Главная // Актуальные документы // ГОСТ Р (Государственный стандарт)СПРАВКА
Источник публикации
М.: Стандартинформ, 2016
Примечание к документу
Действие данного документа приостановлено с 14.01.2020 на период до 01.01.2022
Приказом Росстандарта от 14.01.2020 N 2-ст.
Документ
введен в действие с 1 мая 2017 года.
Название документа
"ГОСТ Р ИСО 2394-2016. Национальный стандарт Российской Федерации. Конструкции строительные. Основные принципы надежности"
(утв. и введен в действие Приказом Росстандарта от 28.11.2016 N 1814-ст)
"ГОСТ Р ИСО 2394-2016. Национальный стандарт Российской Федерации. Конструкции строительные. Основные принципы надежности"
(утв. и введен в действие Приказом Росстандарта от 28.11.2016 N 1814-ст)
Утвержден и введен в действие
агентства по техническому
регулированию и метрологии
от 28 ноября 2016 г. N 1814-ст
НАЦИОНАЛЬНЫЙ СТАНДАРТ РОССИЙСКОЙ ФЕДЕРАЦИИ
КОНСТРУКЦИИ СТРОИТЕЛЬНЫЕ
ОСНОВНЫЕ ПРИНЦИПЫ НАДЕЖНОСТИ
Building constructions. General principles on reliability
(ISO 2394:1998,
General principles on reliability for structures,
IDT)
ГОСТ Р ИСО 2394-2016
Дата введения
1 мая 2017 года
1 ПОДГОТОВЛЕН Акционерным обществом "Научно-исследовательский центр "Строительство" (АО "НИЦ "Строительство"), Центральным научно-исследовательским институтом строительных конструкций им. В.А. Кучеренко (ЦНИИСК им. В.А. Кучеренко) на основе официального перевода на русский язык англоязычной версии указанного в пункте 4 международного стандарта, который выполнен Федеральным государственным унитарным предприятием "Российский научно-исследовательский центр информации по стандартизации, метрологии и оценке соответствия" (ФГУП "СТАНДАРТИНФОРМ")
2 ВНЕСЕН Техническим комитетом по стандартизации ТК 465 "Строительство"
3 УТВЕРЖДЕН И ВВЕДЕН В ДЕЙСТВИЕ
Приказом Федерального агентства по техническому регулированию и метрологии от 28 ноября 2016 г. N 1814-ст
4 Настоящий стандарт идентичен международному стандарту ИСО 2394:1998 "Общие принципы обеспечения надежности конструкций" (ISO 2394:1998 "General principles on reliability for structures, IDT").
Наименование настоящего стандарта изменено относительно наименования указанного международного стандарта для приведении в соответствие с требованиями ГОСТ Р 1.5-2012
(пункт 3.5).
Сведения о соответствии ссылочных международных и европейского стандартов национальным стандартам приведены в дополнительном
приложении ДА
5 ВВЕДЕН ВПЕРВЫЕ
Правила применения настоящего стандарта установлены в
статье 26 Федерального закона от 29 июня 2016 г. N 162-ФЗ "О стандартизации в Российской Федерации". Информация об изменениях к настоящему стандарту публикуется в ежегодном (по состоянию на 1 января текущего года) информационном указателе "Национальные стандарты", а официальный текст изменений и поправок - в ежемесячном информационном указателе "Национальные стандарты". В случае пересмотра (замены) или отмены настоящего стандарта соответствующее уведомление будет опубликовано в ближайшем выпуске ежемесячного информационного указателя "Национальные стандарты". Соответствующая информация, уведомление и тексты размещаются также в информационной системе общего пользования - на официальном сайте Федерального агентства по техническому регулированию и метрологии в сети Интернет (www.gost.ru)
Настоящий международный стандарт представляет собой общую основу для определения правил проектирования, относящихся к строительству и эксплуатации большинства зданий и инженерных сооружений широкого назначения, независимо от применяемых материалов или их сочетаний. Однако их применение при различных типах строительных материалов (бетон, сталь, древесина, каменная кладка и т.д.) требует специальной адаптации для обеспечения уровня надежности, который был бы наиболее согласованным с требованиями нормативных документов на каждый тип строительного материала.
Настоящий международный стандарт предназначен в качестве базового для комитетов, ответственных за подготовку в соответствии с техническими и экономическими условиями конкретной страны национальных стандартов и сводов правил, учитывающих характер, тип и условия использования сооружения и свойства материалов в течение его расчетного срока службы. Настоящий стандарт является также общей основой для разработки международных и региональных стандартов (например, ENV 1991-1 Eurocode 1), регламентирующих нагрузки на сооружения. В связи с этим он носит концептуальный и обобщенный характер.
Необходимо отметить, что надежность сооружений рассматривается как всеобъемлющее понятие, включающее в себя взаимно зависимые модели для описания воздействий, правила проектирования, элементы надежности, реакции и сопротивление конструктивных элементов, квалификацию исполнителей, процедуры контроля качества и национальные требования. Изменение одного отдельно взятого коэффициента может нарушить общий уровень надежности сооружения. В связи с этим изменение одного из факторов следует сопровождать изучением влияния данного фактора на концепцию надежности в целом.
Настоящий стандарт устанавливает общие принципы обеспечения надежности сооружений для известных или предполагаемых видов воздействий. Надежность рассматривается для сооружения в течение всего проектного срока службы.
Общие принципы следует применять при проектировании сооружений в целом (зданий, мостов, промышленных сооружений и т.д.), элементов конструкций и оснований <1>.
--------------------------------
<1> Настоящий стандарт следует применять в части, не противоречащей другим нормативным документам Российской Федерации.
Настоящий стандарт также следует применять к последовательным этапам строительства, а именно - к производству элементов конструкций, их транспортированию, погрузке/разгрузке, монтажу и ко всем работам на строительной площадке, а также к эксплуатации сооружения в течение его проектного срока службы, включая проведение технического обслуживания и ремонта.
В общем случае принципы применимы также при экспертизе существующих конструкций или при оценке изменения их назначения. Однако в некоторых случаях это может быть связано со специальными вопросами, касающимися базовых переменных и расчетных моделей. Данные вопросы рассмотрены в
разделе 10.
В настоящем стандарте использованы нормативные ссылки на следующие стандарты:
ISO 9000:2005, Quality Management systems - Fundamentals and Vocabulary (Системы менеджмента качества. Основные положения и словарь)
ISO 9001:2008, Quality Management systems - Requirements (Системы менеджмента качества. Требования)
ISO 9002:1994, Quality systems. Model quality assurance in production, installation and servicing (Модель обеспечения качества при производстве, монтаже и обслуживании)
ISO 9003:1996, Quality system - Model for quality assurance in final inspection and test (Система качества. Модель обеспечения качества при окончательном контроле и испытаниях)
ISO 9004:2009, Managing for the sustained success of an organization - A quality management approach (Менеджмент для достижения устойчивого успеха организации. Подход на основе менеджмента качества)
ISO 12491:1997, Statistical methods for quality control of building materials and components (Материалы и изделия строительные. Статистические методы контроля качества)
EN 1990:2002 Eurocode 0: Basis of structural design (Еврокод 0, Основы проектирования сооружений)
В настоящем стандарте применены следующие термины с соответствующими определениями:
Примечание - Алфавитный указатель терминов приведен в
приложении H.
3.1 Основные термины
3.1.1 сооружение (structure): Упорядоченная система взаимосвязанных элементов конструкций, запроектированная с целью обеспечить определенный уровень прочности.
3.1.2 элемент конструкции (structural element): Физически различимая часть сооружения.
Примеры - Колонна, балка, плита.
3.1.3 конструктивная система (structural system): Несущие элементы конструкции здания или инженерного сооружения, а также способ их функционального взаимодействия.
3.1.4 соответствие (compliance): Выполнение установленных требований.
3.1.5 срок службы (life cycle): Период, в течение которого проводятся проектирование, возведение и эксплуатация сооружений. Срок службы начинается с определения целей строительства и оканчивается демонтажом.
3.2 Термины, относящиеся к проектированию в целом
3.2.1 расчетная ситуация (design situation): Совокупность физических условий, представляющих период времени, в течение которого проектом предусмотрено непревышение соответствующих предельных состояний.
3.2.2 установившаяся ситуация (persistent situation): Нормальные условия эксплуатации сооружения, обычно связанные с расчетным сроком службы.
Примечание - Нормальная эксплуатация включает в себя возможные экстремальные воздействия, вызванные ветром, снегом, приложенными нагрузками, землетрясениями в областях высокой сейсмичности и т.д.
3.2.3 переходная ситуация (transient situation): Прогнозируемые условия эксплуатации или воздействия сооружения.
Пример - Период строительства или реконструкции сооружения, который является более коротким по сравнению с расчетным сроком службы.
3.2.4 аварийная ситуация (accidental situation): Особые условия эксплуатации или воздействия сооружения.
Примеры - Наводнение, оползень, пожар, взрыв, удар или локальное разрушение, которые в большинстве случаев действуют в течение очень короткого периода времени (кроме ситуаций, когда локальное разрушение не удается обнаружить в течение более длительного периода).
3.2.5 эксплуатационная пригодность (serviceability): Способность сооружения или элемента конструкции надлежащим образом выполнять требования нормальной эксплуатации при действии всех ожидаемых нагрузок и воздействий.
3.2.6 отказ (failure): Недостаточная несущая способность или неполная эксплуатационная пригодность сооружения или конструкции.
3.2.7 надежность (reliability): Способность сооружения или элемента конструкции соответствовать установленным требованиям в течение проектного срока службы.
3.2.8 базовый период (reference period): Выбранный период времени, который является основным для оценки значений

воздействий, зависящих от времени свойств материалов и т.д.
3.2.9 предельное состояние (limit state): Состояние, при превышении которого сооружение перестает удовлетворять требованиям, установленным в проекте.
Примечание - Предельные состояния разграничивают предусмотренные состояния (нет отказов) и непредусмотренные (есть отказ).
3.2.10 предельное состояние первой группы (по несущей способности) (ultimate limit state): Состояние, связанное с обрушением или с другими подобными формами отказа элементов строительных конструкций.
Примечание - Обычно соответствует максимальной несущей способности сооружения или элемента конструкций, в некоторых случаях - максимальным допускаемым напряжениям или деформациям.
3.2.11 предельное состояние второй группы (по эксплуатационной пригодности) (serviceability limit state): Состояние, при превышении которого не выполняются установленные требования по эксплуатации конструкции.
3.2.12 необратимое предельное состояние (irreversible limit state): Предельное состояние, превышение которого сохраняется после удаления вызвавшего его воздействия.
3.2.13 обратимое предельное состояние (reversible limit state): Предельное состояние, превышение которого прекращается после удаления вызвавшего его воздействия.
3.2.14 конструктивная целостность (живучесть) сооружения (structural integrity (structural robustness)): Способность сооружения при таких событиях, как пожар, взрывы, удар или вследствие человеческих ошибок, избежать повреждений, не пропорциональных первоначальной причине.
3.2.15 расчетный срок службы (design working life): Предполагаемый период, в течение которого сооружение или элемент конструкции могут служить по назначению без необходимости капитального ремонта.
3.2.16 техническое обслуживание (maintenance): Комплекс работ, выполняемых в течение расчетного срока службы сооружения для полного обеспечения требований надежности.
3.2.17 класс надежности сооружений (reliability class of structures): Класс сооружений или элементов конструкции, для которых требуется назначение специального уровня надежности.
3.2.18 базовая переменная (basic variable): Физические величины, характеризующие воздействия, влияния окружающей среды, свойства материалов, грунтов и геометрические величины.
3.2.19 ведущая базовая переменная (primary basic variable): Переменная, которая оказывает наибольшее влияние на результаты расчета.
3.2.20 условие (функция) предельного состояния (limit state function): Функция g основных переменных, характеризующая предельное состояние при g(X1, X2, ..., Xn) = 0. При g > 0 реализуются предусмотренные состояния, а при g < 0 - непредусмотренные.
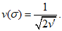
3.2.21 индекс надежности

(reliability index,

): Показатель вероятности отказа
pf, определяемый как

, где Ф
-1 - инверсия стандартного нормального распределения.
3.2.22 метод частных коэффициентов (partial factors format): Метод расчета, при котором принимается допущение об учете неопределенности и вариации базовых переменных за счет введения репрезентативных значений, частных коэффициентов и, при необходимости, дополнительных параметров.
3.2.23 коэффициент надежности (reliability element): Численное значение коэффициента, используемое в методе частных коэффициентов, с помощью которого достигается требуемый уровень надежности.
3.2.24 надежность элемента (element reliability): Надежность отдельного элемента конструкции, характеризуемого одним доминирующим состоянием отказа.
3.2.25 надежность системы (system reliability): Надежность элемента конструкции, характеризуемого более чем одним доминирующим состоянием отказа, или надежность системы, состоящей из более чем одного ключевого конструктивного элемента.
3.2.26 модель (model): Упрощенное математическое описание или экспериментальная установка для имитации воздействий, свойств материалов, поведения конструкции и т.п.
Примечание - Как правило, модели должны учитывать решающие факторы и не учитывать менее значимые факторы.
3.2.27 неопределенность модели (model uncertainty): Точность моделей, физическая или статистическая.
Примечание - Более подробная информация приведена в
приложениях D и
E.
3.2.28 статистическая неопределенность (statistical uncertainty): Неопределенность, связанная с погрешностью распределения и оценки параметров.
3.2.29 оценка (assessment): Комплекс мероприятий, выполняемых для оценки надежности сооружения.
3.3 Термины, касающиеся воздействий, эффектов воздействий и влияния окружающей среды
3.3.1 воздействие (action):
1) совокупность сосредоточенных или распределенных механических сил, действующих на сооружение (прямые воздействия);
2) внешние деформации, налагаемые на конструкции (косвенные воздействия).
3.3.2 постоянное воздействие (permanent action):
1) воздействие, которое ожидается действующим непрерывно на протяжении заданного базового периода и для которого изменения во времени являются малыми по сравнению со средним значением;
2) воздействие, изменение которого происходит только в одном направлении и может достигнуть некоторого предельного значения.
3.3.3 временное воздействие (variable action): Воздействие, изменение которого во времени является сопоставимым с его средним значением или является непрерывным.
3.3.4 особое воздействие (accidental action): Воздействие, реализация которого за рассматриваемый базовый период для данной конструкции маловероятна.
Примечание - Особые воздействия, в большинстве случаев, являются непродолжительными.
3.3.5 фиксированное воздействие (fixed action): Воздействие, имеющее такое фиксированное распределение, что если его значение и направление однозначно определены в одной точке конструкции, то они однозначно определяются и для конструкции в целом.
3.3.6 свободное воздействие (free action): Воздействие, которое может иметь произвольное пространственное распределение в заданных пределах.
3.3.7 статическое воздействие (static action): Воздействие, которое не вызывает значительных ускорений сооружения или его конструктивных элементов.
3.3.8 динамическое воздействие (dynamic action): Воздействие, которое вызывает существенные ускорения сооружения или его конструктивных элементов.
3.3.9 ограниченное воздействие (bounded action): Воздействие, имеющее предельное значение, которое не может быть превышено и которое точно или приблизительно известно.
3.3.10 неограниченное воздействие (unbounded action): Воздействие, предельные значения которого неизвестны.
3.3.11 репрезентативное значение воздействия (representative value of an action): Значение, используемое при проверке предельного состояния.
Примечание - В качестве репрезентативных значений обычно используются характеристические значения, значения в сочетаниях, пониженные значения и длительные значения; кроме того, допускается использовать и другие значения.
3.3.12 нормативное (характеристическое) значение воздействия (characteristic value of an action): Основное репрезентативное значение.
Примечание - Выбирают либо на основе статистического анализа таким образом, чтобы вероятность его превышения в неблагоприятную сторону в течение базового периода не была больше установленной или на основе имеющегося опыта или физических ограничений.
3.3.13 значение, используемое в сочетании (combination value): Значение, выбираемое на основе статистического анализа таким образом, чтобы вероятность превышения значения эффекта от сочетания воздействий была бы приблизительно такой же, как при рассмотрении одного воздействия.
3.3.14 пониженное значение (frequent value): Значение, определяемое на основе статистического анализа таким образом, чтобы:
- общее время его превышения в пределах выбранного периода времени составляло бы малую часть этого выбранного периода времени; или
- частота его превышения была ограничена заданным значением.
3.3.15 длительное значение (quasi-permanent value): Значение, определяемое на основе статистического анализа таким образом, чтобы общее время его превышения в пределах выбранного периода времени составляло бы значение порядка половины этого периода.
3.3.16 расчетное значение воздействия
Fd (design value of an action,
Fd): Значение, полученное умножением нормативного значения на частный коэффициент

.
3.3.17 приложение нагрузки (load arrangement): Установление положения, численного значения и направления свободного воздействия.
3.3.18 нагружение (load case): Совместное приложение нагрузок, набора деформаций и несовершенств, рассматриваемых в отдельном расчете.
3.3.19 сочетание нагрузок (load combination): Группа расчетных значений воздействий, используемая при проверке надежности сооружения по предельному состоянию при одновременном воздействии различных нагрузок.
3.3.20 воздействие окружающей среды (environmental influence): Механическое, физическое, химическое или биологическое воздействие, которое может вызвать повреждение материалов в составе сооружения, что, в свою очередь, может неблагоприятно повлиять на его эксплуатационную надежность и безопасность.
3.4 Термины, касающиеся конструктивных характеристик, сопротивления материалов, свойств материалов и геометрических параметров
3.4.1 нормативное (характеристическое) значение свойств материалов (characteristic value of a material property): Установленная априори квантиль статистического распределения свойств материалов, поставляемых изготовителем, в рамках соответствующего стандарта на материалы.
3.4.2 нормативное (характеристическое) значение геометрических параметров (characteristic value of a geometrical quantity): Численные значения, обычно соответствующие размерам, заданным при проектировании.
3.4.3 расчетное значение свойств материалов (design value of a material property): Значение, полученное делением нормативного (характеристического) значения на частный коэффициент

или, в особых случаях, непосредственно назначенное.
3.4.4 расчетное значение геометрических параметров (design value of a geometrical quantity): Нормативное (характеристическое) значение плюс или минус приращение геометрического параметра.
3.4.5 коэффициент преобразования (conversion factor): Коэффициент, преобразующий свойства, полученные при испытаниях образцов, в свойства, соответствующие допущениям для расчетных моделей.
3.4.6 функция преобразования (conversion function): Функция, преобразующая свойства, полученные при испытаниях образцов, в свойства, соответствующие допущениям для расчетных моделей.
Примечание - Ниже перечислены основные используемые обозначения. В списке не приведены символы, которые не являются основными и используются (и разъясняются) только в одном пункте.
4.1 Основные обозначения
A - особое воздействие;
C - ограничение по эксплуатационной пригодности;
F - воздействие;
F0 - базовая переменная воздействия;
Fr - репрезентативное значение воздействия;
G - постоянное воздействие;
Q - временное воздействие;
R - сопротивление;
S - эффект воздействия;
W - переменная, моделирующая воздействия;
X - базовая переменная;
Y - переменная на выходе;
a - геометрический размер;

- приращение геометрического размера;
f - свойство материала;
pf - вероятность отказа;
pfS - установленное значение pf;
t - время;

- индекс надежности;

- частный коэффициент;

- частный коэффициент для воздействий;

- обобщенный частный коэффициент для воздействий, учитывающий неопределенности модели и геометрических размеров;

- частный коэффициент для постоянных воздействий;

- частный коэффициент для временных воздействий;

- частный коэффициент для свойств материалов;

- обобщенный частный коэффициент для учета свойств сопротивления материалов с учетом несовершенств модели и геометрических размеров;

- частный коэффициент, учитывающий неопределенность модели;

- коэффициент, учитывающий ответственность конструкции и последствия отказа;

- параметр, учитывающий несовершенства модели;

- значение эффектов воздействия;

- значение сопротивления;

- функция переменных воздействий;

- коэффициент для определения значений воздействий в их сочетании;

- коэффициент для определения пониженных значений воздействий;

