Главная // Актуальные документы // ГОСТ Р (Государственный стандарт)СПРАВКА
Источник публикации
М.: Стандартинформ, 2016
Примечание к документу
Документ
введен в действие с 1 сентября 2017 года.
Название документа
"ГОСТ Р ИСО 16826-2016. Национальный стандарт Российской Федерации. Неразрушающий контроль. Ультразвуковой контроль. Выявление дефектов, перпендикулярных к поверхности"
(утв. и введен в действие Приказом Росстандарта от 13.10.2016 N 1392-ст)
"ГОСТ Р ИСО 16826-2016. Национальный стандарт Российской Федерации. Неразрушающий контроль. Ультразвуковой контроль. Выявление дефектов, перпендикулярных к поверхности"
(утв. и введен в действие Приказом Росстандарта от 13.10.2016 N 1392-ст)
Утвержден и введен в действие
агентства по техническому
регулированию и метрологии
от 13 октября 2016 г. N 1392-ст
НАЦИОНАЛЬНЫЙ СТАНДАРТ РОССИЙСКОЙ ФЕДЕРАЦИИ
НЕРАЗРУШАЮЩИЙ КОНТРОЛЬ
УЛЬТРАЗВУКОВОЙ КОНТРОЛЬ
ВЫЯВЛЕНИЕ ДЕФЕКТОВ, ПЕРПЕНДИКУЛЯРНЫХ К ПОВЕРХНОСТИ
Non-destructive testing. Ultrasonic testing. Examination
for discontinuities perpendicular to the surface
(ISO 16826:2012, IDT)
ГОСТ Р ИСО 16826-2016
Дата введения
1 сентября 2017 года
1 ПОДГОТОВЛЕН Техническим комитетом по стандартизации ТК 357 "Стальные и чугунные трубы и баллоны", Негосударственным образовательным учреждением дополнительного профессионального образования "Научно-учебный центр "Контроль и диагностика" (НУЦ "Контроль и диагностика") и Открытым акционерным обществом "Российский научно-исследовательский институт трубной промышленности" (ОАО "РосНИТИ") на основе собственного перевода на русский язык англоязычной версии стандарта, указанного в пункте 4
2 ВНЕСЕН Техническим комитетом по стандартизации ТК 357 "Стальные и чугунные трубы и баллоны"
3 УТВЕРЖДЕН И ВВЕДЕН В ДЕЙСТВИЕ
Приказом Федерального агентства по техническому регулированию и метрологии от 13 октября 2016 г. N 1392-ст
4 Настоящий стандарт идентичен международному стандарту ИСО 16826:2012 "Неразрушающее испытание. Ультразвуковой контроль. Обнаружение несплошностей, перпендикулярных к поверхности" (ISO 16826:2012 "Non-destructive testing - Ultrasonic testing - Examination for discontinuities perpendicular to the surface", IDT).
При применении настоящего стандарта рекомендуется использовать вместо ссылочных международных стандартов соответствующие им национальные стандарты Российской Федерации, сведения о которых приведены в дополнительном
приложении ДА
5 ВВЕДЕН ВПЕРВЫЕ
Правила применения настоящего стандарта установлены в
статье 26 Федерального закона "О стандартизации в Российской Федерации". Информация об изменениях к настоящему стандарту публикуется в ежегодном (по состоянию на 1 января текущего года) информационном указателе "Национальные стандарты", а официальный текст изменений и поправок - в ежемесячном информационном указателе "Национальные стандарты". В случае пересмотра (замены) или отмены настоящего стандарта соответствующее уведомление будет опубликовано в ближайшем выпуске ежемесячного указателя "Национальные стандарты". Соответствующая информация, уведомление и тексты размещаются также в информационной системе общего пользования - на официальном сайте Федерального агентства по техническому регулированию и метрологии в сети Интернет (www.gost.ru)
Настоящий стандарт идентичен международному стандарту ИСО 16826, который был подготовлен Техническим комитетом ISO/TC 135 "Неразрушающий контроль", подкомитетом SC 3 "Ультразвуковой контроль".
ИСО 16826:2012 основан на ЕН 583-4:2002+А1:2003 "Неразрушающий контроль. Ультразвуковой контроль. Часть 4. Контроль прерывностей перпендикулярных к поверхности".
Настоящий стандарт взаимосвязан со следующими стандартами:
ИСО 16810 Неразрушающий контроль. Ультразвуковой контроль. Общие принципы (ISO 16810:2012 Non-destructive testing - Ultrasonic testing - General principles);
ИСО 16811 Неразрушающий контроль. Ультразвуковой контроль. Регулировка чувствительности и диапазона развертки (ISO 16811:2012 Non-destructive testing - Ultrasonic testing - Sensitivity and range setting);
ИСО 16823 Неразрушающий контроль. Ультразвуковой контроль. Техника передачи звукового сигнала (ISO 16823:2012 Non-destructive testing - Ultrasonic testing - Transmission technique);
ИСО 16827 Неразрушающий контроль. Ультразвуковой контроль. Определение характеристик и размера несплошностей (ISO 16827:2012 Non-destructive testing - Ultrasonic testing - Characterization and sizing of discontinuities);
ИСО 16828 Неразрушающий контроль. Ультразвуковой контроль. Техника с применением дифракции в зависимости от времени пролета в качестве метода обнаружения и определения размера несплошностей (ISO 16828:2012 Non-destructive testing - Ultrasonic testing - Time-of-flight diffraction technique as a method for detection and sizing of discontinuities)
Настоящий стандарт устанавливает общие положения контроля с применением метода тандем и метода продольно-продольно-поперечной волны (далее LLT-метод) для выявления дефектов, расположенных перпендикулярно поверхности.
Основные положения для ультразвукового контроля промышленной продукции приведены в ИСО 16810. Перечень обозначений и формул приведен в ИСО 16811.
Контроль методом тандем и LLT-методом может применяться для определения плоскостных дефектов, расположенных на глубине более 15 мм от поверхности. Настоящий стандарт разработан для контроля металлических материалов толщиной от 40 до 500 мм с параллельными или концентрическими поверхностями. Допускается использование его для других материалов и меньших толщин по специально разработанным процедурам.
Для применения настоящего стандарта необходимы следующие стандарты. Для датированных ссылок используют только указанное издание стандарта, для недатированных ссылок - последнее издание ссылочного стандарта, включая все его изменения:
ISO 5577 Non-destructive testing - Ultrasonic testing - Vocabulary (Неразрушающий контроль. Ультразвуковой контроль. Словарь)
ISO 16810 Non-destructive testing - Ultrasonic testing - General principles (Неразрушающий контроль. Ультразвуковой контроль. Общие принципы)
ISO 16811 Non-destructive testing - Ultrasonic testing - Sensitivity and range setting (Неразрушающий контроль. Ультразвуковой контроль. Регулировка чувствительности и диапазона развертки)
EN 1330-4 Non-destructive testing - Terminology - Terms used in ultrasonic testing (Неразрушающий контроль. Терминология. Часть 4. Термины, применяемые при ультразвуковом контроле)
В настоящем стандарте применены термины и определения по ИСО 5577 и ЕН 1330-4.
4. Контроль методом тандем
Контроль проводится двумя одинаковыми преобразователями с углом ввода 45°: один - излучатель, другой - приемник. Для стенки толщиной более 160 мм предпочтительными являются преобразователи с разными размерами активных элементов для обеспечения приблизительно одинаковых диаметров пучков в зоне контроля.
При определенных геометрических размерах объекта контроля возможно применение преобразователей под углом ввода, отличающимся от 45°. Следует избегать использования углов ввода, которые могут вызвать трансформацию волн.
Преобразователи располагаются в одном направлении по линии их акустических осей. Таким образом, звуковой пучок от заднего преобразователя будет после отражения от донной поверхности пересекать звуковой пучок от переднего преобразователя в центре зоны контроля.
На рисунке 1 показана взаимосвязь расстояния между преобразователями y, контролируемой глубины точки пересечения tm и высоты контролируемой зоны tz.
1 - преобразователь N 1; 2 - преобразователь N 2;
3 - зона контроля; a - проекция расстояния; d - толщина
материала; tm - контролируемая глубина точки пересечения;
y - расстояние между преобразователями; tz - высота
контролируемой зоны
Рисунок 1 - Схема метода тандем
Для контролируемого объекта с плоскими параллельными поверхностями расстояние между преобразователями может быть определено по следующей формуле

