Главная // Актуальные документы // ГОСТ Р (Государственный стандарт)СПРАВКА
Источник публикации
М.: Стандартинформ, 2016
Примечание к документу
Документ
введен в действие с 1 июня 2017 года.
Название документа
"ГОСТ Р 57148-2016 (ИСО 19901-1:2015). Национальный стандарт Российской Федерации. Нефтяная и газовая промышленность. Сооружения нефтегазопромысловые морские. Проектирование и эксплуатация с учетом гидрометеорологических условий"
(утв. и введен в действие Приказом Росстандарта от 11.10.2016 N 1372-ст)
"ГОСТ Р 57148-2016 (ИСО 19901-1:2015). Национальный стандарт Российской Федерации. Нефтяная и газовая промышленность. Сооружения нефтегазопромысловые морские. Проектирование и эксплуатация с учетом гидрометеорологических условий"
(утв. и введен в действие Приказом Росстандарта от 11.10.2016 N 1372-ст)
Утвержден и введен в действие
агентства по техническому
регулированию и метрологии
от 11 октября 2016 г. N 1372-ст
НАЦИОНАЛЬНЫЙ СТАНДАРТ РОССИЙСКОЙ ФЕДЕРАЦИИ
НЕФТЯНАЯ И ГАЗОВАЯ ПРОМЫШЛЕННОСТЬ
СООРУЖЕНИЯ НЕФТЕГАЗОПРОМЫСЛОВЫЕ МОРСКИЕ
ПРОЕКТИРОВАНИЕ И ЭКСПЛУАТАЦИЯ
С УЧЕТОМ ГИДРОМЕТЕОРОЛОГИЧЕСКИХ УСЛОВИЙ
Petroleum and natural gas industry.
Offshore oil and gas field structures.
Design and operation under metocean conditions
(ISO 19901-1:2015, Petroleum and natural gas
industries - Specific requirements for offshore
structures - Part 1: Metocean design and operating
considerations, MOD)
ГОСТ Р 57148-2016
(ИСО 19901-1:2015)
Дата введения
1 июня 2017 года
1 ПОДГОТОВЛЕН Филиалом ООО "ЛУКОЙЛ-Инжиниринг" "ВолгоградНИПИморнефть" в городе Волгограде на основе официального перевода на русский язык англоязычной версии указанного в пункте 4 стандарта, который выполнен ФГУП "Стандартинформ"
2 ВНЕСЕН Техническим комитетом по стандартизации ТК 23 "Нефтяная и газовая промышленность"
3 УТВЕРЖДЕН И ВВЕДЕН В ДЕЙСТВИЕ
Приказом Федерального агентства по техническому регулированию и метрологии от 11 октября 2016 г. N 1372-ст
4 Настоящий стандарт является модифицированным по отношению к международному стандарту ИСО 19901-1:2015 "Нефтяная и газовая промышленность. Специальные требования к морским сооружениям. Часть 1. Проектирование и эксплуатация с учетом гидрометеорологических условий" (ISO 19901-1:2015 "Petroleum and natural gas industries - Specific requirements for offshore structures - Part 1: Metocean design and operating considerations", MOD) путем внесения технических отклонений, объяснение которых приведено во
введении к настоящему стандарту.
Наименование настоящего стандарта изменено относительно наименования указанного международного стандарта для приведения в соответствие с ГОСТ Р 1.5-2012
(пункт 3.5).
Сведения о соответствии ссылочных национальных стандартов международным стандартам, использованным в качестве ссылочных в примененном международном стандарте, приведены в дополнительном
приложении ДБ
5 ВВЕДЕН ВПЕРВЫЕ
Правила применения настоящего стандарта установлены в
статье 26 Федерального закона от 29 июня 2015 г. N 162-ФЗ "О стандартизации в Российской Федерации". Информация об изменениях к настоящему стандарту публикуется в ежегодном (по состоянию на 1 января текущего года) информационном указателе "Национальные стандарты", а текст изменений и поправок - в ежемесячном информационном указателе "Национальные стандарты". В случае пересмотра (замены) или отмены настоящего стандарта соответствующее уведомление будет опубликовано в ежемесячном информационном указателе "Национальные стандарты". Соответствующая информация, уведомление и тексты размещаются также в информационной системе общего пользования - на официальном сайте Федерального агентства по техническому регулированию и метрологии в сети Интернет (www.gost.ru)
Темпы освоения углеводородных ресурсов шельфа Российской Федерации предопределили необходимость создания серии нормативных документов, в полной мере обеспечивающих процесс проектирования объектов обустройства морских месторождений нефти и газа.
В Российской Федерации начата активная разработка национальных стандартов в области морской нефтегазодобычи, которая в соответствии с принципами национальной стандартизации основывается на применении международных стандартов, а также учитывает многолетний накопленный отечественный опыт проектирования, строительства и эксплуатации морских нефтегазопромысловых сооружений.
Целью разработки настоящего стандарта является обеспечение безопасности при осуществлении работ по освоению морских месторождений, расположенных на шельфе морей (в том числе замерзающих) Российской Федерации путем повышения надежности эксплуатации морских нефтегазопромысловых сооружений, а также повышения качества их проектирования и эксплуатации за счет учета гидрометеорологических условий района эксплуатации.
Настоящий стандарт является модифицированным по отношению к международному стандарту ИСО 19901-1:2015 "Нефтяная и газовая промышленность. Специальные требования к морским сооружениям. Часть 1. Проектирование и эксплуатация с учетом гидрометеорологических условий" (ISO 19901-1:2015 "Petroleum and natural gas industries. Specific requirements for offshore structures. Part 1: Metocean design and operating considerations") и разработан в развитие требований нормативных положений основополагающего ГОСТ Р 54483-2011 (ИСО 19900:2002) "Нефтяная и газовая промышленность. Платформы морские для нефтегазодобычи. Общие требования". Положения, учитывающие особенности национальной стандартизации и специфику национальной практики в области проектирования и строительства морских нефтегазопромысловых сооружений, приведены в дополнительных структурных элементах
6.10,
9.9,
10.6,
разделе 11 и дополнительном
приложении ДА. Эти дополнительные положения заключены в рамки из тонких линий.
Подраздел 6.10 добавлен в соответствии с требованиями
подразделов 4.26,
6.26 и
6.30 СП 58.13330.2012 "Гидротехнические сооружения. Основные положения. Актуализированная редакция СНиП 33-01-2003" в части контроля и прогнозирования показателей природных воздействий, а также мониторинга состояния окружающей природной среды.
Подразделы 9.9 и
10.6 включены в целях максимального учета при проектировании, сложных геометрических форм и специфики архитектурно-конструктивного типа морских нефтегазопромысловых сооружений, в части экспериментального определения величин воздействий от льда, волн, течений и размывов на основе модельных испытаний.
Раздел 11 добавлен в связи с необходимостью учета при проектировании природно-климатических особенностей расположения континентального шельфа Российской Федерации, связанных с суровыми ледовыми условиями. Дополнительное
приложение ДА включено в соответствии с требованиями подпункта 5.10.1.10 основополагающего ГОСТ Р 54483-2011 "Нефтяная и газовая промышленность. Платформы морские для нефтегазодобычи. Общие требования" в части необходимости разработки временных локально-технических условий по гидрометеорологическим характеристикам площадки установки сооружения, необходимым для принятия проектных решений.
В целях улучшения понимания пользователями некоторых положений и терминологических статей настоящего стандарта, а также для учета требований российских нормативных документов и отечественной специфики проектирования и строительства морских нефтегазопромысловых сооружений в текст внесены изменения и дополнения, выделенные полужирным курсивом.
В настоящий стандарт не включено большинство нормативных ссылок ввиду отсутствия принятых гармонизированных национальных стандартов.
Настоящий стандарт устанавливает общие требования для определения и использования параметров гидрометеорологических условий площадки установки при проектировании, строительстве и эксплуатации морских нефтегазопромысловых сооружений (МНГС), устанавливаемых на континентальном шельфе морей (в том числе замерзающих) Российской Федерации.
Требования делятся на две группы:
а) касающиеся определения условий внешней среды в целом, вместе с гидрометеорологическими параметрами, необходимыми для их описания;
б) касающиеся определения и использования гидрометеорологических параметров при проектировании, строительстве и эксплуатации МНГС.
Описываемые условия внешней среды и гидрометеорологические параметры включают:
- экстремальные значения гидрометеорологических параметров с установленным периодом повторяемости, значительно превышающим расчетный срок службы сооружения;
- аномальные значения гидрометеорологических параметров с установленным периодом повторяемости, значительно превышающим расчетный срок службы сооружения;
- нормальные условия внешней среды, которые прогнозируются как наиболее частые во время всего расчетного срока службы сооружения;
- долгосрочные распределения гидрометеорологических параметров в форме суммарных, условных, граничных или обобщенных статистических данных гидрометеорологических параметров.
Гидрометеорологические параметры следует учитывать при:
- определении воздействий и нагрузочных эффектов при проектировании новых сооружений;
- определении воздействий и нагрузочных эффектов при оценке существующих сооружений;
- оценке условий площадки установки плавучих буровых установок;
- определении ограничивающих условий внешней среды, окон погоды, воздействий и нагрузочных эффектов для строительно-монтажных и демонтажных работ в море (т.е. изготовлении, транспортировании, установке на точке строительства или выводе из эксплуатации и демонтажа сооружения);
- эксплуатации сооружения.
Для большинства шельфовых акваторий районов установки морских нефтегазопромысловых сооружений доступно небольшое количество числовых данных о гидрометеорологических условиях в прошлом. В соответствующих случаях сбор полных данных начат лишь недавно, например, при разведке залежей углеводородных ресурсов. Несмотря на, как правило, небольшую продолжительность сбора данных, во время проектирования морских сооружений необходимо оценивать экстремальные и аномальные условия окружающей среды (используется индивидуальная или суммарная вероятность порядка 1 x 10-2/год и 1 x 10-3 - 1 x 10-4/год соответственно).
При постройке МНГС под техническим наблюдением Российского морского регистра судоходства (РМРС) следует выполнять требования Правил РМРС [1], [2], [3] в части общих принципов проектирования конструкций с учетом внешних условий района эксплуатации, включая гидрометеорологическую обстановку.
В настоящем стандарте использованы нормативные ссылки на следующие документы:
ГОСТ Р 54483-2011 Нефтяная и газовая промышленность. Платформы морские для нефтегазодобычи. Общие требования
ГОСТ Р 55311 Нефтяная и газовая промышленность. Сооружения нефтегазопромысловые морские. Термины и определения
СП 11-114 Инженерные изыскания на континентальном шельфе для строительства морских нефтегазопромысловых сооружений
СП 58.13330 Гидротехнические сооружения. Основные положения
Примечание - При пользовании настоящим стандартом целесообразно проверить действие ссылочных стандартов (сводов правил) в информационной системе общего пользования - на официальном сайте Федерального агентства по техническому регулированию и метрологии в сети Интернет или по ежегодному информационному указателю "Национальные стандарты", который опубликован по состоянию на 1 января текущего года, и по выпускам ежемесячного информационного указателя "Национальные стандарты" за текущий год. Сведения о действии свода правил можно проверить в Федеральном информационном фонде технических регламентов и стандартов. Если заменен ссылочный документ, на который дана недатированная ссылка, то рекомендуется использовать действующую версию этого документа с учетом всех внесенных в данную версию изменений. Если заменен ссылочный документ, на который дана датированная ссылка, то рекомендуется использовать версию этого документа с указанным выше годом утверждения (принятия). Если после утверждения настоящего стандарта в ссылочный документ, на который дана датированная ссылка, внесено изменение, затрагивающее положение, на которое дана ссылка, то это положение рекомендуется применять без учета данного изменения. Если ссылочный документ отменен без замены, то положение, в котором дана ссылка на него, рекомендуется применять в части, не затрагивающей эту ссылку.
В настоящем стандарте применены термины по
ГОСТ Р 55311, а также следующие термины с соответствующими определениями:
3.1 аномальное значение (abnormal value): Расчетное значение параметра высокой интенсивности, используемое при проверках по особому (чрезвычайному) предельному состоянию.
Примечание - Аномальные ситуации имеют вероятность наступления порядка от 10-3 до 10-4 в год. При проверке по предельному состоянию некоторые или все коэффициенты надежности устанавливаются равными 1,0.
3.2 глубина воды (water depth): Вертикальное расстояние между поверхностью морского дна и уровнем спокойной воды.
Примечания
1 Поскольку существуют несколько вариантов уровня спокойной воды (см.
3.35), может быть также и несколько значений глубины воды. Как правило, расчетная глубина воды определяется относительно уровня наинизшего астрономического отлива или среднего уровня моря.
2 Глубина воды, используемая для расчета кинематики волны, как правило изменяется от максимальной глубины воды при наивысшем астрономическом приливе плюс положительный штормовой нагон до минимальной глубины воды при наинизшем астрономическом отливе минус отрицательный штормовой нагон.
3.3 диаграмма разброса данных (scatter diagram): Суммарная вероятность двух или более гидрометеорологических параметров.
Примечание - Диаграмма разброса данных чаще всего используется с параметрами волн в контексте оценки гидрометеорологических условий (см.
А.5.8). Диаграмма разброса волновых данных рассматривается как вероятность совпадения волны значимой высоты
Hs и характерного периода
Tz или
Tp.
3.4 долгосрочное распределение (long-term distribution): Распределение вероятности параметра в течение длительного времени.
Примечание - Временная шкала превышает продолжительность состояния моря, когда статистические данные принимаются как постоянные (см.
3.6). Следовательно, временная шкала сравнима с продолжительностью сезона или расчетным сроком службы сооружения.
Пример - Долгосрочные распределения:
- высота значимой волны;
- высоты значимых волн в период с мая по сентябрь;
- высота отдельной волны;
- скорости течения (для оценки вибрации морского райзера, вызванной вихревым потоком);
- диаграммы разброса данных с общим распределением высот значимых волн и периода волны (для анализа усталости) или конкретного нагрузочного эффекта.
3.5 зыбь (swell): Состояние моря, при котором ветровые волны пришли на рассматриваемую акваторию из района своего зарождения, а не возникли непосредственно на площадке установки сооружения.
3.6 краткосрочное распределение (short-term distribution): Распределение вероятности параметра за короткий интервал времени, в течение которого условия принимаются статистически постоянными.
Примечание - Выбранный интервал чаще всего является продолжительностью определенного состояния моря.
3.7 крутизна волны (wave steepness): Характеристика отдельных волн, определяемая как высота волны, поделенная на длину волны.
Примечание - Для периодических волн понятие имеет прямое вычисление в виде

. Для случайных волн определение используют вместе с параметрами: характерная высота волны
Hs и длина волны

, которая соответствует периоду пика
Tp волнового спектра при больших глубинах. Соответственно, характерную крутизну волны определяют как

, которая, как правило, варьируется от 1/16 до 1/20 для сильного волнения моря.
3.8 метеоретроспективный прогноз (hindcasting): Метод моделирования исторических (гидрометеорологических) данных для региона путем числового моделирования.
3.9 морское дно (seabed): Полупространство грунтового основания, расположенное ниже поверхности морского дна, на которое устанавливается сооружение.
3.10 морское обрастание (marine growth): Живые организмы, прикрепившиеся к морскому сооружению.
3.11 муссон (monsoon): Ветер, который в течение нескольких месяцев дует примерно в одном направлении.
3.12 наиболее вероятный максимум (most probable maximum): Значение максимума переменной с наивысшей вероятностью возникновения.
Примечание - Наиболее вероятный максимум - значение, для которого функция плотности вероятности максимумов переменных имеет наивысшее значение. Также называется режим статистического распределения.
3.13 нуль глубин (chart datum): Уровень условной поверхности, к которой приводят измеренные глубины при камеральной обработке материалов.
Примечание - На морях с приливами менее 50 см за данный уровень принимается средний многолетний уровень моря, на морях с приливами 50 см и более - наинизший теоретический уровень моря.
3.14 остаточное течение (residual current): Часть течения, которая не определяется ни одной из гармонических постоянных приливно-отливного течения.
Примечание - Остаточные течения вызываются различными физическими механизмами и имеют широкий диапазон естественных частот и интенсивности в различных регионах.
3.15 период пика спектра (spectral peak period): Период максимума плотности энергии в спектре.
Примечание - На практике часто в спектре присутствуют несколько пиков.
3.16 период повторяемости (return period): Средний период времени между возникновениями события или случаями превышения какого-либо значения.
Примечание - Как правило, для природных явлений, используется период повторяемости, измеряемый в годах. Период повторяемости в годах равен величине, обратной годовой вероятности превышения события.
3.17 поверхность морского дна (sea floor): Поверхность контакта толщи воды и грунтового основания.
3.18 полярный минимум (polar low): Депрессия, возникающая в полярном воздухе, часто вблизи границы между льдом и морем.
3.19 порыв ветра (gust): Кратковременное увеличение и падение скорости ветра, длящееся менее одной минуты.
3.20 предельное распределение (marginal distribution), предельная вероятность (marginal probability): Статистическое распределение (вероятность) наступления переменной A, полученное путем объединения всех значений других параметров B, C и т.д.
Примечание - Предельная вероятность A для всех значений B, C и т.д. записывается как P(A). Применимо к гидрометеорологическим параметрам, а также к воздействиям и нагрузочным эффектам.
Пример - При рассмотрении волнового режима A может означать отметку отдельного гребня для всех периодов нулевого пересечения B и всех высот значимых волн C на конкретном участке.
3.21 расчетная волна (design wave): Детерминистская волна, используемая для проектирования морских сооружений.
Примечания
1 Расчетная волна - это инженерная абстрактная модель. Чаще всего это периодическая волна с подходящими характеристиками (высотой H, периодом T, крутизной, отметкой гребня). Выбор расчетной волны зависит от:
- целей проектирования;
- внешних природных условий;
- геометрии сооружения;
- типа рассматриваемых воздействий или нагрузочных эффектов.
2 Как правило, расчетная волна применима только к расчетным ситуациям, когда нагрузочные эффекты квазистатически связаны с ассоциированными воздействиями волн на сооружение.
3.22 расчетная отметка гребня (design crest elevation): Экстремальная отметка гребня, измеренная относительно уровня спокойной воды.
Примечание - Расчетная отметка гребня используется в сочетании с информацией об астрономическом приливе, штормовых нагонах, осадке МНГС, оседании коллектора и неопределенности глубины воды и получается в результате анализа экстремальных значений. Из-за упрощенного характера моделей, используемых для оценки кинематики расчетной волны, величина расчетной отметки гребня может отличаться (как правило, немного превышать) от величины отметки гребня волны, используемой для расчетов воздействий на сооружение.
3.23 сейша (seiche): Колебание уровня воды в акватории, имеющее собственный период.
3.24 скорость ветра при порывах (gust wind speed): Максимальное значение скорости ветра при порыве, усредненное за короткий (от 3 до 60 с) указанный период для более длительного указанного периода (от 1 мин до 1 ч).
Примечания
1 Для целей проектирования указанный период зависит от размеров и периода собственных колебаний проектируемого сооружения (или его части) таким образом, что сооружение проектируют для наиболее суровых условий; так небольшая часть сооружения проектируют для более короткого периода порыва ветра (и, следовательно, более высокой скорости порывистого ветра), чем более крупное сооружение (или его часть).
2 На практике для целей проектирования значения скорости порывистого ветра для различных периодов (3 с, 5 с, 15 с, 60 с) получают из анализа спектра ветра.
3.25 состояние моря (sea state): Морские условия в период времени, когда его статистические показатели остаются примерно постоянными.
Примечание - С точки зрения статистики состояние моря не меняется существенным образом за этот период времени. Период времени, когда это условие выполняется, обычно принимается равным трем часам, хотя это зависит от конкретных погодных условий в определенный момент времени.
3.26 спектр ветра (wind spectrum): Мера изменения параметра, связанного с колебаниями скорости ветра на единичной полосе частот.
Примечания
1 Спектр ветра является выражением динамических свойств ветра (турбулентности). Термин отражает колебания приблизительно в том же направлении, что и определенная средняя скорость ветра, как правило, скорость установившегося ветра за 1 ч. Соответственно, в настоящем стандарте с понятием спектра ветра не связано возможное изменение направления.
2 Поскольку скорость установившегося ветра изменяется с высотой, спектр ветра зависит от высоты.
3.27 спектр волнения (wave spectrum): Мера количества энергии, связанной с флуктуацией от метки поверхности моря, на единичной полосе частот и единичном направленном секторе.
Примечания
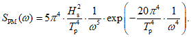
1 Частотный спектр волнения (интегрированный по всем направлениям) часто описывают с использованием некоторых параметрических форм, таких как спектр волнения Пирсона-Московица или JONSWAP.
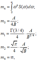
2 Область под спектром волнения - спектральный момент нулевого порядка m0, который является мерой общего количества энергии состояния моря. m0 используют в современных определениях характерной высоты волны.
3.28 спектральный момент (spectral moment),
n-й спектральный момент (
nth spectral moment): Интеграл по частоте функции спектральной плотности, умноженный на
n-й порядок частоты, выраженный либо в герцах как

, либо в угловой частоте (рад/с) как

.
Примечание - Поскольку

, отношение между двумя выражениями момента выглядит следующим образом:

.
3.29 средний период нулевого пересечения (mean zero-crossing period): Средний период нулевого пересечения волн (снизу вверх и сверху вниз) при каком-либо состоянии моря.
Примечание - На практике средний период нулевого пересечения часто рассчитывают от спектральных моментов нулевого и второго порядка волнового спектра как

.
3.30 средний уровень моря (mean sea level): Среднеарифметическое всех значений уровня моря, измеряемого в течение длительного периода.
Примечание - В некоторых регионах могут наблюдаться сезонные изменения среднего уровня моря. Средний уровень моря может измениться через длительные периоды времени.
3.31 средняя скорость ветра (mean wind speed): Скорость ветра, осредненная за определенный период времени.
Примечание - Средняя скорость ветра зависит от высоты над средним уровнем моря и периода осреднения. Стандартная начальная отметка высоты составляет 10 м, стандартный интервал времени усреднения - 1 ч. См. также термины "установившаяся скорость ветра" (см.
3.37) и "скорость ветра при порывах" (см.
3.24).
3.32 тропический циклон (tropical cyclone): Закрытая атмосферная или океаническая циркуляция вокруг зоны низкого давления, которая зарождается в тропических широтах над океанами.
3.33 наивысший теоретический уровень прилива (возможный по астрономическим причинам) (highest astronomical tide): Уровень полного прилива, когда все факторы, вызывающие прилив, совпадают по фазе.
3.34 наивысший теоретический уровень отлива (возможный по астрономическим причинам) (lowest astronomical tide): Уровень отлива, когда все факторы, вызывающие отлив, совпадают по фазе.
3.35 уровень спокойной воды (still water level): Абстрактный уровень воды, который, как правило, используют для расчета кинематики волн для оценки глобальных воздействий, а также отметки гребня волны для оценки минимальной отметки высоты нижней палубы МНГС.
Примечание - Уровень тихой воды - это инженерная абстракция, рассчитываемая путем сложения величин приливов, штормовых нагонов и глубины воды, при этом изменения уровня, вызванные волнением, не учитывают (см.
рисунок 1). Уровень спокойной воды может иметь отметку выше или ниже среднего уровня моря.
3.36 условное распределение (conditional distribution), условная вероятность (conditional probability): Статистическое распределение (вероятность) наступления переменной A, при условии, что иные переменные B, C и т.д. имеют некие присвоенные им значения.
Примечание - Условная вероятность реализации A при B, C и т.д. записывают как P(A|B, C, ...). Данное положение применимо к гидрометеорологическим параметрам, а также к воздействиям и нагрузочным эффектам.
Пример - При рассмотрении параметров волн A может означать отметку отдельного гребня, B - глубину воды, а C - значительную высоту волны и т.д.
3.37 установившаяся скорость ветра (sustained wind speed): Осредненная по времени скорость ветра с продолжительностью осреднения не менее 10 мин.
3.38 функция спектральной плотности (spectral density function), функция плотности энергии (energy density function), спектр (spectrum): Мера изменения параметра, зависящего от времени, на единичной полосе частот и единичном направленном секторе.
Примечания
1 Спектр - сокращенный вариант полного и официального названия функции спектральной плотности или функции плотности энергии.
2 Функция спектральной плотности представляет собой изменение (средний квадрат) определенного параметра, зависящего от времени, в каждой полосе частот и направленном секторе. Следовательно, спектр, как правило, записывают с двумя аргументами: один для параметра частоты и один для параметра разброса.
3 В настоящем стандарте понятие спектра применяют к волнам, ветровой турбулентности и нагрузочным эффектам (откликам), вызванным волнами или ветровой турбулентностью.
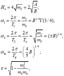
3.39 характерная высота волны (significant wave height): Статистическая мера высоты волн при определенном состоянии моря.
Примечание - Характерная высота волны изначально определялась как среднее от 1/3 наибольших значений волн нулевого пересечения при каком-либо состоянии моря. В большинстве систем сбора гидрометеорологических данных характерная высота волны сегодня принимается равной

(где
m0 - спектральный момент нулевого порядка, (см.
3.28)) или

, где

- стандартное отклонение временных рядов отметки уровня поверхности воды за время проведения измерений, как правило, продолжительностью примерно 30 мин.
3.40 цунами (tsunami): Длиннопериодные волны, вызванные быстрым вертикальным движением морского дна.
Примечание - Вертикальное движение морского дна часто связано со сбросовым разрывом во время землетрясений или с грязевыми оползнями морского дна.
3.41 шквал (squall): Сильное ветровое воздействие, характеризующееся внезапным началом, продолжительностью порядка нескольких минут и последующим внезапным уменьшением скорости.
Примечания
1 Шквал часто сопровождается изменением направления ветра, падением температуры воздуха и интенсивными осадками.
2 При шквале скорость ветра как правило превышает 8 м/с и длится более 2 мин (что отличает его от порыва ветра).
3.42 штормовой нагон (storm surge): Изменение уровня моря (как положительное, так и отрицательное) вследствие метеорологического (а не приливного) воздействия.
3.43 эксплуатационные условия (operating conditions): Наиболее жесткая комбинация условий окружающей среды, при которой допускается эксплуатация сооружения.
Примечание - Эксплуатационные условия определяются для операций, оказывающих значительное воздействие на сооружение. Эксплуатационные условия, как правило, представляют собой компромисс: они достаточно жесткие, чтобы операции осуществлялись в целом без сверхнормативного простоя, и одновременно не настолько жесткие, чтобы оказывать чрезмерное воздействие на конструкцию.
3.44 экстремальное значение (extreme value): Расчетное значение параметра, используемое при проверках по основному предельному состоянию, когда предполагается, что глобальное поведение конструкции остается в пределах диапазона упругих деформаций.
Примечание - Экстремальные ситуации имеют вероятность наступления порядка 10-2 в год.
В настоящем стандарте использованы следующие обозначения:
A - параметр спектра Пирсона-Московица;
B - параметр спектра Пирсона-Московица;
c - скорость волны (фазовая скорость волны);

- функция направленного распространения волны;

- общая форма функции направленного распространения волны;
d - глубина воды;
Fcoh(f, P1, P2) - функция когерентности между колебаниями турбулентности P1(x1, y1, z1) и при P2(x2, y2, z2);
Fn - коэффициент нормализации (масштабирования) для спектра JONSWAP;
Fn,sw - коэффициент нормализации (масштабирования) для спектра зыби;
Fs - коэффициент удлинения;
f - частота в циклах за секунду;
g - ускорение свободного падения;
H - высота отдельной волны;
Hb - высота разрушающейся волны;
HN - максимальная высота отдельной волны с периодом повторяемости N лет;
Hs - высота характерной волны;
Iu(z) - интенсивность турбулентности ветров в z метров над средним уровнем моря;
k - волновое число =

;
mn -
n-й спектральный момент (относительно f или

). В частности,
m0 - спектральный момент нулевого порядка, равен

;
S - функция спектральной плотности, функция плотности энергии;
S(
f),

- частотный спектр волны;

,

- направленный спектр волны;
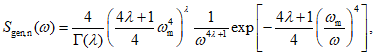
Sgen - общая формулировка спектра для некоего состояния моря;
SJS - спектр JONSWAP для какого-либо состояния моря;
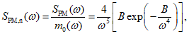
SPM - спектр Пирсона-Московица для какого-либо состояния моря;
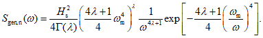
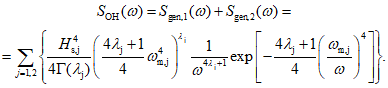
SOH - спектр Оки-Хаббла для общего состояния моря, представляющий собой комбинацию двух состояний моря с общей формулой;
Ssw(
f),

- спектр зыби;
T - период волны; также период в общем смысле;
T0 - стандартный начальный интервал осреднения скорости ветра, равный одному часу;
Ta - кажущийся период периодической волны (относительно наблюдателя в наземной системе координат);
Te - период встречи периодической волны (относительно наблюдателя в системе координат, которая движется относительно земли и волны; система, как правило, зафиксирована на движущемся судне);
Ti - истинный период периодической волны (в системе координат, которая неподвижна относительно волны, т.е. без учета течения);
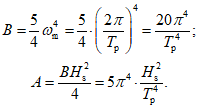
Tp - пиковый или модальный период спектра;
Tz - средний период нулевого пересечения отметки уровня поверхности воды при каком-либо состоянии моря;
T1 - средний период отметки уровня поверхности воды при определенном состоянии моря, определяемый спектральными моментами нулевого и первого порядка;
t - время;
Uc - скорость свободного установившегося течения;
Uc0 - скорость поверхностного течения при z = 0;
Uref - начальная скорость ветра, Uref = 10 м/с;
Uc(z) - скорость течения на глубине z (z <= 0);
Uw(z, t) - скорость ветра, изменяемая в пространстве и времени, на высоте z над средним уровнем моря и в момент времени t;
Uw(z) - средняя скорость ветра на отметке z над средним уровнем моря, усредненная для конкретного периода времени;
Uw'1h(z) - установившаяся скорость ветра за один час на высоте z над средним уровнем моря;
Uw'T(z) - средняя скорость ветра на высоте z над средним уровнем моря, осредненная для периода времени T < 1 ч;
Uw0 - установившаяся скорость ветра за один час на высоте 10 м над средним уровнем моря (стандартная начальная скорость для стабильных ветров);
uw(z, t) - колебания скорости ветра на высоте z вокруг значения Uw(z) и в том же направлении, что и осредненный ветер;
Vin-line - компонента скорости потока, совпадающая с направлением распространения волны;
x, y, z - координаты в правосторонней системе ортогональных координат с плоскостью xy на уровне спокойной воды (для волн и течения) или на среднем уровне моря (для ветров) и положительной осью z, направленной вверх;
z - вертикальная координата, направленная вверх от уровня спокойной воды (для волн и течений) или от среднего уровня моря (для ветров);
zr - начальная высота для ветров выше среднего уровня моря, zr = 10 м;
zs - продолженная вертикальная координата для волн и течений (измеряется по направлению вверх от уровня спокойной воды);

- параметр формы коэффициента пиковатости в спектре JONSWAP;

- отметка уровня поверхности воды как функция времени и расположения;

- угол направления волны;

- среднее направление волны;

- направление скорости течения с учетом направления распространения волны;

- длина волны;

- стандартное отклонение отметки уровня поверхности воды при каком-либо состоянии моря;

,

- параметры коэффициента пиковатости в спектре JONSWAP;

- параметр, определяющий ширину симметричного спектра зыби (равен среднеквадратичному отклонению функции Гаусса);

- коэффициент направленного распределения;

- частота волны; также, угловая частота в целом (радиан в секунду

);

- средняя частота волны в спектре волны

;

- кажущаяся частота волны;

- частота встречи волны;

- истинная частота волны;

- частота формы колебаний на пике спектра

;

- средняя частота нулевого пересечения отметки уровня поверхности воды

.
В настоящем стандарте использованы следующие сокращения:
ВЛТУ - временные локальные технические условия;
МНГС - морское нефтегазопромысловое сооружение;
НАО - наинизший астрономический отлив;
НАП - наивысший астрономический прилив;
СТУ - специальные технические условия;
СУМ - средний уровень моря.
6. Определение гидрометеорологических параметров
Собственник платформы несет ответственность за выбор соответствующих условий окружающей среды, применяемых в конкретных расчетных или эксплуатационных ситуациях. Данный выбор должен учитывать требования действующих нормативных документов.
Общие требования касательно гидрометеорологических условий представлены в ГОСТ Р 54483.
Должны быть определены следующие гидрометеорологические параметры:
а) экстремальные и аномальные гидрометеорологические параметры, необходимые для возникновения экстремальных и аномальных воздействий и нагрузочных эффектов. Данные параметры применяют при определении расчетных ситуаций и выполнении проверок по основному и особому (чрезвычайному) предельным состояниям;
б) долгосрочное распределение гидрометеорологических параметров в форме суммарных, условных или предельных статистических данных. Данные параметры используют при:
- определении расчетных ситуаций и при выполнении проверки по предельному состоянию усталости;
- при проведении оценок пригодности к эксплуатации в течение определенного периода времени, для сооружения или для отдельных единиц оборудования;
в) нормальные условия окружающей среды, необходимые для:
- проведения проверок по предельному состоянию пригодности к нормальной эксплуатации;
- оценки воздействий и нагрузочных эффектов с целью определения безопасного периода времени выполнения операций;
- планирования строительно-монтажных работ (изготовления, транспортировки или установки) или эксплуатации (например, бурения, добычи, отгрузки, проведения подводных работ).
В зависимости от географического региона и вида морских работ для конкретных расчетных ситуаций или операций могут понадобиться данные о других условиях окружающей среды.
6.2. Экспертная интерпретация гидрометеорологических данных
Достоверные оценки природных явлений с низкой вероятностью возникновения могут быть получены с учетом нескольких различных подходов, включая анализ всех значений данных, максимальных годовых и месячных значений и событий, с превышением пиковых значений. При использовании каждого подхода подразумеваются различные допущения об используемых данных, применяемых статистических процедурах, а также интерпретации результатов.
Выбор соответствующих расчетных параметров также зависит от формы сооружения, например, для стационарных и плавучих сооружений применяются различные расчетные параметры.
Ввиду сложности и специфики проектирования МНГС, в целях обеспечения процессов проектирования и эксплуатации расчетными гидрометеорологическими параметрами необходимо разрабатывать отчет, содержащий результаты комплексного изучения гидрометеорологических условий территории (района, площадки, участка, трассы) строительства и прогноз возможных изменений этих условий в результате взаимодействия с проектируемым объектом с целью получения необходимых и достаточных материалов для принятия обоснованных проектных решений. Примером такого отчета могут служить ВЛТУ. Перечень основных гидрометеорологических параметров, включаемых в ВЛТУ, представлен в приложении ДА.
6.3. Выбор соответствующих параметров для определения расчетных воздействий или нагрузочных эффектов
При проектировании сооружений на акваториях, на которых не образуется ледовый покров, волновые условия, как правило, являются определяющими среди воздействий окружающей среды и связанными с ними нагрузочными эффектами.
Волновые режимы для конкретных расчетных ситуаций могут уточняться, исходя из нижеследующих критериев:
а) долгосрочные статистические распределения океанографических параметров, описывающих режим волнения в рассматриваемом регионе на протяжении многих лет. Там, где имеются достоверные данные, статистические распределения могут отражать вероятность совпадения гидрологических характеристик. Также распределения могут быть безусловными распределениями для отдельных параметров. Для данных долгосрочных распределений необходимо выработать соответствующие гидрологические расчетные характеристики, соотносимые с определенной расчетной ситуацией;
б) краткосрочные распределения одного или нескольких расчетных состояний волнения моря, в сочетании с одним или более расчетными течениями. Расчетное состояние волнения моря описывается спектром волнения, а также характерной высотой волны, характерной частотой или периодом и средним направлением волны. Там, где это необходимо, спектр волны может быть дополнен функцией направленного распределения (см.
9.7). Расчетное течение определяется поверхностной скоростью течения и профилем скорости течения по глубине воды, включая его направление (см.
10);
в) одна или несколько индивидуальных расчетных волн, в сочетании с одним или более расчетным течением. Расчетная волна определяется высотой и периодом, а также соответствующей теорией волнения, исходя из которой рассчитывается кинематика волн, а также соответствующее направление (см.
9). Расчетное течение определяется поверхностной скоростью течения и профилем его скорости по глубине воды, включая его направление (см.
10).
Указанные выше гидрологические характеристики следует дополнять метеорологическими условиями (включая ветер), соответствующими определенной расчетной ситуации.
Выбор наиболее подходящих
критериев а),
б) или
в) зависит от имеющихся данных о рассматриваемом регионе, типе рассматриваемых сооружений, расчетных случаях и предельного состояния, по которому осуществляется проверка. Абсолютно обосновано, что выбор происходит в зависимости от различных типов сооружений, расчетных ситуаций и предельных состояний.
Если течение является основным параметром в наборе расчетных воздействий на сооружение, то необходимо учитывать высоту волны, соответствующую данной скорости течения. Там, где расчетные воздействия окружающей среды не определяются волновыми режимами или течениями (а, например, ветрами или землетрясениями), необходимо особенно учитывать выбор соответствующих гидрометеорологических параметров в сочетании с этими иными воздействиями.
6.4. Гидрометеорологические данные
Необходимо создать базу гидрометеорологических данных на участке установки сооружения, содержащую следующую информацию:
- высоту, период и направление волн значительной высоты;
- распределение скоростей и направлений течения по глубине;
- направление и скорость ветра;
- айсберги, морской плавучий лед, скопления снега и льда;
- уровни моря;
- другие гидрометеорологические параметры (температура воды и воздуха, соленость воды и т.д.).
Эта база гидрометеорологических данных может представлять собой набор значений, полученных в ходе наблюдений в предшествующие годы или на основе численного моделирования. Если используют численное моделирование, полученные результаты должны быть верифицированы на основании данных наблюдений с ближайшего участка, где такие натурные измерения проводились. Если подобных натурных измерений не проводилось, численная модель может быть верифицирована на основании натурных измерений, проведенных на аналогичном участке со схожими гидрометеорологическими условиями.
Если имеются результаты натурных измерений или ретроспективные оценки с другого участка, то эти данные допускается использовать при условии, что на этих двух участках схожие условия (глубина моря, границы зоны разгона, общий климат).
6.5. Виды штормов в регионе
Общая информация о различных видах штормов, которые могут воздействовать на сооружения, должна быть использована для дополнения имеющихся данных.
При определении соответствующих условий окружающей среды важно различать различные виды штормов до начала выполнения анализа экстремальных значений. Более того, возможно, потребуется установить эксплуатационные ограничения для конкретной платформы по определенным видам штормов и сезонам.
В некоторых районах характерные направления шторма и особенности рельефа могут быть причиной ограничения высоты волны в области разгона волны в нескольких направлениях, при этом направления приливных или обычных течений могут быть преобладающими. При проектировании в данных ситуациях допускается применять различные подходы с использованием данных о различных магнитудах волн, ветров и течений. При этом общая надежность сооружения должна сохраняться при применении таких заниженных условий окружающей среды.
Следует принимать во внимание возможные допуски на точность установки сооружения, допускающие определенные отклонения сооружения от положения, предусмотренного в проектной документации. Такие отклонения могут быть следствием как допусков на установку стационарных сооружений, так и движения плавучих сооружений. В регионах, для которых нет достоверных данных о направлениях воздействий, направления ветра, волн и течений могут быть приняты как совпадающие при определении экстремальных и аномальных воздействий и нагрузочных эффектов.
Для некоторых видов сооружений, в особенности для плавучих сооружений, нагрузочные эффекты могут быть выше при несовпадении направления волн, течений и ветра. В подобных случаях особое внимание необходимо уделить выбору наиболее возможных направлений или комбинации направлений.
6.7. Экстраполяция данных на редкие условия
Для проектирования необходимы гидрометеорологические параметры с низкой вероятностью возникновения или вероятностью повторения, например, с периодом повторяемости 100, 1000 или 10000 лет. Так как данные за такие долгие периоды отсутствуют, необходимо экстраполировать имеющиеся данные. Существуют различные методы экстраполяции, хотя ни один из них не является совершенным.
Как правило, чем больше длина массива данных, тем более точной будет экстраполяция. В относительно однородных зонах ретроспективный анализ может быть использован для увеличения продолжительности исходного ряда с целью определения экстремальных значений периода повторяемости на конкретном участке. Тем не менее, даже при большей продолжительности наблюдений точность оценки параметров, имеющих низкую вероятность возникновения, в значительной степени зависит от метода экстраполяции.
6.8. Гидрометеорологические параметры для оценки усталости
Предельное состояние по критерию усталости может быть определяющим при проектировании отдельных компонентов стационарных и плавучих сооружений.
Усталость - это накопленные повреждения, вызванные многократными изменяющимися во времени нагрузками. Преобладающей причиной данных нагрузок являются воздействия окружающей среды, в особенности ледовые и волновые. Для некоторых элементов или типов сооружений могут быть критичными циклические нагрузки, вызванные вихревыми потоками в течениях или ветрах с установившейся скоростью.
Оценка сооружения по предельному состоянию усталости требует описания всех условий окружающей среды, которые воздействуют на сооружение на этапах его строительства, транспортировки и эксплуатации. Оценка условий окружающей среды достигается на основе анализа долгосрочного распределения одного или нескольких гидрометеорологических параметров.
| | ИС МЕГАНОРМ: примечание. Текст дан в соответствии с официальным текстом документа. | |
| | ИС МЕГАНОРМ: примечание. В официальном тексте документа, видимо, допущена опечатка: пункт А.6.8 отсутствует. | |
Гидрометеорологические параметры, учитываемые при оценке усталости, зависят от типа и месторасположения рассматриваемого сооружения. Распределения соответствующих параметров определяют на основе имеющейся базы гидрометеорологических данных с учетом требований к рассматриваемому сооружению представлены в А.6.8
(приложение А).
6.9. Гидрометеорологические параметры для краткосрочных операций
Работы по транспортированию, установке, обслуживанию и демонтажу сооружения проводят согласно графику с учетом метеоусловий. Эксплуатация МНГС включает в себя регулярные виды деятельности, которые также находятся в зависимости от метеоусловий. Некоторые из данных видов деятельности являются чувствительными к сильным штормам, в то время как другие - к течениям, зыби, высоте и периодам волнения, направлениям или комбинациям направлений волнения.
В качестве примеров подобных краткосрочных операций, чувствительных к метеоусловиям, можно привести следующие:
а) транспортирование сооружения, особенно в случае использования длинных буксирных тросов;
б) установка стационарных стальных сооружений, включая:
1) подъем, спуск, позиционирование и установка на грунтовое основание;
2) период после установки до забивки свай и во время забивки свай;
3) период во время цементирования свай и затвердевания цемента;
в) установка стационарных бетонных морских сооружений, включая:
1) установка на грунтовое основание;
2) период после установки до и во время цементирования и до затвердевания цемента;
г) установка или перестановка плавучих сооружений на месте выполнения работ, включая монтаж причальных систем;
д) постановка и предварительное задавливание в грунт колонн самоподъемных платформ;
е) монтаж верхних строений платформ;
ж) подводные работы, включая инспекцию и ремонтные работы;
и) демонтаж сооружения для вывода из эксплуатации или повторного использования.
Являясь наиболее ответственными и дорогостоящими, данные операции требуют для выполнения погодное окно с благоприятными погодными условиями значительной продолжительности, достаточной, например, для выполнения всех работ по установке и закреплению свай.
Следовательно, достоверность получения краткосрочных прогнозов имеет ту же важность, что и точность значений гидрометеорологических параметров.
Следующие традиционные операции являются зависимыми от метеоусловий:
- использование кранов для обработки транспортных судов;
- использование кранов для перемещения объектов на палубе;
- работы, связанные с доступом в подпалубное пространство;
- использование буровых вышек, особенно перемещение буровых вышек;
- полеты вертолетов;
- перевозка персонала на судне.
Данные операции имеют различную степень зависимости от метеоусловий. Для каждого из данных видов операций следует разрабатывать ограничительные критерии. Во многих случаях данные ограничения устанавливают с целью обеспечения безопасности персонала.
При планировании конкретных операций необходимо убедиться, что вероятность превышения гидрометеорологических параметров за определенный период времени, достаточный для завершения данных операций, значительно ниже установленных критериев для конкретного вида операций. Вероятность достаточных спокойных гидрометеорологических условий существенно меняется в течение года, обычно во время летних месяцев наблюдаются более продолжительные периоды спокойных условий.
Прогноз изменений соответствующих гидрометеорологических параметров должен основываться на базе гидрометеорологических данных. Прогнозы должны включать либо соотношение времени и продолжительности гидрометеорологических параметров, не превышающих ограничительные критерии, либо вероятность превышения значений гидрометеорологических параметров. Должны быть описаны сезонные изменения значений гидрометеорологических параметров (по месяцам или по кварталам).
6.10. Мониторинг гидрометеорологических параметров При эксплуатации МНГС необходимо осуществлять мониторинг гидрометеорологических параметров на акватории месторождения. Система мониторинга должна обеспечивать наблюдение за следующими параметрами: - общее видеонаблюдение за акваторией; - температура приземного слоя атмосферы; - направление и скорость ветра; - атмосферное давление на уровне моря; - метеорологическая дальность видимости; - осадки; - туман; - влажность воздуха; - температура воды; - химический состав воды; - колебания уровня моря; - течение; - волнение; - обледенение; - характеристики ледяного покрова; - скорость и направление движения ледяных полей и образований. |
7. Глубина воды, приливы и штормовые нагоны
Для проектирования сооружений необходимо определить диапазон глубин на конкретном участке, так как он влияет на:
- воздействия окружающей среды на сооружение;
- уровни расположения посадочных площадок, отбойных устройств, нижних палуб на сооружениях, опирающихся на морское дно;
- длина/ход морского райзера на плавучих сооружениях;
- усилия в якорных линиях для плавучих сооружений с натяжными или вертикальными связями.
При проектировании принимается, что параметр глубины воды включает в себя, в некоторой степени, постоянный компонент, который считается начальной отметкой (например, НАО или СУМ), и изменений во времени относительно данного уровня, как показано на
рисунке 1. Причина данных изменений - астрономический прилив (см.
7.2), атмосферное давление и ветер, которые могут вызывать штормовые нагоны, которые могут повышать или понижать уровень (см.
7.3). Другие изменения уровня воды могут происходить в силу долговременных климатических изменений, оседания морского дна или единичных событий, таких как цунами. Изменения уровня воды имеют относительно слабое влияние на глубоководье, но значительно большее влияние - на мелководье.
1 - СУМ; 2 - НАП; 3 - НАО; 4 - наивысший уровень
спокойной воды; 5 - наинизший уровень спокойной воды;
6 - максимальная отметка гребня волны; 7 - минимальная
отметка подошвы волны; 8 - положительный штормовой нагон;
9 - диапазон прилива; 10 - отрицательный штормовой нагон
Рисунок 1 - Глубина воды, приливы и штормовые нагоны
При проектировании всех сооружений (и в особенности сооружений, опирающихся на морское дно на мелководье) важно иметь хорошее представление о суммарных вероятностях приливов, величине штормовых нагонов, высотах подъема гребня и подошвы волны.
Приливные изменения являются результатом гравитационного и ротационного взаимодействия между солнцем, луной и землей, носят регулярный характер и в значительной степени предсказуемы; они ограничены НАП и НАО данного района.
Изменения в уровне ежесуточных астрономических приливов определяют уровень расположения посадочных площадок, отбойных устройств, направляющих, райзеров, зону периодического смачивания, а также верхнюю границу морского обрастания для сооружений, опирающихся на морское дно.
Штормовые нагоны, вызываемые метеорологическими причинами и, таким образом, носящие в значительной степени случайный характер, накладываются на приливные изменения уровня таким образом, что уровень тихой воды может подняться выше НАП и ниже НАО.
Скорость ветра и его направление меняются в пространстве и во времени. Обычно данных, которые детально описывают изменения во времени и в пространстве, недостаточно, так как для большинства приложений необходимости в них нет. Следовательно, описания поля ветра обычно существенно упрощены в том отношении, что параметры ветра описаны в терминах статистики, таких как среднее и стандартное отклонение скорости, а также среднее направление. Для определения таких статистических параметров требуются линейные масштабы (масштабы или шкалы длины) и шкалы времени (масштаб времени).
На шкалах длины, типичных даже для самых крупных морских сооружений, значения среднего и стандартного отклонения скорости ветра, осредненные по значениям продолжительности порядка одного часа, не изменяются горизонтально, но изменяются с высотой (профиль ветра). Для периодов осреднения менее часа будут существовать периоды с большими средними скоростями, в то время как пространственные изменения также увеличатся. Следовательно, значение скорости ветра показательно, если оно определяется по его высоте, а также период времени осреднения и, следовательно, следует уточнять и высоту, и интервал времени осреднения. Высота 10 м над средним уровнем моря используется как стандартная начальная отметка высоты.
Скорости ветра классифицируются следующим образом:
- скорости установившегося ветра;
- скорости порывистого ветра.
Необходимо учитывать высоту, продолжительность и период измерений порыва.
Экстремальные порывы ветра обусловлены целым рядом явлений. К числу таких явлений относятся: шквалы, грозы, торнадо, водяные смерчи (все они относительно скоротечные). Отношение максимальной скорости порывистого ветра к часовой средней скорости ветра в каком-либо одном месте может оказаться достаточно большим.
Порывы ветра также могут происходить в периоды с высокой среднечасовой величиной скорости ветра по причине турбулентности, но в этом случае отношение максимальной скорости порывистого ветра к среднечасовому значению скорости ветра над морем обычно менее 1,5.
Ветровые режимы следует определять на основании точного анализа параметров ветра. Руководство по сбору данных о параметрах ветра приведено в
А.8.1 (приложение А).
Для определения подходящих расчетных случаев для морских сооружений с учетом ветровых воздействий необходимо определить экстремальные, аномальные и нормальные ветровые режимы, с учетом типа сооружения и видом отклика сооружения. Ветровая турбулентность при порывах может иметь любое пространственное направление и различную продолжительность. Порывы продолжительностью три секунды являются когерентными на более коротких расстояниях и, следовательно, воздействуют на меньшие компоненты сооружения, чем порывы длительностью в 15 с. Для сооружений (компонентов сооружений), которые подвержены динамическому отклику, необходимо принимать во внимание временные изменения воздействий, вызванных ветром.
При проектировании МНГС следует использовать апробированные методики определения ветровых воздействий и эффектов ветровых воздействий, учитывающие специфику архитектурно-конструктивного типа различных сооружений, представленные в действующих национальных стандартах. В случае отсутствия соответствующих национальных стандартов для определения ветровых воздействий и эффектов ветровых воздействий следует разрабатывать СТУ.
8.2. Ветровые воздействия и нагрузочные эффекты
Ветер воздействует на верхние строения и ту часть сооружения, которая находится над водой, а также на любое оборудование, которое расположено на верхних строениях. Так как скорость ветра изменяется с высотой, высоту расположения элемента следует принимать во внимание.
При проектировании МНГС, имеющих в целом статический отклик, воздействия, вызванные ветром, в общем намного менее значительны, чем воздействия, вызванные волнением и течением. В то же время для локального отклика отдельных элементов сооружений нагрузочный эффект, вызванный ветром, может быть значительным.
Глобальные воздействия на сооружения следует определять при помощи расчетной скорости, осредненной по времени, в форме скорости установившегося ветра. Для проектирования отдельных элементов сооружения скорость ветра, осредненная по времени, также может применяться, но период осреднения при этом должен быть уменьшен для учета вихревых потоков, которые могут оказывать воздействие на отдельные компоненты сооружения. Местные воздействия на отдельные элементы сооружения, следовательно, должны быть определены на основе скорости порывистого ветра. Руководство по определению подходящего времени осреднения приведено в
А.8.2 (приложение А).
При проектировании морских сооружений (отдельных элементов сооружений), которые подвержены поддающемуся оценке динамическому отклику, необходимо принимать во внимание временные и пространственные изменения скорости ветра. Динамический анализ сооружения (отдельных элементов сооружения) обычно необходим, когда поле ветра воздействует с частотами, близкими к собственным частотам сооружения (отдельных элементов сооружения). Подобные анализы требуют детальной информации об интенсивности турбулентности ветров, частотном спектре ветра и его пространственной когерентности (см.
8.4).
Вибрация, вызванная вихреобразованием, является особым случаем динамического отклика относительно податливых сооружений, подверженных постоянным ветровым воздействиям, в которых вихревые потоки возбуждают колебания в элементах сооружения. Элементы стационарных стальных сооружений могут быть подвержены вибрациям, вызванным вихреобразованием, во время строительства и транспортирования. Факельные стрелы и телекоммуникационные вышки могут быть также подвержены образованию вибраций, вызванных вихреобразованием, на протяжении всего срока их эксплуатации.
Ветровые воздействия на податливые сооружения, опирающиеся на морское дно, и плавучие сооружения следует принимать во внимание во всем комплексе подробностей.
8.3. Профиль скорости ветра и осредненная скорость ветра
Профиль средней скорости ветра по высоте во время шторма, как правило, выражается логарифмической функцией. При наличии данных особых измерений с участков в море (т.е. данных измерений того типа событий, которые были использованы при проектировании) можно изменить профиль скорости ветра на конкретном участке или в определенных условиях.
Если в сооружении (элементе сооружения) возникает динамическая реакция от воздействия ветра, необходимо принимать во внимание временные и пространственные изменения скорости ветра. Турбулентный ветер может рассматриваться как развивающееся поле вихрей, прошедших рядом с сооружением. Дополнительная турбулентность создается самим сооружением. При отсутствии трехмерной модели ветра могут быть описаны лишь колебания скорости в среднем направлении ветра. Подходящая форма частотного спектра для скоростей ветра приведена в
А.8.4 (приложение А). Пространственное изменение скорости ветра в среднем направлении между двумя точками в пространстве выражается посредством функции когерентности (см.
А.8.4, приложение А).
Понятие спектра ветра применимо лишь к условиям постоянного ветра. Так как шквалы непостоянны, временное и пространственное изменение скорости ветра во время шквала не может быть описано при помощи спектра ветра. Анализ воздействия и нагрузочных эффектов, вызванных шквалами, требует уточнения временного ряда скорости ветра.
Морские волны несимметричны, различаются по высоте, длине и скорости распространения, а также могут воздействовать на сооружение с одного или нескольких направлений одновременно. Данные характеристики фактического состояния моря лучше всего отражены в описании состояния моря посредством модели случайных волн. В линейной модели случайных волн море рассматривается как наложение многих небольших отдельных частотных составляющих, каждая из которых является периодической волной со своей амплитудой, частотой и направлением распространения; фазы этих составляющих сдвинуты друг относительно друга случайным образом.
Волновой режим на акватории моря может быть подразделен на два широких класса: ветровые волны и зыбь. Ветровые волны образуются местными ветрами, в то время как зыбь не зависит от местных ветров. Зыбь состоит из ветровых волн, перемещенных из места их образования.
В некоторых случаях, для целей проектирования, периодические или регулярные волны могут применяться в качестве соответствующего представления о фактическом состоянии моря. Периодические волны также являются составляющими линейной модели случайных волн.
В большинстве географических районов волны являются основным источником воздействия окружающей среды на морские сооружения. Интенсивность и распределение воздействия, вызванного волнами, как правило, вносит наиболее существенный вклад в нагрузочные эффекты, оказывающие влияние на проектирование сооружений. Воздействия, вызванные волнами, зависят от сочетания нескольких параметров окружающей среды. Точное определение типа, магнитуды и взаимодействия этих параметров представляется довольно сложной задачей.
Порядок выполнения работ по определению волновых воздействий и нагрузочных эффектов для различных типов сооружений должен отвечать требованиям ГОСТ ИСО 19902 (проект) и СП 58.13330.2012.
При проектировании МНГС следует использовать апробированные методики определения волновых воздействий и эффектов волновых воздействий, учитывающие специфику архитектурно-конструктивного типа различных сооружений, представленные в действующих национальных стандартах. В случае отсутствия соответствующих национальных стандартов для определения волновых воздействий и эффектов волновых воздействий следует разрабатывать СТУ.
Для сооружений, имеющих квазистатическую реакцию на волновые воздействия, достаточно применения отдельных периодических волн. Наиболее важными параметрами волны, необходимыми для описания единичной периодической расчетной волны, являются высота, отметка гребня над уровнем спокойной воды, период и направление распространения. Затем кинематические свойства волн могут быть оценены на основе глубины спокойной воды на участке работ. Распределение отдельных волн при заданном состоянии моря может быть оценено по статистическим параметрам волны, таким как высота характерной волны и средний период нулевого пересечения.
Для анализа сооружений со значительным динамическим откликом требуются энергетический спектр волнения моря или временные ряды данных подъема взволнованной поверхности моря над уровнем свободной поверхности. Данные параметры могут быть установлены несколькими способами; стандартным подходом является использование параметров состояния моря, определенных по стандартному частотному спектру волны, с заданной высотой характерной волны, характерной частотой/периодом, генеральным направлением распространения волн, а также, иногда, функцией направленного распространения.
Описание состояния моря должно включать в себя его продолжительность; обычно ее принимают равной трем часам, однако этот период зависит от конкретной метеорологической обстановки и того, как расчетная ситуация и соответствующие ей критерии были определены.
9.2. Волновые воздействия и нагрузочные эффекты
Волны должны быть описаны соответствующим образом для экстремальных, аномальных и нормальных условий для определенного типа рассматриваемого сооружения (см.
9.1).
Подробнее основные характеристики периодических волн и их применение приведены в 9.3 -
9.5. Особенности линейной модели случайных волн представлены в
9.6 и
9.7. Отметки наиболее высоких гребней волн в экстремальных и аномальных условиях окружающей среды могут представлять большое значение в определенных ситуациях (см.
9.8).
9.3. Периоды волн (истинный, кажущийся, встречи)
Периоды волн различаются в зависимости от относительной скорости распространения волн и системы координат наблюдателя. Это объясняется эффектом Доплера. Например, наблюдатель, двигаясь в сторону, противоположную направлению волн, достигает очередного гребня волны быстрее, чем наблюдатель, двигающейся в том же направлении, что и волны.
Все теории волн были разработаны с использованием системы координат, являющейся правосторонней системой ортогональных координат акватории без течения. Горизонтальная плоскость xy - это поверхность спокойной воды, а вертикальная ось z расположена вертикально вверх от уровня тихой воды. Направление волны отсчитывается (в горизонтальной плоскости) от положительной оси x с применением правила правой руки. Это истинная система координат волн.
В случае, когда волны наложены на (неизменное) течение, истинная система координат для волн движется со скоростью и в направлении течения.
При этом имеют место три частных случая:
- наблюдатель, двигающийся с той же скоростью и в том же направлении, что и течение, является неподвижным по отношению к истинной системе координат и, таким образом, представляет собой показатель истинного периода волн Ti;
- наблюдатель, находящийся на стационарном сооружении, является неподвижным по отношению к грунтовому основанию и является показателем кажущегося периода волн Ta. Если волны распространяются в том же направлении, что и течение, то приближающиеся гребни волн достигают платформы быстрее, чем в случае отсутствия течения, следовательно, видимый период короче истинного периода. Аналогично если волны распространяются в направлении, противоположном течению, то видимый период длительнее истинного периода. Если течение отсутствует, то стационарное сооружение является неподвижным по отношению к истинной системе координат, и, таким образом, Ta = Ti;
- наблюдатель на движущемся судне (со скоростью относительно грунтового основания) является показателем периода встречи волны Te. Разница между значениями Te и Ti зависит от относительных скоростей и направлений движущегося судна и течения. Если движущееся судно передвигается с той же скоростью и в том же направлении, что и течение, то Te = Ti.
Взаимосвязь между параметрами
Ti,
Ta и
Te представлена в
А.9.3 (приложение А).
Кинематика волны для расчета воздействия, вызванного волнами, должна быть основана на истинном периоде волн (или истинной частоте волны).
9.4. Кинематика двумерной волны
Кинематика двумерной регулярной волны, заданной высотой волны
H и глубиной воды
d может быть рассчитана для истинного периода волны
Ti с использованием соответствующей теории периодических волн. Рассмотрение теорий волн, их применимость и справочные материалы приведены в
А.9.4 (приложение А).
Линейная теория (или теория идеальных волн Эри-Стокса) является основной применяемой теорией периодических волн. Однако вследствие того, что данная теория основана на линеаризации физических процессов, граничные условия свободной поверхности совпадают с уровнем спокойной воды.
Таким образом, главным недостатком теории идеальных волн Эри-Стокса является тот факт, что с ее помощью не представляется возможным описание кинематики волны между гребнем волны и уровнем спокойной воды. Более того, для условий относительно крутой волны, результаты, полученные с применением данной теории, могут быть неточными.
| | ИС МЕГАНОРМ: примечание. В официальном тексте документа, видимо, допущена опечатка: пункт А.10.4.1 отсутствует. | |
Применение данной теории допустимо в случаях, когда линеаризация может быть обоснована или применяется по отношению к замене допущений при моделировании (см.
9.1). Если применяется анализ временных рядов, то кинематика должна быть растянута до мгновенной отметки свободной поверхности с использованием линейного растяжения, также известного как растяжение Уиллера (см. А.10.4.1,
приложение А), или дельта-растяжения (см.
А.9.4, приложение А).
Для определения волновых воздействий на сооружения, состоящие в основном из тонких трубных элементов, таких как стальные пространственные ферменные сооружения, обычно используется нелинейная теория периодических волн (потоковая функция подходящего порядка). Во многих случаях функция Стокса пятого порядка позволит получить допустимую точность, однако иногда более подходящей может оказаться линейная волновая теория (или теория Эйри). Возможно использование других волновых теорий (таких как теория расширенного скоростного потенциала), обеспечивающих подходящий порядок решения. Вместо теорий периодических волн допускается применение волновых теорий, например новой волновой теории, оперирующих характерными волнами случайного волнового поля. Новая волновая теория использует линейное представление наиболее вероятной максимальной формы колебаний в рамках случайного волнового поля. Чтобы обеспечить приблизительное равенство воздействий различных расчетных волн, согласно новой волновой теории высота гребня должна равняться 5/9 высоте волн, используемых в потоковой функции или функции Стокса 5-го порядка. В рамках новой волновой теории необходимо использовать дельта-растяжение.
9.5. Максимальная высота отдельной волны для длительных периодов повторяемости
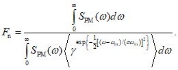
Если регулярные (периодические) волны приемлемы для использования в качестве расчетных волн для морских сооружений, то максимальная высота отдельной волны с указанным периодом повторяемости HN (например, H100 для 100-летнего периода повторяемости и 0,01 годовой вероятности превышения) является единственным наиболее существенным определяемым параметром. Данные, полученные с помощью программ измерения или ретроспективного прогноза, являются временными рядами высоты характерной волны и среднего периода нулевого пересечения (или пикового периода спектра). Требуемая высота отдельной волны за длительный период времени HN должна быть установлена на основе долгосрочного распределения, полученного по данным, и краткосрочного распределения, обусловливающего распределение высоты отдельной волны в условиях волнения моря.
Зачастую целесообразно или необходимо описать состояние моря в контексте линейной модели случайных волн посредством указания спектра волн, который определяет энергию в диапазонах различных частот и/или направлений. Высота характерной волны и характерная частота или период являются параметрами, необходимыми для определения спектра волн. Во многих случаях также требуются параметры направления волны, распространения волны и пиковатости спектра волны.
Применяется несколько стандартных частотных спектров волн; наиболее соответствующая спектральная форма зависит от географической области, суровости моделируемого состояния моря и возможных применений.
Дополнительные сведения по спектрам волн и наиболее распространенных параметрических форм частотного спектра волны приведены в
А.8.6 (приложение А) и
приложении Б.
9.7. Функция направленного распространения волны и коэффициент распространения
Так как в реальности отметка уровня поверхности воды в условиях волнения моря является трехмерной, частотный спектр волны может быть дополнен функцией направленного распространения. Параметрические формы функции направленного распространения волны приведены в
А.8.7 (приложение А).
В теориях двумерных регулярных волн в их кинематике не учитывается ни неоднородность формы профиля волны, ни направленное распространение волны. При необходимости направленное распространение может быть приблизительно смоделировано в анализе периодических волн посредством умножения горизонтальных скоростей и ускорений из решения уравнения двухмерной периодической волны на коэффициент направленного распределения волны

