Главная // Актуальные документы // ГОСТ Р (Государственный стандарт)СПРАВКА
Источник публикации
М.: Стандартинформ, 2016
Примечание к документу
Документ
введен в действие с 1 февраля 2016 года.
Название документа
"ГОСТ Р 56539-2015. Национальный стандарт Российской Федерации. Проектирование разработки и освоение газовых и газоконденсатных месторождений. Подсчет запасов газа и газового конденсата на основе уравнения материального баланса. Основные технические требования"
(утв. и введен в действие Приказом Росстандарта от 30.07.2015 N 1023-ст)
"ГОСТ Р 56539-2015. Национальный стандарт Российской Федерации. Проектирование разработки и освоение газовых и газоконденсатных месторождений. Подсчет запасов газа и газового конденсата на основе уравнения материального баланса. Основные технические требования"
(утв. и введен в действие Приказом Росстандарта от 30.07.2015 N 1023-ст)
Утвержден и введен в действие
агентства по техническому
регулированию и метрологии
от 30 июля 2015 г. N 1023-ст
НАЦИОНАЛЬНЫЙ СТАНДАРТ РОССИЙСКОЙ ФЕДЕРАЦИИ
ПРОЕКТИРОВАНИЕ РАЗРАБОТКИ И ОСВОЕНИЕ
ГАЗОВЫХ И ГАЗОКОНДЕНСАТНЫХ МЕСТОРОЖДЕНИЙ
ПОДСЧЕТ ЗАПАСОВ ГАЗА И ГАЗОВОГО КОНДЕНСАТА
НА ОСНОВЕ УРАВНЕНИЯ МАТЕРИАЛЬНОГО БАЛАНСА
ОСНОВНЫЕ ТЕХНИЧЕСКИЕ ТРЕБОВАНИЯ
Gas and gas-condensate fields projection and development.
Estimation of gas and gas-condensate reserves
on the basis of material balance equation.
General technical requirements
ГОСТ Р 56539-2015
Дата введения
1 февраля 2016 года
1 РАЗРАБОТАН Открытым акционерным обществом "Газпром" (ОАО "Газпром") и Обществом с ограниченной ответственностью "Научно-исследовательский институт природных газов и газовых технологий - Газпром ВНИИГАЗ" (ООО "Газпром ВНИИГАЗ")
2 ВНЕСЕН Техническим комитетом по стандартизации ТК 23 "Техника и технологии добычи и переработки нефти и газа"
3 УТВЕРЖДЕН И ВВЕДЕН В ДЕЙСТВИЕ
Приказом Федерального агентства по техническому регулированию и метрологии от 30 июля 2015 г. N 1023-ст
4 В настоящем стандарте реализованы нормы
Закона Российской Федерации от 21 февраля 1992 г. N 2395-1 "О недрах"
5 ВВЕДЕН ВПЕРВЫЕ
Правила применения настоящего стандарта установлены в ГОСТ Р 1.0-2012 (раздел 8). Информация об изменениях к настоящему стандарту публикуется в ежегодном (по состоянию на 1 января текущего года) информационном указателе "Национальные стандарты", а текст изменений и поправок - в ежемесячном информационном указателе "Национальные стандарты". В случае пересмотра (замены) или отмены настоящего стандарта соответствующее уведомление будет опубликовано в ежемесячном информационном указателе "Национальные стандарты". Соответствующая информация, уведомление и тексты размещаются также в информационной системе общего пользования - на официальном сайте Федерального агентства по техническому регулированию и метрологии в сети Интернет (www.gost.ru)
Настоящий стандарт устанавливает основные положения и единые требования к подсчету запасов газа и газового конденсата на основе уравнения материального баланса для разрабатываемых месторождений.
Настоящий стандарт применяется для газовых и газоконденсатных залежей, разрабатываемых самостоятельной сеткой скважин, разбуренных в соответствии с утвержденным техническим проектом разработки.
Требования настоящего стандарта применяют:
- организации-недропользователи, которым предоставлено право пользования недрами для геологического изучения и добычи полезных ископаемых (разработки месторождений углеводородного сырья);
- организации, осуществляющие подсчет запасов;
- составители проектной документации по разработке месторождений;
- иные организации и лица, участвующие в разработке месторождений;
- государственные органы и уполномоченные ими совещательные и экспертные органы (комиссии, в том числе Государственная комиссия по запасам полезных ископаемых Российской Федерации, их отделения и филиалы), осуществляющие в установленном порядке рассмотрение, экспертизу и согласование материалов подсчета запасов и проектной документации по разработке месторождений.
В настоящем стандарте использованы нормативные ссылки на следующие стандарты:
ГОСТ 30319.1-96 Газ природный. Методы расчета физических свойств. Определение физических свойств природного газа, его компонентов и продуктов его переработки
ГОСТ 30319.2-96 Газ природный. Методы расчета физических свойств. Определение коэффициента сжимаемости
ГОСТ 8.417-2002 Государственная система обеспечения единства измерений. Единицы величин
ГОСТ Р 8.645-2008 Государственная система обеспечения единства измерений. Метрологическое обеспечение работ по геологическому изучению, использованию и охране недр в Российской Федерации. Основные положения
ГОСТ Р 53579-2009 Система стандартов в области геологического изучения недр (СОГИН). Отчет о геологическом изучении недр. Общие требования к содержанию и оформлению
ГОСТ Р 53797-2010 Геологическая информация о недрах. Основные положения и общие требования
Примечание - При пользовании настоящим стандартом целесообразно проверить действие ссылочных стандартов в информационной системе общего пользования - на официальном сайте Федерального агентства по техническому регулированию и метрологии в сети Интернет или по ежегодному информационному указателю "Национальные стандарты", который опубликован по состоянию на 1 января текущего года, и по выпускам ежемесячного информационного указателя "Национальные стандарты" за текущий год. Если заменен ссылочный стандарт, на который дана недатированная ссылка, то рекомендуется использовать действующую версию этого стандарта с учетом всех внесенных в данную версию изменений. Если заменен ссылочный стандарт, на который дана датированная ссылка, то рекомендуется использовать версию этого стандарта с указанным выше годом утверждения (принятия). Если после утверждения настоящего стандарта в ссылочный стандарт, на который дана датированная ссылка, внесено изменение, затрагивающее положение, на которое дана ссылка, то это положение рекомендуется применять без учета данного изменения. Если ссылочный стандарт отменен без замены, то положение, в котором дана ссылка на него, рекомендуется принять в части, не затрагивающей эту ссылку.
В настоящем стандарте применены следующие термины с соответствующими определениями:
3.1 газовый режим (разработки залежи): Режим залежи, при котором проявление пластовой энергии месторождения обуславливается упругой энергией пластового газа и насыщенных им пластов-коллекторов.
3.2 упруговодонапорный режим: Режим залежи, при котором проявление пластовой энергии месторождения природного газа и окружающей его водоносной области при извлечении газа характеризуется реализацией упругой энергии флюидов (газа, воды) и насыщенных ими пластов-коллекторов, а также пьезометрическим напором законтурных (подошвенных) пластовых вод.
3.3 начальное пластовое давление в залежи: Пластовое давление в момент вскрытия пласта до начала разработки залежи.
3.4 текущее пластовое давление в залежи: Пластовое давление, установившееся на определенную дату в продуктивном пласте находящейся в разработке залежи.
3.5 условная плоскость приведения: Воображаемая плоскость внутри залежи, расположенная от газоводяного контакта на таком расстоянии, при котором значение фактической плотности газа в любой точке этой плоскости равно среднему значению плотности для всей толщины залежи по вертикальной линии, проходящей через эту точку.
Примечание - Среднюю плотность для всей толщины продуктивного разреза залежи вычисляют по барометрической формуле.
3.6 стандартные условия: Давление 0,101325 МПа, температура 293,15 К (20 °C); к которым приводят объемы газа.
3.7 приведенное пластовое давление: Отношение пластового давления к коэффициенту сжимаемости реального газа.
Примечание - Коэффициент сжимаемости реального газа для газоконденсатных месторождений определяют исходя из состава пластового газа при текущих термобарических условиях.
3.8 газоводяной контакт: Граница в пласте, отделяющая газовую или газоконденсатную залежь от пластовой воды.
3.9 удельный объем дренирования скважины: Часть объема газовой залежи, участвующая в фильтрации к отдельной скважине в рассматриваемый момент времени.
3.10 дренируемые запасы газа: Запасы газа, вовлеченные добывающими скважинами в процесс фильтрации.
3.11
стабильный газовый конденсат: Газовый конденсат, получаемый путем очистки нестабильного газового конденсата от примесей и выделения из него углеводородов C1 - C4, отвечающий требованиям соответствующего нормативного документа. |
3.12
потенциальное содержание конденсата в газе: Содержание компонентов C5+ в газе, выраженное в г/м3 пластового газа, газа сепарации, сухого газа. [ГОСТ Р 54910-2012, статья 24] |
3.13 технологические потери природного газа: Часть добываемого (извлекаемого) из недр природного газа, утрачиваемая при выполнении обязательных технологических операций на объектах добычи в результате несовершенства технологических процессов и оборудования, а также вследствие извлечения и сброса в окружающую среду неиспользуемых в производстве компонентов.
4 Обозначения и сокращения
4.1 В настоящем стандарте применены следующие сокращения:
н | - | начальное; |
т | - | текущее; |
доб | - | добытое; |
ост | - | остаточные; |
защ | - | защемленный; |
обв | - | обводненная зона; |
др | - | дренируемые; |
ст | - | стандартное; |
пл | - | пластовое; |
в | - | в обводненной зоне; |
отн. ед. | - | относительная единица; |
а.о. | - | абсолютная отметка; |
сух | - | сухой; |
комп | - | компонент; |
к | - | конденсат нестабильный; |
зап | - | запасы; |
ГВК | - | газоводяной контакт; |
ГКЗ | - | Государственная комиссия по запасам полезных ископаемых Российской Федерации; |
ГКМ | - | газоконденсатное месторождение; |
КГС | - | конденсат газовый стабильный; |
КГН | - | конденсат газовый нестабильный. |
Примечание - Знак "~" над параметром означает средневзвешенное значение величины или вычисленное по средним значениям параметров.
5.1 Метод подсчета запасов газа и газового конденсата на основе уравнения материального баланса применяют в процессе разработки месторождения (залежи) наряду с объемным методом подсчета запасов углеводородов.
5.2 Теоретической основой подсчета запасов газа с использованием уравнения материального баланса является математическое выражение закона сохранения массы газа.
Подсчет запасов газа Mн, кг, на основе уравнения материального баланса базируется на формуле

