Главная // Актуальные документы // ГОСТ Р (Государственный стандарт)СПРАВКА
Источник публикации
М.: ФГБУ "Институт стандартизации", 2023
Примечание к документу
Документ
введен в действие с 01.04.2023.
Название документа
"ГОСТ Р 70472-2023. Национальный стандарт Российской Федерации. Автомобильные транспортные средства. Безопасность перевозки грузов. Расчет сил крепления грузов"
(утв. и введен в действие Приказом Росстандарта от 13.02.2023 N 82-ст)
"ГОСТ Р 70472-2023. Национальный стандарт Российской Федерации. Автомобильные транспортные средства. Безопасность перевозки грузов. Расчет сил крепления грузов"
(утв. и введен в действие Приказом Росстандарта от 13.02.2023 N 82-ст)
Утвержден и введен в действие
Приказом Федерального агентства
по техническому регулированию
и метрологии
от 13 февраля 2023 г. N 82-ст
НАЦИОНАЛЬНЫЙ СТАНДАРТ РОССИЙСКОЙ ФЕДЕРАЦИИ
АВТОМОБИЛЬНЫЕ ТРАНСПОРТНЫЕ СРЕДСТВА
БЕЗОПАСНОСТЬ ПЕРЕВОЗКИ ГРУЗОВ
РАСЧЕТ СИЛ КРЕПЛЕНИЯ ГРУЗОВ
Automotive vehicles. Safety of cargo transportation.
Calculation of lashing forces for cargo securing
ГОСТ Р 70472-2023
Дата введения
1 апреля 2023 года
1 РАЗРАБОТАН Открытым Акционерным Обществом "Научно-исследовательский институт автомобильного транспорта" (ОАО "НИИАТ") и Федеральным государственным унитарным предприятием "Центральный ордена Трудового Красного Знамени научно-исследовательский автомобильный и автомоторный институт "НАМИ" (ФГУП "НАМИ")
2 ВНЕСЕН Техническим комитетом по стандартизации ТК 056 "Дорожный транспорт"
3 УТВЕРЖДЕН И ВВЕДЕН В ДЕЙСТВИЕ Приказом Федерального агентства по техническому регулированию и метрологии от 13 февраля 2023 г. N 82-ст
4 ВВЕДЕН ВПЕРВЫЕ
Правила применения настоящего стандарта установлены в статье 26 Федерального закона от 29 июня 2015 г. N 162-ФЗ "О стандартизации в Российской Федерации". Информация об изменениях к настоящему стандарту публикуется в ежегодном (по состоянию на 1 января текущего года) информационном указателе "Национальные стандарты", а официальный текст изменений и поправок - в ежемесячном информационном указателе "Национальные стандарты". В случае пересмотра (замены) или отмены настоящего стандарта соответствующее уведомление будет опубликовано в ближайшем выпуске ежемесячного информационного указателя "Национальные стандарты". Соответствующая информация, уведомление и тексты размещаются также в информационной системе общего пользования - на официальном сайте Федерального агентства по техническому регулированию и метрологии в сети Интернет (www.rst.gov.ru)
Большинство грузов, перевозимых автомобильным транспортом, в целях обеспечения безопасности перевозок и сохранности грузов необходимо надежно размещать и закреплять в кузовах грузовых автотранспортных средств и в грузовых контейнерах. При отсутствии крепления или недостаточно надежном креплении грузов вероятность возникновения дорожно-транспортных происшествий, сопровождаемых травмированием или гибелью людей, нанесением значительного материального ущерба, вызванного повреждением груза, транспортного средства, дорожного покрытия или элементов обустройства автомобильных дорог и улиц, существенно возрастает. Надежность крепления грузов должна подтверждаться надлежащими расчетами.
До настоящего времени в системе национальной стандартизации отсутствовало нормирование в отношении надежного крепления грузов, в частности требования к расчетам сил, действующих в системе крепления груза.
В то же время Европейским Союзом накоплен и закреплен в нормативных правовых актах существенный опыт организации, осуществления и контроля операций, связанных с безопасностью перевозки грузов на автотранспортных средствах.
Настоящий стандарт разработан в целях ликвидации пробела в нормативном техническом регулировании в отношении безопасной перевозки грузов автомобильным транспортом. Принимая во внимание необходимость обеспечения безопасности международных грузоперевозок автомобильным транспортом положения настоящего стандарта гармонизированы с положениями европейского аналога
[1].
Настоящий стандарт предназначен для применения изготовителями гибких средств крепления грузов; организациями, осуществляющими грузовые автомобильные перевозки; организациями, осуществляющими погрузку автотранспортных средств, и лицами, ответственными за надлежащее крепление груза при его перевозке автотранспортными средствами.
1.1 Настоящий стандарт распространяется на автомобильные транспортные средства (АТС) категорий N и O в соответствии с
[2], а также контейнеры и съемные кузова, используемые для перевозки грузов АТС, в т.ч. при перевозке груженых АТС на судах, по железной дороге и (или) при комбинированной перевозке грузов, и устанавливает методы расчета сил, действующих в системе крепления груза при различных способах его крепления: блокировке, натяжении гибких средств крепления или комбинации этих способов.
1.2 Настоящий стандарт не распространяется на АТС с технически допустимой максимальной массой до 3500 кг включительно.
Примечание - Ходовые качества более легких АТС обеспечивают возможность реализации более высоких ускорений при движении.
Настоящий стандарт не распространяется на случай роспуска с сортировочной горки с ускорением более 1 g при перевозке груженых АТС по железной дороге. Указанный случай перевозки груженых АТС должен быть исключен.
В настоящем стандарте использованы нормативные ссылки на следующие стандарты:
ГОСТ 26653 Подготовка генеральных грузов к транспортированию. Общие требования
ГОСТ Р 70473 Автомобильные транспортные средства. Безопасность перевозки грузов. Прочность структуры кузова. Технические требования и методы испытаний
ГОСТ Р 70474 Автомобильные транспортные средства. Безопасность перевозки грузов. Крепежные ремни. Технические требования и методы испытаний
ГОСТ Р 70475 Автомобильные транспортные средства. Безопасность перевозки грузов. Крепежные цепи. Технические требования и методы испытаний
ГОСТ Р 70476 Автомобильные транспортные средства. Безопасность перевозки грузов. Крепежные тросы. Технические требования и методы испытаний
Примечание - При пользовании настоящим стандартом целесообразно проверить действие ссылочных стандартов в информационной системе общего пользования - на официальном сайте Федерального агентства по техническому регулированию и метрологии в сети Интернет или по ежегодному информационному указателю "Национальные стандарты", который опубликован по состоянию на 1 января текущего года, и по выпускам ежемесячного информационного указателя "Национальные стандарты" за текущий год. Если заменен ссылочный стандарт, на который дана недатированная ссылка, то рекомендуется использовать действующую версию этого стандарта с учетом всех внесенных в данную версию изменений. Если заменен ссылочный стандарт, на который дана датированная ссылка, то рекомендуется использовать версию этого стандарта с указанным выше годом утверждения (принятия). Если после утверждения настоящего стандарта в ссылочный стандарт, на который дана датированная ссылка, внесено изменение, затрагивающее положение, на которое дана ссылка, то это положение рекомендуется применять без учета данного изменения. Если ссылочный стандарт отменен без замены, то положение, в котором дана ссылка на него, рекомендуется применять в части, не затрагивающей эту ссылку.
В настоящем стандарте применены следующие термины с соответствующими определениями:
3.1 Общие термины и определения
3.1.1 блокировка: Способ крепления груза, при котором груз, находящийся в АТС, ограничен от смещения средствами блокировки.
Примечание - Средствами блокировки могут быть неподвижно закрепленные конструкции или блокирующие элементы в грузовой платформе: передний борт, боковой борт, боковые стенки, стойки, клинья, поддерживающие балки, распорные или другие устройства.
3.1.2 гибкое средство крепления: Оборудование, предназначенное для соединения груза с точками крепления, не являющееся постоянной частью АТС.
Примечание - Гибкое средство крепления состоит из элементов натяжения (например, ремня, цепи, троса), натяжных устройств (например, храпового механизма, лебедки, натяжного замка) и, при необходимости, соединительных элементов (например, крюка, рым-болта).
3.1.3 груз: Материальный объект, перевозимый АТС с момента его погрузки до момента разгрузки.
3.1.4 грузовая единица: Груз, подготовленный для выполнения погрузочно-разгрузочных и транспортно-складских работ.
3.1.5 грузовая платформа: Часть АТС, предназначенная для размещения груза.
3.1.6 грузоподъемность АТС: Предусмотренная конструкцией АТС максимальная масса груза, который может быть перевезен АТС единовременно.
3.1.7 индикатор натяжения: Приспособление для отображения сил, действующих в гибком средстве крепления.
3.1.8 крепление груза: Комплекс мер и средств применительно к АТС, обеспечивающих при перевозке груза безопасное для человека и окружающей среды и сохранное состояние груза и АТС путем предотвращения смещения груза относительно АТС в виде скольжения или опрокидывания отдельной грузовой единицы и (или) разрушения штабеля грузовых единиц под действием нормативных для данного вида транспорта ускорений.
Примечание - Крепление груза осуществляют посредством применения запорных устройств, средств блокировки, гибких средств крепления (например, крепежного ремня, крепежной цепи, крепежного троса) или сочетания средств блокировки и гибких средств крепления для препятствия перемещению груза во всех направлениях.
3.1.9 крепление запорными устройствами: Способ крепления груза с помощью механических устройств (например, поворотных замков на грузовой платформе).
3.1.10 крепление распорными устройствами: Способ блокировки посредством преимущественно деревянных элементов, упирающихся в элементы кузова транспортного средства для предотвращения смещения груза в направлении размещения деревянных элементов.
3.1.11 линия натяжения: Линия, образованная натянутым гибким средством крепления, вдоль которой направлены силы, действующие в гибком средстве крепления.
3.1.12 место крепления: Жесткая часть грузовой единицы, подходящая по прочности для установки гибкого средства крепления.
3.1.13 натяжение: Способ крепления груза, при котором используют гибкие средства крепления.
3.1.14 натяжное устройство: Механическое устройство, создающее и поддерживающее силу натяжения в гибком средстве крепления.
Примечание - К натяжным устройствам относятся, например, талреп, храповой механизм, многофункциональная рычажная таль.
3.1.15 неустойчивый груз: Грузовая единица, которая в незакрепленном состоянии опрокидывается при воздействии ускорений при перевозке.
3.1.16 прижимное натяжение: Натяжение, при котором гибкие средства крепления расположены поверх груза, что обеспечивает увеличение силы трения вследствие добавления вертикальной составляющей силы натяжения к весу груза.
3.1.17 прямое натяжение: Натяжение, при котором гибкие средства крепления присоединены непосредственно к грузу и точкам крепления.
3.1.18 система крепления груза: Совокупность элементов и способов крепления, используемых для крепления груза.
3.1.19 технически допустимая максимальная масса АТС: Установленная изготовителем максимальная масса АТС со снаряжением, пассажирами и грузом, обусловленная его конструкцией и заданными характеристиками.
3.1.20 точка крепления: Элемент конструкции кузова АТС, к которому непосредственно может быть присоединено гибкое средство крепления.
Примечание - Точка крепления может быть выполнена, например, в виде серьги, крюка, овального звена цепи или крепежной шины.
3.2 Термины и определения параметров расчета
3.2.1 вертикальная сила Fz: Сумма сил, действующих на груз в вертикальном направлении, включая вес груза и инерционные силы (Fz = m·cz·g), которые возникают при движении АТС.
3.2.2
вертикальный угол крепления
: Угол между линией натяжения и горизонтальной плоскостью грузовой платформы.
3.2.3 коэффициент безопасности fs: Коэффициент, учитывающий неопределенности распределения сил натяжения при прижимном натяжении гибкого средства крепления.
3.2.4
коэффициент внутреннего трения
: Коэффициент трения между рядами укладки грузовых единиц, которые в совокупности образуют неустойчивый груз.
3.2.5
коэффициент преобразования
: Отношение динамического коэффициента трения к коэффициенту трения, определенному в соответствии с
приложением А.
3.2.6
коэффициент трения
: Коэффициент трения между грузом и поверхностью, с которой он соприкасается.
3.2.7 коэффициент ускорения c: Коэффициент, умножение которого на ускорение свободного падения g позволяет вычислить ускорение груза a = c·g при конкретном способе перевозки.
3.2.8 масса груза m, кг: Масса грузовой единицы, которую необходимо закрепить.
3.2.9 поперечная сила Fy, Н: Инерционная сила, действующая на груз вдоль поперечной оси (y), возникающая при движении АТС.
Примечание - Поперечную силу вычисляют по формуле Fy = m·cy·g.
3.2.10
поперечный угол крепления
: Угол между проекцией линии натяжения на горизонтальную плоскость грузовой платформы и поперечной осью (
y) АТС в этой плоскости.
3.2.11 предельная нагрузка на средство блокировки BC, Н: Максимально допустимая сила, на которую рассчитано средство блокировки.
3.2.12 предельная рабочая нагрузка LC, Н: Максимальная сила натяжения при прямом натяжении, на которую допускается нагружать гибкое средство крепления во время его эксплуатации.
3.2.13 продольная сила Fx, Н: Инерционная сила, действующая на груз вдоль продольной оси (x), возникающая при движении АТС.
Примечание - Продольную силу вычисляют по формуле Fx = m·cx·g.
3.2.14
продольный угол крепления
: Угол между проекцией линии натяжения на горизонтальную плоскость грузовой платформы и продольной осью (
x) АТС в этой плоскости.
3.2.15 сила блокировки FB, Н: Сила, действующая на средство блокировки в определенном направлении.
3.2.16 сила натяжения FT, Н: Сила в гибком средстве крепления, созданная натяжением натяжного устройства.
3.2.17 сила трения FF, Н: Сила, возникающая вследствие трения между грузом и поверхностью, с которой он соприкасается, и действующая в направлении, противоположном направлению движения груза.
3.2.18 стандартная сила натяжения STF, даН: Сила, сохраняющаяся в гибком средстве крепления после процесса натяжения и физического отпускания рукояти натяжного устройства.
3.2.19 удерживающая сила FR, Н: Сила, создаваемая гибким средством крепления, которая действует на груз для предотвращения его перемещения по отношению к грузовой платформе во время перевозки.
В настоящем стандарте использованы следующие обозначения:
B - общая ширина груза, м;
F - сила, Н;
FFM - сила трения в результате действия вертикальной силы Fz, Н;
FFR - сила трения в результате действия удерживающей силы FR, Н;
FFT - сила трения в результате действия силы натяжения FT, Н;
H - общая высота груза, м;
b - расстояние от ребра опрокидывания до центра масс груза, м;
cx - коэффициент продольного ускорения;
cy - коэффициент поперечного ускорения;
cz - коэффициент вертикального ускорения;
d - высота центра масс груза, м;
h - высота груза, м;
i - индекс гибкого средства крепления;
L - длина груза, м;
n - количество гибких средств крепления;
N - количество рядов грузовых единиц;
p - расстояние по горизонтали от внешнего ребра груза до точки, где гибкое средство крепления воздействует на груз, м;
q - количество линий натяжения;
r - расстояние по горизонтали от внешнего ребра груза до точки опрокидывания, м;
s - расстояние по вертикали от грузовой платформы до точки, где гибкое средство крепления воздействует на груз, м;
t - расстояние по вертикали от грузовой платформы до точки опрокидывания, м;
w - ширина груза, м;

