Главная // Актуальные документы // ГОСТ Р (Государственный стандарт)СПРАВКА
Источник публикации
М.: ФГБУ "Институт стандартизации", 2023
Примечание к документу
Документ
введен в действие с 01.01.2024.
Название документа
"ГОСТ Р 70666-2023. Национальный стандарт Российской Федерации. Дистанционное зондирование Земли из космоса. Космические системы дистанционного зондирования Земли. Показатели производительности"
(утв. и введен в действие Приказом Росстандарта от 13.07.2023 N 522-ст)
"ГОСТ Р 70666-2023. Национальный стандарт Российской Федерации. Дистанционное зондирование Земли из космоса. Космические системы дистанционного зондирования Земли. Показатели производительности"
(утв. и введен в действие Приказом Росстандарта от 13.07.2023 N 522-ст)
Утвержден и введен в действие
агентства по техническому
регулированию и метрологии
от 13 июля 2023 г. N 522-ст
НАЦИОНАЛЬНЫЙ СТАНДАРТ РОССИЙСКОЙ ФЕДЕРАЦИИ
ДИСТАНЦИОННОЕ ЗОНДИРОВАНИЕ ЗЕМЛИ ИЗ КОСМОСА
КОСМИЧЕСКИЕ СИСТЕМЫ ДИСТАНЦИОННОГО ЗОНДИРОВАНИЯ ЗЕМЛИ
ПОКАЗАТЕЛИ ПРОИЗВОДИТЕЛЬНОСТИ
Remote sensing of the Earth from space.
Remote sensing systems of the Earth from space.
Indicators of productivity
ГОСТ Р 70666-2023
Дата введения
1 января 2024 года
1 РАЗРАБОТАН Акционерным обществом "Российская корпорация ракетно-космического приборостроения и информационных систем" (АО "Российские космические системы") по заказу Государственной корпорации по космической деятельности "Роскосмос"
2 ВНЕСЕН Техническим комитетом по стандартизации ТК 321 "Ракетно-космическая техника"
3 УТВЕРЖДЕН И ВВЕДЕН В ДЕЙСТВИЕ
Приказом Федерального агентства по техническому регулированию и метрологии от 13 июля 2023 г. N 522-ст
4 ВВЕДЕН ВПЕРВЫЕ
Правила применения настоящего стандарта установлены в статье 26 Федерального закона от 29 июня 2015 г. N 162-ФЗ "О стандартизации в Российской Федерации". Информация об изменениях к настоящему стандарту публикуется в ежегодном (по состоянию на 1 января текущего года) информационном указателе "Национальные стандарты", а официальный текст изменений и поправок - в ежемесячном информационном указателе "Национальные стандарты". В случае пересмотра (замены) или отмены настоящего стандарта соответствующее уведомление будет опубликовано в ближайшем выпуске ежемесячного информационного указателя "Национальные стандарты". Соответствующая информация, уведомление и тексты размещаются также в информационной системе общего пользования - на официальном сайте Федерального агентства по техническому регулированию и метрологии в сети Интернет (www.rst.gov.ru)
Космическая система дистанционного зондирования Земли представляет собой сложную систему, включающую орбитальный сегмент (целевую аппаратуру и служебные системы одного или нескольких космических аппаратов), а также наземную инфраструктуру, с помощью которой обеспечивается планирование, получение, обработка, хранение и распространение данных дистанционного зондирования Земли из космоса и продуктов их обработки.
Производительность целевого применения космической системы дистанционного зондирования Земли оценивается как площадь покрытия земной поверхности данными дистанционного зондирования Земли из космоса, соответствующими установленным требованиям, которые могут быть предоставлены пользователю (потребителю) за заданный период времени. Указанная производительность ограничена информационным ресурсом всех космических аппаратов из состава космической системы дистанционного зондирования Земли и определяется производительностью каждой из подсистем - планирования, съемки, передачи-приема, хранения, обработки, и распространения. Производительность целевого применения космической системы дистанционного зондирования Земли рассчитывается для каждого режима съемки, предусмотренного для каждого космического аппарата из состава космической системы дистанционного зондирования Земли.
Расчет значения производительности целевого применения космической системы дистанционного зондирования Земли позволяет спрогнозировать максимальный объем данных дистанционного зондирования Земли из космоса, соответствующих установленным требованиям, которые могут быть потенциально получены, что может быть использовано при оценке эффективности этой системы.
Настоящий стандарт устанавливает номенклатуру и правила определения значений показателей производительности целевого применения автоматических космических систем дистанционного зондирования Земли, использующих бортовое запоминающее устройство и передающих результаты космической съемки по радио- или оптическим каналам связи на приемные комплексы или спутники ретрансляции, обеспечивающих реализацию требований к данным дистанционного зондирования Земли из космоса.
Настоящий стандарт предназначен для использования организациями и специалистами, участвующими в разработке автоматических космических аппаратов и космических систем на их основе, технологий их целевого применения и в формировании концепций развития автоматической космической системы дистанционного зондирования Земли в целом.
Настоящий стандарт не распространяется на космические комплексы (космические системы) гидрометеорологического, океанографического и гелиогеофизического назначения.