(5.1)
где Mт - масса свободного газа, оставшегося в пласте на текущую дату, кг;

- масса газа, защемленного в обводненной части пласта, кг;
Mдоб - масса добытого газа, кг.
5.3 Объектом подсчета запасов является залежь, разрабатываемая самостоятельной сеткой скважин. Для отдельных гидродинамически изолированных частей (площадей) залежи допускается выполнять подсчет запасов на основе уравнения материального баланса раздельно с последующим суммированием.
5.4 Подсчет запасов газа и газового конденсата на основе уравнения материального баланса выполняют на конкретную дату (как правило, на конец календарного года), при этом учитывают геолого-промысловую информацию за весь период разработки месторождения.
5.5 Запасы газа, подсчитанные на основе уравнения материального баланса, относят к категории промышленных запасов
[1]. Подсчитанные на основе уравнения материального баланса запасы распределяют по учетным категориям пропорционально величинам запасов соответствующих категорий, выделенных при подсчете объемным методом.
5.6 При проведении подсчета необходимо учитывать режим разработки залежи.
5.7 Режим разработки залежи считают газовым при отсутствии продвижения пластовой воды в залежь. При зафиксированном по данным контроля за разработкой геофизическими методами продвижении воды в залежь режим считают упруговодонапорным. Дополнительные признаки упруговодонапорного режима - это снижение пластового давления в пьезометрических скважинах, вскрывающих отложения ниже начального ГВК или пробуренных за контуром газоносности, и обводнение эксплуатационных скважин в процессе разработки залежи.
Примечание - Для трещиновато-пористых коллекторов обводнение скважин может происходить по системе трещин, при этом режим разработки будет близок к газовому.
5.8 Результатом подсчета являются начальные геологические запасы газа и конденсата, текущие (остаточные) запасы газа и конденсата, запасы газа и газового конденсата, оставшиеся в обводненном объеме залежи.
5.9 Неотъемлемая часть подсчета запасов углеводородов - это построение цифровых геологической и гидродинамической моделей на основе совокупного анализа результатов всех исследований, проводимых в процессе поисково-оценочных, разведочных работ и разработки месторождения (залежи) в соответствии с
регламентом по созданию постоянно действующих геолого-технологических моделей, утвержденным Минтопэнерго России
[2].
5.10 Подсчетные параметры (добыча углеводородов, пластовое давление, количество внедрившейся воды) за весь период разработки залежи приводят на единую дату расчета.
5.11 При представлении в ГКЗ подсчета запасов газа и газового конденсата объемным методом по объектам подсчета с отбором газа в количестве не менее 30% от начальных запасов отчет по подсчету запасов следует представлять с обязательным приложением отчета по подсчету запасов на основе уравнения материального баланса.
5.12 При отборе газа из объекта подсчета более 50% подсчет запасов газа и газового конденсата на основе уравнения материального баланса является приоритетным.
6 Требования к исходной информации для подсчета запасов газа и газового конденсата
6.1 Основные характеристики, определяющие начальные геологические запасы:
- геометрические размеры залежи (площадь в пределах контура газоносности, эффективная газонасыщенная толщина);
- пористость;
- начальная газонасыщенность;
- плотность газа при стандартных условиях;
- коэффициент сжимаемости;
- начальное пластовое давление;
- пластовая температура;
- компонентный состав пластового газа;
- начальное положение ГВК.
6.2 Основные характеристики, необходимые для подсчета начальных запасов на основе уравнения материального баланса:
- количество отобранного из залежи пластового (свободного) газа;
- текущая (остаточная) газонасыщенность;
- текущее пластовое давление;
- текущий состав пластового газа;
- текущий коэффициент сжимаемости газа;
- текущее положение ГВК.
6.3 Исходные данные для подсчета запасов газа и газового конденсата на основе уравнения материального баланса - это результаты первичных (получаемых на начальном этапе освоения) и текущих исследований, проводимых в рамках контроля за разработкой месторождения.
6.4 Контроль за разработкой месторождения осуществляет организация-недропользователь при участии организации-проектировщика, ведущей авторский надзор за реализацией технического проекта разработки.
6.5 Объем и периодичность исследований по контролю за разработкой месторождений определяется техническим проектом разработки и действующими нормативными документами по контролю за разработкой месторождений.
| | ИС МЕГАНОРМ: примечание. В официальном тексте документа, видимо, допущена опечатка: имеется в виду ГОСТ 30319.1, а не ГОСТ 30309.1. | |
6.6 Начальные параметры - пластовое давление, температура в залежи, пористость, эффективная толщина и газонасыщенность - определяют в процессе ГРР при испытании скважин геофизическими методами и методом исследования керна, а компонентный состав пластового газа и плотность определяют в соответствии с
ГОСТ 30309.1 до начала разработки при подсчете запасов газа и конденсата объемным методом.
6.7 Коэффициент сжимаемости газа в зависимости от состава и термобарических условий определяют в соответствии с
ГОСТ 30319.2.
6.8 Для газоконденсатных залежей определяют потенциальное содержание конденсата в пластовом (свободном) газе, а при снижении пластового давления ниже давления начала конденсации - его количество, выпавшее в залежи. Начальное и текущее потенциальное содержание конденсата в пластовом газе определяют по результатам промысловых газоконденсатных исследований и PVT-исследований рекомбинированных проб в соответствии с
инструкцией, утвержденной Министерством газовой промышленности
[3].
6.9 Текущее пластовое давление
6.9.1 Текущее пластовое давление определяют посредством измерений глубинными манометрами в наблюдательных скважинах; остановленных одиночных добывающих скважинах после полного восстановления давления.
В случае кустового размещения скважин для измерений необходима одновременная остановка всех скважин исследуемого куста до восстановления в них пластового давления.
6.9.2 В случае невозможности проведения глубинных измерений для газовых залежей допускается вычислять пластовое давление по измерениям статического давления на устье скважины в соответствии с
инструкцией, утвержденной Министерством газовой промышленности
[3].
6.9.3 В скважинах с жидкостью на забое, а также в газоконденсатных скважинах в обязательном порядке необходимы измерения забойного давления глубинными манометрами после полного восстановления устьевого давления.
6.9.4 Измеренные пластовые давления пересчитывают на дату подсчета запасов интерполяцией (экстраполяцией) и приводят (определяют) на условную плоскость приведения.
6.9.5 Для исключения случайных и систематических ошибок в данных о пластовом давлении по разрезу продуктивных отложений выделяют несколько сопоставительных групп скважин (как в эксплуатационном поле, так и за его пределами) с раздельной перфорацией отдельных частей разреза.
6.9.6 В пьезометрических скважинах пластовое давление при известном положении уровня воды, заполняющей скважину, определяют в соответствии с
инструкцией, утвержденной Министерством газовой промышленности
[3].
6.10 Годовой и накопленный отбор газа и газового конденсата по скважинам, участкам и в целом по залежи с начала разработки
6.10.1 Используют отчетные данные организации-недропользователя по добыче и потерям углеводородов (помесячные, квартальные, годовые) за весь период разработки месторождения.
6.10.2 При определении накопленного отбора газа из залежи на конкретную дату должна быть учтена добыча начиная с первой разведочной скважины, давшей промышленный приток.
6.10.3 При подсчете запасов обязателен учет потерь газа во время:
- продувки скважин в атмосферу при опробовании и испытании скважин;
- исследований скважин;
- аварийного фонтанирования;
- технологических потерь, связанных с негерметичностью оборудования.
6.11 Среднее давление, взвешенное по эффективному газонасыщенному поровому объему залежи, определяют с использованием геологической модели, принятой для подсчета запасов объемным методом.
6.12 Текущее положение ГВК определяют по геофизическим исследованиям, проводимым в процессе контроля за разработкой залежи.
6.13 Текущую газонасыщенность в занятой водой части залежи определяют в процессе разработки путем проведения специальных геофизических исследований и экспериментальных исследований на керне.
6.14 Единицы измерения исходных данных
При подсчете запасов газа и газового конденсата подсчетные параметры измеряют в соответствии с
ГОСТ 8.417 и
ГОСТ Р 8.645:
- толщину - в метрах с точностью до десятых долей единицы;
- площадь - в тысячах квадратных метров с точностью до десятых долей единицы;
- давление - в мегапаскалях с точностью до сотых долей единицы;
- коэффициенты пористости и газонасыщенности - в долях единицы с округлением до тысячных долей;
- запасы газа - в миллионах кубических метров с точностью до сотых долей единицы;
- количество внедрившейся в залежь воды - в миллионах кубических метров с точностью до десятых долей единицы;
- запасы конденсата - в тысячах тонн с точностью до сотых долей единицы.
Примечание - Запасы газа указывают приведенными к стандартным условиям в соответствии с
ГОСТ 2939.
6.15 Приложения, форма которых установлена в
таблицах А.1 -
А.14 (приложение А), содержат данные, необходимые для проверки подсчета запасов газа и газового конденсата на основе уравнения материального баланса.
7 Требования к подсчету запасов газа и газового конденсата на основе уравнения материального баланса
7.1 Для подсчета начальных запасов газа газовой залежи
Qзап, млн м
3, в объемных единицах измерения применяют уравнение материального баланса в интегральном виде, преобразованное при переходе от
уравнения (5.1)