- проверочный угол, град.
5 Общие требования к обеспечению безопасной перевозки груза
5.1 Перевозку груза осуществляют подходящим АТС, обеспечивающим безопасность перевозки и оснащенным соответствующей системой крепления груза.
Для обеспечения безопасной перевозки груз должен быть подготовлен к транспортированию в соответствии с
ГОСТ 26653 и закреплен в АТС в соответствии с настоящим стандартом.
Настоящий стандарт рассматривает крепление груза как комплекс мер и средств, предотвращающих смещения груза относительно АТС в виде скольжения или опрокидывания отдельной грузовой единицы и (или) разрушения штабеля грузовых единиц под действием нормативных для данного вида транспорта ускорений.
Если при погрузке будет выявлен риск деформации отдельных грузовых единиц, то такой груз должен быть закреплен дополнительными гибкими средствами крепления и (или) иными вспомогательными приспособлениями, предотвращающими такую деформацию.
Примечание - Риск деформации грузовых единиц может быть неочевиден для водителя на момент приемки груза перед осуществлением перевозки.
5.2 Гибкие средства крепления и иные вспомогательные приспособления, используемые для крепления груза, такие как передвижные передние стенки, стойки, балки, упоры, клинья и другие, должны выдерживать силы и моменты, которые могут воздействовать на закрепленный груз.
Надежность крепления груза подтверждают результатами расчетов и (или) испытаний в соответствии с настоящим стандартом.
5.3 Для груза, надежность крепления которого не может быть определена с помощью расчетов в соответствии с настоящим стандартом (например, для некоторых мягких, эластичных или упакованных в нежесткую тару грузовых единиц), допускается заменить расчеты соответствующими испытаниями (см.
раздел 7) с учетом соответствующих нагрузок (см.
приложение Б). Условия испытаний должны соответствовать перевозимому грузу и характеру перевозки.
Результаты испытаний могут быть дополнены результатами расчетов.
Кроме того, испытания могут быть проведены для подтверждения правильности выполненных расчетов.
5.4 По результатам расчетов и (или) испытаний лицо, ответственное за крепление груза, выпускает протокол крепления груза, который должен содержать сведения, предусмотренные
приложением В. Один экземпляр протокола должен находиться в АТС, перевозящем груз.
5.5 Гибкие средства крепления должны соответствовать требованиям:
К указанным гибким средствам крепления должна прилагаться документация, предусмотренная этими стандартами.
5.6 Динамические нагрузки и периодические ударные нагрузки, которым груз может подвергаться в короткие промежутки времени, должны компенсироваться за счет эластичности гибких средств крепления и подвески АТС.
При расчетах крепления грузов указанные нагрузки не учитывают как кратковременные и значительно не увеличивающие силы, действующие в гибких средствах крепления.
5.7 Груз, не подверженный риску смещения (скольжения или опрокидывания) под действием инерционных сил, также должен быть закреплен, например посредством блокировки, во избежание его смещения под действием вибраций, которые могут возникнуть при движении АТС.
6 Методы расчета крепления груза
6.1.1 Настоящий стандарт рассматривает такие способы крепления груза, как блокировка и натяжение, а также комбинированное применение этих способов.
6.1.2 При расчете сил крепления груза различают устойчивые и неустойчивые (склонные к опрокидыванию) грузы.
6.1.3 Крепление груза осуществляют в целях уравновешивания действующих на груз сил с помощью запорных устройств, средств блокировки, гибких средств крепления или сочетания средств блокировки и гибких средств крепления.
Крепление груза запорными устройствами, обеспечивающее полностью неподвижное соединение, применяют при перевозке груза в контейнере. Запорные устройства обычно не комбинируют с гибкими средствами крепления.
При блокировке груз закрепляют только в направлении, имеющем средства блокировки, поэтому в дополнение к средствам блокировки применяют гибкие средства крепления.
6.1.4 Условия обеспечения безопасной перевозки груза:
- сумма сил, действующих на груз в любом направлении, должна быть равна нулю;
- сумма моментов сил, действующих на груз в любой плоскости, должна быть равна нулю.
6.1.5 В настоящем стандарте приведены расчетные формулы для случаев, когда груз закреплен симметрично в продольном и поперечном направлениях.
Если крепление груза осуществлено несимметрично, то это должно учитываться при выполнении расчетов.
6.1.6 Настоящий стандарт рассматривает два основных способа натяжения гибких средств крепления:
- прижимное натяжение гибких средств крепления (расположение гибких средств крепления поверх груза);
- прямое натяжение гибких средств крепления (крепление груза посредством растяжек).
При расчетах для прижимного натяжения гибких средств крепления учитывают потерю силы натяжения гибкого средства крепления на внешних ребрах груза. Силами крепления являются статические силы, создаваемые средствами блокировки или при натяжении гибких средств крепления, и динамические силы, которые действуют на гибкие средства крепления в качестве реакции движения груза.
При расчетах для прямого натяжения гибких средств крепления используют коэффициент преобразования

