Главная // Актуальные документы // ГОСТ Р (Государственный стандарт)СПРАВКА
Источник публикации
М.: Стандартинформ, 2015
Примечание к документу
Документ включен в
Перечень международных и региональных (межгосударственных) стандартов, а в случае их отсутствия - национальных (государственных) стандартов, в результате применения которых на добровольной основе обеспечивается соблюдение требований технического
регламента Таможенного союза "О безопасности низковольтного оборудования" (ТР ТС 004/2011) (
Решение Коллегии Евразийской экономической комиссии от 11.05.2023 N 55).
Документ
введен в действие с 1 января 2015 года.
Название документа
"ГОСТ Р МЭК 61386.1-2014. Национальный стандарт Российской Федерации. Трубные системы для прокладки кабелей. Часть 1. Общие требования"
(утв. и введен в действие Приказом Росстандарта от 15.04.2014 N 346-ст)
"ГОСТ Р МЭК 61386.1-2014. Национальный стандарт Российской Федерации. Трубные системы для прокладки кабелей. Часть 1. Общие требования"
(утв. и введен в действие Приказом Росстандарта от 15.04.2014 N 346-ст)
Утвержден и введен в действие
агентства по техническому
регулированию и метрологии
от 15 апреля 2014 г. N 346-ст
НАЦИОНАЛЬНЫЙ СТАНДАРТ РОССИЙСКОЙ ФЕДЕРАЦИИ
ТРУБНЫЕ СИСТЕМЫ ДЛЯ ПРОКЛАДКИ КАБЕЛЕЙ
ЧАСТЬ 1
ОБЩИЕ ТРЕБОВАНИЯ
Conduit systems for cable management. Part 1.
General requirements
IEC 61386-1:2008
Conduit systems for cable management -
Part 1: General requirements
(IDT)
ГОСТ Р МЭК 61386.1-2014
Дата введения
1 января 2015 года
1 ПОДГОТОВЛЕН Московским институтом энергобезопасности и энергосбережения на основе аутентичного перевода на русский язык международного стандарта, указанного в пункте 4
2 ВНЕСЕН Техническим комитетом по стандартизации ТК 337 "Электрические установки зданий"
3 УТВЕРЖДЕН И ВВЕДЕН В ДЕЙСТВИЕ
Приказом Федерального агентства по техническому регулированию и метрологии от 15 апреля 2014 г. N 346-ст
4 Настоящий стандарт идентичен международному стандарту МЭК 61386-1:2008 "Системы коммуникации для организации кабельного хозяйства. Часть 1. Общие требования" (IEC 61386-1:2008 "Conduit systems for cable management - Part 1: General requirements").
Наименование настоящего стандарта изменено относительно наименования указанного международного стандарта для приведения в соответствие с ГОСТ Р 1.5
(подраздел 3.5).
При применении настоящего стандарта рекомендуется использовать вместо ссылочных международных стандартов соответствующие им национальные стандарты Российской Федерации, сведения о которых приведены в дополнительном
приложении ДА
5 ВВЕДЕН ВПЕРВЫЕ
Правила применения настоящего стандарта установлены в ГОСТ Р 1.0-2012
(раздел 8). Информация об изменениях к настоящему стандарту публикуется в ежегодном (по состоянию на 1 января текущего года) информационном указателе "Национальные стандарты", а текст изменений и поправок - в ежемесячном указателе "Национальные стандарты". В случае пересмотра (замены) или отмены настоящего стандарта соответствующее уведомление будет опубликовано в ближайшем выпуске ежемесячного информационного указателя "Национальные стандарты". Соответствующая информация, уведомление и тексты размещаются также в информационной системе общего пользования - на официальном сайте Федерального агентства по техническому регулированию и метрологии в сети Интернет (gost.ru)
Настоящий стандарт устанавливает требования к исполнению и испытаниям трубных систем, включая трубы и трубную арматуру, предназначенных для прокладки и защиты изолированных проводов и/или кабелей в электрических установках или в коммуникационных системах электроснабжения напряжением до 1000 В переменного тока и/или 1500 В постоянного тока.
Требования настоящего стандарта распространяются на металлические, неметаллические и композитные резьбовые и безрезьбовые трубные системы.
Настоящий стандарт не распространяется на оболочки и соединительные коробки по МЭК 60670
[1].
Примечание 1 - Определенные трубные системы могут использоваться также во взрывоопасных средах. В этом случае следует учитывать дополнительные требования к оборудованию, устанавливаемому во взрывоопасных средах.
Примечание 2 - Заземляющие проводники могут быть изолированными или неизолированными.
В настоящем стандарте использованы нормативные ссылки на следующие стандарты.
Для датированных ссылок применяется только указанное издание. Для недатированных ссылок применяется последнее издание указанного документа
МЭК 60417-DB-12M Графические символы для использования на оборудовании. 12-месячная подписка на интерактивную базу данных, включающую все части МЭК 60417 (IEC 60417-DB-12M, Graphical symbol for use on equipment - 12-month subscript to online database comprising all part of IEC 60417)
МЭК 60423:2007 Трубные системы для прокладки кабелей. Наружные диаметры труб для электрических установок и резьбы для труб и деталей (IEC 60423:2007, Conduit systems for cable management - Outside diameters of conduits for electrical installations and threads for conduits and fittings)
МЭК 60529:1989 Степени защиты оболочек (IP код) (IEC 60529:1989, Degrees of protection provided of enclosures (IP code))
МЭК 60695-2-11:2000 Испытание на пожароопасность. Часть 2-11. Основные методы испытания раскаленной проволокой. Испытание раскаленной проволокой на воспламеняемость конечной продукции (IEC 60695-2-11:2000, Fire hazard testing - Part 2-11: Glowing/hot-wire based test methods - Glow-wire flammability test method for end-products)
МЭК 60695-11-2:2013 Испытание на пожарную опасность. Часть 11-2. Пламя для испытания. Пламя предварительно перемешанной смеси мощностью 1 кВт. Аппаратура, схема испытания на соответствие техническим условиям и руководство (IEC 60695-11-2:2013, Fire hazard testing - Part 11-2: Test flame - 1 kW pre-mixed flame - Apparatus, confirmatory test arrangerment and guidance)
В настоящем стандарте применены следующие термины с соответствующими определениями:
3.1 трубная система: Система, состоящая из труб и трубной арматуры, предназначенная для прокладки и защиты изолированных проводников и/или кабелей в электрических или коммуникационных установках, обеспечивающая их затяжку внутрь и/или замену, но не предусматривающая их боковой ввод.
3.2 труба: Часть трубной системы, имеющая круглое поперечное сечение, предназначенная для изолированных проводников и/или кабелей в электрических или коммуникационных установках, обеспечивающая их затяжку внутрь и/или замену.
3.3 трубная арматура: Устройство, предназначенное для соединения частей трубной системы или для изменения направления.
3.4 торцевая заглушка: Трубная арматура, предназначенная для оконцевания трубной системы.
3.5 металлическая труба и/или трубная арматура: Труба или трубная арматура, изготовленная только из металла.
3.6 неметаллическая труба и/или трубная арматура: Труба или трубная арматура, которая изготовлена только из неметаллического материала и не содержит металлических компонентов.
3.7 композитная труба и/или трубная арматура: Труба или трубная арматура, изготовленная из металлических и неметаллических материалов.
3.8 нераспространяющие горение трубы и/или трубная арматура: Трубы или трубная арматура, которые загораются в результате воздействия пламени, но по которым пламя не распространяется и которые гаснут в пределах ограниченного времени после удаления пламени.