В настоящем стандарте использованы нормативные ссылки на следующие стандарты:
ГОСТ Р 53802 Системы и комплексы космические. Термины и определения
ГОСТ Р 59482 Данные дистанционного зондирования Земли из космоса. Качество данных дистанционного зондирования Земли из космоса. Организационно-методические положения обеспечения единства оценки качества данных дистанционного зондирования Земли из космоса
ГОСТ Р 59753 Данные дистанционного зондирования Земли из космоса. Термины и определения
ГОСТ Р 70665 Дистанционное зондирование Земли из космоса. Космические системы дистанционного зондирования Земли. Показатели эффективности
Примечание - При пользовании настоящим стандартом целесообразно проверить действие ссылочных стандартов в информационной системе общего пользования - на официальном сайте Федерального агентства по техническому регулированию и метрологии в сети Интернет или по ежегодному информационному указателю "Национальные стандарты", который опубликован по состоянию на 1 января текущего года, и по выпускам ежемесячного информационного указателя "Национальные стандарты" за текущий год. Если заменен ссылочный стандарт, на который дана недатированная ссылка, то рекомендуется использовать действующую версию этого стандарта с учетом всех внесенных в данную версию изменений. Если заменен ссылочный стандарт, на который дана датированная ссылка, то рекомендуется использовать версию этого стандарта с указанным выше годом утверждения (принятия). Если после утверждения настоящего стандарта в ссылочный стандарт, на который дана датированная ссылка, внесено изменение, затрагивающее положение, на которое дана ссылка, то это положение рекомендуется применять без учета данного изменения. Если ссылочный стандарт отменен без замены, то положение, в котором дана ссылка на него, рекомендуется применять в части, не затрагивающей эту ссылку.
3.1
покрытие (данные дистанционного зондирования Земли из космоса): Совокупность (набор) данных дистанционного зондирования Земли из космоса, границы которых полностью или частично содержатся внутри границ заданной территории. |
3.2
режим съемки: Порядок проведения космической съемки, определяемый совокупностью условий съемки и технических параметров космического аппарата и установленной на нем целевой аппаратуры дистанционного зондирования Земли. |
3.3
производительность целевого применения космической системы дистанционного зондирования Земли: Площадь покрытия земной поверхности данными дистанционного зондирования Земли из космоса, соответствующими установленным требованиям, которые могут быть переданы пользователю (потребителю) за заданный период времени. Примечание - Производительность целевого применения космической системы дистанционного зондирования Земли следует оценивать для каждого режима съемки, предусмотренного для каждого космического аппарата из состава космической системы дистанционного зондирования Земли. |
3.4
эффективность космической системы дистанционного зондирования Земли: Соотношение между объемом целевого эффекта от полученных данных дистанционного зондирования Земли из космоса, соответствующих установленным требованиям, и суммой затрат на создание и эксплуатацию космической системы дистанционного зондирования Земли. Примечание - В зависимости от срока эксплуатации выделяется текущая эффективность (для заданного периода эксплуатации) и общая эффективность (для всего срока эксплуатации). |
3.5
целевое применение космической системы дистанционного зондирования Земли: Комплекс мероприятий по регистрации заявок на получение данных дистанционного зондирования Земли из космоса, планированию и проведению космических съемок, передаче, приему, каталогизации, хранению, обработке и распространению данных дистанционного зондирования Земли из космоса. |
3.6 рабочая программа космической съемки: Расписание работы целевой аппаратуры и служебных систем космического аппарата дистанционного зондирования Земли по съемке, хранению и передаче целевой информации на приемные комплексы.
3.7 план сеансов приема данных дистанционного зондирования Земли: Расписание работы приемных комплексов по приему целевой информации с космического аппарата дистанционного зондирования Земли.
3.8 архив данных дистанционного зондирования Земли из космоса: Совокупность программно-технических средств, а также данных дистанционного зондирования Земли из космоса, хранение, управление, миграция и безопасность которых обеспечивается посредством использования программно-технических средств.
Примечание - Постоянный архив обеспечивает постоянное хранение данных дистанционного зондирования Земли из космоса, оперативный архив обеспечивает оперативное хранение данных дистанционного зондирования Земли из космоса.
3.9 заявка на получение данных дистанционного зондирования Земли из космоса: Запрос, содержащий требования к данным дистанционного зондирования Земли из космоса (границы области интереса, период и условия съемки, уровень обработки, способ, период выполнения и другие необходимые параметры), полученный от идентифицированного пользователя (потребителя) данных.
3.10
наземная космическая инфраструктура: Программные и технические средства, устройства и системы, предназначенные для осуществления планирования, приема, обработки, хранения и распространения данных дистанционного зондирования Земли из космоса. |
3.11
пункт приема информации (данные дистанционного зондирования Земли из космоса): Совокупность технических средств, осуществляющих прием, регистрацию, предварительную обработку и распространение целевой информации, передаваемой по каналам связи с космических аппаратов дистанционного зондирования Земли. |
3.12
приемный комплекс (данные дистанционного зондирования Земли из космоса): Техническое средство, осуществляющее прием и регистрацию целевой информации, передаваемой по каналам связи с космических аппаратов дистанционного зондирования Земли. |
В настоящем стандарте применены следующие сокращения:
БЗУ - бортовое запоминающее устройство;
ДЗЗ - дистанционное зондирование Земли;
КА - космический аппарат;
КС ДЗЗ - космическая система дистанционного зондирования Земли;
ЛИ - летные испытания;
НКИ - наземная космическая инфраструктура;
НКУ - наземный комплекс управления;
НЭО - наземная экспериментальная отработка;
ПК - приемный комплекс;
ППИ - пункт приема информации;
ПСП - план сеансов приема;
РП КС - рабочая программа космической съемки;
РРД - разработка рабочей документации;
ЦА - целевая аппаратура;
ЦП - целевое применение;
ЦПУ - центральное процессорное устройство;
ЭП - эскизный проект.
5.1 Производительность ЦП КС ДЗЗ определяется показателями производительности отдельных этапов ЦП КС ДЗЗ, указанных в
таблице 1.