(1)
для преобразователей с углом ввода 45°:
y = 2(d - tm).
Сканирование должно осуществляться одним из следующих способов:
- оба преобразователя перемещаются по поверхности с постоянным расстоянием y.
В этом случае за один раз контролируется только одна зона контроля. Для проведения контроля в полном объеме сканирование должно быть повторено с разным расстоянием между преобразователями;
- оба преобразователя перемещаются одновременно так, что сумма их расстояний от требуемой плоскости пересечения, например вертикальной оси сварного шва, остается постоянной, таким образом за один цикл перемещения происходит сканирование всей толщины объекта.
4.2. Настройка временной развертки
В основном все соответствующие эхо-сигналы появляются при одинаковой длине пути звука, которая соответствует длине пути ультразвука от поверхности изделия до дна и обратно и образует фигуру в форме буквы "V" (V-путь). Поэтому настройка временной развертки не важна. Рекомендуется устанавливать фиксированное положение эхо-сигнала V-пути, например на восьмом делении шкалы.
4.3. Настройка чувствительности
Настройку чувствительности можно выполнять с использованием следующих отражателей:
- донная поверхность, где эхо-сигнал от донной поверхности используется как эхо-сигнал V-пути;
- плоскодонный отражатель, перпендикулярный к поверхности сканирования. Отражатель должен располагаться на пересечении осей пучков;
- боковые цилиндрические отверстия, расположенные на пересечении пучков и на границах контролируемой зоны.
4.4. Определение контролируемых зон
Деление на равные по размеру контролируемые зоны обеспечивает чувствительность по всей толщине не ниже определенного уровня. Высота контролируемой зоны рассчитывается так, чтобы чувствительность по границам контролируемых зон была не более чем на 6 дБ ниже чувствительности в точке пересечения осей пучков (см. рисунок 2).
A - диаметр звукового пучка; d - толщина материала;
tz - высота контролируемой зоны
Рисунок 2 - Контролируемые зоны
Высота контролируемой зоны tz, мм, может быть определена с помощью настроечного образца с отражателями на различных глубинах или рассчитывается с учетом диаметра прямого пучка и наибольшего пути звука в ближайшей к противоположной поверхности зоне контроля

