Главная // Актуальные документы // ГОСТ Р (Государственный стандарт)СПРАВКА
Источник публикации
М.: Стандартинформ, 2016
Примечание к документу
Документ
введен в действие с 1 апреля 2016 года.
Название документа
"ГОСТ Р 56593-2015. Национальный стандарт Российской Федерации. Добавки минеральные для бетонов и строительных растворов. Методы испытаний"
(утв. и введен в действие Приказом Росстандарта от 25.09.2015 N 1387-ст)
"ГОСТ Р 56593-2015. Национальный стандарт Российской Федерации. Добавки минеральные для бетонов и строительных растворов. Методы испытаний"
(утв. и введен в действие Приказом Росстандарта от 25.09.2015 N 1387-ст)
Утвержден и введен в действие
агентства по техническому
регулированию и метрологии
от 25 сентября 2015 г. N 1387-ст
НАЦИОНАЛЬНЫЙ СТАНДАРТ РОССИЙСКОЙ ФЕДЕРАЦИИ
ДОБАВКИ МИНЕРАЛЬНЫЕ ДЛЯ БЕТОНОВ И СТРОИТЕЛЬНЫХ РАСТВОРОВ
МЕТОДЫ ИСПЫТАНИЙ
Mineral admixtures for concretesand mortars. Test methods
(EN 206-1:2000, NEQ)
(EN 13263-1:2005+A1:2009, NEQ)
(EN 450-1:2009, NEQ)
ГОСТ Р 56593-2015
ОКП 58 7000
Дата введения
1 апреля 2016 года
1 РАЗРАБОТАН Научно-исследовательским, проектно-конструкторским и технологическим институтом бетона и железобетона имени А.А. Гвоздева (НИИЖБ им. А.А. Гвоздева) - структурным подразделением ОАО "НИЦ "Строительство"
2 ВНЕСЕН Техническим комитетом по стандартизации ТК 465 "Строительство"
3 УТВЕРЖДЕН И ВВЕДЕН В ДЕЙСТВИЕ
Приказом Федерального агентства по техническому регулированию и метрологии от 25 сентября 2015 г. N 1387-ст
4 В настоящем стандарте учтены основные нормативные положения, приведенные в следующих европейских региональных стандартах:
- ЕН 206-1:2000 "Бетон. Часть 1. Технические требования, эксплуатационные характеристики, производство и критерии соответствия" (EN 206-1:2000 "Concrete - Part 1: Specification, performance, production and conformity criteria", NEQ);
- ЕН 13263-1:2005+A1:2009 "Микрокремнезем для бетонов. Часть 1. Определения, требования и критерии соответствия" (EN 13263-1:2005+A1:2009 "Silica fume for concrete - Part 1: Definitions, requirements and conformity criteria", NEQ);
- ЕН 450-1:2009 "Зола-унос для бетонов. Часть 1. Определения, требования и критерии соответствия" (EN 450-1:2009 "Fly ash for concrete - Part 1: Definitions, specifications and conformity criteria", NEQ)
5 ВВЕДЕН ВПЕРВЫЕ
Правила применения настоящего стандарта установлены в ГОСТ Р 1.0-2012
(раздел 8). Информация об изменениях к настоящему стандарту публикуется в ежегодном (по состоянию на 1 января текущего года) информационном указателе "Национальные стандарты", а официальный текст изменений и поправок - в ежемесячном информационном указателе "Национальные стандарты". В случае пересмотра (замены) или отмены настоящего стандарта соответствующее уведомление будет опубликовано в ближайшем выпуске ежемесячного информационного указателя "Национальные стандарты". Соответствующая информация, уведомление и тексты размещаются также в информационной системе общего пользования - на официальном сайте Федерального агентства по техническому регулированию и метрологии в сети Интернет (www.gost.ru)
Настоящий стандарт распространяется на минеральные добавки (далее - МД) по
ГОСТ Р 56592-2015 и устанавливает методы их испытаний.