Номер | Этап ЦП КС ДЗЗ | Показатель производительности | Обозначение |
1 | Планирования | Сбора заявок на получение данных ДЗЗ из космоса | z1.1 |
Расчета РП КС и ПСП | z1.2 |
Передачи РП КС | z1.4 |
Передачи ПСП | z1.1 |
2 | Съемки | Космической съемки | z2 |
3 | Передачи-приема | Передачи-приема данных ДЗЗ из космоса | z3 |
4 | Хранения | Выбора и извлечения данных ДЗЗ из космоса | z4 |
5 | Обработки | Обработки данных ДЗЗ из космоса | z5 |
6 | Распространения | Распространения данных ДЗЗ из космоса | z6 |
5.1.1 При наличии заявки на получение новых данных ДЗЗ из космоса (заявка на космическую съемку) оценку производительности следует проводить для всех этапов ЦП КС ДЗЗ.
5.1.2 При наличии заявки на получение архивных данных ДЗЗ из космоса оценку производительности ЦП КС ДЗЗ следует проводить для этапов планирования (сбор заявок на получение данных ДЗЗ из космоса), хранения, обработки и распространения.
5.2 Производительность ЦП КС ДЗЗ z, км2/ч, км2/сут, следует определять по формуле

(1)
где S - площадь покрытия земной поверхности данными ДЗЗ из космоса, км2;
k - коэффициент соответствия данных ДЗЗ из космоса установленным требованиям;
t - заданный период предоставления данных ДЗЗ из космоса, ч, сут.
5.2.1 Площадь покрытия земной поверхности данными ДЗЗ из космоса ограничена:
- в случае заказа новых данных ДЗЗ из космоса - объемом информационного ресурса КА ДЗЗ;
- в случае заказа архивных данных ДЗЗ из космоса - объемом архива данных ДЗЗ из космоса.
Информационный ресурс КА ДЗЗ и объем архива данных ДЗЗ из космоса оцениваются в границах области интереса, указанных в заявке на получение данных ДЗЗ из космоса.
5.2.2 Заданный период предоставления данных ДЗЗ из космоса соответствует периоду выполнения заявки (заявок) на получение данных ДЗЗ из космоса. Производительность ЦП КС ДЗЗ напрямую определяет возможность и степень (полноту) реализации заявки (заявок) на получение данных ДЗЗ из космоса. Период выполнения заявки на получение данных ДЗЗ из космоса равен периоду времени от поступления (начала регистрации) заявки на получение данных ДЗЗ из космоса до окончания предоставления пользователю (потребителю) доступа на получение данных ДЗЗ из космоса.
5.2.3 Коэффициент соответствия данных ДЗЗ из космоса k установленным требованиям определяют коэффициентами качества выполнения каждого этапа ЦП КС ДЗЗ согласно формуле

(2)
где ki - коэффициент качества выполнения этапа ЦП КС ДЗЗ;
i - этап ЦП КС ДЗЗ;
N - количество этапов ЦП КС ДЗЗ.
Значения ki и k изменяются в пределах [0, 1]. Коэффициент соответствия данных ДЗЗ из космоса установленным требованиям обратно пропорционален доле объема информационного ресурса КА ДЗЗ/архива данных ДЗЗ из космоса, расходуемого/задействованного при выполнении заявки на получение данных ДЗЗ из космоса.
5.2.4 Период выполнения заявки на получение данных ДЗЗ из космоса t, ч, сут, определяют периодами выполнения каждого этапа ЦП КС ДЗЗ согласно формуле

(3)
где ti - период выполнения этапа ЦП КС ДЗЗ, ч, сут;
i - этап ЦП КС ДЗЗ;
N - количество этапов ЦП КС ДЗЗ.
5.3 Максимальное значение производительности ЦП КС ДЗЗ достигается при обеспечении максимально возможных значений производительности на каждом этапе ЦП КС ДЗЗ. Уменьшение производительности ЦП КС ДЗЗ происходит вследствие уменьшения качества выполнения и/или увеличения периода выполнения любого из этапов ЦП КС ДЗЗ.
5.4 Производительность ЦП КС ДЗЗ следует оценивать:
- расчетным (априорным) способом - с помощью методов математического моделирования на основе аналитических или имитационных моделей ЦП КС ДЗЗ (расчетная производительность ЦП КС ДЗЗ);
- практическим (апостериорным) способом - с помощью эмпирических методов на основе заданных (формализованных) тестовых условий (фактическая производительность ЦП КС ДЗЗ).
5.4.1 Производительность ЦП КС ДЗЗ расчетным (априорным) способом следует оценивать на стадии ЭП, РРД и НЭО. Производительность ЦП КС ДЗЗ практическим (апостериорным) способом следует оценивать на стадии ЛИ и, при необходимости, на стадии штатной эксплуатации.
5.4.2 Максимальное значение производительности ЦП КС ДЗЗ должно быть определено на стадии ЭП, РРД и НЭО расчетным (априорным) способом, а также подтверждаться на стадии ЛИ практическим (апостериорным) способом для каждого режима съемки.
Примечание - Отсутствие возможности достижения практическим (апостериорным) способом значений показателей производительности ЦП КС ДЗЗ, полученных расчетным (априорным) способом, может быть рассмотрено как невыполнение требований к проектированию и созданию КС ДЗЗ.
5.4.3 Максимальное значение производительности ЦП КС ДЗЗ, полученное расчетным (априорным) способом, может быть использовано для оценки расчетной эффективности КС ДЗЗ согласно
ГОСТ Р 70665.