3.9 гладкая труба: Труба, профиль которой не меняется в продольном направлении (см. примечание к 3.10).
3.10 гофрированная труба: Труба с волнистым профилем в продольном направлении.
Примечание - Гофрированные трубы могут быть кольчатыми или витыми. Возможна также комбинация гофрированной и гладкой труб.
3.11 жесткая труба: Труба, которая не может быть согнута или которая может быть согнута только при механическом воздействии с использованием или без использования специального приспособления.
3.12 гибкая труба: Труба, которая может быть согнута вручную и которая не предназначена для частого сгибания.
3.13 гибкая труба с повышенной гибкостью (особо гибкая): Труба, которая может быть согнута вручную с небольшим усилием и которая предназначена для частого сгибания в течение ее срока службы.
3.14 самовосстанавливающаяся труба: Гибкая труба, которая сгибается при кратковременном приложении поперечного усилия и которая, после его удаления, возвращается близко к своей первоначальной форме в течение последующего короткого промежутка времени.
3.15 нарезные трубы и трубная арматура: Трубы и трубная арматура, которые имеют резьбу для соединения или в них или на них может быть нарезана резьба.
3.16 безрезьбовые трубы и трубная арматура: Трубы и трубная арматура, которые соединяются нерезьбовым способом.
3.17 внешнее воздействие: Факторы, которые могут повлиять на трубную систему.
Примечание - Примеры таких факторов: присутствие воды, нефтепродуктов или строительных материалов, низких и высоких температур, коррозийных или загрязняющих веществ.
4.1 Трубы и трубная арматура должны быть разработаны и сконструированы таким образом, чтобы при их нормальной эксплуатации была обеспечена надежность систем электроснабжения, защита пользователей и окружающей среды.
Собранные в соответствии с инструкциями изготовителя трубы и трубная арматура должны обеспечивать механическую и, где это требуется, электрическую защиту находящихся внутри изолированных проводов и кабелей.
4.2 Защитные характеристики соединения между трубной арматурой и трубой должны быть не ниже, чем указанные для трубной системы.
4.3 Трубы и трубная арматура должны быть устойчивыми к воздействиям, возникающим в процессе транспортирования, хранения, монтажа и эксплуатации.
4.4 Соответствие подтверждают испытаниями.
5. Общие требования к испытаниям
5.1 Испытания в соответствии с настоящим стандартом являются типовыми. Трубные системы, имеющие одинаковую классификацию, за исключением цвета, являются одним и тем же типом продукта.
5.2 Если не указано иное, испытания проводят при температуре окружающей среды (20 +/- 5) °C.
5.3 Если не указано иное, каждое испытание проводят на трех новых образцах, которые могут быть взяты от одной трубы.
Примечание - После некоторых испытаний, например после проверки размеров, не вызывающих изменений в образцах, последние рассматриваются как новые образцы и могут использоваться для дальнейших испытаний.
5.4 Образцы неметаллических и композитных труб и трубной арматуры должны быть выдержаны по крайней мере в течение 24 ч при температуре (23 +/- 2) °C и относительной влажности от 40% до 60%. Все испытания должны быть проведены после выполнения указанных выше условий.
5.5 Если не указано иное, образцы для каждого испытания должны быть чистыми и новыми, со всеми частями, расположенными и смонтированными для нормальных условий эксплуатации. После проверки размеров в соответствии с
разделом 8 и, если не указано иное, для соответствующего испытания, трубная арматура должна быть соединена с трубой соответствующей длины того типа, для которого она предназначена. Особое внимание следует уделить указаниям изготовителя, особенно в случае если требуется приложение усилия при сборке соединения.
Примечание - Для обобщенных испытаний репрезентативный выбор арматуры для испытаний должен быть согласован между изготовителем или ответственным продавцом и испытательной лабораторией.
5.6 Если у трубного ввода имеется отсоединяемая или отдельно поставляемая трубная арматура, то отсоединенная трубная арматура после испытаний должна быть пригодной к повторной сборке согласно указаниям изготовителя без потери указанных характеристик согласно
разделу 6.
5.7 Если не указано иное, испытание считается удачным, если все три образца выдержали испытания.
Если хотя бы один из образцов не прошел испытания из-за неудовлетворительной сборки или производственного брака, то данное испытание и любое предшествующее, которое повлияло на результат испытания, должно быть повторено в необходимой последовательности, но на другом полном комплекте образцов, которые должны выдержать испытания.
Примечание - Если для испытаний изготовителем не представлен дополнительный набор образцов, отказ одного образца повлечет за собой отбраковку. Изготовитель, представляя первый набор образцов, может также представить дополнительный комплект образцов, которые могут использоваться, если один образец не прошел испытания. Испытательная лаборатория в этом случае может без дальнейшего запроса провести испытание дополнительного комплекта образцов и забраковать их при несоблюдении установленных требований.
5.8 Если при испытаниях используют токсичные или взрывоопасные вещества, особое внимание должно быть уделено обеспечению безопасности людей в пределах зоны испытания.
5.9 Трубные системы, которые являются неотъемлемой частью другого оборудования, должны также быть проверены в соответствии с соответствующим стандартом на это оборудование.
Настоящим стандартом устанавливается классификация трубных систем с присвоением им классификационных кодов согласно
приложению A.
6.1 По механическим характеристикам
6.1.1 Степень сопротивления сжатию:
1 - очень легкая;
2 - легкая;
3 - средняя;
4 - тяжелая;
5 - очень тяжелая.
6.1.2 Степень сопротивления удару:
1 - очень легкая;
2 - легкая;
3 - средняя;
4 - тяжелая;
5 - очень тяжелая.
6.1.3 Степень сопротивления изгибу:
1 - жесткая;
2 - гибкая;
3 - гибкая/самовосстанавливающаяся;
4 - с повышенной гибкостью (особо гибкая).
6.1.4 Степень сопротивления растяжению:
1 - очень низкая;
2 - низкая;
3 - средняя;
4 - высокая;
5 - очень высокая.
6.1.5 Способность выдерживать подвесную нагрузку:
1 - очень низкая;
2 - низкая;
3 - средняя;
4 - высокая;
5 - очень высокая.
6.2 По температуре окружающей среды
6.2.1 Нижний предел диапазона температур в соответствии с таблицей 1.
Таблица 1
Нижний предел диапазона температур
Классификация | Транспортирование, монтаж и эксплуатация при температуре не менее, °C |
1 | +5 |
2 | -5 |
3 | -15 |
4 | -25 |
5 | -45 |
6.2.2 Верхний предел диапазона температур в соответствии с таблицей 2.
Таблица 2
Верхний предел диапазона температур
Классификация | Эксплуатация и монтаж при температуре не более, °C |
1 | 60 |
2 | 90 |
3 | 105 |
4 | 120 |
5 | 150 |
6 | 250 |
7 | 400 |
6.3 По электрическим характеристикам
6.3.1 Обеспечивающие непрерывность электрической цепи.
6.3.2 Изолирующие.
6.3.3 Обеспечивающие непрерывность электрической цепи и изолирующие.
6.4 По защите от внешних воздействий
6.4.1 Защита от проникновения твердых тел: минимальная степень защиты IP3X по МЭК 60529.
6.4.2 Защита от проникновения воды: минимальная степень защиты IPX0 по МЭК 60529.
6.4.3 По защите от коррозии
6.4.3.1 Без защиты.