в комбинации с коэффициентом трения

.
Методы расчетов для прижимного натяжения гибких средств крепления приведены в
6.4, для прямого натяжения гибких средств крепления - в
6.5.
6.1.7 Для неустойчивых грузов при применении прижимного натяжения гибких средств крепления увеличение силы, действующей на гибкие средства крепления вследствие опрокидывания груза, не должно превышать половины предельной рабочей нагрузки LC. Количество гибких средств крепления должно соответствовать наибольшему результату при следующих условиях расчетов:
- cy = 0,5 при FT = STF;
- cy = 0,6 при FT = 0,5LC.
В случае прямого натяжения гибких средств крепления применяют следующие условия расчета:
- cy = 0,6 при FR = LC.
6.1.8 Учет трения
6.1.8.1 Коэффициент трения

между грузом и поверхностью, с которой он соприкасается, определяют в соответствии с
приложением А.
6.1.8.2 При определении коэффициента трения

посредством испытаний метод испытаний должен соответствовать перевозимому грузу и характеру перевозки.
6.1.8.3 Коэффициент трения, используемый при расчетах, должен соответствовать фактическим условиям перевозки.
6.1.8.4 При применении при перевозке груза специальных материалов для увеличения трения (например, противоскользящих матов) при расчетах используют коэффициент трения

, документально подтвержденный для соответствующих материалов.
6.1.8.5 При расчетах учитывают возможное загрязнение поверхности, с которой соприкасается груз, жирными и маслянистыми веществами.
6.1.9 Максимальные значения коэффициентов ускорения, которые следует принимать при расчетах для соответствующих способов перевозки, приведены в
приложении Б.
6.1.10 Примеры расчетов крепления груза приведены в
приложении Г.
6.2 Устойчивость незакрепленного груза
6.2.1 Устойчивость незакрепленного груза вычисляют как в продольном направлении (ось
x), так и в поперечном направлении (ось
y) (см.
рисунок 1) по формулам

, (2)

. (3)
Для АТС принимают cy = 0,5.
1 - центр масс; 2 - груз; 3 - ребро опрокидывания
Рисунок 1 - Расчетная схема устойчивости
незакрепленного груза
6.2.2 Если выполняется условие по
формуле (1), то груз считают устойчивым.
Неустойчивый груз будет иметь высокий центр масс по отношению к площади нижней поверхности. В случае неустойчивого груза необходимо учитывать риск его опрокидывания (см.
6.1.7).
6.3.1 При расчетах используют коэффициент трения

, определенный в соответствии с
приложением А.
6.3.2 Баланс действующих сил в продольном или поперечном направлении (см.
рисунок 2) вычисляют по формулам
FB + FF = Fx,y, (4)

, (5)

. (6)
1 - центр масс; 2 - груз; 3 - ребро опрокидывания
Рисунок 2 - Расчетная схема при креплении груза
посредством блокировки
| | ИС МЕГАНОРМ: примечание. Нумерация пунктов дана в соответствии с официальным текстом документа. | |
6.3 Условие для определения предельной нагрузки на средство блокировки (BC):
6.4 Прижимное натяжение гибких средств крепления
6.4.1 Общие положения
6.4.1.1 Прижимное натяжение гибких средств крепления (см.
рисунок 3) заключается в натяжении гибких средств крепления с силой натяжения
FT с целью увеличения силы трения на поверхности, с которой соприкасается груз, и предотвращения смещения груза.
1 - груз; 2 - вертикальная ось; 3 - гибкое средство
крепления; 4 - натяжное устройство; 5 - поперечная ось;
6 - точка крепления; 7 - горизонтальная плоскость загрузки
(поверхность, с которой соприкасается груз);
8 - продольная ось
Рисунок 3 - Расчетная схема при прижимном натяжении
гибких средств крепления
6.4.1.2 Натяжные устройства гибких средств крепления, если их более одного, размещают поочередно по противоположным сторонам груза.
6.4.1.3 По практическим причинам (например, усадка груза) при перевозке сила натяжения может измениться. Поэтому рекомендуется через непродолжительное время после начала перевозки снова отрегулировать натяжение гибких средств крепления, а также периодически проверять натяжение во время перевозки.
Способы определения сил натяжения при прижимном натяжении гибких средств крепления:
- использование индикатора натяжения или другого оборудования для проверки или регулирования сил натяжения;
- использование натяжных устройств, имеющих маркировку значения стандартной силы натяжения STF.
6.4.1.4 С целью защиты от повреждений груза и гибких средств крепления на ребрах поверхности груза используют защитные приспособления - угловые протекторы.
6.4.1.5 Эксплуатационные факторы при перевозке груза могут повлиять на необходимое количество гибких средств крепления, определенное расчетным путем, например:
- невозможность дополнительного натяжения;
- эффект самонатяжения;
- влияние трения на углах груза.
Для компенсации неопределенности распределения сил в гибких средствах крепления и для компенсации ускорения при торможении вводят коэффициент безопасности fs.
Принимают fs = 1,1 в горизонтальной плоскости во всех направлениях, за исключением перевозки груза в АТС, где в направлении вперед по ходу движения АТС принимают fs = 1,25.
6.4.1.6 Сила натяжения любого натяжного устройства должна соответствовать следующим условиям:
0,1LC <= FT <= 0,5LC. (8)
6.4.1.7 Для расчета принимают FT = STF, если в маркировке натяжных устройств не приводят иные значения.
Примечание - На практике значения LC и STF приводят в деканьютонах, а всех остальных сил - в ньютонах. Для правильности расчетов все величины приводят к одним и тем же единицам измерения.
6.4.2 Предотвращение скольжения груза
6.4.2.1 При расчетах используют коэффициент трения