- коэффициент для определения длительных значений воздействий;
g(X, t) - Функция предельного состояния.
4.2 Нижние индексы
i - номер базовой переменной (в основном для воздействий);
j - номер воздействия;
k - нормативное (характеристическое) значение;
d - расчетное значение.
5. Общие положения и требования
Сооружения и их конструктивные элементы должны быть запроектированы, возведены и обслуживаться таким образом, чтобы быть пригодными к эксплуатации в течение расчетного срока службы, в том числе в экономическом отношении. В частности, с надлежащей степенью надежности сооружения и их конструктивные элементы должны удовлетворять следующим требованиям:
- они должны адекватно функционировать под действием всех ожидаемых воздействий (требование предельного состояния по эксплуатационной пригодности);
- они должны выдерживать экстремальные и/или часто повторяющиеся воздействия, возникающие при возведении и эксплуатации (требование предельного состояния по несущей способности);
- они не должны разрушаться вследствие событий, подобных наводнению, оползням, пожару, взрывам, удару, или последствий персональных ошибок до степени, непропорциональной первоначальной причине (требование конструктивной целостности).
Соответствующая степень надежности должна быть установлена с надлежащим учетом возможных последствий отказа и уровня затрат, усилий и сложности процедур, необходимых для понижения риска отказа (см.
5.2).
Меры, принимаемые для достижения соответствующей степени надежности, включают в себя:
- выбор конструктивной системы, надлежащее проектирование и расчет;
- соблюдение стратегии качества;
- проектирование с учетом долговечности и технического обслуживания;
- меры защиты.
Данные меры рассмотрены в
5.3.
5.2. Классификация конструкций по надежности
Выражение "соответствующая степень надежности", использованное в
5.1, означает, что при назначении уровня надежности следует учитывать:
- причину и форму отказа, имея в виду возможность внезапного разрушения конструкции и ее элементов; такая конструкция должна иметь более высокую степень надежности, чем конструкция, разрушению которой предшествует некий сигнал, позволяющий принять меры по ограничению последствий;
- возможные последствия отказа в терминах риска, срока службы, ущерба здоровью, потенциальных экономических потерь и уровня социальных неудобств;
- уровень затрат, усилий и трудоемкость процедур, необходимых для снижения риска отказа;
- социальные и экологические условия в определенных местах.
Классификация по степеням надежности может быть выполнена в соответствии с классификацией сооружения в целом или его конструктивных элементов. Таким образом, например, уровни надежности могут быть приняты в зависимости от последствий отказа следующим образом:
a) низкий риск для жизни - экономические, социальные и экологические последствия малы или ничтожны;
b) средний риск для жизни - значительные экономические, социальные и экологические последствия;
c) высокий риск для жизни - очень большие экономические, социальные и экологические последствия.
Требуемая надежность, связанная с безопасностью конструкции или эксплуатационной пригодностью, может быть достигнута за счет совместного выполнения следующих мероприятий:
a) Мероприятия, связанные с проектированием:
- выполнения требований эксплуатационной пригодности;
- выбор значений переменных воздействия;
- выбор степени надежности для проектных расчетов;
- анализ долговечности;
- анализ степени конструктивной целостности (живучести), см.
5.3;
- количество и качество предварительных исследований грунта и возможных экологических последствий;
- точность используемых механических моделей;
- строгость правил проектирования и контроля.
b) Мероприятия, связанные с проверкой качества для понижения риска опасностей:
- от грубых индивидуальных ошибок;
- при проектировании;
- при выполнении работ.
5.3. Проектирование сооружений
Отказ сооружения или его части может произойти по следующим причинам:
- из-за чрезвычайно неблагоприятного сочетания воздействий, свойств материалов, геометрических размеров, и других факторов, связанных с нормальной эксплуатацией и другими обычными обстоятельствами;
- из-за последствий исключительных, но предсказуемых внешних воздействий или влияния окружающей среды, например столкновений с конструкцией или экстремальных климатических воздействий;
- из-за последствий ошибок, обусловленных нехваткой информации, бездействием, неправильным пониманием и недостатком взаимодействия, небрежностью, неправильной эксплуатацией и т.д.;
- из-за непредвиденных обстоятельств.
Примечание - Термин "исключительный" относится к обстоятельствам и/или воздействиям, которые присутствуют только в течение малой части срока службы и/или маловероятны. В зависимости от типа конструкции эти воздействия могут или не могут быть рассмотрены подробно в проекте.
Ни одно сооружение не может функционировать удовлетворительно при действии исключительных воздействий или при исключительно низком сопротивлении материалов конструкций, но предполагаемый объем разрушений должен быть ограничен таким образом, чтобы он был пропорционален причине, вызвавшей повреждение. Таким образом, должны быть приняты меры, чтобы противостоять подобным событиям. Меры должны включать в себя, главным образом, один или несколько из нижеперечисленных пунктов:
a) проектирование и обслуживание сооружения в соответствии с правилами, приведенными в следующих пунктах для условий нормальной эксплуатации и при других обычных обстоятельствах;
b) расчет ключевых несущих элементов конструкции на установленные исключительные воздействия, которые могут быть вызваны авариями или подобными явлениями.
Примечание - Целью назначения таких расчетных критериев является необходимость учесть эффект большей части непредвиденных событий.
В конструктивной схеме должны быть выявлены "ключевые" элементы, отказ которых приведет к разрушению большей части конструкций, расположенных вблизи рассматриваемого элемента. Если такие конструктивные элементы установлены и они могут быть исключены из конструктивной схемы, то при проектировании необходимо учитывать их значимость.
c) Защита от предсказуемых воздействий и устранение ошибок.
Следует выполнять тщательную проверку и предпринимать соответствующие меры, чтобы гарантировать отсутствие недостатков конструктивной схемы и возможность безопасной передачи всех нагрузок на фундаменты.
Следует предусмотреть меры защиты от ударов транспортных средств, например, путем установки дополнительного предохранительного ограждения и столбиков ограждения.
Вероятность грубых ошибок при проектировании и строительстве может быть снижена путем соответствующей гарантии качества и/или мерами контроля качества, как описано в
5.4.
d) Строительные конструкции должны быть запроектированы таким образом, чтобы локальное повреждение не приводило к немедленному разрушению всего сооружения или значительной его части.
При проектировании с учетом гипотетических локальных повреждений используют следующий подход. Конструкция должна быть разделена на элементы и запроектирована таким образом, чтобы все несущие конструктивные элементы, кроме "ключевых", могли быть удалены, не вызывая разрушения более чем ограниченной части вблизи рассматриваемого элемента. При удалении неключевого конструктивного элемента для оставшейся части сооружения будет считаться приемлемым пониженный уровень надежности по сравнению с нормальным при условии, что сооружение будет восстановлено к нормальному уровню надежности в пределах разумно короткого периода времени после повреждения.
5.4. Соблюдение технических требований
Для достижения достаточной уверенности в том, что строительные объекты удовлетворяют установленным требованиям к качеству и, в частности, основным требованиям
(5.1), сторонами, ответственными за управление всеми циклами проектирования и строительства, должна быть принята и реализована соответствующая стратегия в области качества.
Примечание - Более подробно см.
приложение A и ИСО 9000, ИСО 9001, ИСО 9002, ИСО 9003 и ИСО 9004.
Стратегия в области качества должна включать в себя:
a) определение требований качества;
b) организационные мероприятия и управление на стадии проектирования, строительства, в период эксплуатации и во время проведения технического обслуживания сооружения.
Управление качеством, выбранное для осуществления стратегии по контролю качества, должно включать в себя рассмотрение:
- типа и назначения сооружения;
- последствий дефектов качества (например, аварии из-за отказов конструкции); и
- культуры управления участвующих сторон.
При проектировании строительных объектов надежность - самый важный аспект достижения качества, подлежащий рассмотрению. Стандарты строительного проектирования должны обеспечивать основу для достижения надежности сооружений следующим образом:
- обеспечением требований надежности;
- установлением правил проверки выполнения требований надежности;
- установлением правил строительного проектирования и сопутствующих условий.
Условия, которые следует выполнять, относятся, например, к выбору конструктивной системы, уровню мастерства и режиму технического обслуживания, и обычно подробно излагаются в стандартах по строительному проектированию. Техническими условиями должны также учитываться изменчивость свойств материалов, контроль качества и критерии приемки материалов. Они также включают в себя рассмотрение использования информационных технологий применительно к процессам проектирования и выполнения работ, включая цепочки поставки и испытания материалов.
Примечания
1 Например, в Еврокоде 0 "Основы проектирования сооружений" условия задаются как "допущения".
5.5. Долговечность и техническое обслуживание
Долговечность - необходимое условие для выполнения требований надежности. Долговечность сооружений и элементов конструкций должна быть такой, чтобы они оставались пригодными к эксплуатации в течение всего расчетного срока службы при соответствующем техническом обслуживании. Это также относится к усталости конструкций. Примеры расчетного срока службы сооружений приведены в таблице 1.
Таблица 1
Ориентировочная классификация расчетного срока службы
Класс | Ориентировочный расчетный срок службы (в годах) | Примеры |
1 | От 1 до 5 | Временные сооружения |
2 | 25 | Заменяемые части сооружений, например, пролетные балки, опорные элементы |
3 | 50 | Здания и другие обычные сооружения, кроме перечисленных ниже |
4 | 100 или более | Монументальные здания и другие специальные или ответственные сооружения. Большие мосты |
Техническое обслуживание представляет собой комплекс мероприятий, выполняемых в течение срока службы сооружения, позволяющих удовлетворить требованиям по долговечности. Обслуживание включает в себя выполнение регулярных обследований, специальных обследований (например, после землетрясений), модернизацию систем защиты и ремонт конструкций.
Долговечность должна быть обеспечена:
- программой технического обслуживания или
- проектными решениями, которые предусматривают, что износ не приведет к обрушению конструкции в тех случаях, когда для сооружения невозможно или не предполагается проведение технического обслуживания и ремонта.
В первом случае сооружение должно быть запроектировано и построено или обеспечено защитой таким образом, чтобы никакое существенное повреждение не произошло в период между очередными обследованиями. В проекте необходимо предусматривать, чтобы части сооружения были доступны для осмотра без сложного демонтажа.
Для обеспечения достаточной долговечности конструкции должны быть учтены следующие взаимосвязанные факторы:
- назначение конструкции;
- требуемые функциональные критерии (например, внешний вид);
- ожидаемые внешние условия;
- состав, свойства и эксплуатационные характеристики материалов;
- конструктивная система;
- форма элементов и детальный конструктивный проект;
- качество строительства и уровень управления;
- специальные меры защиты;
- техническое обслуживание в течение расчетного срока службы.
Степень износа может быть оценена на основе теоретических или экспериментальных исследований и опыта.
6. Принципы расчета по предельным состояниям
6.1. Предельные состояния
6.1.1 Общие положения
Для каждого сооружения в целом или его части необходимо в общем случае установить систему предельных состояний, которые отделяют желательные состояния сооружения от нежелательных состояний.
Предельные состояния разделяются на две следующие категории:
a) предельные состояния по несущей способности, которые соответствуют максимальной несущей способности или, в некоторых случаях, максимальным допускаемым напряжениям или деформациям;
b) предельные состояния эксплуатационной пригодности при нормальной эксплуатации.
Результат превышения предельного состояния может быть необратим или обратим. При необратимом результате повреждение или нарушение работоспособности, связанное с превышением предельного состояния, останется, пока сооружение не будет восстановлено. При обратимом превышении повреждение или нарушение работоспособности останется только до тех пор, пока присутствует причина превышения предельного состояния. Как только эта причина прекращает действовать, происходит переход из нежелательного состояния назад к желательному состоянию.
6.1.2 Предельные состояния по несущей способности
Предельные состояния по несущей способности включают в себя:
a) потерю устойчивости сооружения или его части, которое рассматривается как твердое тело (например, при опрокидывании);
b) достижение максимальной несущей способности сечений, элементов или соединений на разрыв (в некоторых случаях поврежденных из-за усталости, коррозии и т.д.) или чрезмерных деформаций;
c) превращение конструкции или ее части в механизм;
d) потеря устойчивости сооружения или его части;
e) внезапный переход принятой конструктивной системы к новой системе (например, прощелкивание).
Превышение предельного состояния по несущей способности почти всегда необратимо, и в первый раз, когда это происходит, возникает отказ.
Примечание - Упрощая, состояние, предшествующее разрушению сооружения, допускается рассматривать как предельное состояние по несущей способности, например, изменение конструктивной системы после аварийного воздействия.
6.1.3 Предельные состояния эксплуатационной пригодности
Предельные состояния эксплуатационной пригодности включают в себя:
a) локальное повреждение (включая образование трещин), сокращающее срок службы сооружения или ухудшающее его эффективность или внешний вид; повторное нагружение может усилить локальное повреждение, например при развитии усталости;
b) недопустимые деформации, ухудшающие эффективное использование, или внешний вид сооружения, или функционирование оборудования;
c) чрезмерные колебания, которые причиняют дискомфорт людям, повреждают элементы конструкции или функционирование оборудования.
В случаях возникновения постоянного локального повреждения или постоянных недопустимых деформаций превышение предельного состояния эксплуатационной пригодности необратимо, и в первый же раз, когда это происходит, возникает отказ.
В других случаях, превышение предельного состояния эксплуатационной пригодности может быть обратимым, и тогда в качестве отказа принимают следующее:
a) однократное превышение предельного состояния эксплуатационной пригодности, если никакое превышение не считается допустимым;
b) если превышение допустимо, но время пребывания сооружения в нежелательном состоянии выше установленного;
c) если превышение допустимо, но число превышений предельного состояния эксплуатационной пригодности больше установленного;
d) если осуществляется комбинация вышеупомянутых критериев или некоторых других подходящих критериев.
Данные случаи могут включать в себя временное локальное повреждение (например, временные широкие трещины), временные большие деформации и колебания.
Расчетные критерии для предельных состояний эксплуатационной пригодности обычно выражаются в терминах пределов для допускаемых деформаций, ускорений, ширины раскрытия трещин и т.д.
Примечание - В общем случае эти пределы следует считать случайными, и они могут быть описаны статистическими методами. Они, однако, обычно вводятся в активные документы нормы с установленными предельными значениями.
6.2.1 Методика проектирования
При проектировании следует учитывать все существенные предельные состояния.
Для каждого конкретного предельного состояния должны быть установлены базовые переменные, то есть переменные, которые характеризуют:
- воздействия и влияния окружающей среды;
- свойства материалов и грунта;
- геометрические параметры.
Модели, описывающие поведение сооружения, следует устанавливать для каждого предельного состояния. Данные модели включают в себя механические модели, описывающие поведение сооружения, а также другие физические или химические модели, описывающие эффекты экологического влияния на свойства материалов.
Если есть расчетные модели, предельное состояние может быть описано с помощью функции g основных переменных X = X1, X2, ..., Xn, так что
g(
X1,
X2, ...,
Xn,
t) = 0. (1)
Уравнение (1) называют уравнением предельного состояния, и
g(
X1,
X2, ...,
Xn,
t) >= 0 (2)
определяет желательное состояние.
В принципе, целью выполнения расчетов (или модельных испытаний) является обеспечение адекватного уровня надежности. Для его проверки вычисления проводятся в соответствии с выбранным расчетным методом. В настоящем стандарте применены два возможных подхода:
Метод частных коэффициентов предназначен для выполнения расчетов в обычных случаях. Вероятностный метод может быть удобен для специальных задач расчета и может быть использован для калибровки частных коэффициентов.
В дополнение к расчетам для стадии "проект" важной частью процесса проектирования является разработка рабочей документации. Поэтому допущения, сделанные в расчетных моделях, необходимо указывать в чертежах, инструкциях и т.д.
6.2.2 Расчетные ситуации
Воздействия, влияния окружающей среды и, в большинстве случаев, свойства сооружения изменяются со временем. Данные изменения, которые происходят в течение всего срока службы сооружения, следует рассматривать, выбирая расчетные ситуации, каждая из которых соответствует некоторому временному интервалу, связанному с опасностями, условиями работы и соответствующими предельными состояниями сооружения. Для каждой расчетной ситуации требуется отдельная проверка надежности с надлежащим рассмотрением различных последствий отказа.
Расчетные ситуации классифицируются как:
- постоянные;
- переходные;
- аварийные.
Постоянные и переходные ситуации рассматриваются как достоверные. Аварийные ситуации по определению возникают с относительно низкой вероятностью в течение расчетного срока службы.
Необходимость рассматривать такие нагрузки, как снеговые, сейсмические и т.д., для переходных или аварийных ситуаций зависит от местных условий.
Расчетная модель для каждого из рассматриваемых предельных состояний должна содержать комплекс базовых переменных, представляющих собой физические параметры, которые соответствуют нагрузкам и воздействиям внешней среды, свойствам материалов и грунтов, а также геометрическим параметрам.
Если важно оценить степень неопределенности базовой переменной, например опытным путем или оценкой точности измерений, то ее следует рассматривать как случайную переменную.
Неопределенности в общем случае состоят из систематической (систематическое отклонение) и случайной частей.
Неопределенности вызываются:
- собственной случайной изменчивостью, которая является непредсказуемой во времени или среди рассматриваемых типичных сооружений и географических регионов;
- недостатком данных и/или неточной информацией.
Случайные переменные следует описывать распределениями вероятности, которые чаще всего являются условными. Во многих случаях эти распределения характеризуются основными параметрами, такими как среднее значение, стандартное отклонение, асимметрия и коэффициент корреляции в случае многомерного распределения. Вероятностная модель должна быть основана на статистическом анализе доступных данных. Важно отделить и опознать различные статистические совокупности, чтобы не использовать ошибочные типы распределений. Данные, по возможности, необходимо исследовать, чтобы устранить погрешности измерения, влияния масштаба и т.д.
Вероятностные модели для базовых переменных могут быть использованы непосредственно в пределах вероятностного метода (см.
раздел 8). В пределах метода частных коэффициентов базовые переменные представляются их расчетными значениями (см.
раздел 9), которые, по возможности, должны быть выведены из вероятностных моделей.
7.2.1 Общие положения
Воздействие является:
- совокупностью сосредоточенных или распределенных механических сил, действующих на конструкцию (прямые воздействия), или
- деформациями, передаваемыми на сооружение, или ограничениями, накладываемыми на деформации (косвенное воздействие). Воздействие рассматривается как единственное воздействие, если можно предполагать, что оно статистически независимо во времени и пространстве от любого другого воздействия на конструкцию.
Примечание - В действительности, воздействия, которые вводятся одновременно, часто являются до определенной степени, статистически зависимыми, например климатические воздействия (ветер, снег, температура). Эта зависимость обычно учитывается специальными условиями.
Воздействие часто характеризуется двумя или более базовыми переменными. Например, значение и направление воздействия оба могут быть базовыми переменными.
Иногда воздействие может вводиться как функция базовых переменных, каждая из которых представляет некоторый основной физический параметр. Такая функция называется моделью воздействия. Например, давление грунта, которое может зависеть от вертикального давления грунта и от угла трения; оба параметра - случайные переменные.
Переменные природных воздействий определяются условиями окружающей среды. Переменные воздействий, обусловленные действием людей, определяются нормальным человеческим поведением, грубыми персональными ошибками и т.д.
7.2.2 Классификация воздействий в зависимости от изменения их значений по времени
Воздействия классифицируются в зависимости от их изменения по времени как:
- постоянные (G);
- временные (Q);
- особые (A).
Постоянными являются воздействия, которые действуют непрерывно в течение заданного исходного (базового) периода и для которых изменения их численных значений во времени малы по сравнению со средним значением или происходят только в одном направлении и могут привести к некоторым предельным значениям.
Временными являются воздействия, численные значения которых значительно и не монотонно изменяются во времени относительно среднего значения.
Особыми являются воздействия, вероятность возникновения больших значений которых для заданного сооружения в течение заданного исходного (базового) периода чрезвычайно мала.
Примечание - В большинстве случаев особые воздействия имеют короткую продолжительность.
Временные и особые воздействия могут быть описаны упорядоченными и/или неупорядоченными функциями пространства и времени. Вероятностные модели для предельных значений переменных и особых воздействий всегда должны быть основаны на заданном исходном (базовом) периоде.
Примечание - Примеры постоянных, временных и особых воздействий приведены в
приложении B.
7.2.3 Классификация воздействий по их положению в пространстве
Воздействия классифицируются по их положению в пространстве как:
- фиксированные;
- свободные.
Воздействия, которые невозможно отнести к одной из вышеперечисленных групп, следует рассматривать как состоящие из фиксированной и свободной частей.
При работе со свободными воздействиями необходимо учитывать положение нагрузки.
Примечание - В определенных случаях, например при учете нагрузок от транспорта, необходимо различать среди свободных нагрузок движущиеся и неподвижные, а также учитывать пределы их изменений. Подобные различия учитываются самой моделью или специальными условиями по применению.
7.2.4 Классификация воздействий по реакции сооружения
Воздействия классифицируются по типу реакции сооружения на него, как:
- статические воздействия, когда не возникает существенного ускорения сооружения или элементов конструкции;
- динамические воздействия, когда возникает существенное ускорение сооружения или элементов конструкции.
Примечание - В большинстве случаев с динамическими воздействиями можно обращаться как со статическими воздействиями, учитывая влияния динамики соответствующим увеличением значения квазистатической компоненты или выбором эквивалентной статической силы. Когда дело обстоит иначе, для оценки реакции сооружения используют соответствующие динамически подобные модели; при этом силы инерции в воздействие не включаются, реакция сооружения определяется расчетом.
7.2.5 Ограниченные и неограниченные воздействия
К ограниченным воздействиям относятся те, которые имеют предельное значение. Оно не может быть превышено и точно или приблизительно известно. Такое предельное значение может быть достигнуто или почти достигнуто с существенной вероятностью при рассматриваемой расчетной ситуации. Другие воздействия называются неограниченными воздействиями.
7.2.6 Другие классификации воздействий
Большинство других классификаций воздействий связано со свойствами материала. Их следует рассматривать в частных случаях (например, по продолжительности воздействия для оценки эффекта ползучести и для подтверждения соответствия по усталости).
7.3. Влияние окружающей среды
Влияния окружающей среды могут иметь механический, физический, химический или биологический характер и могут ухудшать свойства материала сооружения, что, в свою очередь, может неблагоприятно влиять на безопасность и эксплуатационную надежность.
Влияния окружающей среды во многих отношениях подобны воздействиям и могут классифицироваться похожим способом, особенно относительно их изменчивости во времени. Таким образом, влияния окружающей среды могут классифицироваться как постоянные, временные и особые воздействия.
Примечание - Примером постоянного влияния является химическое воздействие хлоридов в морской воде на бетон. Воздействие влажности на древесину представляет собой пример временного влияния.
Свойства материалов сильно зависят от воздействий окружающей среды, и поэтому характеристики этих воздействий должны быть определены для каждого конкретного типа материала. Во многих случаях, включающих в себя химическую и биологическую деградацию, главным фактором является присутствие влаги.
Влияния окружающей среды, по возможности, должны быть описаны численно так же, как это делается для воздействий. Во многих случаях это сделать трудно, и поэтому влияния окружающей среды часто классифицируют по степени агрессивности к конкретному материалу. Часто два или более типа влияний окружающей среды производят совместное воздействие более сильное, чем сумма отдельных влияний. В таких случаях среду следует классифицировать по ее агрессивности в целом.
Примечание - В ряде случаев, однако, влияние окружающей среды может быть описано численными значениями, и модели их воздействия на отдельный материал могут быть установлены. В таких случаях деградация материала во времени может быть оценена численно. Один из примеров - карбонизация защитного слоя бетона для усиления.
Свойства материалов, включая основания, следует описывать измеримыми физическими величинами, и они должны соответствовать свойствам, которые рассматриваются в расчетной модели. Данные свойства могут изменяться во времени, в зависимости от температуры, влажности, истории нагружения и т.п. Они также зависят от определенных условий, имеющих отношение к производству, поставке, и от условий приемки.
В общем случае свойства и их изменения должны быть определены из испытаний на соответствующих образцах. Испытания следует проводить на случайных выборках, репрезентативных для рассматриваемой генеральной совокупности.
С помощью соответственно установленных переводных коэффициентов или функций свойства, полученные посредством испытаний образцов, должны быть преобразованы к свойствам, соответствующим допущениям, сделанным в расчетных моделях. Следует учесть неопределенность переводных коэффициентов. Возможные эффекты преобразования, подлежащие учету - размерные, временные, температурные, влажностью и т.д.
Примечание - Для грунтов, как для образцов, существующих в природе, материалы в большинстве случаев не производятся, они находятся на строительной площадке. Следовательно, значения свойств необходимо определять для каждого проекта отдельно. Детальное исследование, основанное на испытаниях, может дать более точную и полную информацию, чем чисто статистический подход, особенно в том, что касается систематических тенденций или слабых мест в пространственных распределениях. Однако флуктуации в однородных материалах при ограниченной точности испытаний и их физической интерпретаций можно обработать статистическими методами. Для данных материалов рамки исследования являются элементом надежности сооружений, которая часто является трудной для количественной оценки. На стадии проектирования другие материалы еще не были произведены или, по крайней мере, еще не были установлены, соответствующие статистические параметры должны быть выведены из существующей. Поэтому совокупности, которую считают подобной настоящей, и эти параметры должны быть проверены впоследствии в соответствии со стратегией качества. Идентификация достаточно однородных совокупностей (например, эффективное деление производства партиями) и объемы выборок также являются элементами конструктивной надежности.
7.5. Геометрические параметры
Геометрические параметры описывают форму, размеры и общее расположение сооружения, строительных конструкций и сечений. В проекте следует учесть возможную неравномерность геометрических размеров. Значения неравномерностей определяются уровнем производства на заводе-изготовителе и квалификацией рабочих при монтаже на строительной площадке.
Изменчивость большинства геометрических размеров можно считать малой или незначительной по сравнению с изменчивостью воздействий и свойств материалов. Такие геометрические размеры следует принимать как неслучайные (постоянные), что должно быть отражено в проекте.
Если отклонение некоторых геометрических размеров от установленных значений может иметь существенное влияние на работу и несущую способность сооружения, геометрические размеры следует рассматривать или как явно случайные переменные или как неявно случайные в моделях воздействий или свойств конструкций.
Примечание - В качестве проектного допущения следует учесть, что пределы точности могут быть превышены только в редких случаях.
Многие геометрические параметры, даже те, которые рассматриваются как неслучайные, при проверке заменяются идеализированными упрощенными величинами (например, эффективный пролет или эффективная ширина полок балки) для моделирования конструкций или условий окружающей среды.
Случайные эксцентриситеты, уклоны и кривизны, оказывающие влияющие на расчет колонн и стен, являются самыми обычными геометрическими параметрами, которые следует учитывать как базовые переменные. Они обычно устанавливаются в нормах на строительные материалы. Эти несовершенства обычно определяются моделями, в которых учитываются упрощенные допущения относительно "несовершенной формы" и базовыми переменными, определяющими степень несовершенства. При необходимости эти несовершенства могут быть увеличены, чтобы компенсировать неопределенность в таких моделях (и возможно, другие типы несовершенств, такие как неоднородность свойств материалов), и тогда они обозначаются как эквивалентные геометрические несовершенства.
Допуски, установленные на основе расчета или опытным путем, следует проверять натурными измерениями элементов конструкций.
Расчетные модели должны описывать конструкцию и ее работу до достижения рассматриваемого предельного состояния, учитывая соответствующие воздействия и влияния окружающей среды. Модели в общем случае следует рассматривать как упрощения, учитывающие значимые факторы и пренебрегающие менее важными.
Обычно можно различать следующие модели:
- модели воздействий;
- модели сооружений, дающие сведения об эффектах воздействий (внутренние силы, моменты и т.д.);
- модели прочности, дающие сведения о сопротивлениях, соответствующих эффектам воздействий.
Однако в некоторых случаях учитывать эти различия невозможно или неудобно, например, если изучается неустойчивость или потеря равновесия всей системы или если представляет интерес взаимодействие между нагрузками и реакцией сооружения.
Для моделей сооружений необходимо рассматривать следующие виды реакций:
- динамическую по сравнению со статической;
- упругую по сравнению с неупругой;
- геометрически линейную по сравнению с геометрически нелинейной;
- не зависимое от времени поведение по сравнению с зависимым от времени (например, ползучесть).
Для моделей прочности могут быть введены следующие подразделения:
- локальные модели прочности, модели прочности элемента и модели прочности системы;
- мгновенные модели прочности и модели, включающие в себя кумулятивные эффекты (например, усталость, кумулятивные деформации и т.д.).
Выбор подходящей модели для некоторой расчетной ситуации зависит от характеристик нагрузки, свойств материала и геометрии сооружения.
Расчетные модели, как правило, должны базироваться на экспериментальной количественной проверке принятых предположений, определяющих соотношения между воздействием и эффектом воздействия и между эффектом воздействия и прочностью.
8.2.1 Модели воздействия
Полная модель воздействия должна описывать его свойства, такие как величина, положение, направление, продолжительность и т.д. В некоторых случаях необходимо учитывать, что различные свойства воздействия могут быть взаимосвязаны или зависеть от реакции сооружения.
Величина воздействия F в общем виде может описываться выражением