5.4.4 При оценке максимальных значений производительности ЦП КС ДЗЗ практическим (апостериорным) способом для каждого из этапов ЦП КС ДЗЗ должны быть обеспечены условия максимальной готовности технических средств, используемых на соответствующем этапе ЦП КС ДЗЗ.
5.4.5 На стадии штатной эксплуатации в случае существенных изменений технических средств, методов или алгоритмов на любом из этапов ЦП КС ДЗЗ должен быть проведен повторный расчет максимальных значений производительности ЦП КС ДЗЗ расчетным (априорным) и фактическим (апостериорным) способами для каждого режима съемки.
Рекомендации по повышению производительности ЦП КС ДЗЗ на различных этапах ЦП КС ДЗЗ приведены в
приложении А.
5.5 В случае реализации сервисной модели ЦП КС ДЗЗ (реализация отдельных этапов ЦП КС ДЗЗ функционально привлекаемыми элементами/средствами) оценка производительности осуществляется только на этапах ЦП КС ДЗЗ, для реализации которых разрабатываются новые элементы/средства.
6 Производительность целевого применения космической системы дистанционного зондирования Земли на этапе планирования
6.1 Показатель производительности сбора заявок на получение данных ДЗЗ из космоса z1.1, км2/ч, соответствующий площади покрытия данными ДЗЗ из космоса, указанной в заявке на получение данных ДЗЗ из космоса, регистрируемой в единицу времени, следует определять по формуле

(4)
где S1.1 - объем информационного ресурса КА ДЗЗ/архива данных ДЗЗ из космоса за период съемки, указанный в заявке на получение данных ДЗЗ из космоса, км2;
k1.1 - качество регистрации заявок на получение данных ДЗЗ из космоса;
t1.1 - период сбора (регистрации) заявок на получение данных ДЗЗ из космоса, ч.
6.1.1 Качество регистрации заявок на получение данных ДЗЗ из космоса определяют отношением зарегистрированной площади покрытия данными ДЗЗ (суммарной площади покрытия данными ДЗЗ из космоса, указанной в заявках на получение данных ДЗЗ из космоса без учета пересечений) из космоса:
- в случае заказа новых данных ДЗЗ из космоса - к объему информационного ресурса КА ДЗЗ за период съемки, указанный в заявке на получение данных ДЗЗ из космоса;
- в случае заказа архивных данных ДЗЗ из космоса - к объему архива данных ДЗЗ из космоса за период съемки, указанный в заявке на получение данных ДЗЗ из космоса.
6.1.2 Период сбора (регистрации) заявок на получение данных ДЗЗ из космоса определяют интервалом времени:
- в случае заказа новых данных ДЗЗ из космоса - от поступления заявки на получение данных ДЗЗ из космоса (начала регистрации) до получения исходных данных установленного вида для расчета РП КС и ПСП;
- в случае заказа архивных данных ДЗЗ из космоса - от поступления заявки на получение данных ДЗЗ из космоса (начала регистрации) до получения исходных данных установленного вида для выбора и извлечения данных ДЗЗ из космоса из архива.
Регистрация заявки на получение данных ДЗЗ из космоса должна начинаться с момента ее поступления.
6.1.3 Производительность сбора заявок на получение данных ДЗЗ из космоса достигает максимального значения при условии достижения зарегистрированной площади покрытия данными ДЗЗ из космоса значения доступного объема информационного ресурса КА ДЗЗ/архива данных ДЗЗ из космоса (для периода съемки, указанного в заявке на получение данных ДЗЗ из космоса) за минимально возможный период времени.
6.1.4 Производительность сбора заявок на получение данных ДЗЗ из космоса зависит:
- от скорости канала связи средств сбора заявок на получение данных ДЗЗ из космоса;
- степени автоматизации средств сбора заявок на получение данных ДЗЗ из космоса (доли заявок на получение данных ДЗЗ из космоса, обрабатываемых в автоматическом режиме);
- мощности вычислительных ресурсов средств сбора заявок на получение данных ДЗЗ из космоса (количество ЦПУ, количество ядер в каждом ЦПУ, объем оперативной памяти и др.)
- и др.
6.2 Показатель производительности расчета РП КС и ПСП z1.2, км2/ч, соответствующий зарегистрированной площади покрытия данными ДЗЗ из космоса (исходные данные установленного вида для планирования), включаемой в РП КС и ПСП в единицу времени, следует определять по формуле

(5)
| | ИС МЕГАНОРМ: примечание. Обозначение дано в соответствии с официальным текстом документа. | |
где z1.2 - зарегистрированная площадь покрытия данными ДЗЗ из космоса, км2;
k1.2 - качество расчета РП КС и ПСП;
t1.2 - период расчета РП КС и ПСП, ч.
6.2.1 Качество расчета РП КС и ПСП определяют отношением площади покрытия данными ДЗЗ из космоса, включенной в РП КС и ПСП, к зарегистрированной площади покрытия данными ДЗЗ из космоса.
Примечание - Площадь покрытия данными ДЗЗ из космоса, включенная в РП КС и ПСП, как правило, представлена в значениях объема передаваемого и принимаемого информационного потока (исходя из информационных характеристик ЦА ДЗЗ).
6.2.2 Период расчета РП КС и ПСП определяют интервалом времени от получения исходных данных установленного вида для планирования до окончания формирования РП КС и ПСП (соответствует началу передачи РП КС и ПСП по каналам связи).
6.2.3 Производительность расчета РП КС и ПСП достигает максимального значения при условии достижения площади покрытия данными ДЗЗ из космоса, включенной в РП КС и ПСП, значения зарегистрированной площади покрытия данными ДЗЗ из космоса за минимально возможный период времени.