6.5 По нераспространению горения
6.5.1 Нераспространяющие горение.
6.5.2 Распространяющие горение.
7. Маркировка и документация
7.1 На каждой трубе должно быть указано:
- изготовитель или ответственный продавец, или торговая марка, или логотип,
- опознавательный знак, который может быть, например, каталожным номером, символом и т.п., по которому он может быть идентифицирован в документации изготовителя или ответственного продавца.
7.1.1 Труба может также быть обозначена классификационным кодом в соответствии с
приложением A, который должен включать по крайней мере первые четыре цифры.
7.1.2 Изготовитель является ответственным за предоставление информации о совместимости частей в пределах трубной системы.
7.1.3 Изготовитель должен указать в своей документации классификацию в соответствии с
разделом 6 и всю информацию, необходимую для надлежащего и безопасного транспортирования, хранения, монтажа и эксплуатации.
7.2 Трубная арматура должна быть промаркирована на изделии в соответствии с
7.1 по мере возможности, но где это затруднительно, маркировка может быть указана на приложенной к изделию бирке (табличке, этикетке).
7.3 Материал, распространяющий горение, должен быть оранжевого цвета. Не допускается использовать краску оранжевого цвета или поверхностную пленку.
Материал, не распространяющий горение, может иметь любой цвет, кроме желтого, оранжевого или красного, если на изделии ясно не отмечено, что это материал, не распространяющий горение.
7.4 Средства для заземления должны быть обозначены символом в соответствии с МЭК 60417 (символ МЭК 60417-5019). Не допускается наносить символ на легко сменяемые части, например винты.
7.5 Соответствие
7.1 - 7.4 проверяют осмотром.
7.6 Маркировка должна быть долговечной и четкой.
Соответствие проверяют осмотром после протирки маркировки вручную в течение 15 с сначала тканью, пропитанной водой, а затем - в течение 15 с тканью, пропитанной растворителем.
Примечание 1 - Растворитель должен содержать не более 0,1% ароматических углеводородов, иметь каури-бутаноловый показатель 29, начальную точку кипения 65 °C, точку испарения 69 °C и плотность порядка 0,68 г/см3.
Примечание 2 - Маркировка может наноситься, например, при отливке, прессованием, гравировкой, печатным способом, в виде наклеек (этикеток) или водостойких переводных картинок.
Примечание 3 - Маркировка, нанесенная при отливке, прессованием или гравировкой, не подвергается данному испытанию.
После испытания маркировка должна быть четкой.
8.1 Резьбы и наружные диаметры трубных систем должны соответствовать МЭК 60423.
Соответствие проверяют по МЭК 60423.
8.2 Другие размеры трубных систем должны удовлетворять соответствующим требованиям МЭК 61386, части 22 - 25.
9.1 Трубная система не должна иметь острых краев, заусенцев или поверхностных выступов, которые могут повредить изолированные провода или кабели, или травмировать монтажный или эксплуатационный персонал.
Соответствие проверяют осмотром и, при необходимости, еще раз после сборки деталей.
9.2 Винты, используемые для крепления частей или оболочек к трубной арматуре или в соединениях труб, должны иметь метрическую резьбу и при правильной установке не должны повреждать изоляцию кабелей. Не допускается применять самонарезающие режущие винты.
Применение винтов и небольших сжимов из неметаллического материала для неметаллической или композитной трубной арматуры, если они отделены от изолированных проводов или кабелей, не требуется.
Устройства крепления с использованием винтов должны выдерживать механические усилия, возникающие во время установки и нормальной эксплуатации.
Соответствие устройств крепления винтами с предварительно нарезанной резьбой проверяют испытанием по 9.3 и осмотром.
Соответствие устройств крепления с самонарезающими формирующими винтами проверяют испытанием по
9.4 и осмотром.
9.3 Винты в предварительно нарезанную резьбу должны быть затянуты и ослаблены 10 раз для винтов, вворачиваемых в неметаллический материал, и для винтов, изготовленных из неметаллического материала, и пять раз - во всех других случаях.
Испытания проводят с использованием специальной отвертки или гаечного ключа, создающих крутящий момент, указанный изготовителем. В случае если крутящий момент изготовителем не задан, используются данные
таблицы 3. Винты должны быть затянуты одним плавным и непрерывным движением.
После испытания не должно быть повреждений винта или гайки, таких как поломка винта или повреждение головки или резьбы, которые ухудшают их дальнейшее использование.
9.4 Самонарезающие формирующие винты затягивают и ослабляют 10 раз для винтов, вворачиваемых в неметаллический материал, и пять раз во всех других случаях. Винты, вворачиваемые в неметаллический материал, должны извлекаться полностью каждый раз.
Испытания проводят с использованием специальной отвертки или гаечного ключа, создающих вращающий момент, приведенный в таблице 3. Винт не должен затягиваться резким или прерывистым движением.
После испытания не должно быть повреждений, таких как поломка винта или повреждение головки или резьбы, которые ухудшают дальнейшее использование винта.
Таблица 3
Крутящий момент для испытаний винта
Номинальный диаметр резьбы, мм | Крутящий момент, Н·м |
От | До (включительно) | | |
- | 2,8 | 0,4 | 0,4 |
2,8 | 3,0 | 0,5 | 0,5 |
3,0 | 3,2 | 0,6 | 0,6 |
3,2 | 3,6 | 0,8 | 0,8 |
3,6 | 4,1 | 1,2 | 1,2 |
4,1 | 4,7 | 1,8 | 1,8 |
4,7 | 5,3 | 2,0 | 2,0 |
5,3 | 6,0 | 2,5 | 3,0 |
6,0 | 8,0 | 3,5 | 6,0 |
8,0 | 10,0 | 4,0 | 10,0 |
<a> Графа I относится к винтам, затянутым посредством отвертки. <b> Графа II относится к винтам и гайкам, которые затянуты иными средствами. |
9.5 У материала, например резины, ткани и им подобным, в пределах соединения, собранного согласно инструкциям изготовителя, который может быть подвержен внешним воздействиям, должен быть, по крайней мере, тот же уровень сопротивления внешним воздействиям, как у труб или трубной арматуры.
Соответствие проверяют испытаниями, приведенными в
разделе 14.
9.6 Для трубных систем, которые собраны не с помощью резьбовых соединений, изготовитель должен указать на возможность демонтажа системы и привести способ демонтажа.
Соответствие проверяют осмотром и испытанием вручную.
10. Механические характеристики
10.1 Механическая прочность
10.1.1 Трубные системы должны обладать соответствующей механической прочностью.
10.1.2 Трубы, согласно их классификации, при сгибании или сжатии, или при воздействии высокой температуры, при соответствующих параметрах воздействий и температуры, во время или после установки согласно указаниям изготовителя, не должны иметь трещин и не должны быть согнуты до степени, затрудняющей затяжку изолированных проводов или кабелей или создающей возможность повреждения проложенных ранее изолированных проводов или кабелей.
10.1.3 Трубные системы, предназначенные для крепления другого оборудования, должны иметь соответствующую механическую прочность, необходимую для поддержки такого оборудования, и стойкость к усилиям, требуемым для управления этим оборудованием, как во время, так и после установки.
10.1.4 Соответствие требованиям
10.1.1 - 10.1.3 проверяют испытаниями, приведенными в 10.2 -
10.8.
10.2 Испытание на сжатие
10.2.1 Образцы труб, каждый длиной (200 +/- 5) мм, должны быть подвергнуты испытанию на сжатие при температуре (23 +/- 2) °C, с использованием установки, показанной на
рисунке 1.