(3)
где

- соответствующая функция;
F0 - базовая переменная воздействия, которая часто изменяется во времени и пространстве (случайно или неслучайно) и в общем случае не зависит от конструкции;

- случайная или неслучайная переменная, которая может зависеть от свойств конструкции и преобразует
F0 к воздействию
F.
Например, переменная F0 определяется:
- для собственного веса - размерами и плотностью массы;
- для снеговой нагрузки - весом снегового покрова;
- для ветровой нагрузки - скоростью ветра на базовой высоте 10 м над уровнем земли.
Переменная

определяется:
- для снеговой нагрузки - коэффициентом, который преобразует вес снегового покрова к снеговой нагрузке на покрытие;
- для ветровой нагрузки - переменной в зависимости от соотношения скорости и давления.
Подробности модели воздействия, которая требуется для расчета, зависят от типа выполняемого расчета. При статическом расчете без учета зависящих от времени или кумулятивных эффектов обычно важны только максимальные и минимальные значения в течение некоторого периода повторяемости. Если необходимо учитывать сочетание нескольких временных воздействий, зависящих от времени, то потребуется более детальное рассмотрение.
Когда важно учесть динамическое поведение, может потребоваться более детальное описание процесса. Динамическая модель воздействия должна описывать изменение воздействия во времени достаточно подробным и точным способом, для того чтобы получить достаточно точные результаты расчетов. Воздействие может быть задано во временной или частотной области, как будет эффективнее. Неопределенности в хронологии воздействия можно представить неслучайной функцией времени, отобрав требуемое число случайных параметров, или как вероятностный процесс. Вероятностные процессы часто бывают кусочно-стационарными.
В некоторых случаях динамические воздействия могут зависеть от свойств материалов и жесткости сооружения, как, например, в случае столкновения. В таких случаях целесообразно установить обстоятельства (массы, начальные скорости) вместо того, чтобы принимать значение воздействия. Однако на основе анализа предельных значений (например, принимая конструкцию жесткой) можно привести эту задачу к определению эквивалентных статических воздействий.
Во многих случаях численные значения параметров воздействия не всегда возможно выбрать заранее таким способом, чтобы конечный результат получился с запасом. Поэтому, если параметры воздействия не могут быть определены с необходимой точностью, может потребоваться выполнение нескольких расчетов с различными предположениями относительно модели воздействия.
Если воздействие вызывает значительную усталость конструкции, то эффект воздействия (местное напряжение) необходимо описать посредством одной из следующих характеристик:
- полная хронология колебаний напряжения, часто в статистических терминах; или
- задание ряда циклов напряжений и соответствующего числа циклов.
Неопределенности, касающиеся значений этих воздействий, нужно рассматривать тем же способом, что и для других видов временных воздействий.
Примечание - Дополнительные подробности о моделях воздействий приведены в
приложении F.
8.2.2 Модели, описывающие геометрические свойства сооружения
Сооружение в общем случае может быть представлено моделью, состоящей из одномерных элементов (балки, колонны, ванты, арки и т.д.), двумерных элементов (плиты, стенки, оболочки и т.д.) и трехмерных элементов.
Геометрические размеры, которые включаются в модель, в общем случае относятся к номинальным значениям, то есть значениям, данным в чертежах, описаниях и т.д. Обычно геометрические размеры действующей конструкции отличаются от их номинальных значений, то есть у конструкции есть геометрические несовершенства. Если работа конструкции чувствительна к таким несовершенствам, то они должны быть включены в модель.
Во многих случаях деформации конструкции вызывают существенные отклонения от номинальных значений геометрических размеров. Если такие деформации важны для работы конструкции, их приходится рассматривать в расчете принципиально тем же самым способом, что и несовершенства. Эффекты таких деформаций обычно обозначаются как геометрически нелинейные, или эффекты второго порядка.
8.2.3 Модели, описывающие свойства материалов и статические реакции
Почти во всех проектных расчетах необходимо принимать некоторые допущения о соотношениях между силами или моментами и деформациями (или скоростями деформации). Эти допущения могут изменяться в зависимости от цели и типа расчета. Самая общая зависимость, принимаемая в расчете, вытекает из упругого поведения при низком уровне воздействий (когда полная реакция сооружения считается упругой), развиваясь в пластическое поведение в определенных частях сооружения при высоком уровне воздействий. В других частях сооружения возникают промежуточные стадии. Такие зависимости могут использоваться в большинстве случаев. Однако при использовании любой теории в условия неупругого или закритического поведения приходится принимать во внимание повторения временных воздействий.
Теория упругости может расцениваться как упрощение более общей теории и может в общем случае использоваться при условии, что силы и моменты ограничены теми значениями, при которых поведение сооружения все еще рассматривается как упругое. Однако теория упругости может также использоваться и в других случаях, если она применяется как консервативное приближение.
Теории, при которых допускается учитывать полное развитие пластических деформаций в определенных зонах конструкции (пластические шарниры в балках, линии разрушения в плитах и т.д.), могут также использоваться при условии, что деформации, при которых возникает пластическое поведение, образуются до наступления предельного состояния по несущей способности. Второе условие состоит в том, что воздействия, влияющие на эти деформации, не должны повторяться часто. Таким образом, при определении пределов несущей способности сооружения теорию пластичности нужно использовать с осторожностью, если эта несущая способность ограничивается:
- хрупким разрушением или
- отказом из-за потери устойчивости.
В случаях, когда модели эффекта воздействия и модели прочности применяются в расчетах отдельно, оба эти вида моделей должны в принципе быть взаимно совместимыми. Однако во многих случаях этот принцип может быть модифицирован или упрощен. Так, например, изгибающий момент (эффект воздействия) в неразрезной балке может быть вычислен в соответствии с теорией упругости, а прочность - согласно теории пластичности. В других случаях, особенно для учета эффектов второго порядка и других нелинейных эффектов, такие расчеты не допускается применять без специальных мер предосторожности.
8.2.4 Модели динамической реакции
В большинстве случаев динамическая реакция сооружения вызывается быстрым изменением значения, положения или направления воздействия. Однако внезапное изменение (уменьшение) жесткости или сопротивления элемента конструкции может также вызвать динамическое поведение. Так, например, перемещение элемента конструкции, упомянутого в
перечислении d) 5.3, может произвести динамические эффекты.
Динамический анализ может выполняться во

и в частотной области. Если нагрузка описывается в статистических терминах, то необходимо также генерировать статистическое описание реакции. На основе такого описания можно вычислить вероятность превышения некоторого предельного состояния в течение заданного периода повторяемости.
Свойства конструкции могут зависеть или не зависеть от времени. В полностью вероятностном анализе эти эффекты следует учитывать.
Модели для динамического анализа включают в себя:
- модель жесткости,
- модель демпфирования и
- модель инерции.
Модель жесткости принципиально такая же, как для статического анализа. Из-за динамических влияний жесткость может увеличиваться, хотя повторения могут также вызвать деградацию материала и уменьшение жесткости. Для нелинейных моделей материалов обычно уровень напряжений зависит от возрастания до предела текучести.
Силы инерции возникают из-за ускорения массы конструкции, массы неконструктивных элементов и дополнительной массы окружающей жидкости, воздуха или грунта. Данные дополнительные вклады масс дают начало взаимодействию конструкции с ее средой. Может потребоваться выполнение динамического анализа с рассмотрением различных вкладов масс.
Демпфирование может быть результатом действия многих различных типов механизмов. Наиболее важные из них:
- демпфирование материалов, например, из-за упругой природы или из-за пластического поведения;
- затухание из-за трения в соединениях;
- затухание из-за влияния неконструктивных элементов;
- геометрическое демпфирование;
- демпфирование в материале грунта;
- аэродинамическое и гидродинамическое демпфирование.
Упомянутые механизмы представляют примеры взаимодействия сооружения с окружающей средой. В особых случаях эти явления затухания могут иметь отрицательный знак, что приводит к потоку энергии из окружающей среды к сооружению. В качестве примеров можно назвать галопирование, флаттер и до некоторой степени реакцию вихревого возбуждения.
Специальным примером из первой выше упомянутой категории служит динамическая реакция при сильных землетрясениях. В этом случае бывает необходимо принять во внимание циклическую деградацию и соответствующее гистерезисное рассеяние энергии.
При практических расчетах не всегда потребуется проведение полного динамического анализа, даже при наличии важных динамических воздействий. Во многих случаях достаточно лишь упрощения. Наиболее общая процедура состоит в вычислении квазистатической реакции и умножении ее на динамический коэффициент, являющийся функцией преобладающей собственной частоты и относительного демпфирования. Для специальных классов зданий возможны дальнейшие упрощения.
8.2.5 Модели усталости
Если сооружение подвержено таким видам воздействий, которые могут вызвать усталость, то необходимо выполнить проверку, что надежность по отношению к усталости достаточна. Модели, которые могут использоваться для вычисления сопротивления усталости, зависят главным образом от типа материалов конструкции. Это означает, что общих правил для таких моделей не существует. Во многих случаях модели могут основываться на известных соотношениях между сопротивлением и числом циклов нагружения, полученных эмпирическим путем, или на механике разрушения. Должное внимание должно быть уделено результатам осмотра и обслуживания.
8.3. Неопределенности модели
Расчетная модель основывается на физическом или эмпирическом соотношении между соответствующими переменными, являющимися в общем случае случайными величинами:
Y = f(X1, X2, ..., Xn), (4)
где Y - значение, предсказанное на основе модели;
f() - функция модели;
Xi - базовые переменные.
Модель f() может быть признана настолько полной и точной, что если значения Xi известны из специального эксперимента (на основе измерений), то результат Y может быть предсказан без ошибки. В большинстве случаев модель будет неполной и неточной. Это может быть результатом отсутствия знаний или преднамеренным упрощением модели для удобства проектировщика. Действительный результат Y эксперимента может быть следующим образом записан

(5)

упоминаются как параметры, которые содержат неопределенности модели и обрабатываются как случайные переменные. Их статистические свойства могут быть получены в большинстве случаев из экспериментов или наблюдений. Для моделей прочности средние значения этих параметров в принципе следует определять таким образом, чтобы расчетная модель в среднем правильно предсказывала результаты испытаний.
Примечание - Для дополнительной информации см.
приложение D.
В большинстве случаев модели, особенно сформулированные для целей расчета, основаны на допущениях (обычно используют как резервные), которые не отражают условий, происходящих в действительности. В таких случаях следует учитывать неопределенности модели в соответствии с принципами, приведенными выше. Примером такого допущения было бы пренебрежение прочностью бетона при растяжении при вычислении сопротивления изгибу железобетонной балки.
Примечание - Оценка прочности снизу не всегда приводит к запасу надежности. Например, проверку разрушения при срезе предпочтительно выполнять при более высокой оценке сопротивления на изгиб обоих концов элемента.
8.4. Расчет на основе экспериментальных моделей
В тех случаях, когда соответствующая расчетная модель отсутствует, часть расчетных процедур может быть выполнена на основе экспериментальных моделей. Постановку и оценку испытаний следует выполнять так, чтобы сооружение в соответствии с проектом имело по крайней мере ту же надежность при всех соответствующих предельных состояниях и условиях нагружения, что и сооружения, проектирование которых выполнялось исключительно на основе расчетных моделей. Условия, которые не удовлетворяются во время испытания (например, длительное наблюдение) должны быть учтены отдельно.
Экспериментальные модели могут быть использованы для вычисления:
- нагрузок на сооружения (например, при испытаниях в аэродинамической трубе);
- реакции сооружения при нагружении или аварийном событии;
- прочности или жесткости сооружения или элемента конструкции.
Примечание - Проверка свойств материалов или другие контрольные испытания не рассматриваются как проектирование на основе экспериментальных моделей.
Перед испытанием нужно, по возможности, установить расчетную модель, включающую в себя соответствующий ряд переменных, и четко обозначить неизвестные коэффициенты или величины, которые следует оценить на основе испытаний. Если это невозможно, то необходимо выполнить ряд предварительных испытаний.
Соответствующие базовые переменные, такие как воздействия, свойства материалов и геометрические параметры, следует предварительно измерить прямо или косвенно для каждого испытания, даже если они не присутствуют явно в расчетной модели. Если значения случайных переменных измеряются, выборка необязательно должна быть репрезентативной; в этих случаях можно, например, выбирать процедуры для достижения значений, находящихся около оцениваемого расчетного значения. Если значения случайных переменных при испытаниях не измеряют, следует удостовериться, что они принадлежат к представительной выборке.
Оценку результатов испытаний следует проводить на основе статистических методов. В принципе, испытания должны привести к распределению вероятностей для выбранных неизвестных величин, включая статистические ошибки. Основываясь на этом распределении, можно вычислить расчетные значения и частные коэффициенты, которые будут задействованы при использовании метода частных коэффициентов.
Если при обработке результатов испытаний получают результаты, несовместимые с опытом, то следует найти и зарегистрировать детальные причины отклонений.
9. Принципы расчета на вероятностной основе
В настоящем разделе принято допущение, что базовые переменные (см.
7.1) рассматриваются как случайные и обрабатываются с помощью вероятностных процедур.
Если конструкция и нагрузки заданы, то такие процедуры позволяют четко оценить вероятностную меру надежности (например, вероятность отказа). В большинстве случаев это значение следует рассматривать только как справочное значение. Однако это значение может быть использовано для последовательных сравнений различных расчетных ситуаций и, следовательно, для калибровок относительно установленного уровня надежности. Уровень надежности может быть дифференцирован согласно потерям от отказа, как указано в
5.2.
Вероятностный расчет означает, что сооружение проектируется так, чтобы, например, вероятность отказа pf не превысила указанную величину pfS за некоторый установленный период времени:
Pf = PfS. (6)
Отказ связан с переходом предельного состояния из области желательных состояний в область нежелательных состояний согласно
разделу 5. В отношении
уравнений (1) и
(2) нежелательное состояние определяется предельной функцией состояния

(7)
где

- базовые переменные, относящиеся к задаче.
Вообще базовые переменные, описывающие временные воздействия и влияния окружающей среды, должны быть описаны с помощью случайных процессов. Во многих случаях, однако, описание базовой переменной, как случайной переменной с функцией распределения вероятности для максимума в пределах данного периода повторяемости может быть вполне достаточным. Другие базовые переменные (такие как материал, подвергаемый действию коррозии) могут зависеть от времени.
Параметры неопределенности модели

согласно
7.3 рассматриваются как случайные переменные, и в принципе с ними обращаются таким же образом, как с базовыми переменными.
Для большинства предельных состояний по несущей способности и для некоторых предельных состояний эксплуатационной пригодности вероятность отказа может быть записана следующим образом:

(8)
Для зависящих от времени переменных следует рассматривать минимальное по времени значение

.
Для некоторых особых предельных состояний по несущей способности и для многих предельных состояний эксплуатационной пригодности первое превышение предельного состояния не означает отказа. В таких случаях отказ происходит согласно
5.1, только если имеют место некоторые дополнительные условия, и критерии отказа должны быть сформулированы для каждого отдельного случая.
Вследствие зависимости от времени pf должен быть отнесен к определенному априорно установленному отрезку времени, принадлежащему принятому периоду повторяемости. Вероятности срока службы допускается использовать в том случае, если определены экономические последствия. Если же при отказе можно ожидать, что люди будут подвергаться опасности, то нужно использовать другие периоды повторяемости.
Вероятность отказа
pf может быть заменена индексом надежности

, который определяется следующим выражением:

(9)
где Ф-1 - инверсия стандартизованного нормального распределения.
Примечание - Уравнение (9) является определением. Ничего не говорится о точности
pf и

