Главная // Актуальные документы // ГОСТ Р (Государственный стандарт)СПРАВКА
Источник публикации
М.: Стандартинформ, 2008
Примечание к документу
Введен в действие с 1 июня 2009 года.
Название документа
"ГОСТ Р 8.644-2008. Государственная система обеспечения единства измерений. Меры рельефные нанометрового диапазона с трапецеидальным профилем элементов. Методика калибровки"
(утв. Приказом Ростехрегулирования от 26.08.2008 N 186-ст)
"ГОСТ Р 8.644-2008. Государственная система обеспечения единства измерений. Меры рельефные нанометрового диапазона с трапецеидальным профилем элементов. Методика калибровки"
(утв. Приказом Ростехрегулирования от 26.08.2008 N 186-ст)
Утвержден и введен в действие
Приказом Ростехрегулирования
от 26 августа 2008 г. N 186-ст
НАЦИОНАЛЬНЫЙ СТАНДАРТ РОССИЙСКОЙ ФЕДЕРАЦИИ
ГОСУДАРСТВЕННАЯ СИСТЕМА ОБЕСПЕЧЕНИЯ
ЕДИНСТВА ИЗМЕРЕНИЙ
МЕРЫ РЕЛЬЕФНЫЕ НАНОМЕТРОВОГО ДИАПАЗОНА
С ТРАПЕЦЕИДАЛЬНЫМ ПРОФИЛЕМ ЭЛЕМЕНТОВ
МЕТОДИКА КАЛИБРОВКИ
State system for ensuring the uniformity
of measurements. Nanometer range relief measures
with trapezoidal profile of elements.
Methods for calibration
ГОСТ Р 8.644-2008
Группа Т88.1
Дата введения
1 июня 2009 года
Цели и принципы стандартизации в Российской Федерации установлены Федеральным
законом от 27 декабря 2002 г. N 184-ФЗ "О техническом регулировании", а правила применения национальных стандартов Российской Федерации -
ГОСТ Р 1.0-2004 "Стандартизация в Российской Федерации. Основные положения".
1. Разработан Открытым акционерным обществом "Научно-исследовательский центр по изучению свойств поверхности и вакуума", Федеральным государственным учреждением "Российский научный центр "Курчатовский институт" и Государственным образовательным учреждением высшего профессионального образования "Московский физико-технический институт (государственный университет)".
2. Внесен Техническим комитетом по стандартизации ТК 441 "Нанотехнологии и наноматериалы".
3. Утвержден и введен в действие Приказом Федерального агентства по техническому регулированию и метрологии от 26 августа 2008 г. N 186-ст.
4. Введен впервые.
Информация об изменениях к настоящему стандарту публикуется в ежегодно издаваемом информационном указателе "Национальные стандарты", а текст изменений и поправок - в ежемесячно издаваемых указателях "Национальные стандарты". В случае пересмотра (замены) или отмены настоящего стандарта соответствующее уведомление будет опубликовано в ежемесячно издаваемом указателе "Национальные стандарты". Соответствующая информация, уведомление и тексты размещаются также в информационной системе общего пользования - на официальном сайте Федерального агентства по техническому регулированию и метрологии в сети Интернет.
Настоящий стандарт распространяется на рельефные меры нанометрового диапазона с трапецеидальным профилем элементов (далее - рельефные меры), линейные размеры и материал для изготовления которых соответствуют требованиям ГОСТ Р 8.628. Рельефные меры применяют для измерения линейных размеров в диапазоне от