Требования настоящего стандарта следует учитывать при разработке стандартов и технических условий, по которым выпускаются пигменты, а также технологической и технической документации на их применение.
В настоящем стандарте использованы нормативные ссылки на следующие стандарты:
ГОСТ 577-68 Индикаторы часового типа с ценой деления 0,01 мм. Технические условия
ГОСТ 5382-91 Цементы и материалы цементного производства. Методы химического анализа
ГОСТ 6613-86 Сетки проволочные тканые с квадратными ячейками. Технические условия
ГОСТ 9262-77 Реактивы. Кальция гидроокись. Технические условия
ГОСТ 9639-71 Листы из непластифицированного поливинилхлорида (винилпласт листовой). Технические условия
ГОСТ 10178-85 Портландцемент и шлакопортландцемент. Технические условия
ГОСТ 10197-70 Стойки и штативы для измерительных головок. Технические условия
ГОСТ 23732-2011 Вода для бетонов и строительных растворов. Технические условия
ГОСТ 24211-2008 Добавки для бетонов и строительных растворов. Технические условия
ГОСТ 25336-82 Посуда и оборудование лабораторные стеклянные. Типы, основные параметры и размеры
ГОСТ 25818-91 Золы-уноса тепловых электростанций для бетонов. Технические условия
ГОСТ 28923-91 Регуляторы температурные, работающие без постороннего источника энергии. Общие технические требования и методы испытаний
ГОСТ 29251-91 (ИСО 385-1-84) Посуда лабораторная стеклянная. Бюретки. Часть 1. Общие требования
ГОСТ 30459-2008 Добавки для бетонов и строительных растворов. Определение и оценка эффективности
ГОСТ 30744-2001 Цементы. Методы испытаний с использованием полифракционного песка
ГОСТ Р 51232-98 Вода питьевая. Общие требования к организации и методам контроля качества
ГОСТ Р 53228-2008 Весы неавтоматического действия. Часть 1. Метрологические и технические требования. Испытания
ГОСТ Р 56592-2015 Добавки минеральные для бетонов и строительных растворов. Общие технические условия
Примечание - При пользовании настоящим стандартом целесообразно проверить действие ссылочных стандартов в информационной системе общего пользования - на официальном сайте Федерального агентства по техническому регулированию и метрологии в сети Интернет или по ежегодному информационному указателю "Национальные стандарты", который опубликован по состоянию на 1 января текущего года, и по выпускам ежемесячного информационного указателя "Национальные стандарты" за текущий год. Если заменен ссылочный стандарт, на который дана недатированная ссылка, то рекомендуется использовать действующую версию этого стандарта с учетом всех внесенных в данную версию изменений. Если заменен ссылочный стандарт, на который дана датированная ссылка, то рекомендуется использовать версию этого стандарта с указанным выше годом утверждения (принятия). Если после утверждения настоящего стандарта в ссылочный стандарт, на который дана датированная ссылка, внесено изменение, затрагивающее положение, на которое дана ссылка, то это положение рекомендуется применять без учета данного изменения. Если ссылочный стандарт отменен без замены, то положение, в котором дана ссылка на него, рекомендуется применять в части, не затрагивающей эту ссылку.
3. Термины, определения и обозначения
4. Правила отбора проб и проведения испытаний
4.1 Для испытания МД отбирают точечные пробы, из которых в соответствии с требованиями ГОСТ 30459
(раздел 5) составляют объединенную пробу.
4.2 Из полученной объединенной пробы методом квартования отбирают лабораторную пробу для проведения испытаний. Масса лабораторной пробы должна быть не менее 1000 г.
4.3 При поставке МД в упаковочной таре точечные пробы отбирают из выборки упаковочных единиц (контейнеров, мешков, бочек и др.).