(7.1)
где V - начальный геометрический объем залежи, равный Vт + Vобв, млн м3;
Vт - текущий геометрический объем необводненной зоны залежи, млн м3;
Vобв - текущий геометрический объем обводненной зоны залежи, млн м3;

- характеристическая функция коллектора, которая при численном интегрировании принимает значение единицы, если элементарный объем
dV относится к коллектору, и нуля, если к неколлектору;
pн, p(t), pв(t), pст - начальное, текущее пластовые давления; давление в обводненной части пласта в элементарном объеме; стандартное давление соответственно, МПа;
| | ИС МЕГАНОРМ: примечание. Обозначение дано в соответствии с официальным текстом документа. | |
zн - коэффициент сжимаемости газа при начальном давлении, начальной температуре и начальном составе газа;
z[p(t)], z[pв(t)] - коэффициенты сжимаемости газа при текущих составе газа и пластовом давлении в газовой и обводненной частях залежи;
Tст и Tпл - стандартная и пластовая температура соответственно, К;

- коэффициент газонасыщенности в элементарном объеме при текущем пластовом давлении и текущем составе газа, доли ед.;

- коэффициент остаточной газонасыщенности в элементарном объеме обводненной части залежи при текущем пластовом давлении в этой части и текущем составе газа, доли ед.;
m - коэффициент пористости в элементарном объеме при текущем пластовом давлении, доли ед.;
Qдоб(t) - накопленный отбор газа из залежи, приведенный к стандартным условиям, в момент времени t, млн м3.
Примечание - Первое и второе слагаемые в
(7.1) равны остаточным запасам газа в газонасыщенной и обводненной частях залежи соответственно. Для случая газового режима залежи второе слагаемое в
(7.1) равно нулю; вычисление первого интеграла проводят по начальному объему залежи.
При нулевом отборе (до начала разработки месторождения)
формулу (7.1) преобразуют в формулу подсчета запасов объемным методом.
7.2 Входящие в
формулу (7.1) интегралы вычисляют суммированием произведений подынтегральных выражений на величину объема соответствующих ячеек по всем ячейкам трехмерной геологической модели, соответствующей принятой для подсчета запасов объемным методом; формула для подсчета запасов имеет вид:

(7.2)
где n - число элементов (ячейки геологической модели) залежи, равное n1 + n2;
n1 - число элементов необводненного объема залежи;
n2 - число элементов обводненного объема залежи;
i - индекс элемента необводненного объема залежи;
j - индекс элемента обводненного объема залежи;
h - толщина элемента необводненного объема залежи, м;
S - площадь элемента необводненного объема залежи, м2.
Примечание - Для деформируемых коллекторов следует учитывать изменение пористости при снижении пластового давления по результатам экспериментов на керне.
7.3 Геометрическую форму обводненной части залежи устанавливают построением карты текущего положения ГВК по фактическим геофизическим данным на дату подсчета.
Примечание - При построении карты текущего положения ГВК следует выполнить анализ и отбраковку имеющихся данных, в частности исключить данные по скважинам с подъемом ГВК по негерметичному заколонному пространству.
7.4 В расчетах используют пластовую температуру, приведенную на условную плоскость с учетом геотермического градиента.
7.5 Пластовые давления в газонасыщенной части залежи определяют по карте изобар, построенной на дату подсчета, и принимают постоянными по разрезу.
7.6 Пластовые давления в обводненной части залежи для случая упруговодонапорного режима допускается принимать равными давлению в газонасыщенной части разреза с поправкой на давление столба жидкости от текущего положения ГВК до глубины ячейки геологической модели.
7.7 Для построения карт изобар:
- устраняют случайные ошибки в измерениях давлений по скважинам;
- пересчитывают измеренные значения пластового давления на условную плоскость приведения;
- приводят значения пластового давления на условной плоскости к дате подсчета запасов.
7.7.1 Для выявления случайных ошибок в значениях анализируют технологию проведения исследований в соответствии с
инструкцией, утвержденной Министерством газовой промышленности
[3], строят графики динамики пластового давления во времени для каждой скважины
p(
t) =
f(
t). При построении используют как измеренные значения пластового давления, так и рассчитанные по статическому давлению на устье.
7.7.2 Измерения пластового давления на условную плоскость пересчитывают по барометрической формуле в соответствии с
инструкцией, утвержденной Министерством газовой промышленности
[3].
7.7.3 Для приведения пластового давления на условной плоскости к дате подсчета по каждой добывающей скважине строят графики зависимости пластового давления от времени p(t) = f(t).
7.7.4 Интерполяцией (экстраполяцией до полугода вперед) по графикам p(t) = f(t) определяют значение пластового давления, соответствующего дате подсчета (моменту времени t).
7.8 Контроль построения карт изобар и текущего положения ГВК рекомендуется проводить с использованием расчетов на адаптированной по данным истории разработки гидродинамической модели.
Примечание - В случае проведения на месторождении 4D сейсмических и/или повременных гравиметрических исследований рекомендуется использовать результаты их обработки для уточнения положения ГВК на участках отсутствия измерений по скважинам.
7.9 С целью исключения случайных ошибок подсчета запасов, а также уточнения режима работы залежи рекомендуется анализировать зависимость изменения средневзвешенного по газонасыщенному поровому объему залежи приведенного пластового давления от накопленного отбора из залежи

и суммарного количества внедрившейся в залежь воды
Qв(
t) от времени. Эти зависимости строят за весь период разработки с шагом, достаточным для проведения анализа, но не более пяти лет.
7.10 Для оценки количества внедрившейся в залежь пластовой воды Qв(t) на момент времени t, млн м3, при упруговодонапорном режиме применяют формулу

(7.3)
7.11 Средневзвешенное по газонасыщенному поровому объему залежи приведенное пластовое давление вычисляют по формуле

(7.4)
Примечание - Для случая газового режима вторые суммы в числителе и знаменателе равны нулю; вычисляют первые суммы по первоначальному объему залежи.
7.12 Для случая слабодеформируемых коллекторов зависимость вычисляемых по
формуле (7.4) средневзвешенных приведенных пластовых давлений от накопленного отбора газа при газовом режиме является линейной.
Примечание - Отклонение указанной зависимости от линейной может быть связано с недостоверностью используемой геологической модели, неточностью построения карт изобар, изменением пористости при снижении пластового давления, выпадением конденсата в пласте для газоконденсатных месторождений, а также влиянием объемов поступившей в залежь воды и объема остаточного газа в обводненной части залежи при упруговодонапорном режиме.
7.13 Для мелких месторождений в случае газового режима допускается осреднение пластового давления приближенными способами, представленными в
приложении Б; в данном случае запасы вычисляют по формуле

(7.5)
Примечание - Использование формулы фактически идентично определению запасов графоаналитическим способом экстраполяцией зависимости

до пересечения с осью абсцисс.
7.14 В составе подсчета запасов на основе уравнения материального баланса рекомендуется выполнять оценку дренируемых запасов по зоне расположения эксплуатационных скважин.
7.15 Дренируемые запасы вычисляют по формуле

(7.6)
где

,

- средневзвешенное приведенное пластовое давление в моменты времени
t1 и
t2 в необводненной части залежи в пределах зоны расположения эксплуатационных скважин вычисляют по формуле

(7.7)
Примечание - Оцененные указанным способом дренируемые запасы определяют динамику снижения давления в зоне расположения эксплуатационных скважин в рассматриваемый момент времени в условиях реализованной системы разработки. Период времени

должен составлять не менее пяти лет.
7.16 Для оценки дренируемых запасов допускается определять среднее приведенное пластовое давление как средневзвешенное по текущим газонасыщенным удельным объемам дренирования всех скважин.
7.17 В качестве оценки дренируемых запасов допустимо использовать сумму текущих дренируемых запасов по всем скважинам (см.
приложение В).
7.18 Отношение объема дренируемых запасов к начальным характеризует эффективность системы разработки залежи.
7.19 Особенности подсчета запасов газа для газоконденсатных залежей
7.19.1 Для газоконденсатных залежей начальные запасы пластового газа вычисляют по
формуле (7.1) аналогично расчету запасов пластового газа для газовых залежей.
Накопленный отбор пластового газа Qдоб(t), млн м3, пересчитывают с учетом отчетных данных о добыче и потере углеводородов (газа сепарации и нестабильного конденсата) по формуле

(7.8)
где Qдоб.г(t) - накопленный отбор газа сепарации, млн м3;
Qдоб.к(t) - накопленный отбор нестабильного конденсата, тыс. т;

- плотность нестабильного конденсата, кг/м
3;
Mк - молекулярная масса нестабильного конденсата, кг/кмоль.
Значения плотности и молекулярной массы нестабильного конденсата определяют по результатам газоконденсатных исследований в соответствии с
инструкцией, утвержденной Министерством газовой промышленности
[3].
7.19.2 Начальные запасы сухого газа Qсух, млн м3, вычисляют по формуле
Qсух = QзапМДсух, (7.9)
где Qзап - начальные запасы пластового (свободного) газа в залежи, млн м3;
МДсух - молярная доля сухого газа в пластовом (сухом) газе, доли ед.
7.19.3 При подсчете запасов газового конденсата начальные запасы КГС S, тыс. т, вычисляют по формуле

(7.10)
где Qзап - начальные запасы пластового (свободного) газа в залежи, млн м3;
П - начальное потенциальное содержание конденсата в пластовом газе, г/м3.
7.19.4 При снижении пластового давления на дату подсчета ниже давления начала конденсации оценивают возможное уменьшение газонасыщенного объема газоконденсатной залежи. Оценку проводят с использованием результатов газоконденсатных исследований (см.
приложение Г). При изменении газонасыщенного объема, превышающем 5%, вносят соответствующие коррективы в рассчитанные остаточные запасы газа и конденсата.
7.20 Геологические запасы этана, пропана, бутанов, сероводорода, углекислого газа, гелия и других попутных компонентов Qкомп, тыс. т, вычисляют по формуле

(7.11)
где Пкомп - потенциальное содержание компонента, г/м3.
Потенциальное содержание компонента Пкомп, г/м3, вычисляют по формуле

(7.12)
где
Iкомп - процентное объемное содержание компонента в пластовом газе (см.
таблицу А.2 приложения А);