до

м.
Настоящий стандарт устанавливает методику калибровки рельефных мер.
В настоящем стандарте использованы нормативные ссылки на следующие стандарты:
ГОСТ Р 8.628-2007. Государственная система обеспечения единства измерений. Меры рельефные нанометрового диапазона из монокристаллического кремния. Требования к геометрическим формам, линейным размерам и выбору материала для изготовления
--------------------------------
ГОСТ 12.1.040-83. Система стандартов безопасности труда. Лазерная безопасность. Общие положения
ГОСТ 12.2.061-81. Система стандартов безопасности труда. Оборудование производственное. Общие требования безопасности к рабочим местам
ГОСТ ИСО 14644-1-2002. Чистые помещения и связанные с ними контролируемые среды. Часть 1. Классификация чистоты воздуха.
Примечание. При пользовании настоящим стандартом целесообразно проверить действие ссылочных стандартов в информационной системе общего пользования - на официальном сайте Федерального агентства по техническому регулированию и метрологии в сети Интернет или по ежегодно издаваемому информационному указателю "Национальные стандарты", который опубликован по состоянию на 1 января текущего года, и по соответствующим ежемесячно издаваемым информационным указателям, опубликованным в текущем году. Если ссылочный стандарт заменен (изменен), то при пользовании настоящим стандартом следует руководствоваться заменяющим (измененным) стандартом. Если ссылочный стандарт отменен без замены, то положение, в котором дана ссылка на него, применяется в части, не затрагивающей эту ссылку.
В настоящем стандарте применены термины по
РМГ 29 [1], а также следующие термины с соответствующими определениями.
3.1. Рельеф поверхности твердого тела (рельеф поверхности): поверхность твердого тела, отклонения которой от идеальной плоскости обусловлены естественными причинами или специальной обработкой.
3.2. Элемент рельефа поверхности (элемент рельефа): пространственно локализованная часть рельефа поверхности.
3.3. Элемент рельефа в форме выступа (выступ): элемент рельефа, расположенный выше прилегающих к нему областей.
3.4. Геометрическая форма элемента рельефа: геометрическая фигура, наиболее адекватно аппроксимирующая форму минимального по площади сечения элемента рельефа.
Пример. Трапецеидальный выступ, представляющий собой элемент рельефа поверхности, геометрическая форма минимального по площади сечения которого наиболее адекватно аппроксимируется трапецией.
3.5. Мера физической величины (мера величины): средство измерений, предназначенное для воспроизведения и (или) хранения физической величины одного или нескольких заданных размеров, значения которых выражены в установленных единицах и известны с необходимой точностью
[1].
3.6. Рельефная мера: средство измерений длины, представляющее собой твердый объект, линейные размеры элементов рельефа которого установлены с необходимой точностью.
Примечание. Рельефная мера может быть изготовлена с помощью средств микро- и нанотехнологии или представляет собой специально обработанный объект естественного происхождения.
3.7. Рельефная мера нанометрового диапазона: мера, содержащая элементы рельефа, линейный размер хотя бы одного из которых менее

м.
3.8. Рельефная мера нанометрового диапазона с трапецеидальным профилем элементов (рельефная мера): рельефная мера нанометрового диапазона, геометрическая форма элементов рельефа которой представляет собой трапецию.
3.9. Пиксель: наименьший дискретный элемент изображения, получаемый в результате математической обработки информативного сигнала.
3.10. Сканирование элемента исследуемого объекта (сканирование): перемещение зонда микроскопа над выбранным элементом рельефа поверхности исследуемого объекта (или перемещение исследуемого объекта под зондом) с одновременной регистрацией информативного сигнала.
3.11. Изображение на экране монитора микроскопа (видеоизображение): изображение на экране монитора микроскопа в виде матрицы из n строк по m пикселей в каждой, яркость которых прямо пропорциональна значению сигнала соответствующей точки матрицы.
Примечание. Яркость пикселя определяется силой света, излучаемой им в направлении глаза наблюдателя.
3.12. Видеопрофиль информативного сигнала (видеопрофиль): графическая зависимость значения информативного сигнала, поступающего с детектора микроскопа, от номера пикселя в данной строке видеоизображения.
3.13. Масштабный коэффициент видеоизображения микроскопа (масштабный коэффициент): отношение длины исследуемого элемента на объекте измерений к числу пикселей этого элемента на видеоизображении.
Примечание. Масштабный коэффициент определяют для каждого микроскопа.
3.14. Z-сканер сканирующего зондового атомно-силового микроскопа (Z-сканер): устройство сканирующего зондового атомно-силового микроскопа, позволяющее в процессе сканирования перемещать зонд над поверхностью исследуемого объекта (или перемещать исследуемый объект под зондом) в вертикальном направлении.
3.15. Неопределенность измерений (неопределенность): параметр, связанный с результатом измерений и характеризующий рассеяние значений, которые можно приписать измеряемой величине
[1].
3.16. Стандартная неопределенность: неопределенность результата измерений, выраженная в виде среднеквадратического отклонения.
3.17. Суммарная стандартная неопределенность: стандартная неопределенность результата измерений, полученного путем использования значений других величин, равная положительному квадратному корню суммы членов, являющихся дисперсиями или ковариациями этих величин, взвешенными в соответствии с тем, как результат измерений изменяется при изменении этих величин.
4. Технические требования
4.1. Требования к неопределенностям измерений параметров, определяемых в процессе калибровки
4.1.1. Суммарная стандартная неопределенность измерения высоты выступа калибруемого элемента рельефа должна быть не более 2 нм.
4.1.2. Суммарная стандартная неопределенность измерения ширины верхнего основания выступа калибруемого элемента рельефа должна быть не более 2 нм.
4.1.3. Суммарная стандартная неопределенность измерения ширины нижнего основания выступа калибруемого элемента рельефа должна быть не более 2 нм.
4.1.4. Суммарная стандартная неопределенность измерения проекции наклонной стенки на плоскость нижнего основания выступа калибруемого элемента рельефа должна быть не более 1 нм.
4.2. Требования к средствам калибровки и вспомогательному оборудованию
4.2.1. Калибровку рельефной меры проводят с помощью:
- сканирующего зондового атомно-силового микроскопа;
- двух лазерных двухлучевых интерферометров с источником излучения - гелий-неоновым лазером, длина волны которого стабилизирована по линии насыщенного поглощения в молекулярном йоде и определена с относительной погрешностью не более