(см.
А.8.7, приложение А).
Коэффициент направленного распределения волны может быть изменен для учета пространственных эффектов.
9.8. Отметка гребня волны
Информация о распределении экстремальных и аномальных отметок гребня необходима для назначения минимальной отметки высоты палубы над основанием для сооружений, опирающихся на морское дно, и оценки возможности заливания верхних строений всех типов сооружений, палуб и корпусов, располагающихся выше уровня волн.
Для сооружений, воспринимающих существенные волновые воздействия (например, для сооружений с кессоном или с опорными частями большого диаметра), следует учитывать возможное увеличение отметки гребня у сооружения. Как правило, увеличение отметки гребня не приводит к значительному увеличению общего воздействия на сооружение, однако может оказывать значительное локальное давление на нижнюю часть верхних строений. Это также может препятствовать операциям обслуживания МНГС (в особенности на уровнях ниже палубы).
9.9. Специальные требования к определению воздействий от волнения Для уточнения величин волновых нагрузок, действующих на МНГС, может быть выполнено их экспериментальное определение на основе модельных испытаний. При выполнении модельных испытаний должны быть выполнены следующие основные виды работ: - изготовление модели опорной части МНГС в масштабе, соответствующем возможностям испытательного бассейна; - проведение модельных испытаний в бассейне для различных расчетных уровней в соответствии с программой испытаний. Измерение компонент глобальной волновой нагрузки Px, Py, Pz и глобального опрокидывающего момента Mx, My, Mz, действующих на модель опорной части МНГС; - выполнение пересчета значений волновых нагрузок и моментов для натуральных размеров конструкций. Определение по результатам испытаний значения нагрузок 1%, 0,1% и 0,01% обеспеченности для натуральных размеров конструкций; - определение нагрузок для регулярного и нерегулярного волнения; - определение высоты заплеска волн у стенок опорной части МНГС при расчетных глубинах моря с целью определения достаточности величины вертикального клиренса; - при сложной геометрической форме опорной части МНГС испытания выполняются для различных направлений воздействия волн (по нормали, под углом и т.д.); - выполнение надводной фото- и видеосъемки испытаний. В случае применения при проектировании величин волновых нагрузок, полученных на основе модельных испытаний, их обоснование должно быть включено в СТУ. |
Воздействие течения оценивают при проектировании и учитывают как при строительстве, так и при эксплуатации сооружений. В дополнение к воздействию на сооружение, течения могут размывать морское дно, влияют на выбор места расположения и ориентации посадочных площадок и отбойных устройств и, кроме того, могут иметь негативное воздействие на работы, выполняемые при эксплуатации сооружений. Все эти факторы следует учитывать при проектировании сооружения.
В водной толще скорость течения обычно различна. Информация о вертикальном профиле приводится в
10.3. Там, где течения сосуществуют с волнами, профиль течения растягивается и сжимается в зависимости от высоты до поверхности воды. Руководство по растяжению профиля течения приводится в
10.4. В свою очередь обтекаемые сооружения, пропускающие течения, также могут изменять течения (см.
10.5).
Так же как и ветер, скорости течения изменяются в пространстве и времени, но в гораздо меньшей степени. Следовательно, течение обычно может рассматриваться как постоянное поле скоростей потока, в котором скорость является только функцией глубины.
Общая скорость течения - это векторная сумма приливного и остаточного течений. Составляющие остаточного течения могут включать циркуляционные течения и течения, вызванные штормами, а также кратковременные и долговременные течения, вызванные различными явлениями, такими как градиенты плотности и внутренние волны. Остаточные течения зачастую неоднородны, но во многих регионах самым значительным его компонентом считается ветровое течение.
Приливные течения постоянны и предсказуемы. Максимальные приливные течения предваряют или следуют за НАП и НАО. Они обычно слабы в глубоководных зонах за пределами континентальных шельфов и обычно более сильны на широких континентальных шельфах, чем на крутых шельфах. Однако течения могут усиливаться в зависимости от конфигурации береговой линии или морского дна; сильные приливные течения существуют во множестве узких заливов и прибрежных районах.
Циркуляционные течения - это относительно постоянные, крупномасштабные проявления общей океанической циркуляции.
Течения, произведенные штормами, вызваны ветровым давлением и градиентом атмосферного давления шторма. Скорости течения, вызванные штормами, являются сложной функцией мощности шторма и метеорологических характеристик, батиметрии и конфигурации береговой линии, а также профиля плотности воды. В глубоководных условиях вдоль открытой береговой линии скорость поверхностных течений, вызванных штормами, можно приблизительно оценить значением до 3% скорости установившегося ветра во время штормов. В то время как шторм приближается к береговой линии и мелководью, штормовой нагон и течение могут возрасти. После того, как шторм прошел, инерционные течения могут сохраняться в течение некоторого времени.
Источники информации о статистическом распространении течений и их изменении с глубиной обычно скудны для большинства точек земного шара. Чтобы избежать проблем на ранних этапах, таких как разведочное бурение, необходимо проведение исследования, особенно в удаленных, глубоководных областях возле бровок шельфа. В глубоководных областях воздействие течений на морские работы и проектирование сооружений может быть гораздо более важным, чем воздействие волн.
Изменение с глубиной скорости течения и направления должно определяться по результатам специально проводимых исследований.
Изменение скорости и направления течения в толще воды следует определять для конкретного местоположения сооружения, принимая во внимание всю имеющуюся информацию. Для ситуаций, когда направление скоростей течения на протяжении всей толщи воды остается неизменным, и подходят простые профили, представленные в
А.10.3 (приложение А).
10.4. Растяжение профиля течения
Скорости течения и профили течения определяют для условий спокойной воды, хотя в некоторых условиях они применимы для условий штормов. При возникновении волнения профиль течения изменяется начиная со дна и до свободной водной поверхности.
Кинематика волны, приведенная к горизонтальному распределению, должна быть векторно совмещена со скоростями течения. Так как профиль течения в расчетных условиях окружающей среды определен только до отметки уровня спокойной воды, профиль до мгновенной поверхности волны в конкретной точке должен быть изменен при помощи определенных методов (см.
А.10.4, приложение А).
10.5. Течения и препятствия
Препятствие изменяет скорость течения вокруг и сквозь сооружение. Наличие сооружения приводит к отклонению входящего потока, при этом часть потока обтекает сооружение, а часть проходит сквозь него. Для сооружений, которые являются проницаемыми для течения, скорости течения внутри сооружения уменьшаются по сравнению со значениями в свободном потоке.
Степень блокирования течения зависит от архитектурно-конструктивного типа сооружения.
10.6. Специальные требования к определению воздействий от течений и размывов Для уточнения величин нагрузок от течений, действующих на МНГС, а также зон и глубины размывов, может быть выполнено их экспериментальное определение на основе модельных испытаний. При выполнении модельных испытаний должны быть выполнены следующие основные виды работ: - изготовление модели опорной части МНГС в масштабе, соответствующем возможностям испытательного бассейна; - подготовка грунтового основания (для определения зон и глубины размывов); - проведение модельных испытаний в бассейне для различных расчетных уровней в соответствии с программой испытаний. Измерение компонент нагрузки от течения Px, Py, Pz и глобального опрокидывающего момента Mx, My, Mz, действующих на модель опорной части МНГС; - при сложной геометрической форме опорной части МНГС испытания выполняют для различных направлений воздействия течения (по нормали, под углом и т.д.); - инструментальное определение зон и глубин размывов грунта вокруг опорной части МНГС и под ней; - выполнение пересчета значений нагрузок и моментов от течения, а также зон и глубин размывов для натуральных размеров конструкций; - выполнение надводной фото- и видеосъемки испытаний. |
Данные, требуемые для оценки ледовых условий на площадке строительства, следует определять с учетом расположения МНГС. Эти данные следует определять для всех этапов жизненного цикла сооружения в течение расчетного срока его эксплуатации. Необходимые данные могут быть получены исходя из результатов непосредственных наблюдений на месте установки сооружения, интерпретации изображений, полученных со спутников, или анализа данных многолетних наблюдений в географическом районе установки сооружения. Если данные о локальных ледовых условиях отсутствуют или не являются представительными, или если в рассматриваемом районе ледообразование случается достаточно редко, то возможно использование данных, полученных из соседних участков или географических районов с идентичными ледовыми условиями. Для получения дополнительных данных можно использовать цифровое или статистическое моделирование с учетом факторов неопределенности данных. Должны быть учтены долговременные тенденции. Для оценки проектных критериев следует учитывать взаимозависимости между различными параметрами, указанными в 11.2 - 11.5. Необходимо определить предполагаемые типы льда, т.е. однолетние, двухлетние, многолетние, шельфовые или ледниковые. Статистические данные, например распределение вероятностей и соответствующие параметры, должны характеризовать образование и концентрацию всех возможных типов льда. Необходимо учитывать ежегодные и сезонные изменения при образовании различных типов льда. Условия возникновения и геометрия определенных ледовых образований, например айсберги, ледовые острова, наслоенный лед, поля ледовых валунов, расщелины или полыньи, уплотненные или дрейфующие торосы, стамухи, паковый, шельфовый и ледниковый лед, следует определять на основе результатов полевых измерений на участке установки сооружения и анализа данных многолетних наблюдений, полученных из соседних участков. Должны быть определены статистические данные, например распределение вероятностей и соответствующие параметры, включая частоту возникновения ледовых образований, размеры, толщину консолидированного слоя торосов и стамух, высоту надводной части и глубину киля. Для получения соответствующих данных по частоте возникновения ледовых образований, их простиранию, размерам, потенциальной глубине ледового пропахивания и стабильности следует определять условия возникновения торосистых ледовых образований, например торосистые ледовые валуны и береговые ледовые навалы. Эти данные следует использовать для определения ледовых нагрузок на сооружения, при проектировании систем доступа к технологическим объектам, логистики и эвакуации. Необходимо учитывать ежегодные и сезонные изменения морфологии льда. Ветер, волны, течения и тепловое расширение оказывают влияние на дрейф льда и давление пакового льда. На основе полевых данных должны быть определены статистические данные, например, распределение вероятностей, средние или критические значения скоростей движения пакового льда, ледовых полей и отдельных ледовых образований, например, айсберги и ледовые острова. Скорости движения льдов оказывают влияние на вероятность их столкновения с сооружением, а также на ледовые нагрузки и эксплуатационные режимы. Давление льдов может влиять на движение судов, управление ледовой обстановкой и процедуры эвакуации. Если для этих параметров отсутствуют полевые данные, то для получения этих данных допускается выполнять процедуры цифрового моделирования или анализа взаимодействия ветров, волн, океанских течений и льдов с учетом факторов неопределенности в данных и процедурах моделирования. Необходимо учитывать ежегодные и сезонные изменения в условиях ледообразования, образования полыней и их физические параметры. Соответствующие механические и физические свойства льда следует использовать при проектировании, эксплуатации и разработке методов способов эвакуации персонала. 11.6. Специальные требования к определению воздействий от льда Для уточнения величин ледовых нагрузок, действующих на МНГС, может быть выполнено их экспериментальное определение на основе модельных испытаний. При выполнении модельных испытаний должны быть выполнены следующие основные виды работ: - изготовление модели опорной части МНГС в масштабе, соответствующем возможностям испытательного бассейна; - проведение модельных испытаний в бассейне для различных расчетных уровней в соответствии с программой испытаний. Измерение компонент глобальной ледовой нагрузки Px, Py, Pz и глобального опрокидывающего момента Mx, My, Mz, действующих на модель опорной части МНГС. Величины ледовых нагрузок определяются от ровного, наслоенного и торосистого льда; - определение нагрузки, возникающей при различных скоростях движения льда; - определение нагрузки, возникающей при подвижке смерзшегося с сооружением ровного ледяного поля; - выполнение пересчета значений ледовых нагрузок и моментов для натуральных размеров конструкций; - определение величины и характера динамической составляющей ледовой нагрузки; - выполнение надводной и подводной фото- и видеосъемки испытаний. 11.7. Управление ледовой обстановкой Для МНГС, эксплуатирующихся на замерзающих акваториях, необходимо разрабатывать систему управления ледовой обстановкой, представляющую собой комплекс мероприятий, целью которых является снижение интенсивности или полное исключение воздействия со стороны ледяных образований на сооружение. |
12. Иные факторы внешней среды
Толщина морского обрастания и его тип зависят от места расположения, возраста сооружения и режима поддержания рабочего состояния.
Морское обрастание следует принимать во внимание для элементов сооружения, находящихся под водой и в зоне периодического смачивания. Необходимо принимать во внимание влияние морского обрастания на гидродинамические характеристики сооружения в течение всего срока эксплуатации, увеличение массы и влияние на динамический отклик и соответствующие силы инерции.
Толщина обрастания и его тип изменяются с глубиной. Воздействие обрастания на гидродинамические характеристики зависит от увеличения размеров и увеличения коэффициента сопротивления по причине шероховатости поверхности сооружения.
Элементы сооружения могут считаться гидродинамически гладкими, если они расположены либо выше уровня наивысшего астрономического прилива, или достаточно глубоко, так чтобы влиянием морского обрастания можно было пренебречь.
Цунами - это волны, вызванные такими импульсными возмущениями, как землетрясения, проседание поверхности дна моря, оползни, подводные вулканы, ядерные взрывы и даже воздействие космических объектов (метеориты, астероиды и кометы). Длина волны цунами достигает несколько десятков километров, период волны от 5 до 100 мин.
Скорость распространения волны в океане это, в первую очередь, функция глубины воды; на участках, где глубина океана максимальна, цунами может перемещаться со скоростями в несколько сотен километров в час.
На участках с большой глубиной цунами имеют небольшую высоту, очень большой период и не представляют серьезной опасности для стационарных морских сооружений. Волны цунами содержат больше энергии, чем они генерируют на глубоководье, но могут быть очень разрушительными при ударе о берег. При достижении цунами мелководья эта разновидность волны способствует повышению уровня воды и затем, разбиваясь о берег, она может вызывать размывы территории, значительно удаленные от береговой линии.
Наиболее серьезную опасность для морских сооружений представляют вызываемые цунами притоки и оттоки воды в виде волн и течений. Эти волны могут быть значительными на мелководье, оказывая существенное воздействие на сооружения. Течения, вызванные притоком и оттоком воды, могут вызывать чрезмерный размыв грунтового основания.
Цунами проходят огромные расстояния очень быстро и могут затрагивать регионы, которые обычно не связаны с возмущениями, вызывающими цунами. При проектировании следует рассмотреть вероятность возникновения цунами в месте расположения сооружения.
При береговых измерениях уровня моря в полузамкнутых водоемах зачастую можно наблюдать сейши с амплитудой в несколько сантиметров и периодами в несколько минут, вызванные колебательными движениями в гаванях, устьях рек или заливах при интерференции обычных приливных волн. Обычно в море эти изменения достаточно малы, чтобы не обращать на них внимания, но если сооружение расположено в прибрежных, полузакрытых районах, воздействие сейши следует учитывать.
При проектировании сооружений для эксплуатации в условиях, где возможно выпадение снега и образование льда на элементах сооружения, эти воздействия необходимо учитывать.
Следует провести оценку того, в каких местах и в каком количестве снег может скапливаться на сооружении, включая верхнее строение, а также его возможное воздействие на сооружение.
Обледенение элементов сооружения может увеличить их размер и это приведет к существенному увеличению ветрового воздействия и весовой нагрузки, в особенности это относится к элементам, имеющим большое отношение длины к поперечному размеру (например, факельные стрелы). При проектировании следует учитывать обледенение, вызываемое морскими брызгами, замерзающим дождем, моросью и туманом.
12.5. Прочие гидрометеорологические условия
При проектировании следует также учитывать прочие гидрометеорологические данные:
- температура воздуха и воды;
- осадки;
- влажность;
- туман;
- охлаждение ветром;
- соленость;
- содержание кислорода в воде
- и прочее.
(справочное)
ДОПОЛНИТЕЛЬНАЯ ИНФОРМАЦИЯ И УКАЗАНИЯ
Примечание - Положения, содержащиеся в этом приложении, предоставляют дополнительную информацию и указания для основного текста этой части стандарта ИСО 19901. Система нумерации и названия заголовков совпадают с основной частью текста, благодаря чему упрощается идентификация подразделов этой части стандарта ИСО 19901.
А.1 Область применения
Условия окружающей среды, как правило, оказывают значительное влияние на проектирование и строительство морских сооружений всех типов. В некоторых регионах земного шара преобладающие условия окружающей среды могут также влиять на функционирование сооружения, что в свою очередь оказывает влияние на конструкцию сооружения.
Условия окружающей среды и гидрометеорологические параметры, обсуждаемые в этом стандарте, относятся к этапам предварительного технического обслуживания, эксплуатации и демонтажа сооружений.
Настоящий стандарт не содержит подробных указаний по выполнению надежных оценок экстремальных или аномальных условий для всех областей и случаев.
Требования, предъявляемые к расчету воздействий окружающей среды и их последствий для различных типов сооружений, приведены в следующих стандартах:
[4] (стационарные стальные сооружения),
[5] (стационарные бетонные сооружения),
[6] (плавучие сооружения - монокорпуса, полупогружные платформы и SPAR-платформы),
[7] (платформы с натяжными опорами),
[8] (сооружения с верхними строениями),
[9] (оценки места расположения самоподъемных буровых платформ) и
[10] (арктические сооружения).
А.2 Нормативные ссылки
Указания отсутствуют.
А.3 Термины и определения
Указания отсутствуют.
А.4 Условные обозначения и сокращения
Указания отсутствуют.
А.5 Определение подходящих гидрометеорологических параметров
А.5.1 Общие сведения
Расчетные параметры следует выбирать после рассмотрения всех уместных требований, предъявляемых к обслуживанию и эксплуатации сооружения конкретного типа.
Выбор условий окружающей среды и значений соответствующих параметров должен осуществляться после консультаций с проектировщиком и экспертами в области океанографии, метеорологии и т.п. Необходимо обратить внимание на источники всех данных. Рекомендуется предварительно выбрать методы обработки гидрометеорологических параметров и их значений.
Общие сведения о различных типах условий окружающей среды, способных повлиять на местоположение сооружения, необходимо использовать в качестве дополнительных данных для нормальных условий. Возможно использование статистических данных, предоставляющих информацию об ожидаемых гидрометеорологических параметрах в зависимости от времени года, направления подхода и т.д.
Особый интерес для планирования строительных работ, эксплуатации платформ и эвакуации представляет продолжительность, скорость развития, скорость перемещения и протяженность штормовых условий. Очень важна возможность прогнозирования штормов вблизи сооружений.
Если количество доступных гидрометеорологических данных очень ограничено (особенно на ранних этапах проектирования), необходимо использовать экстремальные и аномальные гидрометеорологические условия, обеспечивающие запас прочности. При наличии в выводах экспертов значительных неопределенностей гидрометеорологических условий необходимо задать максимально разумные значения экстремумов. Дополнительное увеличение проектных предельных значений может оказать неблагоприятное влияние на безопасность и экономичность сооружения.
А.5.2 Экспертная интерпретация гидрометеорологической базы данных
За консультациями необходимо обращаться к эксперту по гидрометеорологическим условиям, который обладает опытом во всех областях: оборудование и программное обеспечение, связанное со сбором данных (на месте или дистанционно), методы ретроспективного прогнозирования, методы анализа и выборки данных, методы статистического анализа экстремальных значений.
Способ определения гидрометеорологических параметров часто зависит от доступных данных (измерение, непрерывность, ретроспективные прогнозы штормов, судовые визуальные наблюдения, спутниковые снимки, данные радаров и т.д.). Важно понимать методы регистрации и анализа данных, поскольку выбранные методы и данные могут повлиять на анализ или, возможно, конечный результат. Правильное понимание способов сбора и обработки данных необходимо для интерпретации наборов данных и применения корректировочных значений, которые могут потребоваться при окончательной оценке параметров.
При наличии подходящей базы данных измеренных и/или прогнозируемых параметров важно определить зависимость оценочных значений от использования различных наборов данных (измеренных или прогнозируемых) и методов статистического анализа. Необходимо, чтобы проектировщик, который будет использовать гидрометеорологические параметры, предварительно ознакомился с неопределенностью (желательно в виде количественной оценки) значений предоставленных параметров. Относительно небольшие изменения оценочных значений (например, расчетной высоты волн) способны повлиять на надежность стационарного сооружения в пределах одного порядка величины. Однако при наличии надежных долгосрочных наборов данных применение различных статистических методов должно приводить к похожим результатам.
Рекомендуется включать в состав проектной группы экспертов по гидрометеорологическим условиям, особенно в тех случаях, когда условия окружающей среды и связанные гидрометеорологические параметры, используемые для проектирования предполагаемых сооружений, сформулированы на основе критериев проектирования для воздействий (последствий воздействий) с большими периодами повторяемости.
Разделы А.5.3 -
А.5.9 содержат краткое общее описание основных принципов определения безопасных и надежных гидрометеорологических параметров, используемых при проектировании морских сооружений различных типов и выполнении сопутствующих операций.
А.5.3 Выбор подходящих параметров для определения расчетных воздействий или их последствий
При проектировании сооружений зачастую необходимо учитывать экстремальные воздействия окружающей среды или последствия таких воздействий. Расчетные условия выражаются параметром (например, высота волн) или последствием воздействия (например, полный изгибающий момент на корпусе). По этой причине термин "100-летний шторм" имеет смысл только для неформального описания набора условий, порождающих параметр или последствие воздействия.
Период повторяемости, выраженный в годах (большие значения периода повторяемости), можно использовать для вычисления обратной величины годовой вероятности превышения значения параметра (например, высоты волн или скорости ветра).
Далее приведено обсуждение трех методов описания окружающей среды, создающей экстремальное прямое воздействие и, как правило, такое же экстремальное последствие воздействия, обусловленное комбинацией экстремальных характеристик ветров, волн и течений. Существуют и другие методы описания.
a) Заданная для определенного периода повторяемости высота волн (значительных или индивидуальных) с "сопряженным" периодом волн, а также скоростями ветров и течений.
Использование этого метода стало установившейся практикой определения экстремальных характеристик ветров и течений, сопровождающих волны определенной высоты в некоторых регионах (например, США). Обычно выбирается 100-летний период повторяемости, который также используется для определения вторичных параметров, например, периодов волн в Северном море. Значения периода волны, а также скоростей ветров или течений, оценивают для определенной высоты волн. Метод применим в следующих случаях:
- существует статистически значительная корреляция между сопряженным значением и высотой волн для определенного периода повторяемости; и
- волны являются доминирующим источником экстремального воздействия окружающей среды на сооружение.
Случай доминирования волн будет применяться к подавляющему большинству сооружений, охватываемых настоящим стандартом. Однако корреляция между скоростью течения и высотой волн незначительна во многих географических областях (например, в областях, где преобладают приливные течения).
Одним из способов определения сопряженного значения конкретного параметра может служить выявление положительной корреляции между параметром и высотой волн. Например, предположим, что ретроспективный прогноз выполнен для региона, где доминируют тропические штормы. Чтобы определить сопряженное течение, можно построить график регрессионной зависимости смоделированной высоты характерной волны от скорости течения вблизи максимума каждого шторма. Для учета направленности можно построить зависимость течения на одной оси с высотой характерной волны. Если предположить, что на графике наблюдается статистическая корреляция между течениями и волнами, можно вывести формулу, описывающую зависимость течения от высоты характерной волны. После этого величину сопряженного течения можно определять с помощью этой формулы, указывая высоту характерной волны для конкретного периода повторяемости.
В случае отсутствия сильной корреляции между волнами и течением или отсутствия доминирования волн при воздействии окружающей среды данный метод не позволит определить, как комбинация главного гидрометеорологического параметра (например, высоты волн) и его сопутствующих параметров (например, скорости течений и ветров) повлияет на сооружение в течение периода повторяемости. Напротив,
метод c) (см. ниже) в случае правильного применения позволяет получить хорошую оценку воздействия окружающей среды для определенного периода повторяемости.
Если данный метод применяется к сооружениям, которые восприимчивы к периоду волн, интервал времени существования наиболее неблагоприятной комбинации высоты и периода волн может не совпадать с интервалом максимальной высоты волн для определенного периода повторяемости. Следовательно, необходимо исследовать разумный диапазон отклонений периода и высоты волн, чтобы определить наиболее неблагоприятную комбинацию высоты и периода волн при одинаковой или более высокой вероятности возникновения относительно заданного периода повторяемости.
b) Высота волн совместно со скоростями ветров и течений используется для заданного периода повторяемости, при этом все определяемые путем экстраполяции отдельные параметры рассматриваются независимо.
Данный метод использован для Северного моря и многих других частей мира (обычно период повторяемости выбирается равным 50 или 100 лет). Для Норвегии использована модификация данного метода при высоте волн и скорости ветра для 100-летнего периода повторяемости (скорость течения выбирается для 10-летнего периода повторяемости).
Метод прост, не зависит от особенностей сооружения и использует статистические данные о волнах, течениях и ветрах. Получаемые с его помощью результаты всегда консервативны по сравнению с результатами, полученными по двум другим методам при одинаковом периоде повторяемости, когда необходимо определить расчетное воздействие на стационарные сооружения, однако
метод b) неприменим к плавучим сооружениям, а также сооружениям других типов со значительным динамическим откликом.
c) Любая разумная комбинация высоты и периода волн, скорости ветра и течения, которая приводит к:
- глобальному экстремальному воздействию окружающей среды на сооружение с определенным периодом повторяемости; или
- подходящему последствию воздействия (глобальный отклик) на сооружение (сдвиг основания, опрокидывающий момент, смещение плавучего сооружения и т.д.) с определенным периодом повторяемости.
В рамках данного метода вычисляют скорости соответствующих течений и ветров с использованием высоты волн и одной или нескольких функций отклика сооружения (последствий воздействий), таких как сдвиг основания или опрокидывающий момент стационарного сооружения или горизонтальное смещение плавучего сооружения. Полностью учитывают направленность ветров, волн и течений, а также флуктуацию глубины акватории вследствие приливов и всплесков. Штормы рассматривают в качестве независимых событий, при этом учитывают краткосрочную неопределенность. Экстремальные и аномальные значения определяют на основе долгосрочного распределения отклика сооружения. Кроме того, функцию отклика сооружения допускается использовать для определения комбинаций гидрометеорологических параметров, приводящих к экстремальным и аномальным откликам в течение требуемого периода повторяемости. Необходимо учесть, что наборы параметров не уникальны: различные наборы позволят получить одинаковый результат. Кроме того, для определения коэффициентов надежности при воздействии окружающей среды (последствий воздействий) допускается использование статистических данных следующим образом.
Для применения данного метода могут потребоваться расходы на разработку программного обеспечения, однако это позволяет получить практически пригодный набор расчетных параметров даже в случае слабой корреляции между волнами, ветрами и течениями. Следовательно, определение воздействия и его последствий для определенного периода повторяемости оказывается более выгодным по сравнению с определением высоты волн при заданном периоде повторяемости и значениях параметров ветров и течений. Для определения воздействия или его последствий не следует использовать произвольный набор значений параметров волн, ветров и течений, соответствующий воздействию окружающей среды или его последствиям в течение заданного периода повторяемости. Необходим разумный выбор, позволяющий правильно моделировать вероятное пространственное распределение глобального гидродинамического воздействия на сооружение. Достаточно точные комбинации гидрометеорологических параметров можно получить на основе комбинаций, которые приводят к наибольшим откликам во время штормов, учитываемых при статистическом анализе.
Необходимо уделить особое внимание определению прямых экстремальных воздействий и их последствий для мест, где наблюдаются сильные течения, которые не порождаются локальными штормами. Сильные течения могут создаваться морскими приливами или глубоководными течениями, такими как петлеобразное течение в Мексиканском заливе или Гольфстрим. Для таких течений допускается применение
метода a), если создаваемые штормом условия являются доминирующим вкладом в экстремальное воздействие окружающей среды (последствие воздействия) и существует возможность определения подходящих значений параметров приливных и циркуляционных течений. Однако предпочтительно использовать
метод c). Наиболее простым методом является
метод b), который позволяет определить подходящее воздействие окружающей среды (последствие воздействия), но дает очень заниженные оценки по сравнению с реальным глобальным воздействием окружающей среды (последствием воздействия) для необходимого периода повторяемости.
Для некоторых регионов становятся доступными большие базы данных, позволяющие определить статистические данные комбинаций величин и направлений ветров, волн и течений. При наличии достаточных данных необходимо использовать вышеуказанный
метод c). Соответствующие коэффициенты надежности, которые следует использовать с учетом глобального воздействия окружающей среды (последствия воздействия), должны определяться в рамках анализа надежности, чтобы обеспечить подходящий уровень безопасности. Такой подход позволяет получить более согласующуюся надежность (безопасность) для различных географических областей при практическом использовании разрозненных статистических данных ветров, течений и волн.
А.5.4 Гидрометеорологическая база данных
Существуют различные обстоятельства, требующие анализа измеренных или прогнозных данных конкретной местности, когда необходимо определить гидрометеорологические параметры, например, в следующих случаях:
- нормативные документы содержат требования об обязательном использовании данных конкретной местности;
- нефтегазовая компания обладает промысловыми данными, которые дополняют данные, используемые при описании условий окружающей среды согласно стандартным руководящим документам;
- условия окружающей среды не указаны в стандартных руководящих документах или признаны нефтегазовой компанией неприменимыми;
- нефтегазовой компании необходимо определить гидрометеорологические параметры для периодов повторяемости, которые отсутствуют в руководящих документах.
Хорошо контролируемая последовательность измерений в месте расположения морского сооружения является ценным источником информации для обоснования расчетных ситуаций, а также условий эксплуатации с соответствующими критериями. Необходимо учесть, что краткосрочные измерения могут привести к недостоверным оценкам долговременных экстремумов. Экстремумы, полученные на основе краткосрочных измерений в конкретной местности, следует использовать только для сравнения с ориентировочными значениями, указанными в стандартных руководящих документах, если предприняты попытки учесть долгосрочную нестабильность, например, путем анализа данных наблюдений совместно с результатами многолетних измерений или ретроспективных прогнозов, полученных для близлежащей местности.
Если известны или ожидаются длительные климатические циклы, временной интервал базы данных должен охватывать как минимум один полный цикл. Полевые измерения следует выполнять непрерывно на протяжении всего рассматриваемого периода времени (если необходимо, с учетом пригодности для оценки климатических экстремумов). Необходимо также понимать, что измерения, проводимые в периоды климатических аномалий, могут стать доминирующей частью набора данных и исказить информацию о долгосрочных климатических условиях конкретной местности.
Климатические изменения во время расчетного срока службы сооружений могут привести к изменению:
- уровня воды (средний, приливный и/или всплесковый);
- периодичности сильных штормов;
- интенсивности сильных штормов; и
- амплитуд и периодичности экстремальных ветров, волн и течений.
Высота волны зависит от скорости ветра, его направления и длины нагона волны. Все эти факторы потенциально подвержены влиянию изменений интенсивности, периодичности и траектории распространения метеорологических условий. Анализ метеорологических наблюдений зависит от однородности событий на исторических метеорологических картах. К настоящему времени не удалось определить статистические функции изменения ветров или волн, а также штормовые тенденции в целом.
Во время определения типа наиболее подходящих калибровочных данных прогнозной модели волн необходимо учитывать разнообразные области применения базы данных. Например, если первоочередной задачей является получение оценочных показателей для процесса разгрузки танкеров в мягком климате (например, путем использования консервативных методов анализа), необходимо проверить точность базы данных для слабых волнений с широким диапазоном периодов волн и направлений. Если базу данных будут также использовать для получения оценочных усталостных показателей глубоководных стационарных сооружений или упругих сооружений, опирающихся на морское дно, то такую базу данных необходимо проверить для всего динамического диапазона высот характерных волн (Hs) и периодов волн (Tp или Tz), чтобы получить характерные направленные диаграммы разброса волн (возможно, вместе с оценками соответствующих направленных профилей течений).
Если база данных будет использоваться для определения экстремальных расчетных параметров, необходимо обеспечить максимально возможную полноту и точность информации, содержащейся в такой базе данных. Оценки следует выполнять с учетом применимости полученных расчетных параметров, например, с точки зрения климатических условий. Обязательно необходимо учитывать такие факторы, как продолжительность сбора данных, а также климатическую нормальность периодичности и силы штормов.
Во время экстраполяции к небольшим вероятностям превышения высказывают предположение о том, что база данных гидрометеорологических условий соответствует долгосрочным условиям. Данное предположение необходимо проверить и, при необходимости, сделать подходящие допущения в отношении любых остаточных неопределенностей.
А.5.5 Типы штормов в регионе
Определение условий окружающей среды и соответствующих гидрометеорологических параметров, которые могут сопровождать различные типы штормов, является важным для понимания пригодности практического применения разнообразных технологических операций, а также для выявления процессов, требующих использования экстремальных и аномальных значений гидрометеорологических параметров. Для некоторых регионов определение типов штормов оказывается проблематичным, особенно в областях, где тропические циклоны теряют свою идентичность и превращаются во внетропические штормы. Такие штормы могут значительно усилиться, при этом их характеристики во время превращения еще недостаточно изучены. Отклонение экстремальных и аномальных значений гидрометеорологических параметров в таких областях требует дополнительного рассмотрения.
А.5.6 Направленность
При использовании параметров, значения которых меняются в зависимости от направления, угловой раскрыв секторов не должен превышать 45°. Кроме того, условия окружающей среды необходимо масштабировать таким образом, чтобы объединенное событие и целевой период повторяемости обладали одинаковой вероятностью превышения для всех секторов.
А.5.7 Экстраполяция для экстремальных или аномальных условий
Проблема определения маловероятных значений гидрометеорологических параметров стала еще более важной вследствие недавней тенденции использовать очень редкие события при расчете вероятности повреждения сооружения. Среди собственников и регулирующих органов все большее распространение получает учет тысячелетних событий (от 1000 до 10000 лет), т.е. годовая вероятность непревышения равна соответственно 10-3 и 10-4. Во время экстраполяции данных, характеризуемых такими чрезвычайно малыми вероятностями, необходимо проявлять большую осторожность.
Существуют два основных метода вычисления маловероятных значений: исторический и дедуктивный. Исторический метод использует данные, полученные при проведении измерений или ретроспективного прогнозирования. Выполняется сопоставление концевой части (область малой вероятности) распределения вероятностей с подходящим экстремальным распределением, таким как распределение Гамбела или Вейбулла. Исторический метод широко используется в нефтяной промышленности.
Дедуктивный метод позволяет разделить шторм на серию упрощенных подмоделей с определенными вероятностями. Впоследствии подмодели объединяются на основе законов теории вероятностей, что позволяет получить события с намного более меньшими полными вероятностями. Дедуктивные модели использовались для оценки экстремальных условий землетрясений и штормовых волн, а также, в меньшей степени, ветров и волн. В последнее время наблюдается возобновление интереса к дедуктивному методу, поскольку он может потенциально предоставить более точные экстремальные оценочные показатели по сравнению с историческим методом при применении к очень редким событиям, обладающим периодами повторяемости от 1000 до 10000 лет.
Оба метода имеют свои достоинства и недостатки. Исторический метод прост в применении. Необходимо просто использовать интерполирование (например, методом наименьших квадратов или методом максимального правдоподобия) для подгонки аналитического выражения (например, Гамбел, Вейбулл) для данных, полученных на основе измерений или прогнозирования. Недостаток исторического метода состоит в том, что статистическая достоверность экстраполированного значения быстро уменьшается для периодов повторяемости, которые в два-три раза превышают период повторяемости параметров базы данных. Следовательно, экстраполяция для очень редких периодов повторения (1000 лет или более) оказывается неточной, учитывая размер общедоступных наборов данных.
Применение дедуктивного метода начинается с определения параметров штормов, вероятность которых можно определить на основе архивных данных, например, для урагана такими параметрами являются: радиус максимального ветра, недостаток давления и скорость поступательного движения. Искусственные штормы образуются в результате объединения параметров с учетом их суммарной вероятности возникновения. В простейшем случае, когда параметры статистически независимы, вероятность искусственного шторма становится результатом комбинации вероятностей каждого параметра шторма. В результате очень редкие искусственные штормы можно построить путем использования параметров штормов с относительно высокими и статистически достоверными вероятностями. Статистически коррелирующие параметры усложняют анализ, однако могут быть обработаны при условии, что распределения суммарных вероятностей можно получить на основе архивных данных. Основным недостатком дедуктивного метода является времязатратность его применения. Кроме того, в регионах, где штормы физически сложны, этот метод может не позволить получить значения параметров, которые адекватно описывают штормы. Дедуктивный метод применим только в тех случаях, когда чрезвычайное событие объясняется редкой комбинацией параметров, которые встречаются достаточно часто в пределах своих индивидуальных распределений. Моделирование таких областей регулярно выполняется в нефтяной промышленности.
Поскольку дедуктивный метод получил относительно меньшее распространение и его применение в нефтяной промышленности по-прежнему находится на начальной стадии развития, оставшаяся часть этого подраздела посвящена историческому методу.
Во время экстраполяции наборов данных необходимо учитывать следующие рекомендации и особенности.
- Существует мнение, что некоторые распределения теоретически превосходят остальные. Кроме того, на практике показано, что наиболее надежные оценки экстремальных значений можно получить путем определения распределения, которое наилучшим образом аппроксимирует подгруппу разумного количества экстремальных точек данных с помощью алгоритма минимизации ошибок (например, метода максимального правдоподобия).
- Во время аппроксимации данных не следует смешивать данные штормового события одного типа (например, зимнего шторма) с данными штормового события другого типа (например, урагана). Распределение вероятностей двух типов чрезвычайных событий зачастую представляет собой физическую функцию, сильно зависящую от аргумента (тип шторма), поэтому смешение типов штормов может привести к неконсервативным оценкам экстремумов. Шторм каждого типа необходимо аппроксимировать отдельно с последующим вычислением комбинированных статистических функций.
- При аппроксимации необходимо использовать характеристики достаточного количества штормов, чтобы добиться статистической достоверности аппроксимации.
- Границы экстраполяции не должны слишком далеко выходить за рамки набора данных. Рекомендуется не определять значения гидрометеорологических параметров для периодов повторяемости, превышающих в четыре раза протяженность набора данных. Например, для оценки параметров 100-летнего шторма необходимо использовать как минимум 25-летний набор данных.
- Из данных необходимо исключить систематическую ошибку вне зависимости от способа их получения (проведение измерений или прогнозного моделирования). Систематическая ошибка может значительно исказить оценки редких событий и привести к неконсервативным значениям, обусловленным процедурой экстраполяции. Разброс (шум) расширяет границы доверительного интервала экстраполяции и может создать положительное смещение. Систематическая ошибка имеет тенденцию к увеличению при экстраполяции данных за границами доверительного интервала.
- Предпочтительно экстраполировать зашумленный набор данных большой продолжительности, а не краткосрочный и менее зашумленный набор данных. Например, для оценки 100-летнего шторма предпочтительнее использовать набор данных, полученный на основе модели 50-летнего прогнозирования, а не результаты измерений, полученные на протяжении нескольких лет, хотя результаты прогнозирования могут давать больший разброс, чем измерения. Подразумевается, что систематическая ошибка исключена из обоих источников данных. Необходимо подчеркнуть, что любую модель, используемую для экстраполяции данных, следует внимательно проверить с помощью доступных результатов измерений.
- Перед выбором какого-либо предельного значения необходимо принять во внимание различные методики, например, использование различных пороговых значений, различных распределений, ежегодных максимумов, превышений критических уровней (РОТ) и анализа суммарного распределения периодичности.
- Необходимо убедиться, что оценки редких событий не превышают некоторый предел, связанный с физическими ограничениями, например, предел разрушения волн на мелководье.
- Достоверность оценки редких событий зачастую можно значительно улучшить путем объединения данных из близлежащих районов, особенно в регионах с редкими штормами. Объединение эффективно, если источником данных является прогнозная модель на основе координатной сетки. Существуют другие методы уменьшения статистической неопределенности, такие как усреднение оценок экстремальных значений для соседних районов, однако исследования дают основания полагать, что подобные методы приводят к появлению систематической ошибки и препятствуют объединению. Независимо от используемого метода необходимо исключить из рассмотрения районы, которые отличаются от других районов физической средой. Например, данные о волнах мелководья не должны объединяться с данными о волнах глубоководья.
А.5.8 Гидрометеорологические условия для оценки усталости
А.5.8.1 Общие положения
Меняющиеся со временем напряжения в морском сооружении происходят за счет меняющегося со временем воздействия волн (при участии течения или без него), порывистого или шквалистого ветра и сочетания этих воздействий. Меняющиеся со временем напряжения для оценки усталости характеризуются числом регистрации различных значений диапазона напряжений (максимальное напряжение минус предшествующее или последующее минимальное напряжение), в некоторых случаях дополненных средним значением размаха напряжений.
При определении соответствующих гидрометеорологических параметров следует учесть требующуюся характеризацию в каждом отдельном случае.
А.5.8.2 Неподвижные сооружения
Переменные напряжения в условиях расположения стационарных конструкций (стальных или бетонных) происходят за счет порывистого ветра и волн при одновременном воздействии течения (или без воздействия течения). Переменные напряжения, вызванные порывистыми ветрами, обычно невелики и, за исключением случаев расчета некоторых надводных элементов конструкции, ими можно пренебречь. Воздействие течения обычно не учитывают по следующим причинам:
- скорости течений, существующих одновременно с волнами в условиях окружающей среды, исключая экстремальные или аномальные, обычно невелики в том же самом направлении, что и волны;
- влияние течения на диапазоны напряжений обычно гораздо меньше, чем влияние максимального испытываемого напряжения.
Минимальным требованием к оценке усталости стационарного сооружения в условиях расположения является соответствующее описание волновой среды в данном месте в период расчетного срока эксплуатации. В идеале это можно представить с помощью долгосрочного совместного распределения значимой высоты волны (
Hs), репрезентативного периода колебаний волны (
Tz или
Tp), среднего направления распространения волны

и направленного распространения вокруг среднего направления распространения волны. В то же время адекватной информации о совместном наличии этих четырех параметров обычно не имеется. Диаграмма рассеяния волн дает плотность вероятности
p(
Hs,
Tz) или
p(
Hs,
Tp) совместного наличия
Hs и
Tz или
Tp. Если адекватные данные имеются, их иногда можно распространить на трехпараметрическую диаграмму рассеяния волн

или

; в противном случае среднее направление распространения волн

задается с помощью долговременного маргинального распределения, независимого от
Hs и
Tz или
Tp. Направленным распространением волн обычно пренебрегают или учитывают с помощью стандартной функции распространения, независимой от других трех параметров, см.
А.8.7.
Долговременное распределение должно либо охватывать полную продолжительность расчетного срока эксплуатации, либо продолжительность обычного года. Если используются годовые распределения, предполагают, что условия во время обычного года повторяются каждый год во время расчетного срока эксплуатации. Сезонные распределения не подходят для оценки усталости.
Там, где можно использовать детерминистские оценки усталости для сооружений с квазистатической реакцией, волновая среда данного конкретного места во время расчетного срока эксплуатации конструкции может быть установлена с помощью долговременного маргинального распределения отдельных высот волн. Это распределение можно вывести по диаграмме рассеяния волн.
Там, где значимыми являются вызванные вихреобразованием колебания за счет течений в условиях расположения, также следует определить долговременное маргинальное распределение скоростей течений в данном месте.
Там, где значимыми являются вызванные вихреобразованием колебания за счет ветра в предпусковых условиях, следует получить долговременное маргинальное распределение скоростей стабильных ветров в период возведения сооружения.
Там, где переменные напряжения за счет порывистых ветров невозможно не учитывать (например, для отдельных опорных элементов трубы свечи или факельной башни) двух- или трехпараметрические диаграммы следует заменить на трех- или четырехпараметрические диаграммы рассеяния совместного наличия волн и ветров. В таких особых случаях волны обычно задаются параметрами
Hs и
Tz или
Tp, дополненные, если возможно,

, в то время как ветер обычно задается скоростью стабильного ветра
Uw0 как репрезентативного параметра порывистых ветров, см.
А.7.4.
Для удлиненных надводных элементов конструкции (например, буровых вышек, факельных башен) долговременного маргинального распределения скоростей стабильных ветров должно быть достаточно для оценки усталости за счет возбуждения порывистыми ветрами и вызванными вихреобразованием колебаниями.
Требования и руководство для оценки усталости стационарных стальных или бетонных сооружений приводятся соответственно в
[4] и
[5].
А.5.8.3 Плавучие сооружения
В принципе, спецификация всех условий окружающей среды, которые ожидают во время периода воздействия на плавучее сооружение, совпадает со спецификацией для стационарных сооружений. В то же время поведение плавучего сооружения под воздействием окружающей среды обычно более сложное, чем у стационарного сооружения. Следовательно, долговременное совместное распределение или соответствующие гидрометеорологические параметры должно в идеале включать больше параметров, чем для стационарных сооружений.
Плавучие конструкции испытывают за счет воздействия волн колебательные движения с шестью степенями свободы. Кроме того, плавучие конструкции подвергаются медленным изменениям положения и ориентации в результате одновременных воздействий ветра, течения и волн. Эти явления понятны не до конца и часто не могут быть надежно спрогнозированы заранее. Это очень осложняет определение переменных напряжений в плавучих конструкциях на стадии проектирования. Следовательно, оценка усталости плавучего сооружения обычно использует практические и основанные на собственном опыте методы. Соответствующие гидрометеорологические параметры и способ их задания должны подходить для используемого метода. В отношении требований и руководства для оценки усталости плавучих сооружений:
[6] по однокорпусным и полупогружным морским сооружениям и платформам типа SPAR и
[7] по плавучим основаниям с натяжным вертикальным якорным креплением.
А.5.8.4 Буровые установки
Основные различия между буровыми установками в поднятом состоянии и стационарными сооружениями в отношении усталости следующие:
- они развернуты в разных местах для эксплуатации,
- период воздействия в одном конкретном месте обычно значительно короче,
- в различных местах, в которых развертывается буровая установка, чувствительные к усталости места отличаются (в основном, за счет разных глубин),
- зачастую имеется возможность осуществить неразрушающий контроль чувствительных к усталости элементов, и
- требуется периодический контроль со стороны классификационных обществ и береговых государственных органов.
В отношении требований и руководства по оценке усталости буровой установки во время эксплуатации в зависимости от местоположения использовать
[9].
А.5.9 Гидрометеорологические параметры для краткосрочной деятельности
Почти все краткосрочные морские операции и некоторые операции, связанные с морской авиацией, чувствительны к точности, надежности и временному охвату прогнозов погоды. Планирование до операции имеет большое значение для надлежащей разработки планов обеспечения безопасности, точной оценки затрат и определения пределов возможности проживания и транспорта.
Наиболее общеизвестным способом, использующимся в таких задачах по планированию, является так называемый "инерционный прогноз" или анализ "периодов благоприятной погоды". Такой анализ обычно применяется к ряду длительных периодов времени (например, продолжительностью 10 лет) наблюдения гидрометеорологической переменной, например, высота волны, средняя скорость ветра или скорость течения. Более сложный многопараметрический анализ (включая период распространения волны) может потребоваться, в частности, для производственной деятельности, включающей плавучие системы.
Пример - Чтобы спланировать требующуюся операцию на установке, обеспечив безопасность, можно оценить среднее число случаев в июне и августе, когда значимая высота волны в конкретном месте может ожидаться ниже 1,5 м в течение периода продолжительностью 36 ч или больше при одновременной скорости ветра меньше 10 м/с, а спектральный максимальный период распространения волны меньше 9 с. Может потребоваться изменение ориентации, чтобы сделать предельные критерии менее строгими.
В любом случае прогнозы погоды скорее всего потребуются до и во время эксплуатации, и зачастую целесообразно собирать данные в реальном масштабе времени о критических гидрометеорологических параметрах (таких как скорость ветра и высота/период волны) во время эксплуатации, чтобы способствовать точности и своевременности прогнозов.
А.6 Глубина воды, приливы и отливы и штормовой нагон воды
А.6.1 Общие положения
Изменения относительно спокойной водной поверхности включает несколько составляющих, а именно атмосферные приливы, эффекты штормового нагона воды, изменение среднего уровня моря, вертикальное перемещение земной коры, осадка и проседание. Записи в таких областях, как северная Европа, за последние 100 лет показывают тенденцию к снижению относительно спокойного уровня воды в результате подъема земной коры в этом районе с более высокой скоростью, чем подъем фактического уровня моря. Не говоря о внезапных тектонических движениях, таких как землетрясения, маловероятно, что изменения относительного уровня моря от тектонической активности и изостазии будут значительными в процессе расчетного срока эксплуатации сооружения. В то же время могут возникнуть значительные локальные движения земной коры за десятилетние или близкие к ним периоды в результате местных воздействий, таких как уплотнение и проседание осадочного грунта, включая эффекты уплотнения коллектора.
В настоящее время существует единое мнение в отношении скорости изменения уровня спокойной воды за счет изменения климата в следующем столетии, которое составляет 5 мм в год. В то же время, такая оценка будет меняться по мере увеличения объема знаний. Любое изменение реального уровня спокойной воды вряд ли будет одинаковым по всему земному шару.
Изменение глубины воды за счет изменений уровня спокойной воды приведет к незначительному изменению приливов-отливов и нагона воды, если только изменение глубины не становится многометровым.
А.6.2 Приливы-отливы
Расчет в наилучшем приближении глубины воды и флуктуации уровня воды (НАП (наивысший астрономический прилив), НАО (наинизший астрономический отлив), экстремумы нагона воды и общего уровня спокойной воды) проводят по измерениям давления от морского дна приливомером в привязке к конкретному месту. Если сигнал о приливе является доминантным, то можно получить соответствующие оценки амплитуды приливов в данном месте по данным за месяц. В то же время точные оценки экстремумов приливов, включая НАП и НАО, требуют высококачественных данных, как минимум, за один полный год от одного участка. Метод анализа данных об уровне воды требует:
- преобразования измерений давления в эквивалентные глубины, используя поправки на плотность/температуру/атмосферное давление,
- гармонический анализ приливов, дающий значения всех значимых постоянных прилива и средний уровень воды,
- прогнозирование приливов на 19 лет (гармоническая составляющая с наиболее длинным периодом) и выделение НАП и НАО,
- вычитание прогнозируемых приливов из измеренных уровней, дающее временной ряд почасового штормового нагона воды,
- отдельные статистические анализы общего и штормового нагона воды, и
- комбинация частотного распределения подъемов уровня воды за счет приливов и штормового нагона для получения требующихся вероятностей общего уровня спокойной воды.
Если измерения приливомером не выполнялись, а глубину воды определили местными промерами глубины лотом, то следует ввести поправки на уровень прилива по ссылкам на публикуемые таблицы приливов, котидальные карты или имеющийся точный приливомер.
А.6.3 Штормовой нагон воды
Точные оценки штормового нагона воды требуют данных за длительный период (приблизительно 10 лет), но если долговременные измерения или расчет элементов волнений для прошедших периодов времени по данным синоптических карт имеются для соседнего участка, то можно пользоваться пространственной техникой, и данные за один-два года могут обеспечить реальные оценки.
А.7 Ветер
А.7.1 Общие положения
При измерении ветра рекомендуется следующее:
- знать высоту измерения ветра над средним уровнем моря, которая должна быть достаточно велика, чтобы не мешали воздушные потоки от поверхности волны или от сооружения;
- знать среднее время измерения скорости ветра;
- измерять температуру воздуха и моря, чтобы обеспечить оценивание атмосферной стабильности, которая может повлиять на профиль скоростей ветра и спектр ветровых волн (см.
А.7.3 и
А.7.4) в условиях слабого ветра;
- не экранировать анемометр аэрогидродинамически.
Измерения в месте, удаленном от рассматриваемой площадки, могут ввести в заблуждение, например, ввиду сильного градиента скорости ветра вблизи береговой линии. Если желательно использовать такие измерения, поскольку не имеется измерений на рассматриваемом участке, следует сделать допуск (например, пользуясь числовыми моделями) на такие эффекты. Измерения ветра, выполненные над землей, следует скорректировать для отображения условий над водой.
Данные о ветре следует выверять по стандартному подъему на 10 м над средним уровнем моря (опорное значение высоты
zr) с установленным усредненным временем, например, 1 ч. Данные о ветре можно выверять по любой заданной высоте над уровнем моря, отличающейся от базового значения, используя профиль скоростей ветра, приведенный в
А.7.3.
А.7.2 Ветровое воздействие и нагрузочные эффекты
При определении соответствующих расчетных скоростей ветра для экстремальных и аномальных условий проектируемые экстремальные скорости ветра в заданных направлениях с установленными средними значениями времени следует выводить как функцию интервала их возврата. Данные следует записывать для:
- места измерения, даты возврата, величины измеренных скоростей стабильных ветров, направлений ветров и скоростей порывистых ветров для записанных данных, которые были использованы при развитии экстремальных и аномальных ветров;
- проектируемого числа случаев во время установленного расчетного срока эксплуатации сооружения, если предполагается, что скорости стабильных ветров установленных направлений превысят установленное пороговое значение;
- типа шторма, вызывающего сильные ветры, который является значимым, если в рассматриваемом регионе могут возникать штормы нескольких типов.
При определении соответствующих расчетных скоростей ветра для нормальных и кратковременных условий следует регистрировать данные для:
- частоты возникновения установленных скоростей стабильных ветров различных направлений для каждого месяца или сезона;
- постоянства скоростей стабильных ветров выше установленных пороговых значений для каждого месяца или сезона;
- вероятной скорости порывистого ветра, связанной со скоростями стабильных ветров.
В некоторых примерах следует задать спектр флуктуации скорости ветра вокруг среднего значения. Например, плавучие и другие совместимые конструкции на большой глубине могут иметь периоды естественных колебаний в диапазоне минуты или больше периода, при котором существует значительная энергия в флуктуациях скорости ветра. Данные о спектрах ветра приведены в
А.7.4.
Для большинства целей удовлетворительной считается относительно простая модель ветра, состоящая из следующего скалярного уравнения в среднем направлении ветра,

:
Uw(z, t) = Uw(z) + uw(z, t), (А.1)
где Uw(z, t) - скорость ветра, изменяющаяся в пространстве и времени на высоте z над средним уровнем моря и в момент времени t;
Uw(z) - средняя скорость ветра на высоте z над средним уровнем моря, усредненное на заданном интервале времени;
uw(z, t) - переменная скорость ветра на высоте z вокруг Uw(z) и в том же направлении, что и средний ветер.
Скорость ветра в трехсекундном порыве подходит для определения максимальных квазистатических локальных воздействий, вызванных ветром, на отдельные элементы конструкции, тогда как пятисекундные порывы подходят для максимальных квазистатических локальных или глобальных воздействий на сооружения, максимальный горизонтальный размер которых меньше 50 м; а 15-секундные порывы подходят для максимальных квазистатических глобальных воздействий на конструкции большего размера.
Если расчетные воздействия, вызванные ветром, необходимо объединить с воздействиями, вызванными волнами и течением, подходит следующее:
- для конструкций с пренебрежимо малой динамической реакцией стабильный ветер в течение 1 ч может быть использован для определения квазистатических глобальных воздействий, оказываемых ветром наряду с экстремальными или аномальными квазистатическими воздействиями за счет волн и течений;
- для конструкций, которые являются умеренно динамически чувствительными, но не требуют полного динамического анализа, средний ветер в течение 1 мин может использоваться для определения квазистатических глобальных воздействий, вызванных ветром, в сочетании с экстремальными или аномальными квазистатическими воздействиями, вызванными волнами и течениями;
- для конструкций с существенным динамическим откликом на возбуждение с периодами, превышающими 20 с, принимать во внимание данные полного анализа динамического отклика на переменные ветры.
А.7.3 Профиль ветров и скорость ветра, усредненная по времени
Измерения репрезентативных морских условий в условиях сильного нейтрально стабильного атмосферного ветра, предлагают, что профиль скоростей среднего ветра Uw(z) в штормовых условиях можно более точно описать с помощью логарифмического профиля, как дается в уравнении (А.2), чем традиционно используемого экспоненциального профиля:
Uw,1h(z) =
Uw0[1 +
Cln(
z/
zr)], (А.2)
где Uw,1h(z) - скорость стабильного в течение 1 ч ветра на высоте z над средним уровнем моря; скорость стабильного в течение 1 ч ветра на базовой высоте zr и стандартная опорная скорость для стабильных ветров;
Uw0 - зависящий от размеров коэффициент, значение которого зависит от базовой высоты и скорости ветра Uw0. Для zr = 10 м, C = (0,0573)(1 + 0,15Uw0)1/2, где Uw0 в единицах метр в секунду (м/с);
z - высота над средним уровнем моря;
zr - базовая высотная отметка над средним уровнем моря (zr = 10 м).
Для таких же штормовых условий среднюю скорость ветра для усредненного времени короче 1 ч можно выразить уравнением (А.3), используя скорость стабильного в течение 1 ч ветра
Uw,1h(z) из
уравнения (А.2):
Uw,T(
z) =
Uw,1h(z)[1 - 0,41
Iu(
z)ln(
T/
T0)], (А.3)
где Uw,T(z) - скорость стабильного ветра на высоте z над средним уровнем моря, усредненная по интервалу времени T < 3600 с;
Uw,1h(z) - скорость стабильного в течение 1 ч ветра на высоте
z над средним уровнем моря, см.
уравнение (А.2);
T - временной интервал усреднения при T < T0 = 3600 с;
T0 - стандартный опорный временной интервал для скорости ветра, 1 ч = 3600 с;
Iu(z) - зависящая от размеров интенсивность порывистости ветра на высоте z над средним уровнем моря, задаваемая уравнением (А.4), где Uw,0 измеряется в метрах в секунду (м/с):

