Главная // Актуальные документы // ГОСТ Р (Государственный стандарт)СПРАВКА
Источник публикации
М.: ИПК Издательство стандартов, 1999
Примечание к документу
Документ утратил силу с 15 февраля 2015 года в связи с изданием
Приказа Росстандарта от 29.11.2012 N 1617-ст. Взамен введен в действие
ГОСТ 31860-2012.
С 1 июля 2003 года до вступления в силу технических регламентов акты федеральных органов исполнительной власти в сфере технического регулирования носят рекомендательный характер и подлежат обязательному исполнению только в части, соответствующей целям, указанным в
пункте 1 статьи 46 Федерального закона от 27.12.2002 N 184-ФЗ.
Документ
введен в действие с 1 июля 2000 года.
Название документа
"ГОСТ Р 51310-99. Государственный стандарт Российской Федерации. Вода питьевая. Метод определения содержания бенз(а)пирена"
(принят и введен в действие Постановлением Госстандарта России от 20.08.1999 N 269-ст)
"ГОСТ Р 51310-99. Государственный стандарт Российской Федерации. Вода питьевая. Метод определения содержания бенз(а)пирена"
(принят и введен в действие Постановлением Госстандарта России от 20.08.1999 N 269-ст)
Принят и введен в действие
Госстандарта России
от 20 августа 1999 г. N 269-ст
ГОСУДАРСТВЕННЫЙ СТАНДАРТ РОССИЙСКОЙ ФЕДЕРАЦИИ
ВОДА ПИТЬЕВАЯ
МЕТОД ОПРЕДЕЛЕНИЯ СОДЕРЖАНИЯ БЕНЗ(А)ПИРЕНА
Drinking water.
Method for determination of benz(a)pyrene content
ГОСТ Р 51310-99
Группа Н09
ОКС 13.060.40
ОКСТУ 01 3100
Дата введения
1 июля 2000 года
1. Разработан Техническим комитетом по стандартизации ТК 343 "Качество воды".
Внесен Управлением продукции сельскохозяйственного производства, пищевой, легкой и химической промышленности Госстандарта России.
2. Принят и введен в действие
Постановлением Госстандарта России от 20 августа 1999 г. N 269-ст.
3. Введен впервые.
Настоящий стандарт распространяется на питьевую воду и воду источников хозяйственно-питьевого водоснабжения и устанавливает метод определения массовой концентрации бенз(а)пирена высокоэффективной жидкостной хроматографией с флуориметрическим детектированием в диапазоне массовой концентрации от 0,002 до 0,5 мкг/дм3 (при анализе пробы объемом 1 дм3).
Метод измерения основан на экстракции бенз(а)пирена из проб воды н-гексаном (хлористым метиленом), концентрировании экстракта, хроматографическом его разделении, регистрации сигнала флуоресценции с использованием флуоресцентного детектора, идентификации пика бенз(а)пирена на хроматограмме по времени удержания и расчете массовой концентрации бенз(а)пирена.
Метод может быть использован для целей сертификации.
В настоящем стандарте использованы ссылки на следующие стандарты:
ГОСТ 1770-74 Посуда мерная лабораторная стеклянная. Цилиндры, мензурки, колбы, пробирки. Технические условия
ГОСТ 4166-76 Реактивы. Натрий сернокислый. Технические условия
ГОСТ 4220-75 Реактивы. Калий двухромовокислый. Технические условия
ГОСТ 4233-77 Реактивы. Натрий хлористый. Технические условия
ГОСТ 4979-49 Вода хозяйственно-питьевого и промышленного водоснабжения. Методы химического анализа. Отбор, хранение и транспортирование проб
ГОСТ 7328-82 Меры массы общего назначения и образцовые. Технические условия
ГОСТ 9147-80 Посуда и оборудование лабораторные фарфоровые. Технические условия
ГОСТ 24104-88 Весы лабораторные общего назначения и образцовые. Общие технические условия
ГОСТ 25336-82 Посуда и оборудование лабораторные стеклянные. Типы, основные параметры и размеры
ГОСТ 29227-91 (ИСО 835-1-81) Посуда лабораторная стеклянная. Пипетки градуированные. Часть 1. Общие требования.
