Главная // Актуальные документы // ГОСТ Р (Государственный стандарт)СПРАВКА
Источник публикации
М.: ФГБУ "РСТ", 2022
Примечание к документу
Документ
введен в действие с 01.12.2023.
Название документа
"ГОСТ Р 8.1014-2022. Национальный стандарт Российской Федерации. Государственная система обеспечения единства измерений. Стандартные справочные данные. Хлор жидкий и газообразный. Плотность при температурах от 172,17 К до 440 К и давлениях до 20 МПа"
(утв. и введен в действие Приказом Росстандарта от 18.10.2022 N 1145-ст)
"ГОСТ Р 8.1014-2022. Национальный стандарт Российской Федерации. Государственная система обеспечения единства измерений. Стандартные справочные данные. Хлор жидкий и газообразный. Плотность при температурах от 172,17 К до 440 К и давлениях до 20 МПа"
(утв. и введен в действие Приказом Росстандарта от 18.10.2022 N 1145-ст)
Утвержден и введен в действие
агентства по техническому
регулированию и метрологии
от 18 октября 2022 г. N 1145-ст
НАЦИОНАЛЬНЫЙ СТАНДАРТ РОССИЙСКОЙ ФЕДЕРАЦИИ
ГОСУДАРСТВЕННАЯ СИСТЕМА ОБЕСПЕЧЕНИЯ ЕДИНСТВА ИЗМЕРЕНИЙ
СТАНДАРТНЫЕ СПРАВОЧНЫЕ ДАННЫЕ
ХЛОР ЖИДКИЙ И ГАЗООБРАЗНЫЙ.
ПЛОТНОСТЬ ПРИ ТЕМПЕРАТУРАХ ОТ 172,17 К ДО 440 К
И ДАВЛЕНИЯХ ДО 20 МПа
State system for ensuring the uniformity of measurements.
Standard reference data. Chlorine, liquid and gaseous.
Density at temperatures from 172,17 K to 440 K
and pressures up to 20 MPa
ГОСТ Р 8.1014-2022
Дата введения
1 декабря 2023 года
1 РАЗРАБОТАН Обществом с ограниченной ответственностью "Предприятие устойчивого развития"
2 ВНЕСЕН Техническим комитетом по стандартизации ТК 180 "Стандартные справочные данные о физических константах и свойствах веществ и материалов"
3 УТВЕРЖДЕН И ВВЕДЕН В ДЕЙСТВИЕ
Приказом Федерального агентства по техническому регулированию и метрологии от 18 октября 2022 г. N 1145-ст
4 ВВЕДЕН ВПЕРВЫЕ
Правила применения настоящего стандарта установлены в статье 26 Федерального закона от 29 июня 2015 г. N 162-ФЗ "О стандартизации в Российской Федерации". Информация об изменениях к настоящему стандарту публикуется в ежегодном (по состоянию на 1 января текущего года) информационном указателе "Национальные стандарты", а официальный текст изменений и поправок - в ежемесячном информационном указателе "Национальные стандарты". В случае пересмотра (замены) или отмены настоящего стандарта соответствующее уведомление будет опубликовано в ближайшем выпуске ежемесячного информационного указателя "Национальные стандарты". Соответствующая информация, уведомление и тексты размещаются также в информационной системе общего пользования - на официальном сайте Федерального агентства по техническому регулированию и метрологии в сети Интернет (www.rst.gov.ru)
Настоящий стандарт распространяется на хлор, параметры состояния которого соответствуют газообразной, жидкой и сверхкритической областям. Стандарт устанавливает методы расчетного определения значений стандартных справочных данных по плотности

как в однофазных областях (газ, жидкость и флюид), так и на линии фазового перехода газ - жидкость (линии насыщения), а также значений давления на линии насыщения
ps.
В настоящем стандарте приведены основные параметры, применяемые при расчетах. Остальные параметры приведены в
[1].
Стандартные справочные данные значений плотности