(А.4)
Уравнения в данном подразделе являются типовыми проектными формулами, выведенными из подборки кривой по имеющимся данным, и включают числовые константы, которые действительны в единицах СИ метрах и секундах.
Примечания
2 В отсутствие дополнительной информации по тропическим штормовым ветрам в рассматриваемом регионе эти уравнения также могут применяться к такому штормовому типу.
3 Описанные выше уравнения недействительны для описания шквалистых ветров, поскольку продолжительность шквала зачастую меньше 1 ч. Описание статистик шквалистых ветров является предметом продолжающегося исследования.
А.7.4 Спектры скорости ветра
Порывистость ветра, т.е. динамические свойства ветра, зависит от стабильности атмосферного граничного слоя. Стабильность, в свою очередь, зависит от разницы температур воздуха и моря и от средней скорости ветра. Уравнения в данном подразделе для динамических свойств ветра соответствуют близкой к нейтральной (слегка нестабильной) атмосферной стабильности в штормовых условиях. Для общих атмосферных условий, в которых важна стабильность/нестабильность, и для условий более слабого ветра больше подходит сложная формула, которая допускает отклонения от нейтральной стабильности.
Переменную скорость ветра
uw(
z,
t) (порывистость) можно описать в частотном диапазоне с помощью спектра (скорости) ветра, аналогично способу, которым волновой спектр описывает подъем поверхности воды (см.
А.8.6). Функция спектральной плотности продольных флуктуаций скорости ветра в конкретной точке пространства можно описать с помощью одноточечного спектра турбулентности уравнения (А.5):

(А.5)
где S(f, z) - спектр (скорости) ветра (функция спектральной или энергетической плотности) при частоте f и на высоте z;
Uw0 - скорость стабильного ветра в течение 1 ч на базовой высоте zr (стандартная отметка высоты для стабильных ветров);
Uref - опорная скорость ветра, Uref = 10 м/с;
f - частота, в циклах в секунду (герц) в диапазоне от 0,00167 Гц <= f <= 0,5 Гц;
z - высота над средним уровнем моря;
zr - базовая отметка высоты над средним уровнем моря (zr = 10 м);

- безразмерная частота, определенная уравнением (А.6), где числовой коэффициент 172 имеет размерность в секундах (с):

(А.6)
n - коэффициент, равный 0,468.
На рисунке А.1 приведены спектры (скорости) стабильного ветра за 1 ч 10, 20 и 40 м/с и высоты z = 10 м и z = 40 м.
a - z = 10 м, Uw0 = 40 м/с; b - z = 40 м, Uw0 = 40 м/с;
c - z = 10 м, Uw0 = 20 м/с; d - z = 40 м, Uw0 = 20 м/с;
e - z = 10 м, Uw0 = 10 м/с; f - z = 40 м, Uw0 = 10 м/с
Рисунок А.1 - Примеры спектров (скорости) ветра
Дисперсия (т.е. квадрат стандартного отклонения) флуктуаций скорости ветра вокруг средней скорости ветра по определению равна интегралу функции спектральной плотности по всему частотному интервалу от
f = 0 до бесконечности. В то же время, данные, по которым выведена спектральная формула в
уравнениях (А.5) и
(А.6), охватывают интервал от
f = 1/600 = 0,00167 Гц до
f = 0,43 Гц ~= 0,507 Гц. Интеграл спектра по частоте может, таким образом, отражать только флуктуации скорости ветра в пределах указанного диапазона частот. Поэтому интеграл спектра будет соответствовать только части общей дисперсии скорости ветра и необходимо соблюдать осторожность при соотнесении этого интеграла с имеющимися измерениями, чтобы обеспечить сравнение сопоставимых диапазонов частот. Далее следует отметить, что
S(
f,
z) из
уравнения (А.5) не стремится к нулю ниже наименьшей частоты
f = 1/600 Гц, рассматриваемой в измерениях, как следует ожидать из понятия пробела в спектре.
Для применения на практике спектр (скорости) ветра в точке необходимо дополнить описанием пространственной когерентности переменных продольных скоростей ветра над рассматриваемой поверхностью конструкции или элемента конструкции (подвергающейся воздействию). В анализе частотных диапазонов можно консервативно предположить, что все масштабы турбулентности полностью когерентны над всеми надводными элементами. В то же время, для некоторых конструкций есть смысл вычислить в динамическом анализе не совсем полную когерентность при более высоких частотах. Корреляция между спектральными энергетическими плотностями флуктуаций продольной скорости ветра при частоте f между двумя точками в пространстве можно описать с помощью двухточечной функции когерентности. Рекомендуемая функция когерентности между двумя точками P1(x1, y1, z1) и P2(x2, y2, z2) с позициями вдоль потока x1 и x2, позициями против потока y1 и y2 и высотами z1 и z2, задается формулой:

(А.7)
где FCoh(f, P1, P2) - функция когерентности между флуктуациями турбулентности в точках P1(x1, y1, z1) и P2(x2, y2, z2);
Uw0 - скорость стабильного ветра за 1 ч на высоте 10 м над средним уровнем моря в метрах в секунду (м/с);
Ai - функция частоты и положения двух точек P1 и P2.
Ai рассчитывают по уравнению (А.8) (м/с)

(А.8)
где f - частота в герцах (Гц);
Di - расстояние, измеренное в метрах (м) между точками
P1 и
P2 в направлениях
x,
y и
z для i = 1, 2 и 3 соответственно, см.
таблицу А.1;
zg - геометрическая средняя высота двух точек zg = (z1·z2)1|2;
zr - базовая отметка высоты над средним уровнем моря, zr = 10 м;

,
pi,
qi и
ri - коэффициенты, приведенные в таблице А.1.
Таблица А.1
i | Di | | pi | qi | ri |
1 | |x1 - x2| | 2,9 | 0,4 | 1,00 | 0,92 |
2 | |y1 - y2| | 45,0 | 0,4 | 1,00 | 0,92 |
3 | |z1 - z2| | 13,0 | 0,5 | 1,25 | 0,85 |
А.8 Волны
Ниже приводятся основные факторы, которые следует учитывать при оценке характеристик волн на конкретной площадке и их влияние на проектирование, строительство и эксплуатацию сооружений.
Границы зоны нагона волны
Величина роста волн, образующихся в результате местного ветрового давления, ограничивается протяжением и шириной области образования волн. Полные числовые модели, приведенные ниже, включают эти процессы для определения общей геометрии.
Воздействие нелинейных волн
В условиях экстремальных штормов, даже на глубоководье, могут встречаться отдельные нелинейные волны. На мелководье, даже при нормальных условиях, под воздействием морского дна образуются нелинейные волны. Кинематическое поведение не очень высоких и крутых волн в условиях глубоководья описывается теорией линейных волн Эйри, но для более высоких или более крутых волн в глубокой воде и на мелководье наиболее подходящей для описания свойств волн являются теории высшего порядка, например, высота гребня и кинематическое поведение. Вода считается мелкой, если значение частоты диапазона глубины волны/длины волны на глубоководье меньше 0,13.
Рефракция
По мере распространения волн в мелкой воде их скорость (которая зависит от периода колебаний волны и глубины воды в зоне) снижается и происходит их преломление. При измерении больших глубин (батиметрия) и периодов единичной волны величину рефракции рассчитывают с помощью закона Снелла или с помощью метода построения хода луча. Для более сложных глубинных измерений и измерения волн с коротким гребнем наиболее подходящим является цифровой метод. Результатом рефракции может стать как увеличение, так и уменьшение энергии/высоты волны, а также изменения в направлении между соседними участками в зоне мелководья, в зависимости от батиметрического профиля. Течения также могут вызвать рефракцию и поэтому обязательно должны учитываться, особенно там, где сильные течения генерируются приливами или реками.
Дифракция и отражение
Эти процессы могут оказаться важными в местах набегания волн на выступающие объекты, например на волнорезы или острова. Следует учитывать вероятность наличия очагов волновой энергии, образующихся около островов или подводных гор.
Уменьшение высоты волны на мелководье и разрушение волны
По мере распространения периодической волны на мелководье, ее длина уменьшается, при этом период волны остается неизменным. Для случайных волн можно предположить, что период спектрального пика остается тем же самым. Этот процесс известен как донный эффект. По мере того, как волна продолжает распространяться на мелководье, крутизна волны увеличивается до тех пор, пока скорость частиц на гребне не превысит скорость волны и не произойдет разрушение волны. В мелкой воде эмпирический предел высоты волны приблизительно в 0,78 раз выше глубины волны в зоне, для волн с длинным гребнем. Высота волны с коротким гребнем может превышать глубину воды в зоне до 0,9 раз. Высота волногасителя также зависит от уклона пляжа. В условиях глубоководья разрушение волны может произойти в расчетных пределах крутизны 1/7.
Высота гребня
Точное описание распределения экстремальных гребневых высот в зоне необходимо для того, чтобы определить минимальную отметку палубы для конструкций, опирающихся на морское дно. Уменьшение высоты волны на мелководье и нелинейные процессы влияют на высоту гребня по мере продвижения волны на мелководье. С уменьшением глубины мелкой воды высота волны относительно номинального уровня спокойной воды повышается.
Диссипация волны морским дном
По мере передвижения волн в мелкой воде увеличивается придонная скорость горизонтальных колебаний, и в результате возникает турбулентное рассеяние энергии. В настоящее время этот процесс может применяться для ретроспективного моделирования.
Волновое взаимодействие
При подробном рассмотрении направлений спектров волн на нескольких участках было установлено, что эволюция спектра волны поддается параметризации и зависит от глубины воды в зоне. Было сделано предположение, что она зависит от нелинейного волнового взаимодействия между компонентами волны различной частоты.
С учетом сложности процессов, протекающих на мелководье, наиболее подходящим методом расчета высоты волны является расчет с помощью комплексной цифровой модели волны, в которой учтены все соответствующие процессы, изложенные выше.
Расчеты, проведенные для разнообразных зон по всему миру, показывают, что при ретроспективном моделировании для глубоководья и мелкой воды может быть достигнута следующая точность:
- средняя погрешность (отклонение) в Hs - 0,1 м;
- коэффициент вариации от 10% до 15% для штормовых пиков Hs;
- коэффициент вариации приблизительно для 20% всех Hs непрерывно в течение длительного времени (например, 10 лет для прошедших периодов времени).
Не существует каких-либо датчиков или идеальных волновых моделей, которые бы обеспечили точные волновые измерения или могли воспроизвести уровень спокойной воды, который можно использовать как базовый. Например, эксплуатационные ограничения морских сооружений, опирающихся на морское дно, зачастую подразумевают невозможность замерить уровень поверхности спокойного моря с помощью датчиков, установленных на платформе. Аналогичным образом, волноизмерительные буи не дают идеально точных данных при сильном волнении моря. Волновые модели хороши настолько, насколько точно описаны физические свойства, на которых построены эти модели. Преимущества и недостатки любого конкретного набора данных должны оцениваться в процессе анализа и интерпретации этих данных.
При построении ретроспективной картины волн следует убедиться, что используемые ретроспективные данные согласуются с конкретными и надежными данными измерений, полученных за тот же период. В частности, необходимо учитывать пространственно-временное усреднение ретроспективных данных и присутствие шумовых помех, присущих многим массивам данных, а при необходимости, учитывать один или оба массива данных.
Опытные специалисты, имеющие познания в области метеорологии, океанографии и гидродинамики, должны привлекаться в качестве консультантов при расчете условий окружающей среды, зависящих от свойств волны, и при разработке метео-океанографических параметров. Для районов, по которым имеется недостаточное количество предварительных данных об океанографических условиях, разработка метео-океанографических параметров, определяемых свойствами волны, должна включать следующие шаги в части разработки базы ретроспективных данных:
- Разработка всех необходимых метеорологических данных;
- Проекция площади ветрового поля;
- Перспективный анализ общего состояния глубоководного морского участка вдоль траектории циклонов с помощью математической модели;
- Определение максимально возможного волнения моря с учетом географических ограничений;
- Определение профиля батиметрического воздействия на морские глубоководные участки;
- Внедрение вероятностных методов для прогнозирования состояния моря на месте установки сооружения и оценки изменений во времени;
- Разработка расчетных характеристик волны (путем оценки физических и экономических рисков) для проектирования экологических мероприятий.
На участках, по которым были накоплены значительные предыдущие данные и опыт, в части океанографических условий, приведенный выше порядок мероприятий может быть упрощен.
При разработке данных о состоянии моря, либо в виде статистических показателей, характеризующих состояние моря, либо в виде отдельных репрезентативных волн, характерных для состояния моря, необходимо учитывать следующее.
a) Для нормальных условий и краткосрочных мероприятий (в море и на мелководье):
1) вероятность возникновения и средняя устойчивость различных типов состояний моря для каждого месяца и/или сезона (например, окружающие условия при высоте волны более 3 м от заданного направления, относительно параметров общего состояния моря, таких как высота волны и средний период колебаний волны, пересекающих нулевую отметку);
2) скорость ветра, приливы и течения, происходящие одновременно с названными выше состояниями моря;
3) процентное соотношение волн, имеющих значительную высоту, или размах отдельных волн, направления и периоды в пределах указанного диапазона (например, высота 3 м для волн высотой 4 м из юго-восточного сектора в течение каждого месяца и/или сезона).
b) Для экстремально сложных и ненормальных условий
Расчет экстремальной и аномальной высоты волны от заданной следует выполнять в виде функции с повторяющимися периодами. Другие данные, подлежащие разработке, включают:
1) вероятный диапазон и распространение периодов волн, в зависимости от экстремальной и ненормально большой высоты волны, для определения характеристик отдельной расчетной волны;
2) распространение гребня максимальной высоты и энергетический спектр волнения моря в состоянии, при котором образуются экстремально высокие и ненормальные волны;
3) вероятные приливы, течения, ветры и обрастание морскими организмами, которые могут произойти с возникновением экстремально высоких и ненормальных волн при волнении на море;
4) характер, время и место происхождения события ретроспективного события (например, Ураган Камилла, произошедший в Мексиканском заливе в августе 1969 года), которые используются в разработке расчетных значений.
А.8.2 Волновое воздействие и его последствия
При рассмотрении экстремальных и аномальных условий для расчетных случаев следует учитывать следующие моменты.
- Максимальная высота отдельной волны с заданным периодом повторяемости, в целом, выше, чем наиболее вероятная экстремально большая и аномальная высота волны при волнении моря в течение одного или трех часов с тем же периодом повторяемости.
- Наибольший подъем или результат наибольшего воздействия на сооружение, которое не обязательно вызвано наибольшим волнением на море или волнами самой высокой балльности. Это объясняется характером волнового воздействия, восприимчивостью сооружения к частотной составляющей волны при морском волнении, а также геометрическими особенностями рассматриваемого сооружения.
- Под воздействием волн и течений может произойти размыв дна вокруг объектов, на территории или вблизи морского дна, которые препятствуют свободному прохождению потока. Примерами размывов можно считать размывы вокруг опор морских сооружений и самоподъемных морских оснований, вокруг подводных морских плит и обнажение подводных трубопроводов.
А.8.3 Периоды характерных, наблюдаемых и встречных волн
Во всех теориях периодических волн в качестве периода для определения длины волны, кинематических особенностей всех волн принято использовать внутренний период. Если период волны измеряется с помощью стационарных (а не дрейфующих) приборов, то измеряются видимые периоды волны. Если в основу расчета периода волны положена модель, разработанная с учетом ретроспективного анализа волны, с замерами, выполненными откалиброванными стационарными приборами, и без внесения поправок в модель для учета существующего течения, то, в таком случае, период волны представлен видимым периодом. В обоих случаях внутренний период волны следует рассчитывать исходя из видимого периода волны. Это обычный случай для морских сооружений, рассматриваемых в настоящем стандарте. Если в модели волны, полученной с помощью ретроспективного анализа, уже учтен эффект Доплера, вызванный воздействием течения на период волны, то корректировка не требуется.
При расчете кинематических свойств частицы волны некоторые программы вносят поправку на существующее течение для выравнивания результатов измерения внутреннего периода волны/длины. При работе в других программах пользователь должен сам вручную отрегулировать период волны и только после этого выполнять расчет кинематических свойств. Пользователь должен убедиться, что он следует правильной процедуре.
При построении единообразных эпюр скоростей для течения относительно глубины воды необходимо решить основную проблему, устанавливающую связь между скоростями в системах координат для видимых и внутренних периодов, которые описываются уравнением (А.9):

(А.9)
где a - нижний индекс для видимого периода;
i - нижний индекс для скрытого периода;
c - скорость волны (скорость волновой фазы);

- длина волны;
T - период волны;
Vin-line - составляющая скорости течения, совпадающего с направлением распространения волны;
Uc - устойчивая скорость течения свободного потока, не сниженная блокировкой сооружения;

- направление скорости течения относительно направления распространения волн.
Ниже в уравнении (А.10) приводится результат соотношения между видимым и внутренним периодом:

(А.10)
Путем умножения числа волн

можно записать уравнение (А.10) с помощью значений частоты видимого и внутреннего периодов:

(А.11)
где

- круговая частота колебаний,

.
Длина волны, которая не зависит от системы отсчета, и внутренний период объединены в дисперсионном уравнении, которое для волн первого и второго порядка выглядит следующим образом:

(А.12)
где d - глубина акватории;
g - ускорение силы тяжести.
Для волн более высокого порядка дисперсионное соотношение определяют путем численного моделирования.
Значение
Vin-line является положительным, если распространение волн и составляющая скорости течения действуют в одном направлении

; в этих случаях частота видимого периода выше частоты внутреннего периода.
И наоборот, значение
Vin-line является отрицательным, когда распространение волн и составляющая скорости течения действуют в противоположных направлениях (

или

), в этом случае частота видимого периода ниже частоты внутреннего периода. Для отрицательных значений
Vin-line (противоположные течения) должно быть удовлетворено условие
cj +
Vin-line > 0, в противном случае волны двигаются быстрее вниз по течению, чем они могут распространяться вперед. Стоячая волна описывается особым случаем
cj +
Vin-line = 0 и

.
Когда известен период характерных волн
Ti [или частота
Ц], также известна длина волны

и волновое число
k [см.
уравнение (А.12)], для каждой скорости течения существует период наблюдаемых волн
Ta [или частота

], связанный с
T [
ц]. Когда известен период наблюдаемых волн
Ta 
, существует только один период наблюдаемых волн
T [
ц], связанный с
Ta 
, когда скорость течения имеет направление в сторону распространения волны (
Vin-line > 0). Что касается встречных скоростей течения, т.е.

, в принципе существует два значения
T [
Ц], которые соответствуют каждому значению
Ta 
. Однако второе решение связано со слишком короткими, не существующими в действительности волнами и может быть проигнорировано.
Уравнения с
(А.9) по
(А.12) напрямую обеспечивают значение
Ta отданного значения
T, но должны быть решены несколько раз для определения значения
T от данного значения
Ta. Для особого случая при единообразной эпюре скоростей течения решение данных уравнений обеспечивается в безразмерной форме на
рисунке А.2. На данном рисунке отображено отношение
T к
Ta как функция
Vin-line/
GT для постоянных значений
D/
GT2 > 0,01. Данный рисунок можно использовать с
T =
Ta для определения
T или с
T =
T для определения
Ta. Для меньших значений
D/
GT2 применяют аппроксимацию мелководья, и допускается использовать уравнение

.
При течении, распространяющемся равномерно на всю глубину моря, на
рисунке А.2 показаны приемлемые расчеты
T/
Ta для "плоских" профилей течения, которые единообразны на высоте 50 м над верхней частью водяной толщи или более. Для неоднообразных профилей течения следует использовать взвешенные значения среднеглубинной линейной скорости течения:

(А.13)
a - d/(gT2) = 0,01; b - d/(gT2) = 0,02;
c - d/(gT2) = 0,04; d - d/(gT2) = 0,10
Примечание - Для расчета D/(GT2) и Vin-line/GT можно использовать уравнение T = Ta или T = T-t.
Рисунок А.2 - Допплеровское смещение в периоде
волны из-за установившегося течения. Соотношение
между периодом характерных и наблюдаемых волн
Пространственные соотношения меняются подобно временным соотношениям. Соотношение между координатами в направлении распространения волны в наблюдаемой и характерной системе координат выглядит следующим образом:
xa = xi + Vin-linet. (А.14)
Таким образом, во всех волновых уравнениях зависящий от пространства и времени аргумент (
Ц - cos гармонической функции в соответствии с уравнениями (А.14) и
(А.11) преобразуется в:

(А.15)
Преобразование между встречными периодами волн, измеряемыми в зависимости от направления движения судна и периодов характерных волн, подчиняется подобным принципам, но не обязательно должно быть описано в настоящем стандарте.
В формулах спектров волн (см.
А.8.6) параметр частоты - это частота характерных волн. Однако стационарная конструкция (закрепленная или плавучая) в волновом поле, где присутствует течение, реагирует на частоту наблюдаемых волн. Для выполнения расчетов реагирования значение спектра частот волн преобразуется в частоту наблюдаемых волн. Поскольку энергия волн на диапазон частот не зависит от системы координат,
S(
A)
DA =
S(
aa)
daa, тогда волновой спектр в видимой частоте приобретает форму

. Преобразования координат выполняются по
уравнению (А.11), принимая во внимание то, что волновое число
K - это функция частоты характерных волн i при использовании
уравнения (А.12).
А.8.4 Кинематика плоских волн
Некоторые теории периодических волн допускается использовать для прогнозирования кинематики двухмерных регулярных волн. Разные теории по-разному обеспечивают приближенные решения одних и тех же дифференциальных уравнений с приближенными граничными условиями. Рассчитывают форму волны, которая симметрична гребню и распространяется без изменения формы. Теории имеют отличие в своих функциональных формулировках и в степени, до которой они удовлетворяют нелинейные кинематические и динамические граничные условия на волновой поверхности.
Теория линейных волн применяется, только если линеаризация граничных условий свободной поверхности оправданна, т.е. строго говоря, только когда амплитуда и крутизна волны бесконечно малы. Теория волн Стокса пятого порядка представляет собой расширение пятого порядка в крутизне волны относительно среднего уровня воды, что удовлетворяет граничные условия свободной поверхности с приемлемой точностью в достаточно широких областях применения, как приведено на
рисунке А.3. Теория Чеплира аналогична теории волн Стокса пятого порядка, но в ней определяются коэффициенты при расширении в числовом отношении путем минимизации методом наименьших квадратов погрешностей при граничных условиях свободной поверхности, но не аналитическим способом. Теория расширенного скоростного потенциала (EXVP-D) точно удовлетворяет динамическое граничное условие и минимизирует погрешности при кинематическом граничном условии. Теория функции течения точно удовлетворяет кинематическое граничное условие и минимизирует погрешности при динамическом граничном условии.
Если не применяется теория волн Стокса пятого порядка, допускается использовать теорию функции течения. Выбор соответствующего порядка для решения может основываться на процентной погрешности в динамических и кинематических граничных условиях, или на процентной погрешности в скорости или ускорении, сравниваемых со следующим более высоким порядком. Эти два метода обеспечивают приемлемые порядки решения с охватом большей части допустимой области, но отличаются в крайних значениях относительно
H > 0,9
Hb (где
Hb - высота прибойной волны) и

. В отношении этих крайних значений указанные теории не были в достаточной степени подтверждены лабораторными измерениями и, таким образом, должны использоваться с предельной осторожностью. В частности, кривая высоты длинногребневых прибойных волн НВ, показанная на
рисунке А.3, не является общепринятой.
Теория новых волн основана на математическом выводе характеристик наиболее вероятной максимальной волны при волнении на море. Поверхность новой волны имеет вид функции автокорреляции. Новая волна включает непрерывный спектр частот волн в беспорядочном волнении на море; она не основана на дискретной гармонике основной частоты. Кинематику частоты каждой волны вычисляют с использованием теории линейных волн, подводят итог и затем выводят значение дельта-растяжения.
Дельта-растяжение обеспечивает простую эмпирическую поправку для распространения кинематики, полученной из линейной теории, до гребня волны над уровнем невозмущенной поверхности воды. Когда отметка поверхности местной воды находится выше уровня невозмущенной поверхности воды и учитываемая вертикальная координата z выше глубины растяжения ds (расстояние ниже уровня невозмущенной поверхности воды, при котором начинается процесс растяжения), затем z в уравнениях по определению кинематики линейных волн заменяется на растянутую вертикальную координату zs:
zs = Fs(ds + z) - ds = (Fs - 1)ds + Fsz, (А.16)
где z - вертикальная координата, z = 0 на уровне невозмущенной поверхности воды;
Fs - коэффициент растяжения, определяемый уравнением (А.17):

(А.17)
где a - параметр растяжения (0 < a < 1,0);

- отметка уровня воды при рассматриваемом горизонтальном положении.
Глубина растяжения (ds), как правило, устанавливается на половину высоты характерной волны или на половину отметки гребня, а параметр растяжения, как правило, равен 0,3. Коэффициент растяжения Fs всегда менее 1,0 и следовательно zs < z.
a - предел разрыва волны в условиях глубоководья
H/X = 0,14; b - волна Стокса пятого порядка, функция новой
волны или течения третьего порядка; c - предел разрыва
волны в условиях глубоководья H/D = 0,78; d - функция
течения (отображающая порядковое число); e - линейная
функция/функция Эйри или функция течения третьего порядка;
f - мелководье; g - море средней глубины; h - глубоководье
Рисунок А.3 - Области применения альтернативных теорий волн
При использовании теории новых волн значения кинематики рассчитывают только один раз при нарастании волны и затем фиксируют, так как волна распространяется вдоль, по длине конструкции. Новая волна соответствует случайным моделям направленных волн и обеспечивает результаты для прямых глобальных воздействий в направлении стационарных металлоконструкций, подобных тем конструкциям, которые рассчитываются путем моделирования во временной области.
Другой вид растяжения линейный или иначе носит название "растяжение Уилера", см.
А.9.4.1.
А.8.5 Максимальная высота отдельной волны для длительных периодов повторяемости
Длительную максимальную высоту HN отдельной волны с периодом повторяемости N лет можно рассчитать несколькими способами. Используемый метод должен учитывать длительную погрешность балльности штормовых условий и кратковременную погрешность балльности условий максимальной волны определенного состояния или шторма на море.
По статистике правильные методы основываются на штормах. Штормы выводятся из временного ряда высоты характерной волны путем разделения на события с пиковой высотой характерной волны (Hsp) выше определенного порога.
Длительную погрешность при штормовой балльности рассматривают с использованием вероятностного распределения балльности шторма, измеряемой относительно своей пиковой высоты характерной волны или наиболее вероятного максимального значения отдельных волн при шторме (Hmp). Погрешность в высоте максимальной волны при любом шторме рассчитывают как вероятностное распределение, зависящее от значений Hsp или Hmp. Свертка двух распределений обеспечивает распределение для любого произвольного шторма и, таким образом, полное длительное распределение для высот отдельных волн.
Подобный метод применялся с использованием данных о состоянии моря, но не о шторме как независимой переменной. Общепризнанно, что данный метод статистически не устойчивый, так как последующие волнения моря имеют зависимость. Сюда входит анализ многих данных о состоянии моря, которые не влияют на окончательный результат и могут обеспечивать ложную достоверность результатов, так как количество независимых входных данных гораздо ниже, чем представляется. Несмотря на данные известные недостатки данный метод часто обеспечивает успешную первичную оценку условий в районе при наличии только короткого измеряемого набора данных (например, от одного до нескольких лет) Hs.
Приближенное значение, которое иногда используют для получения значения Hn путем умножения Hsn при расчете периода повторяемости N лет на коэффициент, связанный с отношением наиболее вероятной самой высокой волны при волнении моря к высоте характерной волны Hsn. Однако, в данном методе недооценивается значение Hn, так как не учитывают влияние состояний моря, которые имеют более низкие значения, но происходят чаще, чем Hsn, а также состояний моря, которые имеют более высокие значения, но происходят реже, чем Hsn. Точность метода также зависит от совместного устранения погрешностей на всех этапах, в конце которых обеспечивается окончательный ответ. При использовании данного метода значения высоты отдельной волны должны подчиняться распределению Рэлея или Форристолла (см. ниже), а волнение моря должно длиться в течение 3 ч. Несмотря на то, что данный метод довольно успешно применялся в прошлом, его следует использовать с предельной осторожностью, при наличии более усовершенствованных методов его применения следует избегать.
Классическое описание распределения высоты от гребня до подошвы волны (H) в морях с небольшой амплитудой колебаний волн именуется распределением Рэлея, которое в виде накопленной вероятности представлено в уравнении

(А.18)
где H* - любое требуемое значение высоты характерной волны.
На практике большинство морей имеют большую амплитуду колебаний волн, а использование распределения Рэлея будет приводить к получению завышенных значений высоты волн. Для учета определенной ширины полосы было предложено количество выведенных опытным путем распределений. Часто используется распределение, предложенное Форристоллом, которое было выведено опытным путем с использованием данных штормовых волнений в Мексиканском Заливе:

(А.19)
где

;

.
Примечание - Когда

и

, распределение Форристолла преобразуется обратно в распределение Рэлея.
Распределения вероятностей для максимальной высоты отдельной волны в состоянии невозмущенной водной поверхности моря могут устанавливаться, задав
уравнение (А.18) или
уравнение (А.19) до мощности, равной количеству волн в интервале. Распределение вероятностей для максимальной высоты отдельной волны, зависящей от значения
Hsp или
Hmp, может определяться за счет объединения распределений для каждого состояния невозмущенной водной поверхности моря, из которого образовался шторм.
Фактическое море представляет собой результат действия случайных процессов. Это может рассматриваться как наложение многих малых индивидуальных частотных компонентов, каждый из которых представляет собой периодическую волну с собственной амплитудой, частотой и направлением распространения, и с соотношениями случайных фаз относительно друг друга. Особый случай представляет собой однонаправленное беспорядочное волнение на море, когда все частотные компоненты распространяются в том же направлении. На поверхности волнения однонаправленного моря имеются длинные гребни, в то время как на поверхности фактического или направленного моря имеются короткие гребни. В линейной модели со случайными волнами состояние моря полностью характеризует спектр направленных волн S(A, 0) отметки подпорного уровня воды, который определяет распределение энергии волн по частотам и направлениям.
Реальное волнение есть результат случайного процесса. Его можно рассматривать как наложение многих небольших отдельных частотных компонентов, каждый из которых является периодической волной со своей собственной амплитудой, частотой и собственным направлением распространения, и как имеющее случайные соотношения фаз относительно друг друга. Однонаправленное нерегулярное волнение, когда все частотные компоненты распространяются в одном и том же направлении, представляет собой специальный случай реального волнения. Поверхность однонаправленного волнения является волной с длинным гребнем, тогда как поверхность реального или направленного волнения - с коротким гребнем. В линейной модели случайной волны состояние моря полностью характеризуется направленным волновым спектром

возвышения водной поверхности, который задает распределение волновой энергии по частотам и направлениям.
Направленные характеристики часто принимаются независимыми от частоты, допуская разделение переменных величин, так что спектр направленной волны может быть выражен произведением функции направленного распространения волны

(см.
А.8.7), независимой от частоты, и волнового частотного спектра

, который не зависит от направления. Тогда общее взаимоотношение:

(А.20)
заменяется выражением

(А.21)
где функция направленного распространения по определению удовлетворяет взаимоотношение:

(А.22)
Подробное обсуждение функции

смотрите в
А.8.7.
А.8.6.2 Определение частоты
Частота волны может быть выражена или на основе

в радианах в секунду (рад/с), или на основе
f в герцах (Гц). Взаимоотношение между этими двумя частотами есть

(А.23)
Так как энергия в расчете на частотный диапазон остается одной и той же, т.е.
взаимоотношение между двумя альтернативными выражениями волнового частотного спектра есть

(А.24)
А.8.6.3 Волновой частотный спектр
Форма волнового частотного спектра изменяется в широком пределе вместе с действительным волновым режимом, который испытывает волна. Можно различать два широких класса режима волны: ветровое волнение и зыбь. Ветровое волнение возникает под воздействием местного ветра; соответствующая форма волнового спектра будет зависеть от скорости ветра, длины нагона ветра над открытой водой и длительности периода, в течение которого дул ветер. Волны на море под воздействием ветра, которые идут из области образования ветрового волнения, могут появиться как зыбь в другой области, далеко оттого места, где зарождается ветровое волнение. Что касается зыби, то нет прямой связи с режимом местного ветра, поэтому следует четко различать спектры для зыби и ветрового волнения.
Внутри ветровых волнений имеется дальнейшее различие между режимом волны, который полностью развит, и режимом волны все еще в стадии развития. В первом случае волнение находится в состоянии равновесия: энергия, подводимая ветром, и рассеяние энергии в волновых процессах сбалансированы. Во втором случае имеет место ввод полезной энергии и соответственно все еще продолжается увеличение волн.
Большинство параметрических спектральных форм, разработанных океанографами, относятся к ветровым волнениям, а большинство из них - к полностью развитым волнениям. Они выражают волновой частотный спектр только на основе установившейся скорости местного ветра (спектральная формулировка с одним параметром). Для сооружений континентального шельфа использование таких спектров, как правило, избегается в пользу спектральной формулировки с двумя параметрами. Эта формулировка выражает волновой частотный спектр с помощью двух репрезентативных параметров волнения моря в данном месте независимо от ветра. Параметрами, которые используются, являются значимая высота волны Hs и представляющая частота, для которой можно выбрать следующее:
- пиковую или модальную частоту

волнового частотного спектра,
- среднюю частоту перехода через нуль

возвышения водной поверхности, или
- альтернативную среднюю величину частоты

волнового спектра.
Оба параметра, значимая высота волны и представляющая частота, как правило, получают по измерениям на месте возведения сооружения.
Две наиболее часто используемые стандартные формулировки волнового частотного спектра

для морских применений - это спектр Пирсона-Московица для полностью развитого волнения и спектр JONSWAP для развивающегося волнения.
В формулировках спектров волн (см.
А.8.6) частотный параметр является присущей частотой. Однако стационарное сооружение (неподвижное или плавучее) в волновом поле стечением реагирует на видимую (кажущуюся) частоту. Чтобы обеспечить выполнение расчетов частотного отклика, формулировку волнового частотного спектра следует преобразовать в видимую частоту. Так как энергия волны в расчете на частотный диапазон не зависит от системы отсчета, то

и поэтому волновой спектр на видимой частоте становится

. Преобразования координат осуществляются с использованием
уравнения (А.11), учитывая должным образом тот факт, что волновое число
k есть функция присущей волновой частоты

, через
уравнение (А.12).
А.8.6.4 Спектр Пирсона-Московица
Общая форма волнового частотного спектра Пирсона-Московица для полностью развитого ветрового волнения может быть записана следующим образом:

(А.25)
где
A и
B - два параметра, которые устанавливаются в соответствии со значимой высотой волны
Hs и представляющей частотой (или периодом) состояния волнения. Точные формы параметров
A и
B зависят от выбора представляющей частоты состояния волнения (

,

или

). Дополнительное обсуждение и разъяснение смотрите в
приложении Б.
А.8.6.5 Спектр JONSWAP
Волновой частотный спектр JONSWAP (совместный проект изучения волнения в Северном море) является модификацией спектра Пирсона-Московица для развивающегося ветрового волнения в ситуации ограниченного разгона.

(А.26)
где

- безразмерный параметр формы пика;

- числовой параметр;

;
Fn - нормирующий или масштабный коэффициент, использованный для гарантии, что SJS и SPM имеют одинаковую величину значимой высоты волны Hs.
Значения по умолчанию для

и

, которые часто используются, следующие:

,

и

; соответствующий нормирующий коэффициент есть
Fn = 0,66. Эти значения для

и

есть средние значения по данным исходного проекта JONSWAP на относительно большой глубине. При подгонке измеренных данных к спектру JONSWAP значения, выведенные для

и

, широко изменяются между разными периодами времени в течение развития волнения, а также между разными местоположениями вокруг мира. Однако центральное значение

кажется подходящим для очень сильных штормов.
Если поведение сооружения континентального шельфа считается восприимчивым к энергетическим уровням около спектрального пика, то следует использовать диапазон значений

.
Волновые спектральные формы на малых глубинах, как правило, не соответствуют формам спектра Пирсона-Московица или спектра JONSWAP, хотя иногда используется видоизмененная версия спектра JONSWAP.
Примечание - Для

спектр JONSWAP возвращается к спектру Пирсона-Московица.
А.8.6.6 Высокочастотный шлейф волнового частотного спектра для ветровых волнений
Высокочастотные шлейфы спектров Пирсона-Московица и JONSWAP уменьшаются с частотой как

. Однако есть свидетельство, что это не совсем корректно и что степень

, по меньшей мере, частично является более подходящей. Вообще говоря, имеется широкая поддержка для

в диапазоне частот приблизительно

и для

в частотном диапазоне

.
А.8.6.7 Спектры для зыби
Волновые частотные спектры для зыби, как правило, более узкие, чем спектры для ветровых волнений. Зыбь с длительным периодом, как результат отдаленных штормов, является более или менее симметричной по форме вокруг преобладающей модальной частоты. Даже если это так, то спектр зыби часто характеризуется функцией JONSWAP с коэффициентом большого пикового увеличения. Применение функции JONSWAP дает преимущество в том, что спектральную форму зыби с укороченным периодом - которая склоняется иметь более широкие спектры, в частности, выше модальной частоты - можно хорошо описать. Тем не менее симметричная нормальная или гауссовская функция обычно считается лучшим дескриптором зыби, в частности, зыби с длительным периодом.
Симметричный спектр зыби может быть определен в полной аналогии с нормальной или гауссовской плотностью распределения вероятности путем допущения, что основная переменная будет частотой волны, установка средней величины должна быть равной модальной частоте зыби и среднеквадратическое отклонение должно быть подходящей функцией средних переходящих через нуль и модальных частот зыби. Это дает следующую формулировку волнового частотного спектра для зыби:

(А.27)
где

- спектр зыби;
Fn,sw - масштабный коэффициент, используемый для гарантии, что спектр будет иметь правильную высоту волны зыби
Hs,sw,

;

- частота волны;

- пиковая или модальная частота спектра зыби,

;

- параметр, определяющий ширину симметричного спектра зыби (равняется среднеквадратическому отклонению гауссовской функции),
где

- средняя переходящая через нуль частота зыби,
Низкочастотная, узкополосная зыбь имеет значения Tz = T2, которые почти равны, но всегда несколько меньше, чем Tp.
А.8.6.8 Применения
Наиболее подходящая форма волнового частотного спектра для сооружений континентального шельфа зависит от географической зоны и суровости волнения моря. Она также зависит от того, является ли волнение полностью развитым или все еще находится в стадии развития, а также от рассматриваемого применения. Например, для краткосрочного расчетного штормового условия Северного моря однонаправленный спектр JONSWAP может быть самым подходящим, тогда как для моделирования ряда волнений, направленно распространяемых, чтобы анализировать долговременную усталость, спектры Пирсона-Московица часто являются более подходящими. Подобным образом, чтобы исследовать вынужденный простой судов на континентальном шельфе Западной Африки, может быть подходящим использование бимодального спектра, составленного из низкочастотного спектра зыби с одного направления и высокочастотного спектра волнения моря с другого направления.
Для тропических зон имеется склонность использовать параметризацию Очи-Хабла. См.
приложение Б.
А.8.7 Функция направленного распространения волн и коэффициент распространения
А.8.7.1 Функция направленного распространения
Функция направленного распространения

используется со спектрами волн, см.
А.8.6.1.
Стандартные формулировки для функции направленного распространения можно найти в литературе. Однако информацию о направленной волне трудно измерить. Отсюда данные для обоснования функций направленного распространения являются скудными. Поэтому на практике часто принимают однонаправленные волнения моря. Если ожидается, что влияние направленного распространения волны должно быть значимым, то следует выполнять анализы чувствительности, чтобы исследовать это влияние. В таких случаях может быть использовано одно из распределений, показанных в уравнении (А.28).
Функция направленного распространения

из
А.8.6.1 является симметричной функцией вокруг среднего направления

. В отсутствие информации наоборот можно принимать, что среднее направление волны совпадает со средним направлением ветра. Общепринято использовать следующие три выражения для

:

(А.28)
где
Все функции имеют пик на

, острота которого зависит от экспоненты
n в

или s в

, или от среднеквадратического отклонения

нормального распределения

. Коэффициенты
C являются нормирующими множителями, зависимыми от
n,
s или

, которые определяются таким образом, что интеграл

по всем

равняется 1,0. Для правильно выбранных значений параметров функции

и

являются фактически неразличимыми.
В инженерных применениях

часто используется с величиной
n, равной от 2 до 4 для ветровых волнений; для
n = 2 соответствующий множитель

. Для зыбей значение
n = 6 или выше является более подходящим.
Если используется

, то типичные значения
s есть величина
s, равная от 6 до 15 для ветровых волнений, и
s от 15 до 75 для зыбей.
А.8.7.2 Коэффициент направленного распространения
Коэффициент направленного распространения

используется для того, чтобы видоизменять теории однонаправленного регулярного волнения.
Для инженерных применений волнение на море часто представляется детерминистической расчетной волной, полагая, что периодические волны распространяются в определенном направлении. Это является отвлеченным понятием реального моря, которое используется только в целях проектирования.
Методики детерминистической расчетной волны могут быть, например, использованы для того, чтобы устанавливать глобальные воздействия, вызванные волнами, на неподвижные сооружения. Это особенно является общепринятой практикой для статического расчета неподвижных стальных сооружений пространственной каркасной конфигурации. Тогда направленное распространение частотных компонентов стремится иметь результатом пиковые глобальные воздействия, которые до некоторой степени меньше прогнозируемых для однонаправленных волнений. Для таких целей снижение в глобальных гидродинамических воздействиях вследствие направленного распространения может быть включено в методики детерминистической расчетной волны путем уменьшения горизонтальной скорости и ускорения, которые получают из теории двумерной периодической волны на "коэффициент распространения".
Только энергия волны, которая идет в главном направлении волнения, вносит свой вклад в кинематику волны в этом направлении. Отношение энергии в линии к полной энергии волны является "коэффициентом изменчивости в линии". Так как кинематика является пропорциональной квадратному корню энергии волны, то направленное распространение снижает кинематику в линии под самым высоким гребнем на коэффициент распространения, который равен квадратному корню коэффициента изменчивости в линии. Вся энергия в спектре волны вносит свой вклад в кинематику, так что коэффициент распространения вычисляется путем интегрирования всего волнового спектра по частоте и направлению.
Коэффициент направленного распространения

зависит от типа шторма на море в рассматриваемом районе и расстояния от местонахождения сооружения, представляющего интерес, до центра шторма. Хотя ссылка может быть приведена на данные направленного распространения, связанные с конкретным местонахождением сооружения, в случае, когда эти данные являются доступными, все равно следует проявлять осторожность, так как такие данные трудно интерпретировать. Кроме того, следует заметить, что данные распространения, выведенные из ретроспективных прогнозов, часто ведут к недооценке

. Вообще, значения в таблице А.2 являются подходящими для водной поверхности без ледяного покрова в случае, когда влияния рефракции и дифракции не видоизменяют распространение.
Таблица А.2
Коэффициенты направленного распространения
для условий открытой воды
Тип шторма или регион | Коэффициент направленного распространения  |
Низкоширотные муссоны, типично  | 0,88 |
Тропические циклоны приблизительно на 40° | 0,87 |
Особо тропические шторма для диапазона широт  | |
Примечание -  является географической широтой в градусах. |
Коэффициент направленного распространения волны может быть использован с любой из теорий двумерного волнения, рассмотренного в
А.8.4.
Взаимоотношение между коэффициентом распространения

и экспонентами
n и
s в двух формулировках

и

в
уравнении (А.28) приведено в таблице А.3.
Таблица А.3
Взаимоотношение между коэффициентом распространения

и экспонентами n и s для функций направленного
распространения

и

Переменная | | |
Коэффициент направленного распространения  на основе n или s | | |
Экспонент n или s на основе коэффициента направленного распространения  | | |
Коэффициент распространения

в
таблице А.2 для муссонов на низких широтах соответствует экспонентам
n = 2,43 и
s = 6,25. Коэффициент

в
таблице А.2 для тропических циклонов подобным образом соответствует экспонентам
n = 2,11 и
s = 5,60. Для особых тропических штормов на широте
таблица А.2 представляет коэффициент распространения

, который соответствует экспонентам
n = 3,00 и
s = 7,41.
А.8.8 Возвышение гребня волны
Долгосрочное распределение экстремального и ненормального возвышений гребня может быть установлено из долговременной последовательности значимых высот волн (
Hs) и краткосрочного распределения возвышений гребней, основанных на
Hs,

. Статистически правильный подход использовал бы шторма в качестве независимой переменной. Метод, описанный в
А.8.5 для высоты волны, является в равной степени полезным, чтобы получить расчетные значения возвышения гребня и всего возвышения поверхности.
Недавние научные исследования предлагают, что возвышения гребней для волнений с типичным направленным распространением энергии волн удовлетворительно прогнозируются теорией нерегулярного, второго порядка, направленного волнения. Краткосрочное распределение
Hs,

может быть получено непосредственно из теории или из модельного распределения, калиброванного так, чтобы соответствовать результатам этой теории. Модель Вейбулла была подогнана к теории в диапазоне глубин моря и крутостей волн. Выражение Вейбулла имеет вид:

(А.29)
где

и

являются эмпирическими функциями крутости волны (
S1) и числом Эрселла (
Ur).
S1 и
Ur приведены в уравнениях (А.30) и (А.31).

(А.30)

(А.31)
где T1 - средний период волны, вычисленный из отношения двух первых моментов волнового спектра, m0/m1;
k1 - волновое число для частоты волны

;
d - глубина воды.
| | ИС МЕГАНОРМ: примечание. В официальном тексте документа, видимо, допущена опечатка: имеется в виду уравнение (А.32), а не уравнение (А.23). | |
В растянутом волнении выражения для

и

приведены в уравнениях (А.23) и (А.33):

(А.32)

(А.33)
А.9 Течения
А.9.1 Общие положения
Для сооружений на донном основании полный профиль течения, ассоциированный с волнением моря, вызывающим экстремальные или ненормальные волны, следует задавать для конструирования определенного сооружения. Для плавучих сооружений выбор подходящей комбинации течений, волн и ветров является часто менее очевидным и нуждается в тщательном рассмотрении.
А.9.2 Скорости течений
Поток течения в конкретном месте изменяется по времени и с глубиной ниже средней поверхности моря. Характеристики экстремального и ненормального профиля течения, который надо оценивать для конструирования сооружений континентального шельфа, особенно трудно установить, так как изыскания для измерения течений являются относительно дорогими, и, соответственно, маловероятно, что любая программа измерений будет достаточно долгой, чтобы охватить репрезентативное число суровых событий. Более того, моделирование течения (ретроспективный прогноз) не является таким продвинутым, как моделирование ветра и волнения на основе способности предоставлять необходимые параметры. Также экстраполяция любого набора данных требует учета трехмерной природы потока.
Измерения течений, ориентированные на конкретное место расположения сооружения, могут быть использованы либо в качестве базиса для независимых оценок вероятных крайностей, либо для того, чтобы проверять индикационные значения разных компонентов полного течения.
Информация о частоте возникновения скорости и направления полного течения на разных глубинах для каждого месяца и/или каждого сезона является нормально полезной для планирования операций. Следует по возможности находить места для высадки со шлюпки и размещения кранцев, чтобы шлюпка могла швартоваться у сооружения при движении шлюпки против течения.
Маловероятно, что любые изменения в течениях прилива-отлива в стороне от локально резонирующих районов являются значимыми. Однако на остаточные течения влияют изменения в ветроэнергетических и термохалинных циркуляциях океанских и морских бассейнов.
Для большинства расчетных ситуаций, в которых волны являются преобладающими, оценки экстремального или ненормального остаточного и полного течения могут быть получены из высококачественных, связанных с местом добычи измерений. Положения, изложенные выше, следует расширить по водному профилю и на период, который захватывает несколько главных штормовых событий, создающих обширные волнения моря. Модели течений могут быть использованы вместо измеренных данных, привязанных к определенному месту расположения сооружения. Прогон модели течения следует делать за адекватный период, который позволяет выполнить разложение прилива-отлива и отделить остаточное течение от полного течения. Следует рассмотреть длительный период, крупномасштабные колебания окружающей среды, которые могут влиять на климат остаточного течения. Следует предпринять усилия для гарантии, что выходные данные модели течения являются действительными в близком сравнении с измеренными данными.
Характеристики профиля течения по глубине в разных частях мира зависят от регионального океанографического климата, в частности от вертикального распределения плотности и потока воды в определенный район и из него. Оба этих управляющих аспекта изменяются от сезона к сезону. Типично профили мелководного течения, в которых приливы-отливы являются преобладающими, могут часто характеризоваться простыми степенными законами скорости в сравнении с глубиной, тогда как глубоководные профили являются более сложными и могут даже показать обратные направления течения с глубиной. Такие характеристики потока течения могут быть особенно важными для рассмотрения в расчетах глубоководных сооружений и частей системы, например стояков и швартовых устройств.
Профиль течения, характеризуемый степенным законом в уравнении (А.34), может быть использован в подходящем случае (например, в районах с преобладающими приливными течениями на относительно малой глубине, как в южной части Северного моря).

(А.34)
где Uc(z) - скорость течения на возвышении z (<= 0);
Uc0 - скорость поверхностного течения (на z = 0);
z - вертикальная координата, измеренная позитивно вверх от уровня застойной зоны потока;
d - глубина застойной зоны потока;

- экспонента (типично 1/7).
Другие общепринятые профили течений следующие:
- линейное распределение между поверхностным течением Uc0 и придонным течением половины поверхностного течения (Uc0/2);
- билинейное распределение с параметрами, которые устанавливаются для рассматриваемого местоположения, и
- полосковый профиль (смотрите
рисунок А.4 b) в случае, когда возникает однородное течение на верхней части водяного столба с нулевым течением в нижней части.
Для большой глубины более точные расчетные профили течения могут быть выведены из наборов долговременных измеренных данных профиля течения через процесс в два этапа. На первом этапе эти данные параметризуются, используя эмпирические ортогональные функции; на втором этапе расчетный профиль течения с необходимым периодом возврата выбирается через процесс, вовлекающий процедуру обратного метода надежности первого порядка (FORM - inverse first order reliability method).
Для некоторых применений может быть использован подход с использованием функции отклика, например объединенная тянущая нагрузка на вертикальный цилиндр. Описание этого подхода приведено в
А.5.3 c).
А.9.4 Растягивание профиля течения
Волны попеременно растягивают и сжимают профиль течения под гребнями и подошвами соответственно. Растягивание означает, что в присутствии волн мгновенная скорость течения Uc(z) водной частицы, вычисленная на глубине z (измеренной позитивно вверх от уровня застойной зоны потока для -d <= z <= 0), является эффективной на растянутой вертикальной координате zs. В расчетных данных профиль течения Uc(z) задается по полному водяному столбу между морским дном на z = -d и уровнем застойной воды на z = 0. Используются оба метода - линейного и нелинейного растягивания.
В линейном растягивании взаимоотношение между zs и z является пропорциональным к отношению мгновенной высоты возвышения водной поверхности и глубины уровня застойной зоны потока. Коэффициент растягивания Fs может быть представлен в аналоговой манере в процедуру дельта-растягивания для кинематики волны. Для растягивания течения коэффициент Fs определяется как

(А.35)
где

- возвышение водной поверхности над частицей воды (измеренное позитивно вверх от уровня застойной зоны потока);
d - глубина уровня застойной зоны потока.
Тогда растянутая вертикальная координата может быть выражена как
zs = Fs(d + z) - d, (А.36)
где zs - растянутое возвышение (измеренное вверх от уровня застойной зоны потока);
| | ИС МЕГАНОРМ: примечание. Обозначение дано в соответствии с официальным текстом документа. | |
zs - исходное возвышение (измеренное вверх от уровня застойной зоны потока).
Для растягивания течения коэффициент растягивания Fs составляет величину больше 1,0, и, соответственно, zs > z.
В нелинейном растягивании возвышения zs и z соотносятся через теорию линейной (Эйри) волны как

(А.37)
где дополнительно knl - число нелинейной волны
где

- длина волны рассматриваемого регулярного волнения для глубины
d и высоты волны
H (вычисленной с использованием нелинейной волновой теории и присущего волнового периода).
Уравнение (А.37) дает нелинейное растягивание течения с наибольшим растягиванием, возникающим высоко в столбе воды в случае, когда орбиты частиц имеют наибольший радиус. Рисунок А.4 иллюстрирует сравнение линейного и нелинейного растягивания для сдвинутого и полоскового профиля течения.
hsf - высота над морским дном; Uc - скорость течения;
a - гребень волны; b - уровень застойной зоны потока;
c - профиль входного течения; d - нелинейный растянутый
профиль течения; e - линейный растянутый профиль течения
Рисунок А.4 - Линейное и нелинейное растягивание
профилей течений
Нелинейное растягивание является предпочтительным методом. Для полосковых профилей и профилей, характеризуемых степенными законами, простое вертикальное расширение профиля течения от уровня застойной зоны потока к мгновенной поверхности волны является хорошей аппроксимацией к нелинейному растягиванию. Что касается других профилей течений, то линейное растягивание является приемлемой аппроксимацией.
Другой приближенной моделью является линейно растянутая модель, характеризуемая
уравнением (А.37), подогнанная таким образом, что полный момент в растянутом профиле от морского дна до поверхности волны равен моменту в заданном профиле от морского дна до уровня застойной зоны потока. Однако эта процедура не поддерживается теоретическим анализом.
Если течение имеет направление, отличное от направления волны, то методы, упомянутые выше, все же могут применяться, но с одним изменением: потоковый и нормальный компоненты течения нуждаются в растягивании, но только потоковый компонент использован, чтобы оценить Ti для волны с допплеровским сдвигом.
В то время как для нерегулярных волн не было разработано точное решение, решение волна/течение для регулярных волн может быть получено логически. В двух аппроксимациях, описанных выше для регулярных волн, период и длина регулярной волны будут заменяться периодом и длиной, которые соответствуют спектральной пиковой частоте.
Линейно растянутый профиль течения является приемлемой приближенной моделью для многих областей применения. Этот метод является точным аналогом линейного растяжения в волновой кинематике, примененной Уиллером.
А.9.4.2 Влияние растягивания профиля течения на гидродинамические воздействия
Модель, которая сочетает кинематику волны с допплеровским сдвигом и нелинейный растянутый профиль течения, дает наилучшую оценку глобальных гидродинамических воздействий на пространственное каркасное сооружение. Эти действия находятся в пределах нескольких процентов от воздействий, полученных точным решением на обычное стационарное сооружение, преимущественно буксируемое, которое подвергается воздействию репрезентативных волн и профилей течений.
В большинстве случаев простая вертикальная экстраполяция входного профиля течения над средним уровнем воды дает разумно точные оценки глобальных гидродинамических воздействий на стационарные сооружения. В частности, для полоскового профиля толщиной приблизительно больше 50 м вертикальная экстраполяция дает почти такой же результат, что и нелинейное растяжение, как приведено на
рисунке А.4. Однако если заданный профиль
Uc(
z) имеет очень высокую скорость на уровне застойной зоны потока, сдвинут к намного меньшим скоростям как раз ниже уровня стоячей воды, то оценка глобального воздействия может быть завышена (приблизительно на 8% в типичной области применения).
А.9.5 Блокирование течения
Блокирование течения относится к глобальному искажению поля течения в нетвердых структурах и вокруг них. Эти структуры имеют конфигурацию, которая до некоторой степени является транспарантной для течения и таким образом обеспечивает частичный поток на пониженной скорости через определенную структуру. Учет блокирования течения может представлять интерес для конструирования пространственных каркасных сооружений, неподвижных и плавучих (например, полупогружные платформы и TLPs), особенно в случае, когда сооружения вмещают в себя большое число направляющих колонн или вертикальных труб (стояков).
Для неподвижных стальных сооружений следует ссылаться на
[4].
А.10 Другие факторы окружающей среды
А.10.1 Морское обрастание
Руководство по этому вопросу не предлагается.
А.10.2 Цунами
Предварительная оценка риска цунами в регионе может быть получена из атласов.
Описание подробных процедур для сейсмического проектирования приведено в
[11], которое предлагает руководство и методы для определения величины и вероятности событий землетрясения.
Для данного местоположения частота землетрясений является очень низкой, и, в частности, частота возникновений цунами на месте добычи даже ниже, так как только немногие землетрясения вызывают цунами. В сравнении с данными землетрясений данные о цунами являются ограниченными, частично потому, что не существует глобальная система мониторинга/прогнозирования цунами. Исторические записи следует изучить, чтобы посмотреть, какие цунами случились на определенном месте или вблизи него, и следует принять во внимание возможные события источников и возможные величины. Волны цунами испытывают сильное преломление, поэтому следует обращать внимание на незащищенность рабочего места от возможных направлений приближения волн цунами и ассоциированных течений от возможных источников землетрясений.
Для большинства сооружений континентального шельфа воздействия окружающей среды являются главными из-за экстремальных ветровых волнений. Большинство сооружений функционируют на глубоководье, принимая во внимание физику волн цунами, которые в высоту достигают самое большее несколько десятков сантиметров. Так как при проектировании стационарных морских сооружений волны цунами не принимаются во внимание, их крайне протяженные периоды могут в результате оказывать серьезное воздействие на заякоренные плавучие сооружения, эксплуатируемые на участках, где глубина моря менее 100 м. Следует благоразумно принимать во внимание потенциальное воздействие цунами на заякоренные плавучие сооружения, которые являются частью разработки морских месторождений.
Высота волн цунами может значительно увеличиваться из-за мелей и преломления, так что специальное внимание следует уделять участкам, расположенным на мелководье, с усложненными батиметрическими характеристиками, что может привести к конвергенции (точка фокусировки энергии волны), или участкам, имеющим характеристики полузамкнутых водоемов, как заливы. Береговые сооружения, вероятно, будут подвергаться наибольшему риску из-за разбега цунами и потенциала для наводнения в зоне сооружения и обрабатывающей установки. Волна цунами, приближающаяся к береговой линии, часто размывает морское дно и тащит за собой большое количество осадочной породы в направлении берега и сваливает эту породу на берегу, тем самым увеличивая разрушительные последствия. Целесообразно проводить инспекции, если цунами проходит через трубопровод.
В случае, когда цунами имеют высокую вероятность возникновения и значимости (превышающей общепринятый уровень рисков в проектировании), следует проводить оценку воздействий на сооружения. Там, где это возможно, морские сооружения должны быть спроектированы с учетом возможного возникновения цунами или расположены таким образом, чтобы минимизировать последствия воздействия.
Воздействие сейшей может быть важным при проектировании погрузочно-разгрузочных сооружений, а также для эксплуатации в относительно мелководных условиях.
А.10.4 Морской лед и айсберги
В случае, когда данные собираются по морскому льду и айсбергам, следует принимать во внимание следующее:
- Тип ожидаемого морского льда является мерой его возраста: однолетний, многолетний или ледниковый. Статистики распределения отражают вариации, которые случаются в толщине, отвердевании и концентрации типов льда в течение сезона, как по сезонам, так и от года к году.
- Кили ледовых образований могут создавать борозды в морском дне на относительно малых и промежуточных глубинах (обычно менее 25 м).
- Характеристика круглогодичного регионального ледового покрытия включает возникновение и распределение концентраций льда, его толщины, размеры и типы плавучих льдин, присутствующие во время замерзания, зимой, при ледоходе и в сезоны открытой воды.
- Вероятность возникновения особых ледовых образований, например многолетних ледяных торосов и ледяных дрейфующих островов. В районах, где ожидается лед ледникового происхождения, целесообразно отслеживать годичное и сезонное изменение в таянии, концентрации и размере айсбергов.
- Вероятность распределения или экстремальные значения скорости пакового льда, плавучих льдин и отдельных ледовых образований (например, айсбергов, крупных и малых несяков и ледяных дрейфующих островов) и сезонные колебания этих распределений имеют важное значение.
При проектировании нефтегазопромысловых сооружений с параметрами, превышающими определенные при подготовке исходных данных по ледовым условиям, необходимо учитывать возможность появления ледовых образований и айсбергов в районе эксплуатации сооружений и разработать на этот случай порядок действий в чрезвычайных ситуациях. В качестве возможных действий могут быть выбраны передислокация сооружения или буксировка айсберга на безопасное расстояние. Порядок действий в упомянутых ситуациях должен быть разработан с учетом необходимых затрат времени.
А.10.5 Снег и нарастание льда
Снег может оседать на горизонтальных поверхностях, а если снег достаточно мокрый, то и на негоризонтальных поверхностях наветренных частей платформы. На вертикальных поверхностях снег может оставаться на несколько часов, хотя он может замерзать и оставаться как лед. Поэтому он может вредно воздействовать на открытые участки выше зоны всплесков. На горизонтальных поверхностях сухой снег сдувается, как только накапливается какая-либо толщина снега, в то время как мокрый снег может оставаться в позиции в течение нескольких часов.
В местах, которые подвергаются воздействию обледенения, следует рассмотреть возможность обледенения палуб от замерзающих морских брызг и замерзающего атмосферного пара.
Лед может образовываться на палубах платформы различными способами:
- замерзание старого мокрого снега;
- замерзание морских брызг;
- замерзание тумана и сверхохлажденных капель облаков;
- ледяной дождь.
Влияния обледенения палуб на устойчивость плавучих сооружений и на работу аварийного оборудования являются особыми аспектами, которые следует принимать во внимание при планировании работ в холодном климате.
В отсутствие специальной информации плотность нового снега принимается равной 100 кг/м3, а средняя плотность образованного на сооружении льда может быть принята как 900 кг/м3.
А.10.6 Разное
Никакое руководство не предлагается.
(справочное)
СВЕДЕНИЯ О ЧАСТОТНЫХ СПЕКТРАХ ВОЛН
Б.1 Спектр Пирсона-Московица
Как отмечено в
А.8.6.3, основная масса параметрических спектров, разработанных океанографами, относится к ветровым волнам, при этом большинство таких спектров соответствует полностью развитому волнению. При этом используется математическое описание частотного спектра полностью развитого волнения, когда скорость локального ветра соответствует только полностью развитому волнению (однопараметрический спектр). Формула спектра Пирсона-Московица выведена в 1964 г. на основе измерений характеристик волн северной части Атлантического океана и имеет следующий вид:

(Б.1)
где

- числовая постоянная,

;

- числовая постоянная,

;
g - ускорение свободного падения;
U - скорость ветра на высоте 19,4 м над уровнем моря.
Коэффициент

влияет на высокочастотную часть спектра, а экспоненциальная функция - на низкочастотную часть спектра. Модальная частота

пика спектра определяется следующим соотношением:

. В результате:
или

(Б.2)
Подстановка (
g/
U)
4 из уравнения (Б.2) в
уравнение (Б.1) позволяет получить спектр Пирсона-Московица, который обычно упоминается в литературе:

(Б.3)
Уравнение (Б.1) можно обобщить путем учета ограничений, связанных с числовыми постоянными и зависимостью от скорости ветра:

(Б.4)
Благодаря этому однопараметрический спектр Пирсона-Московица (функция скорости ветра) преобразуется в двухпараметрический спектр Пирсона-Московица (функция параметров
A и
B). Моменты спектра (см.
уравнение (Б.5)) связаны со статистическими параметрами подъема поверхности воды согласно
уравнениям (Б.6). Такие соотношения позволяют использовать параметры
A и
B для описания высоты характерной волны и типичной частоты или периода волнения моря.
Моменты спектра и их зависимость от параметров
A и
B в
уравнении (Б.4) выражаются следующим образом:

(Б.5)
где Г(3/4) - гамма-функция Г(x) для x = 3/4; Г(3/4) = 1,2254.
Статистические параметры подъема поверхности воды при нерегулярном волнении и их зависимость от моментов спектра имеют следующий вид:

(Б.6)
где T1 - средний период подъема поверхности воды, характеризуемый спектральными моментами нулевого и первого порядка;
T2 и Tz - средний период нулевого пересечения подъема поверхности воды, характеризуемый спектральными моментами нулевого и второго порядка (T2 = Tz);
Tp - модальный или пиковый спектральный период;

- параметр ширины спектра

.
Примечание - Модальная частота

обозначается нижним индексом m. При этом модальный или пиковый период
Tp обозначается нижним индексом p, а не m, чтобы избежать ошибочной интерпретации в качестве среднего периода.
Четвертый спектральный момент
m4 спектра Пирсона-Московица [см.
уравнение (Б.5)] равен бесконечности при интегрировании спектра от

до бесконечности. Благодаря этому

и происходит уширение спектра. Во время численных расчетов спектр Пирсона-Московица необходимо всегда ограничивать достаточно высокой частотой, чтобы получить конечное значение
m4 и относительно высокое значение параметра ширины спектра

.
Используя
уравнения (Б.6), параметры
A и
B можно выразить с помощью
Hs и одного из трех параметров периода:
Tp,
Tz =
T2 или
T1 (все три параметра упоминаются в литературе). Все уравнения можно использовать совместно с любой внутренней согласованной системой единиц измерения. В единицах СИ параметры
A и
B имеют соответственно размерность м
2(рад/с)
4 и (рад/с)
4.
При выборе Hs и Tp параметры A и B выражаются следующими соотношениями:

(Б.7)

(Б.8)
При выборе Hs и Tz параметры A и B выражаются следующими соотношениями:

(Б.9)

(Б.10)
Наконец, при выборе Hs и T1 параметры A и B выражаются следующими соотношениями:

(Б.11)

(Б.12)
Учитывая различия
уравнений (Б.8),
(Б.10) и (Б.12), необходимо правильно выбрать формулу спектра для периода времени, характеризующего волнение моря. Выбор, как правило, зависит от типа доступных данных и предпочтений проектировщика. В случае установления равенства выражений для параметра
B из
уравнений (Б.7),
(Б.9) и
(Б.11) соотношения между пиковым (модальным) периодом
Tp, средним периодом нулевого пересечения
Tz =
T2 и средним периодом
T1 для спектра Пирсона-Московица выражаются следующей матрицей:

(Б.13)
Б.2 Спектр JONSWAP
Волновой частотный спектр JONSWAP получен на основе обширных измерений, проводившихся на побережье немецкого острова Зюльт. Спектр JONSWAP представляет собой модификацию спектра Пирсона-Московица для развивающихся ветровых волн при ограниченной длине нагона волн:

(Б.14)
где

- безразмерный параметр формы пика;

- числовой параметр;

для

;

для

;
Fn - нормирующий множитель, используемый для обеспечения равенства Hs обеих спектральных форм.
| | ИС МЕГАНОРМ: примечание. В официальном тексте документа, видимо, допущена опечатка: уравнение (В.14) отсутствует. Возможно, имеется в виду уравнение (Б.14). | |
При

спектр JONSWAP превращается в спектр Пирсона-Московица. Выражение, содержащееся в больших скобках
уравнения (В.14), является коэффициентом пиковатости и зависит от трех параметров

,

и

. Вышеуказанные параметры были непостоянными в Северном море при реализации проекта измерений, однако характеризовались приемлемым разбросом значений. Средние значения параметров спектра JONSWAP:

(Б.15)
Значения параметра формы пика

изменялись в диапазоне от 1 до 6 и характеризовались приблизительно нормальным распределением со средним значением 3,3 и стандартным отклонением 0,79. Спектр JONSWAP позволяет достаточно хорошо описывать результаты наблюдений, полученные в различных географических областях, при условии, что значения параметров

,

и

выбираются в соответствии с локальными данными. Значения, полученные в различных регионах, обычно не позволяют получить одинаковые спектры JONSWAP.
Для

коэффициент пиковатости всегда больше 1,0 при всех

, поэтому

для всех

. Без нормирующего множителя
Fn спектр JONSWAP будет характеризоваться большей энергетической составляющей (большее значение
Hs) по сравнению с соответствующим спектром Пирсона-Московица. При этом модальная частота также оказывается больше:

. Чтобы обеспечить равенство
Hc для обоих спектров, нормирующий множитель должен выражаться следующей формулой:

(Б.16)
Спектр JONSWAP не поддается аналитическому интегрированию, поэтому вычисление нормирующего множителя возможно только с помощью численных методов. Используя графическую аппроксимацию результатов целого ряда вычислений различных значений параметра формы пика при постоянных

и

, можно получить выражения для нормирующего множителя, представленные в уравнении (Б.17):
| для | | (Б.17) |
| для |  , |
Fn(1) получено Эвингом, а Fn(2) - Ямагучи.
Ниже приведен пример расчетов, позволяющий определить, как значения

влияют на
Fn(2):
| Fn(2) = 1,00 | (Б.18) |
| Fn(2) = 0,81 |
| Fn(2) = 0,68 |
| Fn(2) = 0,54 |
| Fn(2) = 0,36 |
Численное интегрирование спектра JONSWAP для средних значений

,

и

позволяет получить следующие соотношения между
Tp,
Tz =
T2 и
T1:

(Б.19)
Б.3 Сравнение спектров Пирсона-Московица и JONSWAP
В качестве иллюстрации на
рисунках Б.1 и
Б.2 приведено сравнение спектральных формул Пирсона-Московица и JONSWAP для трех различных условий волнения моря. Спектры JONSWAP получены на основе средних расчетных данных:

,

,

,
Fn = 0,66. Высота характерной волны равна
Hs = 4,0 м для всех условий волнения моря. На
рисунке Б.1 пиковые периоды обеих спектральных формул одинаковы (
Tp = 6 с, 8 с и 10 с соответственно). На
рисунке Б.2 средние периоды нулевого пересечения обеих спектральных формул одинаковы (
Tz = 6 с, 8 с и 10 с соответственно). Для спектра JONSWAP взаимосвязь между средним периодом нулевого пересечения и пиковым периодом определяется равенством
Tp = 1,287
Tz (согласно
уравнению Б.19). При сравнении рисунков обратите внимание на различие распределения волновой энергии в зависимости от частоты для соответствующих спектров Пирсона-Московица и JONSWAP, а также на смещение положения этих спектров.
a - Спектр JONSWAP, Tp = 10 с; b - Спектр JONSWAP,
Tp = 8 с; c - Спектр JONSWAP, Tp = 6 с; d - Спектр
Пирсона-Московица, Tp = 10 с; e - Спектр Пирсона-Московица,
Tp = 8 с; f - Спектр Пирсона-Московица, Tp = 6 с
Рисунок Б.1 - Спектры Пирсона-Московица
и JONSWAP - Hs = 4,0 м, равные пиковые периоды:
Tp = 6 с, 8 с, 10 с
a - Спектр JONSWAP, Tz = 10 с; b - Спектр JONSWAP,
Tz = 8 с; c - Спектр JONSWAP, Tz = 6 с; d - Спектр
Пирсона-Московица, Tz = 10 с; e - Спектр Пирсона-Московица,
Tz = 8 с; f - Спектр Пирсона-Московица, Tz = 6 с
Рисунок Б.2 - Спектры Пирсона-Московица
и JONSWAP - Hs = 4,0 м, равные средние периоды
нулевого пересечения: Tz = 6 с, 8 с, 10 с
Б.4 Спектры Оки-Хаббла
Спектры Оки-Хаббла представляют собой спектры общего вида, предназначенные для описания волнений, состоящих из комбинации двух различных условий волнения моря, каждое из которых в свою очередь описывается дополнительным обобщением спектра Пирсона-Московица, использующим три параметра вместо двух. Следовательно, спектры Оки-Хаббла характеризуются в общей сложности шестью параметрами.
Спектр Пирсона-Московица можно нормализовать путем его деления на собственный нулевой момент:

(Б.20)
где

- нормализованный спектр Пирсона-Московица;
Поскольку

обладает единичной площадью,
уравнение (Б.20) можно рассматривать в качестве функции плотности распределения вероятностей. Коэффициент в квадратных скобках представляет собой экспоненциальную функцию плотности распределения вероятностей:

(Б.21)
при

и

. Экспоненциальное распределение является частным случаем более общего гамма-распределения, учитывающего плотность распределения вероятностей:

(Б.22)
При

гамма-распределение превращается в экспоненциальное распределение. Нормализованный спектр Пирсона-Московица

можно обобщить до

путем подстановки гамма-функции плотности распределения вероятностей в экспоненциальную функцию плотности распределения вероятностей [см.
уравнение (Б.20)], что позволяет получить следующее выражение:

(Б.23)
Параметр
B можно определить при условии, что спектр обладает горизонтальной касательной в точке пика спектра, т.е.

для

. Благодаря этому можно получить единственное решение:

(Б.24)
Данное решение эквивалентно
уравнению (Б.6) для спектра Пирсона-Московица. Подстановка
B из уравнения (Б.24) в
уравнение (Б.23) дает обобщенную формулу спектра:

(Б.25)

- по-прежнему нормализованная функция с единичной площадью. Для описания волнения моря с использованием высоты характерной волны
Hs необходим множитель

(см.
уравнение (Б.6)), который позволяет получить конечное выражение:

(Б.26)

является более общей формулой спектра по сравнению со спектром Пирсона-Московица и использует три параметра вместо двух, т.е.
Hs,

и

. Легко убедиться, что при

спектр

превращается в спектр Пирсона-Московица.
Спектры Оки-Хаббла получены путем объединения двух спектров, характеризуемых
уравнением (Б.26): одно - для низкочастотных компонентов (как правило, зыбь), а другое - для высокочастотных компонентов волновой энергии (как правило, ветровые волны); см.
рисунок Б.3. Математическая функция для спектров Оки-Хаббла имеет следующий вид:

(Б.27)
Необходимо учесть, что каждый из двух общих спектров обладает только одним пиком [одновершинные спектры; см.
уравнение (Б.24)]. Спектры Оки-Хаббла являются комбинациями двух спектров, поэтому могут обладать двумя пиками (двухвершинные спектры). Два пика наблюдаются не во всех спектрах. Очевидно, что пик будет наблюдаться в полном спектре при

, однако сумма ординат спектра между

и

может превысить пиковое значение высокочастотного спектра при

, поэтому касательная в точке

не обязательно горизонтальна.
Комбинация двух спектров также обладает следующим свойством:

(Б.28)
Из этого следует, что

(Б.29)
| | ИС МЕГАНОРМ: примечание. Обозначения даны в соответствии с официальным текстом документа. | |
где Hs - полная высота характерной волны объединенного волнения моря;
Hs - высота характерной волны низкочастотной части волнения моря;
Hs - высота характерной волны высокочастотной части волнения моря.

- частота;

- спектр; 1 - спектр зыби;
2 - спектр ветровых волн; 3 - полный спектр;
a - диапазон частот спектра зыби; b - диапазон
частот спектра ветровых волн
Рисунок Б.3 - Спектр Оки-Хаббла - Параметры зыби:
Hs,1 = 0,875m,
Tp,1 = 7s,

, параметры ветровых волн:
Hs,2 = 1,0m,
Tp,2 = 4,75s,

(справочное)
РЕГИОНАЛЬНАЯ ИНФОРМАЦИЯ
В.1 Общие сведения
Данное приложение содержит обзор различных морей шельфа РФ. Данные сведения используются в качестве дополнения к основному тексту вместе с
приложениями А и
Б. Кроме того, приложение В содержит ряд указаний и ориентировочных значений гидрометеорологических параметров, пригодных для разработок технических заданий. Однако для проектирования и/или оценки конкретного сооружения необходима разработка собственных указаний и критериев, учитывающих особенности конкретной местности.
Шельф РФ охватывает следующие моря:
ЮЖНЫЕ МОРЯ:
- В.2 Каспийское море;
- В.3 Черное море;
- В.4 Азовское море.
МОРЯ СЕВЕРО-ЗАПАДА:
- В.5 Балтийское море;
- В.6 Белое море.
МОРЯ АРКТИКИ:
- В.7 Карское море;
- В.8 Баренцево море;
- В.9 Море Лаптевых;
- В.10 Восточно-Сибирское море;
- В.11 Чукотское море.
ДАЛЬНЕВОСТОЧНЫЕ МОРЯ:
- В.12 Берингово море;
- В.13 Охотское море;
- В.14 Японское море.
ЮЖНЫЕ МОРЯ
В.2 Каспийское море
В.2.1 Источники данных
Результаты измерений доступны благодаря многочисленным метеорологическим станциям, расположенным по всему региону. Дополнительную информацию о специалистах и организациях соответствующей страны можно получить в национальных центрах обработки океанографических данных. Данные могут также предоставляться коммерческими организациями. В дополнение к результатам измерений выполнен целый ряд отраслевых исследований, связанных с измерением и обработкой информации, а также прогнозированием ("ВНИИГМИ-МЦД"
[12], "Росгидромет"
[13] и "ЕСИМО"
[14], справочные данные по режиму ветра и волнения (по морям), изданные РМРС
[15] -
[18], справочники "Гидрометеорология и гидрохимия морей"
[19] -
[34]. Благодаря этим исследованиям получены обширные наборы данных для заинтересованных компаний.
Информацию по отсутствующим параметрам, таким как ветровые параметры, параметры течения, температуры и др., можно найти в следующих источниках:
- ФГБУ "ВНИИГМИ-МЦД" Федеральное государственное бюджетное учреждение "Всероссийский научно-исследовательский институт гидрометеорологической информации - Мировой центр данных"
[12];
- справочные данные по режиму ветра и волнения "Российский морской регистр судоходства"
[15] -
[18];
- справочник "Гидрометеорология и гидрохимия морей"
[19] -
[34].
В.2.2 Описание региона
Каспийское море является внутренним и расположено в обширной материковой депрессии на границе Европы и Азии. Оно вытянуто в меридиональном направлении и расположено между 47 град. 07 мин и 36 град. 33 мин с.ш. и 45 град. 43 мин и 54 град. 03 мин. в.д. Протяженность моря по меридиану около 1200 км, средняя ширина 310 км (с запада на восток - от 195 до 435 километров). Площадь моря при отметке уровня - 27,5 м БС составляет 386,4 тыс. км.
Каспийское море - крупнейший на Земле замкнутый водоем, который может классифицироваться как самое большое бессточное озеро либо как полноценное море из-за своих размеров, а также из-за того, что его ложе сложено земной корой океанического типа.
Каспийское море условно делится по физико-географическим условиям на три части - Северный Каспий, Средний Каспий и Южный Каспий. Условная граница между Северным и Средним Каспием проходит по линии о. Чечень - мыс Тюб-Караганский, между Средним и Южным Каспием - по линии о. Чилов - мыс Ган-Гулу. Площади Северного, Среднего и Южного Каспия составляют соответственно 25, 36, 39 процентов.
Протяженность береговой линии Каспийского моря оценивается примерно в 6500 - 6700 километров, с островами - до 7000 километров. Берега Каспийского моря на большей части его территории - низменные и гладкие. В северной части береговая линия изрезана водными протоками и островами дельты Волги и Урала, берега низкие и заболоченные, а водная поверхность во многих местах покрыта зарослями. На восточном побережье преобладают известняковые берега, примыкающие к полупустыням и пустыням. Наиболее извилистые берега - на западном побережье в районе Апшеронского полуострова и на восточном побережье в районе Казахского залива и Кара-Богаз-Гола.
Берега Каспийского моря отличаются разнообразием. В северной части моря они довольно сильно изрезаны. Здесь расположены заливы Кизлярский, Аграханский, Мангышлакский и множество мелководных бухт. Заметные полуострова - Аграханский, Бузачи, Тюб-Караган, Мангышлак. Крупные острова в северной части моря - Тюлений, Кулалы. В дельтах Волги и Урала береговая линия усложнена множеством островков и протоков, часто меняющих свое положение. Много мелких островов и банок расположено и на других участках береговой линии. Средняя часть моря имеет относительно ровную береговую черту. На западном побережье на границе с южной частью моря расположен Апшеронский полуостров. К востоку от него выделяются острова и банки Апшеронского архипелага, из которых наиболее крупный о. Жилой. Восточный берег Среднего Каспия более изрезан, здесь выделяется Казахский залив с бухт. Кендерли и несколько мысов: Песчаный, Ракушечный, Суэ. Самый крупный залив этого побережья - Кара-Богаз-Гол - в 1980 г. отделен от моря дамбой. В северной части моря прирост прибрежной суши происходит за счет мощного потока терригенного материала, участвующего в дельтообразовании. Преобладающий тип отложений - алеврит (песчанистый ил, ил). Крупные банки состоят из битой и целой ракушки. У западного побережья Среднего Каспия питание береговой зоны обеспечивается материалом, приносимым горными речками и ручьями. Шельф сложен из мелкозернистых терригенных отложений: у берега это мелкий и средний песок, в зоне глубин 15 - 20 м - песчанистый ил и ил, на краю шельфа - пылеватый и мелкий песок. Материковый склон выложен песчанистым илом. В устьевых областях рек преобладает пылеватый песок. Метеорологические условия в разных частях Каспийского моря неодинаковы вследствие его большой меридиональной протяженности. Для северной части моря характерно преобладание восточных и юго-восточных ветров большую часть года. В средней части господствуют ветры северо-западного и юго-восточного направлений, в районе Апшеронского полуострова вследствие орографического эффекта - ветры северного и южного направлений. Над морем преобладают ветры со скоростями до 10 м/с (80% - 90%), повторяемость штормовых ветров менее 1%. Сильные и штормовые ветры в основном северо-западного и юго-восточного направлений наблюдаются чаще всего весной и зимой вблизи западного побережья Среднего Каспия, особенно в районе Апшеронского полуострова. Реже отмечается штормовая деятельность над Северным Каспием, а также в юго-восточном и юго-западном районах моря. Расположение Каспийского моря в разных климатических зонах обусловливает большие различия в распределении температуры воздуха над морем. Среднегодовые значения изменяются от 10 °C в северной части моря до 17 °C в южной. Самый холодный месяц - январь, самые теплые - июль и август.
Схемы расположения морских гидрометстанций и постов Каспийского моря представлены на рисунке В.1.
Рисунок В.1 - Схемы расположения морских гидрометстанций
и постов Каспийского моря
В.2.3 Гидрометеорологические параметры региона
В.2.3.1 Общие данные
В физико-географическом отношении и по характеру подводного рельефа море делится на три части: северную, среднюю и южную. Условная граница между северной и средней частями проходит по линии о. Чечень - м. Тюб-Караган, между средней и южной - по линии о. Жилой - м. Куули.
Площадь и объем воды Каспийского моря значительно изменяются в зависимости от колебаний уровня воды. При уровне воды -26,75 м площадь составляет примерно 371000 км2, объем воды - 78648 км3. Средняя глубина Каспийского моря, рассчитанная по батиграфической кривой, составляет 208 м.
Северная часть моря мелководная, средняя ее глубина 5 - 6 м, максимальные глубины 15 - 20 м расположены на границе со средней частью моря. Рельеф дна осложнен наличием банок, островов, бороздин.
Средняя часть моря представляет собой обособленную котловину, область максимальных глубин которой - Дербентская впадина - смещена к западному берегу. Средняя глубина этой части моря 190 м, наибольшая - 788 м. Западный склон Дербентской впадины узкий и крутой, восточный склон сильно растянут. Дно впадины представляет собой слабонаклоненную равнину с глубинами в основном от 400 до 600 м.
Южная часть моря отделена от средней Апшеронским порогом, являющимся продолжением Главного Кавказского хребта. Глубины над этим подводным гребнем не превышают 180 м. Наиболее глубоководная часть Южнокаспийской котловины с максимальной для моря глубиной 1025 м расположена восточнее дельты Куры. Над дном котловины поднимаются несколько подводных хребтов высотой до 500 м.
Сгонно-нагонные колебания уровня проявляются по всему морю, но наиболее значительны они в мелководной северной части, где при максимальных нагонах уровень может повыситься на 2,0 - 4,5 м, при сгонах - понизиться на 1,0 - 2,5 м. В средней и южной частях моря сгонно-нагонные колебания уровня меньше. У западного побережья они составляют 60 - 70 см, у восточного - 30 - 40 см. В редких случаях значения сгонов и нагонов достигают 1,0 - 1,5 м. Сгонно-нагонные изменения уровня вызываются устойчивыми штормовыми ветрами и проявляются в различных районах моря неодинаково. Ветры северной четверти способствуют сгону воды в северной части и нагону у северного побережья Апшеронского полуострова и в южных районах моря; при восточном и юго-восточном ветрах происходит нагон в северной части моря и прилегающих к ней районах западного побережья и сгон в южном и юго-восточном районах моря. Средняя продолжительность нагонов и сгонов в большинстве случаев составляет 10 - 12 ч, наибольшая - 24 ч и в редких случаях около двух суток. Приливные и сейшевые колебания уровня на Каспийском море выражены весьма четко, но не достигают больших значений.
Скорость течений достигает порядка 120 см/с.
Уровень воды в Каспийском море подвержен значительным колебаниям. По данным современной науки, в течение последних трех тысяч лет величина изменения уровня воды Каспийского моря достигала 15 метров. По данным археологии и письменных источников, фиксируется высокий уровень Каспийского моря в начале XIV века. Инструментальное измерение уровня Каспийского моря и систематические наблюдения за его колебанием ведутся с 1837 г., за это время самый высокий уровень воды зарегистрирован в 1882 г. (-25,2 м), самый низкий - в 1977 г. (-29,0 м), с 1978 г. уровень воды повышался и в 1995 г. достиг отметки -26,7 м, с 1996 г. опять наметилась тенденция к понижению. Но в 2001 г. уровень моря вновь стал повышаться и достиг отметки -26,3 м.
Для годового хода уровня характерны максимум в июне - июле и минимум в феврале. Размах внутригодовых колебаний составляет 30 - 35 см. Сгонно-нагонные колебания уровня проявляются по всему морю, но наиболее значительны они в мелководной северной части, где при максимальных нагонах уровень может повыситься на 2,0 - 4,5 м, при сгонах - понизиться на 1,0 - 2,5 м. Физиографическая карта Каспийского моря представлена на рисунке В.2.
Рисунок В.2 - Физиографическая карта Каспийского моря
Типы берегов:
I. Берега, сформированные субаэральными и тектоническими процессами и мало измененные морем. А. Первично расчлененные берега: 1 - бухтовые, 2 - берега эрозионного расчленения (эстуариевые), 3 - риасовые, 4 - фиордовые, 5 - шхерные. Б. Первично ровные берега: 6 - складчатые ровные, 7 - сбросовые ровные. II. Берега, формирующиеся преимущественно под действием неволновых факторов. А. Потамогенные берега: 8 - дельтовые, 9 - берега аллювиальных равнин. Б. Берега с приливными осушками: 10 - илистые (типа ваттовых) и песчаные. В. Термоабразионные берега: 11 - термоабразионные в рыхлых четвертичных толщах, 12 - ледяные. Г. Выветривающиеся берега: 13 - денудационные. III. Берега, формирующиеся преимущественно волновыми процессами. А. Выравнивающиеся берега: 14 - абразионно-бухтовые, 15 - абразионно-аккумулятивные бухтовые. Б. Выровненные берега: 16 - выровненные абразионные, 17 - выровненные абразионно-аккумулятивные, 18 - выровненные аккумулятивные, 19 - выровненные аккумулятивные с современной морской террасой. В. Вторично расчлененные берега: 20 - абразионно-бухтовые, 21 - абразионно-аккумулятивные бухтовые, 22 - границы морей, 23 - изобаты, 24 - наибольшая глубина, м; 25 - подводные долины
Рисунок В.3 - Типы берегов и рельеф дна Каспийского моря
Средние и экстремальные уровни моря представлены в таблице В.1.
Таблица В.1
Средние и экстремальные уровни моря [станция 97039 Лагань
(Каспийский). Отметка нуля поста -28 м (абс.)]
Год, период | Средний годовой | Максимальный за год | Минимальный за год |
Уровень | Даты | Уровень | Даты |
2013 | 67 | 229 | 21.11.2013 | -24 | 05.12.2013 |
1977 - 2013 | 69 | 288 | 15.03.1995 | -142 | 21.10.1977 |
В.2.3.2 Волновой режим
Преобладающие направления волнения в северной части моря такие же, как и ветра,- восточное и юго-восточное. Высота волн уменьшается в направлении с юга на север по мере уменьшения глубины моря. Предельные высоты 6 м возможны только на свале глубин между северной и средней частями моря. Далее к северу и востоку на глубинах порядка 6 - 7 м наибольшая высота не превышает 3 м. В средней части моря сильное волнение развивается при господствующих северо-западных и юго-восточных ветрах. В летние месяцы по всему морю преобладает волнение северо-западного и северного направлений. В зимний сезон в районе Дербентской впадины и вблизи Махачкалы повторяемость северо-западного и юго-восточного волнения почти одинакова. Наибольшие для моря высоты волн наблюдаются на акватории, примыкающей к Апшеронскому полуострову. В юго-западном районе моря преобладает северо-восточное волнение. В районе Апшеронского полуострова, окрестностях Махачкалы и Дербента, зафиксирована наиболее высокая волна высотой 11 м.
Повторяемость высот волн по направлениям и градациям за год представлена в таблице В.2.
Таблица В.2
Повторяемость высот волн по направлениям и градациям
за год (97060 Форт-Шевченко, глубина 88 м)
Направление | С | СВ | В | ЮВ | Ю | ЮЗ | З | СЗ | Сумма |
Градации, м | ч.с. | % | ч.с. | % | ч.с. | % | ч.с. | % | ч.с. | % | ч.с. | % | ч.с. | % | ч.с. | % | ч.с. | % |
Значения за многолетний период (01.01.77 - 31.12.91) |
Отсут. волн. | | | | | | | | | | | | | | | | | 484 | 3,4 |
Неопр. напр. | | | | | | | | | | | | | | | | | 876 | 6,2 |
Менее 0,25 | 1314 | 9,3 | 876 | 6,2 | 803 | 5,7 | 1038 | 7,4 | 626 | 4,4 | 857 | 6,1 | 656 | 4,6 | 568 | 4 | 6738 | 47,7 |
0,3 - 0,5 | 818 | 5,8 | 641 | 4,5 | 539 | 3,8 | 847 | 6 | 393 | 2,8 | 675 | 4,8 | 482 | 3,4 | 624 | 4,4 | 5019 | 35,6 |
0,6 - 1,0 | 76 | 0,5 | 23 | 0,2 | 11 | 0,1 | 64 | 0,5 | 43 | 0,3 | 298 | 2,1 | 144 | 1 | 97 | 0,7 | 756 | 5,4 |
1,1 - 1,5 | 19 | 0,1 | 1 | 0 | 4 | 0 | 13 | 0,1 | 5 | 0 | 90 | 0,6 | 77 | 0,5 | 24 | 0,2 | 233 | 1,7 |
1,6 - 2,0 | 0 | 0 | 0 | 0 | 0 | 0 | 0 | 0 | 0 | 0 | 0 | 0 | 4 | 0 | 0 | 0 | 4 | 0 |
2,1 - 2,5 | 1 | 0 | 0 | 0 | 1 | 0 | 3 | 0 | 0 | 0 | 0 | 0 | 0 | 0 | 0 | 0 | 5 | 0 |
Сумма | 2228 | 15,7 | 1541 | 10,9 | 1358 | 9,6 | 1965 | 14 | 1067 | 7,5 | 1920 | 13,6 | 1363 | 9,5 | 1313 | 9,3 | 14115 | 100 |
В.2.3.3 Ледовый режим
В северной части моря ежегодно в ноябре появляется лед. В суровые зимы льдом покрывается вся акватория северной части, в мягкие зимы лед держится на мелководье в пределах 2 - 3-метровой изобаты. Появление льда в средней и южной частях моря приходится на декабрь - январь.
Сведения об основных элементах ледового режима приведены в таблицах В.3 и
В.4.
Таблица В.3
Сведения об основных элементах ледового режима
(для многолетних данных указаны день и месяц) -
Гидрометеорологическая станция 97039 Лагань (Каспийский).
Период наблюдений 01.07.1977 - 31.12.2012
(осенне-зимний период)
Осенне-зимний период |
Ледообразование | Полное замерзание |
Год, период | Дата устойчивого перехода температуры воздуха через 0 осенью | Дата устойчивого перехода температуры воды через 0 осенью | Дата первого ледообразования | Дата устойчивого ледообразования | Количество старого льда при ледообразовании (первом устойчивом), баллы | Дата первого образования заберега или припая | Дата начала образования устойчивого припая | Дата первого появления приносного льда | Величина устойчивой ширины припая, км | Наибольшая ширина припая, км | Дата первого полного замерзания | Дата окончательного замерзания | Наибольшая измеренная толщина льда, см | Дата наблюдения наибольшей толщины льда |
1 | 2 | 3 | 4 | 5 | 6 | 7 | 8 | 9 | 10 | 11 | 12 | 13 | 14 | 15 |
Гидрометеорологическая станция 97039 Лагань (Каспийский). Период наблюдений 01.07.1977 - 31.12.2012 |
2012 - 2013 | | | 16.12.2012 | 16.12.2012 | 0/0 | 16.12.2012 | 16.12.2012 | 16.12.2012 | 0 | 0 | | | 23 | 26.12.2012 |
1977 - 2012 | 11.11 | | 02.12 | 12.11 | 0/0 | 02.12 | 12.11 | 02.12 | 0 | 0,1 | 26.11 | 26.11 | 36 | 05.12 |
Таблица В.4
Сведения об основных элементах ледового режима
(для многолетних данных указаны день и месяц) -
Гидрометеорологическая станция 97039 Лагань (Каспийский).
Период наблюдений 01.07.1977 - 31.12.2012
(весенне-летний период)
Весенне-летний период |
Таяние и разрушение | Очищение |
Год, период | Дата устойчивого перехода температуры воздуха через 0 весной | Дата устойчивого перехода температуры воды через 0 весной | Дата появления снежниц | Дата появления проталин | Дата появления водяного заберега | Дата начала весеннего взлома или первой подвижки припая | Дата окончательного разрушения припая | Дата первого полного очищения ото льда | Дата полного окончательного очищения ото льда | Число дней со льдом | Число дней без льда | Примечание |
1 | 2 | 3 | 4 | 5 | 6 | 7 | 8 | 9 | 10 | 11 | 12 | 13 |
Гидрометеорологическая станция 97039 Лагань (Каспийский). Период наблюдений 01.07.1977 - 31.12.2012 |
2012 - 2013 | | 01.01.2013 | 01.01.2013 | 01.01.2013 | 01.01.2013 | 01.01.2013 | | 16.02.2013 | 16.02.2013 | 63 | 302 | |
1977 - 2013 | 03.01 | 05.01 | 10.01 | 10.01 | 10.01 | 10.01 | 15.01 | 07.01 | 07.01 | | | |
В.3 Черное море
В.3.1 Источники данных
Результаты измерений доступны благодаря многочисленным метеорологическим станциям, расположенным по всему региону. Дополнительную информацию о специалистах и организациях соответствующей страны можно получить в национальных центрах обработки океанографических данных. Данные могут также предоставляться коммерческими организациями. В дополнение к результатам измерений выполнен целый ряд отраслевых исследований, связанных с измерением и обработкой информации, а также прогнозированием ("ВНИИГМИ-МЦД"
[12], "Росгидромет"
[13] и "ЕСИМО"
[14], справочные данные по режиму ветра и волнения (по морям), изданные РМРС
[15] -
[18], справочники "Гидрометеорология и гидрохимия морей"
[19] -
[34]. Благодаря этим исследованиям получены обширные наборы данных для заинтересованных компаний.
Информацию по отсутствующим параметрам, таким как ветровые параметры, параметры течения, температуры и др., можно найти в следующих источниках:
- ФГБУ "ВНИИГМИ-МЦД" Федеральное государственное бюджетное учреждение "Всероссийский научно-исследовательский институт гидрометеорологической информации - Мировой центр данных"
[12];
- справочные данные по режиму ветра и волнения "Российский морской регистр судоходства"
[15] -
[18];
- справочник "Гидрометеорология и гидрохимия морей"
[19] -
[34].
В.3.2 Описание региона
Черное море - внутреннее море бассейна Атлантического океана. Проливом Босфор соединяется с Мраморным морем, далее через пролив Дарданеллы (эти проливы зачастую называют черноморскими проливами) - с Эгейским и Средиземным морями. Керченским проливом соединяется с Азовским морем. С севера в море глубоко врезается Крымский полуостров. По поверхности Черного моря проходит водная граница между Европой и Малой Азией.
Черное море расположено между 46°33' - 40°56' с.ш. и 27°27' - 41°42' в.д. По данным различных авторов, площадь моря колеблется в пределах 406 680 - 423 000 км2. Наибольшая протяженность моря с севера на юг - 580 км. Наибольшая глубина - 2210 м, средняя - 1240 м. Объем воды в море составляет 555 тыс. км3. Характерной особенностью Черного моря является полное отсутствие жизни на глубинах более 150 - 200 м из-за насыщенности глубинных слоев воды сероводородом. Наибольшая длина моря составляет 1148 км. Наименьшая ширина его по меридиану южной оконечности Крымского полуострова - 258 км. Длина береговой линии составляет 3400 - 4100 км. Объем воды составляет 537000 - 555000 км3.
Море омывает берега России, Украины, Румынии, Болгарии, Турции, частично признанной Абхазии и Грузии (территории, расположенные вокруг моря, традиционно именуют термином "Причерноморье").
Берега Черного моря изрезаны мало и в основном в северной его части. Единственный крупный полуостров - Крымский. Крупнейшие заливы: Ягорлыцкий, Тендровский, Джарылгачский - на Украине, Каркинитский, Каламитский и Феодосийский - в Крыму, Варненский и Бургасский - в Болгарии, Синопский и Самсунский - у южных берегов моря, в Турции. На севере и северо-западе при впадении рек разливаются лиманы, имеются заболоченные и солоноватые участки. Общая длина береговой линии - 3400 км.
Ряд участков побережья моря имеют собственные названия: Южный берег Крыма в Крыму, Черноморское побережье Кавказа в России, Румелийский берег и Анатолийский берег в Турции. На западе и северо-западе берега низменные, местами обрывистые; в Крыму - в основном низменные, за исключением южных гористых берегов и полуострова Тарханкут на западе. На восточном и южном берегах к морю вплотную подступают отроги Кавказских и Понтийских гор.
Островов в Черном море мало. Самый крупный остров Джарылгач, его площадь 62 км2. Остальные острова намного меньше, крупнейшие - Березань и Змеиный (оба площадью менее 1 км2).
В Черное море впадают следующие крупнейшие реки: Дунай, Днепр, Днестр, а также более мелкие Мзымта, Псоу, Бзыбь, Риони, Кодор, Ингури (на востоке моря), Чорох, Кызылырмак, Ешильырмак, Сакарья (на юге), Южный Буг (на севере), Камчия, Велека (на западе). Годовой речной сток в Черное море составляет около 310 км3, причем 80% этих вод выносится на северо-западную шельфовую часть, в основном Дунаем и Днепром.
Среди основных полезных ископаемых, залежи которых имеются на дне моря: нефть и природный газ на северо-западном шельфе, прибрежные россыпи титаномагнетитовых песков (Таманский полуостров, побережье Кавказа).
Запасы метана, находящегося в форме газовых гидратов в глубоководных осадках Черного моря, по современным оценкам, могут достигать 25 - 49 трлн кубометров газа.
Схемы расположения морских гидрометстанций и постов Черного моря представлены на рисунке В.4.
Рисунок В.4 - Схемы расположения морских
гидрометстанций и постов Черного моря
В.3.3 Гидрометеорологические параметры региона
В.3.3.1 Общие данные
Величина осадков, поступления из Азовского моря и речного стока, превышает величину испарения с поверхности, вследствие чего уровень Черного моря превышает уровень Мраморного. Благодаря этому формируется верхнее течение, направленное из Черного моря через пролив Босфор. Нижнее течение, наблюдаемое в более низких слоях воды, выражено менее сильно и направлено через Босфор в обратном направлении. Взаимодействие данных течений дополнительно поддерживает вертикальную стратификацию моря, а также используется рыбой для миграций между морями.
Следует отметить тот факт, что вследствие затрудненного обмена водой с Атлантическим океаном и относительно малого размера самого моря в Черном море величина приливов очень мала и наблюдается только на приборах. В то же время достаточно хорошо выражены сгонно-нагонные явления под влиянием сильных зимних ветров, которые достигают 2 м в северо-западной части водоема. При зимних штормах могут образовываться волны высотой до 6 - 8 м. В бухтах периодически имеют место сейши - стоячие колебания уровня воды с амплитудой до 40 - 50 см и периодом колебаний от нескольких минут до нескольких часов.
Приливы в Черном море формируются под непосредственным влиянием приливообразующих сил, а не поступают через открытые границы из смежного океанического бассейна. Они невелики и оказывают относительно малое влияние на формирование гидрологического режима моря. Наибольшие приливы (до 17 см) наблюдаются в северо-западной части моря (в Одесском заливе).
Черное море является крупнейшим в мире меромиктическим (с несмешиваемыми слоями воды) водоемом. Две массы черноморской воды, поверхностная - опресненная, богатая кислородом и близкая по температуре к воздуху, и глубинная - более соленая и плотная, с постоянной температурой, бескислородная (анаэробная зона), разделены пограничным слоем воды, расположенным на глубинах от 30 до 100 м (так называемый холодный промежуточный слой). Его температура всегда ниже, чем у глубинных вод, так как, охлаждаясь зимой, он не успевает прогреться за лето. Слой воды, в котором резко меняется ее температура, называется термоклин; слой быстрого изменения солености - галоклин, плотности воды (зависящей от температуры и солености) - пикноклин. Все эти резкие вертикальные изменения свойств воды в Черном море сосредоточены в области ХПС. Такая вертикальная стратификация (расслоение) черноморской воды по солености, температуре и плотности препятствует вертикальному перемешиванию моря и обогащению сероводородных глубин кислородом. На глубинах 150 - 200 метров в Черном море присутствует хемоклин, то есть слой резкого изменения гидрохимических параметров (в первую очередь это переход между кислородной и сероводородной зонами).
Единого общепризнанного объяснения происхождения сероводорода в Черном море пока нет. Есть мнение, что это соединение в Черном море образуется главным образом в результате жизнедеятельности сульфатредуцирующих бактерий, резко выраженной стратификации воды и слабого вертикального обмена. Концентрация сероводорода растет с глубины 150 м, составляя 0,19 мг на 1 л морской воды, до глубин 2000 м, где достигает максимальных концентраций в 9,6 мг/л воды. Таким образом, если считать средней концентрацией 5,73 мг/л на глубине 1240 м, то приблизительное количество сероводорода в Черном море составляет 3,1 млрд т.
В строении дна Черного моря выделяются: шельф, материковый склон и глубоководная котловина. Шельф, или материковая отмель, представляет собой непосредственное продолжение суши, оказавшейся под водами моря, и занимает значительную площадь в северо-западной ее части. Здесь ширина шельфа достигает более 200 км. Глубина 0 - 100 м, местами до 160 м. В остальных частях моря глубина его менее 100 м, ширина 2,2 - 15 км. Скорость течений достигает порядка 80 см/с. У Кавказского и Анатолийского берегов шельф представлен узкой прерывистой полоской. Северо-западная шельфовая зона охватывает южный край Восточно-Европейской палеозойской и эпипалеозойской Скифской платформ, имеет слабый наклон и плоскоравнинный абразионно-аккумулятивный рельеф. Шельф у Крымского, Кавказского и Анатолийского побережий представлен главным образом абразионным типом рельефа на участках мезо-кайнозойских складчатых сооружений, местами сильно разрушенных.
Значительно осложняют плавный, сглаженный рельеф шельфа подводные долины и каньоны. В большинстве случаев они извилисты, с хорошо выраженными склонами, особенно на периферии шельфа, чаще в местах перехода к материковому склону. В основном это подводное продолжение речных долин прилегающей суши. В различных частях шельфовой зоны Черного моря существует система морских террас и разнонаправленных подводных валов и межваловых понижений - это обусловлено изменением уровня моря в геологическое время в результате тектонических реконструкций земной коры. Шельф переходит в материковый склон довольно значительной крутизны. Средние его уклоны 5° - 8°, в северо-западной части и у Керченского пролива - 1 - 3. Крутизна отдельных участков достигает 20° - 30°. Между Синопом и Самсуном, почти параллельно берегу, протягивается система подводных хребтов длиной более 150 км. Самый большой подводный хребет удален от берега на 60 - 75 км и отделен от него подводными впадинами. Материковый склон также сильно расчленен подводными долинами и каньонами. Для некоторых участков материкового склона характерны оползни, обусловленные положением преимущественно на материковом склоне эпицентров землетрясений.
Центральную часть Черноморской впадины занимает глубоководная котловина, имеющая глубины 2000 - 2200 м. Наибольшая глубина 2258 м. Дно котловины - плоская аккумулятивная равнина на разнородных и разновозрастных в геологическом отношении структурах. Большая часть впадин Черного моря расположена в пределах Альпийской геосинклинальной области. Земная кора под котловиной состоит из двух слоев: нижнего - базальтового, мощностью 10 - 14 км, и верхнего - осадочного, мощностью 10 - 16 км, причем верхняя его часть (3 - 4 км) залегает практически горизонтально.
В составе горных пород, складывающих дно моря, в прибрежной зоне преобладают грубообломочные отложения: галька, гравий, песок. С удалением от берега их сменяют мелкозернистые пески и алевриты. В северо-западной части Черного моря широко распространены ракушечники; для склона и ложа морской впадины обычны пелитовые илы.
Площади, объемы и средние глубины Черного моря (по квадратам) со схемой условных "квадратов" Черного моря представлены на рисунке В.5.