, определенный в соответствии с
приложением А.
6.4.2.2 Силу натяжения FT вычисляют по формуле

. (9)
6.4.2.3 Количество гибких средств крепления n вычисляют по формуле

. (10)
6.4.2.4 Для комбинированного крепления, состоящего из прижимного натяжения гибких средств крепления и средств блокировки груза, используют комбинацию
формул (7) и
(9):

. (11)
6.4.3 Предотвращение опрокидывания груза
6.4.3.1 Отдельная грузовая единица
Рассматривают жесткий груз в форме параллелепипеда высотой
h и шириной
w, который прикрепляют к грузовой платформе посредством
n гибких средств крепления (см.
рисунок 4).
1 - ребро опрокидывания; 2 - индикатор натяжения;
3 - натяжное устройство; 4 - центр масс
Рисунок 4 - Расчетная схема при прижимном натяжении гибких
средств крепления для предотвращения опрокидывания
груза в поперечном направлении
а) Условие для предотвращения опрокидывания груза в поперечном направлении:

. (12)
Для симметрично расположенного центра масс груза, когда
b =
w/2 и
d =
h/2,
формула (12) принимает вид

, (13)

. (14)
б) Условие для предотвращения опрокидывания груза в продольном направлении при симметричном расположении гибких средств крепления относительно ребра опрокидывания (см.
рисунок 5):

. (15)
1 - ребро опрокидывания
Рисунок 5 - Расчетная схема при прижимном натяжении гибких
средств крепления для предотвращения опрокидывания
груза в продольном направлении
6.4.3.2 Ряды неустойчивых жестких грузов
а) Неустойчивые жесткие грузы с вертикальными поверхностями соприкосновения (см.
рисунок 6) рассматривают в совокупности как одну грузовую единицу. При креплении таких грузов обеспечивают как можно более плотный контакт между грузовыми единицами.
Рисунок 6 - Расчетная схема при прижимном натяжении гибких
средств крепления для рядов неустойчивых жестких грузов
(на схеме количество рядов грузовых единиц N = 5)
Внутреннее трение между рядами учитывают только в том случае, если его можно обеспечить путем принятия соответствующих мер (например, самозакрепляющийся груз; упаковка, устойчивая к давлению).
Расчет в соответствии с настоящим пунктом не проводят для грузов, ряды которых не имеют единой плоскости соприкосновения, но формируют выступы, которые могут частично входить в полости, образованные грузами соседнего ряда (например, для рядов бочек).
б) Количество гибких средств крепления n вычисляют по формуле

. (16)
Для симметрично расположенного центра масс груза, когда
b =
w/2 и
d =
h/2,
формула (16) принимает вид

(17)
где 0,25 - максимальное значение коэффициента трения

для учета вертикального трения между соприкасающимися рядами грузовых единиц.
6.5 Прямое натяжение гибких средств крепления
6.5.1 Общие положения
6.5.1.1 Прямое натяжение гибких средств крепления (см.
рисунки 7 -
12) заключается в присоединении гибких средств крепления к местам крепления, расположенным непосредственно на грузе, и к точкам крепления, являющимся элементами кузова АТС.
6.5.1.2 При прямом натяжении гибких средств крепления коэффициент трения умножают на коэффициент преобразования

.
В ходе испытаний на растяжение для определения динамического трения могут быть получены более высокие значения коэффициента преобразования, чем 0,75, но

не должен превышать 1,0.
6.5.1.3 Способ крепления груза считают прямым натяжением гибких средств крепления при выполнении следующих условий:
- гибкие средства крепления располагают под углом и (или) диагонально (см.
рисунки 7 -
10);
- непосредственное крепление гибких средств крепления осуществляют только к грузовой платформе, а груз охватывают петлей и шпрингом (см.
рисунки 11 -
15).
6.5.1.4 В зависимости от направления перемещения груза в одной паре гибких средств крепления обычно создаются удерживающие силы FR.
6.5.1.5 При наличии более двух линий натяжения, действующих в одном направлении, в системе крепления груза возникает статическая неопределенность в распределении сил, в связи с чем необходимо дополнительно убедиться в надежности крепления.
6.5.1.6 Виды прямого натяжения гибких средств крепления:
гибкие средства крепления устанавливают под углом в продольном или поперечном направлении (см.
6.5.2 и
рисунок 7);
- гибкие средства крепления устанавливают по диагонали (см.
6.5.3.1 и
рисунок 8);
- гибкие средства крепления устанавливают для предотвращения опрокидывания груза (см.
6.5.3.2 и
рисунок 9);
- гибкие средства крепления устанавливают для предотвращения опрокидывания груза с одновременным использованием средств блокировки груза (см.
6.5.3.3 и
рисунок 10);
6.5.1.7 Удерживающая сила FR должна быть не более предельной рабочей нагрузки LC, если в настоящем стандарте не указано иное.
6.5.2 Гибкие средства крепления, установленные под углом в продольном или поперечном направлении
Одинаковые гибкие средства крепления (два комплекта) устанавливают в одном осевом направлении (см.
рисунок 7). Если гибкие средства крепления расположены симметрично и под одинаковым вертикальным углом, то в каждом гибком средстве крепления создается одинаковая удерживающая сила
FR.
1, 4 - точки крепления; 2, 3 - места крепления
Рисунок 7 - Расчетная схема при прямом натяжении гибких
средств крепления при их установке под углом
Удерживающую силу, исходя из равновесия сил в продольном и поперечном направлениях при двух парах симметрично расположенных гибких средств крепления, вычисляют по формулам:
2FRx,y + FFM + FFR = Fx,y, (18)

, (19)

. (20)
Условие для определения предельной рабочей нагрузки:
LC >= FR. (21)
Примечания
1 На практике значения LC приводят в деканьютонах, а всех остальных сил - в ньютонах. Для правильности расчетов все величины приводят к одним и тем же единицам измерения.
2 Гибкие средства крепления должны быть натянуты при приложении ручной силы, не превышающей 500 Н, при этом сила натяжения FT не должна превышать половины предельной рабочей нагрузки LC.
6.5.3 Гибкие средства крепления, установленные по диагонали
6.5.3.1 Принцип крепления
Два комплекта гибких средств крепления устанавливают в комбинации с двумя другими комплектами гибких средств крепления под разными углами (см.
рисунок 8). При таком методе крепления для достижения полной неподвижности груза достаточно четырех комплектов гибких средств крепления вместо восьми.
1 - груз; 2 - гибкие средства крепления; 3 - вертикальная
ось; 4 - поперечная ось; 5 - продольная ось;
6 - горизонтальная плоскость загрузки
Рисунок 8 - Расчетная схема при прямом натяжении гибких
средств крепления при их установке по диагонали
В дополнение к вертикальному углу крепления

рассматривают продольный угол крепления

и поперечный угол крепления

.
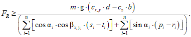
Удерживающую силу FR вычисляют по формуле

. (22)
Примечание - На практике значения LC приводят в деканьютонах, а всех остальных сил - в ньютонах. Для правильности расчетов все величины приводят к одним и тем же единицам измерения.
6.5.3.2 Установка гибких средств крепления по диагонали для предотвращения опрокидывания груза
Равновесие моментов сил на ребре опрокидывания
3 при креплении неустойчивого груза в соответствии с
рисунком 9 вычисляют по формуле

. (23)
1 - гибкое средство крепления; 2 - центр масс;
3 - ребро опрокидывания
Рисунок 9 - Расчетная схема при прямом натяжении гибких
средств крепления с их установкой по диагонали
для предотвращения опрокидывания груза
в определенном направлении
Удерживающую силу FR в гибких средствах крепления для предотвращения опрокидывания груза вычисляют по формуле

(24)
При использовании симметрично расположенных гибких средств крепления
формулы (23) и
(24) принимают следующий вид:

, (25)

. (26)
Для определения предельной рабочей нагрузки LC для предотвращения опрокидывания неустойчивого груза принимают
cy = 0,6 (см.
Б.2, приложение Б).
6.5.3.3 Установка гибких средств крепления по диагонали для предотвращения опрокидывания блокированного груза
Для расчета сил крепления по диагонали неустойчивого блокированного груза в соответствии с
рисунком 10 используют формулу

