлении информации, касающейся выбросов парниковых газов как от процессов (т.е. частичный УСП), так и от продукции (т.е. УСП). Данный подпункт охватывает требования, связанные с УСП или частичным УСП, а также заявления об углеродной нейтральности/углеродном нейтралитете.
7.17.2 УСП и частичный УСП 7.17.2.1 Определение термина Под УСП понимают сумму выбросов ПГ и поглощения ПГ в течение жизненного цикла. Под частичным УСП понимают сумму выбросов ПГ и поглощения ПГ, связанную с одним или несколькими процессами жизненного цикла продукционной системы. УСП или частичный УСП - это способ сообщить о воздействии на окружающую среду, относящемся к глобальному потеплению или изменению климата, которое оценивается в ходе оценки жизненного цикла. УСП или частичный УСП не указывает на общие экологические характеристики продукта в течение его жизненного цикла (5.7, перечисление h). Примечание - Относительно терминологии ISO 14026, касающейся обмена информацией об экологических следах, изменение климата рассматривается как пример "проблемной области". Количественная оценка УСП и частичного УСП должна выполняться в соответствии с ISO 14067. Обмен информацией об УСП и частичном УСП осуществляют в соответствии с ISO 14026. 7.17.3 "Углеродная нейтральность" 7.17.3.1 Общие положения Термин "углеродно нейтральный" относится к продукции (а также к продукционной системе), углеродный след которой равен нулю или был снижен до нуля путем компенсирования. 7.17.3.2 Определение термина Применение термина "углеродно нейтральный" в отношении продукции требует, чтобы все выбросы ПГ на всех стадиях жизненного цикла продукции и в рамках указанной продукционной системы были сокращены, удалены или учтены с использованием системы взаиморасчетов или кредитов или любыми другими способами. Не допускается делать необоснованные заявления об "углеродной нейтральности". | |
7.17.3.3 Ограничения Заявления об "углеродной нейтральности" должны включать в себя: a) утверждение о том, что УСП равен нулю; или b) четкое утверждение о том, какие элементы жизненного цикла продукции были сокращены, удалены или учтены через систему компенсаций. Заявления об "углеродной нейтральности", включающие в себя заявления о компенсации, должны быть обоснованы утверждением, в котором говорится об УСП и четко объясняется, что именно было сокращено, удалено или учтено через систему компенсаций, с предоставлением полной информации об используемой схеме компенсации и информации, которая позволяет покупателю получить доступ к источникам дополнительных сведений, объясняющих программу компенсации. Заявления об углеродной нейтральности должны соответствовать всем другим требованиям настоящего стандарта. В частности, обязанность заявителя следовать принципам, изложенным в настоящем разделе, не должна уменьшаться путем замены терминов на аналогичные (7.1). Примечание - Рекомендуется, чтобы организация отдавала предпочтение достижению углеродной нейтральности посредством стратегий предотвращения и сокращения своих собственных выбросов и замены ископаемых источников энергии на возобновляемые. Накопленные компенсации выбросов углерода могут быть использованы для компенсации оставшихся выбросов. 7.17.3.4 Метод оценки Определение "углеродной нейтральности" основано, в первую очередь, на расчете УСП (7.17.2.2), затем его уменьшения за счет компенсаций, посредством сокращений, удаления или учета, эквивалентных выбросам углеродного следа. Иначе углеродная нейтральность может быть достигнута с помощью продукции, "углеродный след" которой равен нулю. | |
(справочное)
УПРОЩЕННАЯ СХЕМА ПРЕДСТАВЛЕНИЯ СИСТЕМЫ ПЕРЕРАБОТКИ
Некоторые восстановленные (рекультивированные) материалы могут направляться непосредственно в процесс производства, который включает процесс переработки, без отдельной операции, называемой "Процесс переработки", в системе. Однако побочная продукция и отходы все еще могут образовываться в процессе производства. Эта побочная продукция и отходы должны учитываться при определении массы переработанного материала, который будет использоваться в формуле для расчета содержания переработанного содержимого. Упрощенная схема представления системы переработки представлена на рисунке A.1.
Рисунок A.1 - Упрощенная схема представления
системы переработки
Доля переработанного содержимого в продукции (X%) = (A/P)·100.