. Более детально см.
приложение E.
| | ИС МЕГАНОРМ: примечание. В официальном тексте документа, видимо, допущена опечатка: пункт 9.5 отсутствует. | |
Вероятностный метод может применяться, главным образом, для калибровки метода частных коэффициентов, описанного в
разделе 10. При особых обстоятельствах, описанных в 9.5, вероятностный метод может быть применен непосредственно при расчете установленного уровня надежности.
9.2. Надежность системы в сравнении с надежностью элемента
С вероятностной точки зрения, элемент может рассматриваться как имеющий единственный доминирующий вид отказа. Система может иметь больше, чем один вид отказа и/или состоять из двух или более элементов, каждый из которых имеет единственный вид отказа.
Вероятностный расчет сооружений применяется к поведению, главным образом, элементов и предельным состояниям (эксплуатационной пригодности и отказу по несущей способности). Поведение систем представляет интерес, потому что отказ системы - обычно самое серьезное следствие отказа конструкции. Поэтому представляет интерес оценить вероятность отказа системы после отказа начального элемента. В частности, необходимо определить характеристики системы относительно допуска повреждений или конструктивной целостности при случайных событиях. Требования к надежности элементов должны зависеть от характеристик системы.
Анализ системы должен выполняться для установления:
- избыточности (альтернативных путей передачи нагрузки);
- состояния и сложности конструкции (множественные виды отказа).
Примечание - Анализ надежности системы должен, однако, выполняться с тщательным распознаванием неопределенностей, присущих доступным в настоящее время методам, и поэтому должен применяться с осторожностью.
9.3. Установленные уровни требуемой надежности
Установленные максимально допускаемые вероятности отказа должны зависеть от последствий и природы отказов, экономических потерь, социальных неудобств, затрат и усилий, требуемых для понижения вероятности отказа. Они должны быть калиброваны в сравнении с хорошо изученными случаями, известными из прошлого опыта, для того чтобы иметь достаточную надежность. Следовательно, установленная вероятность отказа должна зависеть от класса надежности (см.
5.2).
Установленные вероятности отказа pfS, которые важны для расчетов предельного состояния по несущей способности и предельного состояния эксплуатационной пригодности, должны отражать тот факт, что критерии для таких предельных состояний не учитывают грубых ошибок. Эти вероятности прямо не связаны с наблюдаемой частотой отказов, которая вызывается, главным образом, грубыми ошибками.
Рассматривая зависящие от времени свойства конструкции, следует учитывать влияние результатов обследований и ремонта на вероятность отказа. Это может привести к согласованию установленных значений, в зависимости от результатов обследований. Установленные вероятности отказа всегда следует рассматривать относительно принятого метода расчета, вероятностных моделей и метода оценки уровня надежности.
Установленные вероятности отказов должны всегда определяться для некоторого периода повторяемости. В зависимости от типа предельного состояния он может быть расчетным сроком службы, периодом в один год или произвольным отрезком времени.
Для обратимых предельных состояний эксплуатационной пригодности могут также устанавливаться требования к частоте наступления предельного состояния (см.
6.1.3).
Примечание - Для дополнительной информации см.
приложение E.
9.4. Вычисление вероятностей отказов
9.4.1 Общие положения
Рассматривается важный частный случай функции отказа
(9.2), где все переменные
X не зависят от времени (см.
9.4.2). В этом случае переменные
X являются случайными переменными, а не случайными процессами.
Когда задача надежности зависит от времени, часто можно преобразовать ее к задаче, инвариантной от времени, в терминах случайных переменных. См.
9.4.3.
9.4.2 Задачи надежности, не зависящие от времени
Если переменные X не зависят от времени, то для расчета pf в общем случае могут быть использованы три типа методов, а именно:
a) аналитические методы, например FORM/SORM (методы расчета надежности первого/второго порядка);
b) имитационное моделирование Монте-Карло и
c) численное интегрирование.
9.4.3 Преобразование задач, зависящих от времени, в задачи, не зависящие от времени
Рассмотрим два класса задач, зависящих от времени и связанных:
- с отказом от перегрузки и
- с кумулятивным отказом.
В случае отказа от перегрузки единственный процесс воздействия может быть замещен случайной переменной со средним значением, равным его ожидаемому предельному значению в течение выбранного периода повторяемости. Если имеется более чем один случайный процесс воздействия, их следует скомбинировать, учитывая масштабы флуктуации всех процессов воздействия.
Примечание 1 - Более подробную информацию см. в
приложении F.
В случае кумулятивных отказов (усталость, коррозия и т.д.) важна полная хронология нагружения вплоть до момента отказа.
Примечание 2 - Отказ может быть комбинированным результатом кумулятивного процесса повреждения и другой нагрузки с относительно большим значением.
9.4.4 Выполнение вероятностного расчета
Вероятностный метод может быть применен непосредственно для выполнения расчетов с уровнями надежности, близкими к установленным значениям.
Такой подход может быть использован в зависимости от стандартизованных:
- неточностей измерений;
- методов надежности.
Вместо того чтобы использовать прямой вероятностный метод, могут быть использованы следующие два упрощенных метода:
a) метод расчетного значения и
b) метод частных коэффициентов.
В обоих случаях методы калибруются таким образом, чтобы для определенного ряда конструктивных схем, воздействий и т.д. расчет получился достаточно близким к расчету, полученному прямым вероятностным методом.
Примечание - Методы расчетного значения и нормативная калибровка описаны в
приложении E. Метод частных коэффициентов рассматривается в разделе 10.
10. Метод частных коэффициентов
10.1. Условия расчета и расчетные значения
| | ИС МЕГАНОРМ: примечание. В официальном тексте документа, видимо, допущена опечатка: пункт 5.2.1 отсутствует. | |
Метод частных коэффициентов разделяет влияние неопределенностей и изменчивостей, возникающих по различным причинам, посредством расчетных значений, назначенных базовым переменным. В соответствии с 5.2.1 условие расчета выражается в терминах расчетных значений, например, следующим образом:

(10)
где Fd - расчетные значения воздействий;
fd - расчетные значения свойств материала;
ad - расчетные значения геометрических величин;

- расчетные значения переменных

, которые оценивают неопределенности модели согласно
уравнению (5);
C - ограничения эксплуатационной пригодности;

- коэффициент, с помощью которого учитывают ответственность сооружения и последствия отказа, включая значение типа отказа. Значение

может зависеть от установленного уровня надежности сооружения или элемента конструкции.
Уравнение (10) нужно принимать исключительно как условное описание принципов. Каждое обозначение в
уравнении (10) может представлять одну переменную или вектор, включающий в себя несколько переменных.
Базовые переменные подразделяются:
- на главные базовые переменные и
- другие базовые переменные.
Главные базовые - переменные, значения которых имеют первостепенное значение для результатов расчета. Они должны устанавливаться в сводах правил, которые распространяются на воздействия и конструкции из конкретных материалов.
Примечание - Для предельного состояния по несущей способности балок из предварительно напряженного бетона, например, расчетные сопротивления бетона и стали являются главными базовыми переменными, но модули упругости не являются главными базовыми переменными. Воздействия обычно являются главными базовыми переменными.
Расчетные значения главных базовых переменных
F,
f,
a и

определяются следующим образом:

(11)

(12)

(13)

или

, (14)
где
Fr - репрезентативные значения воздействий (см.
10.2);
fk - характеристические значения свойств материала (см.
10.3);
ak - характеристические значения геометрических параметров (см.
10.4);

- частные коэффициенты для воздействий;

- частные коэффициенты для материалов;

- приращения геометрических величин;

- частные коэффициенты для несовершенств моделей.
С помощью

учитываются:
- возможность неблагоприятных отклонений значений воздействий от их репрезентативных значений и
- неопределенность модели воздействия.
С помощью

учитываются:
- возможность неблагоприятных отклонений свойств материала от характеристических значений и
- неопределенности в коэффициентах преобразования.
С помощью

учитываются:
- возможность неблагоприятных отклонений геометрических параметров от характеристических (установленных) значений, включая значение вариаций в a, спецификациях на допуски для a и контроль отклонений от a и
- кумулятивный эффект одновременного возникновения нескольких геометрических отклонений.
С помощью

учитываются неопределенности в моделях, насколько они могут быть найдены из измерений или сравнительных расчетов.
Для базовых переменных, кроме главных, частные коэффициенты априорно принимаются равными единице и значения приращений величин принимаются равными нулю, то есть расчетные значения становятся равными характеристическим значениям. В некоторых случаях допускается использовать средние значения.
Частные коэффициенты для воздействий могут включать в себя эффекты неопределенностей в модели результата воздействия. Подобным образом частные коэффициенты для прочности могут включать в себя результат неопределенностей в геометрических параметрах и в моделях прочности. В таких случаях обозначения

и

должны быть заменены на

и

соответственно.
Значения частных коэффициентов зависят от рассматриваемой расчетной ситуации и предельного состояния.
Если расчет по деформациям оказывается решающим, то
уравнение (10) принимается в другой форме, и часть переменных заменяют другими видами переменных, например для сейсмических расчетных ситуаций.
10.2. Репрезентативные значения воздействий
У постоянного воздействия часто имеется единственное нормативное (характеристическое) значение. Когда воздействие относится к собственному весу конструкции, значение Gk следует принимать исходя из установленных значений геометрических величин и средней массы единицы материала. Однако в некоторых случаях может быть предпочтительнее определить два значения - верхнее и нижнее нормативное (характеристическое) значение постоянного воздействия.
У временного воздействия есть следующие репрезентативные значения:
- нормативное (характеристическое) значение Qk;
- комбинационное значение

;
- пониженное значение

;
- длительное значение

.
Нормативное (характеристическое) значение выбирают так, чтобы его можно было рассматривать с установленной вероятностью превышения в неблагоприятную сторону в течение заданного периода повторяемости.
Комбинационные значения выбирают так, чтобы вероятность превышения результата воздействия, вызванного комбинацией, была приблизительно такой же, как при действии одного воздействия.
Пониженное значение определяется так, чтобы:
- полное время в пределах выбранного промежутка времени, в течение которого это значение превышено, было малой заданной частью этого избранного промежутка времени; или
- частота превышения была бы ограничена заданным малым значением.
Примечание - В некоторых случаях может быть два или более различных пониженных значения для одной и той же нагрузки, относящихся к различным расчетным ситуациям.
Длительное значение определяется так, чтобы полное время в пределах выбранного периода времени, в течение которого оно превышается, не было бы больше половины выбранного периода.
Особое воздействие может иметь единственное нормативное (характеристическое) значение Ak.
10.3. Характеристические значения свойств материалов, включая грунт
Свойства материалов определяются для некоторого соответствующего объема материала и представляются их характеристическими значениями. Для произведенного материала нормативное (характеристическое) значение должно в принципе быть представлено как априорно установленный квантиль статистического распределения свойства поставляемого материала, произведенного в рамках соответствующего стандарта на материалы. Для грунтов и существующих сооружений значения следует оценивать по тем же принципам и так, чтобы они были представительным фактическим объемом грунта или фактической части существующего сооружения, которая будет рассмотрена в расчете.
10.4. Нормативные (характеристические) значения геометрических параметров
Для геометрических параметров нормативные (характеристические) значения ak обычно соответствуют размерам, установленным проектировщиком.
10.5. Случаи нагружения и сочетания нагрузок
Случаи нагружения - это специальные пространственные расположения свободных воздействий, которые вводятся в расчеты (вместе с фиксированными воздействиями).
Свободные воздействия должны быть расположены так, чтобы они оказывали наиболее неблагоприятное влияние на сооружение для рассматриваемого предельного состояния.
Сочетание воздействий - это совокупность расчетных значений, используемых для проверки надежности сооружения для предельного состояния при одновременном влиянии различных воздействий.
Основной принцип задания сочетания воздействий следующий:
- одно или несколько воздействий рассматриваются как ведущие и вводятся в комбинацию с максимальными расчетными значениями;
- все другие воздействия вводятся с более вероятными значениями.
Примечание - В
приложении G приведен пример системы для задания сочетания воздействий, основанный на этих принципах, но разработанный более подробно.
Воздействия, которые не могут произойти одновременно (например, по физическим причинам) в сочетание воздействий не вводятся.
10.6. Эффекты воздействий и сопротивления
Во многих случаях базовые переменные и коэффициенты

, которые описывают неопределенности расчетных моделей, могут подразделяться на группы так, чтобы в некоторых группах задавались эффекты воздействий:
а в других группах задавались сопротивления:
В выражении для S свойства материалов f являются главной базовой переменной только в частных случаях, например в расчетах по теории второго порядка. В выражениях для R воздействия F важны только в особых случаях.
Таким образом, расчетные значения Sd и Rd могут быть определены следующим образом:

(15)

(16)
Уравнения (10) и (17) следует расценивать исключительно как условное описание. Каждый из символов
S и
R может представлять несколько эффектов воздействий и сопротивлений соответственно.
Rd >= Sd. (18)
Уравнения (17) и (18) могут быть применены для предельного состояния по несущей способности и предельного состояния по эксплуатационной пригодности. Для предельного состояния по эксплуатационной пригодности, например записанного относительно прогибов, условие расчета часто имеет вид
Sd <= C, (19)
где C - ограничения по эксплуатационной пригодности, например допускаемый прогиб.
10.7. Проверка на усталость
Значения

,

и

должны быть калиброваны прямым сравнением или вероятностными методами, в обоих случаях - в сочетании с экспертным заключением.
11. Оценка существующих конструкций
Оценку действительной надежности существующего сооружения необходимо проводить в том случае, если предпринимаются одно или более из следующих действий:
a) реконструкция существующего сооружения, при которой к существующей несущей системе добавляются новые конструктивные элементы;
b) проверка соответствия для установления возможности существующего сооружения сопротивляться нагрузкам, связанным с ожидаемым изменением в назначении сооружения, изменениями в режиме эксплуатации или продлением его расчетного срока службы;
c) ремонт существующего сооружения, которое ухудшилось из-за зависящих от времени воздействий окружающей среды или получило повреждения от особых воздействий (например, от землетрясения);
d) если надежность сооружения вызывает сомнение (например, при землетрясении).
В некоторых случаях оценки могут выполняться по требованию властей, страховых компаний, владельцев или если это предусмотрено планом технического обслуживания.
При оценке существующего сооружения проектирование и расчет должны быть основаны на общих принципах, описанных в
разделах 1 -
9. Примененные ранее нормы, справедливые в период проектирования сооружения, основанные на других принципах, следует использовать только в качестве справочных документов.
Оценку не требуется выполнять для тех частей существующего сооружения, которые не будут подвергаться конструктивным изменениям, реконструкции, ремонту, изменению назначения или, очевидно, не повреждены, или отсутствуют основания предполагать их недостаточную надежность.
Для соблюдения требований надежности значения базовых переменных необходимо принимать следующим образом:
a) Размеры элементов конструкции: если первоначальная проектная документация доступна и никакого изменения размеров или других явных отклонений не было выявлено, то при расчете следует использовать номинальные размеры согласно первоначальной проектной документации. Эти размеры должны быть подтверждены соответствующим обследованием.
b) Характеристики нагрузок должны быть представлены значениями, соответствующими фактической ситуации. Если в прошлом наблюдалась перегрузка, может быть целесообразно увеличить репрезентативные значения. Если некоторые нагрузки уменьшились или удалены полностью, репрезентативные значения нагрузок можно соответственно уменьшить и/или скорректировать частные коэффициенты.
c) Свойства материалов следует рассматривать в соответствии с реальным состоянием конструкции; если первоначальная проектная документация доступна и серьезные повреждения, ошибки проектирования или основания предполагать конструктивные недоработки отсутствуют, нормативные (характеристические) значения следует использовать в соответствии с первоначальным проектом. При необходимости следует применять разрушающие или неразрушающие методы контроля и оценки с использованием статистических методов.
d) Неопределенности модели следует рассматривать так же, как при проектировании, если предыдущее поведение конструкции (особенно повреждения) не указывают на иное. В некоторых случаях модельные факторы, коэффициенты и другие расчетные предположения могут быть установлены путем измерений на существующем сооружении (например, коэффициент давления ветра, значения эффективной ширины и т.д.).
11.4. Проведение исследований
Проведение исследований предназначено для обновления знания о текущем состоянии сооружения по ряду аспектов. Часто первое впечатление о состоянии сооружения основывается на качественном осмотре. Описание возможного повреждения конструкции будет представляться такими словами, как "ни один, несущественный, умеренный, серьезный, разрушительный, неизвестный". Очень часто решения, основанные на таком наблюдении, принимаются экспертами чисто интуитивно. Лучшее суждение о состоянии сооружения может быть сделано на основе количественных обследований, при которых выявляют сведения, которые характеризуют свойства или состояние элементов конструкции. Все инспекционные осмотры имеют целью получить информацию о вероятности обнаружения некоторого повреждения, если оно существует, и о точности результатов.
Специальным типом исследования является испытание под нагрузкой. На основании таких испытаний можно сделать выводы относительно:
- несущей способности проверяемого элемента под действием тестовой нагрузки;
- других элементов;
- других условий нагружения;
- поведения системы.
Первый вывод относительно легок; функцию плотности вероятности несущей способности просто отрезают в сечении, соответствующем значению испытательной нагрузки. Вывод для других заключений более сложен. Отметим, что число испытаний тестовой нагрузкой не должно ограничиваться единицей. Можно решить испытывать один элемент при разных нагрузках и/или испытывать некоторую выборку элементов. Чтобы избежать ненужного повреждения конструкции из-за испытания тестовой нагрузкой, рекомендуется постепенно увеличивать тестовую нагрузку и одновременно измерять деформации. Данные измерения могут дать лучшее понимание поведения системы. Тестовые нагрузки не могут выявить эффекты продолжительного действия. Эти сведения должны быть компенсированы расчетами.
Учитывая результат исследования, возникает потребность обновить оценки свойств и надежности сооружения. Выделяют два различных способа:
a) обновление многомерного распределения вероятности отдельных переменных; данный метод можно использовать, чтобы вывести обновленные расчетные значения, которые будут использованы при методе частных коэффициентов, и для того чтобы сравнить результаты воздействия непосредственно с предельными значениями (трещины, смещения);
b) формальное обновление вероятности отказа сооружения.
В принципе результат всех наблюдений (качественное обследование, расчеты, количественное обследование, подтверждение нагрузкой) следует обрабатывать одним из этих двух способов.
11.5. Оценка в случае повреждения
При оценке поврежденной конструкции рекомендуется выполнить следующую ступенчатую процедуру.
11.5.1 Визуальный осмотр
Всегда полезно сделать начальный визуальный осмотр сооружения, чтобы получить представление о его состоянии. Крупные дефекты будут разумно очевидными для опытного глаза. В случае очень серьезного повреждения могут быть приняты немедленные меры (например, оставление сооружения).
11.5.2 Объяснение наблюдаемых явлений
Чтобы понять действительное состояние сооружения, необходимо смоделировать повреждение или наблюдаемое поведение, используя модель сооружения и выявленную интенсивность различных нагрузок или физико-химических агентов. Важно иметь доступ к документации по проектированию, расчетам и строительству. Если между расчетами и наблюдениями имеется несоответствие, вероятно стоит искать ошибки проектирования, погрешности в строительстве и т.д.
Для заданной конструкции в ее текущем состоянии и при заданной текущей информации надежность конструкции оценивают либо посредством вероятности отказа, либо посредством частных коэффициентов. Отметим, что модель существующего сооружения может отличаться от первоначальной модели. Если надежность достаточна (то есть лучше, чем обычно принимают в расчетах), можно этим удовлетвориться и никаких дальнейших действий не предпринимать.
11.5.4 Дополнительная информация
Если надежность согласно
11.5.3 недостаточна, можно привлечь дополнительную информацию, используя более совершенные модели сооружения, проведя дополнительные обследования и измерения или выполнив оценку действующей нагрузки. Усовершенствованные методы того, как использовать данную информацию, обсуждаются в
11.4.
11.5.5 Окончательное решение
Если уровень надежности все еще слишком низок, можно принять следующие решения:
a) принять текущую ситуацию, учитывая экономические критерии;
b) уменьшить нагрузки на сооружение;
c) провести ремонт здания;
d) начать демонтаж сооружения.
Примечание - Решение a) может быть мотивировано тем фактом, что затраты на обеспечение дополнительной надежности для существующего сооружения намного выше, чем для проектируемого сооружения. Это оправдывает выбор, подразумевающий, что для проектируемого сооружения требуется более высокая надежность. Однако если дело касается безопасности людей, должны быть установлены пределы экономической оптимизации.
Фактически низкие допускаемые уровни могут быть установлены путем понижения установленного значения