Номер квадрата | Площадь, км2 | Объем, км3 | Глубина (средняя), м | Номер квадрата | Площадь, км2 | Объем, м3 | Глубина (средняя), м |
1 | 4540,6 | 81,8 | 18 | 50 | 6038,9 | 13 050,9 | 2161 |
2 | 2535,4 | 25,3 | 10 | 51 | 6038,9 | 13 003,4 | 2153 |
3 | 956,2 | 5,5 | 6 | 52 | 6038,9 | 12 977,7 | 2149 |
4 | 3514,7 | 63,0 | 18 | 53 | 6038,9 | 12 817,8 | 2122 |
5 | 5791,3 | 192,6 | 33 | 54 | 6038,9 | 12 189,4 | 2018 |
6 | 5791,3 | 203,5 | 35 | 55 | 5713,0 | 7 268,1 | 1272 |
7 | 3097,0 | 48,7 | 16 | 56 | 2544,7 | 1 232,5 | 484 |
8 | 328,7 | 5,3 | 17 | 57 | 4684,0 | 446,5 | 95 |
9 | 490,2 | 7,0 | 14 | 58 | 6087,3 | 8 117,8 | 1333 |
10 | 5185,6 | 187,8 | 36 | 59 | 6087,3 | 12 850,5 | 2111 |
11 | 5841,7 | 335,8 | 57 | 60 | 6087,3 | 12 742,3 | 2093 |
12 | 5841,7 | 686,7 | 118 | 61 | 6087,3 | 13 108,9 | 2153 |
13 | 5386,2 | 489,5 | 91 | 62 | 6087,3 | 11 792,2 | 1937 |
14 | 33,1 | 1,3 | 39 | 63 | 6087,3 | 7 766,3 | 1276 |
15 | 1807,9 | 841,7 | 465 | 64 | 6054,8 | 8 630,0 | 1425 |
16 | 3546,0 | 411,1 | 116 | 65 | 6087,3 | 10 553,5 | 1734 |
17 | 3077,7 | 350,1 | 113 | 66 | 6087,3 | 11 480,3 | 1886 |
18 | 32,4 | 0,4 | 12 | 67 | 6087,3 | 12 649,1 | 2078 |
19 | 4547,0 | 160,3 | 35 | 68 | 6087,3 | 12 398,2 | 2036 |
20 | 5892,0 | 421,1 | 71 | 69 | 6087,3 | 11 061,8 | 1817 |
21 | 5892,0 | 2 367,0 | 402 | 70 | 6087,3 | 7 167,9 | 1177 |
22 | 5892,0 | 7 347,0 | 1247 | 71 | 771,8 | 153,0 | 198 |
23 | 5870,8 | 6 969,1 | 1187 | 72 | 2092,9 | 124,9 | 60 |
24 | 4286,8 | 3 543,2 | 827 | 73 | 6149,8 | 4 189,5 | 681 |
25 | 5892,0 | 10 458,8 | 1775 | 74 | 6182,6 | 8 997,6 | 1455 |
26 | 5892,0 | 8 129,5 | 1379 | 75 | 6182,6 | 9 344,3 | 1511 |
27 | 5892,0 | 9 125,5 | 1549 | 76 | 4098,0 | 5 304,4 | 1294 |
28 | 4878,6 | 6 638,8 | 1361 | 77 | 827,8 | 432,6 | 522 |
29 | 1361,9 | 498,2 | 365 | 78 | 273,3 | 6,9 | 25 |
30 | 265,5 | 2,9 | 11 | 79 | 1159,4 | 77,8 | 67 |
31 | 5856,4 | 735,5 | 125 | 80 | 4185,8 | 1 731,7 | 414 |
32 | 5990,6 | 3 516,1 | 587 | 81 | 6127,5 | 5 158,9 | 842 |
33 | 5990,6 | 7 677,2 | 1281 | 82 | 6182,6 | 11 446,9 | 1851 |
34 | 5990,6 | 10 826,0 | 1807 | 83 | 6182,6 | 12 053,7 | 1949 |
35 | 5990,6 | 12 055,2 | 2012 | 84 | 6182,6 | 11 418,2 | 1847 |
36 | 5090,6 | 12 665,9 | 2114 | 85 | 6108,3 | 7 855,6 | 1286 |
37 | 5990,6 | 12 944,7 | 2161 | 86 | 914,2 | 264,1 | 288 |
38 | 5990,6 | 12 656,5 | 2113 | 87 | 637,8 | 35,6 | 55 |
39 | 5990,6 | 12 758,4 | 2129 | 88 | 1776,7 | 102,6 | 57 |
40 | 5990,6 | 12 552,6 | 2095 | 89 | 1970,3 | 568,5 | 288 |
41 | 5733,2 | 8 038,0 | 1449 | 90 | 133,0 | 4,2 | 31 |
42 | 1135,7 | 541,1 | 476 | 91 | 1047,9 | 310,1 | 296 |
43 | 3568,7 | 222,8 | 62 | 92 | 3272,9 | 2 213,4 | 676 |
44 | 6038,9 | 7 148,6 | 1184 | 93 | 2935,5 | 2 891,6 | 985 |
45 | 6038,9 | 10 894,5 | 1804 | 94 | 3319,8 | 3 578,8 | 1078 |
46 | 6038,9 | 11 675,6 | 1933 | 95 | 1221,5 | 1 171,1 | 959 |
47 | 6038,9 | 12 363,6 | 2047 | | | | |
48 | 6038,9 | 13 059,8 | 2162 | Сумма | 423 000,0 | 538 124,0 | 1272 |
49 | 6038,9 | 13 181,6 | 2183 | | | | |
Рисунок В.5 - Площади, объемы и средние глубины
Черного моря (по квадратам) со схемой условных
"квадратов" Черного моря
Типы берегов:
I. Берега, сформированные субаэральными и тектоническими процессами и мало измененные морем. А. Первично расчлененные берега: 1 - бухтовые, 2 - берега эрозионного расчленения (эстуариевые), 3 - риасовые, 4 - фиордовые, 5 - шхерные. Б. Первично ровные берега: 6 - складчатые ровные, 7 - сбросовые ровные. II. Берега, формирующиеся преимущественно под действием неволновых факторов. А. Потамогенные берега: 8 - дельтовые, 9 - берега аллювиальных равнин. Б. Берега с приливными осушками: 10 - илистые (типа ваттовых) и песчаные. В. Термоабразионные берега: 11 - термоабразионные в рыхлых четвертичных толщах, 12 - ледяные. Г. Выветривающиеся берега: 13 - денудационные. III. Берега, формирующиеся преимущественно волновыми процессами. А. Выравнивающиеся берега: 14 - абразионно-бухтовые, 15 - абразионно-аккумулятивные бухтовые. Б. Выровненные берега: 16 - выровненные абразионные, 17 - выровненные абразионно-аккумулятивные, 18 - выровненные аккумулятивные, 19 - выровненные аккумулятивные с современной морской террасой. В. Вторично расчлененные берега: 20 - абразионно-бухтовые, 21 - абразионно-аккумулятивные бухтовые, 22 - границы морей, 23 - изобаты, 24 - наибольшая глубина, м; 25 - подводные долины
Рисунок В.6 - Типы берегов и рельеф дна Черного моря
Средние и экстремальные уровни моря представлены в таблице В.5.
Таблица В.5
Средние и экстремальные уровни моря, см
[станция 98062 Анапа. Отметка нуля поста -5 м (абс.)]
Год, период | Средний годовой | Максимальный за год | Минимальный за год |
Уровень | Даты | Уровень | Даты |
2013 | 492 | 519 | 23.03.2013 | 468 | 07.10.2013, 25.12.2013 |
1977 - 2013 | 482 | 521 | 11.08.1997, 09.02.2010 | 439 | 18.10.1986 |
В.3.3.2 Волновой режим
Преобладающие направления волнения в северной части моря такие же, как и ветра, - восточное и юго-восточное. Высота волн уменьшается в направлении с юга на север по мере уменьшения глубины моря. Предельные высоты 6 м возможны только на свале глубин между северной и средней частями моря. Далее к северу и востоку на глубинах порядка 6 - 7 м наибольшая высота не превышает 3 м. В средней части моря сильное волнение развивается при господствующих северо-западных и юго-восточных ветрах. В летние месяцы по всему морю преобладает волнение северо-западного и северного направлений. В зимний сезон в районе Дербентской впадины и вблизи Махачкалы повторяемость северо-западного и юго-восточного волнения почти одинакова. Наибольшие для моря высоты волн наблюдаются на акватории, примыкающей к Апшеронскому полуострову. По расчетам очень редко здесь можно ожидать волны высотой, превышающей 10 м. В юго-западном районе моря преобладает северо-восточное волнение.
Повторяемость высот волн по направлениям и градациям за год представлена в таблице В.6.
Таблица В.6
Повторяемость высот волн по направлениям и градациям
за год (станция 98062 Анапа)
Направление | С | СВ | В | ЮВ | Ю | ЮЗ | З | СЗ | Сумма |
Градации, м | ч.с. | % | ч.с. | % | ч.с. | % | ч.с. | % | ч.с. | % | ч.с. | % | ч.с. | % | ч.с. | % | ч.с. | % |
Значения за многолетний период (01.01.77 - 31.12.91) |
Отсут. волн. | | | | | | | | | | | | | | | | | 1 | 0 |
Неопр. напр. | | | | | | | | | | | | | | | | | 979 | 2,8 |
Менее 0,25 | 866 | 2,5 | 4481 | 12,8 | 2834 | 8,1 | 561 | 1,6 | 1225 | 3,5 | 1252 | 3,6 | 837 | 2,4 | 217 | 0,6 | 12273 | 35,2 |
0,3 - 0,5 | 119 | 0,3 | 1130 | 3,2 | 815 | 2,3 | 95 | 0,3 | 719 | 2,1 | 4251 | 12,2 | 2552 | 7,3 | 339 | 1 | 10020 | 28,7 |
0,6 - 1,0 | 98 | 0,3 | 390 | 1,1 | 424 | 1,2 | 81 | 0,2 | 891 | 2,6 | 2676 | 7,7 | 1545 | 4,4 | 174 | 0,5 | 6279 | 18 |
1,1 - 1,5 | 4 | 0 | 10 | 0 | 19 | 0,1 | 30 | 0,1 | 1002 | 2,9 | 2252 | 6,5 | 1071 | 3,1 | 128 | 0,4 | 4516 | 12,9 |
1,6 - 2,0 | 0 | 0 | 3 | 0 | 0 | 0 | 0 | 0 | 31 | 0,1 | 421 | 1,2 | 169 | 0,5 | 11 | 0 | 635 | 1,8 |
2,1 - 2,5 | 0 | 0 | 0 | 0 | 0 | 0 | 0 | 0 | 3 | 0 | 94 | 0,3 | 45 | 0,1 | 0 | 0 | 142 | 0,4 |
2,6 - 3,0 | 0 | 0 | 0 | 0 | 0 | 0 | 0 | 0 | 0 | 0 | 29 | 0,1 | 19 | 0,1 | 0 | 0 | 48 | 0,1 |
3,1 - 3,5 | 0 | 0 | 0 | 0 | 0 | 0 | 0 | 0 | 0 | 0 | 3 | 0 | 0 | 0 | 0 | 0 | 3 | 0 |
Сумма | 1087 | 3,1 | 6014 | 17,1 | 4092 | 11,7 | 767 | 2,2 | 3871 | 11,2 | 10978 | 31,6 | 6238 | 17,9 | 869 | 2,5 | 34896 | 99,9 |
Ср. высота | 0,3 | | 0,3 | | 0,3 | | 0,3 | | 0,7 | | 0,7 | | 0,7 | | 0,6 | | | |
Макс. высота | 1,3 | | 2 | | 1,3 | | 1,5 | | 2,5 | | 3,5 | | 3 | | 2 | | | |
В.3.3.3 Ледовый режим
Черное море расположено в сравнительно низких широтах. Поэтому льдом покрывается лишь незначительная часть акватории моря и ледовый режим отличается большой изменчивостью условий и в течение зимы, и от года к году. Лед наблюдается в основном в северо-западной части и только в умеренные и суровые зимы небольшое его количество появляется в северо-восточном районе моря.
Первое появление льда в северо-западной части моря в основном происходит в декабре - начале января. Вначале лед образуется в бухтах, заливах и лиманах. В открытых районах моря первый лед может быть как местным, так и приносным, что особенно характерно для районов Одессы и Тендры, куда ветер северного и северо-восточного направлений приносит лед из восточных районов. В Феодосии первый лед может быть приносным из Керченского пролива; у Стерегущего - из Джарылгачского залива; в Вилково первый лед чаще всего связан с ледоходом на реке Дунай.
Иногда первый лед на некоторых станциях может появляться в феврале и даже в марте. Например, в Одессе 9 марта 1952 г. наблюдалось первое ледообразование. Дата первого появления припая, так же как и дата первого ледообразования, отличается большой неустойчивостью. Первое появление припая в разные годы на различных станциях отмечается в течение всего зимнего сезона.
Для Черного моря характерно неоднократное появление и исчезновение льда в течение зимы. Также может исчезать и вновь появляться припай. Ежегодное образование припая наблюдается лишь в лиманах и заливах. В открытом море в мягкие, а нередко и в суровые зимы припай не появляется.
Полное замерзание открытых районов северо-западной части моря (у Одессы, к. Тендра, в Каркинитском заливе) происходит лишь в очень суровые зимы. Полное замерзание в большинстве пунктов наблюдается не каждый год и только в некоторых закрытых районах оно происходит ежегодно.
Начало взлома или первой подвижки припая наблюдается обычно в феврале - начале марта. Раньше всего весеннее вскрытие происходит у входа в Днепровский лиман и в районе Одессы, чему способствует подток теплых вод, действие южных ветров и относительно малая толщина припая. Затем вскрывается лед в остальных пунктах Днепровского лимана и Джарылгачской бухты. Позже всех происходит вскрытие в закрытых бухтах и лиманах.
Разрушение припая в северо-западной части моря обычно происходит быстро (в течение нескольких дней) и даты окончательного разрушения припая приходятся на конец февраля - начало марта.
Чаще всего окончательное очищение моря наблюдается в марте. Открытые районы моря очищаются в конце февраля, затем лиманы. Позже всех очищается Днепровский лиман, так как здесь все время выносится лед из Южного Буга. К концу марта северо-западная часть моря обычно полностью очищается от льда. Наиболее позднее окончательное очищение отмечалось на постах Очаков и Святотроицкий маяк (19 апреля 1929 г.).
Лед в различных районах северо-западной части моря может в течение зимы несколько раз исчезнуть и вновь появиться. Количество очищений за зиму по всем станциям в среднем составляет 2 - 4 раза, но иногда достигает 10 раз и более.
Результатом неустойчивого ледяного покрова в северо-западной части моря являются большие расхождения между продолжительностью ледового сезона и количеством дней в ледовый сезон со льдом. Поэтому чаще всего дней со льдом в ледовый период на 10 - 20 меньше, чем продолжительность ледового периода.
Таблица В.7
Основные элементы ледового режима Черного моря
[Станция - Приморское (1945 - 1948, 1960 - 1978,
1979 - 1981, 1983 - 1985)]
Характеристика | Первое ледообразование | Первое образование заберега или припая | Начало устойчивого ледообразования | Начало образования устойчивого припая | Первое полное замерзание | Окончательное замерзание | Начало взлома или первой подвижки припая | Окончательное разрушение припая | Первое полное очищение ото льда | Полное окончательное очищение ото льда | Число очищений за зиму | Продолжительность ледового сезона | Число дней со льдом |
Средняя | 9 I | 20 I | 15 I | 24 I | 22 I | 19 I | 27 II | 20 II | 26 I | 20 II | 3 | 40 | 26 |
Ранняя | 12 XII | 12 XII | 12 XII | 12 XII | 13 XII | 13 XII | 30 I | 19 I | 13 XII | 3 I | 1 | 1 | 1 |
Год | 1946, 1959 | 1946 | 1946 | 1946 | 1946 | 1946 | 1946 | 1974 | 1959 | 1970 | 1946, 1947, 1955, 1966, 1973, 1978, 1985 | 1966 | 1966 |
Поздняя | 4 III | 8 II | 6 II | 21 II | 13 II | 17 II | 29 III | 30 III | 30 III | 30 III | 8 | 100 | 88 |
Год | 1955 | 1956 | 1985 | 1956 | 1985 | 1985 | 1985 | 1985 | 1985 | 1956, 1985 | 1964 | 1954 | 1954 |
Количество ледовых сезонов | 35 | 27 | 28 | 26 | 29 | 28 | - | - | - | - | - | - | - |
Вероятность явления, % | 83 | 41 | 29 | 19 | 38 | 11 | - | - | - | - | - | - | - |
В.4 Азовское море
В.4.1 Источники данных
Результаты измерений доступны благодаря многочисленным метеорологическим станциям, расположенным по всему региону. Дополнительную информацию о специалистах и организациях соответствующей страны можно получить в национальных центрах обработки океанографических данных. Данные могут также предоставляться коммерческими организациями. В дополнение к результатам измерений выполнен целый ряд отраслевых исследований, связанных с измерением и обработкой информации, а также прогнозированием ("ВНИИГМИ-МЦД"
[12], "Росгидромет"
[13] и "ЕСИМО"
[14], Справочные данные по режиму ветра и волнения (по морям), изданные РМРС
[15] -
[18], Справочники "Гидрометеорология и гидрохимия морей"
[19] -
[34]. Благодаря этим исследованиям получены обширные наборы данных для заинтересованных компаний.
Информацию по отсутствующим параметрам, таким как ветровые параметры, параметры течения, температуры и др. можно найти в следующих источниках:
- ФГБУ "ВНИИГМИ-МЦД" Федеральное государственное бюджетное учреждение "Всероссийский научно-исследовательский институт гидрометеорологической информации - Мировой центр данных"
[12];
- Справочные данные по режиму ветра и волнения "Российский морской регистр судоходства"
[15] -
[18];
- Справочник "Гидрометеорология и гидрохимия морей"
[19] -
[34].
В.4.2 Описание региона
Азовское море - полузамкнутое море Атлантического океана на востоке Европы. Самое мелкое море в мире: глубина не превышает 13,5 метров, средняя глубина от 6,8 до 8 м. Азовское море соединяется с Атлантическим океаном длинной цепочкой проливов и морей (Керченский пролив - Черное море - Пролив Босфор - Мраморное море - Пролив Дарданеллы - Эгейское море - Средиземное море - Гибралтарский пролив - Атлантический океан).
Крайние точки Азовского моря лежат между 45°12'30" и 47°17'30" сев. широты и между 33°38' (оз. Сиваш) и 39°18' вост. долготы. Самая большая его длина 380 км, самая большая ширина 200 км; длина береговой линии 1472 км; площадь поверхности - 37 800 км2 (в эту площадь не входят острова и косы, занимающие 107,9 км2).
По морфологическим признакам оно относится к плоским морям и представляет собой мелководный водоем с невысокими береговыми склонами. По отдаленности от океана Азовское море является самым континентальным морем планеты.
Азовское море представляет собой зону смешения речных и черноморских вод. Для него характерна большая пространственная изменчивость солености, солевого состава, концентрации биогенных веществ. Мелководность и внутриконтинентальное расположение моря обусловливают также большую временную изменчивость гидрологических и гидрохимических характеристик. Так, например, суточная амплитуда температуры воды в прибрежных районах может достигать нескольких градусов Цельсия, а ее многолетние изменения даже в открытых районах моря превышают 10 °C. По данным наблюдений, многолетний размах колебаний уровня составляет округленно от 2,0 (Бердянск) до 6,1 м (Таганрог). Характерной особенностью Азовского моря является "противоестественный" квазистационарный наклон уровня от района Керченского пролива в сторону вершины Таганрогского залива, вызываемый воздействиями преобладающих северных, северо-восточных и восточных ветров, которые подавляют влияние стока Дона на уровень Таганрогского залива и прилегающих районов моря.
Схемы расположения морских гидрометстанций и постов Азовского моря представлено на рисунке (см. рисунок В.7).
Рисунок В.7 - Схемы расположения морских
гидрометстанций и постов Азовского моря
В.4.3 Гидрометеорологические параметры региона
В.4.3.1 Общие данные
Подводный рельеф моря сравнительно прост. По мере удаления от берега глубины медленно и плавно нарастают, достигая в центральной части моря 13 м. Основная площадь дна характеризуется глубинами 5 - 13 м. Область наибольших глубин находится в центре моря. Расположение изобат, близкое к симметричному, нарушается небольшой вытянутостью их на северо-востоке в сторону Таганрогского залива. Изобата 5 м располагается примерно в 2 км от берега, удаляясь от него около Таганрогского залива и в самом заливе около устья Дона. В Таганрогском заливе глубины увеличиваются от устья Дона (2 - 3 м) по направлению к открытой части моря, достигая на границе залива с морем 8 - 9 м. В рельефе дна Азовского моря отмечаются системы подводных возвышенностей, вытянутые вдоль восточного (банка Железинская) и западного (банки Морская и Арабатская) побережий, глубины над которыми уменьшаются от 8 - 9 до 3 - 5 м. Для подводного берегового склона северного побережья характерно широкое мелководье (20 - 30 км) с глубинами 6 - 7 м, для южного побережья - крутой подводный склон до глубин 11 - 13 м.
Площадь водосбора бассейна Азовского моря составляет 586000 км2.
Морские берега в большинстве представляют собой плоские пляжи преимущественно из мелкого ракушечника, только на южном берегу встречаются холмы вулканического происхождения, которые местами переходят в крутые передовые горы.
Морские течения находятся в зависимости от дующих здесь очень сильных северо-восточных и юго-западных ветров и поэтому весьма часто меняют направление. Основным течением является круговое течение вдоль берегов Азовского моря против часовой стрелки. Скорость течений достигает порядка 70 см/с.
Средние и экстремальные уровни моря представлены в таблице В.8.
Таблица В.8
Средние и экстремальные уровни моря, см
[станция 99040 Тамань. Отметка нуля поста -5 м (абс.)]
Год, период | Средний годовой | Максимальный за год | Минимальный за год |
Уровень | Даты | Уровень | Даты |
2013 | 503 | 522 | 23.04.2013, 03.08.2013 | 472 | 15.11.2013 |
1977 - 2013 | 487 | 874 | 10.09.1978, 30.09.1978 | 440 | 22.10.1994 |
Типы берегов:
I. Берега, сформированные субаэральными и тектоническими процессами и мало измененные морем. А. Первично расчлененные берега: 1 - бухтовые, 2 - берега эрозионного расчленения (эстуариевые), 3 - риасовые, 4 - фиордовые, 5 - шхерные. Б. Первично ровные берега: 6 - складчатые ровные, 7 - сбросовые ровные. II. Берега, формирующиеся преимущественно под действием неволновых факторов. А. Потамогенные берега: 8 - дельтовые, 9 - берега аллювиальных равнин. Б. Берега с приливными осушками: 10 - илистые (типа ваттовых) и песчаные. В. Термоабразионные берега: 11 - термоабразионные в рыхлых четвертичных толщах, 12 - ледяные. Г. Выветривающиеся берега: 13 - денудационные. III. Берега, формирующиеся преимущественно волновыми процессами. А. Выравнивающиеся берега: 14 - абразионно-бухтовые, 15 - абразионно-аккумулятивные бухтовые. Б. Выровненные берега: 16 - выровненные абразионные, 17 - выровненные абразионно-аккумулятивные, 18 - выровненные аккумулятивные, 19 - выровненные аккумулятивные с современной морской террасой. В. Вторично расчлененные берега: 20 - абразионно-бухтовые, 21 - абразионно-аккумулятивные бухтовые, 22 - границы морей, 23 - изобаты, 24 - наибольшая глубина, м; 25 - подводные долины
Рисунок В.8 - Типы берегов и рельеф дна Азовского моря
В.4.3.2 Волновой режим
Повторяемость высот волн по направлениям и градациям за год представлена в таблице В.9.
Таблица В.9
Повторяемость высот волн по направлениям и градациям
за год (станция Керчь, глубина 20 м)
Направление | С | СВ | В | ЮВ | Ю | ЮЗ | З | СЗ | Сумма |
Градации, м | ч.с. | % | ч.с. | % | ч.с. | % | ч.с. | % | ч.с. | % | ч.с. | % | ч.с. | % | ч.с. | % | ч.с. | % |
Значения за многолетний период (01.01.77 - 31.12.95) |
Отсут. волн. | | | | | | | | | | | | | | | | | 894 | 10,6 |
Неопр. напр. | | | | | | | | | | | | | | | | | 489 | 5,8 |
Менее 0,25 | 880 | 10,4 | 820 | 9,7 | 421 | 5 | 464 | 5,5 | 722 | 8,5 | 664 | 7,8 | 519 | 6,1 | 1042 | 12,3 | 5532 | 65,3 |
0,3 - 0,5 | 28 | 0,3 | 433 | 5,1 | 407 | 4,8 | 67 | 0,8 | 371 | 4,4 | 117 | 1,4 | 1 | 0 | 3 | 0 | 1427 | 16,8 |
0,6 - 1,0 | 0 | 0 | 18 | 0,2 | 55 | 0,6 | 3 | 0 | 42 | 0,5 | 10 | 0,1 | 0 | 0 | 0 | 0 | 128 | 1,5 |
Сумма | 908 | 10,7 | 1271 | 15 | 883 | 10,4 | 534 | 6,3 | 1135 | 13,4 | 791 | 9,3 | 520 | 6,1 | 1045 | 12,3 | 8470 | 100 |
Ср. высота | 0,2 | | 0,3 | | 0,3 | | 0,2 | | 0,3 | | 0,2 | | 0,2 | | 0,2 | | | |
Макс. высота | 0,5 | | 1 | | 1 | | 0,8 | | 1 | | 1 | | 0,3 | | 0,3 | | | |
В.4.3.3 Ледовый режим
На Азовском море ежегодно образуются льды. Однако быстрая и частая смена зимней погоды влечет за собой крайнюю неустойчивость ледовых условий. В течение зимы лед может появляться и исчезать, превращаться из неподвижного в дрейфующий и обратно.
Замерзание моря обычно начинается с Таганрогского залива, где лед в средние по суровости зимы появляется в конце ноября. В первой декаде декабря лед образуется в северо-восточной и северо-западной частях моря, а в середине января - в его юго-западном и южном районах. В отдельные годы сроки льдообразования значительно смещаются во времени. В ледовый сезон в море распространены преимущественно дрейфующие льды. Припай образует полосу шириной от 1,0 мили на юго-востоке моря до 3 - 4 миль на севере и востоке, а в Таганрогском заливе и некоторых лиманах он более широкий. Максимального развития и наибольшей толщины (в средние зимы 20 - 60 см, а в суровые 80 - 90 см) лед достигает в феврале. По среднемноголетним данным льды занимают 29% общей площади моря. Движение дрейфующих льдов часто сопровождается сжатием и торошением, поэтому льды Азовского моря отличаются большой торосистостью. В середине февраля лед начинает ослабевать, и в среднем во второй половине этого месяца припай вскрывается в южной части моря, в северной - в первой декаде марта и в Таганрогском заливе - в середине марта. Окончательное очищение моря от льда происходит в марте - апреле.
Сведения об основных элементах ледового режима приведены в таблицах В.10 -
В.11.
Таблица В.10
Сведения об основных элементах ледового режима
(для многолетних данных указан день и месяц) -
станция Керчь (осенне-зимний период)
Осенне-зимний период |
Ледообразование | Полное замерзание |
Год, период | Дата устойчивого перехода температуры воздуха через 0 осенью | Дата устойчивого перехода температуры воды через 0 осенью | Дата первого ледообразования | Дата устойчивого ледообразования | Количество старого льда при ледообразовании (первом/устойчивом), баллы | Дата первого образования заберега или припая | Дата начала образования устойчивого припая | Дата первого появления приносного льда | Величина устойчивой ширины припая, км | Наибольшая ширина припая, км | Дата первого полного замерзания | Дата окончательного замерзания | Наибольшая измеренная толщина льда, см | Дата наблюдения наибольшей толщины льда |
1 | 2 | 3 | 4 | 5 | 6 | 7 | 8 | 9 | 10 | 11 | 12 | 13 | 14 | 15 |
Гидрометеорологическая станция 99005 Керчь. Период наблюдений 01.07.1977 - 31.12.1995 |
2012 - 2013 | | | | | | | | | | | | | | |
1977 - 1995 | 24.11 | 27.11 | 28.11 | 01.12 | 0/0 | 28.11 | 01.12 | 28.11 | 0 | 12,2 | 25.11 | 25.11 | 23 | 07.12 |
Таблица В.11
Сведения об основных элементах ледового режима
(для многолетних данных указан день и месяц) -
станция Керчь (весенне-летний период)
Весенне-летний период |
Таяние и разрушение | Очищение |
Год, период | Дата устойчивого перехода температуры воздуха через 0 весной | Дата устойчивого перехода температуры воды через 0 весной | Дата появления снежниц | Дата появления проталин | Дата появления водяного заберега | Дата начала весеннего взлома или первой подвижки припая | Дата окончательного разрушения припая | Дата первого полного очищения ото льда | Дата полного окончательного очищения ото льда | Число дней со льдом | Число дней без льда | Примечание |
1 | 2 | 3 | 4 | 5 | 6 | 7 | 8 | 9 | 10 | 11 | 12 | 13 |
Гидрометеорологическая станция 99005 Керчь. Период наблюдений 01.07.1977 - 31.12.1995 |
2012 - 2013 | | | | | | | | | | | | |
1977 - 1995 | 03.01 | 01.01 | 03.02 | 03.02 | 03.02 | 03.02 | | 16.01 | 16.01 | | | |
МОРЯ СЕВЕРО-ЗАПАДА
В.5 Балтийское море
В.5.1 Источники данных
Результаты измерений доступны благодаря многочисленным метеорологическим станциям, расположенным по всему региону. Дополнительную информацию о специалистах и организациях соответствующей страны можно получить в национальных центрах обработки океанографических данных. Данные могут также предоставляться коммерческими организациями. В дополнение к результатам измерений выполнен целый ряд отраслевых исследований, связанных с измерением и обработкой информации, а также прогнозированием ("ВНИИГМИ-МЦД"
[12], "Росгидромет"
[13] и "ЕСИМО"
[14], Справочные данные по режиму ветра и волнения (по морям), изданные РМРС
[15] -
[18], Справочники "Гидрометеорология и гидрохимия морей"
[19] -
[34]. Благодаря этим исследованиям получены обширные наборы данных для заинтересованных компаний.
Информацию по отсутствующим параметрам, таким как ветровые параметры, параметры течения, температуры и др. можно найти в следующих источниках:
- ФГБУ "ВНИИГМИ-МЦД" Федеральное государственное бюджетное учреждение "Всероссийский научно-исследовательский институт гидрометеорологической информации - Мировой центр данных"
[12];
- Справочные данные по режиму ветра и волнения "Российский морской регистр судоходства"
[15] -
[18];
- Справочник "Гидрометеорология и гидрохимия морей"
[19] -
[34].
В.5.2 Описание региона
Балтийское море - внутриматериковое окраинное море Евразии, глубоко вдающееся в материк. Балтийское море расположено в северной Европе, принадлежит бассейну Атлантического океана.
Балтийское море глубоко вдается в сушу Европы, омывает берега России, Эстонии, Латвии, Литвы, Польши, Германии, Дании, Швеции и Финляндии.
Крупные заливы Балтийского моря: Финский, Ботнический, Рижский, Куршский (пресноводный залив, отделенный от моря песчаной Куршской косой).
Крупные острова: Готланд, Эланд, Борнхольм, Волин, Рюген, Аландия и Сааремаа (смотрите основную статью - список островов Балтийского моря).
Крупные реки, впадающие в Балтийское море, - Нева, Нарва, Западная Двина (Даугава), Неман, Преголя, Висла, Одер и Вента.
Крайняя северная точка Балтийского моря расположена вблизи полярного круга (65°40' с.ш.), крайняя южная - около Висмара (53°45' с.ш.).
Крайняя западная точка расположена в районе Фленсбурга (9°10' в.д.), крайняя восточная - в районе Санкт-Петербурга (30°15' в.д.).
Площадь поверхности (без островов) - 415 тыс. км2. Объем воды - 21,5 тыс. км3.
Из-за большой вытянутости вдоль меридиана и параллели отдельные районы Балтийского моря размещаются в различных физико-географических и климатических зонах. Это в свою очередь оказывает влияние на океанологические процессы, происходящие в море и отдельных его районах.
Собственно Балтийское море (без заливов, проливов и бухт) подразделяется на северную часть (от широты Ирбеиского пролива на север), центральную часть (от широты Ирбеиского пролива до Клайпеды) и южную часть Балтики (от широты Клайпеды до Датских проливов). Меридиан, пересекающий острова Форе и Готланд, условно делит Балтику на восточный и западный секторы.
Море расположено в полосе умеренного гумидного климата. Южная и центральная части моря не замерзают. Сплошные морские льды сковывают лишь Ботнический, Финский и Рижский заливы.
Схемы расположения морских гидрометстанций и постов Балтийского моря представлено на рисунке (см. рисунок В.9).
Рисунок В.9 - Схемы расположения морских
гидрометстанций и постов Балтийского моря
В.5.3 Гидрометеорологические параметры региона
В.5.3.1 Общие данные
Средняя глубина моря 48 м. Преобладают глубины до 50 м, на долю которых приходится 60% площади моря, на долю глубин более 200 м - около 0,3% площади моря.
В районах отмелей, банок, около островов наблюдаются небольшие глубины (до 12 метров). Имеется несколько котловин, в которых глубины достигают 200 метров. Самая глубокая котловина - Ландсортская (58°38' с.ш., 18°04' в.д.) с максимальной глубиной моря - 470 метров. В Ботническом заливе максимальная глубина - 293 метра, в Готландской котловине - 249 метров.
Дно в южной части моря равнинное, на севере - неровное, скалистое. В прибрежных районах среди донных осадков распространены пески, но большая часть дна моря покрыта отложениями из глинистого ила зеленого, черного или коричневого цвета ледникового происхождения.
Особенностью гидрологического режима Балтийского моря является большой избыток пресной воды, образовавшийся за счет осадков и речного стока. Солоноватые поверхностные воды Балтийского моря через Датские проливы уходят в Северное море, а в Балтийское море поступают с глубинным течением соленые воды Северного моря. Во время штормов, когда вода в проливах перемешивается до самого дна, водообмен между морями меняется - по всему сечению проливов вода может идти как в Северное, так и в Балтийское море.
Циркуляция поверхностных вод моря направлена против часовой стрелки, хотя сильные ветры могут нарушать характер циркуляции.
Вследствие большой степени изоляции от Мирового океана приливы в Балтийском море почти не заметны. Колебания уровня приливного характера в отдельных пунктах не превышают 10 - 20 см.
Внутригодовые изменения уровня Балтики зависят главным образом от перераспределения вод внутри самого моря между его отдельными районами, что вызывает различный наклон водной поверхности в разных пунктах.
В сезонном ходе уровня Балтийского моря отчетливо выражены два минимума и два максимума. Наинизший уровень наблюдается весной. С приходом весенних паводочных вод он постепенно повышается, достигая своего максимума в августе или сентябре. После этого уровень понижается. Наступает вторичный осенний минимум. При развитии интенсивной циклонической деятельности западные ветры нагоняют воду через проливы в море, уровень снова повышается и достигает зимой вторичного, но менее выраженного максимума. Разница высот уровня между главным летним максимумом и главным весенним минимумом равна 22 - 28 см. Она больше в заливах и меньше в открытом море.
Сгонно-нагонные колебания уровня происходят довольно быстро и достигают значительных величин. В открытых районах моря они равны примерно 0,5 м, а в вершинах бухт и заливов бывают 1,0 - 1,5 и даже 2,0 м. Совместное действие ветра и резкого изменения атмосферного давления (при прохождении циклонов) вызывает ритмические колебания уровенной поверхности - сейши - с периодом 24 - 26 ч. Изменения уровня, связанные с сейшами, не превышают 20 - 30 см в открытой части моря и достигают 1,5 м в Невской губе. Сейшеобразные колебания уровня - одна из самых характерных черт уровенного режима Балтийского моря.
С колебаниями уровня моря связаны катастрофические Ленинградские наводнения. Они бывают в тех случаях, когда причины, вызывающие подъем уровня, действуют одновременно в одну сторону. Циклоны, пересекающие Балтийское море с юго-запада на северо-восток, вызывают ветры, которые сгоняют воду из Ботнического и Финского заливов в северо-восточную часть моря. Этим объясняются подъем уровня - "припухлость" в районе Аландских шхер, и некоторый спад уровня, наблюдаемый часто в Ленинграде перед наводнением.
Кроме того, циклоны вызывают сейшеобразные колебания уровня. Масса воды, образовавшая повышение уровня в Аландском районе, распространяется во все стороны в виде свободной волны. Эта волна, подгоняемая западными ветрами, входит в Финский залив и, накладываясь на сейшевый подъем воды, вызывает значительное повышение (до 1 - 2 м и даже 3 - 4 м) уровня в вершине Финского залива, что и создает катастрофическое наводнение в Ленинграде.
Скорость течений достигает порядка 100 - 150 см/с.
Географическое распределение приливных колебаний в Балтийском море приведены на
рисунке В.12.
а) Глубины Балтийского моря
б) Профили рельефа дна Балтийского моря
Примечание - Линиями 1 - 12 показано положение профилей рельефа дна; цифры в кружке - номера профилей; / - мощность рыхлых осадков.
Типы берегов:
I. Берега, сформированные субаэральными и тектоническими процессами и мало измененные морем. А. Первично расчлененные берега: 1 - бухтовые, 2 - берега эрозионного расчленения (эстуариевые), 3 - риасовые, 4 - фиордовые, 5 - шхерные. Б. Первично ровные берега: 6 - складчатые ровные, 7 - сбросовые ровные. II. Берега, формирующиеся преимущественно под действием неволновых факторов. А. Потамогенные берега: 8 - дельтовые, 9 - берега аллювиальных равнин. Б. Берега с приливными осушками: 10 - илистые (типа ваттовых) и песчаные. В. Термоабразионные берега: 11 - термоабразионные в рыхлых четвертичных толщах, 12 - ледяные. Г. Выветривающиеся берега: 13 - денудационные. III. Берега, формирующиеся преимущественно волновыми процессами. А. Выравнивающиеся берега: 14 - абразионно-бухтовые, 15 - абразионно-аккумулятивные бухтовые. Б. Выровненные берега: 16 - выровненные абразионные, 17 - выровненные абразионно-аккумулятивные, 18 - выровненные аккумулятивные, 19 - выровненные аккумулятивные с современной морской террасой. В. Вторично расчлененные берега: 20 - абразионно-бухтовые, 21 - абразионно-аккумулятивные бухтовые, 22 - границы морей, 23 - изобаты, 24 - наибольшая глубина, м; 25 - подводные долины
Рисунок В.11 - Типы берегов и рельеф дна Балтийского моря
а - суммарные полусуточные колебания 2(M2 + S2);
б - суммарные суточные колебания 2(K1 + O1); 1) < 2 см,
2) 2 - 5 см, 3) 5 - 10 см, 4) 10 - 20 см, 5) > 20 см;
в - характер приливов: 1) < 0,5, 2) 0,5 - 2,0, 3) 2 - 4,
4) > 4; г - максимальные приливные колебания: 1) < 3 см,
2) 3 - 5 см, 3) 5 - 10 см, 4) 10 - 15 см, 5) 15 - 20 см,
6) > 20 см
Рисунок В.12 - Географическое распределение
приливных колебаний в Балтийском море
В.5.3.2 Волновой режим
Наиболее сильное ветровое волнение наблюдается осенью и зимой в открытых глубоких районах моря при продолжительных и сильных юго-западных ветрах. Они соответствуют наибольшей длине разгона, поэтому штормовые 7 - 8-балльные ветры развивают здесь волны высотой до 5 - 6 м и длиной 50 - 70 м. В более мелком Финском заливе сильные ветры этих направлений образуют волны высотой 3 - 4 м. В Ботническом заливе штормовые волны достигают высоты 4 - 5 м. В центре моря встречаются волны высотой до 3,5 м, иногда выше 4 м. В мелководных заливах высота волн не превышает 3 метров, но они круче. Самые крупные волны отмечаются в ноябре. Зимой даже при более сильных ветрах образованию высоких и длинных волн препятствуют льды. Однако нередки случаи образования больших волн, высотой более 10 метров, в условиях, когда штормовые ветра формируют волны, идущие с глубоководных районов к мелководью. Например, в районе банки Эландс-Седра-Грунт инструментально зафиксирована высота волны 11 м.
Повторяемость высот волн по направлениям и градациям за год приведена в таблицах В.12 и
В.13.
Таблица В.12
Повторяемость высот волн по направлениям и градациям
за год (станция 86035 Выборг, глубина 80 м)
Направление | С | СВ | В | ЮВ | Ю | ЮЗ | З | СЗ | Сумма |
Градации, м | ч.с. | % | ч.с. | % | ч.с. | % | ч.с. | % | ч.с. | % | ч.с. | % | ч.с. | % | ч.с. | % | ч.с. | % |
Значения за 2013-й год (30.04.13 - 31.12.13) |
Отсут. волн. | | | | | | | | | | | | | | | | | 15 | 4 |
Менее 0,25 | 43 | 11,4 | 33 | 8,8 | 56 | 14,9 | 18 | 4,8 | 44 | 11,7 | 47 | 12,5 | 44 | 11,7 | 33 | 8,8 | 318 | 84,4 |
0,3 - 0,5 | 0 | 0 | 0 | 0 | 0 | 0 | 0 | 0 | 2 | 0,5 | 26 | 6,9 | 12 | 3,2 | 2 | 0,5 | 42 | 11,1 |
0,6 - 1,0 | 0 | 0 | 0 | 0 | 0 | 0 | 0 | 0 | 0 | 0 | 2 | 0,5 | 0 | 0 | 0 | 0 | 2 | 0,5 |
Сумма | 43 | 11,4 | 33 | 8,8 | 56 | 14,9 | 18 | 4,8 | 46 | 12,2 | 75 | 19,9 | 56 | 14,9 | 35 | 9,3 | 377 | 100 |
Ср. высота | 0,2 | | 0,2 | | 0,2 | | 0,2 | | 0,2 | | 0,3 | | 0,2 | | 0,2 | | | |
Макс. высота | 0,2 | | 0,2 | | 0,2 | | 0,2 | | 0,3 | | 1 | | 0,5 | | 0,3 | | | |
Значения за многолетний период (26.04.77 - 31.12.13) |
Отсут. волн. | | | | | | | | | | | | | | | | | 1168 | 7,2 |
Неопр. напр. | | | | | | | | | | | | | | | | | 540 | 3,3 |
Менее 0,25 | 1577 | 9,7 | 1410 | 8,7 | 1795 | 11,1 | 830 | 5,1 | 1335 | 8,2 | 1694 | 10,5 | 1391 | 8,6 | 937 | 5,8 | 10969 | 67,8 |
0,3 - 0,5 | 84 | 0,5 | 66 | 0,4 | 97 | 0,6 | 175 | 1,1 | 580 | 3,6 | 1484 | 9,2 | 551 | 3,4 | 97 | 0,6 | 3134 | 19,4 |
0,6 - 1,0 | 4 | 0 | 1 | 0 | 4 | 0 | 9 | 0,1 | 43 | 0,3 | 240 | 1,5 | 59 | 0,4 | 2 | 0 | 362 | 2,2 |
1,1 - 1,5 | 0 | 0 | 0 | 0 | 0 | 0 | 0 | 0 | 1 | 0 | 12 | 0,1 | 1 | 0 | 0 | 0 | 14 | 0,1 |
Сумма | 1665 | 10,2 | 1477 | 9,1 | 1896 | 11,7 | 1014 | 6,3 | 1959 | 12,1 | 3430 | 21,3 | 2002 | 12,4 | 1036 | 6,4 | 16187 | 100 |
Ср. высота | 0,2 | | 0,2 | | 0,2 | | 0,2 | | 0,3 | | 0,3 | | 0,3 | | 0,2 | | | |
Макс. высота | 0,7 | | 0,8 | | 0,8 | | 1 | | 1,1 | | 1,5 | | 1,1 | | 0,8 | | | |
Таблица В.13
Повторяемость высот волн по направлениям и градациям
за год (станция 86191 Краснофлотское, глубина 25 м)
Направление | С | СВ | В | ЮВ | Ю | ЮЗ | З | СЗ | Сумма |
Градации, м | ч.с. | % | ч.с. | % | ч.с. | % | ч.с. | % | ч.с. | % | ч.с. | % | ч.с. | % | ч.с. | % | ч.с. | % |
Значения за текущий 2013-й год (15.04.13 - 31.12.13) |
Отсут. волн. | | | | | | | | | | | | | | | | | 28 | 6,3 |
Менее 0,25 | 22 | 5 | 7 | 1,6 | 2 | 0,5 | 42 | 9,5 | 92 | 20,8 | 55 | 12,4 | 5 | 1,1 | 21 | 4,7 | 246 | 55,5 |
0,3 - 0,5 | 35 | 7,9 | 7 | 1,6 | 0 | 0 | 0 | 0 | 1 | 0,2 | 7 | 1,6 | 34 | 7,7 | 50 | 11,3 | 134 | 30,2 |
0,6 - 1,0 | 5 | 1,1 | 0 | 0 | 0 | 0 | 0 | 0 | 0 | 0 | 0 | 0 | 6 | 1,4 | 16 | 3,6 | 27 | 6,1 |
1,1 - 1,5 | 2 | 0,5 | 0 | 0 | 0 | 0 | 0 | 0 | 0 | 0 | 1 | 0,2 | 1 | 0,2 | 4 | 0,9 | 8 | 1,8 |
Сумма | 64 | 14,5 | 14 | 3,2 | 2 | 0,5 | 42 | 9,5 | 93 | 21 | 63 | 14,2 | 46 | 10,4 | 91 | 20,5 | 443 | 99,9 |
Ср. высота | 0,4 | | 0,3 | | 0,2 | | 0,2 | | 0,2 | | 0,2 | | 0,4 | | 0,5 | | | |
Макс. высота | 1,3 | | 0,3 | | 0,2 | | 0,2 | | 0,3 | | 1,3 | | 1,3 | | 1,5 | | | |
Значения за многолетний период (14.03.77 - 31.12.13) |
Отсут. волн. | | | | | | | | | | | | | | | | | 3778 | 20,4 |
Неопр. напр. | | | | | | | | | | | | | | | | | 351 | 1,9 |
Менее 0,25 | 476 | 2,6 | 438 | 2,4 | 714 | 3,8 | 1180 | 6,4 | 2367 | 12,8 | 1479 | 8 | 722 | 3,9 | 448 | 2,4 | 7824 | 42,2 |
0,3 - 0,5 | 680 | 3,7 | 352 | 1,9 | 171 | 0,9 | 193 | 1 | 384 | 2,1 | 1137 | 6,1 | 1251 | 6,7 | 732 | 3,9 | 4900 | 26,4 |
0,6 - 1,0 | 183 | 1 | 41 | 0,2 | 0 | 0 | 6 | 0 | 8 | 0 | 177 | 1 | 574 | 3,1 | 290 | 1,6 | 1279 | 6,9 |
1,1 - 1,5 | 56 | 0,3 | 4 | 0 | 0 | 0 | 0 | 0 | 0 | 0 | 25 | 0,1 | 193 | 1 | 128 | 0,7 | 406 | 2,2 |
1,6 - 2,0 | 1 | 0 | 0 | 0 | 0 | 0 | 0 | 0 | 0 | 0 | 1 | 0 | 2 | 0 | 7 | 0 | 11 | 0,1 |
3,1 - 3,5 | 0 | 0 | 0 | 0 | 0 | 0 | 0 | 0 | 0 | 0 | 0 | 0 | 1 | 0 | 0 | 0 | 1 | 0 |
Сумма | 1396 | 7,6 | 835 | 4,5 | 885 | 4,7 | 1379 | 7,4 | 2759 | 14,9 | 2819 | 15,2 | 2743 | 14,7 | 1605 | 8,6 | 18550 | 100,1 |
Ср. высота | 0,4 | | 0,3 | | 0,2 | | 0,2 | | 0,2 | | 0,3 | | 0,5 | | 0,5 | | | |
Макс. высота | 2 | | 1,5 | | 0,5 | | 1 | | 0,8 | | 2 | | 3,2 | | 2 | | | |
В.5.3.3 Ледовый режим
Балтийское море в отдельных районах покрывается льдом. Раньше всего, примерно в начале ноября, лед образуется в северо-восточной части Ботнического залива в мелких бухточках и у берегов. Затем начинают замерзать мелководные участки Финского залива. Максимального развития ледяной покров достигает в первых числах марта. К этому времени неподвижный лед занимает северную часть Ботнического залива, район Аландских шхер и восточную часть Финского залива. В открытых районах северо-восточной части моря встречаются плавучие льды.
Распространение неподвижных и плавучих льдов в Балтийском море зависит от суровости зимы. В течение зимы лед может исчезать совсем, а затем появляться снова, что свойственно морю с неустойчивым ледяным покровом. В суровые зимы толщина неподвижного льда может достигать 1 м, а плавучих льдов - до 10 - 60 см. Таяние льда начинается в конце марта - начале апреля. Освобождение моря ото льда идет с юго-запада на северо-восток. В мае море обычно очищается ото льда. Лишь в суровые зимы на севере Ботнического залива лед можно встретить в июне.
Сведения об основных элементах ледового режима приведены в таблицах В.14 -
В.15.
Таблица В.14
Сведения об основных элементах ледового режима
(для многолетних данных указан день и месяц) -
станция Выборг (осенне-зимний период)
Осенне-зимний период |
Ледообразование | Полное замерзание |
Год, период | Дата устойчивого перехода температуры воздуха через 0 осенью | Дата устойчивого перехода температуры воды через 0 осенью | Дата первого ледообразования | Дата устойчивого ледообразования | Количество старого льда при ледообразовании (первом/устойчивом), баллы | Дата первого образования заберега или припая | Дата начала образования устойчивого припая | Дата первого появления приносного льда | Величина устойчивой ширины припая, км | Наибольшая ширина припая, км | Дата первого полного замерзания | Дата окончательного замерзания | Наибольшая измеренная толщина льда, см | Дата наблюдения наибольшей толщины льда |
1 | 2 | 3 | 4 | 5 | 6 | 7 | 8 | 9 | 10 | 11 | 12 | 13 | 14 | 15 |
4. Гидрометеорологическая станция 86035 Выборг. Период наблюдений 01.07.1977 - 31.12.2012 |
2012 - 2013 | 25.10.2012 | | 11.12.2012 | 11.12.2012 | 0/0 | 11.12.2012 | 11.12.2012 | 11.12.2012 | 12 | 12 | 11.12.2012 | 11.12.2012 | 25 | 27.12.2012 |
1977 - 2012 | 26.10 | | 23.11 | 01.11 | 0/0 | 23.11 | 01.11 | 23.11 | 0 | 12 | 30.11 | 30.11 | 41 | 31.12 |
Таблица В.15
Сведения об основных элементах ледового режима
(для многолетних данных указан день и месяц) -
станция Выборг (весенне-летний период)
Весенне-летний период |
Таяние и разрушение | Очищение |
Год, период | Дата устойчивого перехода температуры воздуха через 0 весной | Дата устойчивого перехода температуры воды через 0 весной | Дата появления снежниц | Дата появления проталин | Дата появления водяного заберега | Дата начала весеннего взлома или первой подвижки припая | Дата окончательного разрушения припая | Дата первого полного очищения ото льда | Дата полного окончательного очищения ото льда | Число дней со льдом | Число дней без льда | Примечание |
1 | 2 | 3 | 4 | 5 | 6 | 7 | 8 | 9 | 10 | 11 | 12 | 13 |
4. Гидрометеорологическая станция 86035 Выборг. Период наблюдений 01.01.1977 - 30.06.2013 |
2012 - 2013 | 01.01.2013 | 15.04.2013 | 01.01.2013 | 01.01.2013 | 01.01.2013 | 01.01.2013 | | 30.04.2013 | 30.04.2013 | 58 | 307 | |
1977 - 2013 | 16.01 | 20.03 | 14.02 | 14.02 | 14.02 | 14.02 | | 05.01 | 05.01 | | | |
Таблица В.16
Сведения об основных элементах ледового режима
(для многолетних данных указан день и месяц) -
станция Краснофлотское (осенне-зимний период)
Осенне-зимний период |
Ледообразование | Полное замерзание |
Год, период | Дата устойчивого перехода температуры воздуха через 0 осенью | Дата устойчивого перехода температуры воды через 0 осенью | Дата первого ледообразования | Дата устойчивого ледообразования | Количество старого льда при ледообразовании (первом/устойчивом), баллы | Дата первого образования заберега или припая | Дата начала образования устойчивого припая | Дата первого появления приносного льда | Величина устойчивой ширины припая, км | Наибольшая ширина припая, км | Дата первого полного замерзания | Дата окончательного замерзания | Наибольшая измеренная толщина льда, см | Дата наблюдения наибольшей толщины льда |
1 | 2 | 3 | 4 | 5 | 6 | 7 | 8 | 9 | 10 | 11 | 12 | 13 | 14 | 15 |
49. Гидрометеорологическая станция 86191 Краснофлотское. Период наблюдений 01.07.1977 - 31.12.2012 |
2012 - 2013 | | | 14.12.2012 | 14.12.2012 | 0/0 | 14.12.2012 | 14.12.2012 | 14.12.2012 | 6 | 6 | 14.12.2012 | 14.12.2012 | 17 | 24.12.2012 |
1977 - 2012 | 13.11 | 04.12 | 05.12 | 01.12 | 0/0 | 05.12 | 01.12 | 05.12 | 0 | 8,5 | 13.12 | 13.12 | 34 | 29.12 |
Таблица В.17
Сведения об основных элементах ледового режима
(для многолетних данных указан день и месяц) -
станция Краснофлотское (весенне-летний период)
Весенне-летний период |
Таяние и разрушение | Очищение |
Год, период | Дата устойчивого перехода температуры воздуха через 0 весной | Дата устойчивого перехода температуры воды через 0 весной | Дата появления снежниц | Дата появления проталин | Дата появления водяного заберега | Дата начала весеннего взлома или первой подвижки припая | Дата окончательного разрушения припая | Дата первого полного очищения ото льда | Дата полного окончательного очищения ото льда | Число дней со льдом | Число дней без льда | Примечание |
1 | 2 | 3 | 4 | 5 | 6 | 7 | 8 | 9 | 10 | 11 | 12 | 13 |
49. Гидрометеорологическая станция 86191 Краснофлотское. Период наблюдений 01.01.1977 - 30.06.2013 |
2012 - 2013 | | 02.01.2013 | 01.01.2013 | 01.01.2013 | 01.01.2013 | 01.01.2013 | | 20.04.2013 | 20.04.2013 | 111 | 254 | |
1977 - 2013 | 08.01 | 15.01 | 14.01 | 14.01 | 14.01 | 14.01 | | 05.01 | 05.01 | | | |
В.6 Белое море
В.6.1 Источники данных
Результаты измерений доступны благодаря многочисленным метеорологическим станциям, расположенным по всему региону. Дополнительную информацию о специалистах и организациях соответствующей страны можно получить в национальных центрах обработки океанографических данных. Данные могут также предоставляться коммерческими организациями. В дополнение к результатам измерений выполнен целый ряд отраслевых исследований, связанных с измерением и обработкой информации, а также прогнозированием ("ВНИИГМИ-МЦД"
[12], "Росгидромет"
[13] и "ЕСИМО"
[14], Справочные данные по режиму ветра и волнения (по морям), изданные РМРС
[15] -
[18], Справочники "Гидрометеорология и гидрохимия морей"
[19] -
[34]. Благодаря этим исследованиям получены обширные наборы данных для заинтересованных компаний.
Информацию по отсутствующим параметрам, таким как ветровые параметры, параметры течения, температуры и др. можно найти в следующих источниках:
- ФГБУ "ВНИИГМИ-МЦД" Федеральное государственное бюджетное учреждение "Всероссийский научно-исследовательский институт гидрометеорологической информации - Мировой центр данных"
[12];
- Справочные данные по режиму ветра и волнения "Российский морской регистр судоходства"
[15] -
[18];
- Справочник "Гидрометеорология и гидрохимия морей"
[19] -
[34].
В.6.2 Описание региона
Расположенное на северной окраине европейской части нашей страны Белое море занимает пространство между 68°40' и 63°48' с.ш., и 32°00' и 44°30' в.д. и целиком находится на территории РФ. По своей природе оно относится к морям Северного Ледовитого океана, но это единственное из арктических морей, которое почти целиком лежит к югу от Полярного круга, за пределы этого круга выходят лишь самые северные районы моря. Причудливое по форме Белое море глубоко врезано в континент, почти повсеместно оно имеет естественные сухопутные границы и только от Баренцева моря его отделяет условная граница - линия м. Святой Нос - м. Канин Нос. Почти со всех сторон окруженное сушей Белое море относится к внутренним морям. По размерам - это одно из самых небольших наших морей. Его площадь равна 90 тыс. км2, объем 6 тыс. км3, средняя глубина 67 м, наибольшая глубина 350 м.
Схемы расположения морских гидрометстанций и постов Белого моря представлены на рисунке (см. рисунок В.13).
Рисунок В.13 - Схемы расположения морских
гидрометстанций и постов Белого моря
В.6.3 Гидрометеорологические параметры региона
В.6.3.1 Общие данные
Уровень Белого моря испытывает периодические полусуточные приливные колебания и непериодические сгонно-нагонные изменения. Наибольшие нагоны наблюдаются в осенне-зимний сезон при северо-западных и северо-восточных ветрах. Подъем уровня может достигать 75 - 90 см. Самые сильные сгоны отмечаются зимой и весной при юго-западных ветрах. Уровень в это время понижается на 50 - 75 см. Сезонный ход уровня характеризуется его низким положением зимой, некоторым повышением от весны к лету и сравнительно быстрым ростом от лета к осени. В октябре он достигает наивысшего положения, за которым следует его снижение.
Приливы в Белом море ярко выражены и играют определяющую роль в его термогидродинамическом режиме. В Белом море приливные колебания уровня вызываются приливной волной, поступающей из Баренцева моря, поскольку собственный прилив весьма мал и не превышает 3 см. Наибольших величин прилив достигает в Мезенском заливе, в Горле он уменьшается, а в Бассейне едва достигает 1 м. Наименьшая величина прилива отмечается на границе Горла и Бассейна у м. Вепревского и р. Зимняя Золотица. В Онежском заливе приливные колебания уровня вновь возрастают. Наибольшая величина прилива отмечена у Абрамовского маяка и составляет более 700 см.
В устьевых участках крупных рек сезонные колебания уровня определяются главным образом распределением речного стока в течение года.
Средняя глубина моря - 67 м, максимальная глубина моря - 350 м.
Скорость постоянных течений достигает порядка 40 см/с.
Типы берегов:
I. Берега, сформированные субаэральными и тектоническими процессами и мало измененные морем. А. Первично расчлененные берега: 1 - бухтовые, 2 - берега эрозионного расчленения (эстуариевые), 3 - риасовые, 4 - фиордовые, 5 - шхерные. Б. Первично ровные берега: 6 - складчатые ровные, 7 - сбросовые ровные. II. Берега, формирующиеся преимущественно под действием неволновых факторов. А. Потамогенные берега: 8 - дельтовые, 9 - берега аллювиальных равнин. Б. Берега с приливными осушками: 10 - илистые (типа ваттовых) и песчаные. В. Термоабразионные берега: 11 - термоабразионные в рыхлых четвертичных толщах, 12 - ледяные. Г. Выветривающиеся берега: 13 - денудационные. III. Берега, формирующиеся преимущественно волновыми процессами. А. Выравнивающиеся берега: 14 - абразионно-бухтовые, 15 - абразионно-аккумулятивные бухтовые. Б. Выровненные берега: 16 - выровненные абразионные, 17 - выровненные абразионно-аккумулятивные, 18 - выровненные аккумулятивные, 19 - выровненные аккумулятивные с современной морской террасой. В. Вторично расчлененные берега: 20 - абразионно-бухтовые, 21 - абразионно-аккумулятивные бухтовые, 22 - границы морей, 23 - изобаты, 24 - наибольшая глубина, м; 25 - подводные долины
Рисунок В.14 - Типы берегов и рельеф дна Белого моря
Средние и экстремальные уровни моря представлены в таблице В.18.
Таблица В.18
Средние и экстремальные уровни моря, см (по станциям)
Год, период | Средний годовой | Максимальный за год | Минимальный за год |
Уровень | Даты | Уровень | Даты |
станция Мыс Конушин. Отметка нуля поста -5 м (абс.) |
1977 - 1995 | 452 | 830 | 08.10.1994 | 8 | 17.09.1981 |
станция Абрамовский маяк. Отметка нуля поста -5 м (абс.) |
2013 | 657 | 843 | 23.08.2013 | 451 | 17.09.2013 |
1977 - 2013 | 500 | 910 | 23.07.1978 | 50 | 18.08.1985 |
В.6.3.2 Волновой режим
В широко открытом к морю устье Мезени прилив задерживает речное течение и образует высокую волну которая, подобно водяной стене, движется вверх по реке, высота ее иногда несколько метров. Это явление здесь называют "накат", на Ганге - "бор", а на Сене - "маскаре".
Белое море принадлежит к числу бурных морей. Наиболее сильное волнение наблюдается в октябре-ноябре с северной части и Горле моря. В это время наблюдается волнение преимущественно 4 - 5 баллов и более. Однако небольшие размеры водоема не позволяют развиться крупным волнам. В Белом море преобладают волны высотой до 1 м. Изредка они достигают высоты 3 м и как исключение 5 м. Наиболее спокойно море во второй половине лета, в июле - августе. В это время преобладает волнение силой 1 - 3 балла.
Повторяемость высот волн по направлениям и градациям за год представлена в таблице В.19.
Таблица В.19
Повторяемость высот волн по направлениям и градациям
за год (станция Корсаков, глубина 60 м)
Направление | С | СВ | В | ЮВ | Ю | ЮЗ | З | СЗ | Сумма |
Градации, м | ч.с. | % | ч.с. | % | ч.с. | % | ч.с. | % | ч.с. | % | ч.с. | % | ч.с. | % | ч.с. | % | ч.с. | % |
Значения за текущий 2013-й год (17.05.13 - 30.11.13) |
Отсут. волн. | | | | | | | | | | | | | | | | | 17 | 2,9 |
менее 0,25 | 4 | 0,7 | 6 | 1 | 13 | 2,2 | 10 | 1,7 | 12 | 2 | 14 | 2,4 | 9 | 1,5 | 4 | 0,7 | 72 | 12,1 |
0,3 - 0,5 | 22 | 3,7 | 132 | 22,3 | 50 | 8,4 | 16 | 2,7 | 27 | 4,6 | 85 | 14,3 | 32 | 5,4 | 22 | 3,7 | 386 | 65,1 |
0,6 - 1,0 | 13 | 2,2 | 27 | 4,6 | 7 | 1,2 | 2 | 0,3 | 11 | 1,9 | 21 | 3,5 | 7 | 1,2 | 9 | 1,5 | 97 | 16,4 |
1,1 - 1,5 | 2 | 0,3 | 10 | 1,7 | 1 | 0,2 | 0 | 0 | 3 | 0,5 | 1 | 0,2 | 0 | 0 | 0 | 0 | 17 | 2,9 |
1,6 - 2,0 | 0 | 0 | 0 | 0 | 1 | 0,2 | 0 | 0 | 1 | 0,2 | 0 | 0 | 0 | 0 | 1 | 0,2 | 3 | 0,5 |
2,1 - 2,5 | 1 | 0,2 | 0 | 0 | 0 | 0 | 0 | 0 | 0 | 0 | 0 | 0 | 0 | 0 | 0 | 0 | 1 | 0,2 |
Сумма | 42 | 7,1 | 175 | 29,6 | 72 | 12,2 | 28 | 4,7 | 54 | 9,2 | 121 | 20,4 | 48 | 8,1 | 36 | 6,1 | 593 | 100,1 |
Ср. высота | 0,6 | | 0,5 | | 0,4 | | 0,3 | | 0,5 | | 0,5 | | 0,4 | | 0,5 | | | |
Макс. высота | 2,1 | | 1,5 | | 1,6 | | 0,8 | | 1,6 | | 1,5 | | 1 | | 2 | | | |
Значения за многолетний период (01.01.77 - 30.11.13) |
Отсут. волн. | | | | | | | | | | | | | | | | | 1006 | 4,5 |
Неопр. напр. | | | | | | | | | | | | | | | | | 186 | 0,8 |
Менее 0,25 | 838 | 3,7 | 1053 | 4,7 | 686 | 3,1 | 349 | 1,6 | 759 | 3,4 | 695 | 3,1 | 442 | 2 | 396 | 1,8 | 5218 | 23,2 |
0,3 - 0,5 | 1874 | 8,3 | 2529 | 11,3 | 923 | 4,1 | 387 | 1,7 | 1157 | 5,1 | 1846 | 8,2 | 989 | 4,4 | 963 | 4,3 | 10668 | 47,5 |
0,6 - 1,0 | 800 | 3,6 | 905 | 4 | 234 | 1 | 110 | 0,5 | 460 | 2 | 711 | 3,2 | 240 | 1,1 | 232 | 1 | 3692 | 16,4 |
1,1 - 1,5 | 213 | 0,9 | 232 | 1 | 78 | 0,3 | 44 | 0,2 | 165 | 0,7 | 261 | 1,2 | 82 | 0,4 | 55 | 0,2 | 1130 | 5 |
1,6 - 2,0 | 52 | 0,2 | 70 | 0,3 | 30 | 0,1 | 10 | 0 | 88 | 0,4 | 155 | 0,7 | 29 | 0,1 | 10 | 0 | 444 | 2 |
2,1 - 2,5 | 11 | 0 | 9 | 0 | 3 | 0 | 6 | 0 | 22 | 0,1 | 28 | 0,1 | 5 | 0 | 2 | 0 | 86 | 0,4 |
2,6 - 3,0 | 1 | 0 | 3 | 0 | 1 | 0 | 1 | 0 | 9 | 0 | 15 | 0,1 | 0 | 0 | 1 | 0 | 31 | 0,1 |
3,1 - 3,5 | 3 | 0 | 0 | 0 | 0 | 0 | 1 | 0 | 0 | 0 | 0 | 0 | 0 | 0 | 1 | 0 | 5 | 0 |
3,6 - 4,0 | 1 | 0 | 0 | 0 | 0 | 0 | 0 | 0 | 0 | 0 | 2 | 0 | 0 | 0 | 0 | 0 | 3 | 0 |
Сумма | 3793 | 16,7 | 4801 | 21,3 | 1955 | 8,6 | 908 | 4 | 2660 | 11,7 | 3713 | 16,6 | 1787 | 8 | 1660 | 7,3 | 22469 | 99,9 |
Ср. высота | 0,5 | | 0,5 | | 0,4 | | 0,4 | | 0,5 | | 0,6 | | 0,5 | | 0,4 | | | |
Макс. высота | 3,8 | | 3 | | 3 | | 3,5 | | 3 | | 4 | | 2,5 | | 3,5 | | | |
В.6.3.3 Ледовый режим
В устьевых участках крупных рек сезонные колебания уровня определяются главным образом распределением речного стока в течение года. Каждую зиму Белое море покрывается льдом, который совершенно исчезает весной, поэтому оно относится к морям с сезонным ледяным покровом. Раньше всего (примерно в конце октября) лед появляется в устье Мезени, а позднее всего (в январе) у Терского берега Воронки и Горла. Льды Белого моря на 90% плавучие. Все море покрывается льдом, но это не сплошной покров, а постоянно дрейфующий лед, местами сгущенный, а местами разреженный под влиянием ветров и течений. Весьма существенная черта ледового режима Белого моря - постоянный вынос льда в Баренцево море. С ним связаны полыньи, постоянно образующиеся среди зимы, которые быстро затягиваются молодым льдом.