4.4 При поставке МД без упаковки отбор точечных проб следует проводить непосредственно на технологической линии с передаточного конвейера, соединенного со складскими емкостями при транспортировании МД, из складских или расходных емкостей при выгрузке материала или с помощью отборных труб, когда первые два способа не могут быть применены или толщина слоя материала не превышает 3 м, а также непосредственно из транспортных средств, доставляющих МД потребителю.
4.5 Количество, массу и порядок отбора точечных проб, выборку упаковочных единиц, а также массу объединенной пробы, обеспечивающей ее представительность, следует устанавливать в стандартах или технических условиях на МД конкретных видов с учетом размера партии и вида используемых транспортных средств.
4.6 Температура воздуха в помещении, в котором проводят испытания МД, должна быть (25 +/- 5) °C. Перед началом испытания МД и вода должны иметь температуру, соответствующую температуре воздуха в помещении.
4.7 За результат испытаний принимают среднее арифметическое значение результатов параллельных определений, число которых предусмотрено соответствующим методом.
Расхождение между результатами отдельных определений должно соответствовать требованиям, предусмотренным соответствующим методом испытаний.
4.8 Для проведения испытаний применяют воду по
ГОСТ 23732, если в стандартах на МД конкретного вида или методах испытаний не даны указания по использованию дистиллированной воды или других жидкостей.
4.9 Навески МД взвешивают на весах по
ГОСТ Р 53228. Точность взвешивания указывают в соответствующем методе испытаний.
4.10 Методы определения дополнительных показателей качества МД, характеризующих конкретную минеральную добавку, ее отпускную форму и эффективность (влажность, концентрация, тонкость помола, плотность, зерновой, химический и минералогический составы, удельная поверхность, критерий эффективности, повышение физико-технических свойств бетонных смесей и бетонов и др.), должны быть приведены в стандартах, технических условиях и других нормативных и технических документах на МД конкретного вида.
5. Определение дисперсности
Оценку дисперсности МД проводят по остаткам на ситах по
ГОСТ 6613: для инертных МД (ИМД) - на сите с сеткой N 315; для активных МД (АМД) - на сите с сеткой N 016.
6. Определение стойкости минеральных добавок
к химическому воздействию щелочей цемента
Стойкость МД к химическому воздействию щелочей цемента определяют по их минералого-петрографическому составу, содержанию вредных компонентов и примесей и реакционной способности по
ГОСТ 8735.
7. Определение содержания глинистых и илистых частиц
и содержания органических примесей
Содержание глинистых и илистых частиц и содержание органических примесей в МД определяют по
ГОСТ 8735.
8. Определение массовой доли хлорид-иона
Массовую долю хлорид-иона в МД определяют аргентометрическим методом по
ГОСТ 5382. Масса навески МД - 3 г.
9. Определение массовой доли оксида серы SO
3
Массовую долю оксида серы SO
3 определяют гравиметрическим методом по
ГОСТ 5382 после сплавления навески МД с окислительным плавнем. Масса навески МД - 1 г.
10. Определение вяжущей активности АМД
10.1 Вяжущую активность АМД определяют по прочности на сжатие растворных образцов в возрасте 28 сут нормального твердения, изготовленных из АМД (без цемента), песка и воды, по
ГОСТ 30744.
10.2 Для определения вяжущей активности АМД применяют:
10.3 Раствор при соотношении АМД:П = 1:3, имеющего расплыв конуса 113 - 115 мм, и растворные образцы-балочки размерами 40 x 40 x 160 мм изготовляют по
ГОСТ 30744.
Растворные образцы выдерживают до испытаний в течение 28 сут в нормальных условиях [температура (20 +/- 2) °C, влажность (95 +/- 5)%].
11. Определение оптимальной дозировки минеральной добавки
Оптимальную дозировку МД, обеспечивающую технологический и/или технический эффект по основному эффекту действия, определяют по
ГОСТ 30459.
Материалы и составы бетонных или растворных смесей, используемые для определения оптимальных дозировок МД, должны быть приведены в стандарте или технических условиях на МД конкретного вида.
