Главная // Актуальные документы // ГОСТ Р (Государственный стандарт)СПРАВКА
Источник публикации
М.: Стандартинформ, 2012
Примечание к документу
Документ
введен в действие с 1 января 2013 года.
Название документа
"ГОСТ Р ЕН 308-2011. Национальный стандарт Российской Федерации. Теплообменники. Методы испытаний для определения критериев мощности установок регенерации тепла из смеси воздух/воздух и воздух/отработанный газ"
(утв. и введен в действие Приказом Росстандарта от 28.09.2011 N 345-ст)
"ГОСТ Р ЕН 308-2011. Национальный стандарт Российской Федерации. Теплообменники. Методы испытаний для определения критериев мощности установок регенерации тепла из смеси воздух/воздух и воздух/отработанный газ"
(утв. и введен в действие Приказом Росстандарта от 28.09.2011 N 345-ст)
Утвержден и введен в действие
агентства по техническому
регулированию и метрологии
от 28 сентября 2011 г. N 345-ст
НАЦИОНАЛЬНЫЙ СТАНДАРТ РОССИЙСКОЙ ФЕДЕРАЦИИ
ТЕПЛООБМЕННИКИ
МЕТОДЫ ИСПЫТАНИЙ ДЛЯ ОПРЕДЕЛЕНИЯ КРИТЕРИЕВ
МОЩНОСТИ УСТАНОВОК РЕГЕНЕРАЦИИ ТЕПЛА ИЗ СМЕСИ
ВОЗДУХ/ВОЗДУХ И ВОЗДУХ/ОТРАБОТАННЫЙ ГАЗ
Heat exchangers. Test methods for determining the power
criteria of air/air and air/exhaust gas mixture heat
recovery devices
EN 308:1997
Heat exchangers - Test procedures for establishing
performance of air and flue gases heat recovery devices
(IDT)
ГОСТ Р ЕН 308-2011
Дата введения
1 января 2013 года
Цели и принципы стандартизации в Российской Федерации установлены Федеральным
законом от 27 декабря 2002 г. N 184-ФЗ "О техническом регулировании", а правила применения национальных стандартов Российской Федерации -
ГОСТ Р 1.0-2004 "Стандартизация в Российской Федерации. Основные положения"
1 ПОДГОТОВЛЕН Некоммерческим партнерством "Инновации в электроэнергетике" (НП "ИНВЭЛ") на основе собственного аутентичного перевода на русский язык стандарта, указанного в
пункте 4, Федеральным государственным унитарным предприятием "Всероссийский научно-исследовательский институт стандартизации и сертификации в машиностроении" (ВНИИНМАШ)
2 ВНЕСЕН Техническим комитетом по стандартизации ТК 39 "Энергосбережение, энергетическая эффективность, энергоменеджмент"
3 УТВЕРЖДЕН И ВВЕДЕН В ДЕЙСТВИЕ
Приказом Федерального агентства по техническому регулированию и метрологии от 28 сентября 2011 г. N 345-ст
4 Настоящий стандарт идентичен международному стандарту ЕН 308:1997 "Теплообменники. Методы испытаний для определения рабочих характеристик установок регенерации тепла воздух/воздух и воздух/газ" (EN 308:1997 "Heat exchangers - Test procedures for establishing performance of air and flue gases heat recovery devices")
Наименование настоящего стандарта изменено относительно наименования указанного международного стандарта для приведения в соответствие с ГОСТ Р 1.5-2004
(подраздел 3.5)
5 ВВЕДЕН ВПЕРВЫЕ
Информация об изменениях к настоящему стандарту публикуется в ежегодно издаваемом информационном указателе "Национальные стандарты", а текст изменений и поправок - в ежемесячно издаваемых информационных указателях "Национальные стандарты". В случае пересмотра (замены) или отмены настоящего стандарта соответствующее уведомление будет опубликовано в ежемесячно издаваемом информационном указателе "Национальные стандарты". Соответствующая информация, уведомление и тексты размещаются также в информационной системе общего пользования - на официальном сайте Федерального агентства по техническому регулированию и метрологии в сети Интернет
Настоящий стандарт является одним из серии "Теплообменники".
В настоящем стандарте регламентируются основные методы лабораторных испытаний (методы измерений, режимы испытаний и методики расчетов) по определению характеристик и показателей эффективности установок регенерации тепла в системах кондиционирования воздуха, проводимых с целью подтверждения значений величин, указанных производителями оборудования.