Таким образом, в море льдообразование преобладает над таянием, что отражается на тепловом состоянии моря. Как правило, плавучий лед имеет толщину 35 - 40 см, но в суровые зимы может достигать 135 и даже 150 см. Припай в Белом море занимает очень маленькую площадь. Ширина его не превышает 1 км. Раньше всего (в конце марта) льды исчезают в Воронке. К концу мая обычно все море освобождается ото льдов, но иногда полное очищение моря происходит только в середине июня.
1 - дрейфующие льды; 2 - припай; 3 - полынья;
4 - чистая вода; 5 - граница плавучих льдов
Рисунок В.15 - Ледяной покров в Белом море зимой
Сведения об основных элементах ледового режима приведены в таблицах В.20 -
В.21.
Таблица В.20
Сведения об основных элементах ледового режима
(для многолетних данных указан день и месяц) -
(осенне-зимний период)
Осенне-зимний период |
Ледообразование | Полное замерзание |
Год, период | Дата устойчивого перехода температуры воздуха через 0 осенью | Дата устойчивого перехода температуры воды через 0 осенью | Дата первого ледообразования | Дата устойчивого ледообразования | Количество старого льда при ледообразовании (первом/устойчивом), баллы | Дата первого образования заберега или припая | Дата начала образования устойчивого припая | Дата первого появления приносного льда | Величина устойчивой ширины припая, км | Наибольшая ширина припая, км | Дата первого полного замерзания | Дата окончательного замерзания | Наибольшая измеренная толщина льда, см | Дата наблюдения наибольшей толщины льда |
1 | 2 | 3 | 4 | 5 | 6 | 7 | 8 | 9 | 10 | 11 | 12 | 13 | 14 | 15 |
Соловки. Период наблюдений 01.07.1977 - 31.12.2012 |
1977 - 2012 | 24.10 | 18.11 | 29.11 | 01.11 | 0/0 | 29.11 | 01.11 | 29.11 | 0 | 4 | 29.12 | 29.12 | 90 | 06.12 |
Таблица В.21
Сведения об основных элементах ледового режима
(для многолетних данных указан день и месяц) -
весенне-летний период
Весенне-летний период |
Таяние и разрушение | Очищение |
Год, период | Дата устойчивого перехода температуры воздуха через 0 весной | Дата устойчивого перехода температуры воды через 0 весной | Дата появления снежниц | Дата появления проталин | Дата появления водяного заберега | Дата начала весеннего взлома или первой подвижки припая | Дата окончательного разрушения припая | Дата первого полного очищения ото льда | Дата полного окончательного очищения ото льда | Число дней со льдом | Число дней без льда | Примечание |
1 | 2 | 3 | 4 | 5 | 6 | 7 | 8 | 9 | 10 | 11 | 12 | 13 |
Соловки. Период наблюдений 01.07.1977 - 31.12.2012 |
2012 - 2013 | 12.04.2013 | 13.05.2013 | 16.04.2013 | 16.04.2013 | 16.04.2013 | 16.04.2013 | | 20.05.2013 | 20.05.2013 | 181 | 184 | |
1977 - 2013 | 10.02 | 08.05 | 24.02 | 24.02 | 24.02 | 24.02 | | 01.01 | 01.01 | | | |
МОРЯ АРКТИКИ
В.7 Карское море
В.7.1 Источники данных
Результаты измерений доступны благодаря многочисленным метеорологическим станциям, расположенным по всему региону. Дополнительную информацию о специалистах и организациях соответствующей страны можно получить в национальных центрах обработки океанографических данных. Данные могут также предоставляться коммерческими организациями. В дополнение к результатам измерений выполнен целый ряд отраслевых исследований, связанных с измерением и обработкой информации, а также прогнозированием ("ВНИИГМИ-МЦД"
[12], "Росгидромет"
[13] и "ЕСИМО"
[14], Справочные данные по режиму ветра и волнения (по морям), изданные РМРС
[15] -
[18], Справочники "Гидрометеорология и гидрохимия морей"
[19] -
[34]. Благодаря этим исследованиям получены обширные наборы данных для заинтересованных компаний.
Информацию по отсутствующим параметрам, таким как ветровые параметры, параметры течения, температуры и др. можно найти в следующих источниках:
- ФГБУ "ВНИИГМИ-МЦД" Федеральное государственное бюджетное учреждение "Всероссийский научно-исследовательский институт гидрометеорологической информации - Мировой центр данных"
[12];
- Справочные данные по режиму ветра и волнения "Российский морской регистр судоходства"
[15] -
[18];
- Справочник "Гидрометеорология и гидрохимия морей"
[19] -
[34].
В.7.2 Описание региона
Восточнее Новой Земли расположены моря Сибирской Арктики, на западной окраине которых лежит Карское море. Его контуры очерчены сушей и условными линиями. Западная граница моря проходит от м. Кользат до м. Желания, далее по восточным берегам Новой Земли, по западной границе пролива Карские Ворота от м. Кусов Нос до м. Рогатый, восточному берегу о. Вайгач и по западной границе пролива Югорский Шар от м. Кользат до м. Арктический на о. Комсомолец (Северная Земля). Восточная граница моря проходит по западному берегу островов архипелага Северная Земля и восточным границам проливов Красной Армии, Шокальского и Вилькицкого, а южная граница - по материковому берегу от м. Белый Нос до м. Прончищева. В этих пределах море занимает пространство между параллелями 81°6' и 66°0' с.ш. и между меридианами 55°2' и 104°1' в.д. Его общий рисунок характеризуется вытянутостью с юго-запада на северо-восток.
Карское море широко открыто к Северному Ледовитому океану и в большей части лежит на материковой отмели, поэтому оно относится к типу материковых окраинных морей. Это одно из крупных морей нашей страны. Его площадь равна 883 тыс. км2, объем - 98 тыс. км3, средняя глубина 111 м, наибольшая глубина 600 м.
В Карском море множество островов. Подавляющее большинство из них имеет небольшие размеры и расположено вдоль азиатского берега, при этом более крупные острова расположены по одному, а мелкие группируются в архипелаги. Наиболее значительные острова: Белый, Шокальского, Вилькицкого, Неупокоева, Сибирякова, Диксон, Свердруп, Нансена, Русский и др. Группами располагаются острова Арктического института, Известий ЦИК, Сергея Кирова, архипелаг Норденшельда, Шхеры Минина. Несколько сравнительно крупных островов (Шмидта, Ушакова, Визе) находятся на севере моря.
Схемы расположения морских гидрометстанций и постов Карского моря представлены на рисунке (см. рисунок В.16).
Рисунок В.16 - Схемы расположения морских
гидрометстанций и постов Карского моря
В.7.3 Гидрометеорологические параметры региона
В.7.3.1 Общие данные
Береговая линия Карского моря сложна и извилиста. Восточные берега Новой Земли изрезаны многочисленными фьордами. Значительно расчленено материковое побережье, где глубоко в сушу вдаются Байдарацкая и Обская губы, между которыми далеко в море выступает полуостров Ямал, восточнее расположены крупные заливы: Гыданский, Енисейский, Пясинский, начиная от которого береговая линия очерчивает много небольших заливов. Менее извилисто западное побережье Северной Земли.
Разнообразное по внешним формам и строению побережье Карского моря на разных участках принадлежит к различным морфологическим типам берегов. Море обрамляют преимущественно абразионные, но встречаются аккумулятивные и ледяные берега. Восточные берега Новой Земли - обрывистые и холмистые. Материковое побережье - местами низменное и пологое, местами обрывистое. Преимущественно невысокие берега у Северной Земли.
Рельеф дна Карского моря очень неровный. В море преобладают глубины до 100 м. Мелководны прилегающие к материку южная и восточная части. Здесь дно моря пересекают многочисленные небольшие углубления, разделенные порогами различной высоты. Относительно ровное дно в центральных районах. Узкая полоса глубин 100 - 200 м, идущих от прибрежного мелководья к северу, образует Центральную Карскую возвышенность, простирающуюся на север до материкового склона. Наибольшие глубины находятся на западе и северо-западе моря. Вдоль побережья Новой Земли протягивается Новоземельская впадина с глубинами более 500 м, севернее расположен желоб Св. Анны, выходящий за пределы моря в океан. Между Центральной Карской возвышенностью и Северной Землей дно моря прорезает желоб Воронина с глубинами более 200 м. Столь сложный рельеф дна - одна из отличительных черт природных условий Карского моря.
Циркуляция поверхностных вод моря имеет сложный характер. В юго-западной части моря происходит замкнутый циклонический круговорот воды. В центральной части моря из Обь-Енисейского мелководья растекаются к северу опресненные воды рек Сибири.
Скорость течений достигает порядка 77 см/с.
Приливы в Карском море выражены весьма отчетливо. Одна приливная волна входит сюда из Баренцева моря и распространяется к югу вдоль восточного побережья Новой Земли, другая из Северного Ледовитого океана и идет на юг у западных берегов Северной Земли. Севернее о. Уединения они соединяются. При подходе к берегам волны отражаются от них, интерферируют и изменяют свою величину. Все это усложняет картину приливов в Карском море, где в общем преобладают правильные полусуточные приливы, но в отдельных районах наблюдаются суточные и смешанные приливы.
Движение приливной волны создает приливные течения, скорость которых достигает значительных величин, например, у о. Белый, в Карских Воротах, у западного берега Таймыра она доходит до 150 см/с, что значительно превышает скорости постоянных течений в Карском море. Приливные изменения уровня сравнительно невелики. По всем пунктам побережья они равны в среднем 0,5 - 0,8 м, но в Обской губе превышают 1 м. Нередко их затушевывают сгонно-нагонные колебания уровня, которые на материковом берегу моря больше 1 м, а в глубине заливов и губ в безледные сезоны доходят до 2 м и больше.
Приливы в Карском море полусуточные, их высота достигает 50 - 80 сантиметров. В холодный период большое влияние на приливы оказывает морской лед - величина прилива уменьшается, распространение приливной волны идет с запозданием. Средние и экстремальные уровни моря представлены в таблице В.22.
Таблица В.22
Средние и экстремальные уровни моря, см (по станциям)
Год, период | Средний годовой | Максимальный за год | Минимальный за год |
Уровень | Даты | Уровень | Даты |
станция Ямсальский Бар. Отметка нуля поста -5 м (абс.) |
1989 | 504 | 655 | 10.10.1989 | 412 | 09.09.1989 |
станция Мыс Челюскина (ГМО им. Федорова). Отметка нуля поста 0 м (абс.) |
2013 | 53 | 117 | 20.11.2013 | -7 | 29.03.2013 |
1977 - 2013 | 74 | 163 | 08.10.1994 | -7 | 29.03.2013 |
| станция им. Попова М.В. Отметка нуля поста -5 м (абс.) | |
2013 | 442 | 541 | 06.09.2013 | 373 | 21.09.2013 |
1977 - 2013 | 391 | 613 | 29.09.1986 | -48 | 19.10.1977 |
станция Острова Известий ЦИК. Отметка нуля поста -2 м (абс.) |
2013 | 146 | 195 | 11.01.2013 | 103 | 20.03.2013 |
1977 - 2013 | 156 | 249 | 23.01.1997 | 59 | 30.01.1977 |
Типы берегов:
I. Берега, сформированные субаэральными и тектоническими процессами и мало измененные морем. А. Первично расчлененные берега: 1 - бухтовые, 2 - берега эрозионного расчленения (эстуариевые), 3 - риасовые, 4 - фиордовые, 5 - шхерные. Б. Первично ровные берега: 6 - складчатые ровные, 7 - сбросовые ровные. II. Берега, формирующиеся преимущественно под действием неволновых факторов. А. Потамогенные берега: 8 - дельтовые, 9 - берега аллювиальных равнин. Б. Берега с приливными осушками: 10 - илистые (типа ваттовых) и песчаные. В. Термоабразионные берега: 11 - термоабразионные в рыхлых четвертичных толщах, 12 - ледяные. Г. Выветривающиеся берега: 13 - денудационные. III. Берега, формирующиеся преимущественно волновыми процессами. А. Выравнивающиеся берега: 14 - абразионно-бухтовые, 15 - абразионно-аккумулятивные бухтовые. Б. Выровненные берега: 16 - выровненные абразионные, 17 - выровненные абразионно-аккумулятивные, 18 - выровненные аккумулятивные, 19 - выровненные аккумулятивные с современной морской террасой. В. Вторично расчлененные берега: 20 - абразионно-бухтовые, 21 - абразионно-аккумулятивные бухтовые, 22 - границы морей, 23 - изобаты, 24 - наибольшая глубина, м; 25 - подводные долины
Рисунок В.17 - Типы берегов и рельеф дна арктических морей
В.7.3.2 Волновой режим
Частые и сильные ветры развивают значительное волнение в Карском море. Однако размеры волн кроме скорости и продолжительности ветра зависят здесь и от ледовитости, обусловливающей длину разгона ветра. В связи с этим наиболее сильное волнение наблюдается в малоледовитые годы в конце лета - начале осени. Самую большую повторяемость имеют волны высотой 1,5 - 2,5 м, реже наблюдаются волны 3 м и более, максимальная высота волны около 8 м. Чаще всего сильное волнение развивается в юго-западной и северо-западной обычно свободных от льдов частях моря. Его центральные мелководные районы отличаются более слабым развитием волн. Во время штормов здесь образуются короткие и крутые волны. На севере моря волнение гасится льдом.
Повторяемость высот волн по направлениям и градациям за год представлена в таблице В.23.
Таблица В.23
Повторяемость высот волн по направлениям и градациям
за год (станция Острова Известий ЦИК, глубина 123 м)
Направление | С | СВ | В | ЮВ | Ю | ЮЗ | З | СЗ | Сумма |
Градации, м | ч.с. | % | ч.с. | % | ч.с. | % | ч.с. | % | ч.с. | % | ч.с. | % | ч.с. | % | ч.с. | % | ч.с. | % |
Значения за текущий 2013-й год (05.08.13 - 30.09.13) |
Отсут. волн. | | | | | | | | | | | | | | | | | | 1,1 |
Менее 0,25 | 14 | 7,4 | 32 | 17 | 17 | 9 | 8 | 4,3 | 4 | 2,1 | 5 | 2,7 | 14 | 7,4 | 15 | 8 | | 58 |
0,3 - 0,5 | 10 | 5,3 | 21 | 11,2 | 1 | 0,5 | 4 | 2,1 | 10 | 5,3 | 3 | 1,6 | 7 | 3,7 | 9 | 4,8 | | 34,6 |
0,6 - 1,0 | 0 | 0 | 0 | 0 | 0 | 0 | 1 | 0,5 | 3 | 1,6 | 5 | 2,7 | 0 | 0 | 0 | 0 | | 4,8 |
1,1 - 1,5 | 0 | 0 | 0 | 0 | 0 | 0 | 0 | 0 | 2 | 1,1 | 0 | 0 | 0 | 0 | 0 | 0 | | 1,1 |
1,6 - 2,0 | 0 | 0 | 0 | 0 | 0 | 0 | 0 | 0 | 0 | 0 | 0 | 0 | 1 | 0,5 | 0 | 0 | | 0,5 |
Сумма | 24 | 12,7 | 53 | 28,2 | 18 | 9,5 | 13 | 6,9 | 19 | 10,1 | 13 | 7 | 22 | 11,6 | 24 | 12,8 | | 100,1 |
Ср. высота | 0,3 | | 0,3 | | 0,2 | | 0,3 | | 0,5 | | 0,5 | | 0,3 | | 0,3 | | | |
Макс. высота | 0,3 | | 0,3 | | 0,3 | | 0,6 | | 1,3 | | 0,8 | | 1,8 | | 0,3 | | | |
Значения за многолетний период (19.08.78 - 30.09.13) |
Отсут. волн. | | | | | | | | | | | | | | | | | | 1,7 |
Неопр. напр. | | | | | | | | | | | | | | | | | | 0,6 |
Менее 0,25 | 526 | 8,9 | 505 | 8,5 | 386 | 6,5 | 289 | 4,9 | 321 | 5,4 | 309 | 5,2 | 341 | 5,8 | 313 | 5,3 | | 50,6 |
0,3 - 0,5 | 327 | 5,5 | 367 | 6,2 | 228 | 3,9 | 167 | 2,8 | 262 | 4,4 | 278 | 4,7 | 184 | 3,1 | 208 | 3,5 | | 34,2 |
0,6 - 1,0 | 81 | 1,4 | 76 | 1,3 | 52 | 0,9 | 58 | 1 | 126 | 2,1 | 101 | 1,7 | 70 | 1,2 | 86 | 1,5 | | 11 |
1,1 - 1,5 | 6 | 0,1 | 6 | 0,1 | 2 | 0 | 5 | 0,1 | 41 | 0,7 | 25 | 0,4 | 6 | 0,1 | 3 | 0,1 | | 1,6 |
1,6 - 2,0 | 0 | 0 | 0 | 0 | 0 | 0 | 0 | 0 | 13 | 0,2 | 2 | 0 | 5 | 0,1 | 0 | 0 | | 0,3 |
2,1 - 2,5 | 0 | 0 | 0 | 0 | 0 | 0 | 0 | 0 | 2 | 0 | 2 | 0 | 0 | 0 | 0 | 0 | | 0,1 |
2,6 - 3,0 | 0 | 0 | 0 | 0 | 0 | 0 | 0 | 0 | 1 | 0 | 0 | 0 | 0 | 0 | 0 | 0 | | 0 |
Сумма | 940 | 15,9 | 954 | 16,1 | 668 | 11,3 | 519 | 8,8 | 766 | 12,8 | 717 | 12 | 606 | 10,3 | 610 | 10,4 | | 100,1 |
Ср. высота | 0,3 | | 0,3 | | 0,3 | | 0,3 | | 0,4 | | 0,4 | | 0,3 | | 0,4 | | | |
Макс. высота | 1,2 | | 1,2 | | 1,2 | | 1,4 | | 2,6 | | 2,1 | | 1,9 | | 1,2 | | | |
В.7.3.3 Ледовый режим
Море почти весь год покрыто льдами местного происхождения. Льдообразование начинается в сентябре. Встречаются значительные пространства многолетних льдов толщиной до 4 метров. Вдоль берегов образуется припай, в центре моря - плавающие льды.
Суровый климат высокоширотного Карского моря обусловливает его полное замерзание в осенне-зимнее время и круглогодичное существование льда в нем. Льдообразование начинается в сентябре в северных районах моря и в октябре на юге. С октября по май почти все море покрыто льдами разного вида и возраста.
Прибрежную зону занимает припай. Он развит неравномерно. В северо-восточной части моря неподвижный лед образует непрерывную полосу, тянущуюся от о. Белый к архипелагу Норденшельда и оттуда к Северной Земле. В летнее время эта полоса припая взламывается и распадается на отдельные поля. Они сохраняются длительное время в виде Североземельского ледяного массива. В юго-западной части моря припай занимает небольшие площади.
Мористее неподвижного льда располагается зона чистой воды или молодых льдов. Это район заприпайных полыней. В юго-западной части моря располагаются Амдерминская и Ямальская полыньи, а на юге центральной части моря - Обь-Енисейская. В открытых районах моря распространены дрейфующие льды, среди которых преобладают однолетние местного происхождения. Их максимальная толщина (в мае) 1,5 - 2,0 м. В море преобладает выносной дрейф, в процессе которого льды выносятся на север. На юго-западе располагается Новоземельский ледяной массив, который в течение лета растаивает на месте. В северных районах лед сохраняется постоянно. Сюда спускаются отроги океанических ледяных массивов. Распределение льдов в весенне-летнее время зависит от преобладания ветров у соответствующих течений.
Сведения об основных элементах ледового режима приведены в таблицах В.24,
В.25.
Таблица В.24
Сведения об основных элементах ледового режима
(для многолетних данных указан день и месяц) - станция
Острова Известий ЦИК (осенне-зимний период)
Осенне-зимний период |
Ледообразование | Полное замерзание |
Год, период | Дата устойчивого перехода температуры воздуха через 0 осенью | Дата устойчивого перехода температуры воды через 0 осенью | Дата первого ледообразования | Дата устойчивого ледообразования | Количество старого льда при ледообразовании (первом/устойчивом), баллы | Дата первого образования заберега или припая | Дата начала образования устойчивого припая | Дата первого появления приносного льда | Величина устойчивой ширины припая, км | Наибольшая ширина припая, км | Дата первого полного замерзания | Дата окончательного замерзания | Наибольшая измеренная толщина льда, см | Дата наблюдения наибольшей толщины льда |
1 | 2 | 3 | 4 | 5 | 6 | 7 | 8 | 9 | 10 | 11 | 12 | 13 | 14 | 15 |
Гидрометеорологическая станция 89039 Острова Известий ЦИК. Период наблюдений 01.07.1977 - 31.12.2012 |
2012 - 2013 | 08.10.2012 | 01.07.2012 | 01.07.2012 | 01.07.2012 | 0/0 | 01.07.2012 | 01.07.2012 | 01.07.2012 | 11,2 | 11,8 | 05.11.2012 | 05.11.2012 | 86 | 01.07.2012 |
1977 - 2012 | 18.07 | 01.07 | 01.07 | 01.07 | 6/0 | 01.07 | 01.07 | 01.07 | 17,4 | 40 | 25.12 | 25.12 | 213 | 01.07 |
Таблица В.25
Сведения об основных элементах ледового режима
(для многолетних данных указан день и месяц) - станция
Острова Известий ЦИК (весенне-летний период)
Весенне-летний период |
Таяние и разрушение | Очищение |
Год, период | Дата устойчивого перехода температуры воздуха через 0 весной | Дата устойчивого перехода температуры воды через 0 весной | Дата появления снежниц | Дата появления проталин | Дата появления водяного заберега | Дата начала весеннего взлома или первой подвижки припая | Дата окончательного разрушения припая | Дата первого полного очищения ото льда | Дата полного окончательного очищения ото льда | Число дней со льдом | Число дней без льда | Примечание |
1 | 2 | 3 | 4 | 5 | 6 | 7 | 8 | 9 | 10 | 11 | 12 | 13 |
Гидрометеорологическая станция 89039 Острова Известий ЦИК. Период наблюдений 10.01.1977 - 30.06.2013 |
2012 - 2013 | 21.06.2013 | | 09.06.2013 | 09.06.2013 | 09.06.2013 | 09.06.2013 | | 30.06.2013 | 30.06.2013 | 101 | 264 | |
1977 - 2013 | 11.06 | 01.07 | 10.01 | 10.01 | 10.01 | 10.01 | | 06.01 | 06.01 | | | |
Отроги океанических массивов: I - Шпицбергенский;
II - Карский; III - Таймырский; IV - Айонский;
V - Чукотский. Локальные массивы дрейфующих льдов:
1 - Новоземельский, 2 - Врангелевский, 3 - Анадырский.
Локальные массивы припайных льдов: А - Североземельский,
Б - Янский, В - Новосибирский
Рисунок В.18 - Ледяной покров в арктических морях летом
В.8 Баренцево море
В.8.1 Источники данных
Результаты измерений доступны благодаря многочисленным метеорологическим станциям, расположенным по всему региону. Дополнительную информацию о специалистах и организациях соответствующей страны можно получить в национальных центрах обработки океанографических данных. Данные могут также предоставляться коммерческими организациями. В дополнение к результатам измерений выполнен целый ряд отраслевых исследований, связанных с измерением и обработкой информации, а также прогнозированием ("ВНИИГМИ-МЦД"
[12], "Росгидромет"
[13] и "ЕСИМО"
[14], Справочные данные по режиму ветра и волнения (по морям), изданные РМРС
[15] -
[18], Справочники "Гидрометеорология и гидрохимия морей"
[19] -
[34]). Благодаря этим исследованиям получены обширные наборы данных для заинтересованных компаний.
Информацию по отсутствующим параметрам, таким как ветровые параметры, параметры течения, температуры и др. можно найти в следующих источниках:
- ФГБУ "ВНИИГМИ-МЦД" Федеральное государственное бюджетное учреждение "Всероссийский научно-исследовательский институт гидрометеорологической информации - Мировой центр данных"
[12];
- Справочные данные по режиму ветра и волнения "Российский морской регистр судоходства"
[15] -
[18];
- Справочник "Гидрометеорология и гидрохимия морей"
[19] -
[34].
В.8.2 Описание региона
Баренцево море - окраинная акватория Северного Ледовитого океана на границе с Атлантическим океаном, между северным берегом Европы на юге и островами Вайгач, Новая Земля, Земля Франца-Иосифа на востоке, Шпицберген и Медвежий остров на западе.
На Западе граничит с бассейном Норвежского моря, на юге - с Белым морем (границей на побережье является мыс Святой Нос), на востоке - с Карским морем, на севере - с Северным Ледовитым океаном. Район Баренцева моря, расположенный к востоку от острова Колгуев, называется Печорским морем.
Юго-западные берега Баренцева моря преимущественно фьордовые, высокие, скалистые, сильно изрезанные. Наиболее крупные заливы: Порсангер-фьорд, Варяжский залив (также известный как Варангер-фьорд), Мотовский залив, Кольский залив и др. Восточнее полуострова Канин Нос береговой рельеф резко меняется - берега преимущественно низкие и слабо изрезанные. Здесь имеются три больших мелководных залива: (Чешская губа, Печорская губа, Хайпадырская губа), а также несколько небольших бухт и множество яблок.
В пределах Баренцева моря островов мало. Крупнейший из них - остров Колгуев. С запада, севера и востока море ограничено архипелагами Шпицберген, Земля Франца-Иосифа и Новая Земля.
Наиболее крупные реки, впадающие в Баренцево море - Печора и Индига.
Схемы расположения морских гидрометстанций и постов Баренцева моря представлены на рисунке (см. рисунок В.19).
Рисунок В.19 - Схемы расположения морских гидрометстанций
и постов Баренцева моря
В.8.3 Гидрометеорологические параметры региона
В.8.3.1 Общие данные
Баренцево море расположено в пределах материковой отмели, но, в отличие от других подобных морей, большая часть его имеет глубину 300 - 400 м, средняя глубина 222 м и максимальная 600 м в желобе острова Медвежий (73°32' с.ш. 22°38' в.д.). Выделяются равнины (Центральное плато), возвышенности (Центральная, Персея (минимальная глубина 63 м)), впадины (Центральная, максимальная глубина 386 м) и желоба [Западный (максимальная глубина 600 м) Франц-Виктория (430 м) и другие]. Южная часть дна имеет глубину преимущественно менее 200 м и отличается выровненным рельефом.
Баренцево море занимает Баренцевоморскую плиту протерозойско-раннекембрийского возраста; возвышения дна антеклизы, депрессии - синеклизы. Из более мелких форм рельефа остатки древних береговых линий, на глубине около 200 и 70 м, ледниково-денудационные и ледниково-аккумулятивные формы и песчаные гряды, сформированные сильными приливными течениями.
Из покрова донных отложений в южной части Баренцева моря преобладает песок, местами - галька и щебень. На возвышенностях центральных и северных частей моря - илистый песок, песчанистый ил, в депрессиях - ил. Всюду заметна примесь грубообломочного материала, что связано с ледовым разносом и широким распространением реликтовых ледниковых отложений. Мощность осадков в северных и средних частях менее 0,5 м, вследствие чего на отдельных возвышенностях древние ледниковые отложения практически находятся на поверхности. Медленный темп осадкообразования (менее 30 мм в 1 тыс. лет) объясняется незначительным поступлением терригенного материала - в Баренцево море из-за особенностей берегового рельефа не впадает ни одной крупной реки (кроме Печоры, оставляющей почти весь свой аллювий в пределах Печорского лимана), а берега суши сложены главным образом прочными кристаллическими породами.
Скорость течений достигает порядка 44 см/с.
Средние и экстремальные уровни моря представлены в таблице В.26.
Таблица В.26
Средние и экстремальные уровни моря, см (по станциям)
Год, период | Средний годовой | Максимальный за год | Минимальный за год |
| | Уровень | Даты | Уровень | Даты |
станция Иоканьга. Отметка нуля поста -12 м (абс.) |
1977- 1993 | 335 | 784 | 13.01.1993 | -12 | 03.05.1981 |
станция Нарьян-Мар (Печерская-Устьевая). Отметка нуля поста -1 м (абс.) |
2013 | 99 | 467 | 22.05.2013 | -9 | 13.08.2013 |
1977 - 2013 | 106 | 669 | 25.05.1979 | -46 | 24.12.2009 |
станция Варандей. Отметка нуля поста -5 м (абс.) |
2013 | 471 | 648 | 27.10.2013 | 325 | 25.09.2013 |
1977 - 2013 | 336 | 728 | 29.01.1985 | -100 | 02.02.1979 |
станция Острова Известий ЦИК. Отметка нуля поста -2 м (абс.) |
2013 | 146 | 195 | 11.01.2013 | 103 | 20.03.2013 |
1977 - 2013 | 156 | 249 | 23.01.1997 | 59 | 30.01.1977 |
Типы берегов:
I. Берега, сформированные субаэральными и тектоническими процессами и мало измененные морем. А. Первично расчлененные берега: 1 - бухтовые, 2 - берега эрозионного расчленения (эстуариевые), 3 - риасовые, 4 - фиордовые, 5 - шхерные. Б. Первично ровные берега: 6 - складчатые ровные, 7 - сбросовые ровные. II. Берега, формирующиеся преимущественно под действием неволновых факторов. А. Потамогенные берега: 8 - дельтовые, 9 - берега аллювиальных равнин. Б. Берега с приливными осушками: 10 - илистые (типа ваттовых) и песчаные. В. Термоабразионные берега: 11 - термоабразионные в рыхлых четвертичных толщах, 12 - ледяные. Г. Выветривающиеся берега: 13 - денудационные. III. Берега, формирующиеся преимущественно волновыми процессами. А. Выравнивающиеся берега: 14 - абразионно-бухтовые, 15 - абразионно-аккумулятивные бухтовые. Б. Выровненные берега: 16 - выровненные абразионные, 17 - выровненные абразионно-аккумулятивные, 18 - выровненные аккумулятивные, 19 - выровненные аккумулятивные с современной морской террасой. В. Вторично расчлененные берега: 20 - абразионно-бухтовые, 21 - абразионно-аккумулятивные бухтовые, 22 - границы морей, 23 - изобаты, 24 - наибольшая глубина, м; 25 - подводные долины
Рисунок В.20 - Типы берегов и рельеф дна Баренцева моря
В.8.3.2 Волновой режим
Повторяемость высот волн по направлениям и градациям за год представлена в таблице В.27.
Таблица В.27
Повторяемость высот волн по направлениям и градациям за год
(станция Колгуев Северный)
Направление | С | СВ | В | ЮВ | Ю | ЮЗ | З | СЗ | Сумма |
Градации, м | ч.с. | % | ч.с. | % | ч.с. | % | ч.с. | % | ч.с. | % | ч.с. | % | ч.с. | % | ч.с. | % | ч.с. | % |
Значения за текущий 2013-й год (12.01.13 - 29.12.13) |
Отсут. волн. | | | | | | | | | | | | | | | | | 2 | 0,3 |
Менее 0,25 | 25 | 3,6 | 23 | 3,3 | 20 | 2,9 | 28 | 4 | 43 | 6,2 | 54 | 7,8 | 16 | 2,3 | 4 | 0,6 | 213 | 30,6 |
0,3 - 0,5 | 78 | 11,2 | 56 | 8,1 | 36 | 5,2 | 27 | 3,9 | 21 | 3 | 18 | 2,6 | 35 | 5 | 48 | 6,9 | 319 | 45,9 |
0,6 - 1,0 | 57 | 8,2 | 18 | 2,6 | 6 | 0,9 | 2 | 0,3 | 0 | 0 | 0 | 0 | 3 | 0,4 | 12 | 1,7 | 98 | 14,1 |
1,1 - 1,5 | 31 | 4,5 | 8 | 1,2 | 8 | 1,2 | 0 | 0 | 0 | 0 | 0 | 0 | 0 | 0 | 1 | 0,1 | 48 | 6,9 |
1,6 - 2,0 | 1 | 0,1 | 5 | 0,7 | 5 | 0,7 | 0 | 0 | 0 | 0 | 0 | 0 | 0 | 0 | 1 | 0,1 | 12 | 1,7 |
2,1 - 2,5 | 1 | 0,1 | 2 | 0,3 | 0 | 0 | 0 | 0 | 0 | 0 | 0 | 0 | 0 | 0 | 0 | 0 | 3 | 0,4 |
Сумма | 193 | 27,7 | 112 | 16,2 | 75 | 10,9 | 57 | 8,2 | 64 | 9,2 | 72 | 10,4 | 54 | 7,7 | 66 | 9,4 | 695 | 99,9 |
Ср. высота | 0,6 | | 0,6 | | 0,6 | | 0,3 | | 0,2 | | 0,2 | | 0,4 | | 0,5 | | | |
Макс. высота | 2,1 | | 2,1 | | 2 | | 0,8 | | 0,5 | | 0,5 | | 0,8 | | 1,8 | | | |
Значения за многолетний период (21.03.77 - 29.12.13) |
Отсут. волн. | | | | | | | | | | | | | | | | | 51 | 0,3 |
Неопр. напр. | | | | | | | | | | | | | | | | | 316 | 1,6 |
Менее 0,25 | 511 | 2,7 | 177 | 0,9 | 116 | 0,6 | 88 | 0,5 | 207 | 1,1 | 169 | 0,9 | 100 | 0,5 | 79 | 0,4 | 1447 | 7,5 |
0,3 - 0,5 | 3917 | 20,3 | 1027 | 5,3 | 1147 | 5,9 | 738 | 3,8 | 932 | 4,8 | 1044 | 5,4 | 979 | 5,1 | 1059 | 5,5 | 10843 | 56,2 |
0,6 - 1,0 | 1552 | 8 | 559 | 2,9 | 714 | 3,7 | 315 | 1,6 | 236 | 1,2 | 368 | 1,9 | 493 | 2,6 | 574 | 3 | 4811 | 25 |
1,1 - 1,5 | 392 | 2 | 139 | 0,7 | 209 | 1,1 | 87 | 0,5 | 54 | 0,3 | 86 | 0,4 | 108 | 0,6 | 151 | 0,8 | 1226 | 6,4 |
1,6 - 2,0 | 155 | 0,8 | 77 | 0,4 | 60 | 0,3 | 19 | 0,1 | 23 | 0,1 | 19 | 0,1 | 31 | 0,2 | 60 | 0,3 | 444 | 2,3 |
2,1 - 2,5 | 32 | 0,2 | 19 | 0,1 | 22 | 0,1 | 2 | 0 | 9 | 0 | 8 | 0 | 10 | 0,1 | 11 | 0,1 | 113 | 0,6 |
2,6 - 3,0 | 4 | 0 | 6 | 0 | 4 | 0 | 0 | 0 | 0 | 0 | 2 | 0 | 1 | 0 | 1 | 0 | 18 | 0,1 |
3,1 - 3,5 | 2 | 0 | 0 | 0 | 2 | 0 | 0 | 0 | 0 | 0 | 1 | 0 | 3 | 0 | 0 | 0 | 8 | 0 |
3,6 - 4,0 | 1 | 0 | 0 | 0 | 0 | 0 | 1 | 0 | 0 | 0 | 0 | 0 | 0 | 0 | 0 | 0 | 2 | 0 |
4,6 - 5,0 | 0 | 0 | 0 | 0 | 0 | 0 | 1 | 0 | 0 | 0 | 0 | 0 | 0 | 0 | 0 | 0 | 1 | 0 |
Сумма | 6566 | 34 | 2004 | 10,3 | 2274 | 11,7 | 1251 | 6,5 | 1461 | 7,5 | 1697 | 8,7 | 1725 | 9,1 | 1935 | 10,1 | 19280 | 100 |
Ср. высота | 0,6 | | 0,6 | | 0,7 | | 0,6 | | 0,5 | | 0,5 | | 0,6 | | 0,6 | | | |
Макс. высота | 3,6 | | 3 | | 3,1 | | 5 | | 2,5 | | 3,1 | | 3,1 | | 3 | | | |
В.8.3.3 Ледовый режим
Суровые климатические условия на севере и востоке Баренцева моря определяют его большую ледовитость. Во все сезоны года остается свободной от льда только юго-западная часть моря. Наибольшего распространения ледяной покров достигает в апреле, когда около 75% поверхности моря занято плавучими льдами. В исключительно неблагоприятные годы в конце зимы плавучие льды подходят непосредственно к берегам Кольского полуострова. Наименьшее количество льдов приходится на конец августа. В это время граница льдов отодвигается за 78° с.ш. На северо-западе и северо-востоке моря льды держатся обычно круглый год, но в отдельные, благоприятные годы море практически полностью или даже полностью освобождается от льдов.
Сведения об основных элементах ледового режима приведены в таблицах В.28,
В.29.
Таблица В.28
Сведения об основных элементах ледового режима
(для многолетних данных указан день
и месяц) - (осенне-зимний период)
Осенне-зимний период |
Ледообразование | Полное замерзание |
Год, период | Дата устойчивого перехода температуры воздуха через 0 осенью | Дата устойчивого перехода температуры воды через 0 осенью | Дата первого ледообразования | Дата устойчивого ледообразования | Количество старого льда при ледообразовании (первом/устойчивом), баллы | Дата первого образования заберега или припая | Дата начала образования устойчивого припая | Дата первого появления приносного льда | Величина устойчивой ширины припая, км | Наибольшая ширина припая, км | Дата первого полного замерзания | Дата окончательного замерзания | Наибольшая измеренная толщина льда, см | Дата наблюдения наибольшей толщины льда |
1 | 2 | 3 | 4 | 5 | 6 | 7 | 8 | 9 | 10 | 11 | 12 | 13 | 14 | 15 |
Гидрометеорологическая станция Остров Рудольфа. Период наблюдений 01.07.1977 - 31.08.1995 |
1977 - 1995 | 02.07 | 01.07 | 01.07 | 01.07 | 0/0 | 01.07 | 01.07 | 01.07 | 0 | 27,2 | 09.10 | 09.10 | 228 | 09.07 |
Гидрометеорологическая станция Остров Виктория. Период наблюдений 01.07.1977 - 31.12.1992 |
1977 - 1992 | 02.07 | 01.07 | 01.07 | 01.07 | 0/0 | 01.07 | 01.07 | 01.07 | 0 | 14,8 | 08.10 | 08.10 | 199 | 15.07 |
Таблица В.29
Сведения об основных элементах ледового режима
(для многолетних данных указан день
и месяц) - Весенне-летний период
Весенне-летний период |
Таяние и разрушение | Очищение |
Год, период | Дата устойчивого перехода температуры воздуха через 0 весной | Дата устойчивого перехода температуры воды через 0 весной | Дата появления снежниц | Дата появления проталин | Дата появления водяного заберега | Дата начала весеннего взлома или первой подвижки припая | Дата окончательного разрушения припая | Дата первого полного очищения ото льда | Дата полного окончательного очищения ото льда | Число дней со льдом | Число дней без льда | Примечание |
1 | 2 | 3 | 4 | 5 | 6 | 7 | 8 | 9 | 10 | 11 | 12 | 13 |
Гидрометеорологическая станция Остров Рудольфа. Период наблюдений 01.07.1977 - 31.08.1995 |
1977- 1995 | 12.06 | | 01.01 | 01.01 | 01.01 | 01.01 | | 02.01 | 02.01 | | | |
Гидрометеорологическая станция Остров Виктория. Период наблюдений 10.01.1977 - 31.03.1994 |
1977 - 1994 | 01.06 | 25.03 | 04.01 | 04.01 | 04.01 | 04.01 | | 09.01 | 09.01 | | | |
В.9 Море Лаптевых
В.9.1 Источники данных
Результаты измерений доступны благодаря многочисленным метеорологическим станциям, расположенным по всему региону. Дополнительную информацию о специалистах и организациях соответствующей страны можно получить в национальных центрах обработки океанографических данных. Данные могут также предоставляться коммерческими организациями. В дополнение к результатам измерений выполнен целый ряд отраслевых исследований, связанных с измерением и обработкой информации, а также прогнозированием ("ВНИИГМИ-МЦД"
[12], "Росгидромет"
[13] и "ЕСИМО"
[14], Справочные данные по режиму ветра и волнения (по морям), изданные РМРС
[15] -
[18], Справочники "Гидрометеорология и гидрохимия морей"
[19] -
[34]). Благодаря этим исследованиям получены обширные наборы данных для заинтересованных компаний.
Информацию по отсутствующим параметрам, таким как ветровые параметры, параметры течения, температуры и др. можно найти в следующих источниках:
- ФГБУ "ВНИИГМИ-МЦД" Федеральное государственное бюджетное учреждение "Всероссийский научно-исследовательский институт гидрометеорологической информации - Мировой центр данных"
[12];
- Справочные данные по режиму ветра и волнения "Российский морской регистр судоходства"
[15] -
[18];
- Справочник "Гидрометеорология и гидрохимия морей"
[19] -
[34].
В.9.2 Описание региона
Между архипелагом Северной Земли и Таймырским полуостровом на западе и Новосибирскими островами на востоке лежит море, которое носит имя братьев Лаптевых. Оно ограничено естественными рубежами и условными линиями. Его западная граница проходит по восточным берегам островов Северная Земля от м. Арктический (о. Комсомолец), затем через пролив Красной Армии по восточному берегу о. Октябрьской Революции до м. Анучина, через пролив Шокальского до м. Песчаный на о. Большевик и по его восточному берегу до м. Вайгач, затем по восточной границе пролива Вилькицкого и далее по материковому берегу до вершины Хатангского залива. Северная граница моря проходит от м. Арктический до точки пересечения меридиана северной оконечности о. Котельный (139° в.д.) с краем материковой отмели (79° с.ш., 139° в.д.), восточная граница от указанной точки - к западному берегу о. Котельный, далее по западной границе пролива Санникова, огибает западные берега островов Большой и Малый Ляховские и затем идет по западной границе пролива Дмитрия Лаптева. Южная граница моря проходит по материковому берегу от м. Святой Нос до вершины Хатангского залива. В этих границах море лежит между параллелями 81°16' и 70°42' с.ш. и меридианами 95°44' и 143°30' в.д.
По географическому положению и гидрологическим условиям, отличным от океана, с которым море свободно сообщается, оно относится к типу материковых окраинных морей. В принятых границах море Лаптевых имеет следующие размеры: площадь - 662 тыс. км2, объем 353 тыс. км3, средняя глубина 533 м, наибольшая глубина 3385 м.
В море Лаптевых насчитывается несколько десятков островов. Большинство из них находится в западной части моря, причем местами они располагаются группами, местами в одиночку. Наиболее значительные группы островов: Комсомольской Правды, Вилькицкого и Фаддея. Среди одиночных островов своими размерами выделяются острова Старокадомского, Малый Таймыр, Большой Бегичев, Песчаный, Столбовой и Бельковский. Множество мелких островов расположено в дельтах рек.
Берега моря довольно сильно изрезаны и образуют разной формы и величины заливы, губы, бухты, полуострова и мысы. Значительно расчленены восточные берега островов Северной Земли и Таймырского полуострова. К востоку от него береговая черта образует несколько крупных заливов (Хатангский, Анабарский, Оленекский, Янский), бухт (Кожевникова, Нордвик, Тикси), губ (Буор-Хая, Ванькина) и полуостровов (Хара-Тумус, Нордвик). Западное побережье Новосибирских островов изрезано значительно меньше.
Схемы расположения морских гидрометстанций и постов моря Лаптевых представлены на рисунке (см. рисунок В.21).
Рисунок В.21 - Схемы расположения морских гидрометстанций
и постов моря Лаптевых
В.9.3 Гидрометеорологические параметры региона
В.9.3.1 Общие данные
Ландшафты берегов моря довольно разнообразны. Местами к воде подходят невысокие горы, местами они отступают в глубь суши. Большая часть побережья низменна. Различное по рельефу и строению побережье моря на разных участках относится к различным морфологическим типам берегов. В основном - это абразионные и аккумулятивные формы, но местами встречаются и ледяные берега.
Море Лаптевых целиком занимает шельф, захватывает материковый склон и небольшую часть ложа океана, поэтому его дно представляет собой равнину, которая вначале полого понижается, а затем круто обрывается к северу. Рельеф дна этой равнины пересечен сравнительно слабо. На ней выделяется несколько желобов, возвышенностей и банок. Так, широкий, но короткий желоб расположен против устья Лены, воронкообразный желоб находится у Оленекского залива, узкий и длинный желоб уходит от о. Столбового на север. В восточной части моря поднимаются банки Семеновская и Васильевская. Подавляющая часть моря очень мелководна. Половину всей его площади занимают глубины до 50 м, а южнее 76° с.ш. они не превышают 25 м. Северная часть моря значительно глубже. В этом районе глубины постепенно увеличиваются от 50 до 100 м, а затем резко возрастают до 2000 м и более. При столь большом контрасте глубин природные условия моря в основном характеризуют глубины порядка 50 - 100 м.
В море Лаптевых прилив выражен хорошо, имеет характер неправильной полусуточной волны. Приливная волна входит с севера и распространяется к берегам, затухая и деформируясь по мере продвижения к ним. Величина прилива обычно невелика, преимущественно около 0,5 м. Только в Хатангском заливе размах приливных колебаний уровня превышает 2,0 м в сизигии. Это объясняется постепенным уменьшением глубины и ширины залива от устья к вершине. Такая конфигурация залива обычно и приводит к увеличению прилива. Приливная волна, пришедшая в Хатангский залив, распространяется почти на 500 км вверх по р. Хатанге. Это один из редких случаев столь глубокого проникновения прилива в реку. При этом явления бора на Хатанге не замечено. В другие реки, впадающие в море Лаптевых, прилив почти не заходит и затухает очень близко от устья, так как эти реки имеют дельты, в протоках которых гасится прилившая волна.
Кроме приливных в море Лаптевых наблюдаются сезонные и сгонно-нагонные колебания уровня. Сезонные изменения уровня в общем весьма незначительны. Наиболее ярко они выражены в юго-восточной части моря, на участках, близких к устьям рек, но и здесь размах колебания не превышает 40 см. Минимальная высота уровня наблюдается зимой, а максимальная - летом. В остальных районах моря сезонный ход уровня очень мал.
Скорость течений достигает порядка 32 см/с.
Сгонно-нагонные колебания уровня отмечаются везде и в любое время года, однако они наиболее значительны в юго-восточной части. Сгоны и нагоны обусловливают самые большие понижения и повышения уровня в море Лаптевых. Размах колебаний положения уровня между сгонами и нагонами достигает 1 - 2 м, а иногда доходит до 2,5 м (бухта Тикси). Чаще всего сгоны и нагоны наблюдаются осенью при сильных и устойчивых ветрах. Для моря в целом северные ветры вызывают нагон, а южные - сгон, но в зависимости от конфигурации берегов сгонно-нагонные колебания уровня в каждом конкретном районе создают ветры определенных направлений. Так, в юго-восточной части моря к наиболее эффективным нагонным ветрам относятся западные и северо-западные.
Средние и экстремальные уровни моря представлены в таблице В.30.
Таблица В.30
Средние и экстремальные уровни моря, см (по станциям)
Год, период | Средний годовой | Максимальный за год | Минимальный за год |
| | Уровень | Даты | Уровень | Даты |
станция Остров Дунай. Отметка нуля поста 0 м (абс.) |
1977 - 2011 | 286 | 489 | 29.10.1997 | 153 | 11.01.1994 |
станция Мыс Быков. Отметка нуля поста -5 м (абс.) |
1977 - 2004 | 443 | 832 | 09.06.1998 | 319 | 18.09.1998 |
Остров Преображения. Отметка нуля поста 0 м (абс.) |
1977 - 1995 | 152 | 273 | 01.12.1982, 06.01.1991 | 35 | 29.01.1989, 11.04.1989 |
Рисунок В.22, лист 1 - Типы берегов и рельеф
дна арктических морей
Типы берегов:
I. Берега, сформированные субаэральными и тектоническими процессами и мало измененные морем. А. Первично расчлененные берега: 1 - бухтовые, 2 - берега эрозионного расчленения (эстуариевые), 3 - риасовые, 4 - фиордовые, 5 - шхерные. Б. Первично ровные берега: 6 - складчатые ровные, 7 - сбросовые ровные. II. Берега, формирующиеся преимущественно под действием неволновых факторов. А. Потамогенные берега: 8 - дельтовые, 9 - берега аллювиальных равнин. Б. Берега с приливными осушками: 10 - илистые (типа ваттовых) и песчаные. В. Термоабразионные берега: 11 - термоабразионные в рыхлых четвертичных толщах, 12 - ледяные. Г. Выветривающиеся берега: 13 - денудационные. III. Берега, формирующиеся преимущественно волновыми процессами. А. Выравнивающиеся берега: 14 - абразионно-бухтовые, 15 - абразионно-аккумулятивные бухтовые. Б. Выровненные берега: 16 - выровненные абразионные, 17 - выровненные абразионно-аккумулятивные, 18 - выровненные аккумулятивные, 19 - выровненные аккумулятивные с современной морской террасой. В. Вторично расчлененные берега: 20 - абразионно-бухтовые, 21 - абразионно-аккумулятивные бухтовые, 22 - границы морей, 23 - изобаты, 24 - наибольшая глубина, м; 25 - подводные долины
Рисунок В.22, лист 2
В.9.3.2 Волновой режим
Преобладание слабых ветров, мелководность и постоянные льды обусловливают довольно спокойное состояние моря. В среднем здесь превалирует волнение 2 - 4 балла с высотами волн около 1 м. Летом (июль-август) в западной и центральной частях моря изредка развиваются штормы 5 - 7 баллов, во время которых высота волн достигает 4 - 5 м. Осень - наиболее штормовое время года, когда море бывает наиболее бурным и наблюдаются максимально высокие (до 6 м) волны. Однако и в этот сезон преобладают волны высотой порядка 4 м, что определяется длиной разгона и глубинами.
Повторяемость высот волн по направлениям и градациям за год представлена в таблице В.31.
Таблица В.31
Повторяемость высот волн по направлениям и градациям за год
(станция Мыс Быков, глубина 79 м)
Направление | С | СВ | В | ЮВ | Ю | ЮЗ | З | СЗ | Сумма |
Градации, м | ч.с. | % | ч.с. | % | ч.с. | % | ч.с. | % | ч.с. | % | ч.с. | % | ч.с. | % | ч.с. | % | ч.с. | % |
2013-й год - нет данных |
Значения за многолетний период (20.06.77 - 13.10.94) |
Отсут. волн. | | | | | | | | | | | | | | | | | 89 | 1,4 |
Неопр. напр. | | | | | | | | | | | | | | | | | 385 | 6,1 |
Менее 0,25 | 279 | 4,4 | 243 | 3,8 | 367 | 5,8 | 330 | 5,2 | 502 | 7,9 | 175 | 2,8 | 175 | 2,8 | 120 | 1,9 | 2191 | 34,7 |
0,3 - 0,5 | 332 | 5,3 | 297 | 4,7 | 478 | 7,6 | 316 | 5 | 264 | 4,2 | 153 | 2,4 | 233 | 3,7 | 208 | 3,3 | 2281 | 36,1 |
0,6 - 1,0 | 180 | 2,8 | 190 | 3 | 324 | 5,1 | 98 | 1,6 | 55 | 0,9 | 73 | 1,2 | 150 | 2,4 | 125 | 2 | 1195 | 18,9 |
1,1 - 1,5 | 16 | 0,3 | 21 | 0,3 | 48 | 0,8 | 1 | 0 | 5 | 0,1 | 15 | 0,2 | 31 | 0,5 | 38 | 0,6 | 175 | 2,8 |
1,6 - 2,0 | 0 | 0 | 0 | 0 | 2 | 0 | 0 | 0 | 0 | 0 | 0 | 0 | 1 | 0 | 1 | 0 | 4 | 0,1 |
Сумма | 807 | 12,8 | 751 | 11,8 | 1219 | 19,3 | 745 | 11,8 | 826 | 13,1 | 416 | 6,6 | 590 | 9,4 | 492 | 7,8 | 6320 | 100,1 |
Ср. высота | 0,4 | | 0,5 | | 0,5 | | 0,4 | | 0,3 | | 0,4 | | 0,5 | | 0,5 | | | |
Макс. высота | 1,5 | | 1,5 | | 1,7 | | 1,4 | | 1,2 | | 1,3 | | 1,7 | | 1,6 | | | |
В.9.3.3 Ледовый режим
Большую часть года (с октября по май) все море Лаптевых покрыто льдами различной толщины и возраста. Льдообразование начинается в конце сентября и проходит одновременно на всем пространстве моря. Зимой в его отмелой восточной части развит чрезвычайно обширный припай толщиной до 2 м. Границей распространения припая служит глубина 20 - 25 м, которая в этом районе моря проходит на удалении нескольких сотен километров от берега. Площадь припая равна примерно 30% площади всего моря. В западной и северо-западной частях моря припай невелик, а в некоторые зимы совсем отсутствует. Севернее припайной зоны находятся дрейфующие льды.
При почти постоянном выносе льдов из моря на север зимой за припаем сохраняются значительные пространства полыней и молодого льда. Ширина этой зоны варьирует от десятков до нескольких сотен километров. Ее отдельные участки называют Восточно-Североземельской, Таймырской, Ленской и Новосибирской полыньями. Последние две в начале теплого сезона достигают огромных размеров (тысячи квадратных километров) и становятся центрами очищения моря ото льдов. Таяние льда начинается в июне-июле и к августу значительные пространства моря освобождаются ото льдов. Летом кромка льдов часто меняет свое положение под влиянием ветров и течений. Западная часть моря в общем более ледовитая, чем восточная. С севера, вдоль восточного берега Таймыра, в море спускается отрог океанического Таймырского ледяного массива, в котором нередко встречаются тяжелые многолетние льды. Он устойчиво сохраняется до нового льдообразования, в зависимости от преобладающих ветров, перемещаясь то к северу, то к югу. Локальный Янский ледяной массив, образованный припайными льдами, ко второй половине августа обычно растаивает на месте или частично уносится на север за пределы моря.
Сведения об основных элементах ледового режима приведены в таблицах В.32,
В.33.
Таблица В.32
Сведения об основных элементах ледового режима
(для многолетних данных указан день
и месяц) - Осенне-зимний период
Осенне-зимний период |
Ледообразование | Полное замерзание |
Год, период | Дата устойчивого перехода температуры воздуха через 0 осенью | Дата устойчивого перехода температуры воды через 0 осенью | Дата первого ледообразования | Дата устойчивого ледообразования | Количество старого льда при ледообразовании (первом/устойчивом), баллы | Дата первого образования заберега или припая | Дата начала образования устойчивого припая | Дата первого появления приносного льда | Величина устойчивой ширины припая, км | Наибольшая ширина припая, км | Дата первого полного замерзания | Дата окончательного замерзания | Наибольшая измеренная толщина льда, см | Дата наблюдения наибольшей толщины льда |
1 | 2 | 3 | 4 | 5 | 6 | 7 | 8 | 9 | 10 | 11 | 12 | 13 | 14 | 15 |
Мыс Быков |
1977 - 2004 | 12.09 | 13.10 | 23.08 | 01.10 | 0/0 | 23.08 | 01.10 | 23.08 | 0 | 18 | 15.10 | 15.10 | 145 | 31.12 |
Мыс Кигилях |
1977 - 2012 | 19.08 | 15.07 | 01.07 | 01.07 | 0/0 | 01.07 | 01.07 | 01.07 | 8 | 21,5 | 01.07 | 01.07 | 212 | 01.07 |
Таблица В.33
Сведения об основных элементах ледового режима
(для многолетних данных указан день
и месяц) - Весенне-летний период
Весенне-летний период |
Таяние и разрушение | Очищение |
Год, период | Дата устойчивого перехода температуры воздуха через 0 весной | Дата устойчивого перехода температуры воды через 0 весной | Дата появления снежниц | Дата появления проталин | Дата появления водяного заберега | Дата начала весеннего взлома или первой подвижки припая | Дата окончательного разрушения припая | Дата первого полного очищения ото льда | Дата полного окончательного очищения ото льда | Число дней со льдом | Число дней без льда | Примечание |
1 | 2 | 3 | 4 | 5 | 6 | 7 | 8 | 9 | 10 | 11 | 12 | 13 |
Мыс Быков |
1977 - 1998 | 01.06 | 07.06 | 01.01 | 01.01 | 01.01 | 01.01 | | 12.01 | 12.01 | | | |
Мыс Кигилях |
1977 - 2013 | 02.06 | 23.06 | 12.03 | 12.03 | 12.03 | 12.03 | | 01.01 | 01.01 | | | |
Отроги океанических массивов: I - Шпицбергенский;
II - Карский; III - Таймырский; IV - Айонский;
V - Чукотский. Локальные массивы дрейфующих льдов:
1 - Новоземельский, 2 - Врангелевский, 3 - Анадырский.
Локальные массивы припайных льдов: А - Североземельский,
Б - Янский, В - Новосибирский
Рисунок В.23 - Ледяной покров в арктических морях летом
В.10 Восточно-Сибирское море
В.10.1 Источники данных
Результаты измерений доступны благодаря многочисленным метеорологическим станциям, расположенным по всему региону. Дополнительную информацию о специалистах и организациях соответствующей страны можно получить в национальных центрах обработки океанографических данных. Данные могут также предоставляться коммерческими организациями. В дополнение к результатам измерений выполнен целый ряд отраслевых исследований, связанных с измерением и обработкой информации, а также прогнозированием ("ВНИИГМИ-МЦД"
[12], "Росгидромет"
[13] и "ЕСИМО"
[14], Справочные данные по режиму ветра и волнения (по морям), изданные РМРС
[15] -
[18], Справочники "Гидрометеорология и гидрохимия морей"
[19] -
[34]). Благодаря этим исследованиям получены обширные наборы данных для заинтересованных компаний.
Информацию по отсутствующим параметрам, таким как ветровые параметры, параметры течения, температуры и др. можно найти в следующих источниках:
- ФГБУ "ВНИИГМИ-МЦД" Федеральное государственное бюджетное учреждение "Всероссийский научно-исследовательский институт гидрометеорологической информации - Мировой центр данных"
[12];
- Справочные данные по режиму ветра и волнения "Российский морской регистр судоходства"
[15] -
[18];
- Справочник "Гидрометеорология и гидрохимия морей"
[19] -
[34].
В.10.2 Описание региона
Само название указывает на то, что море омывает северные берега Восточной Сибири. Оно частично ограничено естественными рубежами, а во многих местах условными линиями. Его западная граница проходит от точки пересечения меридиана северной оконечности о. Котельный с краем материковой отмели (79° с.ш., 139° в.д.) до северной оконечности этого острова (м. Анисий), затем по его западному берегу и далее следует вдоль восточной границы моря Лаптевых. Северная граница проходит по краю материковой отмели от точки с координатами 79° с.ш., 139° в.д. до точки с координатами 76° с.ш., 180° в.д., а восточная граница - от точки с этими координатами по меридиану 180° до о. Врангеля, затем по его северо-западному берегу до м. Блоссом и далее до м. Якан на материке. Южная граница проходит по материковому берегу от м. Якан до м. Святой Нос (западная граница пролива Дмитрия Лаптева и Санникова).
По географическому положению и гидрологическим условиям, отличным от океана, с которым море свободно сообщается, оно относится к типу материковых окраинных морей. В принятых границах Восточно-Сибирское море имеет следующие размеры: площадь 913 тыс. км2, объем 49 тыс. км3, средняя глубина 54 м, наибольшая глубина 915 м.
Схемы расположения морских гидрометстанций и постов Восточно-Сибирского моря представлены на рисунке (см. рисунок В.24).
Рисунок В.24 - Схемы расположения морских гидрометстанций
и постов Восточно-Сибирского моря
В.10.3 Гидрометеорологические параметры региона
В.10.3.1 Общие данные
Море бедно островами. Береговая линия Восточно-Сибирского моря образует крупные изгибы, местами уходящие глубоко в сушу, местами выступающие в море, между которыми есть участки с ровной линией берега. Мелкие извилины встречаются редко и обычно приурочены к устьям рек. По характеру ландшафтов западная часть побережья Восточно-Сибирского моря резко отличается от восточной. На участке от Новосибирских островов и до устья Колымы берега однообразны. Здесь к морю подходит заболоченная тундра. Берега низменны и пологи. Восточное Колымы побережье становится гористым, кончается и его унылое однообразие. От устья Колымы до о. Айон прямо к воде подходят невысокие холмы, местами круто обрывающиеся. Чаунскую губу обрамляют невысокие, но крутые ровные берега. Различное по рельефу и строению побережье моря на разных участках относится к разным морфологическим типам берегов. Подводный рельеф шельфа, образующего ложе этого моря, в общих чертах представляет собой равнину, наклоненную с юго-запада на северо-восток. Дно моря не имеет значительных впадин и возвышенностей. Преобладают глубины до 20 - 25 м. К северо-востоку от устьев Индигирки и Колымы на морском дне отмечены относительно глубокие желоба. Предполагают, что это следы древних речных долин, ныне залитых морем. Область малых глубин в западной части моря образует Новосибирскую отмель. Наибольшие глубины сосредоточены в северо-восточной части моря, но они нигде не превышают 100 м. Резкое увеличение глубин происходит в промежутке от 100 до 200 м.
В Восточно-Сибирском море наблюдаются правильные полусуточные приливы. Их вызывает приливная волна, которая входит в море с севера и двигается к побережью материка. Фронт ее вытянут с северо-северо-запада на восток-юго-восток от Новосибирских островов к о. Врангеля.
Наиболее отчетливо приливы выражены на северо-западе и на севере, где приливная волна только входит в пределы моря. По мере движения на юг они ослабевают, так как океанская приливная волна в значительной степени гасится на мелководье, поэтому на участке от Индигирки до м. Шелагского приливные колебания уровня почти не заметны. Западнее и восточнее этого района величина прилива тоже мала (5 - 7 см). В устье Индигирки конфигурация берегов и рельеф дна способствуют увеличению приливов до 20 - 25 см. Значительно более развиты на побережье материка изменения уровня, вызванные метеорологическими причинами.
Годовой ход уровня моря характеризуется максимально высоким его положением в июне-июле, когда имеет место обильный приток речных вод. Сокращение материкового стока в августе ведет к понижению уровня на 50 - 70 см. В результате преобладания нагонных ветров осенью, в октябре происходит подъем уровня. Зимой уровень понижается и в марте-апреле достигает своего самого низкого положения.
В летний сезон очень ярко выражены сгонно-нагонные явления, при которых колебания уровня часто бывают 60 - 70 см. В устье Колымы и в проливе Дмитрия Лаптева они достигают максимальных для всего моря величин (2,5 м). Быстрая и резкая смена положений уровня - одна из характерных черт прибрежных районов моря.
Скорость течений достигает порядка 29 см/с.
Средние и экстремальные уровни моря представлены в таблице В.34.
Таблица В.34
Средние и экстремальные уровни моря, см (по станциям)
Год, период | Средний годовой | Максимальный за год | Минимальный за год |
| | Уровень | Даты | Уровень | Даты |
станция Остров Четырехстолбовой. Отметка нуля поста -1 м (абс.) |
1977 - 1994 | 154 | 289 | 13.09.1990 | 26 | 10.10.1981 |
станция Остров Жохова. Отметка нуля поста -3 м (абс.) |
1977 - 1993 | 417 | 506 | 14.06.1983 | 344 | 12.03.1979 |
Остров Четырехстолбовой. Отметка нуля поста -1 м (абс.) |
1977 - 1994 | 154 | 289 | 13.09.1990 | 26 | 10.10.1981 |
Рисунок В.25, лист 1 - Типы берегов и рельеф дна
арктических морей
Типы берегов:
I. Берега, сформированные субаэральными и тектоническими процессами и мало измененные морем. А. Первично расчлененные берега: 1 - бухтовые, 2 - берега эрозионного расчленения (эстуариевые), 3 - риасовые, 4 - фиордовые, 5 - шхерные. Б. Первично ровные берега: 6 - складчатые ровные, 7 - сбросовые ровные. II. Берега, формирующиеся преимущественно под действием неволновых факторов. А. Потамогенные берега: 8 - дельтовые, 9 - берега аллювиальных равнин. Б. Берега с приливными осушками: 10 - илистые (типа ваттовых) и песчаные. В. Термоабразионные берега: 11 - термоабразионные в рыхлых четвертичных толщах, 12 - ледяные. Г. Выветривающиеся берега: 13 - денудационные. III. Берега, формирующиеся преимущественно волновыми процессами. А. Выравнивающиеся берега: 14 - абразионно-бухтовые, 15 - абразионно-аккумулятивные бухтовые. Б. Выровненные берега: 16 - выровненные абразионные, 17 - выровненные абразионно-аккумулятивные, 18 - выровненные аккумулятивные, 19 - выровненные аккумулятивные с современной морской террасой. В. Вторично расчлененные берега: 20 - абразионно-бухтовые, 21 - абразионно-аккумулятивные бухтовые, 22 - границы морей, 23 - изобаты, 24 - наибольшая глубина, м; 25 - подводные долины
Рисунок В.25, лист 2
В.10.3.2 Волновой режим
На свободных ото льда пространствах моря развивается значительное волнение. Оно бывает наиболее сильным при штормовых северо-западных и юго-восточных ветрах, имеющих самые большие разгоны над поверхностью чистой воды. Максимальные высоты волн достигают 5 м, обычно их высота 3 - 4 м. Сильное волнение наблюдается главным образом в конце лета - начале осени (сентябрь), когда кромка льда отступает к северу. Западная часть моря более бурная, чем восточная. Его центральные районы относительно спокойны.
Повторяемость высот волн по направлениям и градациям за год представлена в таблице В.35.
Таблица В.35
Повторяемость высот волн по направлениям и градациям за год
(станция Остров Четырехстолбовой, глубина 35 м)
Направление | С | СВ | В | ЮВ | Ю | ЮЗ | З | СЗ | Сумма |
Градации, м | ч.с. | % | ч.с. | % | ч.с. | % | ч.с. | % | ч.с. | % | ч.с. | % | ч.с. | % | ч.с. | % | ч.с. | % |
2013-й год - нет данных |
Значения за многолетний период (19.07.77 - 24.08.94) |
Отсут. волн. | | | | | | | | | | | | | | | | | 145 | 3,5 |
Неопр. напр. | | | | | | | | | | | | | | | | | 265 | 6,3 |
Менее 0,25 | 360 | 8,6 | 714 | 17,1 | 542 | 13 | 224 | 5,4 | 145 | 3,5 | 254 | 6,1 | 336 | 8 | 285 | 6,8 | 2860 | 68,5 |
0,3 - 0,5 | 31 | 0,7 | 204 | 4,9 | 256 | 6,1 | 69 | 1,7 | 48 | 1,1 | 99 | 2,4 | 40 | 1 | 31 | 0,7 | 778 | 18,6 |
0,6 - 1,0 | 1 | 0 | 17 | 0,4 | 56 | 1,3 | 15 | 0,4 | 4 | 0,1 | 11 | 0,3 | 2 | 0 | 0 | 0 | 106 | 2,5 |
1,1 - 1,5 | 0 | 0 | 3 | 0,1 | 14 | 0,3 | 4 | 0,1 | 0 | 0 | 1 | 0 | 0 | 0 | 0 | 0 | 22 | 0,5 |
Сумма | 392 | 9,3 | 938 | 22,5 | 868 | 20,7 | 312 | 7,6 | 197 | 4,7 | 365 | 8,8 | 378 | 9 | 316 | 7,5 | 4176 | 99,9 |
Ср. высота | 0,2 | | 0,2 | | 0,3 | | 0,3 | | 0,2 | | 0,3 | | 0,2 | | 0,2 | | | |
Макс. высота | 0,8 | | 1,4 | | 1,5 | | 1,2 | | 1 | | 1,3 | | 0,8 | | 0,5 | | | |
В.10.3.3 Ледовый режим
Восточно-Сибирское море - самое ледовитое из морей Советской Арктики. С октября-ноября по июнь-июль оно полностью покрыто льдом. В это время преобладает принос льдов из Центрального Арктического бассейна в море, в отличие от других морей Арктики, где превалирует выносной дрейф льда. Характерная особенность льдов Восточно-Сибирского моря - значительное развитие припая зимой. При этом он наиболее широко распространяется в западной мелководной части моря и занимает узкую прибрежную полосу на востоке. На западе моря полоса припая достигает 400 - 500 км ширины, соединяясь с припаем моря Лаптевых, в центральных районах - 250 - 300 км и к востоку от м. Шелагского - 30 - 40 км. Граница припая приблизительно совпадает с изобатой 25 м, которая проходит в 50 км к северу от Новосибирских островов, затем поворачивает на юго-восток, приближаясь к побережью материка у м. Шелагского. К концу зимы толщина припая достигает 2 м. С запада на восток толщина припая уменьшается. За припаем располагаются дрейфующие льды. Обычно это однолетний и двухлетний лед толщиной 2 - 3 м. На самом севере моря встречается многолетний арктический лед. Преобладающие зимой ветры южных румбов часто относят дрейфующие льды от северной кромки припая. В результате этого появляются значительные пространства чистой воды и молодых льдов, образующие Новосибирскую на западе и Заврангелевскую на востоке стационарные заприпайные полыньи.
В начале лета после вскрытия и разрушения припая кромка льдов изменяет свое положение под действием ветров и течений. Однако льды всегда встречаются к северу от полосы о. Врангеля - Новосибирские острова. В западной части моря на месте обширного припая формируется Новосибирский ледяной массив. Он состоит преимущественно из однолетних льдов и к концу лета обычно разрушается. Подавляющая часть пространств на востоке моря занята отрогом Айонского океанического ледяного массива, который в значительной мере образует тяжелые многолетние льды. Его южная периферия в течение всего года почти примыкает к побережью материка, усложняя ледовую обстановку в море.
Сведения об основных элементах ледового режима приведены в таблицах В.36,
В.37.
Таблица В.36
Сведения об основных элементах ледового режима
(для многолетних данных указан день
и месяц) - Осенне-зимний период
Осенне-зимний период |
Ледообразование | Полное замерзание |
Год, период | Дата устойчивого перехода температуры воздуха через 0 осенью | Дата устойчивого перехода температуры воды через 0 осенью | Дата первого ледообразования | Дата устойчивого ледообразования | Количество старого льда при ледообразовании (первом/устойчивом), баллы | Дата первого образования заберега или припая | Дата начала образования устойчивого припая | Дата первого появления приносного льда | Величина устойчивой ширины припая, км | Наибольшая ширина припая, км | Дата первого полного замерзания | Дата окончательного замерзания | Наибольшая измеренная толщина льда, см | Дата наблюдения наибольшей толщины льда |
1 | 2 | 3 | 4 | 5 | 6 | 7 | 8 | 9 | 10 | 11 | 12 | 13 | 14 | 15 |
станция Рау-чуа |
1977 - 2012 | 05.08 | 11.09 | 01.07 | 01.07 | 0/0 | 01.07 | 01.07 | 01.07 | 8,6 | 13,3 | 21.10 | 21.10 | 359 | 14.11 |
Таблица В.37
Сведения об основных элементах ледового режима
(для многолетних данных указан день
и месяц) - Весенне-летний период
Весенне-летний период |
Таяние и разрушение | Очищение |
Год, период | Дата устойчивого перехода температуры воздуха через 0 весной | Дата устойчивого перехода температуры воды через 0 весной | Дата появления снежниц | Дата появления проталин | Дата появления водяного заберега | Дата начала весеннего взлома или первой подвижки припая | Дата окончательного разрушения припая | Дата первого полного очищения ото льда | Дата полного окончательного очищения ото льда | Число дней со льдом | Число дней без льда | Примечание |
1 | 2 | 3 | 4 | 5 | 6 | 7 | 8 | 9 | 10 | 11 | 12 | 13 |
станция Рау-чуа |
2012 - 2013 | | 09.06.2013 | 10.01.2013 | 10.01.2013 | 10.01.2013 | 10.01.2013 | | 29.06.2013 | 29.06.2013 | 137 | 228 | |
1977 - 2013 | 22.05 | 07.06 | 19.05 | 19.05 | 19.05 | 19.05 | | 15.01 | 15.01 | | | |
Отроги океанических массивов: I - Шпицбергенский;
II - Карский; III - Таймырский; IV - Айонский;
V - Чукотский. Локальные массивы дрейфующих льдов:
1 - Новоземельский, 2 - Врангелевский, 3 - Анадырский.
Локальные массивы припайных льдов: А - Североземельский,
Б - Янский, В - Новосибирский
Рисунок В.26 - Ледяной покров в арктических морях летом
В.11 Чукотское море
В.11.1 Источники данных
Результаты измерений доступны благодаря многочисленным метеорологическим станциям, расположенным по всему региону. Дополнительную информацию о специалистах и организациях соответствующей страны можно получить в национальных центрах обработки океанографических данных. Данные могут также предоставляться коммерческими организациями. В дополнение к результатам измерений выполнен целый ряд отраслевых исследований, связанных с измерением и обработкой информации, а также прогнозированием ("ВНИИГМИ-МЦД"
[12], "Росгидромет"
[13] и "ЕСИМО"
[14], Справочные данные по режиму ветра и волнения (по морям), изданные РМРС
[15] -
[18], Справочники "Гидрометеорология и гидрохимия морей"
[19] -
[34]). Благодаря этим исследованиям получены обширные наборы данных для заинтересованных компаний.
Информацию по отсутствующим параметрам, таким как ветровые параметры, параметры течения, температуры и др. можно найти в следующих источниках:
- ФГБУ "ВНИИГМИ-МЦД" Федеральное государственное бюджетное учреждение "Всероссийский научно-исследовательский институт гидрометеорологической информации - Мировой центр данных"
[12];
- Справочные данные по режиму ветра и волнения "Российский морской регистр судоходства"
[15] -
[18];
- Справочник "Гидрометеорология и гидрохимия морей"
[19] -
[34].
В.11.2 Описание региона
В цепочке советских арктических морей оно занимает крайнее восточное положение и частично ограничено сушей, а частично условными линиями. Его западная граница проходит от точки пересечения меридиана 180° с краем материковой отмели (76° с.ш., 180° в.д.) по меридиану 180° до о. Врангеля и далее вдоль восточной границы Восточно-Сибирского моря. Северная граница проходит от точки с координатами 72° с.ш., 156° з.д. до м. Барроу на Аляске, далее по Материковому берегу до южного входного мыса бухты Шишмарева (п-ов Сьюард). Южная граница Чукотского моря проходит по северной границе Берингова пролива от южного входного мыса бухты Шишмарева до м. Уникан (Чукотский полуостров) и далее по материковому берегу до м. Якан. К Чукотскому морю относится пролив Лонга, западная граница которого проходит от м. Блоссом до м. Якан. Восточная граница пролива идет от м. Пиллар (о. Врангеля) до м. Шмидта.
В этих границах море занимает пространство между параллелями 76° и 66° с.ш. и меридианами 180° в.д. и 156° з.д. Его общий рисунок характеризуется некоторой вытянутостью к северо-западу. Чукотское море по своему географическому положению, свободной связи с Северным Ледовитым океаном относится к типу материковых окраинных морей. В названных границах Чукотское море занимает площадь 595 тыс. км2, его объем равен 42 тыс. км3, средняя глубина 71 м, наибольшая глубина 1256 м.
В Чукотском море немного островов, впадающие в него реки маловодны, береговая линия слабо изрезана. Эти черты отличают его от других окраинных полярных морей и придают сходство с Баренцевым морем.
Схемы расположения морских гидрометстанций и постов Чукотского моря представлены на рисунке (см. рисунок В.27).
Рисунок В.27 - Схемы расположения морских гидрометстанций
и постов Чукотского моря
В.11.3 Гидрометеорологические параметры региона
В.11.3.1 Общие данные
По внешнему виду берега Чукотского моря почти на всем протяжении однообразны: они гористы. На восточном побережье о. Врангеля невысокие холмы круто обрываются к морю. Вдоль северного побережья азиатского и американского материков в пределах Чукотского моря тянутся невысокие горы, но они, как правило, удалены от уреза воды. Линию берега образуют песчаные косы, отделяющие от моря лагуны, за которыми виднеются горы. Такой пейзаж типичен для берегов Чукотского моря. На разных участках они относятся к разным геоморфологическим типам берегов.
Дно Чукотского моря ровное. Оно лишено резких углублений и возвышений. Однако активные тектонические движения далекого прошлого до некоторой степени расчленили его рельеф. Преобладают глубины 50 м, а максимальная не превышает 200 м. Изобаты 10 и 25 м подходят близко к материку и следуют очертаниям береговой линии. Понижение дна в центральной части моря и поднятия по краям делают его похожим на чашу. Вместе с общей мелководностью моря такая конфигурация дна определенным образом сказывается на гидрологических условиях.
Приливы в Чукотском море возбуждаются тремя приливными волнами. Одна приходит с севера из Центрального Арктического бассейна, другая проникает с запада через пролив Лонга и третья вступает с юга через Берингов пролив. Линия встречи их проходит примерно от м. Сердце-Камень к м. Хоп. Встречаясь, эти волны интерферируют, что усложняет приливные явления в Чукотском море. По своему характеру приливы здесь полусуточные, но отличаются большим разнообразием скоростей течений и высот подъема уровня в разных районах моря.
Величина прилива незначительна по всему побережью Чукотки. В некоторых пунктах это всего 10 - 15 см. На о. Врангеля приливы значительно больше. В упомянутой бухте Роджерса уровень в полную воду поднимается над уровнем малой воды на 150 см, так как сюда приходит суммарная волна, образующаяся от сложения волн, поступающих с севера и запада. Такая же величина прилива наблюдается и в вершине залива Коцебу, но здесь большие приливы объясняются конфигурацией берегов и рельефом дна залива.
Сгонно-нагонные колебания уровня в Чукотском море относительно невелики. В отдельных пунктах Чукотского полуострова они достигают 60 см. На берегах о. Врангеля сгонно-нагонные явления затушевываются приливными колебаниями уровня.
Скорость течений достигает порядка 80 см/с.
Средние и экстремальные уровни моря представлены в таблице В.38.
Таблица В.38
Средние и экстремальные уровни моря, см (по станциям)
Год, период | Средний годовой | Максимальный за год | Минимальный за год |
| | Уровень | Даты | Уровень | Даты |
станция Мыс Шмидта. Отметка нуля поста -5 м (абс.) |
1977 - 1994 | 262 | 541 | 13.12.1991 | 21 | 10.10.1981 |
станция Остров Врангеля. Отметка нуля поста 0 м (абс.) |
1977 - 2007 | 107 | 212 | 10.09.2003 | 0 | 26.06.2001 |
Типы берегов:
I. Берега, сформированные субаэральными и тектоническими процессами и мало измененные морем. А. Первично расчлененные берега: 1 - бухтовые, 2 - берега эрозионного расчленения (эстуариевые), 3 - риасовые, 4 - фиордовые, 5 - шхерные. Б. Первично ровные берега: 6 - складчатые ровные, 7 - сбросовые ровные. II. Берега, формирующиеся преимущественно под действием неволновых факторов. А. Потамогенные берега: 8 - дельтовые, 9 - берега аллювиальных равнин. Б. Берега с приливными осушками: 10 - илистые (типа ваттовых) и песчаные. В. Термоабразионные берега: 11 - термоабразионные в рыхлых четвертичных толщах, 12 - ледяные. Г. Выветривающиеся берега: 13 - денудационные. III. Берега, формирующиеся преимущественно волновыми процессами. А. Выравнивающиеся берега: 14 - абразионно-бухтовые, 15 - абразионно-аккумулятивные бухтовые. Б. Выровненные берега: 16 - выровненные абразионные, 17 - выровненные абразионно-аккумулятивные, 18 - выровненные аккумулятивные, 19 - выровненные аккумулятивные с современной морской террасой. В. Вторично расчлененные берега: 20 - абразионно-бухтовые, 21 - абразионно-аккумулятивные бухтовые, 22 - границы морей, 23 - изобаты, 24 - наибольшая глубина, м; 25 - подводные долины
Рисунок В.28 - Типы берегов и рельеф дна арктических морей
В.11.3.2 Волновой режим
В Чукотском море сравнительно редко возникает сильное волнение. Наиболее бурным оно бывает осенью, когда штормовые ветры вызывают волнение 5 - 7 баллов. Однако вследствие небольших глубин и ограниченности свободных от льда пространств воды здесь не развиваются очень крупные волны. Лишь на обширных, свободных от льда пространствах юго-восточной части моря при сильных ветрах высота волн может достигать 4 - 5 м и большой крутизны. В единичных случаях волны имеют высоты 7 м.
Повторяемость высот волн по направлениям и градациям за год представлена в таблице В.39.
Таблица В.39
Повторяемость высот волн по направлениям и градациям за год
(станция Мыс Шмидта, глубина 40 м)
Направление | С | СВ | В | ЮВ | Ю | ЮЗ | З | СЗ | Сумма |
Градации, м | ч.с. | % | ч.с. | % | ч.с. | % | ч.с. | % | ч.с. | % | ч.с. | % | ч.с. | % | ч.с. | % | ч.с. | % |
2013-й год - нет данных |
Значения за многолетний период (04.07.77 - 03.10.93) |
Отсут. волн. | | | | | | | | | | | | | | | | | 133 | 7,2 |
Неопр. напр. | | | | | | | | | | | | | | | | | 184 | 9,9 |
Менее 0,25 | 61 | 3,3 | 25 | 1,3 | 86 | 4,6 | 233 | 12,5 | 10 | 0,5 | 5 | 0,3 | 9 | 0,5 | 53 | 2,9 | 482 | 26 |
0,3 - 0,5 | 187 | 10,1 | 77 | 4,1 | 135 | 7,3 | 114 | 6,1 | 4 | 0,2 | 0 | 0 | 1 | 0,1 | 46 | 2,5 | 564 | 30,4 |
0,6 - 1,0 | 106 | 5,7 | 45 | 2,4 | 109 | 5,9 | 10 | 0,5 | 0 | 0 | 0 | 0 | 0 | 0 | 19 | 1 | 289 | 15,6 |
1,1 - 1,5 | 46 | 2,5 | 27 | 1,5 | 46 | 2,5 | 0 | 0 | 0 | 0 | 0 | 0 | 0 | 0 | 11 | 0,6 | 130 | 7 |
1,6 - 2,0 | 14 | 0,8 | 3 | 0,2 | 21 | 1,1 | 6 | 0,3 | 0 | 0 | 0 | 0 | 1 | 0,1 | 4 | 0,2 | 49 | 2,6 |
2,1 - 2,5 | 3 | 0,2 | 0 | 0 | 7 | 0,4 | 0 | 0 | 0 | 0 | 0 | 0 | 0 | 0 | 4 | 0,2 | 14 | 0,8 |
2,6 - 3,0 | 0 | 0 | 3 | 0,2 | 3 | 0,2 | 6 | 0,3 | 0 | 0 | 0 | 0 | 0 | 0 | 0 | 0 | 12 | 0,6 |
3,6 - 4,0 | 0 | 0 | 0 | 0 | 0 | 0 | 0 | 0 | 0 | 0 | 0 | 0 | 0 | 0 | 0 | 0 | 0 | 0 |
5,1 - 5,5 | 0 | 0 | 0 | 0 | 0 | 0 | 0 | 0 | 0 | 0 | 0 | 0 | 0 | 0 | 0 | 0 | 0 | 0 |
Сумма | 417 | 22,6 | 180 | 9,7 | 407 | 22 | 369 | 19,7 | 14 | 0,7 | 5 | 0,3 | 11 | 0,7 | 137 | 7,4 | 1857 | 100,1 |
Ср. высота | 0,6 | | 0,7 | | 0,7 | | 0,3 | | 0,2 | | 0,2 | | 0,4 | | 0,5 | | | |
Макс. высота | 2,3 | | 3 | | 2,9 | | 3 | | 0,4 | | 0,2 | | 2 | | 2,5 | | | |
В.11.3.3 Ледовый режим
Льды в Чукотском море существуют круглый год. Зимой с ноября-декабря по май-июнь море сплошь покрыто льдом неподвижным у самого берега и плавучим вдали от него. По сравнению с морями Лаптевых и Восточно-Сибирским припай здесь развит незначительно. Он окаймляет узкую прибрежную полосу и врезанные в берег бухты и заливы. Ширина его в разных местах различна, но не превышает 10 - 20 км. За припаем располагаются дрейфующие льды. В большинстве своем это одно- и двухлетние ледовые образования толщиной 150 - 180 см. На севере моря встречаются многолетние тяжелые льды. При затяжных ветрах, отжимающих дрейфующий лед от материкового побережья Аляски, между ним и припаем образуется стационарная Аляскинская полынья. Одновременно в западной части моря формируется Врангелевский ледяной массив. Вдоль побережья Чукотки за припаем иногда открывается узкая, но очень протяженная (до многих сотен километров) Чукотская заприпайная прогалина.
Летом кромка льда отступает на север. В море образуются Чукотский и Врангелевский ледяные массивы. Первый из них состоит из тяжелых льдов. Минимальное количество льда в море обычно бывает со второй половины августа до первой половины октября. В отдельные годы лед скапливается в проливе Лонга и в виде языка тянется вдоль Чукотского берега. В такие годы плавание судов здесь крайне затруднительно. В другие годы льды напротив отступают далеко от берегов Чукотского полуострова, что весьма благоприятно для навигации. В конце сентября начинается образование молодого льда, который с течением времени продолжает нарастать и к зиме покрывает все море.
Отроги океанических массивов: I - Шпицбергенский;
II - Карский; III - Таймырский; IV - Айонский;
V - Чукотский. Локальные массивы дрейфующих льдов:
1 - Новоземельский, 2 - Врангелевский, 3 - Анадырский.
Локальные массивы припайных льдов: А - Североземельский,
Б - Янский, В - Новосибирский
Рисунок В.29 - Ледяной покров в арктических морях летом
Таблица В.40
Сведения об основных элементах ледового режима
(для многолетних данных указан день
и месяц) - Осенне-зимний период
Осенне-зимний период |
Ледообразование | Полное замерзание |
Год, период | Дата устойчивого перехода температуры воздуха через 0 осенью | Дата устойчивого перехода температуры воды через 0 осенью | Дата первого ледообразования | Дата устойчивого ледообразования | Количество старого льда при ледообразовании (первом/устойчивом), баллы | Дата первого образования заберега или припая | Дата начала образования устойчивого припая | Дата первого появления приносного льда | Величина устойчивой ширины припая, км | Наибольшая ширина припая, км | Дата первого полного замерзания | Дата окончательного замерзания | Наибольшая измеренная толщина льда, см | Дата наблюдения наибольшей толщины льда |
1 | 2 | 3 | 4 | 5 | 6 | 7 | 8 | 9 | 10 | 11 | 12 | 13 | 14 | 15 |
станция Мыс Неттэн |
1977 - 1994 | 16.09 | 01.09 | 01.07 | 01.07 | 0/6 | 01.07 | 01.07 | 01.07 | 0,2 | 21,6 | 16.11 | 16.11 | 153 | 30.11 |
Таблица В.41
Сведения об основных элементах ледового режима
(для многолетних данных указан день
и месяц) - Весенне-летний период
Весенне-летний период |
Таяние и разрушение | Очищение |
Год, период | Дата устойчивого перехода температуры воздуха через 0 весной | Дата устойчивого перехода температуры воды через 0 весной | Дата появления снежниц | Дата появления проталин | Дата появления водяного заберега | Дата начала весеннего взлома или первой подвижки припая | Дата окончательного разрушения припая | Дата первого полного очищения ото льда | Дата полного окончательного очищения ото льда | Число дней со льдом | Число дней без льда | Примечание |
1 | 2 | 3 | 4 | 5 | 6 | 7 | 8 | 9 | 10 | 11 | 12 | 13 |
станция Мыс Неттэн |
1977 - 1995 | 13.04 | 15.06 | 15.05 | 15.05 | 15.05 | 15.05 | | 04.01 | 04.01 | | | |
ДАЛЬНЕВОСТОЧНЫЕ МОРЯ
В.12 Берингово море
В.12.1 Источники данных
Результаты измерений доступны благодаря многочисленным метеорологическим станциям, расположенным по всему региону. Дополнительную информацию о специалистах и организациях соответствующей страны можно получить в национальных центрах обработки океанографических данных. Данные могут также предоставляться коммерческими организациями. В дополнение к результатам измерений выполнен целый ряд отраслевых исследований, связанных с измерением и обработкой информации, а также прогнозированием ("ВНИИГМИ-МЦД"
[12], "Росгидромет"
[13] и "ЕСИМО"
[14], Справочные данные по режиму ветра и волнения (по морям), изданные РМРС
[15] -
[18], Справочники "Гидрометеорология и гидрохимия морей"
[19] -
[34]). Благодаря этим исследованиям получены обширные наборы данных для заинтересованных компаний.
Информацию по отсутствующим параметрам, таким как ветровые параметры, параметры течения, температуры и др. можно найти в следующих источниках:
- ФГБУ "ВНИИГМИ-МЦД" Федеральное государственное бюджетное учреждение "Всероссийский научно-исследовательский институт гидрометеорологической информации - Мировой центр данных"
[12];
- Справочные данные по режиму ветра и волнения "Российский морской регистр судоходства"
[15] -
[18];
- Справочник "Гидрометеорология и гидрохимия морей"
[19] -
[34].
В.12.2 Описание региона
Основные физико-географические черты. Берингово море - самое северное из наших Дальневосточных морей. Оно как бы вклинено между двумя огромными материками Азии и Америки и отделено от Тихого океана островами Командорско-Алеутской дуги. Оно имеет преимущественно естественные границы, но местами его пределы очерчиваются условными линиями. Северная граница моря совпадает с южной границей Берингова пролива и проходит по линии м. Новосильского (Чукотский полуостров) - м. Йорк (полуостров Сьюард), восточная - по побережью американского материка, южная - от м. Хабучь (Аляска) через Алеутские острова до м. Камчатского, при этом западная - по побережью азиатского материка. В этих границах Берингово море занимает пространство между параллелями 66°30' и 51°22' с.ш. и меридианами 162°20' в.д. и 157° з.д. Его общий рисунок характеризуется сужением контура с юга на север. Берингово море - самое большое и глубокое среди морей РФ и одно из самых больших и глубоких на Земле. Его площадь равна 2315 тыс. км2, объем 3796 тыс. км3, средняя глубина 1640 м, наибольшая 4151 м. При столь больших средней и максимальной глубинах площадь с глубинами менее 500 м занимает около половины всех пространств Берингова моря, поэтому оно относится к окраинным морям смешанного материково-океанического типа.
На огромных пространствах Берингова моря немного островов. Не считая его рубежной Алеутской островной дуги и Командорских островов, в самом море находятся крупные острова Карагинский на западе и несколько больших островов (Св. Лаврентия, Св. Матвея, Нельсон, Нунивак, Св. Павла, Св. Георгия) на востоке.
Схемы расположения морских гидрометстанций и постов Берингова моря представлены на рисунке (см. рисунок В.30).
Рисунок В.30 - Схемы расположения морских гидрометстанций
и постов Берингова моря
В.12.3 Гидрометеорологические параметры региона
В.12.3.1 Общие данные
Береговая линия Берингова моря сложна и весьма изрезана. Она образует множество заливов, бухт, бухточек, полуостровов, мысов и проливов. Для природы этого моря особенно важны проливы, соединяющие его с Тихим океаном. Суммарная площадь их поперечного сечения равна примерно 730 км2, а глубины в некоторых из них достигают 1000 - 2000 м, а в Камчатском - 4000 - 4500 м, что обусловливает водообмен через них не только в поверхностных, но и в глубинных горизонтах и определяет существенное влияние Тихого океана на это море. Площадь поперечного сечения Берингова пролива равна 3,4 км2, а глубина всего 42 м, поэтому воды Чукотского моря практически не воздействуют на Берингово море.
Неодинаковое по внешним формам и строению побережье Берингова моря на разных участках относится к различным геоморфологическим типам берегов. Из рисунка 34 видно, что в основном они принадлежат к типу абразионных берегов, но встречаются и аккумулятивные. Море окружают преимущественно высокие и обрывистые берега, только в средней части западного и восточного побережий к морю подходят широкие полосы плоской низменной тундры. Более узкие полосы низменного побережья находятся вблизи устьев небольших рек в виде дельтовой наносной равнины или же окаймляют вершины бухт и заливов.
В рельефе дна Берингова моря четко выделяются основные морфологические зоны: шельф и островные отмели, материковый склон и глубоководная котловина. Рельеф каждой из них имеет свои характерные черты. Шельфовая зона с глубинами до 200 м в основном расположена в северной и восточной частях моря, занимая более 40% его площади. Здесь она примыкает к геологически древним районам Чукотки и Аляски. Дно в этом районе моря представляет собой обширную, очень пологую подводную равнину шириной порядка 600 - 1000 км, в пределах которой находится несколько островов, ложбин и небольших повышений дна. Материковая отмель у берегов Камчатки и островов Командорско-Алеутской гряды выглядит иначе. Здесь она узкая и ее рельеф весьма сложен. Она окаймляет берега геологически молодых и очень подвижных участков суши, в пределах которых обычны интенсивные и частые проявления вулканизма и сейсмичности. Материковый склон протягивается с северо-запада на юго-восток примерно по линии от м. Наварин к о. Унимак. Вместе с зоной островного склона он занимает примерно 13% площади моря, имеет глубины от 200 до 3000 м и характеризуется большим удалением от берега и сложным рельефом дна. Углы наклона велики и часто меняются от 1 - 3 до нескольких десятков градусов. Зона материкового склона расчленена подводными долинами, многие из которых - типичные подводные каньоны, глубоко врезанные в дно моря и имеющие крутые и даже обрывистые склоны. Некоторые каньоны, особенно вблизи островов Прибылова, отличаются сложным строением.
Глубоководная зона (3000 - 4000 м) расположена в юго-западной и центральной частях моря и окаймлена относительно узкой полосой прибрежных отмелей. Ее площадь превышает 40% площади моря. Рельеф дна очень спокойный. Для него характерно почти полное отсутствие изолированных впадин. Несколько имеющихся впадин очень мало отличаются от глубины ложа, их склоны очень пологи, т.е. изоляция этих депрессий дна выражена слабо. На дне ложа отсутствуют хребты, перегораживающие море от берега до берега. Хребет Ширшова хотя и приближается к такому типу, но имеет сравнительно небольшую глубину на гребне (преимущественно 500 - 600 м с седловиной 2500 м) и подходит к цоколю островной дуги не вплотную: ограничивается перед узким, но глубоким (около 3500 м) желобом Ратманова. Наибольшие глубины Берингова моря (более 4000 м) находятся в Камчатском проливе и вблизи Алеутских островов, но они занимают незначительную площадь. Таким образом, рельеф дна обусловливает возможность водообмена между отдельными частями моря: без всяких ограничений в пределах глубин 2000 - 2500 м, с некоторым ограничением, определяемым сечением желоба Ратманова, до глубин 3500 м и с еще большим ограничением на более значительных глубинах. Однако слабая изоляция впадин не позволяет формироваться в них водам, существенно отличающимся по своим свойствам от основной массы.
Приливы Берингова моря в основном обусловливаются распространением приливной волны из Тихого океана. Арктический прилив не имеет почти никакого значения. Область слияния тихоокеанской и арктической приливных волн располагается к северу от о. Св. Лаврентия. В Беринговом море наблюдается несколько типов приливов. В Алеутских проливах приливы имеют неправильный суточный и неправильный полусуточный характер. У берегов Камчатки в течение промежуточных фаз Луны прилив переходит от полусуточного к суточному, при больших склонениях Луны становится почти чисто суточным, при малых - полусуточным. У Корякского берега, от залива Олюторского до устья р. Анадырь характер прилива неправильный полусуточный, а у берегов Чукотки он принимает характер правильного полусуточного. В районе бухты Провидения прилив вновь переходит в неправильный полусуточный. В восточной части моря, от м. Принца Уэльского до м. Ном приливы имеют как правильный, так и неправильный полусуточный характер. Южнее устья Юкона прилив становится неправильным полусуточным. Приливные течения в открытом море имеют вращающийся характер, скорость их равна 15 - 60 см/с. Вблизи берегов и в проливах приливные течения реверсивные и их скорость доходит до 1 - 2 м/с.
Средние и экстремальные уровни моря представлены в таблице В.42.
Таблица В.42
Средние и экстремальные уровни моря, см (по станциям)
Год, период | Средний годовой | Максимальный за год | Минимальный за год |
| | Уровень | Даты | Уровень | Даты |
станция Анадырь. Отметка нуля поста -5 м (абс.) |
1977 - 2004 | 466 | 691 | 09.11.1978 | 272 | 06.11.1994 |
Остров Беринга (Никольское). Отметка нуля поста 0 м (абс.) |
1996 - 1999 | 190 | 274 | 07.01.1998 | 87 | 06.12.1998 |
Приморский. Отметка нуля поста 0 м (абс.) |
1986 - 1994 | 150 | 266 | 30.12.1990 | -22 | 05.11.1990 |
станция 93004 Остров Ратманова. Отметка нуля поста 0 м (абс.) |
1977 - 1993 | 93 | 220 | 05.11.1978, 06.11.1978 | -10 | 12.02.1985 |
Типы берегов:
I. Берега, сформированные субаэральными и тектоническими процессами и мало измененные морем. А. Первично расчлененные берега: 1 - бухтовые, 2 - берега эрозионного расчленения (эстуариевые), 3 - риасовые, 4 - фиордовые, 5 - шхерные. Б. Первично ровные берега: 6 - складчатые ровные, 7 - сбросовые ровные. II. Берега, формирующиеся преимущественно под действием неволновых факторов. А. Потамогенные берега: 8 - дельтовые, 9 - берега аллювиальных равнин. Б. Берега с приливными осушками: 10 - илистые (типа ваттовых) и песчаные. В. Термоабразионные берега: 11 - термоабразионные в рыхлых четвертичных толщах, 12 - ледяные. Г. Выветривающиеся берега: 13 - денудационные. III. Берега, формирующиеся преимущественно волновыми процессами. А. Выравнивающиеся берега: 14 - абразионно-бухтовые, 15 - абразионно-аккумулятивные бухтовые. Б. Выровненные берега: 16 - выровненные абразионные, 17 - выровненные абразионно-аккумулятивные, 18 - выровненные аккумулятивные, 19 - выровненные аккумулятивные с современной морской террасой. В. Вторично расчлененные берега: 20 - абразионно-бухтовые, 21 - абразионно-аккумулятивные бухтовые, 22 - границы морей, 23 - изобаты, 24 - наибольшая глубина, м; 25 - подводные долины
Рисунок В.31 - Типы берегов и рельеф дна Берингова моря
В.12.3.2 Волновой режим
Циклоническая деятельность, развивающаяся над Беринговым морем, обусловливает возникновение очень сильных и порой продолжительных штормов. Особенно сильное волнение развивается в зимнее время - с ноября по май. В это время года северная часть моря покрывается льдом и потому наиболее сильное волнение наблюдается в южной части. Здесь в мае повторяемость волнения более 5 баллов достигает 20% - 30%, а в северной части моря оно отсутствует. В августе в связи с преобладанием юго-западных ветров волнение в зыбь свыше 5 баллов достигает наибольшего развития в восточной половине моря, где повторяемость такого волнения доходит до 20%. В осеннее время в юго-восточной части моря повторяемость сильного волнения возрастает до 40%.
При продолжительных ветрах средней силы и значительном разгоне волн их высота достигает 6,8 м, при ветре в 20 - 30 м/с и более - 10 м, а в отдельных случаях 12 и даже 14 м. Периоды штормовых волн составляют 9 - 11 с, а при умеренном волнении - 5 - 7 с. Помимо ветрового волнения в Беринговом море наблюдается зыбь, наибольшая повторяемость которой (40%) приходится на осень. В прибрежной зоне характер и параметры волн весьма различны в зависимости от физико-географических условий района.
Повторяемость высот волн по направлениям и градациям за год представлена в таблице В.43.
Таблица В.43
Повторяемость высот волн по направлениям и градациям за год
(станция Остров Ратманова, глубина 60 м)
Направление | С | СВ | В | ЮВ | Ю | ЮЗ | З | СЗ | Сумма |
Градации, м | ч.с. | % | ч.с. | % | ч.с. | % | ч.с. | % | ч.с. | % | ч.с. | % | ч.с. | % | ч.с. | % | ч.с. | % |
2013 г. - нет данных |
Значения за многолетний период (12.06.77 - 31.05.93) |
Отсут. волн. | | | | | | | | | | | | | | | | | 494 | 7,2 |
Неопр. напр. | | | | | | | | | | | | | | | | | 403 | 5,9 |
Менее 0,25 | 197 | 2,9 | 152 | 2,2 | 307 | 4,5 | 217 | 3,2 | 358 | 5,2 | 296 | 4,3 | 102 | 1,5 | 56 | 0,8 | 1685 | 24,5 |
0,3 - 0,5 | 652 | 9,5 | 189 | 2,8 | 177 | 2,6 | 246 | 3,6 | 301 | 4,4 | 343 | 5 | 187 | 2,7 | 203 | 3 | 2298 | 33,4 |
0,6 - 1,0 | 494 | 7,2 | 116 | 1,7 | 40 | 0,6 | 61 | 0,9 | 111 | 1,6 | 90 | 1,3 | 56 | 0,8 | 108 | 1,6 | 1076 | 15,7 |
1,1 - 1,5 | 288 | 4,2 | 82 | 1,2 | 20 | 0,3 | 7 | 0,1 | 27 | 0,4 | 35 | 0,5 | 6 | 0,1 | 23 | 0,3 | 488 | 7,1 |
1,6 - 2,0 | 162 | 2,4 | 32 | 0,5 | 5 | 0,1 | 0 | 0 | 1 | 0 | 3 | 0 | 0 | 0 | 5 | 0,1 | 208 | 3 |
2,1 - 2,5 | 64 | 0,9 | 21 | 0,3 | 1 | 0 | 0 | 0 | 1 | 0 | 1 | 0 | 1 | 0 | 3 | 0 | 92 | 1,3 |
2,6 - 3,0 | 46 | 0,7 | 4 | 0,1 | 3 | 0 | 0 | 0 | 0 | 0 | 1 | 0 | 1 | 0 | 3 | 0 | 58 | 0,8 |
3,1 - 3,5 | 28 | 0,4 | 4 | 0,1 | 3 | 0 | 0 | 0 | 0 | 0 | 0 | 0 | 0 | 0 | 0 | 0 | 35 | 0,5 |
3,6 - 4,0 | 15 | 0,2 | 5 | 0,1 | 1 | 0 | 0 | 0 | 0 | 0 | 0 | 0 | 0 | 0 | 0 | 0 | 21 | 0,3 |
4,1 - 4,5 | 5 | 0,1 | 1 | 0 | 0 | 0 | 0 | 0 | 0 | 0 | 0 | 0 | 0 | 0 | 0 | 0 | 6 | 0,1 |
4,6 - 5,0 | 4 | 0,1 | 1 | 0 | 0 | 0 | 0 | 0 | 0 | 0 | 0 | 0 | 0 | 0 | 0 | 0 | 5 | 0,1 |
5,1 - 5,5 | 1 | 0 | 0 | 0 | 0 | 0 | 0 | 0 | 0 | 0 | 0 | 0 | 0 | 0 | 0 | 0 | 1 | 0 |
более 5,5 | 1 | 0 | 0 | 0 | 0 | 0 | 0 | 0 | 0 | 0 | 0 | 0 | 0 | 0 | 0 | 0 | 1 | 0 |
Сумма | 1957 | 28,6 | 607 | 9 | 557 | 8,1 | 531 | 7,8 | 799 | 11,6 | 769 | 11,1 | 353 | 5,1 | 401 | 5,8 | 6871 | 99,9 |
Ср. высота | 0,9 | | 0,8 | | 0,4 | | 0,4 | | 0,4 | | 0,4 | | 0,4 | | 0,6 | | | |
Макс. высота | 5,6 | | 5 | | 3,7 | | 1,5 | | 2,2 | | 2,9 | | 2,6 | | 2,7 | | | |
В.12.3.3 Ледовый режим
По ледовым условиям северная и южная части моря заметно отличаются друг от друга. Приближенной границей между ними служит крайнее южное положение кромки льда в апреле. В этом месяце она идет от Бристольского залива через острова Прибылова и дальше на запад по 57 - 58° с.ш., а затем опускается на юг, к Командорским островам и проходит вдоль побережья до южной оконечности Камчатки. Южная часть моря не замерзает круглый год. Теплые тихоокеанские воды, поступающие в Берингово море через алеутские проливы, отжимают плавучие льды к северу и кромка льдов в центральной части моря всегда выгнута к северу. Процесс льдообразования в Беринговом море раньше всего начинается в его северо-западной части, где льды появляются в октябре, после чего постепенно движутся к югу. В Беринговом проливе лед появляется в сентябре; зимой пролив заполнен сплошным битым льдом, дрейфующим на север.
В заливах Анадырском и Нортон лед можно встретить уже в сентябре. В начале ноября лед появляется в районе м. Наварин, а в середине ноября он распространяется до м. Олюторский. У полуострова Камчатского и Командорских островов плавучий лед обычно появляется в декабре и лишь как исключение в ноябре. В течение зимы вся северная часть моря, примерно до 60° с.ш., заполняется тяжелыми, непроходимыми льдами, толщина которых доходит до 6 м. К югу от параллели островов Прибылова встречаются битые льды и отдельные ледяные поля.
Однако даже во время наибольшего развития льдообразования открытая часть Берингова моря никогда не покрывается льдом. В открытом море, под влиянием ветров и течений лед находится в постоянном движении, нередко происходят сильные сжатия. Это приводит к возникновению торосов, максимальная высота которых может быть порядка 20 м. Периодические сжатия и разрежения льдов вызывают приливы, при этом образуются нагромождения льдов, многочисленные полыньи и разводья.
Неподвижный лед, который образуется зимой в закрытых бухтах и заливах, во время штормовых ветров может быть взломан и вынесен в море. В восточной части моря, под влиянием Северного Тихоокеанского течения лед выносится на север, в Чукотское море. В апреле граница плавучего льда достигает наибольшего распространения к югу. С мая начинается процесс постепенного разрушения льда и отступление его кромки на север. В течение июля и августа море бывает совершенно чисто ото льда и в эти месяцы лед можно встретить только в Беринговом проливе. Разрушению ледяного покрова и очищению моря ото льда летом способствуют сильные ветры.
В бухтах и заливах, где оказывается распресняющее влияние речного стока, условия для образования льда более благоприятны, чем в открытом море. Большое влияние на расположение льдов оказывают ветры. Нагонные ветры нередко забивают отдельные заливы, бухты и проливы тяжелым льдом, принесенным из открытого моря. Сгонные ветры наоборот уносят лед в море, временами очищая весь прибрежный район.
Сведения об основных элементах ледового режима приведены в таблицах В.44,
В.45.
Таблица В.44
Сведения об основных элементах ледового режима
(для многолетних данных указан день
и месяц) - Осенне-зимний период
Осенне-зимний период |
Ледообразование | Полное замерзание |
Год, период | Дата устойчивого перехода температуры воздуха через 0 осенью | Дата устойчивого перехода температуры воды через 0 осенью | Дата первого ледообразования | Дата устойчивого ледообразования | Количество старого льда при ледообразовании (первом/устойчивом), баллы | Дата первого образования заберега или припая | Дата начала образования устойчивого припая | Дата первого появления приносного льда | Величина устойчивой ширины припая, км | Наибольшая ширина припая, км | Дата первого полного замерзания | Дата окончательного замерзания | Наибольшая измеренная толщина льда, см | Дата наблюдения наибольшей толщины льда |
1 | 2 | 3 | 4 | 5 | 6 | 7 | 8 | 9 | 10 | 11 | 12 | 13 | 14 | 15 |
Гидрометеорологическая станция Остров Ратманова |
1977 - 1992 | 03.10 | 03.11 | 01.11 | 12.11 | 0/0 | 01.11 | 12.11 | 01.11 | 0 | 31,4 | 26.11 | 26.11 | 87 | 31.12 |
Гидрометеорологическая станция Эгвекинот |
1977 - 2012 | 22.09 | 10.10 | 01.07 | 01.07 | 0/0 | 01.07 | 01.07 | 01.07 | 0,1 | 2,5 | 30.10 | 30.10 | 93 | 31.12 |
Таблица В.45
Сведения об основных элементах ледового режима
(для многолетних данных указан день
и месяц) - Весенне-летний период
Весенне-летний период |
Таяние и разрушение | Очищение |
Год, период | Дата устойчивого перехода температуры воздуха через 0 весной | Дата устойчивого перехода температуры воды через 0 весной | Дата появления снежниц | Дата появления проталин | Дата появления водяного заберега | Дата начала весеннего взлома или первой подвижки припая | Дата окончательного разрушения припая | Дата первого полного очищения ото льда | Дата полного окончательного очищения ото льда | Число дней со льдом | Число дней без льда | Примечание |
1 | 2 | 3 | 4 | 5 | 6 | 7 | 8 | 9 | 10 | 11 | 12 | 13 |
Гидрометеорологическая станция Остров Ратманова |
1977 - 1993 | | 11.06 | 26.04 | 26.04 | 26.04 | 26.04 | 01.06 | 04.01 | 04.01 | | | |
Гидрометеорологическая станция Эгвекинот |
2012 - 2013 | | 15.06.2013 | 22.05.2013 | 22.05.2013 | 22.05.2013 | 22.05.2013 | | 30.06.2013 | 30.06.2013 | 112 | 253 | |
1977 - 2013 | 14.04 | 11.06 | 05.05 | 05.05 | 05.05 | 05.05 | | 09.01 | 09.01 | | | |
В.13 Охотское море
В.13.1 Источники данных
Результаты измерений доступны благодаря многочисленным метеорологическим станциям, расположенным по всему региону. Дополнительную информацию о специалистах и организациях соответствующей страны можно получить в национальных центрах обработки океанографических данных. Данные могут также предоставляться коммерческими организациями. В дополнение к результатам измерений выполнен целый ряд отраслевых исследований, связанных с измерением и обработкой информации, а также прогнозированием ("ВНИИ ГМИ-МЦД"
[12], "Росгидромет"
[13] и "ЕСИМО"
[14], Справочные данные по режиму ветра и волнения (по морям), изданные РМРС
[15] -
[18], Справочники "Гидрометеорология и гидрохимия морей"
[19] -
[34]). Благодаря этим исследованиям получены обширные наборы данных для заинтересованных компаний.
Информацию по отсутствующим параметрам, таким как ветровые параметры, параметры течения, температуры и др. можно найти в следующих источниках:
- ФГБУ "ВНИИ ГМИ-МЦД" Федеральное государственное бюджетное учреждение "Всероссийский научно-исследовательский институт гидрометеорологической информации - Мировой центр данных"
[12];
- Справочные данные по режиму ветра и волнения "Российский морской регистр судоходства"
[15] -
[18];
- Справочник "Гидрометеорология и гидрохимия морей"
[19] -
[34].
В.13.2 Описание региона
Охотское море находится между Японским и Беринговым морями. Оно сильно вдается в сушу материка. От вод Тихого океана оно отграничено дугой Курильских островов. Границы море имеет преимущественно естественные и лишь с водами Японского моря разделено условными границами. Охотское море - довольно крупное и глубоководное море нашей страны. Его площадь составляет около 1603 тыс. км2, объем вод - 1318 тыс. км3. Максимальная глубина этого моря составляет 3916 м. По особенностям своего географического расположения это море является окраинным морем смешанного материково-окраинного типа. В водах Охотского моря мало островов, среди которых наиболее большой остров Сахалин. Курильская гряда состоит из 30 различных по величине островов. Их месторасположение является сейсмически активным. Здесь находятся свыше 30 действующих вулканов и 70 потухших. Зоны сейсмической активности могут располагаться как на островах, так и под водой. Если эпицентр землетрясения находится под водой, то поднимаются огромные волны цунами.
Береговая линия Охотского моря при значительной протяженности достаточно ровная. Вдоль береговой черты имеется много крупных заливов: Анива, Терпения, Сахалинский, Академии, Тугурский, Аян и Шелихова. Также имеется несколько губ: Тауйская, Гижигинская и Пенжинская. Охотское море связано с Тихим океаном Курильскими проливами. Их общая ширина составляет примерно 500 км. Достаточно велика глубина этих проливов. Но в связи с тем, что само Охотское море имеет большие глубины, гряда Курильских островов представляет собой своеобразное преграждение между морскими и океаническими водами. Охотское море соединяется с Японским морем проливами Невельского и Лаперуза. Данные проливы небольшие и мелководные. Таким образом, воды Японского моря ограниченно связаны с водами Охотского моря. Охотское море преимущественно омывает высокие берега с крутыми склонами. В некоторых частях, на севере и северо-западе, вблизи моря расположены скалистые уступы. В районе Сахалинского залива имеется невысокий берег. Берега Курильских островов практически везде имеют резкие обрывы. Северо-восточная часть береговой линии острова Хоккайдо и юго-западная часть Камчатки имеют низменный рельеф.
Схемы расположения морских гидрометстанций и постов Охотского моря представлены на рисунке (см. рисунок В.32).
Рисунок В.32 - Схемы расположения морских гидрометстанций
и постов Охотского моря
В.13.3 Гидрометеорологические параметры региона
В.13.3.1 Общие данные
Средняя глубина моря - 1780 м, максимальная глубина моря - 3916 м. Западная часть моря расположена над пологим продолжением континента и имеет малую глубину. В центре моря расположены впадины Дерюгина (на юге) и впадина ТИНРО. В восточной части расположена Курильская котловина, в которой глубина максимальна.
Дно Охотского моря и прилегающей к Курильским островам части Тихого океана в геоморфологическом и геологическом отношениях подразделяются на подводную окраину материка Евразии, переходную зону, представленную здесь зоной островных дуг, и собственно ложе Тихого океана. В свою очередь, подводная окраина материка подразделяется на шельф и материковый склон. Вся северная и центральная части дна Охотского моря представляют собой шельф, но в отличие от обычных шельфов глубины здесь достигают значительных отметок - до 1640 м.
В пределах шельфа выделяются прибрежная отмель и внешний шельф. Прибрежная отмель (до глубины порядка 100 - 200 м) представляет собой выровненную поверхность абразионно-аккумулятивного происхождения. В пределах внешнего шельфа рельеф дна довольно сложен. Здесь выделяется ряд крупных возвышенностей (например, возвышенность Академии наук СССР, возвышенность Института океанологии) и впадин (впадина ТИНРО, впадина Дерюгина и др.). Это бывшие материковые элементы рельефа, которые и сейчас еще сохранили реликты субаэральных форм - затопленные речные долины, древние береговые линии. Поверхности возвышенностей также выровнены абразией. На карте основная часть шельфа показана как трансгрессивная реликтовая материковая равнина. Во впадинах рельеф дна более выровненный за счет накопления морских осадков. Преобладающий тип рельефа здесь - плоские и полого-наклонные аккумулятивные равнины. Кое-где под осадками погребены также уступы, очевидно, тектонического происхождения; на месте таких погребенных уступов сформировались наклонные аккумулятивные равнины.
Главными факторами, преобразующими в настоящее время этот затопленный субаэральный рельеф, являются волны, течения и осадконакопление. Во впадине ТИНРО, где интенсивно воздействуют на рельеф дна приливные течения, последними создан своеобразный грядовый рельеф.
К южной глубокой впадине Охотского моря, являющейся уже элементом переходной зоны, подводная окраина материка спускается в виде относительно крутого уступа - материкового склона. Последний хорошо выражен у западной и северо-западной окраины впадины, к северо-востоку же он выполаживается и представляет собой скорее не уступ, а наклонную равнину, сложенную мощным слоем осадков.
Как шельф, так и материковый склон характеризуются материковым типом земной коры. Главными экзогенными факторами, действующими на материковом склоне и способствующими интенсивному накоплению осадков и выполаживанию подножия склона, являются гравитационные факторы - суспензионные потоки и подводные оползни. Здесь резко выражены линейные формы рельефа - подводные каньоны, которые, вероятно, созданы тектоническими процессами (сбросовая тектоника). Суспензионные потоки нередко используют каньоны в качестве трасс стока, и у устьев каньонов образуются конусы выноса.
Земная кора подводной окраины материка, имеющая толщину в несколько десятков километров, состоит из осадочного слоя, слоев кислых и основных магматических пород, и этим она существенно отличается от двух крупных элементов морского дна - переходной зоны и ложа океана.
Под термином "переходная зона" в настоящее время понимают область морского дна и отдельные массивы суши (обычно островной), расположенные между материковыми и океаническими блоками земной коры и характеризующиеся интенсивными проявлениями современных тектонических процессов - вулканизмом и сильными землетрясениями. В связи с этими особенностями переходная зона отличается резким расчленением и контрастностью рельефа. В районе Охотского моря и Курильского архипелага переходная зона состоит из следующих элементов: глубоководной морской котловины, островной дуги и глубоководного желоба. Вместе эти элементы составляют современную геосинклинальную область, включающую также Камчатку с ее вулканическими хребтами.
Глубоководная котловина занимает южную часть Охотского моря. Геофизические исследования показали, что земная кора здесь имеет строение, сходное с океанической - она не имеет слоя кислых пород; мощная толща осадков залегает на основном (базальтовом) слое коры. Благодаря накоплению значительной толщи морских осадков, дно котловины выровнено и представляет собой плоскую абиссальную (глубоководную) аккумулятивную равнину.
Рельеф островной дуги, напротив, отличается большой сложностью. Как и большинство островных дуг, Курильская дуга является двойной. Главное горное сооружение - это подводный хребет собственно Курильских островов. Последние представляют собой выступающие над уровнем моря вершины вулканического хребта, некоторые из них достигают высоты 1500 - 1800 м (вулкан Алаид - 2339 м). Параллельно этому хребту со стороны океана протягивается так называемая внешняя дуга - подводный хребет Витязя; в южной его части отдельные вершины выдаются над уровнем моря и образуют острова Малой Курильской гряды. В отличие от Курильских островов, поднятие хребта Витязя невулканическое. Вершинная поверхность его выровнена действием течений, а склоны местами расчленены уступами и подводными каньонами. Продольная депрессия, разделяющая оба хребта, выстлана толщей морских осадков и представляет полого-наклонную аккумулятивную равнину. Кроме многочисленных подводных и надводных вулканов, а также тектонических каньонов, характерной чертой островной дуги являются расчленяющие ее глубокие проливы, представляющие собой морфологическое выражение мощных поперечных разломов. В этих проливах (Крузенштерна, Буссоль и другие) отмечены интенсивные течения, которые способны производить значительную эрозионную работу.
Вулканические продукты, накапливаясь у подножий склонов хребтов, образуют наклонные равнины - аккумулятивные шлейфы. Эти образования характерны и для других вулканических хребтов переходной зоны. С внешней стороны островной дуги располагается аккумулятивная равнина, приуроченная к довольно узкой ступени дна, отделяющей внешнюю дугу от третьего главного элемента переходной зоны - глубоководного желоба (впадины). И описанная ступень, и сам глубоководный желоб в географическом смысле является уже частью дна Тихого океана.
Курило-Камчатская глубоководная впадина представляет собой узкую и глубокую, действительно желобообразную депрессию. Крутые ее склоны иссечены подводными каньонами, а дно относительно плоское за счет накапливающейся здесь толщи осадков (плоская абиссальная равнина глубоководного желоба). Это одна из глубочайших депрессий на земной поверхности - максимальная ее глубина более 10 км. Дно желоба интенсивно и неравномерно прогибается. К нему приурочено большое число эпицентров землетрясений.
Со стороны океана к глубоководному желобу примыкает вытянутое вдоль него сводовое поднятие земной коры - краевой вал Зенкевича. Такие своды или валы обычно сопровождают глубоководные желоба с их внешней стороны. Вал Зенкевича, как и дно прилегающей к нему Северо-Западной котловины Тихого океана, сложен океаническими осадками, залегающими непосредственно на базальтовом слое. Здесь не наблюдается землетрясений, нет проявлений современного вулканизма. Краевой вал Зенкевича и дно Северо-Западной котловины в геофизическом и геоморфологическом смысле являются элементами ложа Тихого океана.
Приливы Охотского моря имеют весьма сложный характер. Приливная волна входит с юга и юго-востока из Тихого океана. Полусуточная волна продвигается к северу, а на параллели 50° разделяется на две ветви: западная поворачивает на северо-запад, образуя севернее м. Терпения и в северной части Сахалинского залива амфидромические области, восточная продвигается по направлению к заливу Шелихова, при входе в который возникает еще одна амфидромия. Суточная волна также продвигается на север, но на широте северной оконечности Сахалина делится на две части: одна входит в залив Шелихова, другая доходит до северо-западного берега.
В Охотском море наблюдается два основных типа приливов: суточные и смешанные. Наибольшее распространение имеют суточные приливы. Они наблюдаются в Амурском лимане, Сахалинском заливе, на Курильских островах, у западного берега Камчатки и в Пенжинском заливе. Смешанные приливы наблюдаются на северном и северо-западном побережьях моря и в районе Шантарских островов.
Наибольшая величина приливов отмечена в Пенжинской губе у м. Астрономического (до 13 м). Это наибольшие приливы для всего побережья РФ. На втором месте район Шантарских островов, где величина прилива превышает 7 м. Весьма значительны приливы в Сахалинском заливе и в Курильских проливах. В северной части моря величина приливов доходит до 5 м. Наименьшие приливы отмечались у восточного берега Сахалина, в районе пролива Лаперуза. В южной части моря величина приливов 0,8 - 2,5 м. В общем приливные колебания уровня в Охотском море весьма значительны и оказывают существенное влияние на его гидрологический режим, особенно в прибрежной зоне.
Кроме приливных здесь хорошо развиты и сгонно-нагонные колебания уровня. Они возникают главным образом при прохождении глубоких циклонов над морем. Нагонные повышения уровня достигают 1,5 - 2 м. Наибольшие нагоны отмечены на побережье Камчатки и в заливе Терпения.
Скорость течений достигает порядка 122 см/с.
Типы берегов:
I. Берега, сформированные субаэральными и тектоническими процессами и мало измененные морем. А. Первично расчлененные берега: 1 - бухтовые, 2 - берега эрозионного расчленения (эстуариевые), 3 - риасовые, 4 - фиордовые, 5 - шхерные. Б. Первично ровные берега: 6 - складчатые ровные, 7 - сбросовые ровные. II. Берега, формирующиеся преимущественно под действием неволновых факторов. А. Потамогенные берега: 8 - дельтовые, 9 - берега аллювиальных равнин. Б. Берега с приливными осушками: 10 - илистые (типа ваттовых) и песчаные. В. Термоабразионные берега: 11 - термоабразионные в рыхлых четвертичных толщах, 12 - ледяные. Г. Выветривающиеся берега: 13 - денудационные. III. Берега, формирующиеся преимущественно волновыми процессами. А. Выравнивающиеся берега: 14 - абразионно-бухтовые, 15 - абразионно-аккумулятивные бухтовые. Б. Выровненные берега: 16 - выровненные абразионные, 17 - выровненные абразионно-аккумулятивные, 18 - выровненные аккумулятивные, 19 - выровненные аккумулятивные с современной морской террасой. В. Вторично расчлененные берега: 20 - абразионно-бухтовые, 21 - абразионно-аккумулятивные бухтовые, 22 - границы морей, 23 - изобаты, 24 - наибольшая глубина, м; 25 - подводные долины
Рисунок В.33 - Типы берегов и рельеф дна моря