Примечание - Схема, представленная на
рисунке A.1, представляет собой упрощенный пример системы переработки и служит для пояснения расчета доли переработанного содержимого в продукции. Более сложные примеры см. ISO/TR 14049.
(справочное)
СВЕДЕНИЯ О СООТВЕТСТВИИ ССЫЛОЧНЫХ МЕЖДУНАРОДНЫХ СТАНДАРТОВ
НАЦИОНАЛЬНЫМ СТАНДАРТАМ
Таблица ДА.1
Обозначение ссылочного международного стандарта | Степень соответствия | Обозначения и наименование соответствующего национального стандарта |
ISO 7000 | NEQ | ГОСТ Р 51362-99 "Машины для химической чистки одежды. Символы графические органов управления и других устройств" |
ISO 14020 | IDT | |
ISO 14026 | - | |
ISO 14067 | IDT | ГОСТ Р ИСО 14067-2021 "Газы парниковые. Углеродный след продукции. Требования и руководящие указания по количественному определению" |
<*> Соответствующий национальный стандарт отсутствует. До его принятия рекомендуется использовать перевод на русский язык данного международного стандарта. Примечание - В настоящей таблице использованы следующие условные обозначения степени соответствия стандартов: - IDT - идентичные стандарты; - NEQ - неэквивалентный стандарт |
[1] | ISO/IEC Guide 14 | Потребительские товары и связанные с ними услуги. Информация для потребителей |
[2] | ISO 14025:2006 | Этикетки и декларации экологические. Экологические декларации типа III. Принципы и процедуры |
[3] | ISO 14040:2006 | Экологический менеджмент. Оценка жизненного цикла. Принципы и структура |
[4] | ISO 14044 | Экологический менеджмент. Оценка жизненного цикла. Требования и рекомендации |
[5] | ISO/TR 14049 | Экологический менеджмент. Оценка жизненного цикла. Иллюстративные примеры использования ISO 14044 для определения цели, области применения и инвентаризационного анализа |
Перечень стандартов на символы идентификации материалов: В ссылках [6] - [9] приведены примеры стандартов и отраслевых публикаций, посвященных идентификации материалов. Приведенный список не является исчерпывающим. |
| ISO 11469 | Пластмассы. Общая идентификация и маркировка изделий из пластмассы |
[7] | IEC 61429 | Элементы вторичные и аккумуляторные батареи. Маркировка международным символом рециркуляции ИСО 7000-1135 |
[8] | Technical Bulletin No. PBI-24-1988 Revision 2, October 1, 1990 | Рекомендации. Система кодирования материалов для пластиковых бутылок. Чертежи модифицированных литейных форм. Ассоциация промышленности пластмасс |
| Technical Bulletin No. RPCD-13-1989 Revision 1, October 1, 1990 | Рекомендации. Система кодирования материалов для жестких пластиковых контейнеров. Чертежи модифицированных литейных форм. Ассоциация промышленности пластмасс |
Перечень нормативных документов по обеспечению качества испытаний и данных по верификации заявлений: В ссылках [10] - [13] приведены примеры стандартов, которые могут предоставить полезную информацию и рекомендации относительно сбора надежных данных, которые могут быть использованы для верификации заявлений. Приведенный список не является исчерпывающим. |
| ISO 9004 | Менеджмент окружающей среды. Словарь |
[11] | ISO/IEC 17025 | Общие требования к компетенциям испытательных и калибровочных лабораторий |
[12] | ANSI/ASQC E4-1994 | Оценка соответствия. Общие требования к паритетной оценке органов по оценке соответствия и органов по аккредитации |
| EN 45001:1989 | Лаборатории испытательные. Основные критерии функционирования |
Перечень стандартов на испытания и верификация заявлений: В ссылках [14] - [68] приведен перечень стандартов и отраслевых методов, которые могут быть рассмотрены для сбора различных типов данных, необходимых для верификации заявления. Приведенный список не является исчерпывающим. Методы в данном перечне должны использоваться только в том случае, если метод соответствует требованиям Раздела 6 и применим к конкретному самодекларируемому экологическому заявлению. |
| ASTM D5663-95 | Стандартное руководство по проверке переработанного содержимого в упаковочной бумаге и картоне |
[15] | BS 7500:1995 | Картон переработанный. Требования к маркировке |
