Главная // Актуальные документы // ГОСТ Р (Государственный стандарт)СПРАВКА
Источник публикации
М.: Стандартинформ, 2014
Примечание к документу
Документ утратил силу с 1 июня 2017 года в связи с изданием
Приказа Росстандарта от 27.09.2016 N 1228-ст. Взамен введен в действие
ГОСТ 33886-2016.
Документ
введен в действие с 1 января 2014 года.
Название документа
"ГОСТ Р 55443-2013. Национальный стандарт Российской Федерации. Железнодорожный путь. Номенклатура показателей надежности и функциональной безопасности"
(утв. и введен в действие Приказом Росстандарта от 25.06.2013 N 186-ст)
"ГОСТ Р 55443-2013. Национальный стандарт Российской Федерации. Железнодорожный путь. Номенклатура показателей надежности и функциональной безопасности"
(утв. и введен в действие Приказом Росстандарта от 25.06.2013 N 186-ст)
Утвержден и введен в действие
агентства по техническому
регулированию и метрологии
от 25 июня 2013 г. N 186-ст
НАЦИОНАЛЬНЫЙ СТАНДАРТ РОССИЙСКОЙ ФЕДЕРАЦИИ
ЖЕЛЕЗНОДОРОЖНЫЙ ПУТЬ
НОМЕНКЛАТУРА ПОКАЗАТЕЛЕЙ НАДЕЖНОСТИ
И ФУНКЦИОНАЛЬНОЙ БЕЗОПАСНОСТИ
Railway track. Nomenclature of dependability
and functional safety indices
ГОСТ Р 55443-2013
Дата введения
1 января 2014 года
1. Разработан Открытым акционерным обществом "Научно-исследовательский и проектно-конструкторский институт информатизации, автоматизации и связи на железнодорожном транспорте" (ОАО "НИИАС") и Обществом с ограниченной ответственностью "Научно-технический центр ТРАНСПРОЕКТ" (ООО "НТЦ ТРАНСПРОЕКТ").
2. Внесен Техническими комитетами по стандартизации ТК 45 "Железнодорожный транспорт" и ТК 58 "Функциональная безопасность".
3. Утвержден и введен в действие
Приказом Федерального агентства по техническому регулированию и метрологии от 25 июня 2013 г. N 186-ст.
4. Введен впервые.
Правила применения настоящего стандарта установлены в ГОСТ Р 1.0-2012
(раздел 8). Информация об изменениях к настоящему стандарту публикуется в ежегодном (по состоянию на 1 января текущего года) информационном указателе "Национальные стандарты", а официальный текст изменений и поправок - в ежемесячном информационном указателе "Национальные стандарты". В случае пересмотра (замены) или отмены настоящего стандарта соответствующее уведомление будет опубликовано в ближайшем выпуске ежемесячного информационного указателя "Национальные стандарты". Соответствующая информация, уведомление и тексты размещаются также в информационной системе общего пользования - на официальном сайте Федерального агентства по техническому регулированию и метрологии в сети Интернет (gost.ru).
Настоящий стандарт распространяется на железнодорожные пути общего и необщего пользования и устанавливает для них номенклатуру показателей надежности и функциональной безопасности.
Настоящий стандарт предназначен для применения владельцами инфраструктуры железнодорожного транспорта, разработчиками и строительными организациями (подрядчиками), участвующими в проектировании, строительстве и реконструкции железнодорожного пути.