для вероятностного расчета и пониженных значений

при расчете методом частных коэффициентов.
(справочное)
УПРАВЛЕНИЕ КАЧЕСТВОМ И ГАРАНТИЯ КАЧЕСТВА
A.1 Цели
Целью настоящего приложения является предусмотреть общие правила для осуществления системы управления качеством строительных работ, и в особенности для применения серии стандартов ИСО 9000.
В общем случае при строительных работах необходимо:
a) удовлетворять определенным потребностям, задачам или целям;
b) удовлетворять ожиданиям заказчика;
c) соблюдать применяемые стандарты и спецификации и
d) соблюдать установленные законом (и другие) требования.
A.2 Определения
A.2.1 заказчик (customer): Приемщик строительных работ в контрактной ситуации.
A.2.2 качество (quality): Весь объем характеристик объекта (например, строительные работы), которые опираются на его способность удовлетворять заявленным и подразумеваемым потребностям (то есть всем видам явных или неявных требований).
A.2.3 требования качества (requirements for quality): Выражение потребностей или их перевод в ряд количественно или качественно заявленных требований к характеристикам объекта для обеспечения его реализации и экспертизы.
A.2.4 соответствие (conformity): Выполнение установленных требований.
A.2.5 политика качества (quality policy): Общие цели и направление деятельности организации (то есть подрядчик, заказчик) относительно качества, что формально выражается высшим руководством.
A.2.6 управление качеством (quality management): Все действия функции управления, которые определяют политику качества, цели и обязанности и осуществляют их в пределах системы качества.
A.2.7 цикл качества (quality cycle): Концептуальная модель взаимосвязанных действий, которые влияют на качество на различных этапах: от установления потребностей до оценки того, были ли эти потребности удовлетворены.
A.2.8 контроль качества (quality control): Оперативные методы и действия, применяемые для выполнения требований качества.
A.2.9 гарантия качества (quality assurance): Все планируемые и систематические действия, необходимые для обеспечения того, что объект будет удовлетворять требованиям качества.
A.2.10 план качества (quality plan): Документ, в котором устанавливаются специальный порядок, ресурсы и последовательность действий, относящихся к конкретному продукту, проекту или контракту.
A.2.11 процесс (process): Ряд взаимосвязанных ресурсов и действий, которые преобразуют начало в результат.
A.2.12 процедура (procedure): Установленный способ выполнения действия.
A.3 Управление качеством
Управление качеством проекта подразумевает, что должны предприниматься следующие действия:
a) Установка различных аспектов надежности и качества (например, безопасность сооружения, пригодность к эксплуатации, комфорт, долговечность, эстетика, стоимость и т.д.).
b) Преобразование данных объектов в систему требований качества (например, функциональные характеристики, термические характеристики, безопасность сооружения, эксплуатационная пригодность и критерии надежности, расчетный срок службы, стоимость и т.д.).
c) Устанавливают основные виды деятельности по обеспечению качества (например, предварительные исследования, концептуальный выбор вариантов, расчетные ситуации, характеристики воздействий, характеристики материалов, уровень квалификации, пределы использования, принципы технического обслуживания). Устанавливают различные действия при выполнении цикла строительных работ, которые влияют на качество. Данные действия могут интерпретироваться как цикл качества для строительных работ (см.
таблицу A.1).
d) Перечисленными действиями управляет менеджмент организаций-исполнителей. Таблицу A.1 можно рассматривать как основу для подготовки плана качества.
Таблица A.1
Управление качеством в цикле
качества при строительных работах
Стадии жизненного цикла | Действия |
Концепция | - Установление соответствующих уровней выполнения строительных работ и их состава. - Задание на проектирование. - Задание на поставки. - Предварительные технические требования на выполнение работ и техническое обслуживание. - Промежуточный выбор участников, имеющих соответствующую квалификацию персонала и организации |
Проектирование | - Задание эксплуатационных показателей для материалов, их компонентов и монтажа. - Подтверждение приемлемости и осуществимости выполнения работ. - Задание на проведение испытаний (на модели, на месте и т.д.). - Спецификация материалов |
Подача заявки | - Рассмотрение проектной документации, включая техническое задание. - Прием требований (подрядчик). - Прием предложения (заказчик) |
Выполнение работ | - Управление процедурами и процессами. - Осуществление выборки и тестирование. - Исправление недостатков. - Сертификация работ на соответствие проведенным испытаниям, указанным в проектной документации |
Завершение строительных работ и передача пользователю | - Ввод в эксплуатацию. - Проверка выполнения работ для законченного здания (например, тестирование эксплуатационными нагрузками) |
Эксплуатация и техническое обслуживание | - Проведение мониторинга. - Обследование на предмет износа или образования трещин. - Изучение проблем. - Сертификация работы |
Восстановление или разрушение | 1 Восстановление необязательно. 2 Разрушения не входят в область применения настоящего стандарта |
Для того чтобы удостовериться в том, что проект отвечает установленным требованиям качества, необходимо предпринять следующие дополнительные меры:
- в плане качества (см.
таблицу A.1) следует рассмотреть основные факторы, возникающие при соблюдении установленных требований качества;
- следует составить документы, связанные с управлением параметрами контроля качества, и хранить в течение всего срока службы объекта.
A.5 Контроль качества
A.5.1 Общие положения
Контроль качества включает в себя:
- сбор информации;
- суждение, основанное на этой информации;
- решение, основанное на суждении.
A.5.2 Процедура контроля
Описывая процедуры контроля на этапах изготовления и строительства, можно различать:
- производственный контроль, являющийся контролем за процессом производства, целью которого является направлять этот процесс и гарантировать приемлемый результат;
- контроль соответствия, являющийся контролем результатов технологического процесса; цель этого контроля гарантировать, что результат технологического процесса соответствует заданной спецификации.
A.5.3 Критерии контроля и правила приемки
Контроль может быть полным или статистическим. Если контроль полный, инспектируется каждая произведенная единица. Правила приемки подразумевают, что единица оценивается как являющаяся годной (принятой) или негодной (непринятой). Как правило критерии, если они являются количественными, ссылаются на заданные допуски.
Процедура статистического контроля в общем случае состоит из следующих частей:
- разборка изделий по партиям;
- осуществление выборки в пределах каждой партии;
- тестирование выборок;
- статистическое заключение о результатах;
- решение относительно приемки.
Партия должна быть такова, чтобы ее можно было считать однородной по свойствам, являющимся предметом контроля. Суждение о результатах следует, как правило, делать относительно заданного доверительного уровня и/или заданного доверительного интервала, или с применением методов Байеса.
A.5.4 Процесс контроля
В зависимости от человека или организации, осуществляющей контроль, можно выделить следующие стадии контроля:
- самоосвидетельствование;
- внутренний контроль;
- приемочный контроль, выполняемый руководителем проекта.
Часто существует дополнительный контроль, инициируемый и выполняемый органом государственной власти и основанный на строительном законодательстве и/или правилах.
Внутренний контроль выполняется в том же самом офисе, фабрике или цехе, где выполняется работа, являющаяся предметом контроля. Однако работа и ее контроль выполняются разными подразделениями.
Если процесс контроля состоит из нескольких стадий, для окончательного результата важно, чтобы действия этих стадий были, по возможности, взаимно независимы в статистическом смысле. В противном случае эффективность контроля падает.
Во многих случаях необходимо создавать план контроля, который является частью плана качества согласно
A.4.
(справочное)
ПРИМЕРЫ ПОСТОЯННЫХ, ВРЕМЕННЫХ И ОСОБЫХ ВОЗДЕЙСТВИЙ
Примечание - Следующие примеры включают в себя наиболее распространенные виды воздействий. В некоторых случаях могут быть другие виды; такие воздействия должны быть классифицированы согласно основным определениям.
B.1 Постоянные воздействия
К постоянным воздействиям относятся следующие:
a) вес самой конструкции (кроме, возможно, веса некоторых частей при некоторых фазах строительства);
b) вес надстроек, включая постоянную опалубку или крепления;
c) воздействия от давления грунта, определяемые весом грунта в своих окончательных значениях;
d) деформации, налагаемые режимом строительства сооружения в их окончательных значениях;
e) воздействия, определяемые усадкой бетона и в сварных соединениях;
f) силы, обусловленные давлением воды, при необходимости;
g) воздействия, обусловленные осадкой опор и оседанием породы;
h) усилия предварительного напряжения.
B.2 Временные воздействия
К временным воздействиям относятся следующие:
a) нагрузки при эксплуатации и заполнении, приложенные нагрузки;
b) некоторые части собственного веса конструкций на некоторых этапах строительства;
c) монтажные нагрузки;
d) все подвижные нагрузки и их эффекты;
e) воздействия ветра;
f) снеговые нагрузки;
g) нагрузки от обледенения;
h) воздействие
<1> землетрясения;
i) эффекты переменного уровня поверхности воды, при необходимости;
j) изменения температуры;
k) волновые нагрузки.
B.3 Особые воздействия
К особым воздействиям относятся следующие:
a) столкновения;
b) взрывы;
c) осадка грунта;
d) торнадо в областях, обычно не подверженных его действию;
e) воздействия
<1> при землетрясениях;
f) пожар;
g) предельная эрозия.
--------------------------------
<1> Землетрясения можно рассматривать или как временные воздействия при указанных условиях, или как особые.
(справочное)
C.1 Введение
В конструкциях, загруженных флуктуирующими воздействиями, усталостные разрушения могут произойти при уровнях нагрузок, которые значительно ниже, чем уровни нагрузок, при которых обычно может ожидаться отказ. Если такое усталостное разрушение происходит из-за явлений роста трещины, весь механизм разрушения состоит из трех фаз:
a) фаза зарождения, в которой образуются трещины;
b) фаза роста трещины, в которой имеет место устойчивый рост трещины во время каждого цикла нагружения;
c) фаза отказа, в которой происходит неустойчивый рост трещины, сопровождаемый хрупким изломом или пластичным разрывом, или в которой уменьшенное сечение разрушается из-за общей текучести.
Если во время фазы роста трещины образуются большие переменные пластические зоны, отказ происходит после относительно небольшого числа циклов, и механизм называют пластической усталостью. Если пластические зоны малы, то механизм называют многоцикловой усталостью.
При анализе можно выделить два основных метода:
- подход посредством линии S - N и
- подход механики разрушения.
Более детально оба метода описаны ниже. Рассматриваемые методы были разработаны для металлоконструкций, но их принципы могут также быть применены для конструкций из других материалов.
C.2 Линии S - N
Подход посредством линий S - N сочетает все три фазы механизма усталости и основан исключительно на проведении экспериментов. Ряд образцов подвергают испытаниям циклами напряжений с постоянной амплитудой до отказа. Составляют график зависимости напряжения S от числа циклов до отказа N и получают линию S - N. Линия S - N может зависеть или не зависеть от среднего уровня напряжений. Чтобы получить реалистическую переменную амплитуду циклов в конструкции, применяют правило накопления повреждений. Наиболее широко используется линейное правило накопления повреждения Пальмгрена-Майнера. Согласно этому правилу отказ происходит в том случае, если:

(C.1)
где ni - число циклов приложения нагрузки с уровнем амплитуды напряжений Sj,
Nj - число циклов нагружения при отказе для уровня амплитуды напряжений Sj,
Dc - критическое значение коэффициента повреждений.
Предполагается, что амплитуда напряжений S включает в себя эффекты концентрации местного напряжения (например, в начале и конце сварного шва).
Чтобы установить число циклов напряжений N для каждого уровня амплитуды напряжения S, необходимы специальные расчетные процедуры (например, процедура "падающего дождя"). Правило повреждения Пальмгрена-Майнера не учитывает последовательность циклов с разной амплитудой. В идеальном случае критическая величина Dc приравнивается к 1,0, но в общем случае это зависит от истории нагружения, окружающей среды и типа материала.
C.3 Механика разрушения
В подходе механики разрушения используют отдельные модели для трех различных стадий.
a) Стадия зарождения трещины, которая часто моделируется методом локальных деформаций; ее используют, главным образом, для малых тонких пластинчатых конструкций; во многих других случаях этой стадией часто можно пренебречь.
b) Стадия распространения трещины во многих случаях задается моделью роста трещины, где размер трещины
at за время
t является функцией начального размера трещины
a0, предыстории локального номинального напряжения

и сопротивления усталости
Rf, которое зависит от локальных свойств материала и геометрии:

(C.2)
В большинстве моделей роста трещины предыстория напряжений

преобразуется в последовательность циклов. Помимо длины трещины бывает необходимо учитывать глубину и ширину трещины.
c) Стадия отказа часто моделируется с использованием понятия критического размера трещины. Каждый уровень напряжения

может быть связан с критическим размером трещины
acrit,t таким образом, что с учетом всех возможных видов отказа напряжение, равное

, привело бы к отказу при
at >
acrit,t. Функция предельного состояния при усталостном разрушении может быть в этом случае сформулирована следующим образом:
g(
x) = min(
acrit,t -
at) (0 <
t <
T) (C.3a)
или консервативно:
g(
x) = min(
acrit,t) - max(
at) (0 <
t <
T). (C.3b)
Минимум (максимум) должен быть принят для общего расчетного срока службы T.
C.4 Процедура проверки при расчетах с частными коэффициентами
Метод надежности зависит от типа анализа.
Если метод накопления повреждений сочетается с линиями S - N, то правило проверки может быть представлено следующим образом:

(C.4)
| | ИС МЕГАНОРМ: примечание. Формула дана в соответствии с официальным текстом документа. | |

(C.5)
где ni и Si - являются лучшими оценками предыстории нагружения;
Rfk - нормативное (характеристическое) значение сопротивления усталости;

- частный коэффициент, учитывающий неопределенности в уровне нагружения и модели нагружения;

- частный коэффициент, учитывающий неопределенности в модели материала;

- частный коэффициент, учитывающий неопределенности в способе накопления повреждений, расчетном сроке службы и последствиях отказа.
В подходе механики разрушения правило проверки может быть представлено следующим образом, принимая упрощенный метод согласно
уравнению (C.3b):

(C.6)
где Sk - нагрузочный эффект при нормативном (характеристическом) значении нагрузки или цикла нагружения;
Rk - соответствующее нормативное (характеристическое) значение прочности (вязкость разрушения, предел текучести) для соответствующей температуры;
a0k - нормативный (характеристический) начальный размер трещины;

- наилучшая оценка предыстории нагружения;
Rfk - нормативные (характеристические) значения свойств материала, определяющих рост трещины;

- частные коэффициенты;
T - расчетный срок службы.
Уровень частных коэффициентов должен зависеть:
- от неопределенностей и чувствительностей случайных переменных;
- допустимых пределов при повреждении конструкции, которые отражают способность конструкции с трещиной обнаружить альтернативные пути передачи нагрузки;
- интервалов осмотра и вероятности обнаружения трещины;
- пригодности к ремонту.
(справочное)
РАСЧЕТ НА ОСНОВЕ ЭКСПЕРИМЕНТАЛЬНЫХ МОДЕЛЕЙ
D.1 Область применения
Расчет на основе экспериментальных моделей (или, кратко, расчет по испытаниям) является методом для обоснования расчетных значений свойств прочности для определенных элементов конструкции и материалов. Метод, описанный в настоящем приложении, в большой степени основан на статистической оценке результатов испытаний в соответствии с понятием вероятностного расчета и расчета методом частных коэффициентов.
Область применения включает в себя:
- случаи, которые не могут трактоваться в нормативных документах из-за недостатка адекватных теоретических моделей или данных;
- случаи, являющиеся настолько специфическими, что применяемые обычно данные для расчетов не отражают должным образом фактических обстоятельств (например, из-за особенностей метода производства);
- случаи, когда представляется, что существующие расчетные формулы приводят к весьма консервативным результатам, а непосредственная проверка по предельным состояниям ожидаемо даст более экономичное решение;
- вывод новых расчетных формул.
Настоящее приложение не касается методов неразрушающего контроля, контроля качества отдельных материалов (например, грунта). Могут быть уместны некоторые дальнейшие разработки и/или ограничения.
D.2 Общие положения
Для выработки правильного порядка проведения испытаний экспериментам должен предшествовать качественный предварительный анализ с выявлением зон, критически важных для работы рассматриваемого элемента. Кроме того, должно быть однозначно определено предельное состояние для данного случая.
Испытуемые образцы предпочтительно изготовляют тех же размеров и по той же технологии, что и те, что производят и применяют при строительстве на основе испытаний, и в подходящих ситуациях случайным образом отбираются для испытаний.
Методика испытаний не должна ограничиваться записями исключительно окончательных значений. Необходимо обратить внимание также на явления, которые происходят при превышении рассматриваемого предельного состояния и на сопутствующие обстоятельства, а также на сам механизм этого предельного состояния и на граничные условия (например, в какой степени они отличаются от ожидаемых в реальной конструкции, на условия нагружения и т.д.).
Обстоятельства, которые наступают при превышении рассматриваемого предельного состояния, особенно вид отказа, который был решающим, не всегда могут быть очевидны. Разработка программы испытания и оценка полученных результатов требуют соответствующих теоретических знаний, опыта проведения испытаний и принятия технических решений.
При использовании методов для получения расчетных значений по результатам испытаний следует учитывать тот факт, что число испытаний обычно ограничено. Оценка может быть сделана на основе предварительной теоретической модели (см.
D.6) или, при отсутствии такой модели, прямой оценкой (см.
D.5). В дополнение к этим статистическим соображениям нужно отметить, что общие теории поведения конструкции и набор общепринятых норм проектирования при расчете по данным испытаний остаются применимыми.
Выводы специального исследования относятся к свойствам и/или производственным технологиям в области, на которую распространялось исследование. Распространение полученных выводов и результатов испытаний на другие классы элементов требует проведения новых испытаний или должно быть основано на теоретическом анализе.
D.3 Учет различий между действительными условиями и условиями испытаний
Условия при проведении испытаний могут отличаться от условий для будущей конструкции в реальной окружающей среде. Такие различия следует учитывать с помощью должным образом подобранных коэффициентов преобразования или поправочных коэффициентов.
Поправочный коэффициент

должен быть установлен экспериментально или теоретически на основе общей теории сооружений и/или опытным путем. При этом обычно неизбежна некоторая степень произвольности.
С помощью коэффициента

могут учитываться следующие влияния:
- размерные эффекты;
-

эффекты (обычно испытания выполняются при кратковременной нагрузке, тогда как несущая способность и прогибы многих материалов зависят от длительных воздействий);
- граничные условия испытуемых образцов (свободные или фиксированные и т.д.);
- условия влажности, влияющие на свойства материала.
Качество изготовления, например в лабораторных условиях вместо производственных, может значительно влиять на конструктивные свойства (например, соединений в сборных конструкциях). Если эти эффекты представляются существенными, то следует внести коррективы или использовать образцы, полученные на действующем производстве.
D.4 Планирование
Прежде чем провести испытания, проектировщик или организация, которая проводит испытания, должны составить план их проведения. План должен учитывать цель проведения испытаний и содержать перечень технических условий, необходимых для отбора или изготовления испытательных образцов, выполнения испытаний и оценки их результатов. В частности, план проведения испытаний должен содержать следующие пункты:
a) Объем информации, которая должна быть получена из испытаний (например, требуемые параметры и область применения).
b) Описание всех свойств и условий, которые могут повлиять на поведение образца в рассматриваемом предельном состоянии (например, геометрические параметры и их допуски, свойства материалов, параметры, зависящие от условий изготовления и монтажа, масштабные эффекты, условия окружающей среды).
c) Формы отказов и/или аналитические модели с соответствующими переменными.
d) Измерения соответствующих свойств каждого отдельного тестового образца, выполняемые до проведения испытаний. Примерами этих важных базовых переменных являются влияния окружающей среды, свойства материала и геометрические величины.
e) Перечень свойств образцов (например, описание размеров, материалов и изготовления прототипов, процедур отбора, ограничений).
f) Число образцов и процедуры отбора.
Примечание 1 - Если доступна аналитическая модель и значения всех случайных переменных могут быть измерены, процедура отбора не важна. Во всех других случаях следует гарантировать, что испытательные образцы отбираются из представительной выборки. Возможно, необходимо составление совокупности от различных изготовителей (например, с помощью весовых множителей).
Примечание 2 - Если объемы выборки малы и/или если форма отказа может меняться как функция базовых переменных, то рекомендуется выборка, строго отвечающая проекту. В общем случае это настоятельно рекомендуется для случаев геометрических несовершенств. Для параметров прочности данный подход следует применять осторожно. Например, может быть различие между неполной выборкой бетона сорта 30 и средней выборкой бетона сорта 20, даже если у бетона обеих выборок кубиковая прочность одна и та же.
| | ИС МЕГАНОРМ: примечание. Обозначение пунктов дано в соответствии с официальным текстом документа. | |
d) Детальное описание нагружения и условий окружающей среды при испытании (например, точек приложения нагрузки, путей нагружения во времени и пространстве, температуры, нагружения деформацией или контролируемым усилием). Последовательность и способ нагружения следует выбирать таким образом, чтобы соответствовать ожидаемому диапазону для элемента конструкции, отражать наиболее неблагоприятные возможные пути и/или учитывать теоретически рассмотренные сопоставимые случаи.
Примечание 3 - Если свойства конструкции обусловлены одним или несколькими воздействиями, которые систематически не изменяются, то их эффекты должны определяться их расчетными значениями. Если они независимы от других параметров и путей нагружения, то могут быть приняты расчетные значения, связанные с оценкой значений сочетаний нагрузок.
h) Подготовку к испытаниям (включая меры, гарантирующие достаточную прочность и жесткость нагрузочных и опорных приспособлений и зазора для отклонений и т.д.).
i) Наблюдательные посты и методы наблюдения и записи (например, развитие во времени перемещений, скоростей, ускорений, деформаций, сил и давлений, требуемые частоты, точность измерений и измерительных приборов).
D.5 Прямая оценка результатов испытаний
D.5.1 Общие положения
В настоящем разделе предполагается, что сопротивление элемента конструкции или прочность материала определяются непосредственно при проведении испытаний. Далее предполагается, что прочность образца может быть представлена одним числом, а механизм рассматриваемого отказа является критическим при всех испытаниях.
Если результаты используются в сочетании с вероятностным методом расчета, то экспериментальные данные могут быть использованы для обновления принятого ранее распределения статистических параметров прочности. Указания приведены в
D.5.4.
Если используется метод частных коэффициентов, то допускается применять или классический метод по
D.5.2 или метод Байеса по
D.5.3. На практике применяются оба метода, а иногда - их сочетание. В большинстве случаев численные значения не будут отличаться значительно. Рекомендуется провести проверку с применением обоих методов и сравнить результаты. Если результаты близки, выбор метода не имеет значения, если нет, - то нужно иметь очень веские доводы в пользу того, чтобы не выбрать самый неблагоприятный результат.
D.5.2 Расчет методом частных коэффициентов: классический подход
В данном методе расчетное сопротивление Rd вычисляют по формуле

(D.1)
где Rk,est - оценка более низкого нормативного (характеристического) значения Rk прочности, определенного статистически по испытаниям;

- частный коэффициент по материалу;

- среднее значение коэффициента преобразования или поправочного коэффициента;

- коэффициент неопределенности модели.
Частный коэффициент

должен быть установлен согласно значениям, обычно используемым для рассматриваемого материала и формы отказа. Решение о том, есть ли достаточное согласие между тестовыми образцами и допустимой областью для избранного частного коэффициента, является предметом инженерного суждения. В тех случаях, когда несоответствие между испытаниями и стандартными расчетными ситуациями оказывается слишком большим для выбора частных коэффициентов с достаточной уверенностью, следует использовать метод, описанный в
D.5.3.
Коэффициент неопределенности

модели предназначен для компенсации случайностей выбора значений

ввиду неизвестных различий между условиями испытаний и фактическими условиями. Значение

следует определять, прежде всего, с учетом задач проведения испытаний, требований метода предельных состояний, формы отказа, информации о производстве и условиях на строительной площадке. Первичное значение

может быть исправлено расчетчиком согласно его суждению о производстве и условиях на строительной площадке. В общем случае

.
Пониженное нормативное (характеристическое) значение Rk,est оценивают из результатов испытаний с учетом доверительного уровня не менее 0,75. При отсутствии иной информации предполагают, что нормативное (характеристическое) значение является квантилем 0,05 нормального распределения. Нормативное (характеристическое) значение оценивают следующим образом:
Rk,est = mR -
kSSR, (D.2)
где mR - значение выборочного среднего;
SR - значение выборочного стандартного отклонения;
kS - коэффициент, зависящий от объема выборки.
Значения
kS зависят от числа испытаний
n и избранного доверительного уровня. В
таблице D.1 приведены значения
kS для квантилей 0,01; 0,05 и 0,10 и доверительного уровня 0,75. Значения, заданные в
таблице D.1, основаны на нецентральном
t-распределении <1>.
--------------------------------
<1> Дополнительная информация может быть найдена в ИСО 12491:1997.
Таблица D.1
Значения
kS;