[16] | AS 4082-1992 | Бумага переработанная. Словарь терминов |
[17] | PBI 27-1993, Technical Bulletin | Протокол количественной оценки использования переработанных пластиков при производстве пластиковых бутылок. Институт пластиковых бутылок |
Сниженное потребление ресурсов |
[18] | ASTM D5833-95 | Стандартное руководство по снижению потребления ресурсов, повторному использованию, переработке и утилизации металлических банок |
[19] | ASTM D5834-95 | Стандартное руководство по снижению потребления ресурса, повторному использованию, переработке и утилизации твердого и гофрированного волокнистого картона |
Подверженный деградации |
[20] | ISO 7827 | Качество воды. Оценка способности органических соединений к "быстрому" и "полному" разложению аэробными микроорганизмами в водной среде. Метод с применением анализа растворенного органического углерода (DOC) |
[21] | ISO 9408 | Качество воды. Оценка способности органических соединений к полному аэробному биологическому разложению в водной среде методом определения кислородной потребности в закрытом респирометре |
[22] | ISO 9439 | Качество воды. Оценка способности органических соединений к предельному аэробному биологическому расщеплению в водной среде. Метод измерения количества выделенного диоксида углерода |
[23] | ISO 10707 | Качество воды. Оценка способности органических соединений к "конечному" аэробному биологическому разложению в водной среде. Метод анализа биохимической потребности в кислороде (испытание в закрытой склянке) |
[24] | ISO 14851 | Пластмассы. Определение способности к полному аэробному биологическому разложению в водной среде. Метод с измерением потребления кислорода в закрытом респирометре |
[25] | ISO 14852 | Пластмассы. Определение способности к полному аэробному биологическому разложению в водной среде. Метод с помощью измерения количества выделяемого диоксида углерода |
[26] | ISO 14853 | Пластмассы. Определение конечной анаэробной биодеструкции пластмасс в водной системе. Метод измерения выделяемого биогаза |
[27] | ISO 14855-1 | Пластмассы. Определение способности к полному аэробному биологическому разложению и распаду в контролируемых условиях компостирования. Метод с применением анализа выделяемого диоксида углерода. Часть 1. Общий метод |
[28] | OECD 301 | Руководящие указания по тестированию химикатов |
[29] | ASTM D3826-91 | Определение конечной степени деградации деградируемого полиэтилена и полипропилена с использованием испытания на разрыв |
[30] | ASTM D5071-91 | Стандартная практика использования аппаратуры для электродуговой сварки в среде ксенона с водой для воздействия на пластмассы, деградируемые при свете |
[31] | ASTM D5208-91 | Использование флуоресцентного источника ультрафиолета и конденсационной аппаратуры для воздействия на массы, деградируемые при свете |
[32] | ASTM D5209-92 | Метод тестирования для определения аэробной биодеградации пластмасс в присутствии осадков бытовых сточных вод |
[33] | ASTM D5210-92 | Метод тестирования для определения анаэробной биодеградации пластмасс в присутствии осадков бытовых сточных вод |
[34] | ASTM D5247-92 | Метод тестирования для определения аэробной биодеградации деградируемых пластмасс с использованием специальных микроорганизмов |
[35] | ASTM D5271-93 | Метод тестирования для определения аэробной биодеградации пластмасс в активированных осадках систем очистки сточных вод |
[36] | ASTM D5272-92 | Испытания фотодеградирующих при свете пластмасс на открытом воздухе |
[37] | ASTM D5338-93 | Метод тестирования для определения аэробной биодеградации пластмасс в контролируемых условиях компостирования |
[38] | ASTM D5437-93 | Старение пластмасс под воздействием морской воды |
[39] | ASTM D5509-96 | Стандартная практика воздействия на пластмассу при моделировании условий компостирования |
[40] | ASTM D5510-94 | Стандартная практика теплового старения пластиков, деградируемых при окислении |
[41] | ASTM D5511-94 | Стандартная практика тестирования для определения анаэробной биодеградации пластмасс в условиях интенсивного анаэробного усвоения |