вспомогательное оборудование, реактивы
Жидкостный хроматограф с флуориметрическим детектором, обеспечивающим интервал длин волн возбуждения в диапазоне 270 - 360 нм и регистрации флуоресценции в диапазоне 390 - 450 нм. Хроматографическая колонка должна быть заполнена сорбентом с обращенной фазой и в условиях выполнения анализа должна иметь эффективность не менее 5000 теоретических тарелок по пику бенз(а)пирена. Минимально определяемая массовая концентрация бенз(а)пирена в концентрате пробы воды (соотношение сигнал/шум, равное трем) должна быть не более 0,002 мкг/см3. Колонка должна быть снабжена предколонкой, заполненной тем же сорбентом, что и колонка.
Государственный стандартный образец (ГСО) состава раствора бенз(а)пирена в ацетонитриле массовой концентрации 100 мкг/см3 и погрешностью аттестованного значения не более +/- 2%.
Весы лабораторные общего назначения 2-го класса точности с наибольшим пределом взвешивания 200 г, с погрешностью не более 0,0002 г по ГОСТ 24104.
Меры массы по ГОСТ 7328.
Секундомер механический.
Колбы мерные вместимостью 25, 50, 100 см3 2-го класса точности по
ГОСТ 1770.
Пипетки градуированные 2-го класса точности вместимостью 1, 2 и 5 см3 по
ГОСТ 29227.
Пробирки стеклянные с притертыми пробками вместимостью 10 и 15 см3 по
ГОСТ 25336.
Цилиндр мерный с притертой пробкой вместимостью 1000 см3 по
ГОСТ 1770.
Колбы плоскодонные вместимостью 100 и 250 см3 типа П-1 по
ГОСТ 25336.
Колбы круглодонные для перегонки вместимостью 50, 100 или 250 см3 по
ГОСТ 25336.
Воронки делительные вместимостью 1000 или 2000 см3 по
ГОСТ 25336.
Стаканы фарфоровые вместимостью 1200 см3 по
ГОСТ 9147.
Испаритель роторный пленочный любого типа.
Холодильник бытовой любого типа.
Баня водяная.
н-Гексан, х.ч.
Хлористый метилен, ч.д.а.
Ацетонитрил для жидкостной хроматографии.
Натрий сернокислый безводный по
ГОСТ 4166, х.ч.
Тиосульфат натрия, ч.д.а.
4.1. Пробы воды отбирают по
ГОСТ 24481 или
ГОСТ 4979. Для отбора, хранения и транспортирования проб используют бутыли из темного стекла с завинчивающимися пробками. Перед отбором проб бутыли ополаскивают н-гексаном, который предназначен для экстракции бенз(а)пирена.
4.2. Объем пробы воды для определения массовой концентрации бенз(а)пирена должен быть не менее 1000 см3.
4.3. Если проба содержит остаточный хлор, к ней добавляют 100 мг тиосульфата натрия и перемешивают.
4.4. Определение бенз(а)пирена в пробах проводят в течение 24 ч от момента отбора пробы. Хранят пробы в холодильнике при 4 - 6 °C.
5. Порядок подготовки к проведению измерений
5.1. Приготовление хромовой смеси
Для приготовления хромовой смеси в фарфоровый стакан помещают 50 г калия двухромовокислого и осторожно приливают по частям, тщательно перемешивая, 1 дм3 концентрированной серной кислоты. Хромовую смесь хранят в сосуде из стекла.
5.2. Подготовка стеклянной посуды
Стеклянную посуду заливают хромовой смесью и выдерживают 1 ч. Затем посуду извлекают из хромовой смеси и промывают водопроводной водой, ополаскивают ацетоном и дистиллированной водой, сушат в сушильном шкафу. После каждого анализа использованную посуду подвергают той же обработке. Чистую посуду хранят в закрытом виде.