- плотность компонента при стандартных давлении 0,101325 МПа и температуре 293,15 К (20 °C), г/м
3.
7.21 Оценка достоверности параметров подсчета
7.21.1 Точность подсчета запасов газа на основе уравнения материального баланса зависит от правильности определения среднего пластового давления и количества воды, поступившей в залежь.
7.21.2 Как правило, недостаточно достоверными являются значения пластовых давлений и подъема ГВК в зонах отсутствия наблюдений; газонасыщенность и пластовое давление в обводненной зоне залежи.
7.21.3 Для оценки влияния возможной погрешности недостаточно надежно определяемых исходных данных (параметров) на достоверность подсчета запасов рекомендуется использовать оцененный с должной уверенностью диапазон их возможного изменения (от минимального значения до максимального).
7.21.4 Результаты подсчета запасов газа и газового конденсата на основе уравнения материального баланса по данным истории разработки месторождения сопоставляют с запасами:
- подсчитанными объемным методом;
- числящимися на государственном балансе запасов полезных ископаемых и ранее утвержденными.
7.21.5 При сопоставлении запасов, подсчитанных объемным методом и на основе уравнения материального баланса, следует из последнего значения запасов исключить остаточные запасы при конечном устьевом давлении, равном 0,101325 МПа.
8 Требования к содержанию документа (отчета) по подсчету запасов газа и газового конденсата на основе уравнения материального баланса
8.1 Отчет по подсчету запасов газа и газового конденсата в соответствии с требованиями
Приказа N 34 [4], утвержденного Министерством природных ресурсов и экологии Российской Федерации, должен содержать материалы в объеме, позволяющем провести проверку подсчета запасов без личного участия авторов. Материалы подсчета запасов включают в себя текстовую часть, текстовые, табличные и графические приложения.
Примечание - Первичные данные контроля за разработкой месторождений и результаты их промежуточной обработки при большом объеме могут быть представлены в виде приложений на электронных носителях.
8.2 В комплект материалов по подсчету запасов газа и газового конденсата входят:
- копия лицензии на право пользования недрами согласно
Закону Российской Федерации N 2395-1 "О недрах"
[5] и
Правилам безопасности, утвержденным Госгортехнадзором России
[6];
- справка организации-недропользователя о количестве добытого газа и газового конденсата, результатах измерений пластового давления (за весь период разработки);
- протокол рассмотрения отчета по подсчету запасов организацией-недропользователем.
8.3 Отчет по подсчету запасов газа и газового конденсата должен содержать следующие структурные элементы:
- титульный лист;
- список исполнителей;
- список рисунков;
- список таблиц;
- список сокращений;
- реферат;
- содержание (введение, основная часть текста, заключение);
- перечень использованных источников;
- табличные приложения;
- графические приложения;
- копию технического задания.
Объем каждого из разделов и полноту изложения отдельных положений определяют в зависимости от сложности геологического строения месторождения; результатов проведенных геологоразведочных; научно-исследовательских работ; стадии разработки месторождения; данных истории разработки в соответствии с требованиями
Инструкции о содержании, оформлении и порядке представления в ГКЗ материалов по подсчету запасов нефти и горючих газов
[7]. Разделы, дублирующие содержание подсчета запасов объемным методом, излагаются в реферативной форме со ссылкой на последний.
8.4 В разделе "Введение" приводят общие сведения о месторождении, год ввода месторождения в разработку, разрабатываемые пласты (залежи), даты и номера протоколов предыдущих утверждений запасов ГКЗ, утвержденные запасы, объемы добычи газа и конденсата на дату предыдущего подсчета, обоснование причин подсчета.
8.5 В разделе "Геологическое строение района и месторождения" приводят сведения в соответствии с ГОСТ Р 53797 и
ГОСТ Р 53579.
Для разрабатываемых месторождений приводят сопоставление данных о строении месторождения по предыдущим материалам с дополнительно полученными при их разработке и доразведки; анализ выявленных расхождений. Для месторождений, представление о геологическом строении которых не претерпело изменений, допускается приводить краткую геологическую характеристику со ссылкой на подсчет запасов объемным методом, где эти сведения были изложены более полно.
8.6 В разделе "Физико-литологическая характеристика коллекторов продуктивных пластов" приводят в кратком изложении информацию о подсчете запасов объемным методом.
8.7 В разделе "Состав и свойства газа и газового конденсата" приводят физико-химические характеристики газа и газового конденсата в пластовых и стандартных условиях. По тексту в разделе приводят
таблицы А.1 -
А.3 (приложение А).
8.8 В разделе "Геологическая модель месторождения" описывают процедуры построения и приводят основные характеристики трехмерной цифровой геологической модели, использованной для подсчета запасов объемным методом.
Примечание - Геологическую модель предоставляют на электронных носителях в форматах общедоступных коммерческих версий программных пакетов; комплектность предоставления обеспечивает возможность экспертизы построения без участия авторов.
8.9 В разделе "Сведения о текущем состоянии разработки" приводят:
- описание системы разработки;
- динамику основных технологических показателей разработки в сопоставлении с проектными по объектам подсчета запасов (годовой и накопленный отбор газа и конденсата с учетом потерь, фонд эксплуатационных и наблюдательных скважин, пластовые, забойные и устьевые давления, депрессии на пласт, дебиты скважин) по годам с начала разработки до даты подсчета запасов;
- анализ состояния и эффективности работ по контролю за разработкой;
- карты изобар и текущего положение ГВК на дату подсчета запасов;
- характеристику степени выработанности и состояния дренирования запасов;
- обоснование режима разработки и целесообразности использования метода материального баланса;
В случае использования трехмерной гидродинамической модели для проведения контрольных расчетов приводят ее описание, включая процедуры и результаты ремасштабирования и адаптации к истории разработки в соответствии с
регламентом по созданию постоянно действующих геолого-технологических моделей, утвержденным Минтопэнерго России
[2].
8.10 В разделе "Подсчет запасов газа и газового конденсата на основе уравнения материального баланса" приводят:
- полный массив первичных данных контроля за пластовыми давлениями и положением ГВК по скважинам за весь период разработки месторождения, используемых для выполнения подсчета запасов, результаты их обработки, интерпретации и анализа, включая результаты пересчета пластовых давлений на условную плоскость и приведения к единым датам и анализ динамики пластовых давлений по скважинам;
- карты изобар и текущего положения ГВК по годам разработки с указанием использованных программных пакетов и алгоритмов картопостроения;
- расчетные средневзвешенные по газонасыщенному поровому объему пластовые давления и объемы поступившей в залежь воды по годам за истекший период разработки с описанием программных пакетов и алгоритмов, использованных для численного интегрирования;
- анализ динамики пластовых давлений и обводнения залежи;
- результаты оценки величины начального газонасыщенного объема порового пространства залежи, уточненного в процессе разработки месторождения;
- результаты подсчета начальных геологических запасов газа и конденсата на основе уравнения материального баланса, текущих запасов в газонасыщенной и обводненной частях залежи на дату подсчета;