10.2.2 Перед испытанием измеряют наружные диаметры образцов.
10.2.3 Образцы должны быть помещены на плоское стальное основание, а стальное промежуточное звено должно быть расположено в средней части образца, как показано на
рисунке 1.
10.2.4 Плавно увеличивающуюся силу сжатия прикладывают к промежуточному звену до достижения значений, указанных в таблице 4, за время в пределах (30 +/- 3) с.
10.2.5 После воздействия усилием, приведенным в таблице 4, в течение (60 +/- 2) с проводят измерение внешнего диаметра образца без снятия усилия.
Таблица 4
Сила сжатия
Классификационный код | Трубы | Сила сжатия, погрешность  %, Н |
1 | Очень легкие | 125 |
2 | Легкие | 320 |
3 | Средние | 750 |
4 | Тяжелые | 125 |
5 | Очень тяжелые | 4000 |
10.2.6 Различие между начальным значением наружного диаметра и диаметром нагруженного образца не должно превышать 25% начального значения наружного диаметра, измеренного перед испытанием.
10.2.7 После снятия усилия и удаления промежуточного звена, через (60 +/- 2) с после удаления, наружный диаметр образцов должен быть измерен снова.
Различие между начальным диаметром и диаметром деформированных образцов не должно превышать 10% от наружного диаметра, измеренного перед испытанием.
10.2.8 После испытания образцы не должны иметь видимых трещин.
10.3 Испытание на стойкость к удару
10.3.1 Двенадцать образцов трубы, каждый длиной (200 +/- 5) мм, или двенадцать образцов трубной арматуры подвергают испытанию на удар с использованием установки, приведенной на
рисунке 2. Перед испытанием образцы собирают со всеми компонентами как для нормальной эксплуатации, включая трубы, требуемые для проведения испытания.
Примечание - При проверке труб трубная арматура не требуется.
Части, не доступные в условиях нормальной эксплуатации, после их установки и небольшие детали труб, максимальный размер которых составляет менее 20 мм, не подвергают этому испытанию.
10.3.2 Испытательную установку вместе с образцами помещают в холодильную камеру с температурами, приведенными в
таблице 1 с погрешностью +/- 2 °C.
При достижении образцами заданной температуры, или по истечении 2 ч или более длительного периода, каждый образец должен быть размещен на стальном основании, как приведено на
рисунке 2. Ударник должен воздействовать по одному разу на каждый образец. Масса ударника и высота падения должны соответствовать таблице 5.
Испытание должно быть выполнено на самой слабой части трубной арматуры, за исключением зоны в пределах 5 мм от конца трубы. Образцы труб проверяются в центральной части.
Таблица 5
Параметры испытаний при ударе
Классификационный код | Трубы и арматура | Масса ударника. Погрешность,  %, кг | Высота падения. Погрешность, +/- 1%, мм |
1 | Очень легкие | 0,5 | 100 |
2 | Легкие | 1,0 | 100 |
3 | Средние | 2,0 | 100 |
4 | Тяжелые | 2,0 | 300 |
5 | Очень тяжелые | 6,8 | 300 |
10.3.3 После испытания, когда образцы достигли температуры (20 +/- 5) °C, калибровочная деталь, приведенная в частях 21 - 25 серии стандартов МЭК 61386, должна проходить через трубу под воздействием собственного веса без начальной скорости при вертикальном положении образца. После испытаний не должно быть никаких признаков разрушения и видимых трещин.
По крайней мере девять из двенадцати образцов должны пройти испытание.
10.4 Испытание на изгиб
Требования к испытаниям на изгиб приведены в частях 21 - 25 серии стандартов МЭК 61386.
10.5 Испытание на гибкость
Требования к испытаниям на гибкость приведены в частях 21 - 25 серии стандартов МЭК 61386.
10.6 Испытание на разрушение
Требования к испытаниям на разрушение приведены в частях 21 - 25 серии стандартов МЭК 61386.
10.7 Испытание на растяжение
10.7.1 Трубные системы должны быть проверены на предел прочности следующим образом.
Образец трубы с двумя элементами трубной арматуры или двумя элементами концевой трубной арматуры собирают в соответствии с указаниями изготовителя так, чтобы длина трубы между точками установки арматуры составила по крайней мере 200 мм. Там где это нерационально, испытание должно быть проведено на двух образцах трубы и трубной арматуры, каждый с одним элементом трубной арматуры. Сборку подвергают растяжению при температуре (23 +/- 2) °C в течение (30 +/- 3) с при плавно увеличивающейся температуре до значений, приведенных в
таблице 6, которая поддерживается в течение 2 мин +/- 10 с.
10.7.2 В случае, если имеет место удлинение, изготовитель должен предоставить необходимые указания для обеспечения безопасной установки трубной системы.
10.7.3 Для трубных систем с нерегламентированным пределом прочности достигнутый предел прочности соединений должен отвечать требованиям соответствующих испытаний по части 2.
10.7.4 После испытаний трубная арматура или концевая трубная арматура должны оставаться должным образом присоединенными к трубе и не должно быть никаких видимых повреждений.
Таблица 6
Классификационный код | Трубы и арматура | Сила растяжения. Погрешность,  %, Н |
1 | Очень легкие | 100 |
2 | Легкие | 250 |
3 | Средние | 500 |
4 | Тяжелые | 1000 |
5 | Очень тяжелые | 2500 |
10.8 Испытание подвесной нагрузкой
Трубную арматуру, которая по данным изготовителя пригодна для воздействия подвесной нагрузки, жестко закрепляют с подвесным устройством, направленным вниз, способом, указанным изготовителем.
Груз на время, приведенное в таблице 7, подвешивают при помощи приспособления, поставляемого изготовителем, и устанавливают в соответствии с его указаниями.
Испытание считается проведенным успешно, если в конце испытания не обнаружено видимых трещин и деформаций трубной арматуры, ухудшающих ее нормальную эксплуатацию.
Для неметаллической и композитной трубной арматуры испытания должны проходить в термокамере при максимальной температуре, приведенной в
таблице 2, с погрешностью +/- 2 °C.
Таблица 7
Подвесные нагрузки
Классификационный код | Детали | Нагрузка. Погрешность,  %, Н | Продолжительность. Погрешность,  мин, ч |
1 | Очень легкие | 20 | 48 |
2 | Легкие | 30 | 48 |
3 | Средние | 150 | 48 |
4 | Тяжелые | 450 | 48 |
5 | Очень тяжелые | 850 | 48 |
11. Электрические характеристики
11.1 Требования к электрическим характеристикам
11.1.1 Трубные системы, обеспечивающие непрерывность электрической цепи, должны быть испытаны по
11.2 сразу после испытания по
14.2.
Примечание - Трубные системы в некоторых случаях могут использоваться целиком или частично в качестве защитного проводника электрической установки. В этом случае систему проверяют после окончания монтажа для подтверждения ее пригодности для этих целей в соответствии с условиями монтажа.
11.1.2 Трубные системы из металла или композиционных материалов должны быть сконструированы так, чтобы доступные металлические части могли быть присоединены к заземлителю.
Соответствие проверяют осмотром.
11.1.3 Доступные для прикосновения проводящие части металлической или композитной трубной системы, на которых возможно появление потенциала в случае повреждения, должны быть надежно заземлены.
Соответствие проверяют испытаниями по 11.2.