Настоящий стандарт распространяется на регенеративные установки систем вентиляции и кондиционирования воздуха в помещениях с теплообменными аппаратами воздух/воздух или на теплообменниках, использующих продукты сгорания (уходящие газы) местных отопительных устройств зданий (за исключением относящихся к технологическим процессам), для определения их эксплуатационных характеристик.
В целях унификации определение "удаляемый воздух" может также распространяться на упомянутые выше продукты сгорания.
Настоящий стандарт может использоваться для проведения испытаний установок регенерации тепла, которые в соответствии с ЕН 247 включают в себя теплообменник, установленный в корпусе, содержащий соединительные фланцы, необходимые для подачи воздуха, и в некоторых случаях - вентиляторы и насосы без каких-либо дополнительных элементов системы кондиционирования воздуха.
Настоящий стандарт применяется к следующим теплообменникам:
- категория I - Регенеративные установки;
- категория II - Регенеративные установки тепла с промежуточным жидким теплоносителем;
- категория IIa - Регенеративные установки без фазового перехода;
- категория IIb - Регенеративные установки с фазовым переходом промежуточного теплоносителя;
- категория III - Регенераторы (содержащие теплоаккумулирующую массу);
- категория IIIa - Регенераторы негигроскопические;
- категория IIIb - Регенераторы гигроскопические.
Регенеративные установки тепла с теплообменниками и промежуточным жидким теплоносителем без фазового перехода (категория IIa) должны подвергаться испытаниям в комплекте с насосом и соединяющими трубопроводами между теплообменниками.
В настоящем стандарте использованы ссылки на следующие стандарты, принимаемые с учетом последних изменений:
ЕН 247:1997 Теплообменники. Терминология
ЕН 305:1997 Теплообменники. Определение эксплуатационных характеристик и общая методика испытаний для установления эксплуатационных характеристик всех типов теплообменников
ЕН 306:1997 Теплообменники. Методы определения параметров производительности
ЕН 307:1998 Теплообменники. Руководящие положения для подготовки инструкции по установке, эксплуатации и техническому обслуживанию необходимых для сохранения эксплуатационных характеристик каждого типа теплообменника
3 Термины и определения, обозначения и сокращения
3.1 Термины и определения
В настоящем стандарте приняты термины в соответствии с ЕН 247, а также следующие термины с соответствующими определениями:
3.1.1 установка регенерации тепла (регенеративные установки): Теплообменник или комбинация теплообменников, которые обеспечивают передачу тепла и в некоторых случаях - влажности между потоками удаляемого и подаваемого в помещение воздуха под действием разницы температуры и влажности.
Регенеративные установки, как правило, располагаются в корпусах, оснащенных внешними соединительными фланцами, предназначенными для соединения с внешними воздуховодами.
Установки регенерации тепла подразделяются на три категории согласно
разделу 1.
3.1.2 массовый расход qmn: Расход удаляемого воздуха на входе в установку, используемый в качестве значения опорной величины при испытаниях, устанавливаемый производителем.
3.1.3 внешние утечки: Утечки теплоносителя из установки регенерации тепла в окружающую среду или при заборе воздуха из нее.
3.1.4 внутренние утечки: Протечки между первичным и вторичным воздушными потоками в установке регенерации тепла.
Внутренние утечки по удаляемому воздуху - это протечки удаляемого воздуха к воздуху, подаваемому в помещение.
3.1.5 утечки захвата: Перенос удаляемого воздуха к подаваемому воздуху в регенераторе категории III, работающем при избыточном давлении со стороны подаваемого воздуха.
3.1.6 потери давления: Снижение давления теплоносителя в установке регенерации, обусловленное преодолением гидравлического сопротивления по тракту.
3.2 Обозначения и сокращения
В настоящем стандарте применены следующие обозначения и сокращения:
a - концентрация, 1·10-6;
n - частота вращения, мин-1;
x - режим влажности, кг воды/кг сухого воздуха;
dn - диаметр трубопровода, в котором падение давления равно падению давления в фактическом трубопроводе при той же скорости воздуха, мм;