хлора рассчитаны по единому для жидкой и газовой фаз фундаментальному уравнению состояния (ФУС) - зависимости свободной энергии (функции Гельмгольца)
F от плотности

и температуры
T [1]:

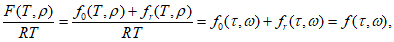
(1)
где f, f0, fr - безразмерные полная свободная энергия, идеально-газовая и неидеальная составляющие свободной энергии, соответственно;

- относительная плотность,

;

- относительная температура,

.
Значения плотности

и температуры (
Tкр) хлора в критической точке приведены в
таблице А.1 приложения А.
Уравнение для идеально-газовой составляющей свободной энергии имеет вид:

(2)
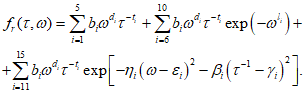
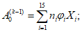
Уравнение для неидеальной составляющей свободной энергии имеет следующий вид:

(3)
В
формуле (3) bi - коэффициенты уравнения состояния, значения которых вместе с показателями степеней
di,
ti,
li и параметрами

,

,

,

приведены в
таблице А.3 приложения А.
Плотность

в однофазных областях при заданных значениях давления
p и температуры
T определяют из решения следующего уравнения в итерационном процессе:

(4)
где

.
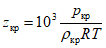
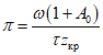
Значения давления (
pкр) и фактора сжимаемости (
zкр) в критической точке, а также индивидуальной газовой постоянной
R хлора приведены в
таблице А.1 приложения А. Вид комплекса
A0 и подробный алгоритм расчета плотности в однофазных областях приведены в
приложении Б.
Рассчитанные стандартные справочные данные плотности хлора в однофазных областях со значениями относительной неопределенности приведены в
приложении В.
3 Расчет плотности на линии насыщения и давления насыщенных паров
Плотность жидкой

фазы на линии насыщения при заданной температуре
T определяют по уравнению
[1]:

(5)
Давление на линии насыщения
ps определяется из уравнения
[1]:

(6)
Рассчитанные стандартные справочные данные плотности и давления хлора на линии насыщения со значениями относительной неопределенности приведены в
таблице Г.1 приложения Г.
4 Неопределенности рассчитанных значений плотности и давления насыщенных паров
Значения плотности в жидком однофазном состоянии установлены с точностью 0,15%, в газообразном состоянии - 0,25%, во флюидной области - 0,2%.
Неопределенность расчета значений плотности насыщенной жидкости - 1%.
Неопределенность вычисленных значений давления насыщенных паров составляет 1% в диапазоне температур T < 205 К, 0,5% в диапазоне от 205 К до 270 К и 3% для более высоких температур.
(обязательное)
ОСНОВНЫЕ ФИЗИЧЕСКИЕ ПАРАМЕТРЫ И КОЭФФИЦИЕНТЫ УРАВНЕНИЙ
ДЛЯ ОПРЕДЕЛЕНИЯ ЗНАЧЕНИЙ СТАНДАРТНЫХ СПРАВОЧНЫХ ДАННЫХ
ПО СВОЙСТВАМ ХЛОРА
Таблица А.1
Свойства и критические параметры хлора
[1]
Молярная масса М, г/моль | 70,906 |
Индивидуальная газовая постоянная R, кДж/(кг*К) | 0,177260 |
Критическая плотность  , кг/м 3 | 571,50236 |
Критическая температура Tкр, К | 416,8654 |
Критическое давление pкр, МПа | 7,635 |
Критический коэффициент сжимаемости zкр | 0,27330273 |
Количество цифр после запятой в значениях
R,