11.1.4 Трубные системы из неметаллических или композитных материалов должны иметь соответствующую электрическую прочность и сопротивление изоляции.
Соответствие проверяют испытаниями по
11.3.
11.2 Испытание соединений
Сборка трубной арматуры и труб, состоящая из 10 частей, должна быть собрана в соответствии с указаниями изготовителя и
рисунком 3, каждый тип арматуры должен быть представлен в приблизительно равных количествах. Арматура должна быть установлена через 100 - 150 мм. Электрический ток значением 25 А и частотой от 50 до 60 Гц, полученный от источника переменного тока, имеющего напряжение холостого хода не более 12 В, пропускают через сборку в течение (60 +/- 2) с. Измеряют падение напряжения и определяют сопротивление при заданном токе.
Сопротивление не должно превышать 0,1 Ом.
Если арматура всех типов не может быть установлена в единственном испытании, то испытание, приведенное выше, повторяют до тех пор, пока все различные типы арматуры не будут проверены.
Если для соединения трубной арматуры с трубой необходимы специальные устройства, то при их установке следует удалить защитное покрытие на трубе или конец трубы должен быть зачищен в соответствии с инструкциями изготовителя.
11.3 Электрическая прочность и сопротивление изоляции
11.3.1 Испытания труб
11.3.1.1 Образцы труб погружают на 1 м +/- 10 мм в соответствии с
рисунком 4 или
рисунком 5 в соленый водный раствор с температурой (23 +/- 2) °C с длиной трубы 100 мм, оставленной выше уровня раствора.
Образцы жестких труб должны поставляться изготовителем с одним концом, запечатанным изоляционным материалом с высокими изоляционными свойствами, например силиконом (см.
рисунок 4).
Образцы гибких труб и труб повышенной гибкости сгибают в форме "U" и затем погружают в раствор (см.
рисунок 5).
Соленый водный раствор получают при полном растворении 1 г/л поваренной соли.
Соленый водный раствор заливают в открытый конец трубы до верхнего уровня. Один электрод помещают в трубу, другой в резервуар.
11.3.1.2 После 24 ч +/- 15 мин выдержки на оба электрода подают напряжение, постепенно увеличиваемое от 1000 до 2000 В, синусоидальной формы частотой от 50 до 60 Гц. По достижении 2000 В напряжение поддерживают в течение 15 мин

с.
Высоковольтный трансформатор, используемый для испытаний, должен быть сконструирован так, что когда на выходе установлено соответствующее испытательное напряжение и происходит короткое замыкание, то ток нагрузки не превышает 200 мА. Защита от сверхтока не должна срабатывать при токе менее 100 мА. Действующее значение испытательного напряжения должно измеряться с точностью +/- 3%.
Изоляционные характеристики образцов считаются подтвержденными, если включенное в цепь отключающее устройство с током расцепителя, равным 100 мА, не срабатывает в течение 15 мин.
11.3.1.3 Сразу после испытания по
11.3.1.2 те же образцы должны быть подвергнуты испытанию на сопротивление изоляции. На два электрода должно быть подано напряжение 500 В постоянного тока.
11.3.1.4 Сопротивление изоляции между электродами должно быть измерено через (60 +/- 2) с после подачи напряжения. Электрическое сопротивление изоляции труб считается подтвержденным, если его расчетное значение будет больше, чем 100 МОм.
11.3.2 Испытания трубной арматуры
11.3.2.1 Образцы трубной арматуры должны быть погружены на время 24 ч +/- 15 мин в воду при температуре (23 +/- 2) °C и затем полностью высушены при комнатной температуре.
11.3.2.2 Образцы трубной арматуры должны быть соединены с трубой длиной не меньше чем 100 мм в соответствии с инструкциями изготовителя. Все другие открытые концы должны быть запечатаны изоляционным материалом. Внутреннюю часть арматуры заполняют свинцовыми шариками, диаметром от 1,0 до 1,5 мм, и электрод вставляют в свинцовую дробь по всей длине трубы.
Внешний электрод из алюминиевой фольги обертывают вокруг арматуры и обжимают так, чтобы он повторял насколько возможно близко контуры ее поверхности.
11.3.2.3 Образцы трубной арматуры должны быть испытаны в соответствии с
11.3.1.2 в течение 1 ч после извлечения из воды.
11.3.2.4 Сразу после испытания по 11.3.2.3 те же самые образцы должны быть подвергнуты испытанию на сопротивление изоляции. На два электрода должно быть подано напряжение 500 В постоянного тока.
11.3.2.5 Сопротивление изоляции между электродами должно быть измерено через (60 +/- 2) с после подачи напряжения. Электрическое сопротивление изоляции трубной арматуры считается подтвержденным, если его расчетное значение будет более 5 МОм.
12. Тепловые характеристики
12.1 Неметаллические и композитные трубы должны обладать соответствующей теплостойкостью. Соответствие проверяют испытаниями по 12.2 и подтверждают по
12.3.
Нагрузка при тепловых испытаниях должна быть классифицирована так же, как для сжатия.
12.2 Образцы труб длиной (100 +/- 5) мм вместе с испытательной установкой, как приведено на
рисунке 8, должны быть выдержаны в течение 4 ч +/- 5 мин в температурной камере при заданной температуре, приведенной в
таблице 2, с погрешностью +/- 2 °C.
После этого каждый образец нагружают в течение 24 ч +/- 15 мин в установке, как приведено на
рисунке 8, соответствующей массой, воздействующей через стальной стержень диаметром (6,0 +/- 0,1) мм, расположенный под прямым углом к оси трубы.
На образец воздействует полная масса, включая массу стержня, размещенного в середине образца, как приведено в таблице 8.
Нагруженный образец охлаждают до комнатной температуры.
Таблица 8
Нагрузка при тепловых испытаниях
Классификационный код по сжатию согласно 6.1.1 | Трубы | Масса. Погрешность  %, кг |
1 | Очень легкие | 0,5 |
2 | Легкие | 1,0 |
3 | Средние | 2,0 |
4 | Тяжелые | 4,0 |
5 | Очень тяжелые | 8,0 |
12.3 Сразу после удаления груза калибр, соответствующий части 2, должен проходить через трубу под воздействием собственного веса без начальной скорости при вертикальном положении образца.
13.1 Реакции горения
13.1.1 Возгорание
Не применяют.
Примечание - Трубные системы не должны находиться в непосредственном контакте с токоведущими частями.
13.1.2 Поддержание горения
Требование находится в стадии рассмотрения.
13.1.3 Распространение горения
Трубная система, не распространяющая горение, должна иметь соответствующую стойкость к распространению огня.
13.1.3.1 Неметаллическую и композитную трубную арматуру испытывают методом раскаленной проволоки по МЭК 60695-2-11.
Раскаленной проволокой воздействуют по одному разу на каждый образец при самом неблагоприятном положении, предусмотренном условиями применения (с поверхностью, испытуемой в вертикальном положении), при температуре 750 °C.
Образец считается прошедшим испытание, если отсутствует пламя или продолжающееся свечение, или если пламя или свечение исчезает в пределах 30 с после удаления раскаленной проволоки.
13.1.3.2 Неметаллические и композитные трубы испытывают пламенем мощностью 1 кВт по МЭК 60695-11-2.