(2)
для преобразователей с углом ввода 45°:
где Deff - эффективный диаметр преобразователя.
Число контролируемых зон:

(3)
где ntz = 1, 2, 3.
Расстояние между преобразователями
y, как показано на
рисунке 1, устанавливается для каждой контролируемой зоны с пересечением осей пучков в ее центре. В качестве альтернативы ширина и количество зон контроля, рассчитанных или измеренных на уровне 6 дБ сечений пучков, могут быть определены графически, используя чертежи, выполненные в масштабе.
4.5. DGS-диаграмма для метода тандем
DGS-диаграмма для метода тандем может быть производной от общей DGS-диаграммы, или быть основанной на диаграммах конкретных преобразователей.
DGS-диаграммы могут быть разработаны как показано на
рисунке 3. Среднее значение изменения усиления V
1 и V
2 получают из собственных диаграмм преобразователей или основной DGS-диаграммы. Они используются для создания кривой зависимости амплитуды от расстояния (DAC-кривая) для определенного контроля методом тандем с использованием плоскодонного отражателя (DSR).
DDSR - диаметр плоскодонного отражателя; s - длина пути
звука; t - глубина дефекта от сканируемой поверхности;
V - изменение усиления; 1, 2 - преобразователи
NN 1, 2; 3 - донная поверхность
Рисунок 3 - Схема разработки DGS-диаграммы
для метода тандем
4.6. Коррекция чувствительности
В зависимости от метода, применяемого для настройки чувствительности, может быть осуществлена коррекция потерь в контактной среде и на затухание.
Дополнительно должно быть компенсировано снижение чувствительности на границах зоны контроля. Чувствительность должна быть увеличена на 6 дБ, либо на значение, измеренное по плоскодонным отражателям, расположенным на границах зон контроля.
4.7. Объекты с концентрическими поверхностями
Преобразователи с углом ввода 45° применяются для выпуклых поверхностей сканирования с соотношением d/D <= 0,04 и для вогнутых поверхностей сканирования с соотношением d/D <= 0,05. В случае необходимости, углы ввода должны быть изменены, чтобы предотвратить трансформацию волн, которая может привести к снижению чувствительности.
Расстояние между преобразователями для контроля таких поверхностей может быть рассчитано по формулам, приведенным в
4.7.1 или
4.7.2.
В качестве альтернативы может применяться графическое определение расстояния между преобразователями с применением номограмм, рассчитанного или измеренного по сечению пучка 6 дБ.
Примечание - Номограммы для определения расстояния между преобразователями для выпуклых и вогнутых поверхностей сканирования приведены в
приложении А.
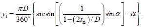
4.7.1 Вогнутая поверхность сканирования