6.2.4 Производительность расчета РП КС и ПСП зависит:
- от степени автоматизации средств формирования РП КС и ПСП (доля РП КС и ПСП, формируемых в автоматическом режиме);
- мощности вычислительных ресурсов средств формирования РП КС и ПСП (количество ЦПУ, количество ядер в каждом ЦПУ, объем оперативной памяти и др.);
- точности прогнозирования движения КА ДЗЗ (отклонения параметров движения от эталонных) на заданном интервале планирования (прогнозирования) с использованием модели движения КА ДЗЗ;
- точности метода интегрирования уравнений движения КА ДЗЗ
- и др.
6.3 Показатель производительности передачи РП КС z1.3, км2/ч, соответствующий площади покрытия данными ДЗЗ из космоса, передаваемой на борт КА ДЗЗ в единицу времени, следует определять по формуле

(6)
где S1.3 - площадь покрытия данными ДЗЗ из космоса, включенная в РП КС, км2;
k1.3 - качество передачи РП КС;
t1.3 - период передачи РП КС, ч.
6.3.1 Качество передачи РП КС определяют отношением площади покрытия данными ДЗЗ из космоса, зафиксированной (записанной) на борту КА ДЗЗ, к площади покрытия данными ДЗЗ из космоса, включенной в РП КС.
6.3.2 Период передачи РП КС определяют интервалом времени от начала передачи РП КС на борт КА ДЗЗ (соответствует окончанию формирования РП КС) до окончания фиксации (записи) РП КС на борту КА ДЗЗ.
6.3.3 Производительность передачи РП КС достигает максимального значения при условии достижения площади покрытия данными ДЗЗ из космоса, зафиксированной (записанной) на борту КА ДЗЗ, значения площади покрытия данными ДЗЗ из космоса, включенной в РП КС, за минимально возможный период времени.
6.3.4 Производительность передачи РП КС зависит:
- от скорости, стабильности и защищенности канала связи для передачи РП КС на борт КА ДЗЗ;
- параметров НКУ (количество, географическое расположение, размер зоны эффективной связи и др.);
- параметров КА-ретрансляторов (количество, расположение на орбите и др.);
- уровня готовности КА ДЗЗ для приема и фиксирования РП КС;
- объема БЗУ
- и др.
6.4 Показатель производительности передачи ПСП z1.4, км2/ч, соответствующий площади покрытия данными ДЗЗ из космоса, передаваемой на ППИ (ПК) в единицу времени, следует определять по формуле

(7)
где S1.4 - площадь покрытия данными ДЗЗ из космоса, включенная в ПСП, км2;
k1.4 - качество передачи ПСП;
t1.4 - период передачи ПСП, ч.
6.4.1 Качество передачи ПСП определяют отношением площади покрытия данными ДЗЗ из космоса, зафиксированной на ППИ (ПК), к площади покрытия данными ДЗЗ из космоса, включенной в ПСП.
6.4.2 Период передачи ПСП определяют интервалом времени от начала передачи ПСП на ППИ (ПК) (соответствует окончанию формирования РП КС) до окончания фиксации (записи) ПСП на ППИ (ПК).
6.4.3 Производительность передачи ПСП достигает максимального значения при условии достижения площади покрытия данными ДЗЗ из космоса, зафиксированной на ППИ (ПК), значения площади покрытия данными ДЗЗ из космоса, включенной в ПСП, за минимально возможный период времени.
6.4.4 Производительность передачи ПСП зависит:
- от скорости, стабильности и защищенности канала связи для передачи ПСП на ППИ (ПК);
- параметров средств ППИ (ПК) (количество, географическое расположение, размер зоны эффективной связи и др.);
- параметров КА-ретрансляторов (количество, расположение на орбите и др.);
- уровня готовности ППИ (ПК) для приема и фиксирования ПСП
- и др.
7 Производительность целевого применения космической системы дистанционного зондирования Земли на этапах съемки, приема-передачи, хранения, обработки и распространения
7.1 Показатель производительности космической съемки z2, км2/ч, соответствующий площади покрытия данными ДЗЗ из космоса, получаемого в процессе космической съемки (площадь полученной космической съемки), в единицу времени, следует определять по формуле

(8)
где S2 - площадь покрытия данными ДЗЗ из космоса, зафиксированная (записанная) в виде РП КС на борту КА ДЗЗ, км2;
k2 - качество процесса космической съемки;
t2 - период космической съемки, ч.
7.1.1 Качество космической съемки определяют отношением площади покрытия данными ДЗЗ из космоса, полученного в процессе космической съемки, к площади покрытия данными ДЗЗ из космоса, зафиксированной (записанной) в виде РП КС на борту КА ДЗЗ.
7.1.2 Период космической съемки определяют интервалом времени от окончания фиксации (записи) РП КС на борту КА ДЗЗ до окончания записи полученной целевой информации (результатов космической съемки) в БЗУ КА ДЗЗ.
Примечание - Запись получаемой целевой информации в БЗУ КА ДЗЗ может осуществляться одновременно с процессом космической съемки.
7.1.3 Производительность космической съемки достигает максимального значения при условии достижения площади покрытия данными ДЗЗ из космоса, полученного в результате космической съемки, значения площади покрытия данными ДЗЗ из космоса, зафиксированной в виде РП КС на борту КА ДЗЗ, за минимальный период времени.