. (27)
1 - груз; 2 - точка крепления; 3 - гибкое средство
крепления; 4 - натяжное устройство; 5 - точка крепления;
6 - средство блокировки; 7 - центр масс
Рисунок 10 - Расчетная схема при прямом натяжении гибких
средств крепления с их установкой по диагонали
для предотвращения опрокидывания блокированного груза
6.5.4.1 Принцип крепления
Если груз не имеет мест крепления, то используют не менее четырех комплектов (не менее двух пар) гибких средств крепления (см.
рисунок 11). В данном случае необходимо дополнительное крепление груза, например блокировка в продольном направлении.
Рисунок 11 - Крепление петлей
Расчет сил крепления проводят по формуле

. (28)
6.5.4.2 Крепление петлей для предотвращения скольжения груза
Для определения баланса сил в поперечном направлении в соответствии с
рисунком 12 используют формулу

. (29)
1 - первая линия натяжения; 2 - вторая линия натяжения;
3 - центр масс
Рисунок 12 - Расчетная схема при креплении петлей
для предотвращения скольжения груза
Необходимое количество пар комплектов гибких средств крепления n вычисляют по формуле

. (30)
6.5.4.3 Крепление петлей для предотвращения опрокидывания одного или нескольких рядов груза
Для определения баланса сил на ребрах
A в соответствии с
рисунком 13 при коэффициенте внутреннего трения

используют следующие формулы:

, (31)

(32)
1 - центр масс
Рисунок 13 - Расчетная схема при креплении петлей
для предотвращения опрокидывания одного
или нескольких рядов груза
Необходимое количество пар комплектов гибких средств крепления вычисляют по формуле

. (33)
При n > 2 в системе крепления груза возникает статическая неопределенность в распределении сил, в связи с чем необходимо дополнительно убедиться в надежности крепления.
Удерживающая сила FR должна быть не больше половины предельной рабочей нагрузки LC.
Примечание - На практике значения LC приводят в деканьютонах, а всех остальных сил - в ньютонах. Для правильности расчетов все величины приводят к одним и тем же единицам измерения.
6.5.5.1 Принцип крепления
Если груз не имеет мест крепления, то прямое натяжение гибких средств крепления выполняют по ребрам груза (см.
рисунки 14 и
15). Если крепление шпрингом осуществляют в поперечном направлении, то
формулы (34) -
(37), приведенные в данном пункте, соответственно адаптируют.
Рисунок 14 - Крепление шпрингом
1 - линия натяжения шпрингом; 2 - центр масс;
3 - ребро опрокидывания
Рисунок 15 - Расчетная схема при креплении шпрингом
6.5.5.2 Крепление шпрингом для предотвращения скольжения груза
Для определения баланса сил (см.
рисунки 14 и
15) используют формулы (с помощью которых затем определяют удерживающую силу
FR):

, (34)

. (35)
6.5.5.3 Крепление шпрингом для предотвращения опрокидывания груза
Для определения баланса моментов на ребре
3 (см.
рисунки 14 и
15) при двух линиях натяжения используют следующие формулы:

, (36)

. (37)
7.1.1 Эффективность крепления груза проверяют посредством проведения следующих испытаний:
- динамические испытания при движении АТС (см.
7.2);
- статические испытания посредством наклона АТС (см.
7.3).
7.1.2 Испытания проводят на АТС с тем же исполнением загрузочного пространства и теми же гибкими средствами крепления, которые будут применяться при фактической перевозке груза. Характеристики груза (количество мест, масса, объем) и система крепления груза могут отличаться от таковых при фактической перевозке груза при условии, что такое отличие позволит получить достоверные результаты испытаний.
7.1.3 Рекомендуемое содержание протокола испытаний приведено в
приложении Д.
7.2 Динамические испытания при движении АТС
Испытания проводят в соответствии с
ГОСТ Р 70473 (см.
6.3, кроме
6.3.1 и
6.3.2). После проведенных испытаний груз должен оставаться закрепленным системой крепления груза.
7.3 Статические испытания посредством наклона АТС
7.3.1 При испытаниях груженое АТС размещают на грузовой платформе и осуществляют наклон грузовой платформы вперед, назад и в левую или правую сторону.
Примечание - Допускается проведение испытаний при частичной загрузке одной грузовой единицей или секцией груза, если это не повлияет на результаты испытаний.
7.3.2 Проводят постепенный наклон грузовой платформы до достижения требуемого угла наклона

. При этом груз должен оставаться закрепленным системой крепления груза, в т.ч. и при угле наклона

.
Примечание - В ходе испытания гибкие средства крепления подвергают нагрузкам, поэтому необходимо внимательно наблюдать за ходом испытаний, чтобы не допустить падения груза с платформы. При испытаниях следует учитывать технические характеристики грузовой платформы и возможность ее опрокидывания при испытаниях тяжелых грузов. Требуется соблюдать меры безопасности и исключить нахождение людей и оборудования в месте возможного падения груза и опрокидывания платформы при нештатной ситуации.
7.3.3 Определение угла наклона грузовой платформы 
7.3.3.1 При наклоне грузовой платформы в боковом направлении углом наклона грузовой платформы

является наибольший угол из следующих:
- определяемый коэффициентом трения

, для случаев скольжения груза, блокировки груза, прижимного натяжения гибких средств крепления груза;
- определяемый коэффициентом

, для случая скольжения груза при прямом натяжении гибких средств крепления;
- определяемый соотношением B/(N·H), для случая опрокидывания грузовой единицы или секции груза с центром масс, близким к геометрическому центру этой грузовой единицы или секции груза;
- определяемый соотношением bпоп/h (где bпоп - это расстояние от геометрического центра грузовой единицы или секции груза до центра масс в поперечном направлении).
7.3.3.2 При наклоне грузовой платформы в продольном направлении углом наклона грузовой платформы

является наибольший угол из следующих:
- определяемый коэффициентом трения

, для случаев скольжения груза, блокировки груза, прижимного натяжения гибких средств крепления;
- определяемый коэффициентом

, для случая скольжения груза при прямом натяжении гибких средств крепления;
- определяемый соотношением L/H, для случая опрокидывания грузовой единицы или секции груза с центром масс, близким к геометрическому центру этой грузовой единицы или секции груза;
- определяемый соотношением bпрод/h (где bпрод - это расстояние от геометрического центра грузовой единицы или секции груза до центра масс в продольном направлении).
Примечания
1 l - во всех случаях длина одной секции груза (в т.ч. когда несколько секций груза расположены одна за другой).
Рисунок 16 - Грузовая единица или секция груза с центром
масс, близким к геометрическому центру этой грузовой
единицы или секции груза
Примечание - Координаты геометрического центра примерно совпадают со значениями L/2, B/2, H/2.
Рисунок 17 - Грузовая единица или секция груза с центром
масс, удаленным от геометрического центра
этой грузовой единицы или секции груза
7.3.3.3 Значение угла наклона грузовой платформы

определяют по диаграмме на
рисунке 18 или по
таблице 1 как функцию от соответствующего коэффициента ускорения
cx или
cy, принимающих значения 0,8 g, 0,7 g, 0,6 g или 0,5 g, и минимального значения фактора

, принимающего значения

,

,
B/(
N·
H),
bпоп/
h,
L/
H,
bпрод/
h.
Примечание - Расчеты, обосновывающие значения угла наклона платформы при проведении статических испытаний посредством наклона АТС, приведены в
приложении Е.
1 - cx = 1,0; 2 - cx,y = 0,8; 3 - cy = 0,7;
4 - cy = 0,6; 5 - cx,y = 0,5
Рисунок 18 - Диаграмма для определения значения
угла наклона грузовой платформы