(4)
Зона тандема:

(5)

(6)
Примечание - Схема к
формулам 4,
5 и 6 приведена на рисунке 4.
D - наружный диаметр; d - толщина материала;
tm - контролируемая глубина точки пересечения
Рисунок 4 - Вогнутая поверхность сканирования
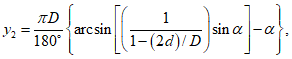
4.7.2 Выпуклая поверхность сканирования

(7)
Зона тандема:

(8)

(9)
Примечание - Схема к
формулам 7,
8 и 9 приведена на рисунке 5.
D - наружный диаметр; d - толщина материала;
tm - контролируемая глубина точки пересечения
Рисунок 5 - Выпуклая поверхность сканирования
Схема контроля LLT-методом приведена на
рисунке 6. Излучающий активный элемент
TT генерирует продольные волны под углом ввода

от 7° до 45°. Волна отражается от донной поверхности объекта контроля и попадает на дефект, предположительно ориентированный перпендикулярно. В этой точке наибольшее количество энергии трансформируется в поперечную волну, которая отражается обратно под углом

и регистрируется принимающим активным элементом
TR. Зависимость между

и

приведена в формуле (10), где
cT и
cL - скорости поперечной и продольной волны соответственно.

(10)
TT - излучающий активный элемент;
TR - принимающий активный элемент; e - расстояние
между точками выхода активных элементов; d - толщина
материала; L - путь продольной волны;
T - путь поперечной волны
Рисунок 6 - Схема контроля LLT-методом
Для контроля стенки по всей толщине применяется несколько преобразователей, каждый из которых охватывает определенную зону контроля.
5.2. Настройка временной развертки и определение глубины дефекта
Временная развертка преобразователя настраивается для поперечных волн, используя активный элемент
TR LLT-преобразователя в режиме излучения и приема за цикл (см.
рисунок 7, а).
Преобразователь, используемый в LLT-режиме (с TT-активным элементом, работающим как излучатель, TR-активным элементом - как приемник), должен быть проверен на настроечном образце той же толщины, что и объект контроля, имеющим несколько отверстий с плоским дном, ориентированным вертикально (см. рисунок 7, b). Полученная длина пути звука по временной развертке для каждого отражателя должна быть указана в таблице или на диаграмме напротив их глубины относительно сканируемой поверхности (см. рисунок 7, c).
Затем таблица или диаграмма применяется для определения глубины дефекта t по измеренной длине пути звука (см. рисунки 7, c и 7, d).
1 - настроечный образец; t - глубина дефекта
от сканируемой поверхности; s - длина пути звука
Рисунок 7 - Определение глубины дефекта
5.3. Настройка чувствительности
Настройка чувствительности может быть выполнена с использованием следующих отражателей:
- торцевой поверхности, ориентированной перпендикулярно к поверхности сканирования;
- плоскодонного отражателя, ориентированного перпендикулярно к поверхности сканирования.
5.4. Определение контролируемой глубины
Как и при методе тандем, LLT-метод имеет максимальную чувствительность в точке пересечения акустических осей излучателя и приемника. Глубина точки пересечения
tm зависит от выбора пар углов