. В комплект поставки каждого лазерного интерферометра должны входить два зеркала, предназначенные для формирования опорного и информативного лучей, по фазовому сдвигу

между которыми определяют перемещение калибруемого элемента рельефа в процессе его сканирования атомно-силовым микроскопом. Абсолютная погрешность определения фазового сдвига

- не более 0,002 рад.
4.2.2. В качестве вспомогательного оборудования применяют оптический микроскоп с увеличением не менее

, а также средства измерений параметров окружающей среды с абсолютными погрешностями не более:
- температуры окружающей среды . . . . . . . . . . +/- 0,2 °C;
- относительной влажности воздуха . . . . . . . . +/- 3%;
- атмосферного давления . . . . . . . . . . . . . +/- 130 Па.
4.2.3. Допускается применять другие средства калибровки, точность которых соответствует требованиям настоящего стандарта.
4.3. Требования к условиям проведения калибровки
4.3.1. Калибровку рельефной меры проводят в следующих условиях:
- температура окружающей среды . . . . . . . . . . (20 +/- 3) °C;
- относительная влажность воздуха . . . . . . . . не более 80%;
- атмосферное давление . . . . . . . . . . . . . . (100 +/- 4) кПа;
- напряжение питающей сети . . . . . . . . . . . .

В;
- частота питающей сети . . . . . . . . . . . . .