- результаты оценки дренируемых запасов газа с указанием использованного способа оценки;
- сопоставление результатов подсчета запасов на основе уравнения материального баланса с подсчитанными объемным методом и числящимися на государственном балансе;
По результатам подсчета проводят сопоставление вновь подсчитанных запасов газа и газового конденсата с запасами, ранее подсчитанными на основе уравнения материального баланса, а также подсчитанными объемным методом и числящимися на Государственном балансе запасов полезных ископаемых и ранее утвержденными ГКЗ, с указанием причин расхождений.
8.11 В разделе "Заключение" приводят основные результаты подсчета, выводы и рекомендации с учетом анализа разработки, степени выработанности и состояния дренирования залежи.
8.12 Перечень использованных источников
В перечне литературы, фондовых и других материалов, использованных при составлении отчета, приводят название материалов, авторов, место и год издания.
8.13 Табличные приложения содержат исходные и промежуточные данные, необходимые для проверки результатов по подсчету запасов на дату подсчета.
Обязательными являются:
-
таблица А.1 (приложение А) - Состав пластового газа и газового конденсата;
-
таблица А.2 (приложение А) - Минимальные промышленные концентрации попутных компонентов;
-
таблица А.3 (приложение А) - Физико-химические свойства конденсата;
-
таблица А.4 (приложение А) - Сопоставление проектных и фактических показателей разработки, проект/факт;
-
таблица А.5 (приложение А) - Результаты измерений статических давлений, проведенных в скважинах;
-
таблица А.6 (приложение А) - Результаты глубинных измерений давлений, проведенных в скважинах;
-
таблица А.7 (приложение А) - Данные об измерениях текущего положения ГВК по скважинам;
-
таблица А.8 (приложение А) - Исходные данные подсчета запасов газа и газового конденсата;
-
таблица А.9 (приложение А) - Начальное давление, средневзвешенное текущее пластовое давление, приведенное пластовое давление по объектам подсчета;
-
таблица А.10 (приложение А) - Подсчет запасов газа на основе уравнения материального баланса. Запасы газа по объектам подсчета;
-
таблица А.11 (приложение А) - Подсчет запасов на основе уравнения материального баланса. Динамика расчетных значений начальных запасов газа по годам проведения подсчета;
-
таблица А.12 (приложение А) - Динамика количества воды, внедрившейся в залежь с начала разработки;
-
таблица А.13 (приложение А) - Подсчет запасов газа и газового конденсата на основе уравнения материального баланса. Запасы газа и газового конденсата по объектам подсчета;
-
таблица А.14 (приложение А) - Сопоставление утвержденных ГКЗ начальных геологических запасов газа и запасов, числящихся на государственном балансе, с величиной подсчета запасов газа объемным методом и на основе уравнения материального баланса.
Табличные материалы могут быть расширены и представлены в виде приложения, если потребуются дополнительные данные, необходимые для проверки результатов по подсчету запасов углеводородов. При большом объеме информации таблицы допускается предоставлять в электронном виде.
8.14 Отчет по подсчету запасов газа и газового конденсата содержит графические материалы согласно перечню графических приложений:
- карту изобар на дату подсчета по объектам в масштабе 1:50000 или 1:100000;
- профили пластового давления по объектам во времени;
- карту начального положения ГВК в масштабе 1:50000 или 1:100000;
- карту текущего положения ГВК в масштабе 1:50000 или 1:10000;
- карту разработки по объектам в масштабе 1:5000 или 1:10000;
- кривые восстановления пластового давления по скважинам;
- график зависимости приведенного пластового давления от накопленного отбора газа по залежи;
- графики зависимости пластового давления во времени по скважинам и в целом по залежи.
Графические материалы должны быть оформлены в виде приложений, составлены в единых условных обозначениях. На каждом чертеже указывают его название и номер, числовой и линейный масштабы, наименование организации, должности и фамилии авторов.
8.15 Приложения с графическими материалами оформляют отдельным томом в виде папки, но не сшивают; каждый чертеж должен легко извлекаться для рассмотрения. К папке прикладывают внутреннюю опись, содержащую наименование чертежей и их порядковые номера. В конце описи указывают общее число листов. Графики зависимости приведенного пластового давления от накопленного отбора газа по скважинам предоставляют на электронном носителе.
Текстовую часть материалов подсчета запасов оформляют отдельным томом.
Табличные материалы оформляют отдельным томом и/или на электронном носителе. Приводят внутреннюю опись, содержащую наименование таблиц и их порядковые номера.
8.16 На титульных листах каждого тома должны быть указаны:
- организация - заказчик подсчета;
- организация, выполнившая подсчет запасов;
- организация-недропользователь, которая предоставила первичную и исходную информацию;
- полное название материалов с указанием наименования месторождения, вида полезного ископаемого;
- дата, на которую произведен подсчет запасов;
- место и год составления материалов;
- номер экземпляра материалов.
Титульные листы должны быть подписаны ответственными должностными лицами организации, предоставившей подсчет запасов, и авторами отчета; подписи удостоверяют печатью, форма титульного листа приведена в
приложении Д.
(обязательное)
ТАБЛИЦЫ К ОТЧЕТУ ПО ПОДСЧЕТУ ЗАПАСОВ ГАЗА И ГАЗОВОГО
КОНДЕНСАТА НА ОСНОВЕ УРАВНЕНИЯ МАТЕРИАЛЬНОГО БАЛАНСА <*>
--------------------------------
<*> Таблицы А.1 -
А.14 приводят к отчету на дату подсчета запасов.
Таблица А.1
Состав пластового газа и газового конденсата
Месторождение ________________ Дата подсчета ________________
Компонент | Состав газов | Состав конденсата | Состав пластового газа |
сепарации | дегазации | дебутанизации | дебутанизированного | КГН |
моли | % мол | % масс | моли | % мол | % масс | моли | % мол | % масс | моли | % мол | % масс | моли | % мол | % масс | моли | % мол | % масс |
1 | 2 | 3 | 4 | 5 | 6 | 7 | 8 | 9 | 10 | 11 | 12 | 13 | 14 | 15 | 16 | 17 | 18 | 19 |
CH4 | | | | | | | | | | | | | | | | | | |
C2H6 | | | | | | | | | | | | | | | | | | |
C3H8 | | | | | | | | | | | | | | | | | | |
i C4H10 | | | | | | | | | | | | | | | | | | |
n C4H10 | | | | | | | | | | | | | | | | | | |
i C5H12 | | | | | | | | | | | | | | | | | | |
n C5H12 | | | | | | | | | | | | | | | | | | |
C6H14 | | | | | | | | | | | | | | | | | | |
C7H16 | | | | | | | | | | | | | | | | | | |
C8H18 | | | | | | | | | | | | | | | | | | |
C9H20 | | | | | | | | | | | | | | | | | | |
C10H22+ | | | | | | | | | | | | | | | | | | |
N2 | | | | | | | | | | | | | | | | | | |
CO2 | | | | | | | | | | | | | | | | | | |
H2S | | | | | | | | | | | | | | | | | | |
Гелий | | | | | | | | | | | | | | | | | | |
и др. | | | | | | | | | | | | | | | | | | |
Всего | | | | | | | | | | | | | | | | | | |
C5+ | | | | | | | | | | | | | | | | | | |
Мсм | | | | | | | | | | | | | | | | | | |
МC5+ | | | | | | | | | | | | | | | | | | |
МC10+ | | | | | | | | | | | | | | | | | | |
МC10+ | | | | | | | | | | | | | | | | | | |
МC10+ | | | | | | | | | | | | | | | | | | |
Молярная доля газа сепарации в пластовом газе: Молярная доля "сухого" газа в пластовом: Молярное соотношение газа сепарации и "сухого" газа: Потенциальное содержание углеводородов C5+ на газ сепарации: Потенциальное содержание углеводородов C5+ на пластовый газ: Потенциальное содержание углеводородов C5+ на "сухой" газ: |
Таблица А.2
Минимальные промышленные концентрации попутных компонентов
Месторождение ________________ Дата подсчета ________________