Средние и экстремальные уровни моря представлены в таблице В.46.
Таблица В.46
Средние и экстремальные уровни моря, см (по станциям)
Год, период | Средний годовой | Максимальный за год | Минимальный за год |
| | Уровень | Даты | Уровень | Даты |
станция Корсаков. Отметка нуля поста 0 м (абс.) |
1977 - 1990 | 120 | 229 | 14.12.1981 | 40 | 03.06.1989 |
Охотск. Отметка нуля поста -5 м (абс.) |
1977 - 1994 | 455 | 684 | 24.01.1988 | 219 | 22.12.1991 |
Курильск. Отметка нуля поста 0 м (абс.) |
1977 - 2009 | 249 | 345 | 15.12.1993 | 165 | 24.11.1977, 16.02.1979 |
Озерпах. Отметка нуля поста 0 м (абс.) |
2013 | 21 | 114 | 20.05.2013, 03.10.2013 | -31 | 28.07.2013, 29.07.2013 |
1978 - 2013 | 15 | 168 | 28.05.1980 | -70 | 28.10.2011 |
В.13.3.2 Волновой режим
Значительные размеры и большие глубины Охотского моря, частые и сильные ветры над ним обусловливают развитие здесь крупных волн. Особенно бурным море бывает осенью, а в безледных районах - и зимой. На эти сезоны приходится 55 - 70% штормового волнения, в том числе с высотами волн 4 - 6 м, а наибольшие высоты волн достигают 10 - 11 м. Самые неспокойные - южный и юго-восточный районы моря, где средняя повторяемость штормового волнения равна 35% - 50%, а в северо-западной части она уменьшается до 25% - 30%. При сильном волнении в проливах между Курильскими островами и между Шантарскими островами образуется толчея.
Повторяемость высот волн по направлениям и градациям за год представлена в таблице В.47.
Таблица В.47
Повторяемость высот волн по направлениям и градациям за год
(станция Корсаков, глубина 60 м)
Направление | С | СВ | В | ЮВ | Ю | ЮЗ | З | СЗ | Сумма |
Градации, м | ч.с. | % | ч.с. | % | ч.с. | % | ч.с. | % | ч.с. | % | ч.с. | % | ч.с. | % | ч.с. | % | ч.с. | % |
Значения за текущий 2013-й год (01.01.13 - 31.12.13) |
Отсут. волн. | | | | | | | | | | | | | | | | | 6 | 0,8 |
Менее 0,25 | 21 | 2,7 | 99 | 12,6 | 65 | 8,3 | 33 | 4,2 | 36 | 4,6 | 29 | 3,7 | 20 | 2,5 | 21 | 2,7 | 324 | 41,3 |
0,3 - 0,5 | 29 | 3,7 | 55 | 7 | 12 | 1,5 | 25 | 3,2 | 73 | 9,3 | 75 | 9,6 | 21 | 2,7 | 31 | 3,9 | 321 | 40,9 |
0,6 - 1,0 | 13 | 1,7 | 3 | 0,4 | 0 | 0 | 1 | 0,1 | 7 | 0,9 | 35 | 4,5 | 30 | 3,8 | 30 | 3,8 | 119 | 15,2 |
1,1 - 1,5 | 0 | 0 | 0 | 0 | 0 | 0 | 0 | 0 | 0 | 0 | 3 | 0,4 | 4 | 0,5 | 4 | 0,5 | 11 | 1,4 |
1,6 - 2,0 | 0 | 0 | 0 | 0 | 0 | 0 | 0 | 0 | 0 | 0 | 2 | 0,3 | 1 | 0,1 | 1 | 0,1 | 4 | 0,5 |
Сумма | 63 | 8,1 | 157 | 20 | 77 | 9,8 | 59 | 7,5 | 116 | 14,8 | 144 | 18,5 | 76 | 9,6 | 87 | 11 | 785 | 100,1 |
Ср. высота | 0,4 | | 0,3 | | 0,2 | | 0,3 | | 0,4 | | 0,5 | | 0,6 | | 0,5 | | | |
Макс. высота | 0,9 | | 0,8 | | 0,5 | | 0,6 | | 0,8 | | 2 | | 2 | | 2 | | | |
Значения за многолетний период (14.03.77 - 31.12.13) |
Отсут. волн. | | | | | | | | | | | | | | | | | 703 | 2,5 |
Неопр. напр. | | | | | | | | | | | | | | | | | 669 | 2,4 |
Менее 0,25 | 653 | 2,4 | 1184 | 4,3 | 1583 | 5,7 | 860 | 3,1 | 1229 | 4,4 | 753 | 2,7 | 465 | 1,7 | 311 | 1,1 | 7038 | 25,4 |
0,3 - 0,5 | 1498 | 5,4 | 2135 | 7,7 | 1401 | 5,1 | 1293 | 4,7 | 3509 | 12,7 | 2389 | 8,6 | 993 | 3,6 | 1059 | 3,8 | 14277 | 51,6 |
0,6 - 1,0 | 506 | 1,8 | 108 | 0,4 | 30 | 0,1 | 66 | 0,2 | 454 | 1,6 | 1070 | 3,9 | 839 | 3 | 1035 | 3,7 | 4108 | 14,8 |
1,1 - 1,5 | 82 | 0,3 | 3 | 0 | 0 | 0 | 5 | 0 | 44 | 0,2 | 129 | 0,5 | 230 | 0,8 | 282 | 1 | 775 | 2,8 |
1,6 - 2,0 | 5 | 0 | 1 | 0 | 0 | 0 | 0 | 0 | 2 | 0 | 23 | 0,1 | 32 | 0,1 | 42 | 0,2 | 105 | 0,4 |
2,1 - 2,5 | 0 | 0 | 0 | 0 | 0 | 0 | 0 | 0 | 0 | 0 | 4 | 0 | 0 | 0 | 0 | 0 | 4 | 0 |
2,6 - 3,0 | 0 | 0 | 0 | 0 | 0 | 0 | 0 | 0 | 0 | 0 | 1 | 0 | 0 | 0 | 0 | 0 | 1 | 0 |
Сумма | 2744 | 9,9 | 3431 | 12,4 | 3014 | 10,9 | 2224 | 8 | 5238 | 18,9 | 4369 | 15,8 | 2559 | 9,2 | 2729 | 9,8 | 27680 | 99,9 |
Ср. высота | 0,4 | | 0,3 | | 0,3 | | 0,3 | | 0,4 | | 0,5 | | 0,6 | | 0,6 | | | |
Макс. высота | 2 | | 1,7 | | 1 | | 1,5 | | 2 | | 3 | | 2 | | 2 | | | |
В.13.3.3 Ледовый режим
Суровые и продолжительные зимы с сильными северо-западными ветрами способствуют развитию интенсивного льдообразования в Охотском море. Льды Охотского моря исключительно местного образования. Здесь встречаются как неподвижные льды (припай), так и плавучие, представляющие собой основную форму льдов моря. В том или ином количестве льды встречаются во всех районах моря, но летом все море очищается ото льдов. Исключение составляет район Шантарских островов, где льды могут сохраняться и летом.
Льдообразование начинается в ноябре в заливах и губах северной части моря, в прибрежной части о. Сахалин и Камчатки. Затем лед появляется в открытой части моря. В январе и феврале льды занимают всю северную и среднюю часть моря. В обычные годы южная граница сравнительно устойчивого ледяного покрова проходит, изгибаясь к северу, от пролива Лаперуза до м. Лопатка. Крайняя южная часть моря никогда не замерзает. Однако благодаря ветрам в нее выносятся с севера значительные массы льда, часто скапливающиеся у Курильских островов.
С апреля по июнь происходит разрушение и постепенное исчезновение ледяного покрова. В среднем лед в море исчезает в конце мая - начале июня. Северо-западная часть моря, благодаря течениям и конфигурации берегов, более всего забивается льдом, сохраняющимся там до июля. Следовательно, ледяной покров в Охотском море сохраняется на протяжении 6 - 7 месяцев. Плавучим льдом покрыто более трех четвертей поверхности моря. Сплоченные льды северной части моря представляют серьезное препятствие для плавания даже ледоколов. Общая продолжительность ледового периода в северной части моря достигает 280 дней в году.
Южное побережье Камчатки и Курильские острова относятся к районам с малой ледовитостью, здесь лед в среднем держится не более трех месяцев в году. Толщина нарастающих в течение зимы льдов достигает 0,8 - 1,0 м. Сильные штормы, приливные течения взламывают ледяной покров во многих районах моря, образуя торосы и большие разводья. В открытой части моря никогда не наблюдается сплошного неподвижного льда, обычно здесь лед дрейфующий в виде обширных полей с многочисленными разводьями. Часть льдов из Охотского моря выносится в океан, где почти сразу же разрушается и тает. В суровые зимы плавучие льды северо-западными ветрами прижимаются к Курильским островам и забивают некоторые проливы. Таким образом, в зимнее время в Охотском море нет такого места, где бы полностью исключалась встреча со льдом.
Сведения об основных элементах ледового режима приведены в таблицах В.48,
В.49.
Таблица В.48
Сведения об основных элементах ледового режима
(для многолетних данных указан день
и месяц) - Осенне-зимний период
Осенне-зимний период |
Ледообразование | Полное замерзание |
Год, период | Дата устойчивого перехода температуры воздуха через 0 осенью | Дата устойчивого перехода температуры воды через 0 осенью | Дата первого ледообразования | Дата устойчивого ледообразования | Количество старого льда при ледообразовании (первом/устойчивом), баллы | Дата первого образования заберега или припая | Дата начала образования устойчивого припая | Дата первого появления приносного льда | Величина устойчивой ширины припая, км | Наибольшая ширина припая, км | Дата первого полного замерзания | Дата окончательного замерзания | Наибольшая измеренная толщина льда, см | Дата наблюдения наибольшей толщины льда |
1 | 2 | 3 | 4 | 5 | 6 | 7 | 8 | 9 | 10 | 11 | 12 | 13 | 14 | 15 |
Гидрометеорологическая станция 94034 Остров Байдуков |
1977- 2012 | 23.10 | 02.11 | 29.10 | 01.10 | 0/0 | 29.10 | 01.10 | 29.10 | 0 | 13,1 | 24.11 | 24.11 | 104 | 31.12 |
Гидрометеорологическая станция Мыс Лазарева |
1977 - 2012 | 29.10 | 11.11 | 05.11 | 01.11 | 0/0 | 05.11 | 01.11 | 05.11 | 0 | 9 | 16.12 | 16.12 | 133 | 19.11 |
Таблица В.49
Сведения об основных элементах ледового режима
(для многолетних данных указан день
и месяц) - Весенне-летний период
Весенне-летний период |
Таяние и разрушение | Очищение |
Год, период | Дата устойчивого перехода температуры воздуха через 0 весной | Дата устойчивого перехода температуры воды через 0 весной | Дата появления снежниц | Дата появления проталин | Дата появления водяного заберега | Дата начала весеннего взлома или первой подвижки припая | Дата окончательного разрушения припая | Дата первого полного очищения ото льда | Дата полного окончательного очищения ото льда | Число дней со льдом | Число дней без льда | Примечание |
1 | 2 | 3 | 4 | 5 | 6 | 7 | 8 | 9 | 10 | 11 | 12 | 13 |
Гидрометеорологическая станция 94034 Остров Байдуков |
1977 - 2013 | 21.04 | 07.05 | 01.05 | 01.05 | 01.05 | 01.05 | | 04.01 | 04.01 | | | |
Гидрометеорологическая станция Мыс Лазарева |
1977 - 2013 | 30.03 | 03.05 | 15.04 | 15.04 | 15.04 | 15.04 | | 04.01 | 04.01 | | | |
В.14 Японское море
В.14.1 Источники данных
Результаты измерений доступны благодаря многочисленным метеорологическим станциям, расположенным по всему региону. Дополнительную информацию о специалистах и организациях соответствующей страны можно получить в национальных центрах обработки океанографических данных. Данные могут также предоставляться коммерческими организациями. В дополнение к результатам измерений выполнен целый ряд отраслевых исследований, связанных с измерением и обработкой информации, а также прогнозированием ("ВНИИГМИ-МЦД"
[12], "Росгидромет"
[13] и "ЕСИМО"
[14], Справочные данные по режиму ветра и волнения (по морям), изданные РМРС
[15] -
[18], Справочники "Гидрометеорология и гидрохимия морей"
[19] -
[34]). Благодаря этим исследованиям получены обширные наборы данных для заинтересованных компаний.
Информацию по отсутствующим параметрам, таким как ветровые параметры, параметры течения, температуры и др. можно найти в следующих источниках:
- ФГБУ "ВНИИГМИ-МЦД" Федеральное государственное бюджетное учреждение "Всероссийский научно-исследовательский институт гидрометеорологической информации - Мировой центр данных"
[12];
- Справочные данные по режиму ветра и волнения "Российский морской регистр судоходства"
[15] -
[18];
- Справочник "Гидрометеорология и гидрохимия морей"
[19] -
[34].
В.14.2 Описание региона
Крайнее южное из советских дальневосточных морей - Японское - лежит между материком Азии и полуостровом Корея, островами Сахалин и Японскими, отделяющими его от других тихоокеанских морей и самого океана. В Японском море преобладают естественные рубежи, но в отдельных районах оно ограничено условными линиями. На севере граница между Японским и Охотским морями проходит по линии м. Сущева - м. Тык на Сахалине. В проливе Лаперуза границей служит линия м. Крильон - м. Соя. В Сангарском проливе граница идет по линии м. Сирия - м. Эсан, а в Корейском проливе по линии м. Номо (о. Кюсю) - м. Фукаэ (о. Гото) - о. Чечжудо - Корейский полуостров. В этих границах море заключено между параллелями 51°45' и 34°26' с.ш. и меридианами 127°20' и 142°15' в.д. Для конфигурации Японского моря характерна большая протяженность по меридиану, расширение в центральной и южной частях и суженность на севере.
Крупных островов в Японском море нет. Из мелких наиболее значительны острова: Монерон, Ребун, Рисири, Окусири, Осима, Садо, Окиосима, Уллындо, Аскольд, Русский, Путятин. В Корейском проливе расположены острова Цусима. Все острова, кроме Уллындо, находятся вблизи берегов. Большинство островов находится в восточной части моря.
Схемы расположения морских гидрометстанций и постов Японского моря представлены на рисунке (см. рисунок В.34).
Рисунок В.34 - Схемы расположения морских гидрометстанций
и постов Японского моря
В.14.3 Гидрометеорологические параметры региона
В.14.3.1 Общие данные
Уступая по размерам Берингову и Охотскому, Японское море относится к наиболее крупным и глубоким морям нашей страны. Его площадь равна 1062 тыс. км2, объем 1630 тыс. км3, средняя глубина 1535 м, наибольшая глубина 3699 м. Географическое положение и преимущественно большие глубины указывают на принадлежность Японского моря к окраинным океаническим морям.
Береговая линия Японского моря сравнительно слабо изрезана и не образует заливов и бухт, глубоко вдающихся в сушу, а также мысов, далеко выступающих в море. Наиболее просто по очертаниям побережье Сахалина, более извилисты берега Приморья и Японских островов. К крупным заливам материкового берега относятся: Советская Гавань, Владимира, Ольги, Петра Великого, Посьета, Восточно-Корейский; на о. Хоккайдо - Исикари, на о. Хонсю - Тояма и Вакаса. Самые заметные мысы - Лазарева, Песчаный, Поворотный, Громова, Погиби, Тык, Корсакова, Крильон, Соя, Носяппу, Таппи, Нюда и некоторые другие.
Береговую черту прорезают проливы, которые соединяют Японское море с Тихим океаном, Охотским и Восточно-Китайским морями. Проливы различны по длине, ширине и главное - глубине, что определяет характер водообмена Японского моря с соседними бассейнами. Через Сангарский пролив Японское море сообщается непосредственно с Тихим океаном. Глубина пролива в западной части - около 130 м, в восточной, где находятся его максимальные глубины - около 400 м. Пролив Невельского соединяет Японское и Охотское моря. Корейский пролив, разделенный островами Кочжедо, Цусима и Ики на западную (проход Броутона с наибольшей глубиной примерно 12,6 м) и восточную (проход Крузенштерна с наибольшей глубиной около 110 м), связывает Японское и Восточно-Китайское море. Пролив Симоносеки с глубинами порядка 2 - 3 м соединяет Японское и Внутреннее Японское моря. Столь малые глубины проливов при больших глубинах самого моря создают условия его морфометрической изоляции от Тихого океана и сопредельных морей, что представляет собой важнейшую природную особенность Японского моря.
| | ИС МЕГАНОРМ: примечание. В официальном тексте документа, видимо, допущена опечатка: рисунок 42 отсутствует. | |
Разнообразное по строению и внешним формам побережье Японского моря на разных участках относится к различным морфометрическим типам берегов. Из рисунка 42 видно, что здесь преобладают абразионные, в основном мало измененные морем берега, хотя заметное протяжение имеют и берега; измененные деятельностью моря. В меньшей степени Японскому морю свойственны аккумулятивные берега. Это море окружают преимущественно гористые берега. Местами из воды поднимаются одиночные скалы (кекуры), характерные образования побережья. Низменные берега встречаются лишь на отдельных участках побережья.
Сложно и разнообразно распределение глубин в Японском море. По характеру рельефа дна оно подразделяется на три части: северную - к северу от 44° с.ш., центральную - между 40 и 44° с.ш. и южную - к югу от 40° с.ш.
Северная часть моря представляет собой как бы широкий желоб, постепенно суживающийся к северу. Дно его в направлении с севера на юг образует три ступени, которые отделяются одна от другой четко выраженными уступами. Северная ступень находится на глубине 900 - 1400 м, средняя на глубинах 1700 - 2000 м, а южная - на глубине 2300 - 2600 м, поверхности ступеней слегка наклонны к югу. Переход от ступени к ступени резко усложняет рельеф дна.
Прибрежная отмель Приморья в северной части моря имеет ширину от 10 до 25 миль, край отмели располагается примерно на глубине около 200 м. Поверхности северной и средней ступеней центрального желоба более или менее выровнены. Рельеф же южной ступени значительно осложнен большим количеством расположенных здесь отдельных поднятий - до 500 м над поверхностью дна. Здесь же, на краю южной ступени, на широте 44° расположена обширная возвышенность Витязя с минимальной глубиной над ней 1086 м. Южная ступень северной части Японского моря крутым уступом обрывается ко дну центральной котловины. Крутизна уступа в среднем равна 10° - 12°, местами 25° - 30°, а высота равна примерно 800 - 900 м.
Центральная часть моря представляет собой глубокую замкнутую котловину, слегка вытянутую в восточно-северо-восточном направлении. С запада, севера и востока она ограничена крутыми уступами уходящих под уровень моря склонов горных сооружений Приморья, Кореи, островов Хоккайдо и Хонсю, а с юга - склонами подводной возвышенности Ямато.
Для центральной части моря характерно очень слабое развитие прибрежных отмелей. Относительно широкая отмель наблюдается только в районе южного Приморья. Край отмели в центральной части моря на всем протяжении выражен очень четко. Дно котловины, расположенное на глубинах около 3500 м, в отличие от сложно расчлененных окружающих склонов, совершенно выровнено. На поверхности этой равнины отмечаются отдельные возвышенности. Примерно в центре котловины находится вытянутый с севера на юг подводный хребет высотой до 2300 м. Южная часть моря отличается очень сложным рельефом, так как в этом районе находятся окончания крупных горных систем: Курило-Камчатской, Японской и Рюкю. Центральное место здесь занимает обширная подводная возвышенность Ямато, представляющая собой два вытянутых в восточно-северо-восточном направлении хребта с расположенной между ними замкнутой котловиной. С юга к возвышенности Ямато примыкает широкий подводный хребет, протягивающийся в близком к меридиональному направлении от островов Оки.
Во многих районах южной части моря строение подводного склона осложнено наличием подводных хребтов. На подводном склоне Кореи между хребтами прослеживаются широкие подводные долины. Материковая отмель около Кореи почти на всем протяжении узкая, ширина ее не превышает 10 миль. В районе Корейского пролива отмели Кореи и Хонсю смыкаются и образуют мелководье с глубинами не более 150 м.
Скорость течений достигает порядка 107 см/с.
Типы берегов:
I. Берега, сформированные субаэральными и тектоническими процессами и мало измененные морем. А. Первично расчлененные берега: 1 - бухтовые, 2 - берега эрозионного расчленения (эстуариевые), 3 - риасовые, 4 - фиордовые, 5 - шхерные. Б. Первично ровные берега: 6 - складчатые ровные, 7 - сбросовые ровные. II. Берега, формирующиеся преимущественно под действием неволновых факторов. А. Потамогенные берега: 8 - дельтовые, 9 - берега аллювиальных равнин. Б. Берега с приливными осушками: 10 - илистые (типа ваттовых) и песчаные. В. Термоабразионные берега: 11 - термоабразионные в рыхлых четвертичных толщах, 12 - ледяные. Г. Выветривающиеся берега: 13 - денудационные. III. Берега, формирующиеся преимущественно волновыми процессами. А. Выравнивающиеся берега: 14 - абразионно-бухтовые, 15 - абразионно-аккумулятивные бухтовые. Б. Выровненные берега: 16 - выровненные абразионные, 17 - выровненные абразионно-аккумулятивные, 18 - выровненные аккумулятивные, 19 - выровненные аккумулятивные с современной морской террасой. В. Вторично расчлененные берега: 20 - абразионно-бухтовые, 21 - абразионно-аккумулятивные бухтовые, 22 - границы морей, 23 - изобаты, 24 - наибольшая глубина, м; 25 - подводные долины
Рисунок В.35 - Типы берегов и рельеф дна Японского моря
Приливы в Японском море выражены вполне отчетливо. Их создает главным образом тихоокеанская приливная волна. Она поступает в море в основном через Корейский и Сангарский проливы, распространяется до северных окраин моря и в сочетании с собственным приливом определяет здесь главные особенности этого явления. В этом море наблюдаются полусуточные, суточные и смешанные приливы. В Корейском проливе и на севере Татарского - полусуточные приливы, на восточном берегу Кореи, на побережьях Приморья, островов Хонсю и Хоккайдо - суточные, в заливах Петра Великого и Корейском - смешанные.
Характеру прилива соответствуют приливные течения и колебания уровня. В открытых районах моря в основном проявляются полусуточные приливные течения со скоростями 10 - 25 см/с. Более сложны приливные течения в проливах, где они имеют и весьма значительные скорости. Так, в Сангарском проливе скорости приливных течений достигают 100 - 200 см/с, в проливе Лаперуза - 50 - 100 см/с, в Корейском - 40 - 60 см/с.
Приливные колебания уровня в разных частях моря далеко не одинаковы. Наибольшие колебания уровня отмечаются в крайних южных и северных районах моря. У южного входа в Корейский пролив величина прилива достигает 3 м. По мере продвижения на север она быстро уменьшается и уже у Пусана не превышает 1,5 м. В средней части моря приливы невелики. Вдоль восточных берегов Кореи и Советского Приморья до входа в Татарский пролив они не больше 0,5 м. Такой же величины приливы у западных берегов Хонсю, Хоккайдо и юго-западного Сахалина. В Татарском проливе величина приливов 2,3 - 2,8 м. Возрастание величин приливов в северной части Татарского пролива обусловливается ее воронкообразной формой.
Кроме приливных в Японском море прослеживаются и другие виды колебаний уровня. В частности, здесь хорошо выражены его сезонные колебания. Они относятся к муссонному типу, так как уровень испытывает сезонные изменения, одновременные в течение года по всей акватории моря. Летом (август-сентябрь) отмечается максимальный подъем уровня на всех берегах моря, зимой и в начале весны (январь-апрель) наблюдается минимальное положение уровня.
В Японском море наблюдаются сгонно-нагонные колебания уровня. Во время зимнего муссона у западных берегов Японии уровень может повышаться на 20 - 25 см, а у материкового берега - понижаться на такую же величину. Летом, напротив, у побережья Северной Кореи и Приморья уровень повышается на 20 - 25 см, а у Японских берегов на столько же понижается.
Средние и экстремальные уровни моря представлены в таблице В.50.
Таблица В.50
Средние и экстремальные уровни моря, см (по станциям)
Год, период | Средний годовой | Максимальный за год | Минимальный за год |
| | Уровень | Даты | Уровень | Даты |
станция Посьет. Отметка нуля поста 0 м (абс.) |
1977 - 2013 | 148 | 238 | 29.08.1986 | 88 | 13.01.2008 |
Гамов (Маяк Гамов). Отметка нуля поста 0 м (абс.) |
1989 - 1995 | 157 | 195 | 22.08.1990, 23.09.1994 | 109 | 07.02.1990, 30.11.1990 |
Находка. Отметка нуля поста 0 м (абс.) |
1977 - 2013 | 43 | 110 | 29.08.1986 | -15 | 12.11.1977 |
Невельск. Отметка нуля поста 0 м (абс.) |
1978 - 1994 | 43 | 105 | 11.11.1990 | -5 | 30.11.1990 |
В.14.3.2 Волновой режим
Сильные ветры, вызванные прохождением циклонов и особенно тайфунов над морем, развивают весьма значительное волнение, тогда как муссоны вызывают менее сильное волнение. В северо-западной части моря в осенне-зимнее время преобладает северо-западное волнение, а весной и летом - восточных направлений. Чаще всего наблюдается волнение силой 1 - 3 балла, повторяемость которого за год изменяется от 60% до 80%. Зимой преобладает сильное волнение (6 баллов и более), повторяемость которого составляет около 10%. В юго-восточной части моря, благодаря устойчивому северо-западному муссону, в зимнее время развивается волнение с северо-запада и севера. Летом преобладает слабое, чаще всего юго-западное волнение. Наиболее крупные волны имеют высоту 8 - 10 м, а при тайфунах максимальные волны достигают высоты 12 м. В Японском море отмечались гигантские волны цунами.
Повторяемость высот волн по направлениям и градациям за год представлена в таблице В.51.
Таблица В.51
Повторяемость высот волн по направлениям и градациям за год
(станция Посьет, глубина 86 м)
Направление | С | СВ | В | ЮВ | Ю | ЮЗ | З | СЗ | Сумма |
Градации, м | ч.с. | % | ч.с. | % | ч.с. | % | ч.с. | % | ч.с. | % | ч.с. | % | ч.с. | % | ч.с. | % | ч.с. | % |
Значения за 2012-й год (01.04.12 - 06.12.12) |
Менее 0,25 | 9 | 1,45 | 20 | 3,23 | 47 | 7,59 | 39 | 6,3 | 51 | 8,24 | 28 | 4,52 | 57 | 9,21 | 76 | 12,28 | 327 | 52,83 |
0,3 - 0,5 | 1 | 0,16 | 1 | 0,16 | 89 | 14,38 | 68 | 10,99 | 30 | 4,85 | 13 | 2,1 | 16 | 2,58 | 43 | 6,95 | 261 | 42,16 |
0,6 - 1,0 | 0 | 0 | 0 | 0 | 1 | 0,16 | 1 | 0,16 | 0 | 0 | 0 | 0 | 0 | 0 | 0 | 0 | 2 | 0,32 |
Сумма | 10 | 1,61 | 21 | 3,39 | 137 | 22,13 | 108 | 17,45 | 81 | 13,09 | 41 | 6,62 | 73 | 11,79 | 119 | 19,23 | 590 | 95,31 |
Ср. высота | 0,1 | | 0,2 | | 0,3 | | 0,3 | | 0,2 | | 0,2 | | 0,2 | | 0,2 | | | |
Макс. высота | 0,3 | | 0,3 | | 0,8 | | 0,8 | | 0,5 | | 0,5 | | 0,5 | | 0,5 | | | |
Отсут. волн. | | | | | | | | | | | | | | | | | 29 | 4,68 |
Значения за многолетний период (17.03.77 - 06.12.2012) |
Менее 0,25 | 405 | 1,61 | 1225 | 4,87 | 2003 | 7,96 | 1579 | 6,27 | 1373 | 5,45 | 1121 | 4,45 | 5131 | 20,38 | 1152 | 4,58 | 13989 | 55,57 |
0,3 - 0,5 | 37 | 0,15 | 407 | 1,62 | 2095 | 8,32 | 1656 | 6,58 | 1078 | 4,28 | 512 | 2,03 | 2158 | 8,57 | 472 | 1,87 | 8415 | 33,43 |
0,6 - 1,0 | 0 | 0 | 7 | 0,03 | 66 | 0,26 | 8 | 0,03 | 4 | 0,02 | 2 | 0,01 | 2 | 0,01 | 0 | 0 | 89 | 0,35 |
1,1 - 1,5 | 0 | 0 | 0 | 0 | 1 | 0 | 0 | 0 | 0 | 0 | 0 | 0 | 0 | 0 | 0 | 0 | 1 | 0 |
Сумма | 442 | 1,76 | 1639 | 6,52 | 4165 | 16,54 | 3243 | 12,88 | 2455 | 9,75 | 1635 | 6,49 | 7291 | 28,96 | 1624 | 6,45 | 22494 | 89,35 |
Ср. высота | 0 | | 0,2 | | 0,3 | | 0,3 | | 0,3 | | 0,2 | | 0,2 | | 0,2 | | | |
Макс. высота | 0,5 | | 1 | | 1,5 | | 0,8 | | 1 | | 0,8 | | 0,8 | | 0,5 | | | |
Отсут. волн. | | | | | | | | | | | | | | | | | 2514 | 9,99 |
Неопр. напр. | | | | | | | | | | | | | | | | | 166 | 0,66 |
| | ИС МЕГАНОРМ: примечание. Нумерация пунктов дана в соответствии с официальным текстом документа. | |
В.14.3.2 Ледовый режим
Северная и северо-западная части моря, прилегающие к материковому берегу, ежегодно на 4 - 5 месяцев покрываются льдом, площадь которого занимает около четверти пространства всего моря. Появление льда в Японском море возможно уже в октябре, а последний лед задерживается на севере иногда до середины июня. Таким образом, полностью свободным ото льда море бывает только в течение летних месяцев - июля, августа и сентября.
Первый лед в море образуется в закрытых бухтах и заливах материкового берега, например в бухте Советская Гавань, заливах Де-Кастри и Ольга. В октябре-ноябре ледяной покров в основном развивается в пределах бухт и заливов, а с конца ноября - начала декабря лед начинает образовываться в открытом море. В конце декабря льдообразование в прибрежных и открытых районах моря распространяется до залива Петра Великого. Припай в Японском море широкого распространения не имеет. Раньше всего он образуется в заливах Де-Кастри, Советская Гавань и Ольга, в бухтах залива Петра Великого и Посьет припай появляется спустя примерно месяц.
Ежегодно полностью замерзают только северные бухты материкового побережья. К югу от Советской Гавани припай в бухтах неустойчив и в течение зимы может неоднократно взламываться. В западной части моря плавучий и неподвижный лед появляется раньше, чем в восточной, дальше распространяется к югу и более устойчив, чем на тех же широтах в восточной части моря. Это объясняется тем, что западная часть моря в зимнее время находится под преобладающим воздействием холодных и сухих воздушных масс, распространяющихся с материка. На востоке моря влияние этих масс существенно ослабевает, вместе с тем возрастает роль теплых и влажных морских масс. Наибольшего развития ледяной покров достигает примерно в середине февраля. От февраля к маю на всем море создаются условия, благоприятствующие таянию льда (на месте). В восточной части моря таяние льда начинается раньше и происходит интенсивнее, чем на тех же широтах на западе. Ледовитость Японского моря испытывает значительные изменения от года к году. Возможны случаи, когда ледовитость одной зимы в два раза и более превышает ледовитость другой.
Сведения об основных элементах ледового режима приведены в таблицах В.52,
В.53.
Таблица В.52
Сведения об основных элементах ледового режима
(для многолетних данных указан день
и месяц) - Осенне-зимний период
Осенне-зимний период |
Ледообразование | Полное замерзание |
Год, период | Дата устойчивого перехода температуры воздуха через 0 осенью | Дата устойчивого перехода температуры воды через 0 осенью | Дата первого ледообразования | Дата устойчивого ледообразования | Количество старого льда при ледообразовании (первом/устойчивом), баллы | Дата первого образования заберега или припая | Дата начала образования устойчивого припая | Дата первого появления приносного льда | Величина устойчивой ширины припая, км | Наибольшая ширина припая, км | Дата первого полного замерзания | Дата окончательного замерзания | Наибольшая измеренная толщина льда, см | Дата наблюдения наибольшей толщины льда |
1 | 2 | 3 | 4 | 5 | 6 | 7 | 8 | 9 | 10 | 11 | 12 | 13 | 14 | 15 |
Гидрометеорологическая станция Виахту |
1977 - 1991 | 20.10 | 08.11 | 11.11 | 01.11 | 0/0 | 11.11 | 01.11 | 11.11 | 0 | 3 | 29.12 | 29.12 | 76 | 31.12 |
Гидрометеорологическая станция Советская Гавань |
2012 - 2013 | 31.10.2012 | 01.12.2012 | 06.11.2012 | 06.11.2012 | 0/0 | 06.11.2012 | 06.11.2012 | 06.11.2012 | | 2 | 17.12.2012 | 17.12.2012 | 51 | 31.12.2012 |
1977 - 2012 | 28.10 | 25.11 | 25.11 | 02.12 | 0/0 | 25.11 | 02.12 | 25.11 | 0 | 8 | 30.12 | 30.12 | 63 | 31.12 |
Таблица В.53
Сведения об основных элементах ледового режима
(для многолетних данных указан день
и месяц) - Весенне-летний период
Весенне-летний период |
Таяние и разрушение | Очищение |
Год, период | Дата устойчивого перехода температуры воздуха через 0 весной | Дата устойчивого перехода температуры воды через 0 весной | Дата появления снежниц | Дата появления проталин | Дата появления водяного заберега | Дата начала весеннего взлома или первой подвижки припая | Дата окончательного разрушения припая | Дата первого полного очищения ото льда | Дата полного окончательного очищения ото льда | Число дней со льдом | Число дней без льда | Примечание |
1 | 2 | 3 | 4 | 5 | 6 | 7 | 8 | 9 | 10 | 11 | 12 | 13 |
Гидрометеорологическая станция Виахту |
1977 - 1991 | 07.04 | 11.04 | 08.01 | 08.01 | 08.01 | 08.01 | | 01.01 | 01.01 | | | |
Гидрометеорологическая станция Советская Гавань |
2012 - 2013 | 02.04.2013 | 20.04.2013 | 04.04.2013 | 04.04.2013 | 04.04.2013 | 04.04.2013 | 26.04.2013 | 20.05.2013 | 20.05.2013 | 196 | 169 | |
1977 - 2013 | 25.03 | 12.04 | 15.03 | 15.03 | 15.03 | 15.03 | 18.04 | 03.01 | 03.01 | | | |
(рекомендуемое)
ОСНОВНЫХ ГИДРОМЕТЕОРОЛОГИЧЕСКИХ ПАРАМЕТРОВ,
ВКЛЮЧАЕМЫХ В ВЛТУ
ДА.1 Метеорология
ДА.1.1 Ветер
ДА.1.1.1 Скорость ветра
Пункт должен содержать следующие данные:
а) расчетные значения максимальных скоростей ветра, м/с, возможных один раз в год, 5, 10, 25, 50 и 100 лет на высоте 10 м при часовом, 10-минутном и 2-минутном интервале осреднения, а также в порывах с осреднением 15, 5 и 3 с, без учета направлений;
б) расчетные значения максимальных скоростей ветра в м/с при 10-минутном интервале осреднения, возможные один раз в год, 5, 10, 25, 50 и 100 лет, по месяцам и направлениям (16 румбов);
в) скорости ветра в м/с, возможные один раз в год, 5, 10, 25, 50 и 100 лет на высоте 10 м при часовом, 10- и 2-минутном интервалах осреднения, а также в порывах с интервалами осреднения 15, 5 и 3 с (16 румбов);
г) расчетные значения максимальной скорости ветра в м/с и его направление в ледовый период 1% обеспеченности.
ДА.1.1.2 Направление ветра
Пункт должен содержать данные по средним направлениям (откуда) господствующих ветров за год по градациям скоростей ветра в м/с.
ДА.1.1.3 Повторяемость скоростей ветра
Пункт должен содержать следующие данные:
а) повторяемость в процентах скоростей ветра в м/с по месяцам и направлениям (16 румбов);
б) обеспеченность в процентах скоростей ветра в м/с;
в) повторяемость в процентах направлений ветра в м/с;
г) среднее значение скорости ветра в м/с по направлениям (16 румбов).
ДА.1.1.4 Среднее число дней с ветром
Пункт должен содержать следующие данные:
а) среднее значение числа дней с ветром со скоростью 4, 8, 10, 12 и 15 м/с по месяцам и за год;
б) среднее квадратическое отклонение дней с ветром со скоростью 4, 8, 10, 12 и 15 м/с по месяцам и за год.
ДА.1.1.5 Длительность штормов и окон погоды
Пункт должен содержать данные по длительности штормов и окон погоды для скоростей ветра выше и ниже 5, 10, 15, 20 и 25 м/с (повторяемость по месяцам, среднеквадратические, средние и максимальные значения).
ДА.1.2 Навигационный период
Пункт должен содержать сведения о средней, максимальной и минимальной продолжительностях навигационного периода в сутках и датах его начала и окончания.
ДА.1.3 Температура воздуха
Подраздел должен содержать следующие данные:
а) экстремальные и среднемесячные значения температуры воздуха в градусах Цельсия;
б) средние и максимальные значения температуры воздуха, в градусах Цельсия, наиболее холодных суток и наиболее холодной пятидневки;
в) значения абсолютного минимума и абсолютного максимума температур воздуха в градусах Цельсия;
г) значения среднегодовой температуры воздуха в градусах Цельсия;
д) значения суточных колебаний температуры воздуха, в градусах Цельсия, по месяцам, сезонам и за год;
е) количество дней с температурой ниже нуля градусов Цельсия по месяцам и за год.
ДА.1.4 Видимость
Подраздел должен содержать следующие данные:
а) количество дней с туманом (видимость менее 1 км) по месяцам и за год;
б) продолжительность туманов в часах;
в) повторяемость в процентах дней с туманом по месяцам.
ДА.1.5 Влажность воздуха
Подраздел должен содержать следующие данные:
а) среднегодовая относительная влажность в процентах и абсолютная влажность в г/м3;
б) относительная влажность в процентах и абсолютная влажность в г/м3 для наиболее холодного месяца;
в) относительная влажность в процентах и абсолютная влажность в г/м3 для наиболее теплого месяца;
г) распределение по месяцам и за год относительной влажности в процентах и абсолютной влажности в г/м3.
ДА.1.6 Осадки
ДА.1.6.1 Распределение осадков
Пункт должен содержать следующие данные:
а) среднемесячное и среднегодовое количество осадков в мм и дней с осадками;
б) максимальное количество осадков в мм по месяцам.
ДА.1.6.2 Толщина снежного покрова
Пункт должен содержать данные по средним и максимальным показателям толщины снежного покрова в мм по месяцам.
ДА.1.6.3 Количество дней с твердыми, жидкими и смешанными осадками и с градом
Пункт должен содержать данные по количеству дней с твердыми, жидкими, смешанными осадками и осадками в виде града на акватории месторождения по месяцам и за год.
ДА.1.7 Солнечная радиация
Подраздел должен содержать данные значений солнечной радиации в МДж/м2 по месяцам и за год.
ДА.1.8 Атмосферное давление
Подраздел должен содержать средние и экстремальные значения атмосферного давления в Па на акватории месторождения по месяцам и в среднем за год.
ДА.1.9 Обледенение
ДА.1.9.1 Атмосферное обледенение
Пункт должен содержать следующие данные:
а) повторяемость атмосферного обледенения в процентах по месяцам;
б) максимальная толщина стенки атмосферного гололеда в мм на сооружениях, в зависимости от высоты над уровнем моря и при повторяемости один раз в 5 и 10 лет;
в) масса атмосферного льда в кг/м2, отложившегося на плоской горизонтальной и вертикальной поверхностях за один час в зависимости от высоты над уровнем моря;
г) продолжительность атмосферного обледенения в часах, в зависимости от высоты над уровнем моря по месяцам и за год.
ДА.1.9.2 Морское брызговое обледенение
Пункт должен содержать следующие данные:
а) продолжительность морского брызгового обледенения в часах по месяцам;
б) максимальная толщина стенки морского брызгового обледенения в мм на сооружениях при различных сочетаниях температуры воздуха и скорости ветра;
в) масса атмосферного льда в кг/м2, отложившегося на поверхности за один час, при различных сочетаниях температуры воздуха и скорости ветра;
г) повторяемость морского брызгового обледенения в процентах по месяцам.
ДА.1.10 Комплексные метеорологические характеристики
Подраздел должен содержать данные по сочетанию скоростей ветра в процентах, температуры воздуха в градусах Цельсия и относительной влажности в процентах по месяцам.
ДА.2 Гидрология
ДА.2.1 Температура воды
Подраздел должен содержать следующие данные:
а) температура воды в градусах Цельсия на стандартных горизонтах (включая придонный) по месяцам и за год;
б) максимальные и минимальные значения температуры воды в градусах Цельсия на стандартных горизонтах (включая придонный).
ДА.2.2 Соленость воды
Подраздел должен содержать следующие данные:
| | ИС МЕГАНОРМ: примечание. Текст дан в соответствии с официальным текстом документа. | |
а) соленость воды в промилле градусах Цельсия на стандартных горизонтах (включая придонный) по месяцам и за год;
б) максимальные и минимальные значения солености воды в промилле на стандартных горизонтах (включая придонный).
ДА.2.3 Прозрачность воды
Подраздел должен содержать данные по прозрачности воды в метрах по месяцам и за год.
ДА.2.4 Электрическое сопротивление воды
Подраздел должен содержать данные по удельному электрическому сопротивлению воды в ом·м.
ДА.2.5 Плотность воды
Подраздел должен содержать следующие данные:
а) плотность воды в кг/м3 на стандартных горизонтах (включая придонный) по месяцам и за год;
б) максимальные и минимальные значения плотности воды в кг/м3 на стандартных горизонтах (включая придонный).
ДА.2.6 Волнение
ДА.2.6.1 Экстремальные характеристики волнения
Пункт должен содержать следующие данные:
а) высоты волн в метрах на акватории месторождения: средние, 13%, 3%, 1% и 0,1% обеспеченности, возможные один раз в год, 5, 10, 25, 50 и 100 лет и соответствующие им средние периоды и длины волн для различных направлений (8 румбов);
б) превышение гребня, соответствующее высоте волны 0,1% обеспеченности, возможное один раз в год, 5, 10, 25, 50 и 100 лет;
в) средние направления (откуда) подхода волн по градациям высот волн 3% обеспеченности, по месяцам и за год;
г) спектральные характеристики волнения при штормах повторяемостью один раз в год, 5, 10, 25, 50 и 100 лет;
д) средние высоты волн в метрах, возможные один раз в год, 5, 10, 25, 50 и 100 лет по направлениям (8 румбов) и месяцам;
е) высоты волн в метрах 0,1%, 1%, 3%, 5%, 13% обеспеченности, возможные один раз в год, 5, 10, 25, 50 и 100 лет по направлениям и месяцам;
ж) ассоциированные средние периоды, соответствующие волнам 0,1%, 1%, 3%, 5%, 13% обеспеченности, возможные один раз в год, 5, 10, 25, 50 и 100 лет по направлениям (8 румбов) и месяцам;
и) средние (ассоциированные со средней высотой волны) длины волн в метрах, возможные один раз в год, 5, 10, 25, 50 и 100 лет по направлениям и месяцам;
к) ассоциированные средние длины волн в метрах, соответствующие волнам 0,1%, 1%, 3%, 5%, 13% обеспеченности, возможные один раз в год, 5, 10, 25, 50 и 100 лет по направлениям и месяцам;
л) превышения гребня волны в метрах 0,1% обеспеченности над средним уровнем водной поверхности, возможные один раз в год, 5, 10, 25, 50 и 100 лет по направлениям (8 румбов) и месяцам;
м) максимальная наблюденная высота волны в метрах и наибольший период волн в секундах;
н) скорости ветра в м/с с осреднением 10 мин, ассоциированные высотам волн 1% обеспеченности, возможным один раз в год, 5, 10, 25, 50 и 100 лет, с учетом направлений (8 румбов).
ДА.2.6.2 Оперативные характеристики волнения
Пункт должен содержать следующие данные:
а) повторяемость высот волн 3% обеспеченности по направлениям (8 румбов) по месяцам и за год;
б) повторяемость и обеспеченность скоростей ветра по месяцам и за год;
в) повторяемость направлений ветра по месяцам и за год;
г) количество дней с высотами волн 3% обеспеченности в безледовый период по месяцам и за год;
д) продолжительность в сут штормов и окон погоды по градациям высот волн 3% обеспеченности по месяцам;
е) совместная повторяемость высот волн 3% обеспеченности и средних периодов волн;
ж) среднегодовое количество волн в безледовый период по градациям высот 3% обеспеченности и по направлениям (8 румбов).
ДА.2.7 Течения
Подраздел должен содержать следующие данные:
а) максимальные скорости суммарных течений в см/с с учетом их распределения по направлениям, возможные один раз в 5, 10, 25, 50 и 100 лет;
б) повторяемость в процентах скоростей течений по секторам и градациям скорости (поверхностный горизонт, придонный горизонт);
в) максимальная скорость в см/с поверхностного течения и максимальная скорость в см/с придонного течения, возможные один раз в 100 лет (по месяцам);
г) максимальные суммарные скорости течений в см/с с учетом их распределения по направлениям (8 румбов) и горизонтам для штормового периода (октябрь-март), возможные один раз в 5, 10, 25, 50 и 100 лет;
д) общая схема течений для поверхностного горизонта с детализацией по сезонам.
ДА.2.8 Уровень моря
Подраздел должен содержать следующие данные:
а) сезонная изменчивость уровня моря в см (относительно отметки нуля глубин);
б) размах приливных колебаний уровня моря, наивысший и наинизший теоретические уровни моря, возможные по астрономическим причинам;
в) экстремальная положительная и отрицательная отметки уровня моря, возможные один раз в 100 лет, над средним уровнем моря (относительно отметки современного уровня моря БСВ);
г) распределение колебаний уровня моря относительно среднегодового уровня. Повторяемость в процентах превышений и понижений уровня моря относительно среднегодового уровня, с разбивкой по месяцам и градациям уровней;
д) максимальная положительная отметка уровня моря (с учетом приливных колебаний), возможная один раз в 100 лет, над средним уровнем моря;
е) максимальная отрицательная отметка уровня моря (с учетом приливных колебаний), возможная один раз в 100 лет, ниже среднего уровня моря;
ж) основные характеристики уровня моря в графическом виде;
и) расчетные величины максимального и минимального уровней моря относительно среднегодового уровня, повторяемостью один раз в 5, 10, 50 и 100 лет, для безледового и ледового периодов моря (относительно отметки современного уровня моря БСВ);
к) прогноз изменения среднегодового уровня моря на период эксплуатации морского нефтегазопромыслового сооружения.
ДА.2.9 Ледовый режим
ДА.2.9.1 Ровный лед
Пункт должен содержать следующие данные:
а) максимальная толщина ровного льда в см, повторяемостью один раз в 100 лет, по месяцам;
б) температура льда в градусах Цельсия в слое ледяного поля;
в) температура льда в градусах Цельсия на границе воздух (или снег) - лед и на границе лед - вода;
г) среднесуточная температура льда в градусах Цельсия;
д) соленость льда в промилле;
е) плотность льда по слоям в кг/м3;
ж) сплоченность льда в баллах, возможная один раз в 2, 5, 25 и 50 лет, по месяцам;
и) скорость в см/с и преобладающее направление в градусах среднесуточного ветрового дрейфа, повторяемостью один раз в 100 лет;
к) средняя длина и ширина в км ледяного поля по направлению дрейфа льда;
л) преобладающие размеры ледяных полей в км (длина, ширина и толщина (см));
м) количество слоев одинаковой толщины в см, на которые разбивается (по толщине) ледяное поле;
н) толщина снежного покрова на льду в см.
ДА.2.9.2 Наслоенный лед
Пункт должен содержать следующие данные:
а) максимальная толщина наслоенного льда в см, повторяемостью один раз в 100 лет;
б) скорость движения ледяного поля в см/с и направление (куда) по 8 румбам при скорости ветра, повторяемостью один раз в 100 лет;
в) максимальная площадь ледяного поля, повторяемостью один раз в 100 лет, в км2 (или суммарная площадь нескольких полей, оказывающих давление друг на друга);
г) протяженность полей наслоенного льда в км, повторяемостью один раз в 100 лет.
ДА.2.9.3 Гряды торосов
Пункт должен содержать следующие данные:
а) максимальная скорость в см/с воды подо льдом, повторяемостью один раз в 100 лет;
б) высота паруса гряды торосов в метрах, повторяемостью один раз в 100 лет;
в) глубина киля гряды торосов в метрах, повторяемостью один раз в 100 лет;
г) верхняя ширина киля тороса в метрах, повторяемостью один раз в 100 лет;
д) нижняя ширина киля тороса в метрах, повторяемостью один раз в 100 лет;
е) угол склона киля тороса в градусах, повторяемостью один раз в 100 лет;
ж) толщина консолидированного слоя гряды тороса в метрах, повторяемостью один раз в 100 лет;
и) пористость киля гряды тороса в процентах, повторяемостью один раз в 100 лет;
к) коэффициент трения льда о поверхность;
л) размеры обломков льда, в метрах, слагающих торосы.
ДА.2.9.4 Стамухи
Пункт должен содержать следующие данные:
а) высота паруса стамухи в метрах, повторяемостью один раз в 100 лет;
б) глубина киля стамухи в метрах, повторяемостью один раз в 100 лет;
в) толщина консолидированного слоя стамухи в метрах, повторяемостью один раз в 100 лет;
г) пористость киля стамухи в процентах, повторяемостью один раз в 100 лет;
д) угол внутреннего трения обломков льда в киле тороса и стамухи в градусах.
ДА.2.9.5 Айсберги
Пункт должен содержать следующие данные:
а) форма айсберга: столообразная, куполообразная или разрушающаяся;
б) геометрические размеры надводной и подводной частей в метрах;
в) средняя и максимальная масса в кг;
г) скорость движения айсберга в см/с и направление (куда) по 8 румбам;
д) наличие ровного дрейфующего льда, обрамляющего айсберг.
ДА.2.9.6 Предел прочности льда
Пункт должен содержать следующие данные:
а) полномасштабная прочность ровного льда, повторяемостью один раз в 100 лет, при изгибе, в МПа;
б) полномасштабная прочность ровного льда, повторяемостью один раз в 100 лет, при сжатии, в МПа;
в) полномасштабная прочность наслоенного льда, повторяемостью один раз в 100 лет, при изгибе, в МПа;
г) полномасштабная прочность наслоенного льда, повторяемостью один раз в 100 лет, при сжатии, в МПа;
д) прочность консолей дрейфующего льда, повторяемостью один раз в 100 лет, при изгибе, в МПа;
е) прочность консолей дрейфующего льда, повторяемостью один раз в 100 лет, при сжатии, в МПа;
ж) прочность консолидированного слоя тороса, повторяемостью один раз в 100 лет, при изгибе, в МПа;
и) прочность консолидированного слоя тороса, повторяемостью один раз в 100 лет, при сжатии, в МПа;
к) прочность консолидированного слоя стамухи, повторяемостью один раз в 100 лет, при изгибе, в МПа;
л) прочность консолидированного слоя стамухи, повторяемостью один раз в 100 лет, при сжатии, в МПа.
ДА.2.9.7 Экзарация дна
Пункт должен содержать данные по экзарации дна моря ледовыми образованиями.
ДА.2.9.8 Основные режимные показатели ледообразования
Пункт должен содержать следующие данные:
а) дату появления, устойчивого ледообразования и окончательного очищения ото льда;
б) продолжительность ледового периода в сутках;
в) виды льда;
г) изменение толщины льда в см/сутки в зависимости от температуры воздуха в градусах Цельсия.
ДА.2.9.9 Кинематические характеристики ледяного покрова
Пункт должен содержать следующие данные:
а) расстояния в км от границы припая до акватории месторождения по месяцам для различных периодов повторяемости;
б) минимальные расстояния в км от границы припая до акватории месторождения, возможные 1 раз в n лет, для различных периодов повторяемости;
в) расстояния в км от границы дрейфующего льда до акватории месторождения, по месяцам, для различных периодов повторяемости;
г) минимальные расстояния в км от границы дрейфующего льда до акватории месторождения, возможные один раз в n лет, для различных периодов повторяемости;
д) расчетные минимальные скорости в см/с ветрового дрейфа льда, по месяцам, с повторяемостью один раз в 5, 10, 50 и 100 лет;
е) повторяемость в процентах направлений ветра и дрейфа льда и их средние скорости в см/с (по 8 румбам);
ж) повторяемость в процентах коэффициентов дрейфа плавучего льда различной сплоченности в баллах;
и) критическая температура в градусах Цельсия перехода морской воды в твердое состояние.
| | ИС МЕГАНОРМ: примечание. Нумерация пунктов дана в соответствии с официальным текстом документа. | |
ДА.2 Рекомендуемый перечень НТД и источников информации, которые следует использовать при разработке ВЛТУ
СП 11-103-97 Инженерно-гидрометеорологические изыскания для строительства
СП 11-114-2004 Инженерные изыскания на континентальном шельфе для строительства морских нефтегазопромысловых сооружений
(справочное)
СВЕДЕНИЯ О СООТВЕТСТВИИ ССЫЛОЧНЫХ НАЦИОНАЛЬНЫХ СТАНДАРТОВ
МЕЖДУНАРОДНЫМ СТАНДАРТАМ, ИСПОЛЬЗОВАННЫМ В КАЧЕСТВЕ
ССЫЛОЧНЫХ В ПРИМЕНЕННОМ МЕЖДУНАРОДНОМ СТАНДАРТЕ
Таблица ДБ.1
Обозначение ссылочного национального стандарта | Степень соответствия | Обозначение и наименование ссылочного международного стандарта |
|
|
ГОСТ Р 54483-2011 | NEQ | ISO 19900:2002 "Нефтяная и газовая промышленность. Общие требования к морским сооружениям" |
| - | <*> |
<*> Соответствующий международный стандарт отсутствует. Примечание - В настоящей таблице использовано следующее условное обозначение степени соответствия стандарта: NEQ - неэквивалентный стандарт. |
| Правила РМРС НД N 2-020201-13 | Правила классификации, постройки и оборудования плавучих буровых установок и морских стационарных платформ |
| Правила РМРС НД N 2-090601-003 | Правила классификации и постройки подводных добычных комплексов |
| Правила РМРС НД N 2-020201-011 | Правила классификации, постройки и оборудования морских плавучих нефтегазодобывающих комплексов |
| ИСО 19902:2007 (ISO 19902:2007) | Нефтяная и газовая промышленность. Стационарные стальные морские сооружения (Petroleum and natural gas industries - Fixed steel offshore structures) |
| ИСО 19903:2006 (ISO 19903:2006) | Нефтяная и газовая промышленность. Стационарные бетонные морские сооружения (Petroleum and natural gas industries - Fixed concrete offshore structures) |
| ИСО 19904-1:2006 (ISO 19904-1:2006) | Нефтяная и газовая промышленность. Плавучие морские сооружения. Часть 1. Однокорпусные суда, полупогружные платформы и платформы цилиндрического вида (Spar) (Petroleum and natural gas industries - Floating offshore structures - Part 1: Monohulls, semi-submersibles and spars) |
| ИСО 19904-2:2004 (ISO 19904-2:2004) | Нефтяная и газовая промышленность. Плавучие морские сооружения. Часть 2. Плавучие основания с натяжным вертикальным якорным креплением (Petroleum and natural gas industries - Specific requirements for offshore structures - Part 2: Seismic design procedures and criteria) |
| ИСО 19901-3:2014 (ISO 19901-3:2014) | Нефтяная и газовая промышленность. Специальные требования, предъявляемые к морским сооружениям. Часть 3. Верхние строения (Petroleum and natural gas industries - Specific requirements for offshore structures - Part 3: Topsides structure) |
| ИСО 19905-1:2016 (ISO 19905-1:2016) | Нефтяная и газовая промышленность. Оценка места расположения передвижных морских оснований. Часть 1. Самоподъемные буровые платформы (Petroleum and natural gas industries - Site-specific assessment of mobile offshore units - Part 1: Jack-ups) |
| ИСО 19906:2010 (ISO 19906:2010) | Нефтяная и газовая промышленность. Сооружения арктического шельфа (Petroleum and natural gas industries - Arctic offshore structures) |
| ИСО 19901-2:2004 (ISO 19901-2:2004) | Нефтяная и газовая промышленность. Специальные требования к морским сооружениям. Часть 1. Проектирование и эксплуатация с учетом сейсмических условий |
| http://www.meteo.ru/ | ФГБУ "ВНИИГМИ-МЦД" - Федеральное государственное бюджетное учреждение "Всероссийский научно-исследовательский институт гидрометеорологической информации - Мировой центр данных" |
| http://www. meteorf. ru/ | Федеральная служба по гидрометеорологии и мониторингу окружающей среды России (Росгидромет) |
| http://www.esimo.ru/ | Единая система информации об обстановке в Мировом океане (ЕСИМО) |
| НД N 2-029901-007 | Справочные данные по режиму ветра и волнения Японского и Карского морей, Санкт-Петербург, Российский морской регистр судоходства (РМРС), 2009 |
[16] | НД N 2-029901-009 | Справочные данные по режиму ветра и волнения Берингова и Белого морей, Санкт-Петербург, Российский морской регистр судоходства (РМРС), 2010 |
[17] | Справочные данные по режиму ветра и волнения Балтийского, Северного, Черного, Азовского и Средиземного морей, Санкт-Петербург, Российский морской регистр судоходства (РМРС), 2006 |
| Справочные данные по режиму ветра и волнения Баренцева, Охотского и Каспийского морей, Санкт-Петербург, Российский морской регистр судоходства (РМРС), 2003 |
| Гидрометеорология и гидрохимия морей. Том 01. Баренцево море. Выпуск 1. Гидрометеорологические условия. Справочник. Проект Моря. - Ленинград: Гидрометеоиздат, 1990. - 280 с. |
[20] | Гидрометеорология и гидрохимия морей. Том 02. Белое море. Выпуск 1. Гидрометеорологические условия. Справочник. Проект Моря. - Ленинград: Гидрометеоиздат, 1991. - 241 с. |
[21] | Гидрометеорология и гидрохимия морей. Том 02. Белое море. Выпуск 2. Гидрохимические условия и океанологические основы формирования биологической продуктивности. Справочник. Проект Моря. - Санкт-Петербург: Гидрометеоиздат, 1991. - 193 с. |
[22] | Гидрометеорология и гидрохимия морей. Том 03. Балтийское море. Выпуск 1. Гидрометеорологические условия. Справочник. Проект Моря. - Санкт-Петербург: Гидрометеоиздат, 1992. - 451 с. |
[23] | Гидрометеорология и гидрохимия морей. Том 03. Балтийское море. Выпуск 2. Гидрохимические условия и океанологические основы формирования биологической продуктивности. Справочник. Проект Моря. - Санкт-Петербург: Гидрометеоиздат, 1994. - 435 с. |
[24] | Гидрометеорология и гидрохимия морей. Том 04. Черное море. Выпуск 1. Гидрометеорологические условия. Справочник. Проект Моря. - Санкт-Петербург: Гидрометеоиздат, 1991. - 430 с. |
[25] | Гидрометеорология и гидрохимия морей. Том 04. Черное море. Выпуск 2. Гидрохимические условия и океанологические основы формирования биологической продуктивности. Справочник. Проект Моря. - Санкт-Петербург: Гидрометеоиздат, 1992. - 219 с. |
[26] | Гидрометеорология и гидрохимия морей. Том 05. Азовское море. Справочник. Проект Моря. - Санкт-Петербург: Гидрометеоиздат, 1991. - 237 с. |
[27] | Гидрометеорология и гидрохимия морей. Том 06. Каспийское море. Выпуск 1. Гидрометеорологические условия. Справочник. Проект Моря. - Санкт-Петербург: Гидрометеоиздат, 1992. - 360 с. |
[28] | Гидрометеорология и гидрохимия морей. Том 06. Каспийское море. Выпуск 2. Гидрохимические условия и океанологические основы формирования биологической продуктивности. Справочник. Проект Моря. - Санкт-Петербург: Гидрометеоиздат, 1996. - 324 с. |
[29] | Гидрометеорология и гидрохимия морей. Том 08. Японское море. Выпуск 1. Гидрометеорологические условия. Справочник. Проект Моря. - Санкт-Петербург: Гидрометеоиздат, 2003. - 397 с. |
[30] | Гидрометеорология и гидрохимия морей. Том 08. Японское море. Выпуск 2. Гидрохимические условия и океанологические основы формирования биологической продуктивности - СПб.: Гидрометеоиздат, 2004. - 266 с. |
[31] | Гидрометеорология и гидрохимия морей. Том 09. Охотское море. Выпуск 1. Гидрометеорологические условия. Справочник. Проект Моря. - Санкт-Петербург: Гидрометеоиздат, 1998. - 343 с. |
[32] | Гидрометеорология и гидрохимия морей. Том 09. Охотское море. Выпуск 2. Гидрохимические условия и океанологические основы формирования биологической продуктивности. Справочник. Проект Моря. - Санкт-Петербург: Гидрометеоиздат, 1992. - 167 с. |
[33] | Гидрометеорология и гидрохимия морей. Том 10. Берингово море. Выпуск 1. Гидрометеорологические условия. Справочник. Проект Моря. - Санкт-Петербург: Гидрометеоиздат, 1999. - 301 с. |
| Гидрометеорология и гидрохимия морей. Том 10. Берингово море. Выпуск 2. Гидрохимические условия и океанологические основы формирования биологической продуктивности. Справочник. Проект Моря. - Санкт-Петербург: Гидрометеоиздат, 2001. - 236 с. |