- динамическая вязкость, в кг·м
-1·с
-1;
qmn - номинальный массовый расход воздуха в установке, указанный производителем, кг·с-1;
qm1 - массовый расход удаляемого воздуха, кг·с-1;
qm2 - массовый расход подаваемого в помещение воздуха, кг·с-1;
qmen - массовый расход утечек в окружающую среду при отрицательных давлениях, кг·с-1;
qmep - массовый расход утечек в окружающую среду при положительных давлениях, кг·с-1;
qmco - массовый расход захватывания, кг·с-1;
qmil - массовый расход протечек, кг·с-1;

- потери давления по удаляемому воздуху, Па;

- потери давления по подаваемому воздуху, Па;

- температурный коэффициент эффективности;

- гигрометрический коэффициент эффективности;
tw - температура влажного термометра, °C;
21 - вход подаваемого воздуха;
22 - выход подаваемого воздуха;
11 - вход удаляемого воздуха;
12 - выход удаляемого воздуха.
В настоящем стандарте используются следующие подстрочные индексы для идентификации параметров:
n - номинальный;
en - внешние утечки при отрицательном давлении;
ep - внешние утечки при положительном давлении;
il - внутренние утечки;
co - утечки захватывания;
w - температура влажного термометра;
meas - измерение.
Стандарты ЕН 305, ЕН 306 и ЕН 307 должны применяться при отсутствии соответствующих положений в приведенных ниже статьях.
4.1 Определяемые показатели
В целях подтверждения соответствия данным производителя должны определяться следующие показатели:
- внешние утечки;
- внутренние утечки удаляемого воздуха по отношению к свежему воздуху, подающемуся в устройство, при заданной разнице давления между трубопроводами для регенераторов тепла категорий I и II;
- утечки посредством захвата удаляемого воздуха в новый воздух в регенераторах тепла категории III;
- температура и в случае, если применимо, гигрометрическая эффективность;
- падение давления со стороны удаляемого и подаваемого воздуха;
- температурный коэффициент эффективности;
- влажностный коэффициент эффективности.
4.2 Массовый расход
Массовый расход определяется разностью значений массового расхода выхлопных газов на выходе из теплообменника qm22 и массового расхода выхлопных газов подаваемого в теплообменник qm11.
Речь идет об определении разности масс удаляемого и подаваемого воздуха со стороны.
4.3 Показатели эффективности
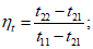
Температурный и гигрометрический коэффициенты эффективности установки регенерации тепла определяются по подаваемому в помещение воздуху по формулам:

(1)

(2)
Примечание - Показатели эффективности определяют по подаваемому воздуху, потому что его температура и влажность являются основными критериями для расчета параметров регенеративной установки. Данные по удаляемому воздуху могут быть определены из условий теплового баланса и сохранения массы.
4.4 Стандартные условия
В целях получения сопоставимых результатов показатели определяют или приводят к стандартным условиям. В качестве стандартных условий для воздуха приняты:
- плотность 1,20 кг·м-3;
- динамическая вязкость 18,2·10-6 кг·м-1·с-1;
- абсолютное давление в 101,3 кПа (1013 бар).
Примечание - Воздух при температуре 20,0 °C, относительной влажности 50% и давлении 101,3 кПа можно принять соответствующим стандартным условиям.
4.5 Давление
Избыточные давления определяют в сравнении с атмосферным, за исключением особых условий, где в качестве давления следует использовать избыточное давление.
Примечание - Абсолютные давления используются при определении свойств воздуха и жидкостей.
Стандарты ЕН 305, ЕН 306 и ЕН 307 должны применяться в соответствующих случаях, кроме противоречащих нижеприведенным условиям.
5.1 Установка оборудования
Испытуемая регенеративная установка тепла должна быть подготовлена к испытаниям согласно инструкции по установке и указаниям предприятия-изготовителя.
Воздухонепроницаемость характеризуется внешними утечками при положительном и отрицательном давлении 400 Па.
Внешние утечки определяются в соответствии со схемой, приведенной в 6.1
(рисунок 1) при среднем положительном и отрицательном давлениях 400 Па по отношению к условиям окружающей среды со стороны подаваемого и удаляемого воздуха соответственно.
Измеренные значения массового расхода qmep и qmen и расхода внешних утечек должны регистрироваться в протоколе испытаний в процентном отношении к номинальному расходу воздуха (qme/qmn)100%.
Плотность воздуха в ходе измерений должна быть в диапазоне 1,16 - 1,24 кг·м-3. За пределами этого диапазона результаты измерений должны быть приведены к стандартным условиям.
Для регенеративной установки тепла без общей стенки между подаваемым и удаляемым воздухом внешние утечки следует определять отдельно для теплообменников подаваемого и удаляемого воздуха при положительном или отрицательном давлении 400 Па с последующим суммированием расходов и определением общего значения внешней утечки.
Для установок регенерации тепла, которые должны работать при статическом давлении, меньшем или равном 250 Па, внешние утечки могут быть определены при давлении 250 Па. Это обязательно должно быть отражено в протоколе испытаний.
5.3 Внутренние утечки по стороне удаляемого воздуха
Утечки между удаляемым и подаваемым воздухом определяются массовым расходом внутренних утечек
qmil, который определяется при давлении 250 Па со стороны удаляемого воздуха и давлении 0 Па - со стороны подаваемого воздуха. Значение расхода определяется в соответствии со схемой, приведенной в 6.2
(рисунок 2). Плотность воздуха в ходе измерений должна быть в диапазоне 1,16 - 1,24 кг·м
-3. За пределами указанного диапазона результаты измерений должны быть приведены к стандартным условиям.
Примечания
1 Измерения, проведенные при давлении 0 Па по стороне подаваемого воздуха, показывают только внутреннюю утечку удаляемого воздуха, исключая утечку из корпуса.
2 Внутренние утечки зависят от конкретной схемы примененной установки и могут изменяться. Учитывая, что давления воздуха по обеим сторонам воздуха, принятые в ходе проектирования, как правило неизвестны, проверка уровня внутренних утечек необходима.
Внутренние утечки должны определяться для регенеративных установок категорий I и IIa и регистрироваться в протоколе испытаний в процентном отношении к потоку номинального воздуха (qmil/qmn).
Примечание - Испытание на внутреннюю утечку не применяется к регенераторам тепла категории II, спроектированным и изготовленным без общей стенки между подаваемым и удаляемым воздухом.
Для регенеративных установок категории I, которые спроектированы для работы при статическом давлении, меньшем или равном 250 Па, внутренние утечки на стороне удаляемого воздуха могут быть определены при давлении 100 Па. Это обязательно должно быть отмечено в протоколе испытаний.
Для измерения внутренних утечек на стороне удаляемого воздуха в регенеративных установках категории I, а в некоторых случаях - и категории II можно использовать индикаторный газ.
Приведенная выше методика неприменима для определения утечек захвата регенеративных установок категории III (например, регенеративный воздухоподогреватель).
Массовый расход утечек захвата
qmco удаляемого воздуха в сторону воздуха подаваемого в помещение должен определяться для регенераторов тепла категории III при разнице статического давления