В настоящем стандарте использованы нормативные ссылки на следующие стандарты:
| | ИС МЕГАНОРМ: примечание. ГОСТ Р 54505-2011 утратил силу с 1 сентября 2016 года в связи с введением в действие ГОСТ 33433-2015 (Приказ Росстандарта от 04.12.2015 N 2108-ст). | |
ГОСТ Р 54505-2011. Безопасность функциональная. Управление рисками на железнодорожном транспорте
ГОСТ 27.003-90. Надежность в технике. Состав и общие правила задания требований по надежности.
Примечание. При пользовании настоящим стандартом целесообразно проверить действие ссылочных стандартов в информационной системе общего пользования - на официальном сайте Федерального агентства по техническому регулированию и метрологии в сети Интернет или по ежегодному информационному указателю "Национальные стандарты", который опубликован по состоянию на 1 января текущего года, и по выпускам ежемесячного информационного указателя "Национальные стандарты" за текущий год. Если заменен ссылочный стандарт, на который дана недатированная ссылка, то рекомендуется использовать действующую версию этого стандарта с учетом всех внесенных в данную версию изменений. Если заменен ссылочный стандарт, на который дана датированная ссылка, то рекомендуется использовать версию этого стандарта с указанным выше годом утверждения (принятия). Если после утверждения настоящего стандарта в ссылочный стандарт, на который дана датированная ссылка, внесено изменение, затрагивающее положение, на которое дана ссылка, то это положение рекомендуется применять без учета данного изменения. Если ссылочный стандарт отменен без замены, то положение, в котором дана ссылка на него, рекомендуется применять в части, не затрагивающей эту ссылку.
В настоящем стандарте применены следующие термины с соответствующими определениями:
3.1. Вероятность безопасной работы (железнодорожного пути): вероятность того, что в пределах заданной наработки опасный отказ железнодорожного пути не возникнет.
3.2. Вероятность безотказной работы (железнодорожного пути): вероятность того, что в пределах заданной наработки отказ железнодорожного пути не возникнет.
3.3. Вероятность опасного отказа (железнодорожного пути): вероятность того, что в пределах заданной наработки железнодорожного пути возникнет хотя бы один опасный отказ.
3.4. Вероятность отказа (железнодорожного пути): вероятность того, что в пределах заданной наработки возникнет отказ железнодорожного пути определенного вида.
3.5. Время возврата к безопасному состоянию (железнодорожного пути): среднее время до восстановления железнодорожного пути после опасного отказа.
3.6. Гамма-процентный ресурс (железнодорожного пути): ресурс железнодорожного пути, в течение которого железнодорожный путь не достигнет предельного состояния с вероятностью