Краны и шлифы делительных воронок должны быть тщательно обезжирены н-гексаном и обработаны хромовой смесью, как описано выше. Для смазки шлифованных поверхностей допускается использовать дистиллированную воду или концентрированную серную кислоту.
5.3. Приготовление раствора хлористого натрия массовой долей 20%
20 г хлористого натрия растворяют в 80 см3 дистиллированной воды. Срок хранения раствора не ограничен.
5.4. Приготовление элюента (подвижной фазы)
В стеклянной емкости смешивают ацетонитрил и дистиллированную воду в соотношении 8:2 по объему. Полученный элюент дегазируют, подсоединяя емкость с элюентом на 10 мин к вакууму водоструйного насоса.
Примечание. Допускается для дегазирования элюента поместить емкость с элюентом на 10 мин в ультразвуковую установку. Рабочая частота установки должна быть в пределах 20 - 30 кГц, выходная мощность не менее 50 Вт.
5.5. Приготовление растворов бенз(а)пирена для градуировки хроматографа
5.5.1. Исходный раствор бенз(а)пирена массовой концентрации 1,0 мкг/см3 и растворы бенз(а)пирена для градуировки хроматографа массовой концентрации 0,1 мкг/см3, 0,05 мкг/см3, 0,02 мкг/см3 и 0,01 мкг/см3 готовят путем последовательного разбавления ГСО состава раствора бенз(а)пирена в ацетонитриле. Для приготовления и хранения растворов используют только стеклянную посуду.
5.5.2. Приготовление раствора бенз(а)пирена массовой концентрации 1,0 мкг/см3.
1,0 см3 стандартного образца бенз(а)пирена в метаноле или ацетонитриле массовой концентрации 100 мкг/см3 помещают в мерную колбу вместимостью 100 см3 и разбавляют до метки ацетонитрилом. Срок хранения раствора в темноте при 4 - 6 °C не более 6 мес.
5.5.3. Приготовление раствора бенз(а)пирена массовой концентрации 0,1 мкг/см3.
2,5 см3 раствора бенз(а)пирена массовой концентрации 1,0 мкг/см3 по
5.5.2 помещают в мерную колбу вместимостью 25 см3 и разбавляют до метки ацетонитрилом. Срок хранения раствора в темноте при 4 - 6 °C не более 1 мес.
5.5.4. Приготовление раствора бенз(а)пирена массовой концентрации 0,05 мкг/см3.
2,5 см3 раствора бенз(а)пирена массовой концентрации 1,0 мкг/см3 по
5.5.2 помещают в мерную колбу вместимостью 50 см3 и разбавляют до метки ацетонитрилом. Срок хранения раствора в темноте при 4 - 6 °C не более 1 мес.
5.5.5. Приготовление раствора бенз(а)пирена массовой концентрации 0,02 мкг/см3.
1,0 см3 раствора бенз(а)пирена массовой концентрации 1,0 мкг/см3 по
5.5.2 помещают в мерную колбу вместимостью 50 см3 и разбавляют до метки ацетонитрилом. Срок хранения раствора в темноте при 4 - 6 °C не более 1 мес.
5.5.6. Приготовление раствора бенз(а)пирена массовой концентрации 0,01 мкг/см3.
2,5 см3 раствора бенз(а)пирена массовой концентрации 0,1 мкг/см3 по
5.5.3 помещают в мерную колбу вместимостью 25 см3 и разбавляют ацетонитрилом до метки. Срок хранения раствора в темноте 1 мес.
5.6. Подготовка хроматографа
Подготовку хроматографа к работе осуществляют в соответствии с инструкцией по эксплуатации. Устанавливают, используя монохроматор или соответствующие светофильтры, условия регистрации флуоресценции: интервал длин волн возбуждения 270 - 360 нм, интервал длин волн флуоресценции 390 - 450 нм.