Основное или попутное полезное ископаемое | Попутный компонент | Промышленная концентрация, % |
Свободный газ и газ газовых шапок | Этан | 3 |
Пропан-бутан | 0,9 |
Сероводород | 0,5 |
Гелий | 0,05 |
Азот | 15 |
Диоксид углерода | 15 |
Таблица А.3
Физико-химические свойства конденсата
Месторождение ________________ Дата подсчета ________________
Наименование показателя | Значение |
Плотность при 20 °C, г/см3 | |
Показатель преломления, nD20 | |
Вязкость кинематическая при 20 °C, мм2/с | |
Молекулярная масса | |
Содержание, % масс: | |
- серы | |
- твердых парафинов | |
- смол силикагелевых | |
- воды | |
Температура помутнения, °C | |
Температура застывания, °C | |
Таблица А.4
Сопоставление проектных и фактических показателей
разработки, проект/факт
Месторождение ________________ Дата подсчета ________________
Наименование показателя | Годы разработки |
____ г. | ____ г. | ____ г. | ____ г. | ____ г. |
Годовой отбор, млн м3 | | | | | |
Накопленный отбор, млн м3 | | | | | |
Темп отбора (от утвержденных ГКЗ запасов газа), % | | | | | |
Газоотдача (от утвержденных ГКЗ запасов газа), % | | | | | |
Средний дебит, тыс. м3/сут | | | | | |
Пластовое давление, МПа | | | | | |
Устьевое давление, МПа | | | | | |
Средняя депрессия на пласт, МПа | | | | | |
Число эксплуатационных скважин, ед. | | | | | |
Число действующих скважин, ед. | | | | | |
Число наблюдательных скважин, ед. | | | | | |
Коэффициент эксплуатации, доли ед. | | | | | |
Таблица А.5
Результаты измерений статических давлений,
проведенных в скважинах
Месторождение ________________ Дата подсчета ________________
Номер УКПГ | Номер куста | Номер скважины | Дата измерения | Время выдержки, ч | Устьевое давление, МПа | Температура на устье скважины, °C | Пластовое давление на отметке условной плоскости, МПа |
| | | | | | | |
| | | | | | | |
| | | | | | | |
| | | | | | | |
Таблица А.6
Результаты глубинных измерений давлений,
проведенных в скважинах
Месторождение ________________ Дата подсчета ________________
Номер УКПГ | Номер куста | Номер скважины | Дата замера | Глубина измерения, м | Устьевое давление, МПа | Температура на устье скважины, °C | Забойное давление, МПа | Пластовое давление, МПа | Пластовая температура, °C |
| | | | | | | | | |
| | | | | | | | | |
| | | | | | | | | |
| | | | | | | | | |
Таблица А.7
Данные об измерениях текущего положения ГВК по скважинам
Месторождение ________________ Дата подсчета ________________
Номер скважины | Данные об измерениях текущего ГВК |
Дата | Отметка текущего ГВК (а.о.), м | Дата | Отметка текущего ГВК (а.о.), м | Дата | Отметка текущего ГВК (а.о.), м |
| | | | | | |
| | | | | | |
| | | | | | |
| | | | | | |
| | | | | | |
| | | | | | |
| | | | | | |
Таблица А.8
Исходные данные подсчета запасов газа и газового конденсата
Месторождение ________________ Дата подсчета ________________
Наименование параметра | Значение/диапазон |
Начальные геологические запасы газа, утвержденные ГКЗ, млн м3 | |
Объем газонасыщенных пород, млн м3 | |
Площадь газоносности, км2 | |
Эффективная газонасыщенная толщина, м | |
Коэффициент пористости (газоносная зона), доли ед. | |
Коэффициент начальной газонасыщенности, доли ед. | |
Коэффициент газонасыщенности в обводненной зоне залежи, доли ед. | |
Проницаемость, мкм2 | |
Плотность газа, кг/м3 | |
Начальное положение ГВК, м | |
Текущее положение ГВК, м | |
Геологические запасы углеводородов C5+ (углеводородного конденсата), тыс. т | |
Начальное потенциальное содержание углеводородов C5+ в пластовом газе, г/м3 | |
Текущее потенциальное содержание C5+ в пластовом газе, г/м3 | |
Начальное пластовое давление, МПа | |
Начальная пластовая температура, °C | |
Коэффициент сжимаемости газа при начальном пластовом давлении и начальной температуре, доли ед. | |
Коэффициент сжимаемости газа при текущем составе газа и текущем пластовом давлении, доли ед. | |
Среднекритическое давление, МПа | |
Среднекритическая температура, К | |
Годовой отбор газа на дату подсчета, млн м3 | |
Накопленный отбор газа на дату подсчета, млн м3 | |
Примечание - Запасы газа для мелких и средних месторождений представляют в миллионах кубических метров; для гигантских и крупных месторождений - допускается в миллиардах кубических метров. |
Таблица А.9
Начальное давление, средневзвешенное текущее
пластовое давление, приведенное пластовое давление
по объектам подсчета
Месторождение ________________ Дата подсчета ________________
Объект подсчета | Начальное пластовое давление на дату ввода в разработку, МПа | Средневзвешенное текущее пластовое давление на дату подсчета, МПа |
pпл | p/z | pпл | p/z |
| | | | |
| | | | |
| | | | |
| | | | |
| | | | |
| | | | |
| | | | |
Таблица А.10
Подсчет запасов газа на основе уравнения материального
баланса. Запасы газа по объектам подсчета
Месторождение ________________ Дата подсчета ________________
Объект подсчета | Годовой отбор газа, млн м3 | Накопленный отбор газа, млн м3 | Отношение накопленного отбора к начальным геологическим запасам газа, % | Количество воды, внедрившейся в залежь, млн м3 | Запасы газа, подсчитанные на основе уравнения материального баланса, млн м3 | Примечание |
Газовый режим | Упруговодонапорный режим |
| | | | | | | |
| | | | | | | |
| | | | | | | |
| | | | | | | |
| | | | | | | |
| | | | | | | |
Таблица А.11
Подсчет запасов на основе уравнения материального баланса
газа. Динамика расчетных значений начальных запасов газа
по годам проведения подсчета
Месторождение ________________ Дата подсчета ________________
Объект подсчета | Начальные запасы газа, млн м3 |
____ г. | ____ г. | ____ г. | ____ г. | ____ г. |
| | | | | |
| | | | | |
| | | | | |
| | | | | |
| | | | | |
| | | | | |
Таблица А.12
Динамика количества воды, внедрившейся в залежь
с начала разработки
Месторождение ________________ Дата подсчета ________________
Объект подсчета | Количество воды, внедрившейся в залежь с начала разработки по годам, млн м3
% от начального газонасыщенного порового объема |
____ г. | ____ г. | ____ г. | ____ г. | ____ г. |
| | | | | |
| | | | | |
| | | | | |
| | | | | |
| | | | | |
| | | | | |
Таблица А.13
Подсчет запасов газа и газового конденсата на основе
уравнения материального баланса. Запасы газа и газового
конденсата по объектам подсчета
Месторождение ________________ Дата подсчета ________________
Объект подсчета | Накопленный отбор газа сепарации, млн м3 | Накопленный отбор нестабильного конденсата, тыс. т | Накопленный отбор стабильного конденсата, тыс. т | Накопленный отбор пластового газа, млн м3 | Начальные запасы пластового (свободного) газа в залежи, млн м3 | Начальные запасы сухого газа, млн м3 | Начальные запасы конденсата газового стабильного, тыс. т | Примечание |
| | | | | | | | |
| | | | | | | | |
| | | | | | | | |
| | | | | | | | |
| | | | | | | | |
| | | | | | | | |
Таблица А.14
Сопоставление утвержденных ГКЗ начальных геологических
запасов газа и запасов, числящихся на государственном
балансе, с величиной подсчета запасов газа объемным
методом и на основе уравнения материального баланса
Месторождение ________________ Дата подсчета ________________
Объект подсчета | Начальные геологические запасы газа, утвержденные ГКЗ (объемный метод), млн м3 | Запасы газа, числящиеся на Государственном балансе, млн м3 | Подсчет запасов газа, млн м3 | Примечание |
объемным методом | на основе уравнения материального баланса |
| | | | | |
| | | | | |
| | | | | |
| | | | | |
| | | | | |
| | | | | |
(справочное)
ПРИБЛИЖЕННЫЕ СПОСОБЫ ОПРЕДЕЛЕНИЯ
СРЕДНЕВЗВЕШЕННОГО ПЛАСТОВОГО ДАВЛЕНИЯ
Б.1 Приведенное среднее пластовое давление в зоне дренирования определяют как приведенное средневзвешенное по удельным объемам дренирования скважин по формуле