Таблица 1
Значения угла наклона грузовой платформы

| Значения угла наклона грузовой платформы  , град, при |
cx = 1,0 | cx,y = 0,8 | cy = 0,7 | cy = 0,6 | cx,y = 0,5 |
0,00 | 90,0 | 53,1 | 44,4 | 36,9 | 30,0 |
0,05 | 74,5 | 51,4 | 43,3 | 36,2 | 29,6 |
0,10 | 69,3 | 49,9 | 42,4 | 35,5 | 29,2 |
0,15 | 65,7 | 48,5 | 41,5 | 35,0 | 28,8 |
0,20 | 63,0 | 47,3 | 40,7 | 34,4 | 28,4 |
0,25 | 60,7 | 46,3 | 39,9 | 33,9 | 28,1 |
0,3 | 58,8 | 45,3 | 39,2 | 33,4 | 27,7 |
0,35 | 57,1 | 44,4 | 38,6 | 32,9 | 27,4 |
0,40 | 55,7 | 43,6 | 38,0 | 32,5 | 27,1 |
0,45 | 54,3 | 42,8 | 37,4 | 32,1 | 26,8 |
0,50 | 53,1 | 42,1 | 36,9 | 31,7 | 26,6 |
0,55 | 52,0 | 41,5 | 36,4 | 31,3 | 26,3 |
0,60 | 51,0 | 40,8 | 35,9 | 31,0 | 26,0 |
0,65 | 50,1 | 40,2 | 35,4 | 30,6 | 25,8 |
0,70 | 49,2 | 39,7 | 35,0 | 30,3 | 25,6 |
0,75 | 48,4 | 39,2 | 34,6 | 30,0 | 25,3 |
0,80 | 47,6 | 38,7 | 34,2 | 29,7 | 25,1 |
0,85 | 46,9 | 38,2 | 33,8 | 29,4 | 24,9 |
0,90 | 46,2 | 37,7 | 33,4 | 29,1 | 24,7 |
0,95 | 45,6 | 37,3 | 33,1 | 28,8 | 24,5 |
1,00 | 45,0 | 36,9 | 32,8 | 28,6 | 24,3 |
(обязательное)
ОПРЕДЕЛЕНИЕ КОЭФФИЦИЕНТА ТРЕНИЯ
А.1 Коэффициент трения
для наиболее распространенных материалов и поверхностей
Значения коэффициента трения

для сухих и влажных чистых поверхностей, свободных от наледи, снега и смазки, приведены в
таблице А.1.
Таблица А.1
Коэффициент трения

для наиболее распространенных
материалов и поверхностей
| Коэффициент трения  |
Пиломатериал |
Пиломатериал - текстолит/клееная фанера | 0,45 |
Пиломатериал - рифленый алюминий | 0,4 |
Пиломатериал - термоусадочная пленка | 0,3 |
Пиломатериал - листовая нержавеющая сталь | 0,3 |
Строганая древесина |
Строганая древесина - текстолит/клееная фанера | 0,3 |
Строганая древесина - рифленый алюминий | 0,25 |
Строганая древесина - листовая нержавеющая сталь | 0,2 |
Пластиковый поддон |
Пластиковый поддон - текстолит/клееная фанера | 0,2 |
Пластиковый поддон - рифленый алюминий | 0,15 |
Пластиковый поддон - листовая нержавеющая сталь | 0,15 |
Сталь и другой металл | |
Стальной ящик - текстолит/клееная фанера | 0,45 |
Стальной ящик - рифленый алюминий | 0,3 |
Стальной ящик - листовая нержавеющая сталь | 0,2 |
Бетон |
Бетон шероховатый - деревянные брусья | 0,7 |
Бетон гладкий - деревянные брусья | 0,55 |
Противоскользящий мат | |
Один из элементов пары трения - резина | |
Другие материалы | Требуется документальное подтверждение значения коэффициента трения |
<1> Поверхность сухая или влажная, но чистая, без наледи, снега и наличия масла. <2> Допускается использовать с  для непосредственной привязки. |
Значения коэффициента трения

определены на основании результатов нескольких независимых практических испытаний для каждой комбинации материалов и представляют собой среднее арифметическое измеренного значения при статическом трении, умноженного на 0,925, и измеренного значения при динамическом трении, разделенного на 0,925.
Если контактная поверхность грузовой платформы, с которой соприкасается груз, не очищена от загрязнений, снега и льда, а также если в процессе перевозки ожидается попадание снега и льда на контактную поверхность, то при расчетах используют коэффициент трения

(для морской перевозки

).
При расчетах учитывают снижение коэффициента трения

при возможном загрязнении поверхности, с которой соприкасается груз, жирными и маслянистыми веществами. При возможности попадания масла на контактную поверхность при расчетах используют коэффициент трения

.
А.2 Определение коэффициента трения
посредством испытаний
Если коэффициент трения

невозможно определить в соответствии с
А.1, то его определяют посредством одного из двух альтернативных методов испытаний:
- на наклон;
- на сдвиг.
А.2.1 Испытания на наклон
А.2.1.1 Коэффициент трения

показывает, насколько легко груз будет скользить при наклоне грузовой платформы, на которой он размещен. При испытаниях наклоняют грузовую платформу, на которой находится рассматриваемый груз, и измеряют угол наклона платформы

, по достижении которого груз начинает скользить.
А.2.1.2 Испытания повторяют пять раз. Наибольшее и наименьшее значения угла наклона платформы далее не рассматривают и определяют среднее арифметическое для трех оставшихся значений.
А.2.1.3 Коэффициент трения

вычисляют по формуле

. (А.1)
А.2.1.4 В протоколе испытаний указывают на действительность результата испытаний для сухой и влажной поверхности.
Примечание - Требуется соблюдать меры безопасности для предотвращения падения груза с платформы во время испытания, например при использовании средства блокировки на небольшом расстоянии от груза. Необходимо внимательно наблюдать за ходом испытаний и исключить нахождение людей и оборудования в месте возможного падения груза.
А.2.2 Испытания на сдвиг
А.2.2.1 Испытательное оборудование состоит из следующих компонентов:
- горизонтального пола с поверхностью, используемой в качестве грузовой платформы;
- испытательного устройства, создающего сдвигающее усилие;
- соединительного устройства между испытательным устройством и основанием грузовой единицы;
- расчетного блока на основе персонального компьютера.
Испытательное оборудование приведено в
[3].
А.2.2.2 Условия испытаний
Испытания проводят при температуре окружающего воздуха 20 °C и относительной влажности 65%.
Поверхности соприкосновения должны быть очищены от загрязнений и посторонних предметов.
Скорость движения грузовой единицы под воздействием сдвигающего усилия должна составлять (100 +/- 5) мм/мин.
Частота дискретизации при обработке результатов измерений должна составлять не менее 50 Гц.
Измерение сдвигающего усилия и скольжения испытуемого образца проводят на одном и том же образце при одной и той же его установке.
Длина траектории скольжения должна составлять 50 - 85 мм для каждого измерения.
В одной серии измерений выполняют не менее трех отдельных измерений с промежуточной разгрузкой между ними не менее 30% тягового усилия, приходящегося на одно измерение.
Объект испытаний и (или) противоскользящий материал после каждого измерения поправляют, чтобы исключить влияние износа материала на результат измерения.
Выполняют три серии измерений. Для наиболее реального определения сил и коэффициентов трения в каждой серии измерений используют различные испытательные образцы груза и противоскользящих матов.
А.2.2.3 Расчеты
При расчетах используют среднее значение тягового усилия
FТУ, которое определяют, исходя из максимального и минимального значений тягового усилия в соответствии с
рисунком А.1.
Рисунок А.1 - Определение минимального и максимального
тяговых усилий при измерениях
Коэффициент трения

вычисляют на основании трех средних значений каждой из трех серий измерений по формуле