Гц.
Разность значений параметров окружающей среды до и после окончания калибровки не должна превышать указанных в
Приложении А.
4.3.2. Помещение (зона), в котором размещают средства измерений для калибровки рельефных мер, должно быть в эксплуатируемом состоянии и обеспечивать класс чистоты не более класса 8 ИСО по взвешенным в воздухе частицам размерами 0,5 и 5 мкм и концентрациями, определенными по
ГОСТ ИСО 14644-1. Периодичность контроля состояния помещения (зоны) определяют по
ГОСТ Р ИСО 14644-2. Эксплуатацию помещения (зоны) осуществляют по
ГОСТ Р ИСО 14644-5.
5. Требования к квалификации калибровщиков
Калибровку рельефных мер должны проводить штатные сотрудники метрологической службы предприятия, аккредитованной в установленном порядке на проведение калибровочных работ по
[2]. Сотрудники должны иметь высшее образование, профессиональную подготовку, опыт работы с атомно-силовыми микроскопами (далее - АСМ) и двухлучевыми лазерными гетеродинными интерферометрами и знать требования настоящего стандарта.
Рабочие места калибровщиков должны быть аттестованы по условиям труда в соответствии с требованиями трудового законодательства.
6. Требования по обеспечению безопасности
При калибровке рельефных мер необходимо соблюдать правила электробезопасности по
[3],
[4], требования лазерной безопасности по
ГОСТ 12.1.040 и требования по обеспечению безопасности на рабочих местах по
ГОСТ 12.2.061,
[5],
[6].
7. Подготовка к процедуре калибровки
7.1. Подготовку к процедуре калибровки рельефной меры начинают с проверки документации и внешнего осмотра, в процессе которого должно быть установлено:
- соответствие комплекта поставки данным, приведенным в паспорте (формуляре) на рельефную меру;
- отсутствие механических повреждений футляра, в котором осуществлялось хранение и транспортирование рельефной меры.
7.2. Рельефную меру извлекают из футляра, проводят предварительный визуальный внешний осмотр для выявления возможных повреждений и с помощью специальных зажимов устанавливают меру на рабочий стол АСМ.
При установке рельефной меры необходимо обеспечить:
- параллельность плоскости, образованной геометрической формой элемента рельефа меры, направлению горизонтального перемещения рабочего стола АСМ;
- плотное прилегание плоскости подложки меры к поверхности рабочего стола АСМ.
7.3. С помощью вспомогательного оптического микроскопа осматривают и проверяют качество поверхности рельефной меры. Шаговая структура на поверхности меры должна быть однородной, при этом на примерно 75% поверхности меры не должно быть повреждений маркерных линий, искажений краев элементов рельефа в виде впадин и выступов, соизмеримых с шириной элементов рельефа.
7.4. С помощью вспомогательного оптического микроскопа устанавливают зонд АСМ в положение, соответствующее началу сканирования калибруемого элемента рельефной меры.
Начальное положение определяют следующим образом: зонд АСМ устанавливают на плоскость нижнего основания на расстоянии от калибруемого элемента, равном не менее 20% и не более 50% ширины нижнего основания выступа калибруемого элемента. Аналогично определяют конечное положение зонда АСМ при сканировании.
7.5. На неподвижном элементе в камере образцов АСМ устанавливают зеркало лазерного интерферометра, предназначенное для формирования опорного луча, а на рабочем столе АСМ - другое зеркало, предназначенное для формирования информативного луча. Лазерный интерферометр (далее - горизонтальный лазерный интерферометр) располагают вдоль оси, совпадающей с горизонтальным направлением сканирования (далее - ось абсцисс).
Второй комплект зеркал устанавливают на Z-сканере и на неподвижном элементе камеры образцов АСМ. Эти зеркала предназначены для формирования информативного (на Z-сканере) и опорного (на неподвижном элементе камеры) лучей, что позволяет регистрировать перемещение Z-сканера АСМ в вертикальном направлении сканирования (далее - ось ординат).
Второй лазерный интерферометр (далее - вертикальный лазерный интерферометр) устанавливают в соответствии с расположением зеркал.
Горизонтальный и вертикальный лазерные интерферометры должны обеспечивать регистрацию информативных и опорных лучей в процессе сканирования выступа калибруемого элемента. Для каждого интерферометра в процессе сканирования необходимо также обеспечить взаимную параллельность информативного и опорного лучей при всех положениях стола и Z-сканера АСМ. Допустимый угол расхождения опорного и информативного лучей для каждого интерферометра не должен превышать 1'.
Такое взаимное расположение двух лазерных интерферометров в комплекте с зеркалами позволяет в процессе сканирования выступа калибруемого элемента рельефной меры проводить регистрацию видеопрофиля элемента и одновременную регистрацию перемещения рельефной меры и Z-сканера с помощью двух лазерных интерферометров.
7.6. В соответствии с инструкцией по эксплуатации АСМ проводят пробное сканирование калибруемого элемента рельефа меры.
При этом предварительно:
- выполняют юстировку зеркал в соответствии с инструкциями по эксплуатации лазерных интерферометров;
- путем изменения угла наклона исследуемого объекта обеспечивают взаимную параллельность направления прохождения информативного луча вертикального лазерного интерферометра и направления вертикального перемещения Z-сканера АСМ при сканировании элемента рельефа;
- в соответствии с инструкциями по эксплуатации АСМ и лазерных интерферометров определяют частоту и скорость сканирования калибруемого элемента, при которой в электронно-фазометрических системах интерферометров можно четко регистрировать количество целых и дробных полос интерференции, соответствующих значениям фазовых сдвигов между опорными и информативными лучами горизонтального и вертикального интерферометров;
- устанавливают показания электронно-фазометрических систем всех лазерных интерферометров в "нулевое" положение, определяемое нестабильностью младшего разряда используемых аналого-цифровых преобразователей в указанных электронно-фазометрических системах.
8. Процедура проведения измерений
8.1. Проводят измерения параметров окружающей среды и показателей качества питающей электрической сети и проверяют выполнение требований, указанных в
4.3.1.
8.2. В соответствии с инструкциями по эксплуатации АСМ и лазерных интерферометров проводят сканирование выступа калибруемого элемента рельефной меры. Одновременно с помощью лазерных интерферометров проводят измерения горизонтального перемещения подвижной части рабочего стола АСМ и вертикального перемещения Z-сканера АСМ.
Сечение выступа трапецеидальной формы и места начального и конечного положений зонда АСМ приведены на рисунке 1.
Видеопрофиль, соответствующий этому выступу, представлен на
рисунке 2.