и

, толщины материала
d, расстояния
e между точками ввода пучка
TT и
TR (см. рисунок 8). Если точка выхода пучка излучателя
TT расположена впереди точки выхода пучка приемника
TR, то глубина определяется по следующей формуле

(11)
TT - излучающий активный элемент;
TR - принимающий активный элемент; e - расстояние
между точками выхода активных элементов; d - толщина
материала; tm - контролируемая глубина точки пересечения;
L - путь продольной волны; T - путь поперечной волны
Рисунок 8 - Определение контролируемой глубины, TR-режим
Если точка выхода пучка приемника TR расположена перед точкой выхода пучка излучателя TT (см. рисунок 9), глубина определяется по следующей формуле

(12)
TT - излучающий активный элемент;
TR - принимающий активный элемент; e - расстояние
между точками выхода активных элементов; d - толщина
материала; tm - контролируемая глубина точки пересечения;
L - путь продольной волны; T - путь поперечной волны
Рисунок 9 - Определение контролируемой глубины, RT-режим
Формулы (11) и
(12) верны также в случае, если излучатель и приемник имеют раздельные корпусы.
Как и при методе тандем, глубина контролируемой зоны может быть определена геометрически с использованием сечений пучков излучателя и приемника на уровне 6 дБ.
5.5. DGS-диаграмма для LLT-метода
Определение амплитуды эхо-сигнала может быть выполнено с использованием DGS-диаграммы, которая определяется экспериментально или поставляется изготовителем преобразователя.
5.6. Коррекция чувствительности
Дополнительно к коррекции передачи (контактная среда и затухание звука), для компенсации потери чувствительности на границах контролируемых зон, должна быть выполнена коррекция на 6 дБ.
(справочное)
НОМОГРАММЫ ДЛЯ ОПРЕДЕЛЕНИЯ РАССТОЯНИЯ ТАНДЕМА
ДЛЯ ВЫПУКЛЫХ И ВОГНУТЫХ СКАНИРУЕМЫХ ПОВЕРХНОСТЕЙ
1) выбрать контролируемую глубину;
2) провести горизонтальную прямую до линии, соответствующей углу преобразователя;
3) провести вертикальную прямую до пунктирной линии;
4) провести горизонтальную прямую до кривых, соответствующих расстояниям тандема;
5) выбрать соотношение d/D;
6) провести горизонтальную прямую до кривой, соответствующей углу преобразователя;
7) провести вертикальную прямую до кривых, соответствующих расстояниям тандема;
8) снять значение расстояния тандема по точке пересечения прямых 4 и 7. Если точка пересечения не попадает на кривую, значение определяется интерполяцией.
Рисунок А.1 - Номограмма для выпуклых поверхностей
Рисунок А.2 - Номограмма для вогнутых поверхностей
(справочное)
СВЕДЕНИЯ О СООТВЕТСТВИИ ССЫЛОЧНЫХ МЕЖДУНАРОДНЫХ СТАНДАРТОВ
НАЦИОНАЛЬНЫМ СТАНДАРТАМ РОССИЙСКОЙ ФЕДЕРАЦИИ
Таблица ДА.1
Обозначение ссылочного международного стандарта | Степень соответствия | Обозначение и наименование соответствующего национального стандарта |
ISO 5577 | IDT | ГОСТ Р ИСО 5577-2009 "Контроль неразрушающий. Ультразвуковой контроль. Словарь" |
ISO 16810 | IDT | ГОСТ Р ИСО 16810 "Неразрушающий контроль. Ультразвуковой контроль. Общие положения" |
ISO 16811 | IDT | ГОСТ Р ИСО 16811 "Неразрушающий контроль. Ультразвуковой контроль. Настройка чувствительности и диапазона" |
EN 1330-4 | - | <*> |
<*> Соответствующий национальный стандарт отсутствует. До его утверждения рекомендуется использовать перевод на русский язык данного международного или регионального стандарта. Примечание - В настоящей таблице использовано следующее условное обозначение степени соответствия стандартов: - IDT - идентичные стандарты. |