[42] | ASTM D5512-96 | Стандартная практика воздействия на пластмассы моделируемых условий компостирования с использованием внешнего подогревателя |
[43] | ASTM D5525-94, | Стандартная практика воздействия на пластмассы моделированных активных условий при захоронении в земле |
[44] | ASTM D5526-94 | Стандартный метод тестирования для определения анаэробной биодеградации пластмасс в ускоренных условиях при захоронении в земле |
[45] | ASTM D5988-96 | Стандартный метод тестирования для определения аэробной биодеградации в присутствии нефти пластмасс или остатков пластмасс после компостирования |
[46] | ASTM D6002-96 | Стандартное руководство по оцениванию способности к компостированию пластмасс, деградирующих в окружающей среде |
[47] | ASTM D6003-96 | Стандартный метод тестирования для определения потерь веса пластмасс, подвергаемых воздействию твердых бытовых отходов в условиях аэробного компостирования |
[48] | DIN V 54900-2 | Пластмассы. Определение компостируемости. Часть 2. Тестирование на полную биодеградируемость пластмасс при лабораторных испытаниях |
[49] | DIN V 54900-3 | Пластмассы. Определение компостируемости. Часть 3. Тестирование в практических условиях и тестирование качества компостов |
[50] | DIN V 54900-4 | Пластмассы. Определение компостируемости. Часть 4. Тестирование экотоксичности компостов |
Энергопотребление и водопотребление |
[51] | IEC 60436 | Машины электрические посудомоечные бытового назначения. Методы измерения рабочих характеристик |
[52] | IEC 60350 | Плиты, плитки, жарочные шкафы и грили бытовые электрические. Методы измерения рабочих характеристик |
[53] | IEC 60379 | Водонагреватели аккумуляционные электрические бытового назначения. Методы измерения эксплуатационных характеристик |
[54] | IEC 60531 | Обогреватели комнатные электрические аккумуляционного типа. Методы измерений функциональных характеристик |
[55] | IEC 60675 | Приборы отопительные непосредственного действия электрические бытовые. Методы функциональных испытаний |
[56] | IEC 60456 | Машины стиральные бытовые. Методы измерения рабочих характеристик |
[57] | IEC 61121 | Сушилки барабанные для бытового использования. Методы измерения функциональных характеристик |
[58] | IEC 60530 | Чайники и кувшины электрические бытового и аналогичного назначения. Методы измерения эксплуатационных характеристик |
[59] | IEC 60661 | Методы измерения рабочих характеристик электрических бытовых кофеварок |
[60] | IEC 60705 | Печи микроволновые бытовые. Методы измерения функциональных характеристик |
[61] | ISO 7371 | Оборудование холодильное бытовое. Холодильники с низкотемпературной камерой или без нее. Характеристики и методы испытаний |
[62] | ISO 8187 | Приборы холодильные бытовые. Двухкамерные бытовые холодильники. Характеристики и методы испытаний <1> |
[63] | ISO 8561 | Оборудование холодильное бытовое с необмерзающим испарителем. Холодильные шкафы, холодильники с низкотемпературным отделением, шкафы для хранения замороженных продуктов и морозильные аппараты с охлаждением под действием принудительной циркуляции воздуха <2> |
[64] | ISO 5151 | Кондиционеры воздушные без воздуховода и тепловые насосы. Испытания и оценка рабочих характеристик |
[65] | ISO 13253 | Кондиционеры воздушные канальные и воздухо-воздушные тепловые насосы. Испытания и оценка рабочих характеристик |
[66] | ISO 13256 (все части) | Тепловые насосы с водой в качестве источника тепла. Испытания и оценка рабочих характеристик |
[67] | ISO 15042 (все части) | Кондиционеры воздушные раздельные с многократной циркуляцией и воздухо-воздушные тепловые насосы. Испытания и оценка рабочих характеристик |
| ISO 5801 | Вентиляторы промышленные. Определение характеристик с использованием стандартных воздуховодов |
--------------------------------
УДК 003.62 (084):006.354 | |
Ключевые слова: экологическая маркировка, экомаркировка, самодекларируемые экологические заявления, экологические декларации, сертификация, верификация |