от 0 до 20 Па с помощью индикаторного газа по методике, приведенной в
6.3. Значение утечки захвата должно быть указано в протоколе испытаний в процентном отношении к потоку номинального воздуха (
qmco/qm2)100%.
Если значение утечки захвата превышает 3%, то разница давления

, которая дает захват в 3%, должна быть определена перед проведением испытаний на эффективность.
Сектор выпуска воздуха должен быть отрегулирован согласно инструкциям изготовителя. Ротор (в случае регенеративного воздухоподогревателя) должен работать при номинальной частоте вращения, указанной изготовителем. Массовые расходы воздуха в секциях 22 и 11 должны быть одинаковыми и равными номинальному расходу qmn, указанному изготовителем. Плотность воздуха в ходе измерений должна быть в диапазоне 1,16 - 1,24 кг·м-3. В случае выхода значений плотности воздуха при измерениях за пределы указанного выше диапазона результаты измерений должны быть приведены к стандартным условиям.
5.5 Термический и гигрометрический коэффициенты эффективности
Термический

и гигрометрический

коэффициенты эффективности (для категории IIIb) определяют со стороны подаваемого воздуха и должны быть рассчитаны в соответствии с
6.4 для нескольких значений массовых расходов
qm2 и
qm1 подаваемого и удаляемого воздуха.
Испытания должны проводить при разнице статического давления 0 - 20 Па между секциями 22 и 11, секция 11 находится при наименьшем давлении. Регенеративные установки категории II, которые сконструированы без общей стенки между подаваемым и удаляемым воздухом, допускается подвергать испытаниям без учета этого требования.
Примечание - Следует учитывать, что даже при указанных соотношениях давлений будут иметь место внутренние утечки, которые оказывают влияние на значения полученных коэффициентов в сторону снижения показателей. При измерениях расходов с требуемой точностью отклонения полученных коэффициентов будут незначительны.
Перед проведением испытаний на эффективность камеры регенеративных установок, рассчитанные на расходы воздуха менее 1,5 м
3·с
-1, должны быть покрыты термоизоляционным материалом для минимизации воздействия на результаты окружающей среды. Термическое сопротивление материала теплоизоляционного слоя должно быть не менее 1 м
2·К·Вт
-1. При этом следует учитывать, что тепловые потоки по обеим средам, определяемые в соответствии с
пунктом 6.6, не должны отличаться более чем на +/- 5%.
Температура окружающего воздуха при испытаниях должна поддерживаться в пределах 17 °C - 27 °C, за исключением условий жаркого климата, для условий которого диапазон температур окружающего воздуха может составлять 25 °C - 35 °C.
Испытания не следует проводить, если значения внешних и внутренних утечек, определяемые в соответствии с
5.2 и
5.3, превышают 3% номинального расхода воздуха
qmn.
Для установок категории III (в случае регенеративного воздухоподогревателя) сектор выпуска воздуха должен быть отрегулирован в соответствии с рекомендациями изготовителя. Если утечки в результате захвата превышают 3% значения расхода подаваемого воздуха
qm2 в течение испытания на захват, то испытания на эффективность должны проводиться при разнице давлений