. (А.2)
(обязательное)
ОПРЕДЕЛЕНИЕ КОЭФФИЦИЕНТОВ УСКОРЕНИЯ
Максимальные значения коэффициентов ускорения, которые следует применять при расчетах крепления грузов при их перевозке АТС приведены в
таблицах Б.1,
Б.2 и
Б.3 для соответствующего способа перевозки.
Значения в таблицах распространяются на комбинации продольных и поперечных ускорений, возникающих во время перевозки.
В случае сочетания различных способов перевозки учитывают соответствующий максимальный коэффициент ускорения.
Таблица Б.1
Коэффициенты ускорения при перевозке грузов АТС
Крепление | Коэффициент ускорения |
продольного cx | поперечного cy | вертикального, направленного вниз cz |
вперед | назад | только скольжение | опрокидывание |
В продольном направлении | 0,8 | 0,5 | - | - | 1,0 |
В поперечном направлении | - | - | 0,5 | 0,5 или 0,6 | 1,0 |
|
Таблица Б.2
Коэффициенты ускорения при перевозке груженых АТС
железнодорожным транспортом
Крепление | Коэффициент ускорения |
продольного cx | поперечного cy | вертикального, направленного вниз cz |
вперед | назад | скольжение | опрокидывание |
В продольном направлении | 1,0 | 0,6 | - | 1,0 | 1,0 |
В поперечном направлении | - | - | 0,5 | 0,7 | 1,0 |
Таблица Б.3
Коэффициенты ускорения при перевозке груженых АТС
морским транспортом
Строка | Значительная высота волн в морском регионе | Крепление | Коэффициент ускорения |
продольного cx | поперечного cy | вертикального, направленного вниз cz |
A | Не более 8 м | В продольном направлении | 0,3 | - | 0,5 |
В поперечном направлении | - | 0,5 | 1,0 |
B | Св. 8 м, но не более 12 м | В продольном направлении | 0,3 | - | 0,3 |
В поперечном направлении | - | 0,7 | 1,0 |
| Св. 12 м | В продольном направлении | 0,4 | - | 0,2 |
В поперечном направлении | - | 0,8 | 1,0 |
Примечания 1 Значительная высота волн является осредненной величиной одной трети волн, характеризующихся наибольшей высотой (измеряемой от подошвы до гребня волны) за 20-летний период наблюдений, которая может быть превышена лишь однажды за 20 лет [4]. Значение значительной высоты волн в морском регионе при осуществлении перевозки можно определить по [4] или получить у морского перевозчика. 2 При неизвестном значении значительной высоты волн в морском регионе при осуществлении перевозки следует руководствоваться данными, указанными в строке C. 3 См. также руководство [4] по загрузке грузовых транспортных единиц (ГТЕ) для перевозки морским транспортом. |
(рекомендуемое)
СОДЕРЖАНИЕ ПРОТОКОЛА КРЕПЛЕНИЯ ГРУЗА
1 Сведения об организации, выпустившей протокол крепления груза.
2 Указание на протокол крепления груза в соответствии с ГОСТ Р 70472.
3 Номер и дата протокола крепления груза.
4 Настоящий протокол крепления груза действителен для (отметить):
__ перевозки груза в АТС;
__ перевозки груженого АТС в железнодорожном транспорте;
__ перевозки груженого АТС в морском транспорте.
5 Перевозимый груз.
5.1 Транспортное наименование груза.
5.2 Место погрузки.
5.3 Дата погрузки.
5.4 Масса груза.
5.4.1 Способ определения массы груза.
5.5 Количество грузовых мест.
6 Использованные руководства по креплению груза.
7 Грузовая транспортная единица (ГТЕ).
7.1 Государственный регистрационный знак.
7.2 Тип грузовой платформы (отметить):
__ грузовой автомобиль;
__ прицеп;
__ полуприцеп;
__ съемный кузов;
__ контейнер, установленный на грузовой платформе;
__ иное (указать).
7.3 Подтверждено соответствие (отметить):
__ иное (указать);
__ нет.
7.4 Передний борт (отметить):
__ есть;
__ нет.
7.5 Боковые борта (отметить):
__ фургон;
__ боковые борта;
__ боковые борта, откидной верх, стойки;
__ шторные;
__ иное (указать);
__ нет.
7.6 Задний борт (отметить):
__ фургон;
__ боковые борта;
__ боковые борта, откидной верх, стойки;
__ шторные;
__ иное (указать);
__ нет.
8 Используемые средства блокировки (отметить и указать количество):
__ передние стойки __ шт.;
__ боковые стойки __ шт.;
__ задние стойки __ шт.;
__ выемки для катушек/клинья __ шт.;
__ держатели катушек __ шт.;
__ блокирующие стенки __ шт.;
__ блокирующие профили __ шт.;
__ упорные стойки __ шт.;
__ иное (указать) __ шт.
9 Система крепления груза (отметить и указать параметры):
__ крепежные ремни __ шт., LC = __ даН, STF = __ даН;
__ крепежные цепи __ шт., LC = __ даН, STF = __ даН;
__ крепежные тросы __ шт., LC = __ даН, STF = __ даН;
__ точки крепления __ шт.;
__ линии натяжения __ шт.;
__ блокирующие стенки __ шт.;
__ крепежная лебедка __ шт.;
__ иное (указать) _ шт.
10 Влияют ли острые грани груза на безопасность (отметить):
__ да;
__ нет.
11 Использованы ли угловые протекторы для защиты гибких средств крепления (отметить):
__ да;
__ нет.
12 Использованы ли противоскользящие коврики (отметить):
__ да;
__ нет.
13 Коэффициент трения, использованный при расчетах __
14 Блокировка груза
14.1 Вперед (отметить):
__ полная;
__ частичная;
__ нет.
14.2 В сторону (отметить):
__ полная;
__ частичная;
__ нет.
14.3 Назад (отметить):
__ полная;
__ частичная;
__ нет.
15 Прижимное натяжение гибких средств крепления (отметить):
__ да, количество гибких средств крепления __;
__ нет.
16 Прямое натяжение гибких средств крепления (отметить):
16.1 Под углом (отметить):
__ да, количество гибких средств крепления __;
__ нет.
16.2 По диагонали (отметить):
__ да, количество гибких средств крепления __;
__ нет.
16.3 Крепление петлей (отметить):
__ да, количество пар гибких средств крепления __;
__ нет.
16.4 Крепление шпрингом (отметить):
__ да, количество гибких средств крепления __;
__ нет.
17 Настоящим подтверждаю, что груз закреплен и расчет сил выполнен в соответствии с ГОСТ Р 70472.
18 Должность, фамилия, инициалы и подпись лица, ответственного за крепление груза.
(справочное)
ПРИМЕРЫ РАСЧЕТОВ КРЕПЛЕНИЯ ГРУЗА
Г.1 Пример 1. Прижимное натяжение гибких средств крепления
Г.1.1 Условия
Перевозка груза в АТС.
АТС - полуприцеп шириной 2,5 м. Поверхность грузовой платформы - рифленый алюминий.
Груз - пиломатериалы массой 2000 кг и размерами: длина - 4,5 м, ширина - 1,8 м, высота - 1,2 м.
Гибкие средства крепления: доступно несколько гибких средств крепления одного типа. Каждое гибкое средство крепления оснащено только одним натяжным устройством в сочетании с индикатором силы натяжения, поскольку используется только одно натяжное устройство для каждого гибкого средства крепления.
Вертикальный угол

.
Г.1.2 Вопросы
Вопрос 1 - Каково необходимое количество гибких средств крепления (n)?
Вопрос 2 - Какова необходимая сила натяжения FT?
Г.1.3 Расчет
1 - груз; 2 - гибкое средство крепления; 3 - грузовая
платформа; 4 - вертикальная ось; 5 - продольная ось;
6 - поперечная ось; 7 - индикатор натяжения;
8 - натяжное устройство
Рисунок Г.1 - Расчетная схема для прижимного натяжения
гибкого средства крепления
Коэффициенты ускорения в соответствии с
таблицей Б.1 (приложение Б) для перевозки груза в АТС:
cx = 0,8;
cz = 1,0.
Расчет количества гибких средств крепления - по
формуле (10)

.
Ответ на вопрос 1 - Необходимое количество гибких средств крепления n = 3.

.
Ответ на вопрос 2 - Минимальная необходимая сила натяжения составляет 4150 Н.
Г.2 Пример 2. Прямое натяжение гибких средств крепления, в продольном направлении, установленных по диагонали
Г.2.1 Условия
Перевозка груженого АТС железнодорожным транспортом.
АТС - полуприцеп шириной 2,5 м. Поверхность грузовой платформы - рифленый алюминий.
Груз - пиломатериалы массой 2000 кг и размерами: длина - 4,5 м, ширина - 1,8 м, высота - 1,2 м.
Гибкие средства крепления: установлены симметрично.
Вертикальный угол

.
Продольный угол:

.
Г.2.2 Вопрос - Какова предельная рабочая нагрузка на каждое гибкое средство крепления?
Г.2.3 Расчет
1 - груз; 2 - гибкое средство крепления; 3 - поперечная ось;
4 - продольная ось; 5 - грузовая платформа
Рисунок Г.2 - Расчетная схема для прямого натяжения гибких
средств крепления в продольном направлении,
установленных по диагонали
Коэффициенты ускорения в соответствии с
таблицей Б.2 (приложение Б), для перевозки груженого АТС в железнодорожном транспорте:
cx = 1,0,
cz = 1,0.
Расчет предельной рабочей нагрузки в продольном направлении по
формуле (22)

;
LC >= 8230 Н = 823 даН.
Ответ на вопрос - Минимальная предельная рабочая нагрузка на каждое гибкое средство крепления составляет 823 даН.
Г.3 Пример 3. Предотвращение скольжения груза в сторону или назад
Г.3.1 Условия
Перевозка груза в АТС.
АТС - полуприцеп тентованный с бортами, не предназначенными для крепления груза.
Грузовые места установлены в два яруса, верхний ярус неполный (см.
рисунок Г.3).
Рисунок Г.3 - Загрузка полуприцепа
Груз: коробки - 32 грузовых места; масса одного грузового места m = 750 кг, общая масса груза 24 000 кг, габаритные размеры одного места груза: длина - 1,2 м; ширина - 1,2 м; высота - 1,1 м; центр масс совпадает с геометрическим центром, b = 1,1.
Коэффициенты трения:
- между грузовыми местами и грузовой платформой