, выраженной в процентах.
3.7. Гамма-процентный срок службы (железнодорожного пути): срок службы, в течение которого железнодорожный путь не достигнет предельного состояния с вероятностью

, выраженной в процентах.
3.8. Железнодорожный путь: подсистема инфраструктуры железнодорожного транспорта, включающая в себя верхнее строение пути, земляное полотно, водоотводные, противодеформационные, защитные и укрепительные сооружения земляного полотна, расположенные в полосе отвода, а также искусственные сооружения.
Примечания
1. Термин приведен в соответствии с
[1].
2. В рамках настоящего стандарта под железнодорожным путем понимают участок железнодорожного пути заданной длины и конструкции и стрелочные переводы.
3.9. Интенсивность опасных отказов (железнодорожного пути): условная плотность вероятности возникновения опасного отказа железнодорожного пути, определяемая при условии, что до рассматриваемого момента времени опасный отказ не возник.
3.10. Интенсивность предотказов железнодорожного пути: отношение числа предотказов железнодорожного пути за его наработку к значению этой наработки.
3.11. Коэффициент готовности (железнодорожного пути): вероятность того, что железнодорожный путь окажется в работоспособном состоянии в произвольный момент времени, кроме планируемых периодов, в течение которых его применение по назначению не предусматривается.
3.12. Коэффициент оперативной готовности (железнодорожного пути): вероятность того, что железнодорожный путь окажется в работоспособном состоянии в произвольный момент времени, кроме планируемых периодов, в течение которых его применение по назначению не предусматривается, и, начиная с этого момента, будет работать безотказно в течение заданного интервала времени.
3.13. Коэффициент простоя (железнодорожного пути): вероятность того, что в произвольный момент времени возникла задержка поездов вследствие перехода железнодорожного пути в неработоспособное состояние, кроме планируемых периодов, в течение которых применение железнодорожного пути по назначению не предусматривается.
3.14. Коэффициент технической готовности (железнодорожного пути): отношение времени нахождения железнодорожного пути в работоспособном состоянии к общей продолжительности эксплуатации в заданном интервале времени, включая все виды технического обслуживания и ремонта.
3.15. Наработка железнодорожного пути: тоннаж, пропущенный по железнодорожному пути за определенный период времени.
3.16. Опасный отказ (железнодорожного пути): отказ железнодорожного пути, вследствие которого возникает риск причинения вреда жизни и здоровью граждан, имуществу физических и юридических лиц, государственному и муниципальному имуществу, окружающей среде, жизни и здоровью животных и растений, превышающий допустимый уровень риска.
3.17. Отказ железнодорожного пути: событие, заключающееся в нарушении работоспособного состояния железнодорожного пути.
3.18. Параметр потока отказов (железнодорожного пути): отношение математического ожидания числа отказов железнодорожного пути за достаточно малую его наработку к значению этой наработки.
3.19. Предотказ железнодорожного пути: событие, при котором в результате прохода вагона-путеизмерителя установлено наличие отступлений от норм и допусков устройства и содержания железнодорожного пути второй и третьей степени.
3.20. Среднее время до восстановления (железнодорожного пути): математическое ожидание интервала времени от момента отказа железнодорожного пути до момента восстановления его работоспособного состояния.
3.21. Среднее время простоя (железнодорожного пути): математическое ожидание продолжительности неработоспособного состояния железнодорожного пути из-за возникновения его отказов и нахождения его на планово-предупредительном техническом обслуживании и плановом ремонте.
3.22. Средний ресурс (железнодорожного пути): математическое ожидание ресурса железнодорожного пути.
3.23. Средний срок службы (железнодорожного пути): математическое ожидание срока службы железнодорожного пути.
3.24. Средняя наработка до опасного отказа (железнодорожного пути): математическое ожидание наработки железнодорожного пути до первого опасного отказа.
3.25. Средняя наработка между видами планово-предупредительного технического обслуживания (железнодорожного пути): математическое ожидание наработки между действиями планово-предупредительного технического обслуживания железнодорожного пути.
3.26. Средняя наработка между видами планового ремонта (железнодорожного пути): математическое ожидание наработки между действиями планового ремонта железнодорожного пути.