, определяемой в соответствии с
5.4, обеспечивающей утечку не более 3%.
Регенераторы тепла категории IIa должны проходить испытания в качестве комплекта в сборе, включая насос и трубопроводы. При этом оба потока могут подвергаться испытаниям в соответствии с параметрами промежуточного теплоносителя, указанными изготовителем. Соединительные трубы должны быть максимально короткими с хорошей теплоизоляцией. Тип и концентрация антифриза должны быть выбраны согласно рекомендациям изготовителя.
Примечания
1 Уменьшение протяженности соединительных труб и их покрытие тепловой изоляцией позволят получить более точные значения коэффициентов эффективности, особенно при близких температурных уровнях по подаваемому и удаляемому воздуху.
2 Добавление антифриза снижает эффективность теплообмена.
Для установок категории III (в случае регенеративного воздухоподогревателя) частота вращения ротора должна соответствовать частоте, указанной изготовителем.
Коэффициенты эффективности должны быть определены для всех следующих сочетаний расходов подаваемого и удаляемого воздуха (qm2 и qm1), приведенных в таблице 1.
Таблица 1
qm2 | qmn | 0,67 qmn | 1,5 qmn | 0,67 qmn | qmn | qmn | 1,5 qmn |
qm1 | qmn | qmn | qmn | 0,67 qmn | 0,67 qmn | 1,5 qmn | 1,5 qmn |
Термический и гигроскопический коэффициенты эффективности определяют при характеристиках подводимого воздуха, приведенных в таблице 2.
Таблица 2
Наименование показателя | Значение показателя |
Категория регенератора тепла | I II IIIa | IIIb |
Вход удаляемого воздуха: | | |
- температура t11 | 25 °C | 25 °C |
- температура по влажному термометру tw11 | менее 14 °C | 18 °C |
Вход свежего воздуха: | | |
- температура t21 | 5 °C | 5 °C |
- температура по влажному термометру tw21 | | 3 °C |
При наличии конденсации для установок категорий I и II должны проводиться дополнительные испытания по подводимому воздуху при условиях, приведенных в таблице 3.
Таблица 3
Категория регенератора тепла | I, II |
Вход удаляемого воздуха: | |
- температура t11 | 25 °C |
- температура по влажному термометру tw11 | 18 °C |
Вход нового воздуха: | |
- температура t21 | 5 °C |
<1> Дополнительные испытания для холодного климата в течение как минимум 6 часов. Примечание - Условия по параметрам подачи воздуха в настоящей таблице приведены для типовых испытаний, целью которых является подтверждение характеристик, указанных изготовителем. Аналогичная методика может использоваться для проведения испытаний всего диапазона входных условий. |
После испытания для холодного климата, которое должно длиться минимум 6 часов, рекомендуется визуальный осмотр оборудования, выполняемый после его оттаивания. Замечания, касающиеся влияния оттаивания и конденсации на функционирование установки и отвод конденсата, должны регистрироваться в протоколе испытаний.
5.6 Потери давления
Испытания на потери давления не проводят, если значения внутренних и внешних утечек превышают 3% номинального расхода воздуха qmn.
Потери давления по подаваемому и удаляемому воздуху должны определять в соответствии с
5.5 как минимум для пяти различных значений расхода воздуха
qm2 и
qm1 для каждого потока в пределах диапазона 50% - 150% номинального значения
qmn. При этом точки измерений должны быть распределены по всему тракту потоков.
Испытания должны проводить с идентичными потоками для подаваемого и удаляемого воздуха при разнице статического давления