- ширина нижнего основания выступа;

- ширина верхнего
основания выступа; h - высота выступа; a - значение проекции
наклонной стенки на плоскость нижнего основания выступа
Рисунок 1. Сечение калибруемого элемента рельефной меры

- точка на видеопрофиле, соответствующая начальному
положению зонда АСМ при сканировании;

- точка
на видеопрофиле, соответствующая конечному положению зонда
при сканировании; H - высота выступа, измеренная
по видеопрофилю; L - разность абсцисс конечной и начальной
точек горизонтального сканирования, соответствующая значению
горизонтального перемещения подвижной части рабочего стола
АСМ, вычисленная по видеопрофилю
Рисунок 2. Видеопрофиль сечения калибруемого элемента
(направление сканирования - слева направо)
8.3. По показаниям электронно-фазометрической системы горизонтального лазерного интерферометра определяют значение горизонтального фазового сдвига

в радианах между информативным и опорным лучами этого интерферометра.
8.4. По показаниям электронно-фазометрической системы вертикального лазерного интерферометра определяют значение вертикального фазового сдвига

в радианах между информативным и опорным лучами этого интерферометра.
8.5. Проводят измерения параметров окружающей среды и показателей качества питающей электрической сети и проверяют выполнение требований, указанных в
4.3.1.
8.6. Результаты измерений параметров рельефной меры по
8.2 -
8.4, а также указанных на
рисунке 2 оформляют в виде протокола. Также в протоколе приводят значения условий проведения калибровки до начала и после окончания измерений по
8.1 и 8.5.
Форма протокола - произвольная. Протокол с результатами калибровки должен храниться как минимум до следующей калибровки рельефной меры.
9. Обработка результатов измерений
9.1. Вычисление горизонтального перемещения подвижной части рабочего стола АСМ при сканировании калибруемого элемента
Горизонтальное перемещение подвижной части рабочего стола

, нм, от начального до конечного положения при сканировании выступа элемента рельефа вычисляют по формуле

,
где

- длина волны излучения гелий-неонового лазера в вакууме, приведенная в паспорте (формуляре) на горизонтальный лазерный интерферометр, нм;

- фазовый сдвиг, измеренный по
8.3, рад;
n - показатель преломления воздуха при фактических значениях температуры окружающей среды, влажности воздуха и атмосферного давления, вычисленный по
Приложению А.
9.2. Вычисление масштабного коэффициента видеоизображения для оси абсцисс
Масштабный коэффициент видеоизображения m, нм/пиксель, для оси абсцисс вычисляют по формуле

,
где

- перемещение подвижной части рабочего стола АСМ при горизонтальном сканировании, вычисленное по
9.1, нм;
L - разность абсцисс конечной и начальной точек горизонтального сканирования, соответствующая горизонтальному перемещению подвижной части рабочего стола АСМ, вычисленная по видеопрофилю (см.
рисунок 2), пиксель.
9.3. Вычисление вертикального перемещения Z-сканера АСМ при сканировании калибруемого элемента
Вертикальное перемещение Z-сканера АСМ

, нм, при сканировании выступа элемента рельефа вычисляют по формуле

,
где

- длина волны излучения гелий-неонового лазера в вакууме, приведенная в паспорте (формуляре) на вертикальный лазерный интерферометр, нм;

- фазовый сдвиг, измеренный по
8.4, рад;
n - показатель преломления воздуха при фактических значениях температуры окружающей среды, влажности воздуха и атмосферного давления, вычисленный по
Приложению А.
9.4. Вычисление высоты выступа калибруемого элемента рельефа
Значение высоты выступа h в нанометрах равно значению вертикального перемещения Z-сканера

, вычисленному по
9.3.
9.5. Вычисление вспомогательной величины для определения ширины верхнего основания выступа калибруемого элемента рельефа
При определении ширины верхнего основания трапецеидального выступа

используют вспомогательную величину, для вычисления которой:
- вычисляют производную по горизонтальной координате. Для видеопрофиля, изображенного на
рисунке 2, результат такого вычисления указан на
рисунке 3;
- проводят анализ результатов вычисления производной видеопрофиля по координате и вычисляют вспомогательную величину