3.27. Средняя наработка на отказ (железнодорожного пути): отношение суммарной наработки железнодорожного пути к математическому ожиданию числа его отказов в течение этой наработки.
3.28. Средняя продолжительность ремонта (железнодорожного пути): математическое ожидание календарного времени проведения ремонта железнодорожного пути данного вида за наработку или определенный период эксплуатации.
3.29. Средняя продолжительность технического обслуживания (железнодорожного пути): математическое ожидание календарного времени проведения технического обслуживания железнодорожного пути данного вида за наработку или определенный период эксплуатации.
3.30. Средняя суммарная продолжительность ремонта (железнодорожного пути): математическое ожидание календарного времени проведения всех видов ремонта железнодорожного пути за определенные период эксплуатации или наработку.
3.31. Средняя суммарная продолжительность технического обслуживания (железнодорожного пути): математическое ожидание календарного времени проведения всех видов технического обслуживания железнодорожного пути за определенные период эксплуатации или наработку.
3.32. Средняя суммарная трудоемкость планового ремонта (железнодорожной техники): математическое ожидание трудозатрат на проведение всех видов ремонта железнодорожного пути за определенные период эксплуатации или наработку.
3.33. Средняя суммарная трудоемкость технического обслуживания (железнодорожного пути): математическое ожидание трудозатрат на проведение всех видов технического обслуживания железнодорожного пути за определенные период эксплуатации или наработку.
3.34. Средняя трудоемкость ремонта (железнодорожного пути): математическое ожидание трудозатрат на проведение ремонта железнодорожного пути данного вида за определенные период эксплуатации или наработку.
3.35. Средняя трудоемкость технического обслуживания (железнодорожного пути): математическое ожидание трудозатрат на проведение технического обслуживания железнодорожного пути данного вида за определенные период эксплуатации или наработку.
3.36. Удельная суммарная продолжительность ремонта (железнодорожного пути): отношение средней суммарной продолжительности ремонта железнодорожного пути за определенную наработку к этой наработке.
3.37. Удельная суммарная продолжительность технического обслуживания (железнодорожного пути): отношение средней суммарной продолжительности технического обслуживания железнодорожного пути за определенную наработку к этой наработке.
3.38. Удельная суммарная трудоемкость планово-предупредительного технического обслуживания (железнодорожной техники): отношение средней суммарной трудоемкости технического обслуживания железнодорожного пути за определенную наработку к этой наработке.
3.39. Удельная суммарная трудоемкость планового ремонта (железнодорожной техники): отношение средней суммарной трудоемкости ремонта железнодорожного пути за определенную наработку к этой наработке.
3.40.
┌─────────────────────────────────────────────────────────────────────────┐
│ Функциональная безопасность: свойство объекта железнодорожного│
│транспорта, связанного с безопасностью, выполнять требуемые функции│
│при всех предусмотренных условиях в течение заданного периода времени. │
└─────────────────────────────────────────────────────────────────────────┘
4.1. Надежность железнодорожного пути характеризует его способность обеспечивать бесперебойный пропуск поездов с установленной скоростью в заданных условиях эксплуатации, текущего содержания и ремонтов.
4.2. Железнодорожный путь с точки зрения надежности является восстанавливаемым объектом и имеет следующие особенности:
- большую протяженность;
- необходимость восстановления работоспособного состояния после отказа на месте эксплуатации.
4.3. Функциональная безопасность железнодорожного пути характеризует его способность обеспечивать бесперебойный пропуск поездов безопасно, то есть без возникновения опасных отказов. Функциональная безопасность рассматривает опасные отказы исходя из структурно-технических особенностей железнодорожного пути, комплекса мероприятий, направленных на обеспечение безопасности, а также влияния человеческого фактора. Показатели функциональной безопасности, приведенные в 5.2, характеризуют полноту безопасности в отношении опасных отказов.
4.4. Показатели надежности и функциональной безопасности не подлежат инструментальному измерению, их определяют вероятностными или статистическими расчетами на основе анализа надежности и функциональной безопасности и испытаний опытных образцов.