и
zкр получено в ходе численного машинного расчета и не отображает реальную точность.
Таблица А.2
i | mi | ui | CI | CII |
1 | 1,0256 | 800 | 3,839904988 | -3,953901622 |
2 | 0,067756 | 3000 | - | - |
3 | 0,14068 | 8200 | - | - |
Таблица А.3
i | ni | ti | di | li | | | | |
1 | 0,0245017 | 1,0 | 4 | - | - | - | - | - |
2 | 0,9132904 | 0,196 | 1 | - | - | - | - | - |
3 | -1,72309 | 1,0 | 1 | - | - | - | - | - |
4 | -0,3359344 | 1,08 | 2 | - | - | - | - | - |
5 | 0,1200495 | 0,39 | 3 | - | - | - | - | - |
6 | -1,214889 | 1,64 | 1 | 2 | - | - | - | - |
7 | -0,10167 | 3,2 | 3 | 2 | - | - | - | - |
8 | 0,6196819 | 1,32 | 2 | 1 | - | - | - | - |
9 | -0,6578512 | 2,163 | 2 | 2 | - | - | - | - |
10 | -0,009159452 | 0,93 | 7 | 1 | - | - | - | - |
11 | 1,909418 | 0,872 | 1 | - | 0,969 | 1,22 | 1,142 | 0,88 |
12 | -0,07163412 | 2,08 | 1 | - | 1,89 | 6,8 | 1,22 | 0,73 |
13 | -0,1893345 | 1,6 | 3 | - | 1,32 | 3,5 | 1,552 | 0,28 |
14 | -0,5698469 | 1,37 | 2 | - | 1,012 | 1,276 | 1,135 | 0,863 |
15 | -0,8964496 | 1,05 | 2 | - | 0,98 | 1,6 | 0,754 | 0,554 |
Таблица А.4
i | ni | ti |
1 | 0,9662 | 0,234 |
2 | 1,7744 | 0,68 |
3 | -0,23081 | 1,3 |
4 | 0,47213 | 3,35 |
Таблица А.5
i | ni | ti |
1 | -6,1289 | 1,0 |
2 | 1,5112 | 1,5 |
3 | -1,4523 | 2,0 |
4 | -5,6038 | 5,94 |
5 | 3,9923 | 7,0 |
6 | -1,2651 | 14,8 |
(обязательное)
ВЫЧИСЛЕНИЕ ПЛОТНОСТИ В ОДНОФАЗНЫХ ОБЛАСТЯХ
ИТЕРАЦИОННЫМ МЕТОДОМ
Определение относительной плотности

в любой области параметров, определяющих состояние веществ (однофазная область, линия насыщения), используя уравнение:

(Б.1)
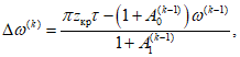
по методу Ньютона в следующем итерационном процессе:
1) Определяют

на
k-м итерационном шаге (начиная с
k = 1) с помощью выражений:

(Б.2)

(Б.3)
Комплексы

и

рассчитывают по
формулам (Б.7) и
(Б.8) при плотности на итерационном шаге (
k - 1), т.е. при

:

(Б.4)

(Б.5)

(Б.6)

(Б.7)

(Б.8)
Показатели степеней
di,
ti,
li и параметры

,

,

,

приведены в
таблице А.3 приложения А.
2) Критерий завершения итерационного процесса:

(Б.9)
3) Вычисляют плотность

в кг/м
3:

(Б.10)
(обязательное)
СТАНДАРТНЫЕ СПРАВОЧНЫЕ ДАННЫЕ ПЛОТНОСТИ ХЛОРА
В ОДНОФАЗНЫХ ОБЛАСТЯХ
Таблица В.1
Плотность хлора в однофазной среде в диапазоне давлений
T, К |  , кг/м 3 при p, МПа |
0,1 | 0,2 | 0,4 | 0,6 | 0,8 |
172,17 | 1744,51 | 1744,61 | 1744,81 | 1745,01 | 1745,21 |
0,15 | 0,15 | 0,15 | 0,15 | 0,15 |
175 | 1736,91 | 1737,02 | 1737,22 | 1737,42 | 1737,63 |
0,15 | 0,15 | 0,15 | 0,15 | 0,15 |
220 | 1616,08 | 1616,23 | 1616,51 | 1616,80 | 1617,08 |
0,15 | 0,15 | 0,15 | 0,15 | 0,15 |
270 | 3,2145 | 6,5495 | 1477,08 | 1477,52 | 1477,97 |
0,25 | 0,25 | 0,15 | 0,15 | 0,15 |
320 | 2,6916 | 5,4386 | 11,1130 | 17,056 | 23,309 |
0,25 | 0,25 | 0,25 | 0,25 | 0,25 |
370 | 2,3191 | 4,6674 | 9,4556 | 14,374 | 19,432 |
0,25 | 0,25 | 0,25 | 0,25 | 0,25 |
420 | 2,0388 | 4,0945 | 8,2578 | 12,493 | 16,804 |
0,25 | 0,25 | 0,25 | 0,25 | 0,25 |
Таблица В.2
Плотность хлора в однофазной среде в диапазоне давлений
T, К |  , кг/м 3 при p, МПа |
1 | 2 | 3 | 4 | 5 |
172,17 | 1745,40 | 1746,40 | 1747,38 | 1748,37 | 1749,34 |
0,15 | 0,15 | 0,15 | 0,15 | 0,15 |
175 | 1737,83 | 1738,84 | 1739,89 | 1740,85 | 1741,85 |
0,15 | 0,15 | 0,15 | 0,15 | 0,15 |
220 | 1617,37 | 1618,79 | 1620,19 | 1621,59 | 1622,98 |
0,15 | 0,15 | 0,15 | 0,15 | 0,15 |
270 | 1478,41 | 1480,62 | 1482,80 | 1484,95 | 1487,08 |
0,15 | 0,15 | 0,15 | 0,15 | 0,15 |
320 | 29,924 | 1324,68 | 1328,63 | 1332,48 | 1336,23 |
0,25 | 0,15 | 0,15 | 0,15 | 0,15 |
370 | 24,642 | 53,528 | 89,718 | 1128,35 | 1138,77 |
0,25 | 0,25 | 0,25 | 0,15 | 0,15 |
420 | 21,193 | 44,466 | 70,454 | 100,193 | 135,56 |
0,25 | 0,25 | 0,25 | 0,25 | 0,25 |
Таблица В.3
Плотность хлора в однофазной среде в диапазоне давлений
T, К |  , кг/м 3 при p, МПа |
6 | 7 | 8 | 9 | 10 |
172,17 | 1750,32 | 1751,29 | 1752,25 | 1753,21 | 1754,17 |
0,15 | 0,15 | 0,15 | 0,15 | 0,15 |
175 | 1742,84 | 1743,83 | 1744,81 | 1745,79 | 1746,77 |
0,15 | 0,15 | 0,15 | 0,15 | 0,15 |
220 | 1624,36 | 1625,73 | 1627,08 | 1628,43 | 1629,77 |
0,15 | 0,15 | 0,15 | 0,15 | 0,15 |
270 | 1489,18 | 1491,25 | 1493,30 | 1495,32 | 1497,33 |
0,15 | 0,15 | 0,15 | 0,15 | 0,15 |
320 | 1339,88 | 1343,44 | 1346,92 | 1350,32 | 1353,65 |
0,15 | 0,15 | 0,15 | 0,15 | 0,15 |
370 | 1148,25 | 1156,98 | 1165,08 | 1172,67 | 1179,80 |
0,15 | 0,15 | 0,15 | 0,15 | 0,15 |
420 | 180,56 | 247,30 | - | - | - |
0,25 | 0,25 | - | - | - |