менее +/- 500 Па.
Для установки категории III (в случае регенеративного воздухоподогревателя) частота вращения ротора устанавливается равной номинальному значению, указанному изготовителем. Сектор выпуска должен быть отрегулирован согласно рекомендациям изготовителя.
Плотность воздуха в ходе измерений должна быть в диапазоне 1,16 - 1,24 кг·м-3. За пределами этого диапазона результаты измерений должны быть приведены к стандартным условиям.
Для установок категории II без общей стенки между сторонами подаваемого и удаляемого воздуха потери давления могут определяться раздельно для каждого потока независимо друг от друга.
6 Методики проведения испытаний и требования к точности измерений
6.1 Определение внешних утечек
Испытания на внешние утечки должны проводиться при закрытии всех трубопроводов и при подсоединении вентилятора к подводу подаваемого в помещение и удаляемого воздуха регенератора тепла, как показано на рисунке 1.
Рисунок 1 - Схема включения оборудования
при испытаниях на внешние утечки
Статическое давление камеры следует учитывать как среднее давление, измеренное с каждой стороны. Датчики статического давления устанавливают на крышке с каждой стороны, и оба датчика объединяются в один прибор измерения давления. Точность измерения статического давления должна быть в пределах +/- 3%.
Значения внешних утечек qmep при избыточном и qmen при пониженном давлении в камере определяют с помощью расходомера, точность измерения расхода которого должна быть в пределах +/- 5%.
6.2 Определение внутренних утечек со стороны подаваемого воздуха (категории I и IIa)
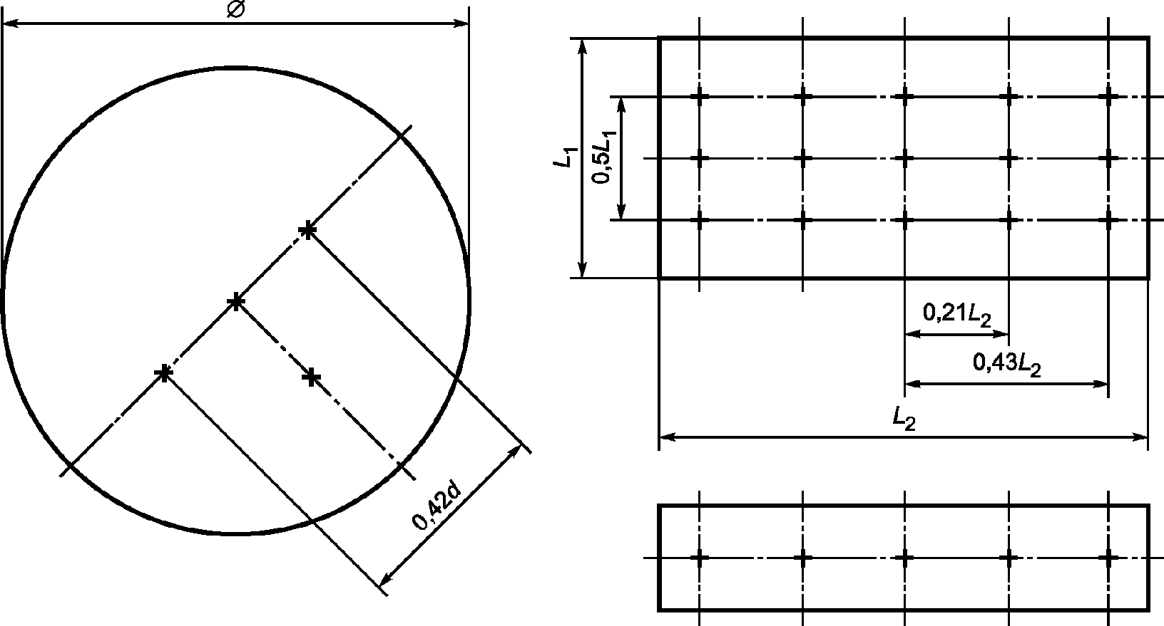
Испытания на внутренние утечки должны проводиться при закрытии всех трубопроводов и при подсоединении нагнетательного вентилятора к потоку удаляемого воздуха и вытяжного вентилятора - к потоку подаваемого в помещение воздуха, как показано на рисунке 2.
Рисунок 2 - Схема подключения оборудования
при определении внутренних утечек
Избыточное давление на стороне удаляемого воздуха контролируют датчиком статического давления, установленным на крышке со стороны выхода воздуха, а давление 0 Па со стороны нового воздуха измеряется соответствующим датчиком. Погрешность измерения давления не должна превышать +/- 3%.
Значение внутренних утечек qmil измеряют с помощью расходометра со стороны подаваемого воздуха. Погрешность измерения расхода не должна превышать +/- 5%.
6.3 Определение захвата (категория III)
Значение захвата определяют с помощью инертного индикаторного газа, впрыскиваемого в тракт удаляемого воздуха.
Для определения степени захвата образцы воздуха отбирают в секциях 11, 22 и 21 для проверки чистоты подаваемого воздуха на входе.
Массовый расход утечки захвата qmco в процентном выражении от потока нового воздуха qm2 рассчитывается по формуле