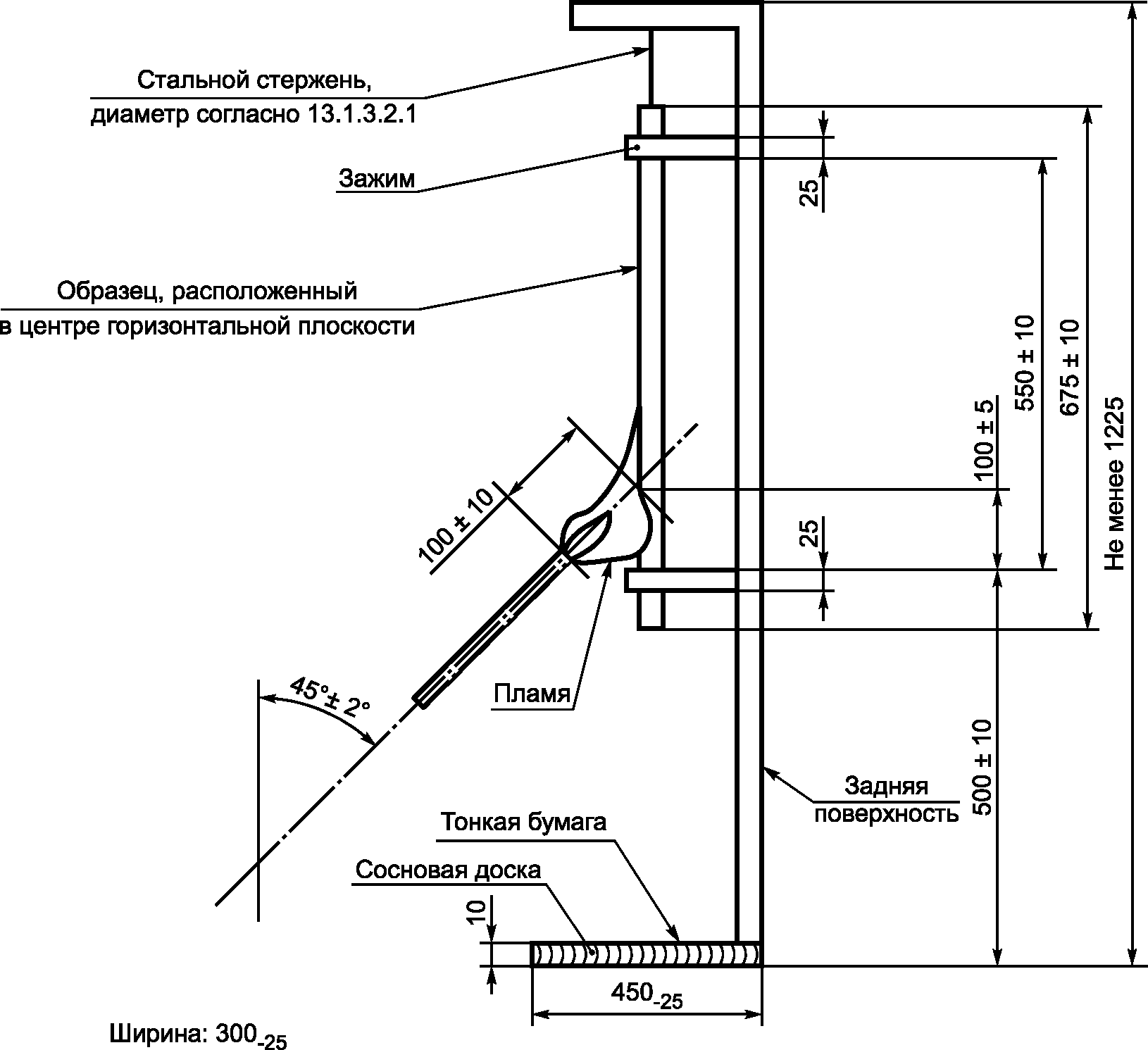
13.1.3.2.1 Образец длиной (675 +/- 10) мм устанавливают вертикально в прямоугольном металлическом коробе с одним открытым торцом, как приведено на
рисунке 6, в зоне без сквозняков.
Установка образцов проводится посредством двух металлических зажимов шириной 25 мм, расположенных в (550 +/- 10) мм друг от друга и равноудаленных от концов образцов.
Стальной стержень диаметром (2,0 +/- 0,1) мм - для размеров труб до 12 мм, (6,0 +/- 0,1) мм - для размеров труб от 16 до 25 мм и (16,0 +/- 0,1) мм - для труб диаметром 32 мм и более пропускают через образец. Стержень надежно фиксируют сверху, чтобы поддерживать образец в прямом и вертикальном положениях. Монтаж выполняют так, чтобы не было помех для падения капель на тонкую бумагу.
Кусок сосновой доски толщиной 10 мм покрывают одним слоем белой тонкой бумаги и размещают на нижней поверхности короба.
Собранные вместе образец, стержень и зажимы устанавливают вертикально в центре короба, при этом верхний конец нижнего зажима должен быть расположен на (500 +/- 10) мм выше внутренней нижней поверхности короба.
13.1.3.2.2 Горелку располагают так, чтобы ее ось проходила под углом (45 +/- 2)° к вертикали.
Пламя относительно образца должно быть расположено так, чтобы расстояние от вершины сопла горелки до образца, измеренное вдоль оси пламени, составляло (100 +/- 10) мм, ось пламени пересекалась с поверхностью образца в точке на расстоянии (100 +/- 5) мм от верхнего конца нижнего зажима и чтобы ось пламени пересекалась с осью образца.
13.1.3.2.3 Пламя воздействует на образцы в течение периода, приведенного в таблице 9, после чего удаляется. Во время воздействия пламя не должно перемещаться до его удаления в конце испытательного периода.
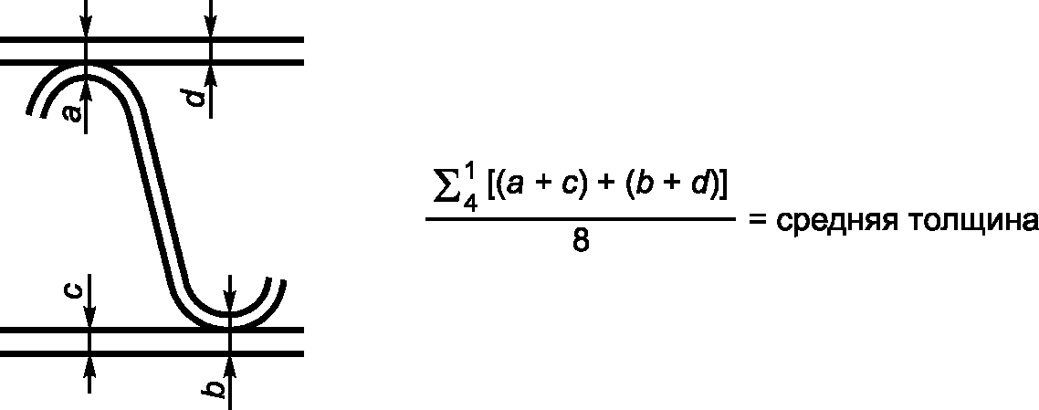
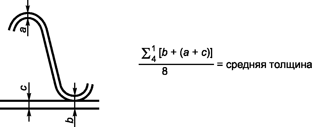
Определение толщины гладкой трубы, гофрированной трубы и комбинированной из гладкой и гофрированной трубы приведено в
приложении B. Измеряют три образца и определяют среднюю толщину каждого образца.
Наибольшее среднее значение используют для определения времени воздействия пламени по таблице 9.