4.5. Установление и расчет показателей надежности и функциональной безопасности проводят для:
- заданного участка или 1 км железнодорожного пути перегона определенной конструкции;
- заданного участка или 1 км железнодорожного пути станции определенной конструкции;
- стрелочного перевода.
5. Номенклатура показателей надежности
и функциональной безопасности
5.1. Номенклатура показателей надежности
5.1.1. Номенклатура показателей надежности железнодорожного пути приведена в таблице 1.
Таблица 1
Номенклатура показателей надежности железнодорожного пути
Наименование показателя | Обозначение показателя | Размерность показателя |
1. Показатели безотказности |
1.1. Средняя наработка на отказ | | |
1.2. Параметр потока отказов вновь введенного железнодорожного пути | | 1/млн. т брутто (1/ч) |
1.3. Параметр потока отказов железнодорожного пути после модернизации | | 1/млн. т брутто (1/ч) |
1.4. Вероятность безотказной работы | Р(x) | |
1.5. Вероятность отказа | Q(x) | - |
1.6. Интенсивность предотказов | | 1/млн. т брутто (1/ч) |
2. Показатели ремонтопригодности |
2.1. Среднее время простоя | | ч |
2.2. Среднее время до восстановления | | ч |
2.3. Средняя наработка между видами планово-предупредительного технического обслуживания | | млн. т брутто |
2.4. Средняя наработка между видами планового ремонта | | млн. т брутто |
2.5. Средняя продолжительность технического обслуживания данного вида | | ч |
2.6. Средняя продолжительность ремонта данного вида | | ч |
2.7. Средняя суммарная продолжительность технического обслуживания | | ч |
2.8. Средняя суммарная продолжительность ремонта | | ч |
2.9. Удельная суммарная продолжительность технического обслуживания | | ч/млн. т брутто |
2.10. Удельная суммарная продолжительность ремонта | | ч/млн. т брутто |
2.11. Средняя трудоемкость технического обслуживания данного вида | | чел. x ч |
2.12. Средняя трудоемкость ремонта данного вида | | чел. x ч |
2.13. Средняя суммарная трудоемкость технического обслуживания | | чел. x ч |
2.14. Средняя суммарная трудоемкость ремонта | | чел. x ч |
2.15. Удельная суммарная трудоемкость технического обслуживания | | чел. x ч/млн. т брутто |
2.16. Удельная суммарная трудоемкость ремонта | | чел. x ч/млн. т брутто |
3. Показатели долговечности |
3.1. Средний срок службы | | год (месяц) |
3.2. Гамма-процентный срок службы | | год (месяц) |
3.3. Средний ресурс | | млн. т брутто |
3.4. Гамма-процентный ресурс | | млн. т брутто |
4. Комплексные показатели готовности |
4.1. Коэффициент готовности | | - |
4.2. Коэффициент оперативной готовности | | - |
4.3. Коэффициент технической готовности | | - |
4.4. Коэффициент простоя | | - |
Примечания 1. Для железнодорожного пути наработкой является объем пропущенного груза, измеряемый млн. т, брутто. Это следует учитывать для всех показателей, зависящих от наработки. 2. Знак "-" означает, что величина безразмерная. 3. Формулы для расчета интенсивности предотказов и комплексных показателей надежности приведены в Приложении А. |
5.1.2. Выбор и нормирование показателей надежности осуществляют с учетом
ГОСТ 27.003.
5.2. Номенклатура показателей функциональной безопасности
5.2.1. Показатели функциональной безопасности для железнодорожного пути приведены в таблице 2.
Таблица 2
Номенклатура показателей функциональной безопасности
железнодорожного пути
Наименование показателя | Обозначение показателя | Размерность показателя |
1. Средняя наработка до опасного отказа | | млн. т брутто |
2. Интенсивность опасных отказов | | 1/млн. т брутто (1/ч) |
3. Вероятность безопасной работы | | - |
4. Вероятность опасного отказа | | - |
5. Среднее время возврата к безопасному состоянию | | ч |
Примечания 1. Знак "-" означает, что величина безразмерная. 2. Формулы для расчета показателей функциональной безопасности приведены в Приложении А. |
5.2.3. Нормирование показателей функциональной безопасности железнодорожного пути осуществляют с учетом:
- допустимого уровня риска;
| | ИС МЕГАНОРМ: примечание. ГОСТ Р 54505-2011 утратил силу с 1 сентября 2016 года в связи с введением в действие ГОСТ 33433-2015 (Приказ Росстандарта от 04.12.2015 N 2108-ст). | |
- достигнутого уровня риска, определяемого в соответствии с ГОСТ Р 54505;
- соотношения между затратами на обеспечение уровня риска и выгодой от снижения уровня риска.
(справочное)
ФОРМУЛЫ РАСЧЕТА КОМПЛЕКСНЫХ ПОКАЗАТЕЛЕЙ НАДЕЖНОСТИ
И ПОКАЗАТЕЛЕЙ ФУНКЦИОНАЛЬНОЙ БЕЗОПАСНОСТИ
А.1. Интенсивность предотказов
Интенсивность предотказов железнодорожного пути определяют по формуле