не известны (доверительный уровень = 0,75)
Вероятность P | Число испытаний n |
3 | 4 | 6 | 8 | 10 | 20 | 30 | 100 | |
0,10 | 2,50 | 2,13 | 1,86 | 1,74 | 1,67 | 1,53 | 1,47 | 1,38 | 1,28 |
0,05 | 3,15 | 2,68 | 2,34 | 2,19 | 2,10 | 1,93 | 1,87 | 1,76 | 1,64 |
0,01 | 4,40 | 3,73 | 3,24 | 3,03 | 2,93 | 2,70 | 2,61 | 2,46 | 2,33 |
Стандартное отклонение
SR в
уравнении (D.2) устанавливают по результатам испытаний. В некоторых случаях стандартное отклонение может рассматриваться как заранее известное. В этом случае

(D.3)
где mR - среднее значение выборки;

- стандартное отклонение распределения;

- коэффициент, зависящий от объема выборки.
Примечания
1 В вышеупомянутой процедуре используют нормальное распределение. Это предположение может быть расценено как относительно заниженное. В действительности, можно также рассмотреть такие распределения, как логарифмически нормальное или Вейбулла. При использовании данных распределений можно получить более экономичные расчетные значения, однако следует подчеркнуть, что такой выбор должен быть подтвержден многими испытаниями. При расчетах по этим испытаниям особое внимание следует уделять форме распределения в целом (особенно его асимметрии) и его низшей хвостовой части, в частности.
2 При вышеуказанном подходе статистическую неопределенность рассматривают только при оценке нормативного (характеристического) значения; при переходе от нормативного значения к расчетному значению статистическую неопределенность не учитывают. В некоторых случаях это может быть слишком оптимистичным.
Таблица D.2
Значения

,

известны (доверительный уровень = 0,75)
Вероятность P | Число испытаний n |
3 | 4 | 6 | 8 | 10 | 20 | 30 | 100 | |
0,10 | 1,67 | 1,62 | 1,56 | 1,52 | 1,50 | 1,43 | 1,40 | 1,35 | 1,28 |
0,05 | 2,03 | 1,98 | 1,92 | 1,88 | 1,86 | 1,79 | 1,77 | 1,71 | 1,64 |
0,01 | 2,72 | 2,66 | 2,60 | 2,56 | 2,54 | 2,48 | 2,45 | 2,39 | 2,33 |
D.5.3 Расчет методом частных коэффициентов: метод Байеса
Расчетное значение по методу Байеса можно оценить непосредственно по экспериментальным данным:

(D.4)
где mR - среднее значение выборки;
SR - стандартное отклонение выборки;
n - число испытаний;

- расчетное значение конверсионного коэффициента.
Таблица D.3
Степени свободы v |
| | 1 | 2 | 3 | 5 | 7 | 10 | 20 | 30 | |
1,28 | 0,10 | 3,08 | 1,89 | 1,64 | 1,48 | 1,42 | 1,37 | 1,33 | 1,31 | 1,28 |
1,84 | 0,05 | 6,31 | 2,92 | 2,35 | 2,02 | 1,89 | 1,81 | 1,72 | 1,70 | 1,64 |
2,33 | 0,01 | 31,8 | 6,97 | 4,54 | 3,37 | 3,00 | 2,76 | 2,53 | 2,46 | 2,33 |
2,58 | 0,005 | 63,7 | 9,93 | 5,84 | 4,03 | 3,50 | 3,17 | 2,84 | 2,75 | 2,58 |
3,08 | 0,001 | 31,8 | 22,33 | 10,21 | 5,89 | 4,78 | 4,14 | 3,55 | 3,38 | 3,09 |
Примечание - Если  известно, то следует принимать  . |
Значения
tvd принимают по
таблице D.3, где
v =
n - 1,

, здесь

- целевой индекс надежности и

- расчетное значение коэффициента влияния для метода надежности первого порядка (FORM). Если не указано иное, следует принимать

, если преобладает неопределенность
R, и

в противном случае (см.
E.5.1 и
E.6.3 приложения E).
Уравнение (D.4) можно использовать непосредственно в методе расчетных значений. Для использования в методе частных коэффициентов возможны два пути.
a) Характеристическое значение
Rk определяют по
уравнению (D.4), но при

; частный коэффициент в таком случае

.
b) Значение

обычно используют для определенного типа материала и типа отказа. При этом нормативное (характеристическое) значение
Rk определяется как

. Следует отметить, что в этом случае
Rk может иметь вероятность превышения предельного значения, отличающуюся от 0,95.
Выбор метода является исключительно вопросом представления результатов. В обоих случаях в процедуре проверки используют одно и то же расчетное значение.
Уравнение (D.4) основано на нормальном распределении для
R и неизвестном априорно распределении для стандартного отклонения и для среднего значения. Если стандартное отклонение известно заранее, можно заменить выборочное стандартное отклонение стандартным отклонением распределения и взять

. Для обработки других типов априорной информации допускается использовать формулы, приведенные в
D.5.4.
Примечание 1 D.5.2 о выборе распределения также применимо к подходу, приведенному в настоящем подразделе.
Как следует из вышеизложенного, Метод Байеса весьма чувствителен к наблюдаемому стандартному отклонению

, если это значение неизвестно заранее. Желательно устранить как чрезмерно маленькие, так и большие значения последующего стандартного отклонения во избежание небезопасных или неэкономичных результатов. Один из возможных способов достигнуть этого состоит в выборе априорного распределения для стандартного отклонения даже при отсутствии конкретной информации. Тот факт, что инженер считает возможным предоставить для испытания некоторое техническое решение, может быть использован в качестве аргумента. В
D.5.4 приведена дополнительная информация об этой процедуре.
Пример 1 - Рассмотрим выборку из n = 3 образцов для испытания, имея выборочное среднее m, равное 100 кН и выборочное стандартное отклонение SR, равное 15 кН.
5%-ное нормативное (характеристическое) значение (при v = 2) составляет:
Отметим, что при классическом методе
Результат почти тот же самый.
D.5.4 Оценка с использованием вероятностных методов
При полной вероятностной обработке первый шаг состоит в образовании так называемой априорной функции распределения для неизвестных параметров распределения прочности R. Такое распределение должно отразить всю доступную априорную информацию об этих параметрах. Учитывая это априорное распределение и данные статистического испытания, можно вывести апостериорное распределение из следующей формулы:

(D.5)
где

- апостериорное распределение

;

- априорное распределение

;

- функция правдоподобия;

- вектор параметров распределения (например, среднее значение и стандартное отклонение);
C - константа нормализации.
Тогда новое распределение R с учетом предшествующей информации и экспериментальных данных определяется выражением

(D.6)
где

- распределение для
R при заданных значениях
q;

- обновленное распределение
R.
Данное распределение для
R может непосредственно использоваться в процедуре вероятностного расчета. Также можно вывести расчетные значения на основе
уравнения (D.6).
Далее рассмотрим случай, когда
R имеет нормальное распределение. Тогда вектор параметров распределения содержит среднее значение

и стандартное отклонение

. Пусть априорное распределение имеет вид:

(D.7)
где

для
n' = 0;

для
n' > 0.
Этот специальный выбор позволяет осуществить дальнейшее аналитическое преобразование интегралов
(D.5) и
(D.6). Априорное распределение
(D.7) содержит четыре параметра:
m',
n',
s' и
v'. Смысл этих параметров объяснен ниже.
Параметры
s' и
v' характеризуют априорную информацию о стандартном отклонении. Математическое ожидание и коэффициент вариации стандартного отклонения

могут быть асимптотически (для больших
v') выраженными следующим образом:

(D.8)

(D.9)
Априорная информация о среднем значении характеризуется
m',
n' и
s'. Математическое ожидание и коэффициент вариации среднего значения

могут быть асимптотически (для больших величин
v') выраженными следующим образом:

(D.10)

(D.11)
Также априорную информацию можно интерпретировать как результат гипотетической предшествующей серии испытаний, по одной для среднего значения и для стандартного отклонения. В этом случае имеется для стандартного отклонения:
s' - гипотетическое выборочное значение;
v' - гипотетическое число степеней свободы для s'.
Информация о среднем значении требует двух дополнительных параметров:
m' - гипотетическое выборочное среднее число;
n' - гипотетическое число наблюдений для m'.
Иными словами, m' и s' представляют наилучшие оценки для среднего значения и стандартного отклонения. Неопределенность относительно этих оценок может быть выражена посредством выбора n' и v'.
Также следует отметить, что при испытании обычно v = n - 1, но предварительно параметры n' и v' могут быть выбраны независимо друг от друга.
Примечания
1 Если доступная информация недостаточна, то
n' и
v' должны быть приняты равными нулю. В этом случае окончательные результаты будут определены по
D.5.3. Если предшествующий опыт приводит к почти детерминированному знанию о среднем значении и стандартном отклонении,
n' и
v' можно было бы присвоить относительно более высокие значения, например, 50, соответственно

или

.
2 В ряде случаев целесообразно предположить, что априорная информация о среднем значении недостаточна или отсутствует (то есть
n' = 0), но возможно получить приемлемую оценку

. Например, пусть коэффициент вариации

будет порядка 30%, который согласно
уравнению (D.9) соответствует
v' = 5. Такая модель может быть основана на результате многих предыдущих выборок для испытаний, показывая значительную изменчивость среднего значения, но значительно меньшую - стандартного отклонения. Для бетонных кубиков это очень близко к действительности. Если выбирают это условие, то избегают ситуации, когда недостаточный объем выборки приводит к очень неэкономичным или очень опасным результатам.
Используя
уравнение (D.5), можно сочетать априорную информацию, характеризуемую
уравнением (D.7), и результаты испытаний из
n наблюдений с выборочным средним
m и выборочным стандартным отклонением
s. Результатом является апостериорное распределение для неизвестного среднего значения и стандартного отклонения для
R, которое, в свою очередь, задается
уравнением (D.7), но с параметрами, заданными следующими правилами корректировки:

(D.13)
m"n" = n'm' + nm, (D.14)
[
v"(
s")
2 +
n"(
m")
2] = [
v'(
s')
2 +
n'(
m')
2] + [
vs2 +
nm2], (D.15)
где
v =
n - 1;

для
n' = 0 и

в противном случае.

(D.16)
Здесь
tv" имеет центральное
t-распределение; значения
tv" для данных вероятностей превышения предельных значений приведены в
таблице D.3. Изменения для логарифмически нормальных распределений
R являются пропорциональными (см. также
D.6).
Пример 2 - Рассмотрим еще раз пример 1, но предположим, что предыдущие серии испытаний показали следующее:
- выборочное среднее равно 110 кН, но с очень высоким разбросом;
- выборочное стандартное отклонение равно в среднем 20 кН с коэффициентом вариации v = 30%.
Согласно
уравнениям (D.8) -
(D.11), эта предварительная информация приводит к следующим параметрам априорного распределения:
m' = 110 кН, n' = 0, s' = 20 кН, v' = 1/(2V2) = 1/(2·0,32) = 5,5.
Теперь необходимо объединить эту априорную информацию с результатами испытаний, как в примере 1 (три образца с выборочным средним
m = 100 кН и выборочным стандартным отклонением
s = 15 кН). Тогда
уравнения (D.12) и
(D.15) дают следующие параметры для апостериорного распределения:
n" = 0 + 3,
v" = 5 + 2 = 7,
m" = 100 кН,
7(s")2 + 3·1002 = 5·202 + 0·1102 + 2·152 + 3·1002
или s" = 18,7 кН.
| | ИС МЕГАНОРМ: примечание. Текст дан в соответствии с официальным текстом документа. | |
На изменение характеристических значений с 49,5 кН до 59,4 кН повлияла априорная информация. Для расчетных значений несоответствия могут еще значительнее.
D.6 Оценка на основе расчетной модели
Предположим, что для рассмотрения конструктивных свойств задана расчетная модель. Пусть эта модель будет полной, за исключением неизвестного коэффициента

, который нужно определить экспериментально. Такую модель можно записать следующим образом:

(D.17)
где

- вектор случайных переменных;

- набор измеряемых детерминированных переменных;
g() - модель;
Y - измеряемый выходной параметр модели;

- неизвестный коэффициент, подлежащий экспериментальному определению.
Параметр

также относится к неопределенности модели. При отсутствии другой информации следует предполагать, что

имеет логарифмически нормальное распределение. Это означает, что

имеет нормальное распределение.
Предположим, что проводится ряд экспериментов i = 1, ... n, где:
- значения

принимаются как

,
- значения

измеряются как

,
- значения

измеряются как

.
Из этих результатов можно вывести следующий ряд наблюдений для неизвестного коэффициента

:

(D.18)
Среднее и стандартное отклонение для

определяют следующим образом:

(D.19)

(D.20)
С параметром

, задаваемым как

(D.21)
Расчетное значение

, учитывающее статистические неопределенности, принимают как

(D.22)
Коэффициент

, часто называемый байесовским коэффициентом; если

, то

, и модель называют небайесовской.
Значения для
tvd принимают по
таблице D.3, где
v =
n - 1,

, здесь

- целевой индекс надежности и

- расчетное значение коэффициента влияния для FORM.
При отсутствии других указаний следует принимать

, если неопределенность в
R доминирует, и

в противном случае (см.
приложение E).
Расчетное сопротивление Rd элемента конструкции, рассчитанное по испытаниям, может быть вычислено следующим образом:

(D.23)
где

и

- расчетное значение неопределенности модели.
(справочное)
ПРИНЦИПЫ РАСЧЕТА, ОСНОВАННОГО НА НАДЕЖНОСТИ
E.1 Введение
Цели настоящего приложения:
- дать определенную информацию, которая лежит в основе настоящего стандарта;
- дополнить
раздел 8 более детальными описаниями принципов и методов;
- дать рекомендации относительно применения вероятностных методов.
Вероятностные методы, в принципе, могут быть использованы для всех задач верификации, которые могут быть описаны с помощью математических соотношений, если можно определить набор случайных событий. Их применение можно подразделить на две основные группы: калибровка элементов безопасности (например, частных коэффициентов) и непосредственное применение в расчетах. Применение в расчетах, главным образом, относится к современным задачам, для которых обычные методы проверки малопригодны. Расчет, сопровождаемый испытаниями, и экспертная оценка существующей конструкции - два вида задач, при решении которых часто обращаются к вероятностным методам.
Настоящее приложение предназначено, в основном, для использования:
- разработчиками национальных и международных норм или рекомендаций;
- проектировщиками, желающими получить сведения о вероятностном расчете;
- исследователями в области вероятностных расчетов.
Настоящее приложение содержит некоторые общие аспекты расчета, основанного на вероятностных методах. Его можно рассматривать как отчет о современном состоянии проблемы.
Разделы E.4 -
E.7 применяют, главным образом, к предельным состояниям первой группы (по несущей способности), но во многих случаях они также применимы к необратимым предельным состояниям эксплуатационной пригодности. Их обычно не применяют к задачам, включающим в себя обратимые предельные состояния эксплуатационной пригодности.
E.2 Моделирование неопределенности
В настоящем разделе рассматриваются неопределенности базовых переменных, то есть воздействий, свойств материалов и геометрических данных. Предполагается, что базовые переменные также включают случайные переменные

, которые представляют неопределенности численных моделей (см.
7.3).
E.2.1 Источники неопределенностей
Согласно
6.1, можно выделить три типа неопределенностей:
- естественная случайная изменчивость или неопределенность;
- неопределенности, обусловленные недостаточным знанием;
- статистические неопределенности.
Данные типы могут быть далее подразделены следующим образом:
a) Естественные случайные изменчивости и неопределенности можно подразделить на неопределенности, которые могут или не могут быть результатом человеческой деятельности. Многие виды параметров воздействий (например, вес снегового покрова земли, скорость ветра и интенсивность колебания грунта при землетрясении) принадлежат ко второй категории, как и значения прочности (например, параметры грунта). К первой категории относятся, например, неопределенности в значениях параметров прочности стали или бетона или размеров стальных балок. Эти неопределенности можно уменьшить путем усовершенствования производства и методов контроля качества, что, с другой стороны, может привести к увеличению затрат. Таким образом, в определенных рамках уровень неопределенности может быть выбран с учетом экономических последствий. Поэтому различие между этими двумя категориями может быть важным при рассмотрении экономической оптимизации.
b) Неопределенности, обусловленные недостаточным знанием, также можно подразделить на две категории. Одна категория включает в себя, например, неопределенности моделей эффектов воздействий или моделей прочности, для которых знание может быть увеличено (и, таким образом, неопределенности могут быть уменьшены) путем проведения исследований или другими подобными действиями. К данной категории неопределенностей также относятся погрешности измерения. К другой категории принадлежат, например, неопределенности, которые зависят от будущего развития. Например, развитие в будущем транспортных нагрузок на автодорожные мосты и временных нагрузок на перекрытия. Возможность снижения этих неопределенностей путем проведения исследований или аналогичных действий крайне ограничена.
c) Статистические неопределенности возникают в связи со статистической оценкой результатов испытаний или наблюдений. Они могут возникать вследствие:
- недостатков при выявлении и разделении различных статистических совокупностей;
- ограниченного числа результатов испытаний, что вызывает неопределенность оценки статистических параметров (например, среднего значения и стандартного отклонения);
- игнорирования систематической изменчивости наблюдаемых переменных (например, климатических переменных);
- расширенной экстраполяции статистической информации;
- пренебрежения возможными корреляциями;
- использования статистических распределений для описания неопределенностей, которые являются частично или вовсе не являются статистической совокупностью (ср. с
E.2.2).
Статистические неопределенности обычно могут быть снижены увеличением объемов испытаний и наблюдений.
E.2.2 Различные способы получения исходных данных
Численные значения параметров, которые характеризуют модель и ее неопределенности, могут быть получены множеством различных способов, таких как:
a) наблюдение или измерения;
c) решение;
d) суждение.
Часто исходные данные получаются сочетанием вышеуказанных способов.
Ниже приведены несколько простых примеров:
- Предел прочности бетона при растяжении обычно определяется измерением (прочности при сжатии) и анализом (с использованием некоторой функции преобразования).
- Максимальная нагрузка, которую должен поднять кран, определяется решением. Дополнительные динамические усилия определяются другими способами.
- Транспортные нагрузки на мостах обычно определяются наблюдением в сочетании с суждением о будущем развитии. Принятие решения также может быть важным.
Базовые переменные, которые описывают неопределенности, следует характеризовать такими параметрами, как среднее значение, стандартное отклонение, корреляции с другими переменными, а также их распределениями вероятности. Если численные значения этих параметров определяются согласно
перечислениям a) и
b), приведенным выше, то методика обычно включает в себя анализ статистических данных, и результаты могут быть представлены в статистических терминах. Если значения основных переменных определяются в основном принятием решения и/или суждением, результаты вообще не могут быть представлены непосредственно в статистических терминах. Однако если предполагается, что все базовые переменные можно оценить вероятностными методами (см.
9.1), то статистические параметры (среднее значение, стандартное отклонение и т.д.) должны быть присвоены также тем базовым переменным, для определения значений которых статистические данные отсутствуют. Их получают довольно субъективным способом, при котором могут отбираться также детерминированные величины. Так, например, возможное превышение допускаемой нагрузки на перекрытие склада можно рассматривать, принимая допускаемую нагрузку в качестве среднего значения, а некоторое ожидаемое превышение - как стандартное отклонение.
Те неопределенности, которые обусловливаются грубыми ошибками измерения, влияниям масштаба и т.д., должны быть устранены в максимально возможной степени мерами гарантии качества (см.
приложение A). Если это условие выполнено, то остаются два главных вида неопределенностей: неопределенности модели и статистические неопределенности. Данные два вида неопределенностей, по возможности, должны быть разделены статистическими методами (см.
приложение D).
E.2.3 Выбор функций распределения вероятности
Лишь в немногих случаях объем доступных данных позволяет однозначно определить функцию распределения вероятности. В большинстве случаев приходится выбирать распределение (среди известных аналитических распределений), которое обладает подходящими свойствами по отношению к рассматриваемой базовой переменной. В большинстве случаев применимы следующие рекомендации.
- Для постоянных воздействий и временных воздействий в произвольный момент времени удобно применять распределение Гаусса, если допустима ненулевая вероятность отрицательных значений. Логарифмически нормальное распределение, распределение Вейбулла, гамма-распределение или распределение экстремальных значений могут также быть подходящими, особенно если предполагается, что распределение будет представлять максимальные значения в пределах выбранного базового периода.
- Для свойств материала и геометрических размеров могут подходить распределение Гаусса или логарифмически нормальное распределение. Логарифмически нормальное распределение является предпочтительным, если вызывает затруднение ненулевая вероятность отрицательных значений, связанных с выбором распределения Гаусса.
Выбор функций распределения вероятности нужно делать с осторожностью. Возможно, следует рассмотреть смещение. Если фактическое распределение имеет мультимодальный характер, то выбор одного единственного распределения (среди известных аналитических распределений) может вызвать значительные погрешности.
E.3 Критерии отказа
E.3.1 Предельные состояния по несущей способности
Предполагается, что критериями отказа строительной конструкции управляет функция

базовых переменных

, таким образом, что:

для желательного состояния (отказы отсутствуют);

для предельного состояния;

для нежелательного состояния (область отказов).
Это проиллюстрировано на рисунке E.1 для случая двух базовых переменных
X1 и
X2, то есть

.
Рисунок E.1 - Иллюстрация функции

Базовые переменные

могут зависеть от времени. Например, экстремальные нагрузки от влияния окружающей среды могут меняться со временем. Качество конструкционного материала может ухудшаться со временем из-за коррозии или других явлений. Сопротивление также может уменьшиться со временем из-за усталости. В общем случае некоторые из переменных

должны быть представлены стохастическими процессами. В частности, изменчивость во времени

подразумевает, что максимумы или минимумы компонентов

не достигаются одновременно. Зависимость от времени подразумевает, что вероятность отказа зависит от выбранного начального момента времени
t0.
Надежность (вероятность безотказной работы или отсутствие отказа) конструкции определяется как
PS = 1 - Pf. (E.1)
При исследовании надежности одного элемента или одного поперечного сечения элемента с точки зрения определенного механизма отказа и определенного сочетания нагрузок функция

часто может описываться одним единственным выражением, выведенным из механического поведения. Тогда анализ может быть определен как элементный анализ.
Если имеется больше одного механизмов отказа для элемента или одновременно исследуется более чем один элемент, то функция

составляется из нескольких функций

,

. Это проиллюстрировано на
рисунке E.2 на примере двух функций
g1(
X1,
X2) и
g2(
X1,
X2) двух базовых переменных
X1 и
X2. На
рисунке E.2 показаны два крайних случая. Для случая, приведенного на
рисунке E.2 a), область отказов (нежелательное состояние) определяется как
g1(X1, X2) < 0 или g2(X1, X2) < 0. (E.2)
| | ИС МЕГАНОРМ: примечание. В официальном тексте документа, видимо, допущена опечатка: имеется в виду рисунок E.2 b), а не рисунок 2 b). | |
Для случая, приведенного на рисунке 2 b), область отказов определяется как
g1(X1, X2) > 0 или g2(X1, X2) > 0. (E.3)
Рисунок E.2 - Области отказа (заштрихованы)
в двух предельных случаях
Анализ, при котором принимается во внимание несколько условий

одновременно, определяют как системный анализ. Определение системной функции

сильно зависит от характеристик системы; то есть если это "система со слабейшим звеном" [
рисунок E.2 a)] или "система с резервированием" [
рис. E.2 b)], или некоторая комбинация этих двух случаев.
E.3.2 Предельные состояния эксплуатационной пригодности
Для некоторых предельных состояний эксплуатационной пригодности прохождение предельного состояния от желательного состояния до нежелательного состояния, как можно полагать, происходит при довольно явных условиях. Это означает, что предельное состояние, с разумным приближением, можно рассматривать как некую механическую реальность. Однако для многих предельных состояний эксплуатационной пригодности переход из желательного состояния в нежелательное происходит при большом числе неопределенных условий. Переход подразумевает более или менее медленно уменьшающуюся степень эксплуатационной пригодности. Таким образом, в принципе, степень эксплуатационной пригодности

может быть определена и введена как функция некоторого параметра эксплуатационной пригодности

(например, отклонение балки или интенсивность вибрации пола). Это поясняется на
рисунке E.3, где предполагается, что есть два предельных значения

, а именно:

, при котором сооружение полностью пригодно к эксплуатации, и

, при котором сооружение абсолютно не пригодно к эксплуатации. В некоторых случаях выразить степень эксплуатационной пригодности можно в экономических терминах.