(3)
где a22 и a11 - средние концентрации индикаторного газа в секциях 22 и 11 соответственно.
Расход инертного газа в секции 11 должен быть достаточным для обнаружения утечки захвата 0,1%, что должно обеспечиваться индикатором газа.
Устройство и методика отбора образцов должны давать возможность определения среднего значения концентрации a11 с погрешностью не более +/- 10%, а концентрации a22 с погрешностями, приведенными в таблице 4.
Таблица 4
Значение утечки в процессе захвата, % | Погрешность измерения a22, % | Погрешность значения утечки в процессе захвата, %, не более |
Свыше 3 | 10 | 15 |
От 0,3 до 3 | 20 | 25 |
Менее 0,3 | 50 | 50 |
6.4 Определение эффективности
Термический и гигрометрический коэффициенты эффективности определяют по среднему значению температур сухого и влажного термометров или по температуре точки росы во всех секциях (11 - 22).
Точки измерений параметров и схема включения оборудования приведены на
рисунке 3.
Значения температур входных параметров, указанные в
5.5, должны поддерживаться с точностью +/- 0,5 К, а измерения должны проводить непрерывно в течение как минимум 30 мин. Значения эффективности рассчитывают по
формулам (1) и
(2).
Гигрометрический коэффициент эффективности

определяют по результатам измерений температур сухим и влажным термометрами или по точке росы во всех секциях.

- измерение температуры;

- измерение статического давления;

- измерение расхода воздуха;

- вспомогательный вентилятор;

- клапан;
21 - вход нового воздуха
<*>;
22 - выход нового воздуха
<*>;
11 - вход удаляемого воздуха
<*>;
12 - выход удаляемого воздуха <*>
--------------------------------
<*> Относительно устройства.
Рисунок 3 - Схема подключения оборудования и точки измерений
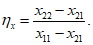
В трубопроводах температуру измеряют не менее чем в пяти точках плоскости поперечного сечения в соответствии с
рисунком 4.
Погрешность измерения температуры воздуха не должна превышать +/- 0,2 °C по сухому термометру или +/- 0,3 °C - по влажному термометру.
Воздух должен быть достаточно перемешан для получения равномерного по сечению поля температур. Максимально допустимое отклонение в плоскости измерений 0,05(t22 - t21).
Для измерения влажной температуры скорость воздуха должна быть 3,5 - 10 м·с-1 (предпочтительно 5 м·с-1). Для отбора образцов допускается использовать отдельную трубу.
Расстояние между теплообменником и плоскостью измерения температур должно быть таким, чтобы среднее изменение температуры воздуха в трубопроводе не превышало 0,1 °C.
Значения расхода воздуха qm1 и qm2 должны быть измерены с погрешностью в пределах менее +/- 3%.
Примечание - Приведенные значения погрешностей измерений позволяют в случае термического коэффициента получить погрешность менее +/- 0,03, а для гигрометрического коэффициента - погрешность менее +/- 0,05 при значениях коэффициентов, превышающих 0,5.
d - диаметр объекта; L1 - длина объекта; L2 - ширина объекта
Рисунок 4 - Размещение датчиков для измерения температуры
Для установок категории IIa, поставляемых изготовителем в сборе, тепловую мощность циркуляционного насоса следует измерять и указывать в протоколе испытаний.
Если испытаниям подвергают два теплообменника, использующих жидкость, указанную изготовителем, то расход жидкости, процентное содержание антифриза и падение статического давления также должны измеряться и указываться в протоколе испытаний.
Для установок категории III (в случае регенеративного воздухоподогревателя) тепловой поток от двигателя ротора следует измерять и указывать в протоколе испытаний.
При испытаниях и расчетах коэффициентов эффективности должно приниматься во внимание потребление приводного двигателя насоса или вентилятора. В протоколе испытаний необходимо указать, как проводились измерения и расчеты.
При определении термического коэффициента должны учитываться тепловые потоки при обледенении и оттаивании.
6.5 Определение потерь давления
Схема подключения оборудования и точки измерения параметров приведены на
рисунке 3.
Потери давления