7.1.4 Производительность космической съемки зависит:
- от продолжительности работы (съемки) ЦА ДЗЗ (на витке, в сутки и др.);
- ширины полосы захвата ЦА ДЗЗ;
- скорости маневрирования КА ДЗЗ;
- орбитальных параметров (см.
[1])
- и др.
7.2 Показатель производительности передачи-приема данных ДЗЗ из космоса z3, км2/ч, соответствующий площади покрытия данными ДЗЗ из космоса, фиксируемой на ППИ (ПК) в единицу времени, следует определять по формуле

(9)
где S3 - площадь покрытия данными ДЗЗ из космоса, полученного в процессе космической съемки, км2;
k3 - качество передачи-приема данных ДЗЗ из космоса;
t3 - период передачи-приема данных ДЗЗ из космоса, ч.
7.2.1 Качество передачи-приема данных ДЗЗ из космоса определяют отношением площади покрытия данными ДЗЗ из космоса, зафиксированного на ППИ (ПК), к площади покрытия данными ДЗЗ из космоса, полученного в процессе космической съемки (записанного в БЗУ КА ДЗЗ).
7.2.2 Период передачи-приема данных ДЗЗ из космоса определяют интервалом времени от окончания записи результатов космической съемки в БЗУ КА ДЗЗ (при условии до окончания фиксации (записи) ПСП на ППИ (ПК)) до окончания фиксации (записи) передаваемой целевой информации на ППИ (ПК).
7.2.3 Производительность передачи-приема данных ДЗЗ из космоса достигает максимального значения при условии достижения площади покрытия данными ДЗЗ из космоса, зафиксированного на ППИ (ПК), значения площади покрытия данными ДЗЗ из космоса, полученного в процессе космической съемки (записанного в БЗУ КА ДЗЗ), за минимальный период времени.
7.2.4 Производительность передачи-приема данных ДЗЗ из космоса зависит:
- от скорости, стабильности и защищенности канала связи для передачи данных с КА ДЗЗ;
- вида применяемых сигнально-кодовых конструкций;
- уровня технических характеристик ПК на ППИ (добротность, коэффициент усиления, тип модуляции и др.);
- параметров ППИ (ПК) (количество, географическое расположение, размер зоны эффективной связи и др.);
- параметров КА-ретрансляторов (количество, расположение на орбите и др.)
- и др.
7.3 Показатель производительности выбора и извлечения данных ДЗЗ из космоса z4, км2/ч, соответствующий площади извлекаемого из архива выбранного покрытия данным ДЗЗ из космоса в единицу времени, следует определять по формуле

(10)
где S4 - площадь покрытия данными ДЗЗ из космоса, зафиксированного на ППИ (ПК)/хранящегося в архиве данных ДЗЗ из космоса за период съемки, указанный в заявке на получение данных ДЗЗ из космоса, км2;
k4 - качество выбора и извлечения данных ДЗЗ из космоса;
t4 - период выбора и извлечения данных ДЗЗ из космоса, ч.
7.3.1 Качество выбора и извлечения данных ДЗЗ из космоса определяют отношением площади покрытия данными ДЗЗ из космоса, выбранного и извлеченного (выгруженного) из архива, к площади покрытия данными ДЗЗ из космоса:
- в случае заказа новых данных ДЗЗ из космоса - зафиксированного на ППИ (ПК);
- в случае заказа архивных данных ДЗЗ из космоса - хранящегося в архиве, за период съемки, указанный в заявке на получение данных ДЗЗ из космоса.
Примечание - Выбор покрытия данными ДЗЗ из космоса осуществляется по параметрам, указанным в заявке на получение данных ДЗЗ из космоса.
7.3.2 Период выбора и извлечения данных ДЗЗ из космоса определяют:
- в случае заказа новых данных ДЗЗ из космоса - интервалом времени от окончания фиксации (записи) переданной целевой информации на ППИ (ПК) до начала обработки данных ДЗЗ из космоса;
- в случае заказа архивных данных ДЗЗ из космоса - интервалом времени от получения исходных данных установленного вида для выбора и извлечения данных ДЗЗ из космоса из архива до окончания выгрузки данных ДЗЗ из космоса из архива (соответствует началу обработки данных ДЗЗ из космоса).
7.3.3 Производительность выбора и извлечения данных ДЗЗ из космоса достигает максимального значения при условии достижения площади покрытия данными ДЗЗ из космоса, выбранного и извлеченного (выгруженного) из архива, значения площади покрытия данными ДЗЗ из космоса:
- в случае заказа новых данных ДЗЗ из космоса - зафиксированного на ППИ (ПК) за минимальный период времени;
- в случае заказа архивных данных ДЗЗ из космоса - хранящегося в архиве данных ДЗЗ из космоса за период съемки, указанный в заявке на получение данных ДЗЗ из космоса, за минимальный период времени.
7.3.4 Производительность извлечения данных ДЗЗ из космоса зависит:
- от архитектуры архива данных ДЗЗ из космоса (степени взаимной синхронизации средств хранения между собой, маршрутизации, формата хранения, программных средств восстановления данных ДЗЗ из космоса и др.);
- скорости чтения и записи средств хранения архива данных ДЗЗ из космоса
- и др.
7.4 Показатель производительности обработки данных ДЗЗ из космоса z5, км2/ч, соответствующий площади обрабатываемого покрытия данными ДЗЗ из космоса в единицу времени, следует определять по формуле

(11)
где S5 - площадь покрытия данными ДЗЗ из космоса, выбранного и извлеченного (выгруженного) из архива, км2;
k5 - качество обработки данных ДЗЗ из космоса;
t5 - период обработки данных ДЗЗ из космоса, ч.