Таблица 9
Время воздействия пламени
Средняя толщина, мм | Время воздействия пламени, с |
От | До | Погрешность,  с |
- | 0,5 | 15 |
0,5 | 1,0 | 20 |
1,0 | 1,5 | 25 |
1,5 | 2,0 | 35 |
2,0 | 2,5 | 45 |
2,5 | 3,0 | 55 |
3,0 | 3,5 | 65 |
3,5 | 4,0 | 75 |
4,0 | 4,5 | 85 |
4,5 | 5,0 | 130 |
5,0 | 5,5 | 200 |
5,5 | 6,0 | 300 |
6,0 | - | 500 |
После завершения испытания и после того как прекратилось любое горение образца, поверхность образца вытирают начисто куском ткани, пропитанным водой.
13.1.3.2.4 Все три образца должны выдержать испытание.
Образец выдержал испытание, если он не загорелся.
Считается, что образец выдержал испытание, если он загорелся, но при этом:
- пламя или свечение исчезает в пределах 30 с после удаления испытательного пламени,
- тонкая бумага не загорается,
- после исчезновения пламени или свечения образца отсутствуют признаки горения или обугливания в пределах 50 мм от нижнего конца верхнего зажима.
13.1.4 Дополнительные характеристики горючести
В стадии рассмотрения.
13.2 Огнестойкость
Не применяют.
Примечание - Характеристика необходима только для негорючих труб, используемых в аварийных цепях.
14.1 Степень защиты оболочки
14.1.1 Общие требования
Трубные системы, собранные в соответствии с указаниями изготовителя, должно иметь соответствующее сопротивление внешним воздействиями согласно классификации, заявленной изготовителем. Минимальная степень защиты IP30.
Соответствие проверяют испытаниями по 14.1.1 - 14.1.2.
14.1.2 Степень защиты от проникновения посторонних твердых предметов
14.1.2.1 Трубную систему собирают из труб и трубной арматуры. Открытые концы сборки могут быть включены или не включены в испытания по необходимости.
14.1.2.2 Сборка должна быть испытана по МЭК 60529. Для степени защиты 5 применяют категорию 2.
14.1.2.3 Сборка, испытанная по степени защиты 5 или 6, считается выдержавшей испытание, если не будет проникновения пыли, видимой при визуальном осмотре.
14.1.3 Степень защиты от проникновения воды
14.1.3.1 Трубную систему собирают из труб и трубной арматуры. Открытые концы сборки могут быть включены или не включены в испытания по необходимости.
14.1.3.2 Сборка должна быть испытана по МЭК 60529. Для степеней защиты 3 и 4 должна использоваться качающаяся труба.
14.1.3.3 Сборка, испытанная по степени защиты 1 и выше, считается выдержавшей испытание, если не будет проникновения воды в виде капель, видимых при визуальном осмотре.
14.2 Коррозионная стойкость
14.2.1 Металлические и композитные трубные системы, исключая резьбовую часть, должны иметь соответствующую коррозионную стойкость внутри и снаружи в соответствии с классификацией, приведенной в таблице 10.
Таблица 10
Классификация коррозионной стойкости
Классификация | Степень защиты | Пример |
1 | Низкая степень защиты, внутри и снаружи | Окраска с грунтовкой |
2 | Средняя защита, внутри и снаружи | Эмаль/гальваническое цинкование/окраска с воздушной сушкой |
3 | Средняя/высокая комбинированная защита внутри: класс 2, снаружи: класс 4 | Эмаль. Порошковое цинкование |
4 | Высокая степень защиты, внутри и снаружи | Горячее цинкование. Порошковое цинкование. Нержавеющая сталь |
Соблюдение требований для окрашенных и оцинкованных стальных и композитных стальных труб и трубной арматуры проверяют испытаниями по 14.2.2.
Для трубных систем из цветного металла и композитных трубных систем изготовитель должен предоставить информацию об их защите от коррозии.
14.2.2 Испытания на коррозионную стойкость для окрашенных и оцинкованных стальных и композитных стальных трубных систем
14.2.2.1 Трубы и трубная арматура с низкой степенью защиты должны быть осмотрены на предмет определения качества покрытия защитным слоем, внутри и снаружи.
14.2.2.2 Трубы и трубная арматура со средней степенью защиты должны быть очищены от консервирующего покрытия уайт-спиритом с каури-бутаноловым показателем 35 + 5.
| | ИС МЕГАНОРМ: примечание. Формула феррицианида калия дана в соответствии с официальным текстом документа. | |
Затем их полностью погружают в водный раствор, содержащий 0,75% феррицианида калия [K3Fe(CH)6] и 0,25% персульфата аммония [(NH4)2S2O6], и добавляют приблизительно 0,1% адгезивного вещества, например натриевой соли алкилнафталиновой сульфокислоты.
Раствор и образцы должны быть выдержаны при температуре (23 +/- 2) °C. Каждый образец должен быть проверен отдельно, каждый раз должен использоваться новый раствор.
После погружения на 5 мин

с образцы должны быть извлечены из раствора и просушены на воздухе при температуре окружающей среды. После завершения испытания, описанного выше, на образцах должно появиться не более двух синих пятен на каждом квадратном сантиметре поверхности, и размер синего пятна не должен превышать 1,5 мм. Следы ржавчины на острых краях, резьбе и механически обработанных поверхностях, а также любые желтоватые фрагменты, удаляемые при протирке, во внимание не принимаются.
14.2.2.3 Трубы и трубная арматура с высокой степенью защиты должны быть обезжирены погружением в уайт-спирит с каури-бутаноловым показателем 35 + 5 на время 10 мин

с и вытерты сухой мягкой тканью. Затем их погружают в 2%-ный водный раствор серной кислоты на время 15 с, промывают в проточной воде и снова вытирают сухой чистой мягкой тканью. Затем каждый образец полностью погружают в раствор дистиллированной воды с медным сульфатом (CuSO
4·5H2O) с удельным весом 1,186 кг/л при температуре (23 +/- 2) °C.
Раствор и образцы должны быть выдержаны при температуре (23 +/- 2) °C без перемешивания.
Примечание - Раствор получают, растворяя 360 г кристаллов медного сульфата в 1 л дистиллированной воды и нейтрализуя медным карбонатом или медной гидроокисью (приблизительно 1 г/л). Удельный вес проверяют и, при необходимости, корректируют.
Емкость не должна вступать в реакцию с раствором и должна иметь размер, обеспечивающий расстояние по крайней мере 25 мм между стенками и образцом.
Каждый образец должен быть погружен четыре раза последовательно в тот же самый раствор, каждый раз на время 1 мин

с. Для каждого образца должен использоваться новый раствор. После каждого погружения образец немедленно промывают в проточной воде со щеткой, для удаления любого черного налета. После этого образец должен быть вытерт сухой чистой мягкой тканью, кроме четвертого погружения в раствор. Необходимо прочистить все отверстия и полости.
После испытания на образце не должно быть осаждения меди, которая не может быть удалена в проточной воде после погружения в течение 15 с в 10%-ный водный раствор соляной кислоты.
Следы медного осаждения на резьбе, острых краях и механически обработанных поверхностях во внимание не принимаются.
15. Электромагнитная совместимость
Изделия, на которые распространяется настоящий стандарт, в условиях нормальной эксплуатации невосприимчивы к электромагнитным воздействиям (излучение и помехозащищенность).
Примечание - Если изделия, на которые распространяется настоящий стандарт, являются частью электропроводки, установка может излучать или находиться под воздействием электромагнитных сигналов. Степень влияния будет зависеть от типа установки, области применения и присоединенного оборудования.