;
- между ярусами

.
Система крепления груза: нижний ярус груза заблокирован от скольжения вперед; верхний ярус груза заблокирован от скольжения вперед и назад. Выполнено прижимное натяжение гибких средств крепления для предотвращения бокового скольжения груза и его скольжения назад. STF = 400 даН, LC = 2000 даН.
Г.3.2 Вопросы
Вопрос 1 - Является ли секция из двух грузовых единиц, установленных в два яруса, устойчивой для перевозки АТС?
Вопрос 2 - Какое количество гибких средств крепления необходимо для прижимного натяжения для предотвращения бокового скольжения груза и его скольжения назад при перевозке в тентованном полуприцепе, борта которого не предназначены для крепления груза?
Г.3.3 Расчет
Устойчивость груза вычисляют по
формуле (3). Поперечная устойчивость незакрепленного груза при перевозке в АТС:

.
При подстановке численных значений: 0,6/1,1 > 0,5/1,0 или 0,545 > 0,5.
Ответ на вопрос 1 - Секция из двух грузовых единиц, установленных в два яруса, является устойчивой для перевозки АТС.
Для ответа на вопрос 2 вначале применяют расчетную схему, показанную на
рисунке Г.4.
Рисунок Г.4 - Расчетная схема для прижимного натяжения
гибких средств крепления для предотвращения бокового
скольжения груза и его скольжения назад
Количество гибких средств крепления, необходимых для перевозки груза в АТС для случаев скольжения груза в боковом направлении и назад, вычисляют по
формуле (10)

.
Таким образом, одного гибкого средства крепления будет достаточно для прижимного натяжения для одной секции груза для предотвращения бокового скольжения груза и его скольжения назад. При использовании длинных защитных кромочных уголков допускается использовать два гибких средства крепления на три секции груза.
Далее следует сравнить результаты расчета прижимного натяжения гибких средств крепления для всей секции груза и расчета прижимного натяжения гибких средств крепления для верхнего яруса груза. Следует использовать максимальное количество гибких средств крепления, необходимых в данных случаях. Расчетная схема показана на
рисунке Г.5.
Рисунок Г.5 - Расчетная схема для прижимного натяжения
гибких средств крепления для верхнего яруса груза
Количество гибких средств крепления для предотвращения бокового скольжения верхнего яруса груза вычисляют по формуле

.
Таким образом, для предотвращения бокового скольжения верхнего яруса груза необходимо два гибких средства крепления.
Количество гибких средств крепления для предотвращения бокового скольжения двух ярусов груза вычисляют по формуле

.
Таким образом, для предотвращения бокового скольжения двух ярусов груза необходимо одно гибкое средство крепления.
Для пяти секций груза, расположенного в два яруса (см.
рисунок Г.3), при использовании длинных защитных кромочных уголков, количество гибких средств крепления, необходимых для предотвращения скольжения пяти секций груза, расположенного в два яруса, составляет:
- для верхнего яруса груза

.
- для двух ярусов груза

.
Таким образом, для предотвращения бокового скольжения пяти секций груза, расположенного в двух ярусах, необходимо семь гибких средств крепления.
Ответ на вопрос 2 - При размещении груза в соответствии с
рисунком Г.3 для предотвращения бокового скольжения груза и его скольжения назад, для прижимного натяжения гибких средств крепления необходимо использовать 16 гибких средств крепления. При использовании длинных защитных кромочных уголков будет достаточно использовать 12 гибких средств крепления (см.
рисунок Г.6).
Рисунок Г.6 - Размещение гибких средств крепления
(рекомендуемое)
СОДЕРЖАНИЕ ПРОТОКОЛА ИСПЫТАНИЙ
1 Сведения об организации, проводившей испытания.
2 Указание на протокол испытаний в отношении эффективности системы крепления груза в соответствии с ГОСТ Р 70472.
3 Номер и дата протокола испытаний.
4 Марка, модель, тип АТС.
5 Идентификационный номер АТС.
6 Год выпуска или модельный год АТС.
7 Грузоподъемность АТС.
8 Сведения об изготовителе АТС.
9 Подробное описание кузова АТС, включая его материал и размеры, с приложением фотографий.
10 Подробное описание груза, использованного при испытаниях, включая спецификацию груза и упаковки, а также массу груза, его размеры и коэффициент трения.
11 Подробное описание системы крепления груза и характера ее нагружения при испытаниях.
12 Погодные условия.
13 Проверяемое назначение системы крепления груза:
13.1 Перевозка груза в АТС.
13.2 Перевозка груженого АТС в железнодорожном транспорте.
13.3 Перевозка груженого АТС в морском транспорте.
14 Метод испытаний: статический или динамический.
15 Описание испытательного оборудования, включая сведения о средствах измерений.
16 Подробное описание проведенных испытаний с приложением фотографий.
17 Результаты испытаний.
18 Выводы относительно необходимой системы крепления груза для предотвращения его скольжения и опрокидывания вперед, назад и в сторону для различных сочетаний размещения груза, видов транспорта, а также типа грузовой транспортной единицы (кузов закрытого или открытого типа, контейнер и др.).
19 Место и дата проведения испытаний.
20 Должность, фамилия, инициалы и подпись лица, проводившего испытания.
21 Должность, фамилия, инициалы и подпись руководителя испытательной организации.
(справочное)
РАСЧЕТЫ, ОБОСНОВЫВАЮЩИЕ ЗНАЧЕНИЯ УГЛА НАКЛОНА ПЛАТФОРМЫ
ПРИ ПРОВЕДЕНИИ СТАТИЧЕСКИХ ИСПЫТАНИЙ ПОСРЕДСТВОМ НАКЛОНА АТС
Для получения в гибких средствах крепления при наклоне грузовой платформы тех же сил, которые были получены при расчетах в соответствии с
разделом 6 настоящего стандарта для учета скольжения, используют следующие формулы.
Необходимый статический угол наклона в продольном направлении вычисляют как функцию

,
cx и
cz для достижения той же силы
FR при креплении под углом, что и при расчете в соответствии с
6.5.2.
В наклонном положении требуемую горизонтальную удерживающую силу
FR в гибком средстве крепления вычисляют в соответствии с
рисунком Е.1 по формуле

,

. (Е.1)
Рисунок Е.1 - Схема проведения испытаний
посредством наклона АТС

. (Е.2)

. (Е.3)
Таким образом, значение угла наклона грузовой платформы

является функцией коэффициентов горизонтального ускорения
cx и
cy для заданного направления (вперед, вбок или назад) и коэффициента вертикального ускорения
cz.
Аналогично
формуле (Е.3) выводят формулы для других вариантов крепления (блокировка, натяжение гибких средств крепления), где фактор

, принимает значения

,
B/(
N·
H),
bпоп/
h,
L/
H,
bпрод/
h.

. (Е.4)
Расчеты проводят для определения угла наклона грузовой платформы

при различных значениях факторов

, коэффициентах горизонтального ускорения
cx и
cy, принимающих значения 1,0; 0,8; 0,7; 0,6 и 0,5, при коэффициенте вертикального ускорения
cz = 1,0.
| ДИН ЕН 12195-1:2021 | Устройства для закрепления грузов на дорожных транспортных средствах. Безопасность. Часть 1. Расчет сил закрепления (Load restraining on road vehicles - Safety - Part 1: Calculation of securing forces) |
| ECE/TRANS/WP.29/78/Rev.6 | Сводная резолюция о конструкции транспортных средств (СР.3) |
| ИСО 7500-1:2018 | Материалы металлические. Калибровка и верификация машин для статических испытаний в условиях одноосного нагружения. Часть 1. Машины для испытания на растяжение/сжатие. Калибровка и верификация силоизмерительной системы (Metallic materials - Calibration and verification of static uniaxial testing machines - Part 1: Tension/compression testing machines - Calibration and verification of the force-measuring system) |
| MSC 93/22/Add.3, приложение 20 | Кодекс практики ИМО/МОТ/ЕЭК ООН по укладке грузов в грузовые транспортные единицы (Кодекс ГТЕ) |
УДК 656.1:006.354 | |
Ключевые слова: автотранспортные средства, крепление грузов, технические требования, методы испытаний |