в пикселях, которая равна разности соответствующих абсцисс точек, как изображено на рисунке 3.
x - ось абсцисс по
7.5;

,

- начальная и конечная точки
положения зонда АСМ при сканировании калибруемого элемента,
расположенные в соответствии с требованиями
7.4;

- ось ординат значений производной величины
видеосигнала по координате x
Рисунок 3. Графическое изображение первой производной
видеопрофиля по координате в направлении горизонтального
перемещения подвижной части стола АСМ
9.6. Вычисление ширины верхнего основания трапецеидального выступа
Ширину верхнего основания выступа

, нм, вычисляют по формуле

,
где m - масштабный коэффициент видеоизображения для оси абсцисс, вычисленный по
9.2, нм/пиксель;

- вспомогательная величина, вычисленная по
9.5, пиксель.
9.7. Вычисление ширины нижнего основания трапецеидального выступа
Ширину нижнего основания трапецеидального выступа

, нм, вычисляют по формуле

,
где

- ширина верхнего основания калибруемого выступа, вычисленная по
9.6, нм;
h - высота калибруемого выступа, вычисленная по
9.4, нм.
9.8. Вычисление проекции наклонной стенки на плоскость нижнего основания выступа
Проекцию наклонной стенки на плоскость нижнего основания выступа a, нм, вычисляют по формуле
a = 0,7071h,
где h - высота выступа, вычисленная по
9.4, нм.
10. Оценка неопределенности измерений параметров
10.1. При оценке суммарной стандартной неопределенности

горизонтального перемещения подвижной части рабочего стола

пренебрегают неопределенностью в значении показателя преломления воздуха n, вычисленного по
Приложению А, и неопределенностью в значении длины волны излучения гелий-неонового лазера в вакууме горизонтального лазерного интерферометра

. Значение

вычисляют по формуле

,
где

- длина волны излучения гелий-неонового лазера в вакууме, приведенная в паспорте (формуляре) на горизонтальный лазерный интерферометр, нм;

- суммарная стандартная неопределенность измерения фазового сдвига, приведенная в паспорте (формуляре) на горизонтальный лазерный интерферометр, рад;
n - показатель преломления воздуха при фактических значениях температуры окружающей среды, влажности воздуха и атмосферного давления, вычисленный по
Приложению А.
Примечание. Если в паспорте (формуляре) на горизонтальный лазерный интерферометр приведена абсолютная погрешность измерения фазового сдвига, то вычисление

осуществляют по
[7].
10.2. При оценке суммарной стандартной неопределенности

вертикального перемещения Z-сканера АСМ

пренебрегают неопределенностью значения показателя преломления воздуха n, вычисленного по
приложению А, и неопределенностью значения длины волны излучения гелий-неонового лазера в вакууме вертикального лазерного интерферометра

. Значение

, нм, вычисляют по формуле

,
где

- длина волны излучения гелий-неонового лазера в вакууме, приведенная в паспорте (формуляре) на вертикальный лазерный интерферометр, нм;

- суммарная стандартная неопределенность измерения фазового сдвига, приведенная в паспорте (формуляре) на вертикальный лазерный интерферометр, рад;
n - показатель преломления воздуха при фактических значениях температуры окружающей среды, влажности воздуха и атмосферного давления, вычисленный по
Приложению А.
Примечание. Если в паспорте (формуляре) на вертикальный лазерный интерферометр приведена абсолютная погрешность измерения фазового сдвига, то вычисление

осуществляют по
[7].
10.3. Суммарную стандартную неопределенность

, нм/пиксель, измерения масштабного коэффициента видеоизображения для оси абсцисс m вычисляют по формуле

,
где m - масштабный коэффициент видеоизображения для оси абсцисс, вычисленный по
9.2, нм/пиксель;

- суммарная стандартная неопределенность измерения горизонтального перемещения подвижной части рабочего стола, вычисленная по
10.1, нм;

- горизонтальное перемещение подвижной части рабочего стола, вычисленное по
9.1, нм;

- стандартная неопределенность разности абсцисс конечной и начальной точек горизонтального сканирования, соответствующая горизонтальному перемещению подвижной части рабочего стола АСМ, пиксель;
L - разность абсцисс конечной и начальной точек горизонтального сканирования, соответствующая горизонтальному перемещению подвижной части рабочего стола АСМ, пиксель.
Примечание. При равномерном квантовании видеосигнала значение u(L) принимают равным 0,5 пиксель.
10.4. Значение суммарной стандартной неопределенности