12. Определение линейного расширения
Линейное расширение определяют для АМД по
ГОСТ 30459 на образцах-балочках размерами 40 x 40 x 160 мм без осевого упругого ограничения их деформаций с последующим расчетом относительного удлинения образцов при соблюдении следующих дополнительных требований:
- образцы-балочки изготовляют из растворной смеси при соотношении (Ц + АМД):П = 1:1;
- для приготовления растворной смеси применяют: портландцементы ПЦ500-Д0 и ПЦ500-Д0-Н по
ГОСТ 10178 или ЦЕМ I 42.5 по
ГОСТ 31108 с содержанием трехкальциевого алюмината C
3A не более 8% массы цемента; полифракционный песок по
ГОСТ 6139; АМД в оптимальной дозировке;
- при подготовке форм к бетонированию следует исключить попадание на реперы минерального масла, предназначенного для смазки форм;
- при изготовлении образцов не допускается вытекание цементного молока из мест сопряжения частей формы;
- при заполнении формы смесь тщательно уплотняют;
- перед каждым замером деформаций устройство для их определения (штатив по
ГОСТ 10197 с закрепленным на нем индикатором часового типа по
ГОСТ 577) должно быть отрегулировано по длине с помощью контрольного стержня длиной 160 мм. При определении линейного расширения замеры следует проводить с точностью до 0,01 мм;
- контрольный стержень и реперы, установленные в торцах образцов-балочек по продольной оси, должны быть изготовлены из коррозионно-стойкого металла.
По результатам испытания рассчитывают относительное удлинение образцов. За окончательный результат принимают среднее арифметическое значение трех полученных результатов.
13. Определение самонапряжения
Самонапряжение определяют по
ГОСТ 32803 путем измерения упругих ограниченных деформаций, создающихся в процессе твердения и расширения образцов, заформованных в кондукторах, конструкция и материал которых создают жесткость, эквивалентную 1%-ному продольному армированию.
14. Определение степени пуццоланической активности АМД
14.1 Степень пуццоланической активности АМД определяют по количеству поглощенного CaO из насыщенного раствора гидроокиси кальция одним граммом добавки при нагревании.
14.2 Аппаратура, реактивы, растворы
Весы аналитические лабораторные не ниже 2-го класса точности по
ГОСТ Р 53228.
Электропечь сопротивления лабораторная с регулятором температуры по ГОСТ 28923.
Бюретки и пипетка вместимостью 50 мл по
ГОСТ 29251.
Стакан или стеклянная коническая колба для титрования вместимостью 250 мл по
ГОСТ 25336.
Плоскодонная колба (круглая или коническая) вместимостью 5000 см
3 по
ГОСТ 25336.
Соляная кислота по
ГОСТ 3118, раствор 0,05 моль/л.
Индикатор метиловый оранжевый 0,5%-ный спиртовой раствор по техническим условиям
[1].
Гидроокись кальция по
ГОСТ 9262, насыщенный раствор.
14.3 Приготовление насыщенного раствора гидроокиси кальция
В плоскодонную колбу вместимостью 5 л помещают 15 - 20 г гидроокиси кальция, наливают 2,0 - 2,5 л дистиллированной воды по
ГОСТ 6709 и плотно закрывают резиновой пробкой, в которую вставлена трубка с натронной известью. Раствор взбалтывают три раза в сутки.
Через 4 сут колбу вскрывают, отфильтровывают небольшое количество раствора, отбирают пипеткой 50 мл в коническую колбу и титруют раствором соляной кислоты.
Если результат титрования покажет, что раствор имеет концентрацию более 1,15 г CaO на 1 л, приступают к его фильтрованию. В противном случае раствор подвергают дальнейшему насыщению.
14.4 Подготовка пробы и проведение испытания
Для испытания отбирают 100 г пробы АМД и высушивают при температуре (105 +/- 5) °C в сушильном шкафу до тех пор, пока разность между результатами двух взвешиваний будет не более 0,1 г.