7.4.1 Качество обработки данных ДЗЗ из космоса определяют отношением площади обработанного покрытия данными ДЗЗ из космоса (до уровня установленных требований) к площади покрытия данными ДЗЗ из космоса, выбранного и извлеченного (выгруженного) из архива.
7.4.2 Период обработки данных ДЗЗ из космоса определяют интервалом времени от окончания выгрузки данных ДЗЗ из космоса из архива до момента готовности данных ДЗЗ из космоса к распространению.
7.4.3 Производительность обработки данных ДЗЗ из космоса достигает максимального значения при условии достижения площади обработанного покрытия данными ДЗЗ из космоса (до уровня установленных требований) значения площади покрытия данными ДЗЗ из космоса, выбранного и извлеченного (выгруженного) из архива, за минимальный период времени.
7.4.4 Производительность обработки данных ДЗЗ из космоса зависит:
- от степени автоматизации средств обработки данных ДЗЗ из космоса (доля данных ДЗЗ из космоса, обрабатываемых в автоматическом режиме);
- мощности вычислительных средств обработки данных ДЗЗ из космоса (количество ЦПУ, количество ядер в каждом ЦПУ, объем оперативной памяти и др.);
- быстродействия используемых алгоритмов обработки данных ДЗЗ из космоса
- и др.
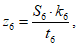
7.5 Показатель производительности распространения данных ДЗЗ из космоса z6, км2/ч, соответствующий площади покрытия данными ДЗЗ из космоса, распространяемого (передаваемого) в единицу времени, следует определять по формуле

(12)
где S6 - площадь обработанного покрытия данными ДЗЗ из космоса (до уровня установленных требований), км2;
k6 - качество распространения данных ДЗЗ из космоса;
t6 - период распространения данных ДЗЗ из космоса, ч.
7.5.1 Качество распространения данных ДЗЗ из космоса определяют отношением площади передаваемого покрытия данными ДЗЗ из космоса к площади обработанного покрытия данными ДЗЗ из космоса (до уровня установленных требований).
7.5.2 Период распространения данных ДЗЗ из космоса определяют интервалом времени от момента готовности данных ДЗЗ из космоса к распространению до окончания предоставления пользователю (потребителю) доступа на получение данных ДЗЗ из космоса. Скорость скачивания данных ДЗЗ из космоса определяется техническими средствами пользователя (потребителя) данных и не влияет на производительность распространения данных ДЗЗ из космоса.
7.5.3 Производительность распространения данных ДЗЗ из космоса достигает максимального значения при условии достижения площади передаваемого покрытия данными ДЗЗ из космоса значения площади обработанного покрытия данными ДЗЗ из космоса (до уровня установленных требований) за минимальный период времени.
7.5.4 Производительность распространения данных ДЗЗ из космоса зависит:
- от скорости канала связи средств распространения данных ДЗЗ из космоса;
- степени автоматизации средств распространения данных ДЗЗ из космоса (доли данных ДЗЗ из космоса, передаваемых в автоматическом режиме);
- мощности вычислительных ресурсов средств распространения данных ДЗЗ из космоса (количество ЦПУ, количество ядер в каждом ЦПУ, объем оперативной памяти и др.)
- и др.
8 Требования и рекомендации к методике оценки производительности целевого применения космической системы дистанционного зондирования Земли
8.1 В качестве исходных данных (начальных условий) для оценки производительности ЦП КС ДЗЗ (расчетной, фактической) рекомендуется использовать:
- данные об условиях эксплуатации и технических характеристиках КА ДЗЗ (максимальная длительность работы ЦА ДЗЗ на витке, маневренность КА ДЗЗ, режимы и ограничения съемки и др.);
- данные об условиях эксплуатации и технических характеристиках ППИ (ПК)/НКУ/КА-ретрансляторов (параметры каналов связи, расположение и др.);
- тестовые условия, включающие формализованный набор объектов/областей интереса, имеющих известные (установленные) параметры географического положения, количества/площади, условий наблюдения и др. (тестовый набор заявок на получение данных ДЗЗ из космоса).
8.2 Оценку производительности ЦП КС ДЗЗ рекомендуется проводить по заранее разработанным методикам.
8.2.1 Методики оценки производительности ЦП КС ДЗЗ представляют собой формализованное описание каждого способа вычисления количественных значений показателей производительности на каждом этапе ЦП КС ДЗЗ (расчетного (априорного) и практического (апостериорного)):
- в априорной методике оценки производительности ЦП КС ДЗЗ используются исходные данные, полученные путем аналитического или имитационного моделирования работы элементов КС ДЗЗ;
- в апостериорной методике оценки производительности ЦП КС ДЗЗ используются исходные данные, полученные при функционировании элементов КС ДЗЗ.
Примечание - Допускается получать часть исходных данных для оценки производительности ЦП КС ДЗЗ на вычислительных средствах элементов КС ДЗЗ.
Априорная методика должна содержать описание используемых моделей функционирования элементов КС ДЗЗ (в том числе, систем КА ДЗЗ), с помощью которых формируются исходные данные для оценки производительности ЦП КС ДЗЗ.
8.2.2 Методики оценки производительности ЦП КС ДЗЗ (априорные и апостериорные) следует создавать на основе единой методической базы согласно
ГОСТ Р 59482.
8.2.3 Методики оценки производительности ЦП КС ДЗЗ (априорные и апостериорные) должны быть представлены в виде технических документов в цифровой форме (в формате электронного документа) и в аналоговой форме (в виде бумажного документа) (при необходимости).