в нанометрах при измерении высоты выступа h равно значению суммарной стандартной неопределенности

вертикального перемещения Z-сканера АСМ

, вычисленного по
10.2.
10.5. Суммарную стандартную неопределенность

, нм, измерения ширины верхнего основания трапецеидального выступа

вычисляют по формуле

,
где

- ширина верхнего основания трапецеидального выступа, вычисленная по
9.6, нм;

- суммарная стандартная неопределенность измерения масштабного коэффициента видеоизображения для оси абсцисс, нм/пиксель;
m - масштабный коэффициент видеоизображения для оси абсцисс, вычисленный по
9.2, нм/пиксель;

- стандартная неопределенность измерения вспомогательной величины для определения ширины верхнего основания выступа

, вычисленной по
9.5, пиксель;

- вспомогательная величина для определения ширины верхнего основания выступа, вычисленная по
9.5, пиксель.
Примечание. При равномерном квантовании видеосигнала значение

принимают равным 0,5 пиксель.
10.6. Суммарную стандартную неопределенность

, нм, измерения ширины нижнего основания трапецеидального выступа

вычисляют по формуле

,
где

- суммарная стандартная неопределенность измерения ширины верхнего основания выступа, вычисленная по
10.5, нм;

- суммарная стандартная неопределенность измерения высоты выступа, вычисленная по
10.4, нм.
10.7. Суммарную стандартную неопределенность

, нм, измерения проекции наклонной стенки на плоскость нижнего основания выступа вычисляют по формуле

,
где

- суммарная стандартная неопределенность измерения высоты выступа, вычисленная по
10.4, нм.
11. Оформление результатов калибровки
11.1. Результаты калибровки оформляют в виде сертификата установленной формы
[8] с соответствующей записью в паспорте (формуляре) рельефной меры.
11.2. В сертификате калибровки и в паспорте (формуляре) рельефной меры должны быть приведены значения высоты выступа, ширины верхнего и нижнего его оснований, а также значение проекции наклонной стенки на плоскость нижнего основания выступа калибруемого элемента. Для перечисленных метрологических характеристик рельефной меры необходимо также указать значения неопределенностей, вычисленных по
разделу 10 настоящего стандарта.
(справочное)
ВЫЧИСЛЕНИЕ ПОКАЗАТЕЛЯ ПРЕЛОМЛЕНИЯ ВОЗДУХА
А.1. Исходные данные
При вычислении показателя преломления воздуха n исходными данными являются следующие параметры окружающей среды:
- температура t, °C;
- атмосферное давление p, Па;
- относительная влажность

, %.
Параметры окружающей среды измеряют до начала и после окончания измерений, при этом разность показаний должна быть не более:
- температуры окружающей среды . . . . . . . . . . +/- 1 °C;
- атмосферного давления . . . . . . . . . . . . . +/- 300 Па;
- относительной влажности воздуха . . . . . . . . +/- 10%.
А.2. Константы для вычисления показателя преломления воздуха
При вычислениях используют константы, приведенные в таблице А.1.
Таблица А.1
Константы для вычисления показателя преломления воздуха
Обозначение константы | Значение |
A | 8342,54 |
B | 2406147 |
C | 15998 |
D | 96095,43 |
E | 0,601 |
F | 0,00972 |
G | 0,003661 |
- | - |
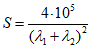
А.3. Вычисление вспомогательной величины S
Вспомогательную величину S вычисляют по формуле

,
где

,

- значения длин волн излучения в вакууме гелий-неоновых лазеров по
9.1 и
9.3, нм, соответственно.
А.4. Вычисление вспомогательной величины

Вспомогательную величину

вычисляют по формуле

,
где A, B, C - константы по
А.2;
S - вспомогательная величина, вычисленная по
А.3.
А.5. Вычисление вспомогательной величины X
Вспомогательную величину X вычисляют по формуле

,
где E, F, G - константы по
А.2;
t - температура окружающей среды, °C;
p - атмосферное давление, Па.
А.6. Вычисление вспомогательной величины

Вспомогательную величину

вычисляют по формуле

,
где p - атмосферное давление, Па;

- вспомогательная величина, вычисленная по
А.4;
X - вспомогательная величина, вычисленная по
А.5;
А.7. Вычисление парциального давления паров воды
Парциальное давление паров воды