, (А.1)
где d - число предотказов железнодорожного пути за период наблюдения;
X - наработка железнодорожного пути за период наблюдения.
А.2. Коэффициент готовности
Коэффициент готовности железнодорожного пути определяют по формуле

, (А.2)
где

- средняя наработка на отказ железнодорожного пути, ч;

- среднее время до восстановления железнодорожного пути.
Примечание. Среднюю наработку на отказ железнодорожного пути, измеряемую в часах, используют только для расчета комплексных показателей надежности.
Коэффициент готовности характеризует готовность железнодорожного пути к функционированию, т.е. применению по назначению, в произвольный момент времени, кроме планируемых периодов, в течение которых применение железнодорожного пути по назначению не предусматривается. Под планируемыми периодами, в течение которых применение железнодорожного пути по назначению не предусматривается, имеют в виду простои железнодорожного пути при текущем содержании и плановом ремонте. При расчете коэффициента готовности учитывают только оперативное время устранения отказа. Простои по организационным причинам (вызов ремонтной бригады; поиск и доставка запасных частей и др.) не учитывают.
На практике иногда используют показатель "коэффициент неготовности"

, который равен

. (А.3)
А.3. Коэффициент оперативной готовности
Коэффициент оперативной готовности железнодорожного пути определяют по формуле

, (А.4)
где P(x) - вероятность безотказной работы железнодорожного пути в интервале времени

.
При экспоненциальном законе распределения наработки между отказами с интенсивностью
формула (А.3) может быть преобразована в выражение

. (А.5)
А.4. Коэффициент технической готовности
Коэффициент технической готовности характеризует долю времени нахождения железнодорожного пути в работоспособном состоянии с учетом простоя при текущем содержании (плановом ремонте) и устранении отказов.
Коэффициент технической готовности определяют по формуле

, (А.6)
где

- среднее время пребывания железнодорожного пути в работоспособном состоянии за рассматриваемый период эксплуатации;

- среднее время пребывания железнодорожного пути на текущем содержании и плановом ремонте за этот же период эксплуатации;

- среднее время до восстановления железнодорожного пути за этот же период эксплуатации.
А.5. Коэффициент простоя
Коэффициент простоя показывает влияние отказов железнодорожного пути на перевозочный процесс.
Коэффициент простоя определяют по формуле

, (А.7)
где

- время простоя железнодорожного пути вследствие j-го отказа;
r - число отказов железнодорожного пути за рассматриваемый период эксплуатации;

- рассматриваемый период эксплуатации.
А.6. Вероятность безопасной работы
Так как наступление опасных отказов железнодорожного пути относится к редким событиям и удовлетворяет условиям стационарности, ординарности и отсутствия последействия, можно сделать допущение, что поток опасных отказов является простейшим. Следовательно, число опасных отказов распределено по закону Пуассона, а наработка до опасного отказа - по экспоненциальному закону:

, (А.8)
где x - наработка железнодорожного пути (переменная величина).
А.7. Вероятность опасного отказа
Опасный отказ и безопасная работа железнодорожного пути являются событиями несовместными и противоположными, поэтому

. (А.9)
А.8. Интенсивность опасных отказов
Интенсивность опасных отказов железнодорожного пути рассчитывают аналогично интенсивности отказов по формуле:

, (А.10)
где

- число опасных отказов железнодорожного пути за период наблюдения;
X - наработка железнодорожного пути за период наблюдения.
А.9. Средняя наработка до опасного отказа
Средняя наработка до опасного отказа железнодорожного пути является величиной обратной интенсивности опасных отказов:

. (А.11)
А.10. Среднее время возврата к безопасному состоянию
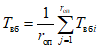
Среднее время возврата к безопасному состоянию - математическое ожидание времени устранения опасного отказа железнодорожного пути. Его определяют по формуле:

, (А.12)
где

- суммарное время устранения опасных отказов железнодорожного пути.
[1] Технический
регламент Таможенного союза ТР ТС 003/2011 "О безопасности инфраструктуры железнодорожного транспорта", утвержденный Решением Комиссии Таможенного союза от 15 июля 2011 г. N 710.