8.3 Сравнение производительности ЦП различных КС ДЗЗ (на любом из этапов ЦП КС ДЗЗ) рекомендуется проводить только при условии сходных (сопоставимых) технических характеристик ЦА, КА и НКИ ДЗЗ с использованием идентичного тестового набора заявок на получение данных ДЗЗ из космоса.
Примечание - Сходными (сопоставимыми) рекомендуется считать технические характеристики ЦА, КА и НКИ ДЗЗ, значения которых различаются не более чем на 10%.
(справочное)
ПО ПОВЫШЕНИЮ ПРОИЗВОДИТЕЛЬНОСТИ ЦЕЛЕВОГО ПРИМЕНЕНИЯ
КОСМИЧЕСКОЙ СИСТЕМЫ ДИСТАНЦИОННОГО ЗОНДИРОВАНИЯ ЗЕМЛИ
ИЗ КОСМОСА НА РАЗЛИЧНЫХ ЭТАПАХ ЦЕЛЕВОГО ПРИМЕНЕНИЯ
Повышение производительности ЦП КС ДЗЗ на любом из этапов ЦП КС ДЗЗ может быть осуществлено интенсивным или экстенсивным способом согласно
таблице А.1. Интенсивный способ повышения производительности представляет собой способ воздействия на составные элементы космической системы дистанционного зондирования Земли, увеличивающий ее производительность за счет повышения качества систем управления, внедрения новых (инновационных) технологий и автоматизации процесса ЦП. При реализации интенсивного способа увеличение производительности ЦП КС ДЗЗ происходит без значительных затрат материальных ресурсов. Экстенсивный способ повышения производительности представляет собой способ воздействия на составные элементы космической системы дистанционного зондирования Земли, увеличивающий ее производительность за счет количественного роста используемых материальных и трудовых ресурсов. При реализации экстенсивного способа увеличение производительности ЦП КС ДЗЗ происходит при значительных затратах материальных ресурсов.
Этап ЦП КС ДЗЗ | Показатель производительности | Интенсивный способ | Экстенсивный способ |
Планирования | Сбора заявок на получение данных ДЗЗ из космоса | Повышение степени автоматизации системы сбора и регистрации заявок на получение данных ДЗЗ из космоса; увеличение скорости канала связи средств сбора заявок на получение данных ДЗЗ из космоса; повышение мощности вычислительных ресурсов средств сбора заявок на получение данных ДЗЗ из космоса | Увеличение числа сотрудников для сбора и регистрации заявок на получение данных ДЗЗ из космоса |
Расчета РП КС и ПСП | Повышение степени автоматизации средств формирования РП КС и ПСП; повышение мощности вычислительных ресурсов средств формирования РП КС и ПСП; повышение точности прогнозирования движения КА ДЗЗ; повышение точности метода интегрирования уравнений движения | Увеличение числа сотрудников для расчета РП КС и ПСП |
Передачи РПКС | Увеличение скорости канала связи для передачи РП КС на борт КА ДЗЗ; оптимизация параметров НКУ; оптимизация параметров КА-ретрансляторов; повышение уровня готовности КА ДЗЗ для приема и фиксирования РП КС | Увеличение количества средств НКУ и/или КА-ретрансляторов |
Передачи ПСП | Увеличение скорости канала связи для передачи ПСП на ППИ (ПК); оптимизация параметров средств ППИ (ПК); оптимизация параметров КА-ретрансляторов; повышение уровня готовности ППИ (ПК) для приема и фиксирования ПСП | Увеличение количества средств ППИ и/или КА-ретрансляторов |
Съемки | Космической съемки | Увеличение времени работы ЦА ДЗЗ на витке; увеличение ширины полосы захвата ЦА ДЗЗ; увеличение скорости маневрирования КА ДЗЗ; оптимизация орбиты КА ДЗЗ | Увеличение количества КА ДЗЗ |
Передачи-приема | Передачи-приема данных ДЗЗ из космоса | Увеличение скорости передачи данных с КА ДЗЗ; усложнение вида применяемых сигнально-кодовых конструкций; повышение уровня технических характеристик ПК на ППИ; оптимизация параметров ППИ (ПК); оптимизация параметров КА-ретрансляторов | Увеличение количества ППИ (ПК) без учета их географического расположения |
Хранения | Выбора и извлечения данных ДЗЗ из космоса | Оптимизация архитектуры архива данных ДЗЗ из космоса; увеличение скорости чтения и записи средств хранения архива данных ДЗЗ из космоса | Увеличение количества системных администраторов для обслуживания средств хранения архива данных ДЗЗ из космоса |
Обработки | Обработки данных ДЗЗ из космоса | Повышение степени автоматизации средств обработки данных ДЗЗ из космоса; увеличение мощности вычислительных средств обработки данных ДЗЗ из космоса; повышение быстродействия используемых алгоритмов, методов и технологий обработки данных ДЗЗ из космоса | Увеличение численности персонала для обработки данных ДЗЗ из космоса |
Распространения | Распространения данных ДЗЗ из космоса | Увеличение скорости канала связи средств распространения данных ДЗЗ из космоса; повышение степени автоматизации средств распространения данных ДЗЗ из космоса; увеличение мощности вычислительных ресурсов средств распространения данных ДЗЗ из космоса | Увеличение численности персонала для взаимодействия с пользователями (потребителями) данных |
| ISO/TR 11233:2014 | Космические системы. Определение и оценка орбиты. Процесс описания методов (Space systems - Orbit determination and estimation - Process for describing techniques) |
УДК 528.8:006.354 | |
Ключевые слова: планирование космической съемки, передача-прием информации, обработка данных, хранение данных, распространение данных |