, Па, вычисляют по формуле

,
где

- относительная влажность воздуха, %;

- давление насыщенного водяного пара при температуре окружающей среды t, вычисленное по А.8 -
А.14, Па.
А.8. Константы для вычисления давления насыщенного водяного пара
Для вычисления давления насыщенного водяного пара при температуре окружающей среды t в градусах Цельсия используют константы, приведенные в таблице А.2.
Таблица А.2
Константы для вычисления давления насыщенного водяного пара
┌─────────────────────────────────┬──────────────────────────────┐
│ Обозначение константы │ Значение │
├─────────────────────────────────┼──────────────────────────────┤
│ K │ 1167,05214528 │
│ 1 │ │
├─────────────────────────────────┼──────────────────────────────┤
│ K │ -724213,167032 │
│ 2 │ │
├─────────────────────────────────┼──────────────────────────────┤
│ K │ -17,0738469401 │
│ 3 │ │
├─────────────────────────────────┼──────────────────────────────┤
│ K │ 12020,8247025 │
│ 4 │ │
├─────────────────────────────────┼──────────────────────────────┤
│ K │ -3232555,03223 │
│ 5 │ │
├─────────────────────────────────┼──────────────────────────────┤
│ K │ 14,9151086135 │
│ 6 │ │
├─────────────────────────────────┼──────────────────────────────┤
│ K │ -4823,26573616 │
│ 7 │ │
├─────────────────────────────────┼──────────────────────────────┤
│ K │ 405113,405421 │
│ 8 │ │
├─────────────────────────────────┼──────────────────────────────┤
│ K │ -23,8555575678 │
│ 9 │ │
├─────────────────────────────────┼──────────────────────────────┤
│ K │ 650,175348448 │
│ 10 │ │
└─────────────────────────────────┴──────────────────────────────┘
А.9. Вычисление вспомогательной величины

Вспомогательную величину

вычисляют по формуле

,
где t - температура окружающей среды, °C;

,

- константы по
А.8.
А.10. Вычисление вспомогательной величины M
Вспомогательную величину M вычисляют по формуле

,
где

- вспомогательная величина, вычисленная по
А.9;

,

- константы по
А.8.
А.11. Вычисление вспомогательной величины N
Вспомогательную величину N вычисляют по формуле

,
где

,

,

- константы по
А.8;

- вспомогательная величина, вычисленная по
А.9.
А.12. Вычисление вспомогательной величины R
Вспомогательную величину R вычисляют по формуле

,
где

,

,

- константы по
А.8;

- вспомогательная величина, вычисленная по
А.9.
А.13. Вычисление вспомогательной величины W
Вспомогательную величину W вычисляют по формуле

,
где N - вспомогательная величина, вычисленная по
А.11;
M - вспомогательная величина, вычисленная по
А.10;
R - вспомогательная величина, вычисленная по
А.12.
А.14. Вычисление давления насыщенного водяного пара
Давление насыщенного водяного пара

, Па, вычисляют по формуле

,
где R - вспомогательная величина, вычисленная по
А.12;
W - вспомогательная величина, вычисленная по
А.13.
А.15. Вычисление показателя преломления воздуха
Показатель преломления воздуха n вычисляют по формуле

,
где

- вспомогательная величина, вычисленная по
А.6;
S - вспомогательная величина, вычисленная по
А.3;

- парциальное давление паров воды, вычисленное по
А.7, Па;
t - температура окружающей среды, °C.
[1]
РМГ 29-99. Государственная система обеспечения единства измерений. Метрология. Основные термины и определения
[2]
ПР 50.2.018-95. Государственная система обеспечения единства измерений. Порядок аккредитации метрологических служб юридических лиц на право проведения калибровочных работ
[3]
Правила технической эксплуатации электроустановок потребителей (утверждены Приказом Минэнерго России от 13.01.2003 N 6; зарегистрированы Минюстом России 22.01.2003, рег. N 4145)
[6]
СанПиН 2.2.2/2.4.1340-03. Гигиенические требования к персональным электронно-вычислительным машинам и организации работы
[7]
РМГ 43-2001. Государственная система обеспечения единства измерений. Применение "Руководства по выражению неопределенности измерений"
[8]
ПР 50.2.016-94. Государственная система обеспечения единства измерений. Требования к выполнению калибровочных работ.