и

представляют собой общую разницу давлений между сечениями на входе и выходе со стороны подаваемого и со стороны удаляемого воздуха, которые определяют измерением статических и динамических давлений, рассчитанных исходя из значений измеренных расходов (
qm2 и
qm1) в точках выхода потоков в сечении соединительных фланцев воздухопроводов.
Размеры трубопроводов, связанных с теплообменником, должны соответствовать размерам теплообменника.
Измерения должны проводить при постоянной температуре воздуха, а потери давления должны приводить к стандартным условиям по формуле

(4)
Методику измерений статического давления выбирают таким образом, чтобы погрешность была менее +/- 3%. Расходы воздуха qm1 и qm2 должны измеряться с погрешностью менее +/- 3%.
Для установок, оснащенных вентилятором (вентиляторами), мощность вентиляторов должна измеряться при том же перепаде давлений, что и расходы воздуха.
Сведение теплового баланса проводится для контроля достоверности и точности проведенных измерений.
Тепловой баланс должен быть рассчитан для каждого испытания, а соотношение тепловых мощностей по обеим сторонам должно быть в пределах +/- 1% - +/- 5%, для того чтобы результаты считались удовлетворительными.
Тепловые мощности определяются по формулам:

(5)

(6)
Баланс считается выполненным, если соблюдается условие:

(7)
Ниже приведены рекомендуемые форма и содержание протокола испытаний установки регенерации тепла.
7.1 Установка регенерации тепла
В спецификации на оборудование должны быть отмечены:
номинальный расход воздуха

......

;
номинальная частота вращения ротора (категория III)

.......

.
7.2 Внешние утечки

для избыточного давления ......................... Па;

для пониженного давления ......................... Па.
7.3 Внутренние утечки

для разницы давлений ............................. Па.
7.4 Утечки в результате захвата (категория III)

для разницы давлений ............................. Па.
Информация о важности сектора спуска (градус).
7.5 Термический и гигрометрический коэффициенты эффективности
Категория с/без тепловой изоляции камеры.
Применение:
Температура на входе без конденсации:

= .............................................................. °C;

= ............................................................. °C;

= .............................................................. °C;

= ............................................................. °C.
Таблица 5
qm2, кг·с-1 | qm1, кг·с-1 | qm2/qm1 | | | P1/P2 |
| | | | | |
Температура на входе с конденсацией:
- для категорий I и II

= .............................................................. °C;

= ............................................................. °C;

= .............................................................. °C;

= ............................................................. °C.
Таблица 6
qm2, кг·с-1 | qm1, кг·с-1 | qm2/qm1 | | P1/P2 |
| | | | |
Категория IIa в полном комплекте, поставляемом изготовителем:
- мощность насоса: ................................................ Вт.
Категория IIa с данными, касающимися водного цикла, предоставленными изготовителем:
- тип антифриза: .................................................;
- весовое содержание антифриза: ................................. %;
- расход жидкости: ..............................................

;
- потеря статического давления со стороны жидкости: ............. кПа.
Категория III:
- потребление электродвигателя(ей): ............................... Вт.
7.6 Потери давления для воздуха при нормальных условиях
Таблица 7
7.7 Прочие сведения
Например:
- описание типа оборудования в случае испытаний эффективности для установки с конденсацией;
- замечания, сделанные в ходе дополнительных испытаний для холодного климата.
(справочное)
СВЕДЕНИЯ О СООТВЕТСТВИИ ССЫЛОЧНЫХ МЕЖДУНАРОДНЫХ СТАНДАРТОВ
ССЫЛОЧНЫМ НАЦИОНАЛЬНЫМ СТАНДАРТАМ РОССИЙСКОЙ ФЕДЕРАЦИИ
Таблица ДА.1
Обозначение ссылочного международного стандарта | Степень соответствия | Обозначение и наименование соответствующего национального стандарта |
ЕН 247:1997 | - | |
ЕН 305:1997 | - | |
ЕН 306:1997 | IDT | ГОСТ Р ЕН 306-2011 "Теплообменники. Методы определения параметров производительности" |
ЕН 307:1998 | - | |
<*> Соответствующий национальный стандарт отсутствует. До его утверждения рекомендуется использовать перевод на русский язык данного международного стандарта. Перевод данного международного стандарта находится в Федеральном информационном фонде технических регламентов и стандартов. Примечание - В настоящей таблице использовано следующее условное обозначение степени соответствия стандартов: - IDT - идентичные стандарты. |