Рисунок E.3 - Степень эксплуатационной пригодности

как функция параметра эксплуатационной пригодности

E.4 Установленные уровни надежности
E.4.1 Безопасность людей
Надежность сооружения важна, в первую очередь, если люди могут быть убиты или травмированы в результате обрушения. Допускаемое максимальное значение вероятности отказа в таких случаях могло бы быть найдено из сравнения с рисками при других видах деятельности. Принимая полное индивидуальное число несчастных случаев со смертельным исходом 10-4 в год за основу, значение 10-6 представляется разумным для применения. Тогда максимальная допустимая вероятность отказа сооружения зависит от условной вероятности гибели человека, учитывая отказ сооружения:
P(
f|год)
P(
d|
f) < 10
-6 год
-1. (E.4)
P(
d|
f) - вероятность того, что человек, находящийся в сооружении при разрушении, погибает. Если люди редко посещают сооружение, то в
уравнение (E.4) можно ввести понижающий коэффициент.
Требование (E.4) представляется как ежегодное. Его нужно рассматривать как среднее за некоторый базовый период. Вообще говоря, допускается иметь

частоту отказов в некоторой области периода повторяемости и меньшее значение в другой области. Период повторяемости не должен обязательно быть сроком службы сооружения, 10 - 20 лет часто можно считать рациональным сроком. Допускается принимать отклонения от ежегодного среднего, но исключительно для многих более коротких промежутков времени.
Уравнением (E.4) задается минимальное требование к безопасности человека с индивидуальной точки зрения. Во многих случаях органы власти явно хотят избежать несчастных случаев с большими человеческими жертвами, и тогда дополнительное требование имеет вид:

(E.5)
где N - ожидаемое число смертей.
Числа
A и

являются константами, например, A = 0,01 или 0,1 и

. Численные значения могут меняться в особых случаях (например, если имеется схема аварийной эвакуации).
E.4.2 Экономическая оптимизация
С экономической точки зрения целевой уровень надежности должен зависеть от баланса между последствиями отказа и стоимостью мер безопасности. Формально целью может быть минимизация общей стоимости в течение срока службы, представленной следующим образом:

(E.6)
где Cb - стоимость здания;
Cm - ожидаемая стоимость технического обслуживания или разборки;
Cf - стоимость ущерба при отказе;
Pf - вероятность отказа за срок службы.
Суммирование выполняется по всем (независимым) типам отказов и сочетаниям нагрузок. Эта формула чрезвычайно упрощена и нуждается в дальнейшем усовершенствовании, прежде чем ее можно будет использовать для практического применения. Помимо экономических соображений органы власти могут пожелать определить некоторый минимальный уровень надежности, если безопасность касается человеческих жизней. Это может привести к задаче условной оптимизации согласно
уравнению (E.6) в качестве целевой функции и
уравнениям (E.4) и/или
(E.5) в качестве граничных условий.
Необходимо отметить, что в качестве альтернативного варианта

может покрываться страховкой.
Вообще очень трудно применять вышеупомянутые принципы непосредственно на практике. Главная трудность - имеются существенные различия между записанной в расчетной процедуре вероятностью отказа и фактической частотой отказов (которая в значительной степени обусловлена ошибками людей). По этой причине целевые уровни надежности часто основаны на калибровке. Используя калиброванные значения надежности, следует иметь в виду, что они относятся к определенному набору конструктивных и вероятностных моделей. Использование калиброванных значений в сочетании с другими моделями может неумышленно привести к слишком высокому или низкому уровням надежности. Численные значения надежности часто описываются с помощью индекса надежности

, определяемого как

. Соотношение

и
Pf приведено в таблицах E.1 и
E.2.
Таблица E.1
Соотношение

и
Pf
Pf | 10-1 | 10-2 | 10-3 | 10-4 | 10-5 | 10-6 | 10-7 |
| 1,3 | 2,3 | 3,1 | 3,7 | 4,2 | 4,7 | 5,2 |
В
таблице E.2 приведен пример калибровки целевых

-значений срока службы в зависимости от последствий отказа и относительной стоимости безопасного проектирования.
Таблица E.2
Целевые значения

(срок службы, примеры)
Относительная стоимость мер безопасности | Последствия отказа |
Малые | Заметные | Умеренные | Большие |
Высокая | 0 | A | 1,5 | 2,3 | B | 3,1 |
Умеренная | 1,3 | 2,3 | 3,1 | C | 3,8 |
Низкая | 2,3 | 3,1 | 3,8 | 4,3 |
Некоторые предложения:
A: для предельных состояний эксплуатационной пригодности следует использовать

для обратимых и

для необратимых предельных состояний.
B: для предельных состояний по усталости следует использовать значения от

до

в зависимости от возможности обследования.
C: для предельных состояний по несущей способности следует использовать классы безопасности

; 3,8 и 4,3.
Данные числа были получены с использованием логарифмически нормального распределения или распределения Вейбулла для моделей прочности, Гауссовых моделей для постоянных нагрузок и моделей экстремальных значений Гумбеля для нагрузок, зависящих от времени, а также метода расчетных значений согласно
E.6.2. Важно, что те же самые (или подобные им) допущения используются в том случае, если значения, заданные в
таблице E.2, применяются для вероятностных расчетов.
Наконец, следует подчеркнуть, что значения

и соответствующие вероятности отказа суть формальные или отвлеченные числа. Их следует рассматривать, прежде всего, как инструмент создания непротиворечивых норм проектирования, а не как способ описания частоты отказов конструкции или сооружения.
E.5 Вычисление вероятностей отказа
E.5.1 Задачи, не зависящие от времени
Сравнительно прост случай, когда все базовые переменные

можно считать не зависящими от времени. Вероятность отказа
Pf тогда может быть вычислена по выражению

(E.7)
где

- совместная плотность вероятности базовых случайных переменных

(но не случайных процессов).
Области отказа в общем случае задаются пересечениями и объединениями областей, задаваемых как

. Здесь
j - номер элемента, и
i - номер формы отказа.
Вероятности отказа могут быть вычислены
- точными аналитическими методами;
- методами численного интегрирования;
- приближенными аналитическими методами (FORM/SORM <1> методами моментов);
- методами моделирования
или сочетанием этих методов.
--------------------------------
<1> FORM - аббревиатура для метода надежности первого порядка. Иногда применяется FOSM - метод первого порядка второго момента. SORM означает метод надежности второго порядка.
В некоторых случаях
уравнение (E.7) можно проинтегрировать аналитически. Когда число
n случайных переменных невелико, например,
n <= 5, удобно применять различные типы численного интегрирования.
Основные шаги в приближенном методе FORM следующие:
- преобразование переменных
X в пространство стандартных нормальных переменных
U и соответствующее преобразование поверхности отказов

в

;
- в методе FORM функция отказа

аппроксимируется тангенциальной гиперплоскостью в расчетной точке, которая является точкой на

, ближайшей к началу координат;
- вероятность отказа
Pf, согласно FORM, в таком случае задается как

, где

- расстояние от начала до расчетной точки.
Аналитический метод может быть улучшен, если поверхность отказа

аппроксимировать квадратичной поверхностью в расчетной точке (SORM).
Методы моделирования подразделяются следующим образом:
- методы, основанные на использовании индикатора нуль-единица, которые являются не аналитическими и работают в пространстве переменных

;
- условные методы математического ожидания, которые являются полуаналитическими.
Методы на основе индикатора ноль-единица включают в себя:
- прямое моделирование по Монте-Карло с выборочной плотностью, взятой в качестве исходной плотности вероятности;
- выборку по значимости, где процедура Монте-Карло применяется с функцией плотности (фиктивной), близкой к расчетной точке;
- адаптивную выборку, при которой выборка по значимости применяется с последующим обновлением функции плотности.
Методы условного математического ожидания включают в себя следующие методики:
- непосредственное моделирование (подходящее для объединений событий);
- моделирование с ортогональными осями (подходящее для пересечения событий).
E.5.2 Преобразование задач, зависящих от времени, в задачи, не зависящие от времени
Обсуждаются два класса задач, зависящих от времени, к которым относятся:
- отказ вследствие перегрузки (первое событие);
- усталость или другие кумулятивные отказы.
Зависимость от времени происходит вследствие изменчивости во времени воздействия и/или прочности (деградация). Зависящие от времени величины обычно требуется представлять стохастическими процессами.
В случае отказа при первом событии один процесс воздействия можно заменить распределением вероятности, представляющим неопределенность за заданный период, для которого должна быть вычислена вероятность отказа. Среднее значение может быть принято как значение ожидаемого максимума в течение избранного периода повторяемости и со случайной неопределенностью, соответствующей ожидаемому максимуму.
В случае усталостного разрушения функция отказа может быть сформулирована с точки зрения SN-данных и правила Майнера-Пальмгрена. Функция отказа в таком случае не будет зависеть от времени в течение заданного периода времени.
E.5.3 Общая задача
В общем случае вычисление вероятности отказа связано с определением

для

, (E.8)
где
gij - функции отказа ("предельные функции") в пространстве основных переменных. В
уравнении (E.8) gi1 <= 0,
gi2 <= 0 и т.п., в общем случае определяется последовательность отказов конструкции заданного типа (i). Например, жесткая панель, подверженная воздействию поперечных и продольных сил, может получить отказ двух основных типов: 1) выпучивание, 2) изгиб. Зависимость от времени может относиться к нагрузкам или к сопротивлениям (например, из-за потери прочности). Некоторые из переменных

могут быть функциями времени и пространственных координат и могут быть описаны дифференциальными или интегральными выражениями.
E.6 Методы расчетных значений
Предполагается, что рассматриваемое предельное состояние может быть установлено в расчетной модели посредством одной (или нескольких) функций g(...) ряда переменных X1, X2, ..., Xn, включая воздействия, свойства материала и т.д., таким образом, что условие безотказной работы конструкции вида
g(X1, X2, ..., Xn) >= 0 (E.9)
может быть связано с предельным состоянием. Тогда расчетные требования могут быть записаны следующим образом:
g(
x1d,
x2d, ...,
xnd) >= 0, (E.10)
x1d, x2d, ..., xnd - расчетные значения, определяемые в E.6.2.
E.6.2 Расчетные значения согласно FORM
Расчетное значение xkj, переменной Хj зависит:
- от параметров переменной Хj,
- принятого типа распределения;
- целевого индекса надежности

для рассматриваемого предельного состояния и расчетной ситуации (см.
E.4.3);
- коэффициента

, описывающего чувствительность к вариациям
Xi относящимся к достигаемому предельному состоянию, по определению, данному при расчете по FORM (см.
E.5.1).
Для произвольного распределения F(xi) расчетные значения задаются как:

(E.11)
Если X считается распределенным по нормальному закону, то

(E.12)
Логарифмически нормальное распределение дает

(E.13)
где

,

.
Для малых значений
Vi (например,
Vi <= 0,25)

и
vi ~=
Vi.
E.6.3 Коэффициенты чувствительности по FORM
Если случайные переменные независимы, то коэффициенты

в анализе по FORM имеют следующие свойства:

(E.14)

(E.15)
Значения

могут быть найдены из ряда репрезентативных расчетов по FORM (см.
E.5). В принципе, это потребовало бы многих итерационных расчетов, что, конечно, очень неудобно. Однако из опыта был разработан ряд стандартизованных значений

, который представлен в
таблице E.3. Необходимо отметить, что сумма квадратов здесь может быть больше единицы вследствие консервативного подхода. Для ограничения погрешностей при использовании таблицы E.3 обычно требуется, чтобы

, где
S - ведущая нагрузка и
R ведущий параметр прочности.
Таблица E.3
Стандартизированные значения

Xi | |
Ведущий параметр прочности | 0,8 |
Другие параметры прочности | 0,4·0,8 = 0,32 |
Ведущий параметр нагрузки | -0,7 |
Другие параметры нагрузки | -0,4·0,7 = -0,28 |
Примечание - Принципы стандартизации значений  уже применялись в ИСО 2394:1986, приложение B, где предлагались те же значения  , что и в таблице E.3. |
При использовании таблицы E.3 заранее не известно, какая именно переменная должна быть расценена как ведущая. Единственный способ узнать это состоит в том, чтобы принимать все переменные ведущими по очереди и смотреть, какая из них наиболее сильно влияет на результат расчета. Иногда это может быть сделано на уровне составителя норм, иногда это становится задачей расчетчика (например, при проверке различных нагружений).
Пример
Рассмотрим элементарный случай с одним параметром прочности
R и с одним параметром нагрузки
S, каждый из которых распределен по нормальному закону. Предположим, что целевой индекс надежности

. Тогда из
уравнения (E.12) следует, что

и

.
Теперь нужно проверить
условие (E.10), которое в этом случае сводится к
Rd >
Sd.
E.7 Проверка надежности в нормах
E.7.1 Метод частных коэффициентов, основанный на расчетных значениях
В нормах проектирования расчетные значения
xd не вводят прямо. Случайные переменные вначале задают посредством репрезентативных значений
xk. Кроме того, вводит ряд частных коэффициентов надежности и коэффициентов сочетаний нагрузок (см.
раздел 9). В большинстве случаев основное требование можно сформулировать следующим образом:
g(xd) = Rd - Sd >= 0, (E.16)
где

(E.17)

(E.18)
Здесь S - нагрузочный эффект, R - соответствующее сопротивление.
При этом:

или

= расчетное значение параметра нагрузки;

= расчетное значение свойства материала;

= расчетное значение геометрического параметра;

- расчетное значение модельного коэффициента.
Индекс k обозначает нормативное (характеристическое) значение.
Расчетное значение

обычно вводят в уравнения посредством частных коэффициентов

и

для общей модели, так что:

(E.19)

(E.20)
Частные коэффициенты надежности могут быть получены при первом определении расчетных значений согласно
E.6.1 -
E.6.3 и из уравнений:

(E.21)
Вышеописанная процедура с практической точки зрения трудоемка. Поэтому часто вводятся следующие упрощения:
по нагрузке:

(E.22)
по прочности:

или

(E.23)
В этом случае

и

(или

) следует калибровать так, чтобы они приводили к тем же значениям, что и первоначальные уравнения.
E.7.2 Частные коэффициенты, основанные на калибровке
Калибровка частных коэффициентов описывается в литературе в нескольких книгах и статьях
<1>. В методике, изложенной в
E.7.1, метод частных коэффициентов представлен как развитие метода расчетных значений. При альтернативном методе вначале должны задаваться некоторая произвольная структура частных коэффициентов и требования к выбору частных коэффициентов таким образом, чтобы надежность конструкций в итоге была бы возможно ближе к некоторому избранному целевому значению. Структура метода частных коэффициентов будет выглядеть следующим образом:

(E.24)
где fki - нормативная (характеристическая) прочность материала i;

- частный коэффициент по материалу
j;
Fkj - репрезентативное значение нагрузки j;

- частный коэффициент по нагрузке
j.
--------------------------------
<1> См., например: Тофт-Кристенсен и Бейкер "Структурная Теория надежности и ее приложения", 1982.
Теперь необходимо определить репрезентативный набор n тестовых элементов, которые следует выбрать для адекватного охвата области применения норм с точки зрения:
- типов воздействий;
- типоразмеров конструкции;
- типов материалов;
- видов предельных состояний.
При заданном наборе частных коэффициентов

может быть запроектирован набор репрезентативных элементов конструкции. Каждый элемент будет обладать уровнем надежности, который более или менее будет отклоняться от целевого значения. С использованием индекса надежности

, девиация
D генеральной совокупности может быть выражена следующим образом:

(E.25)

- целевое значение

;

для элемента
k в результате расчета с использованием

.
Очевидно, что набор частных коэффициентов, который минимизирует девиацию D генеральной совокупности, можно рассматривать как наилучший набор коэффициентов. Если не все элементы одинаково важны, то могут быть введены весовые коэффициенты.
Вместо

допускается использовать непосредственно вероятность отказа. Может оказаться целесообразным в меньшей степени отбраковывать значения ниже целевых, чем значения, превышающие целевые. Можно также попытаться оптимизировать экономические критерии, выраженные в
E.6, для широкого набора репрезентативных элементов конструкции.
(справочное)
СОЧЕТАНИЯ ВОЗДЕЙСТВИЙ И ОЦЕНКА ЗНАЧЕНИЙ ВОЗДЕЙСТВИЙ
F.1 Введение
Проблема оценки значений воздействий, используемых в сочетаниях различных типов, очень сложна. Свойства различных отдельных воздействий обычно существенно отличаются друг от друга как основными характеристиками, так и в частностях. Поэтому если для включения в общую систему подходят много видов воздействий (как, например, в настоящем стандарте), то описание параметров воздействий и оценка их значений должны быть либо очень схематичными, либо очень сложными. В настоящем стандарте, и в частности, в настоящем приложении, выбрано достаточно простое и схематическое описание.
Применительно к методу частных коэффициентов и определениям, данным в
10.2, в настоящем приложении рассматриваются следующие вопросы:
- оценка статистических свойств и характеристических значений временных воздействий;
- оценка значений, используемых в сочетаниях воздействий для предельных состояний первой группы (по несущей способности);
- оценка пониженных и длительных значений, главным образом, для сочетаний воздействий в предельных состояниях эксплуатационной пригодности и в особых сочетаниях.
Пониженные и длительные значения определяются таким способом, который позволяет использовать их в качестве ведущих воздействий во многих сочетаниях при расчетах по предельным состояниям эксплуатационной пригодности. Однако во избежание появления слишком большого числа типов значений воздействий, в других сочетаниях их можно также использовать в качестве не ведущих значений воздействий. Так, например, в
приложении G длительные значения используются в качестве не ведущих в сочетаниях с пониженными нагрузками.
Обычно значения воздействия уменьшаются в такой последовательности: нормативное (характеристическое)-комбинационное-пониженное-длительное.
При рассмотрении комбинационных значений в
F.3.2 также определяют методики задания сочетаний воздействий, которые могут использоваться в структуре вероятностных методов расчета.
В настоящем приложении не приведены данные о физических эффектах взаимодействия (например, для ветра и снега, землетрясения и пожара, ветра и дорожного движения и т.д.).
F.2 Оценка статистических свойств и нормативных (характеристических) значений временных воздействий
F.2.1 Общие положения
Метод, описанный ниже, может быть использован для оценки нормативных (характеристических) значений по данным наблюдений. В других случаях оценка значений должна быть основана на субъективном утверждении. Метод используют для простого случая, когда воздействие (или явление, вызывающее воздействие), может быть описано одномерным эргодическим стохастическим процессом. Для стохастических процессов, размерность которых больше, часто могут быть использованы те же самые основные принципы.
В соответствии с
3.3.12 нормативное (характеристическое) значение временного воздействия выбирают таким образом, чтобы вероятность выхода за пределы неблагоприятных значений в избранный период повторяемости была не выше установленной.
Таким образом, для определения нормативного (характеристического) значения необходимо выбрать два параметра:
- период повторяемости tr,
- установленную вероятность (1 - p), то есть p - вероятность непревышения.
Примечание - Процесс является стационарным во времени, если для всех значений
t и для всех значений