(Б.1)
где

- удельный газонасыщенный объем дренирования
i-й скважины на момент времени
t, м
3.
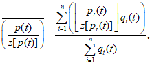
Б.2 Приведенное среднее пластовое давление в зоне отбора определяют как приведенное средневзвешенное по дебитам скважин по формуле

(Б.2)
где qi(t) - дебит газа i-й скважины на момент времени t, тыс. м3/сут.
Способы, приведенные в
Б.1,
Б.2, рекомендуется применять при анализе и контроле за разработкой и для оценки объемов дренирования залежи.
(справочное)
МЕТОДЫ ОЦЕНКИ ЗАПАСОВ ГАЗА НА ОСНОВЕ УРАВНЕНИЯ
МАТЕРИАЛЬНОГО БАЛАНСА
В.1 Метод удельных объемов дренирования
Метод удельных объемов дренирования не требует знания как объемных параметров, так и распределения пластового давления по периферии залежи. При использовании этого метода расчет проводят суммированием отдельных дренируемых объемов по скважинам.
Удельный газонасыщенный объем дренирования скважины

, млн м
3, вычисляют по формуле

(В.1)
где Qдоб.i(t1), Qдоб.i(t2) - суммарный отбор газа i-й скважины на момент времени t1, t2, млн м3;

,

- приведенное пластовое давление
i-й скважины на момент времени
t1,
t2, соответственно, МПа;
i - номер скважины;

- поправочный коэффициент, равный

.
Остаточные Qост.i(t), млн м3, и дренируемые запасы газа по скважине Qдр.i(t), млн м3, вычисляют по формулам:

(В.2)
Qдр.i(t) = Qост.i(t) + Qдоб.i(t). (В.3)
Общие дренируемые запасы газа Qзап(t), млн м3, на момент времени t вычисляют по формуле

(В.4)
В.2 Графоаналитический метод
В случае неизменного газонасыщенного порового пространства залежи текущий газонасыщенный объем порового пространства равен начальному газонасыщенному объему

, графическая зависимость

имеет линейный характер. С помощью экстраполяции прямой до

при пересечении с осью абсцисс оценивают начальные запасы.
(справочное)
РЕЗУЛЬТАТЫ ОЦЕНКИ ИЗМЕНЕНИЯ ГАЗОНАСЫЩЕННОГО ОБЪЕМА
ГАЗОКОНДЕНСАТНОЙ ЗАЛЕЖИ ЗА СЧЕТ ВЫПАДЕНИЯ
В ПЛАСТЕ РЕТРОГРАДНОГО КОНДЕНСАТА
Количество выпавшего в пласте ретроградного конденсата оценивают по результатам дифференциальной конденсации, которую выполняют в соответствии с
инструкцией, утвержденной Министерством газовой промышленности
[3]. Исследование методом дифференциальной конденсации проводят в камере PVT установки фазовых равновесий с использованием рекомбинированной пробы пластового газа. Рекомбинацию пластового газа проводят в соответствии с газоконденсатным фактором, определенным в процессе промысловых газоконденсатных исследований.
Возможное изменение газонасыщенного объема при разработке залежи пластового газа, содержащего конденсат, оценивают по количеству выпавшего в камере PVT ретроградного конденсата при снижении давления.
В качестве примера далее представлены результаты дифференциальной конденсации пластового газа с содержанием конденсата C5+ 249,75 г/м3 на сухой газ и 239,29 г/м3 на пластовый газ. При промысловых газоконденсатных исследованиях газоконденсатный фактор нестабильного конденсата составил 500 см3/м3.
Для рекомбинации пластового газа в камеру PVT было загружено 106 л газа сепарации и 53 см3 нестабильного конденсата (коэффициент усадки нестабильного конденсата - 0,65, плотность стабильного конденсата - 0,806 г/см3).
После рекомбинации и стабилизации пластового газа при давлении 61,2 МПа и температуре 383 К (начальные пластовые условия Астраханского ГКМ) объем пластового газа составил 314,2 см3, коэффициент сжимаемости - 1,255. Состав пластового газа, мол. доли %: H2S - 23,501; CO2 - 12,391; N2 - 0,041; CH4 - 55,936; C2H6 - 2,273; C3H8 - 0,978; i-C4H10 - 0,177; n-C4H10 - 0,513; C5+ - 4,19.
Коэффициент конденсатонасыщенности Kн, %, вычисляют по формуле

(Г.1)
где Vвк - количество выпавшего в камере PVT нестабильного конденсата;
VPVT - объем камеры PVT при начальном пластовом давлении и пластовой температуре.
Изменение давления в камере PVT в процессе проведения дифференциальной конденсации, количество выпавшего нестабильного конденсата и изменение газонасыщенного объема за счет выпавшего конденсата приведены в таблице Г.1.
Таблица Г.1
Изменение давления в камере PVT в процессе проведения
дифференциальной конденсации, количество выпавшего
нестабильного конденсата и изменение газонасыщенного
объема за счет выпавшего конденсата
Давление в камере, МПа | Количество выпавшего нестабильного конденсата, см3 | Изменение газонасыщенного объема, % |
61,2 | 0 | 0 |
42,2 | 0,38 | 0,12 |
39,0 | 1,17 | 0,37 |
34,8 | 4,60 | 1,46 |
30,2 | 8,92 | 2,84 |
24,6 | 12,72 | 4,05 |
19,0 | 14,96 | 4,76 |
13,0 | 16,03 | 5,10 |
9,0 | 15,33 | 4,88 |
5,2 | 14,54 | 4,63 |
0,1 | 10,22 | 3,25 |
Результаты эксперимента свидетельствуют, что максимальное уменьшение порового объема при разработке газоконденсатной залежи, насыщенной пластовым газом с высоким содержанием конденсата, не превышает 5%.
Формулу (7.1) для подсчета запасов сухого газа рекомендуется использовать в случае расчета запасов пластового газа с содержанием конденсата до 250 г/м
3 сухого газа.
(справочное)
___________________________________________________________________________
наименование вышестоящей организации
___________________________________________________________________________
полное наименование организации-заказчика
___________________________________________________________________________
полное наименование организации-исполнителя
___________________________________________________________________________
сокращенное наименование организации-исполнителя
___________________________________________________________________________
полное наименование организации-недропользователя
___________________________________________________________________________
сокращенное наименование организации-недропользователя
УДК
N Госрегистрации
Инв. N
Экз. N _____
СОГЛАСОВАНО | УТВЕРЖДЕНО |
ответственный представитель | ответственный представитель |
организации, выполнившей подсчет, | организации заказчика, |
ученая степень | ученая степень |
______________________ (Ф.И.О.) | ______________________ (Ф.И.О.) |
ОТЧЕТ
Наименование | Подсчет запасов газа и газового конденсата на основе уравнения материального баланса |
Том ... | Текстовая часть, табличные и графические приложения |
Ответственный исполнитель ___________________ _______________________
должность (Ф.И.О.)
Ответственный исполнитель ___________________ _______________________
должность (Ф.И.О.)
___________________________________________
местонахождение организации
___________________________________________
год
| | ИС МЕГАНОРМ: примечание. В официальном тексте документа, видимо, допущена опечатка: имеются в виду "Методические рекомендации по применению Классификации запасов и прогнозных ресурсов нефти и горючих газов, утвержденной Приказом Министерства природных ресурсов Российской Федерации от 1 ноября 2005 г. N 298". | |
|
| Методические рекомендации по применению классификации запасов и ресурсов нефти и горючих газов. - М.: Минприроды России, 2005 |
| | ИС МЕГАНОРМ: примечание. В официальном тексте документа, видимо, допущена опечатка: регламент имеет номер РД 153-39.0-047-00, а не РД 15339.0-047-00. | |
|
| | Регламент по созданию постоянно действующих геолого-технологических моделей нефтяных и газонефтяных месторождений |
| Инструкция по комплексному исследованию газовых и газоконденсатных пластов и скважин. Утверждена Министерством газовой промышленности СССР 14 июня 1979 г. |
| Приказ Министерства природных ресурсов и экологии Российской Федерации от 15 февраля 2011 г. N 34 "Об утверждении Требований к составу и правилам оформления представляемых на государственную экспертизу материалов по подсчету запасов нефти и горючих газов" |
| Закон Российской Федерации от 21 февраля 1992 г. N 2395-1 "О недрах" |
| | Правила охраны недр |
| | ИС МЕГАНОРМ: примечание. В официальном тексте документа, видимо, допущена опечатка: "Инструкция о содержании, оформлении и порядке представления в ГКЗ СССР материалов по подсчету запасов нефти и горючих газов" утверждена 26.08.1983, а не 14.10.1983. | |
|
| Инструкция о содержании, оформлении и порядке представления в ГКЗ СССР материалов по подсчету запасов нефти и горючих газов. Утверждена ГКЗ СССР 14 октября 1983 г. |