Таблица В.4
Плотность хлора в однофазной среде в диапазоне давлений
T, К |  , кг/м 3 при p, МПа |
11 | 12 | 13 | 14 | 15 |
172,17 | 1755,12 | 1756,07 | 1757,01 | 1757,95 | 1758,89 |
0,15 | 0,15 | 0,15 | 0,15 | 0,15 |
175 | 1747,74 | 1748,70 | 1749,67 | 1750,62 | 1751,58 |
0,15 | 0,15 | 0,15 | 0,15 | 0,15 |
220 | 1631,10 | 1632,42 | 1633,74 | 1635,04 | 1636,34 |
0,15 | 0,15 | 0,15 | 0,15 | 0,15 |
270 | 1499,31 | 1501,26 | 1503,20 | 1505,11 | 1507,01 |
0,15 | 0,15 | 0,15 | 0,15 | 0,15 |
320 | 1356,90 | 1360,09 | 1363,21 | 1366,27 | 1369,28 |
0,15 | 0,15 | 0,15 | 0,15 | 0,15 |
370 | 1186,56 | 1192,97 | 1199,09 | 1204,94 | 1210,56 |
0,15 | 0,15 | 0,15 | 0,15 | 0,15 |
420 | - | - | 973,57 | 990,30 | 1004,97 |
- | - | 0,20 | 0,20 | 0,20 |
Таблица В.5
Плотность хлора в однофазной среде в диапазоне давлений
T, К |  , кг/м 3 при p, МПа |
16 | 17 | 18 | 19 | 20 |
172,17 | 1759,82 | 1760,75 | 1761,67 | 1762,59 | 1763,51 |
0,15 | 0,15 | 0,15 | 0,15 | 0,15 |
175 | 1752,53 | 1753,47 | 1754,41 | 1755,35 | 1756,28 |
0,15 | 0,15 | 0,15 | 0,15 | 0,15 |
220 | 1637,63 | 1638,90 | 1640,18 | 1641,44 | 1642,69 |
0,15 | 0,15 | 0,15 | 0,15 | 0,15 |
270 | 1508,89 | 1510,74 | 1512,58 | 1514,40 | 1516,20 |
0,15 | 0,15 | 0,15 | 0,15 | 0,15 |
320 | 1372,23 | 1375,12 | 1377,97 | 1380,77 | 1383,52 |
0,15 | 0,15 | 0,15 | 0,15 | 0,15 |
370 | 1215,95 | 1221,15 | 1226,17 | 1231,03 | 1235,73 |
0,15 | 0,15 | 0,15 | 0,15 | 0,15 |
420 | 1018,07 | 1029,97 | 1040,88 | 1050,98 | 1060,40 |
0,20 | 0,20 | 0,20 | 0,20 | 0,20 |
(обязательное)
СТАНДАРТНЫЕ СПРАВОЧНЫЕ ДАННЫЕ ПЛОТНОСТИ И ДАВЛЕНИЯ ХЛОРА
НА ЛИНИИ НАСЫЩЕНИЯ
Таблица Г.1
Давление насыщения и плотность хлора на линии насыщения
[1]
T, К | psat, МПа |  , % |  , кг/м 3 |  , % |
172,17 | 0,0013795 | 1,0 | 1744,16 | 1,0 |
175 | 0,0017852 | 1,0 | 1736,53 | 1,0 |
220 | 0,039967 | 0,5 | 1615,74 | 1,0 |
270 | 0,33124 | 0,5 | 1477,15 | 1,0 |
320 | 1,343 | 3,0 | 1322,08 | 1,0 |
370 | 3,669 | 3,0 | 1124,53 | 1,0 |
410 | 6,910 | 3,0 | 844,26 | 1,0 |
| ГСССД 400-2022 | Таблицы стандартных справочных данных. Хлор жидкий и газообразный. Плотность при температурах от 172,17 К до 440 К и давлениях до 20 МПа |
УДК 536.71:006.354 | |
Ключевые слова: Государственная система обеспечения единства измерений, стандартные справочные данные, жидкий и газообразный хлор, плотность |