у стохастической переменной

распределение вероятности такое же, как у
X(
t). Предполагается, что
t и

находятся в пределах периода повторяемости. Процесс является эргодическим, если осреднение по переменной
X за установленный срок и осреднение за время
t дают один и тот же результат.
F.2.2 Методика
Предполагается, что наблюдения за воздействиями охватывают весь период наблюдений, который может быть разделен на число
r равных временных интервалов

, называемых единичным периодом наблюдения. В течение каждого единичного периода наблюдения определяют максимальное значение воздействия
Q. См. рисунок F.1.
Рисунок F.1 - Процесс воздействия
Из r наблюдений определяют функцию распределения вероятности FQ(Q) (например, используя порядковые статистики). Имеются и другие методы (например, определение непосредственно на основе стохастического процесса), и в некоторых случаях они являются более предпочтительными.
Во многих случаях под наблюдаемые значения FQ(Q) полезно приспособить некоторую известную аналитическую функцию распределения вероятности (см. рисунок F.2). В этом случае важно понимать, что эта функция распределения является приближением, которое, строго говоря, справедливо только в пределах наблюдаемых значений.
Рисунок F.2 - Функция плотности вероятности
Нормативное (характеристическое) значение Qk определяют из уравнения

(F.1)
F.2.3 Период повторяемости
В некоторых случаях удобно характеризовать величину Qk посредством периода повторяемости T, определяемого как средняя продолжительность между последовательными случаями превышения значения Qk. T можно вычислить по выражению:

(F.2)
Если
FQ(
Qk) близко к единице, то выражение для
T почти не зависит от

и может быть аппроксимировано, как

(F.3)
Во многих случаях период повторяемости является наиболее иллюстративным параметром для определения нормативного (характеристического) значения. Периоды повторяемости длительностью 50 - 100 лет являются подходящими для характеристических значений воздействий, используемых в расчете обычных капитальных зданий.
F.2.4 Неопределенности
В большинстве случаев нормативное (характеристическое) значение выбирают таким образом, что события, во время которых наблюдаемые значения его превышают, довольно редки. Поэтому статистические неопределенности при оценке нормативного (характеристического) значения могут быть значительными.
Если период повторяемости tr увеличивается, или приемлемая вероятность превышения значения 1 - p уменьшается, неопределенность в характеристическом значении увеличится, если другие условия не будут изменены.
Если
tr и
p задаются путем определения нормативного (характеристического) значения, то основной способ уменьшить статистическую неопределенность состоит в увеличении числа
r наблюдений. Это может быть сделано или путем увеличения суммарного времени наблюдения, или путем уменьшения единичного периода наблюдений (см.
рисунок F.1). Однако во многих случаях приходится использовать уже имеющиеся данные и невозможно увеличить суммарный период наблюдения. Единичный период наблюдения

также нельзя уменьшать произвольно. Он должен быть достаточно продолжительным, чтобы максимальные значения в двух соседних единицах наблюдения можно было приблизительно рассматривать статистически независимыми. В противном случае возникнут дополнительные неопределенности.
Для воздействий природного происхождения (таких как ветер, снег, температура и т.д.) общий период наблюдения для одного места наблюдения обычно не превышает приблизительно 50 лет. Таким образом, в случаях, когда единичный период наблюдения выбирается равным одному году, число полученных значений оказывается весьма мало, r ~ 50. Если период повторяемости выбирается равным 50 лет или более, доступные данные, возможно, не позволят сделать что-то большее, чем оценку среднего значения функции распределения вероятности для предельного значения за 50 лет. Тип распределения и стандартное отклонение приходится определять, используя дополнительные сведения. Здесь может быть использовано сравнение с подобными наблюдениями, сделанными в других местах. Конечно, если выбранный период повторяемости будет значительно короче (например, один год), то результаты обычно будут более точными. Однако, для сооружений с расчетным сроком службы приблизительно 50 лет, это не увеличивает точность прогнозов.
F.3 Оценка значений, используемых в сочетаниях
F.3.1 Общие положения
Основной принцип задания сочетаний воздействий, применяемых в
10.5, состоит в том, что:
- первое воздействие выбирается в качестве ведущего воздействия и вводится с его нормативным (характеристическим) значением Q1k;
- второе воздействие вводится с пониженным комбинационным значением

;

. Коэффициент сочетаний

зависит от характеристик как ведущего, так и неведущего воздействия;
- третье воздействие вводится с еще более пониженным комбинационным значением

. Значение

зависит от характеристик всех трех воздействий. При необходимости этот процесс повторяют.
Таким образом, вводится последовательность значений

:

,

Данный принцип может быть оправдан с теоретической точки зрения, но он делает сочетание воздействий объективно сложным. Он может привести к нескольким различным значениям, используемым в сочетаниях для одного и того же воздействия. Кроме того, число возможных сочетаний очень быстро возрастает вместе с числом различных значений воздействий.
При задании сочетаний согласно
10.5 с репрезентативными значениями воздействий, принимаемыми согласно
10.2, подразумевается, что для каждого воздействия есть только одно комбинационное значение

, которое используют во всех случаях, когда воздействие не является ведущим.
Это единственное комбинационное значение

следует выбирать так, чтобы результат был консервативным.
F.3.2 Сочетания воздействий согласно модели Борхеса-Кастаньеты
F.3.2.1 Общие положения
Рассмотрим случай сочетания двух воздействий
Q1 и
Q2. Предположим, что эти воздействия могут быть описаны прямоугольными волновыми процессами, как показано на
рисунке F.3. Для этих процессов делаются следующие предположения:
| | ИС МЕГАНОРМ: примечание. Текст дан в соответствии с официальным текстом документа. | |
- Q1(t) и Q2(f) являются стационарными эргодическими процессами;
- все интервалы

одинаковы;
- все интервалы

одинаковы;
-

-
r1 и
r2/
r1 - целые числа, где

и

;
-
Q1 и
Q2 постоянны в пределах каждого интервала

и

соответственно;
- значения Q1 для различных интервалов взаимно независимы; то же самое справедливо для Q2;
- Q1 и Q2 независимы.
Рисунок F.3 - Прямоугольные волновые
процессы для Q1(t) и Q2(t)
Для каждого воздействия определяются три вида переменных.
1) Переменная в произвольный момент времени Q* с функцией распределения вероятности FQ*(Q).
2) Максимальное значение Qmax в течение периода повторяемости с функцией распределения вероятности

(F.4)
3) Максимальное значение
Qc (индекс "c" указывает на сочетание) за интервал

. Для
Q2 значение
Q2c равно максимальному значению за интервал

с функцией распределения вероятности

(F.5)
Для Q1 комбинационное значение равно значению в некоторый момент времени, то есть
Q1c = Q1* (F.6)
Примечание - Если
FQ*(
Q) и

оцениваются непосредственно, то
r следует выбирать так, чтобы приблизительно удовлетворять
уравнению F.4.
Три различные функции распределения вероятности для Q2 показаны на рисунке F.4.
Рисунок F.4 - Функции распределения вероятности для
Q2
Предположим линейную зависимость между эффектом воздействия S и воздействиями Q1 и Q2:
S = a1Q1 + a2Q2. (F.7)
Максимальный эффект воздействия Smax от Q1 и Q2 за время tr в течение периода повторяемости может быть записан следующим образом:
Smax = max
S{
Q1c,
Q2c}. (F.8)
Максимум должен быть взят по всем интервалам

в пределах периода повторяемости.
Как приближение, результирующие эффекты воздействий, могут быть вычислены как максимум из следующих двух сочетаний (правило Туркстры):
S{Q1max, Q2c} - если Q1 рассматривается как ведущее воздействие;
S{Q2max, Q1c} - если Q2 рассматривается как ведущее воздействие.
Запишем формулу:
Smax = {
S(
Q1max,
Q2c);
S(
Q2max,
Q1c)}. (F.9)
При расчете сооружения вероятностным методом значения воздействий в
уравнении (F.8) или
(F.9) следует принимать как случайные переменные с функциями распределения вероятностей, как показано на
рисунке F.4.
При расчете сооружения методом частных коэффициентов, общий метод для определения расчетного значения Smax может быть записан следующим образом:
Smax d = {S(Q1max d, Q2cd); S(Q2max d, Q1cd)}, (F.10)
где

и аналогично для Q2.
Комбинационные значения

могут быть получены различными способами, как будет объяснено далее.
F.3.2.2 Комбинационные значения согласно Правилу Туркстры
Классический подход для вывода коэффициентов сочетаний

в методе частных коэффициентов основан на правиле Туркстры
[уравнение (F.9)]. Это означает, что
Qcd (индекс 1 или 2 опускается для удобства) выбирается как квантиль распределения
Qc (см.
рисунок F.4). В отношении
E.6.3 квантиль выбирают как

:

(F.11)
где

- коэффициент чувствительности для воздействия
Q.
Это приводит к следующему формальному выражению для

:

(F.12)
Для распределения Гумбеля это уравнение приобретает вид:

(F.13)
где
V - коэффициент вариации для функции распределения вероятности

.
Примечание - Численный пример приведен после
F.3.2.4.
F.3.2.3 Комбинационные значения согласно методу расчетных значений
Согласно методу расчетных значений (см.
приложение E) расчетный нагрузочный эффект
Smax d должен иметь вероятность превышения предельного значения для периода повторяемости
tr, равную

(F.14)
где

.
Для заданных характеристик нагрузок
Q1 и
Q2 можно потребовать, чтобы вероятность превышения расчетным нагрузочным эффектом предельного значения за интервальный период

была равна

(F.15)
Соответствующий "индекс надежности" равен

(F.16)
В пределах каждого интервала нагрузки постоянны, и допускается применить результаты из
приложения E.
Это означает, что расчетные значения

и

могут быть получены по следующим формулам:

(F.17)

(F.18)
Таким образом,

определяют из следующего соотношения:

(F.19)
Также можно выразить

исходя из функции распределения
Qmax

(F.20)
В некоторых приложениях
r может сильно изменяться. В связи с этим, полезно доработать
уравнение (F.20) следующим образом:

(F.21)
F.3.2.4 Комбинационные значения для прерывистых нагрузок
Нагрузка необязательно должна быть ненулевой в течение общего периода повторяемости. Модели, описанные в
F.3.2.2 и
F.3.2.3, могут учитывать нагрузки, у которых имеется конечная вероятность быть нулем за интервал

(прерывистые нагрузки). В этом случае, однако, вероятность наличия нулевой нагрузки должна быть включена в функцию распределения. Следует соблюдать осторожность и не принимать условную функцию распределения для заданной нагрузки, которая является ненулевой.
Пример - Рассмотрим случай, когда

,

и
V = 0,20. Для распределения Гумбеля значения

задаются по таблице F.1.
Таблица F.1
Как видно из настоящего примера, правило Туркстры менее консервативно по сравнению с методом расчетных значений.
F.4 Оценка пониженных значений
F.4.1 Продолжительность времени превышения значений нагрузок
Первое определение пониженных значений, заданных в
10.2, связано с условием отказа, определенным согласно
перечислению b) 6.1.3. В нем указывается, что пониженное значение можно оценить следующим образом. Значения воздействий в произвольный момент времени описываются процессом, заданным как функция времени (например, согласно
рисунку F.5 a)). Данный уровень значений воздействия
Q1 превышается в течение определенного числа промежутков времени длиной
t1,
t2,
t3 ..., то есть в течение общего промежутка времени

за избранный период повторяемости
tr. Пониженное значение

превышается, таким образом, в течение указанной относительной продолжительности:

(F.22)
Рисунок F.5 - Превышение пониженного значения
Q1
Функция распределения вероятностей
FQ*(
Q) значений воздействия
Q* в произвольный момент времени, относящийся к тем периодам, в которые
Q не равно нулю, показана на
рисунке F.5 b). Вероятность,
p*, превышения значения воздействия
Q1 равна:
p* = 1 - FQ*(Q1). (F.23)
Для эргодического процесса значение

может быть получено следующим образом:

(F.24)
где q - вероятность ненулевого значения Q.
Таким образом, если значение

определено, то пониженное значение воздействия
Q1 может быть получено следующим образом:

(F.25)
и понижающий коэффициент для этого воздействия равен:

(F.26)
где нормативное (характеристическое) значение воздействия
Qk определяют согласно
F.2.
Если результаты измерений доступны, то вышеописанный метод может быть использован для оценки значений воздействий непосредственно. В других случаях оценку значений приходится выполнять на основе субъективного суждения.
Если сочетание двух или нескольких воздействий вносит вклад в нагрузочный эффект
S* то значение
p* в
уравнении (F.24), в принципе, следует определять исходя из функции распределения вероятности,
FS*(
S) для значений совместного нагрузочного эффекта в произвольный момент времени. Однако на практике в сочетании пониженных нагрузок, как правило, имеется только одно воздействие с пониженным значением. Для остальных воздействий применяют длительные значения. Это положение рассматривалось как разумный компромисс для учета эффекта от нескольких временных воздействий.
Указанные значения

обычно малы, чаще всего менее 0,1.
F.4.2 Частота превышения значения воздействия
Если используется второе определение пониженного значения, приведенное в
10.2, то это значение следует определять так, чтобы число пересечений (см. рисунок F.6) в единицу времени, то есть частота пересечений, не превышало установленного значения

.
Рисунок F.6 - Пересечения пониженного
значения
Q1 и среднего значения

Частоты пересечений могут быть определены из непосредственных наблюдений или с использованием других свойств процесса (например, функции спектральной плотности).
Если частота пересечений

, среднего значения

, в произвольный момент времени (см.
рисунок F.6) известна, и если процесс воздействия является Гауссовским стационарным и эргодическим, то пониженное значение воздействия
Q1, соответствующее установленной интенсивности

, может быть получено как

(F.27)
где

- стандартное отклонение для значений
Q* в произвольный момент времени.
Таким образом, понижающий коэффициент для воздействия

(F.28)
где нормативное (характеристическое) значение воздействия
Qk может быть определено согласно
F.2.
Если два или более воздействия
Qk, каждое из которых вызывает нагрузочный эффект
Si, вносят определенный вклад в общий эффект
S*, так что

, то частота пересечения

уровня среднего значения

может быть получена следующим образом:

(F.29)
где

- частота пересечений среднего значения

;

- стандартное отклонение для
Si*.
Так же, как в предыдущем случае, определение пониженного значения связано с условием отказа, определенным
перечислением c) 6.1.3.
F.5 Оценка длительных значений
Процедура определения длительных значений (см.
10.2) почти полностью совпадает с процедурой определения пониженных значений для случая, рассмотренного в
F.4.1 (то есть относительно продолжительности превышения пониженного значения). Единственное различие заключается в численных значениях. Численные значения

для пониженных значений воздействия находится в интервале от 0 до 0,1, в то время как для длительного значения воздействия оно равно 0,5. Таким образом, процедура, описанная в
F.4.1 и
уравнениями (F.22) -
(F.24), может быть применена и для оценки длительных значений.
(справочное)
ПРИМЕР МЕТОДА СОЧЕТАНИЯ ВОЗДЕЙСТВИЙ
G.1 Общие положения
| | ИС МЕГАНОРМ: примечание. В официальном тексте документа, видимо, допущена опечатка: пункт 9.5 отсутствует. | |
В настоящем приложении содержится пример метода (среди многих других возможностей) сочетаний воздействий, основанных на принципах, приведенных в 9.5.
Основные принципы метода - следующие:
- одно воздействие рассматривается как ведущее, и вводится в сочетание с предельным расчетным значением;
- все другие воздействия вводятся с более вероятными значениями.
Вероятные значения постоянных воздействий получают умножением частных коэффициентов на коэффициент

. Значение

отличается для неблагоприятных и благоприятных постоянных воздействий.
Вероятные значения временных воздействий получают умножением нормативных (характеристических) значений на коэффициент

.
Вероятные значения особых воздействий равны нулю.
Часто не указывается априорно, какое из воздействий следует считать ведущим для получения наиболее неблагоприятного случая. Для обоснованного выбора необходимо изучить несколько случаев.
G.2 Приложения
В таблице G.1 приведены расчетные значения для предельных состояний по несущей способности, для трех типов сочетаний с ведущими постоянным, временным и особым воздействием соответственно. Сочетания следует читать горизонтально.
Таблица G.1
Расчетные значения для сочетаний нагрузок - предельные
состояния первой группы (по несущей способности)
Расчетные ситуации | Расчетные значения |
Постоянные воздействия | Временные воздействия | Особые воздействия |
Ведущие | Не ведущие | Ведущие | Не ведущие |
Постоянная и переходная | | | | | |
| | | | |
Аварийная | | | | | Ad |
 - частный коэффициент для постоянных воздействий.  - частный коэффициент для временных воздействий. |
В таблице G.2 приведены расчетные значения для предельных состояний эксплуатационной пригодности для трех типов сочетаний: нормативного (характеристического), пониженного и длительного.
Таблица G.2
Расчетные значения для сочетаний нагрузок - предельные
состояния эксплуатационной пригодности
Тип сочетания | Расчетные значения |
Постоянные | Временные |
Ведущее | Не ведущие |
Нормативное | | | |
Пониженное | | | |
Длительное | | |
Нормативные сочетания используют, главным образом, в случае, когда превышение предельного состояния вызывает серьезный постоянный ущерб.
Пониженные сочетания используют, главным образом, в тех случаях, когда превышение предельного состояния наносит локальный ущерб, вызывает большие деформации или колебания, являющиеся временными.
Длительные сочетания используются в тех случаях, когда длительные результаты являются определяющими. В частных случаях могут быть определены другие сочетания.
(справочное)
А
Аварийная ситуация (Accidental situation)
3.2.4
Б
Базовая переменная (Basic variable)
3.2.18
Базовый период (Reference period)
3.2.8
В
Ведущая базовая переменная (Primary basic variable)
3.2.19
Воздействие окружающей среды (Environmental influence)
3.3.20
Воздействие (Action)
3.3.1
Временное воздействие (Variable action)
3.3
З
Значение, используемое в сочетании (Combination value)
3.3.13
Д
Динамическое воздействие (Dynamic action)
3.3.8
Длительное значение (Quasi-permanent value)
3.3.15
И
Индекс надежности

(Reliability index,

)
3.2.21
К
Класс надежности сооружений (Reliability class of structures)
3.2.17
Конструктивная система (Structural system)
3.1.3
Конструктивная целостность (живучесть) сооружения (Structural obustuess)
3.2.14
Коэффициент надежности (Reliability)
3.2.23
Коэффициент преобразования (Conversion factor)
3.4.5
М
Метод частных коэффициентов (Partial factors format)
3.2.22
Н
Надежность системы (System reliability)
3.2.25
Надежность элемента (Element reliability)
3.2.24
Необратимое предельное состояние (Irreversible limit state)
3.2.12
Неограниченное воздействие (Unbounded action)
3.3.10
Неопределенность модели (Model uncertainty)
3.2.27
Нормативное (характеристическое) значение воздействия (Characteristic value of an action)
3.3.12
Нормативное (характеристическое) значение геометрических параметров (Characteristic value of geometrical quantity)
3.4.2
Нормативное (характеристическое) значение свойств материалов (Characteristic value of a material property)
3.4.1
О
Обратимое предельное состояние (Reversible limit state)
3.2.13
Ограниченное воздействие (Bounded action)
3.3.9
Особое воздействие (Accidental action)
3.3.4
П
Предельное состояние (Limit state)
3.2.9
Предельное состояние второй группы эксплуатационной пригодности (Serviceability limit state)
3.2.11
Предельное состояние первой группы по несущей способности (Ultimate limit state)
3.2.10
Переходная ситуация (Transient situation)
3.2.3
Пониженное значение (Frequent value)
3.3.14
Постоянное воздействие (Permanent action)
3.3.2
Приложение нагрузки (Load arrangement)
3.3.17
Р
Расчетная ситуация (Design situation)
3.2.1
Расчетное значение воздействия (Design value of an action, F
d)
3.3.16
Расчетное значение геометрических параметров (Design value of a geometrical quantity)
3.4.4
Расчетное значение свойств материала (Design value of a material property)
3.4.3
Расчетный срок службы (Design working life)
3.2.15
Репрезентативное значение воздействия (Representative value of an action)
3.3.11
С
Свободное воздействие (Free action)
3.3.6
Сооружение (Structure)
3.1.1
Соответствие (Compliance)
3.1.4
Сочетание нагрузок (Load combination)
3.3.19
Срок службы (Life cycle)
3.1.5
Статическое воздействие (Static action)
3.3.7
Статистическая неопределенность (Statistical uncertainty)
3.2.28
Т
Техническое обслуживание (Maintenance)
3.2.16
У
Установившаяся ситуация (Persistent situation)
3.2.2
Условие (функция) предельного состояния (Limit state function)
3.3.20
Ф
Фиксированное воздействие (Fixed action)
3.3.5
Функция преобразования (Conversion function)
3.4.6
Э
Эксплуатационная пригодность (Serviceability)
3.2.5
Элемент конструкции (Structural element)
3.1.2
(справочное)
СВЕДЕНИЯ О СООТВЕТСТВИИ ССЫЛОЧНЫХ МЕЖДУНАРОДНЫХ
И ЕВРОПЕЙСКОГО СТАНДАРТОВ НАЦИОНАЛЬНЫМ СТАНДАРТАМ
Таблица ДА.1
Обозначение ссылочного международного (европейского) стандарта | Степень соответствия | Обозначение и наименование соответствующего национального стандарта |
ISO 9000:2005 | IDT | |
ISO 9001:2008 | IDT | |
ISO 9002:1994 | IDT | |
ISO 9003:1996 | IDT | |
ISO 9004:2009 | IDT | ГОСТ Р ИСО 9004-2010 "Менеджмент для достижения устойчивого успеха организации. Подход на основе менеджмента качества" |
ISO 12491:1997 | IDT | |
EN 1990:2002 | - | <*> |
<*> Соответствующий национальный стандарт отсутствует. До его утверждения рекомендуется использовать перевод на русский язык данного международного европейского стандарта. Примечание - В настоящей таблице использовано следующее условное обозначение соответствия стандартов: - IDT - идентичные стандарты. |