Рисунок 1 - Установка для испытаний на сжатие
Примечание - Данный рисунок не предназначен для разработки конструкции, за исключением размеров.
Рисунок 2 - Стенд для испытаний на ударные воздействия
--------------------------------
<*> Покрытие должно быть удалено, чтобы обеспечить электрический контакт с электродами.
Рисунок 3 - Набор оборудования для испытания труб
и трубной арматуры на соединение
Примечание - Следует удалить острые края и заусенцы.
Рисунок 4 - Установка для испытаний электрической
прочности и сопротивления изоляции. Жесткие трубы
Примечание - Следует удалить острые края и заусенцы.
Рисунок 5 - Установка для испытаний электрической прочности
и сопротивления изоляции. Гибкие трубы и трубы
повышенной гибкости
Примечание - Данный рисунок не предназначен для разработки конструкции, за исключением размеров.
1 - сплошная задняя стенка
Рисунок 6 - Стальной шкаф для испытаний
на нераспространение горения
Примечание - Данный рисунок не предназначен для разработки конструкции, за исключением размеров.
Рисунок 7 - Установка для испытаний на нераспространение
горения
Рисунок 8 - Стенд испытаний на сопротивление
высокой температуре
(обязательное)
КЛАССИФИКАЦИОННЫЕ КОДЫ ДЛЯ ТРУБНЫХ СИСТЕМ
Примечание - В приложении A приведены классификационные коды для заявленных характеристик трубных систем, которые могут быть включены в документацию изготовителя.
Первая цифра - сопротивление сжатию (см. 6.1.1) |
Очень легкая сила сжатия | 1 |
Легкая сила сжатия | 2 |
Средняя сила сжатия | 3 |
Тяжелая сила сжатия | 4 |
Очень тяжелая сила сжатия | 5 |
Вторая цифра - сопротивление удару (см. 6.1.2) |
Очень легкая сила удара | 1 |
Легкая сила удара | 2 |
Средняя сила удара | 3 |
Тяжелая сила удара | 4 |
Очень тяжелая сила удара | 5 |
Третья цифра - нижний диапазон температуры (см. 6.2.1) |
+5 °C | 1 |
-5 °C | 2 |
-15 °C | 3 |
-25 °C | 4 |
-45 °C | 5 |
Четвертая цифра - верхний диапазон температуры (см. 6.2.2) |
+60° | 1 |
+90 °C | 2 |
+105 °C | 3 |
+120 °C | 4 |
+150 °C | 5 |
+250 °C | 6 |
+400 °C | 7 |
Пятая цифра - сопротивление изгибу (см. 6.1.3) |
Жесткая | 1 |
Гибкая | 2 |
Гибкая/самовосстанавливающаяся | 3 |
Повышенной гибкости | 4 |
Шестая цифра - электрические характеристики (см. 6.3) |
Не заявлены | 0 |
Электрически непрерывные | 1 |
Электрически изолирующие | 2 |
Электрически непрерывные и изолирующие | 3 |
Седьмая цифра - защита от проникновения твердых тел (см. 6.4.1) |
Защита от твердых тел диаметром 2,5 мм и более | 3 |
Защита от твердых тел диаметром 1,0 мм и более | 4 |
Защита от пыли | 5 |
Пыленепроницаемость | 6 |
Восьмая цифра - защита от проникновения воды (см. 6.4.2) |
Отсутствует | 0 |
Защита от вертикально падающих капель | 1 |
Защищенный от вертикально падающих капель, когда труба наклонена под углом 15° | 2 |
Защита от распыленной воды | 3 |
Защита от брызг | 4 |
Защита от струй воды | 5 |
Защита от мощных струй воды | 6 |
Защита от временного погружения в воду | 7 |
|
Низкая степень защиты внутри и снаружи | 1 |
Средняя защита внутри и снаружи | 2 |
Средняя защита внутри, высокая степень защиты снаружи | 3 |
Высокая степень защиты внутри и снаружи | 4 |
Десятая цифра - прочность (см. 6.1.4) |
Не заявлена | 0 |
Очень низкая прочность | 1 |
Низкая прочность | 2 |
Средняя прочность | 3 |
Высокая прочность | 4 |
Очень высокая прочность | 5 |
Одиннадцатая цифра - сопротивление распространению горения (см. 6.5) |
Не распространяющие горение | 1 |
Распространяющие горение | 2 |
Двенадцатая цифра - нагрузка (см. 6.1.5) |
Не заявлена | 0 |
Очень низкая нагрузка | 1 |
Низкая нагрузка | 2 |
Средняя нагрузка | 3 |
Высокая нагрузка | 4 |
Очень высокая нагрузка | 5 |
Тринадцатая цифра - огнестойкость |
В стадии рассмотрения | 0 |
(обязательное)
B.1 Толщина гладкой трубы
Измерения толщины проводятся в четырех местах, приблизительно равномерно распределенных по окружности трубы в 360°, затем определяют среднее значение:
B.2 Толщина гофрированной трубы
Измерения толщины проводят в четырех местах у основания и на гребне гофра, приблизительно равномерно распределенных по окружности трубы в 360°, затем определяют среднее значение:
B.3 Толщина комбинированной гладкой и гофрированной трубы
Измерения толщины проводят в четырех местах у основания и на гребне гофра и на гладкой секции, приблизительно равномерно распределенных по окружности трубы в 360°, затем определяют среднее значение:
B.4 Толщина объединенной гладкой трубы, гофрированной трубы и гладкой трубы
Измерения толщины проводят в четырех местах у основания и на гребне гофра и на гладкой секции, приблизительно равномерно распределенных по окружности трубы в 360°, затем определяют среднее значение:
(справочное)
СВЕДЕНИЯ О СООТВЕТСТВИИ ССЫЛОЧНЫХ МЕЖДУНАРОДНЫХ СТАНДАРТОВ
ССЫЛОЧНЫМ НАЦИОНАЛЬНЫМ СТАНДАРТАМ РОССИЙСКОЙ ФЕДЕРАЦИИ
(И ДЕЙСТВУЮЩИМ В ЭТОМ КАЧЕСТВЕ МЕЖГОСУДАРСТВЕННЫМ
СТАНДАРТАМ)
Таблица ДА.1
Обозначение ссылочного международного стандарта | Степень соответствия | Обозначение и наименование соответствующего национального стандарта |
МЭК 60417 | - | |
МЭК 60423:2007 | - | |
МЭК 60529:1989 | MOD | ГОСТ 14254-96 (МЭК 529-89) "Степени защиты, обеспечиваемые оболочками (код IP)" |
МЭК 60695-2-11:2000 | IDT | ГОСТ IEC 60695-2-11-2013 "Испытания на пожароопасность. Часть 2-11. Основные методы испытаний раскаленной проволокой. Испытание раскаленной проволокой на воспламеняемость конечной продукции" |
МЭК 60695-11-2:2013 | - | <*> |
<*> Соответствующий национальный стандарт отсутствует. До его утверждения рекомендуется использовать перевод на русский язык данного международного стандарта. Перевод данного международного стандарта находится в Федеральном информационном фонде технических регламентов и стандартов. Примечание - В настоящей таблице использованы следующие условные обозначения степени соответствия стандартов: - IDT - идентичные стандарты; - MOD - модифицированные стандарты. |
| МЭК 60670 (все части) | Коробки и корпусы для электрических аппаратов для бытовых и подобных стационарных электрических установок |