От приготовленной пробы АМД отвешивают на аналитических весах навеску массой 1 г. Навеску помещают в сосуд из винилпласта или другого инертного к щелочам материала, заливают 100 мл насыщенного раствора гидроокиси кальция. Сосуд плотно закрывают крышкой и выдерживают при температуре 85 °C - 90 °C в течение 8 ч. Затем нагрев прекращают, а сосуд с испытуемой пробой оставляют на 15 ч для остывания до температуры (20 +/- 2) °C.
Одновременно с испытаниями пробы с АМД проводят нагрев 100 мл насыщенного раствора гидроокиси натрия.
По истечении 15 ч из каждого сосуда отбирают пипеткой 50 мл раствора в коническую колбу или стакан, добавляют 3 капли метилового оранжевого и титруют раствором соляной кислоты до появления розовой окраски. По результатам испытаний определяют объем соляной кислоты V1, мл, пошедший на титрование раствора гидроокиси кальция с АМД при температуре 85 °C - 90 °C и объем соляной кислоты V2, мл, пошедший на титрование насыщенного раствора гидроокиси кальция без АМД при температуре 85 °C - 90 °C.
Определяют также объем соляной кислоты V0, мл, пошедший на титрование 50 мл насыщенного раствора гидроокиси кальция при нормальной температуре (20 +/- 2) °C.
14.5 Обработка результатов
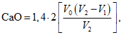
Количество CaO, поглощенного 1 г АМД из насыщенного раствора гидроокиси кальция, рассчитывают с учетом дифференциальной поправки на изменение растворимости гидроокиси кальция при изменении температуры по формуле

(1)
где 1,4 - титр 0,05 моль/л раствора соляной кислоты по CaO (дифференциальная поправка), мг/мл·г;
V0 - объем соляной кислоты, израсходованный на титрование 50 мл насыщенного раствора гидроокиси кальция без АМД при температуре (20 +/- 2) °C, мл;
V1 - объем соляной кислоты, израсходованный на титрование 50 мл анализируемого раствора с АМД при температуре 85 °C - 90 °C, мл;
V2 - объем соляной кислоты, израсходованный на титрование 50 мл насыщенного раствора гидроокиси кальция без АМД при температуре 85 °C - 90 °C, мл.
За результат испытания принимают среднеарифметическое значение двух результатов определения количества CaO, поглощенного из насыщенного раствора гидроокиси кальция одним граммом АМД, если расхождение результатов двух параллельных определений не превышает 1% среднего арифметического значения.
15. Определение эффективности
15.1 Необходимость определения эффективности МД устанавливается стандартами или техническими условиями на МД конкретных видов.
Эффективность МД определяют при оптимальной дозировке МД по значениям показателей качества, характеризующим эффект действия МД, и оценивают по критериям эффективности.
15.2 Эффективность МД оптимальной дозировки определяют путем сравнения технологических свойств бетонных смесей (подвижности, растекаемости, водоотделения, расслаиваемости, воздухововлечения и др.) и/или строительно-технических свойств бетонов (прочности, водонепроницаемости, морозостойкости, усадки, самонапряжения, коррозионной стойкости и др.) с МД и без нее.
15.3 Эффективность МД К определяют по формуле

(2)
где ПМД - показатель технологических свойств бетонных смесей и/или строительно-технических свойств бетонов с МД;
П0 - показатель технологических свойств бетонных смесей и/или строительно-технических свойств бетонов без МД.
15.4 Используемые материалы, составы бетонных смесей, оптимальные дозировки МД, условия твердения образцов, критерии эффективности и методы их определения должны быть приведены в стандарте или технических условиях на МД конкретного вида.
| ТУ 6-09-5171-84 | Метиловый оранжевый, индикатор (парадиметиламиноазобензолсульфокислый натрий) чистый для анализа. Технические условия |