5.7. Градуировка хроматографа
5.7.1. Градуировку хроматографа проводят не реже одного раза в 3 мес, а также при замене колонки или предколонки хроматографа, при замене используемых реактивов и стандартных образцов, после проведения ремонтно-профилактических работ хроматографа и/или его детектора.
5.7.2. Градуировку проводят путем хроматографирования растворов бенз(а)пирена концентрации 0,1 мкг/см3, 0,05 мкг/см3, 0,02 мкг/см3 и 0,01 мкг/см3, приготовленных по
5.5. Регистрируют не менее двух хроматограмм для каждого раствора, измеряют высоту (площадь) пика бенз(а)пирена металлической линейкой или с помощью интегратора и рассчитывают среднее арифметическое полученных значений. Расхождение между измеренными значениями высоты (площади) пика не должно превышать 7%. Если расхождение превышает указанное значение, выясняют и устраняют причину нестабильности и вновь регистрируют хроматограммы градуировочных растворов. По полученным данным строят график зависимости высоты (площади) пика от концентрации раствора бенз(а)пирена. Зависимость должна быть линейной, т.е. для каждого раствора отклонение измеренной по градуировочному графику концентрации от заданного значения не должно превышать 15%. Если отклонение превышает указанное значение, выявляют и устраняют причины нелинейности, после чего градуировку повторяют.
При ручной обработке хроматограмм масштаб при регистрации выбирают таким, чтобы при массовой концентрации раствора 0,1 мкг/см3 высота пика была не менее 4/5 ширины диаграммной ленты.
5.7.3. Контроль стабильности градуировочной характеристики проводят ежедневно после вывода хроматографа и детектора в рабочее состояние. Образцом для контроля может быть один из градуировочных растворов бенз(а)пирена массовой концентрации из ряда: 0,1; 0,05; 0,02 или 0,01 мкг/см3. Для контроля в устройство ввода проб хроматографа вводят 2 - 3 раза градуировочный раствор установленной концентрации и регистрируют хроматограммы. Измеряют линейкой (интегратором) высоту (площадь) пика бенз(а)пирена на каждой хроматограмме и рассчитывают среднее арифметическое полученных значений. Расхождение между измеренными значениями высоты (площади) пика не должно превышать 7%. По среднему арифметическому значению высот (площадей) пика на графике по
5.7.2 определяют массовую концентрацию бенз(а)пирена.
Градуировочная характеристика признается стабильной, если расхождение между заданным и измеренным значениями массовой концентрации бенз(а)пирена в растворе не превышает 15%. Если расхождение превышает указанное значение, процедуру контроля повторяют, а при повторном превышении указанного значения повторяют градуировку хроматографа.
Определяют время удержания пика бенз(а)пирена, соответствующее на хроматограмме расстоянию от момента ввода пробы до перпендикуляра, опущенного из вершины пика бенз(а)пирена до пересечения с базовой линией.
5.7.4. Для градуировки хроматографа и определения концентрации бенз(а)пирена в пробах воды допускается использовать компьютерные программы.
5.8. Проверка чистоты применяемых реактивов
Для анализа используют реактивы, чистота которых должна быть проверена. Рекомендуемые правила проверки чистоты химических реактивов и способы их очистки приведены в
Приложении А.
6. Порядок проведения измерений
6.1. Определение содержания бенз(а)пирена в пробах воды проводят при тех же условиях, при которых проводят градуировку хроматографа.
6.2. Анализируемую пробу воды объемом 1000 см3 помещают в делительную воронку вместимостью 2000 см3, добавляют 20 см3 раствора хлористого натрия по
5.3, (25 - 30) см3 н-гексана и проводят экстракцию, встряхивая смесь в течение 10 мин. После разделения фаз нижний слой переносят в цилиндр, которым отмеряли объем пробы, а верхний слой (экстракт) - в коническую колбу вместимостью 200 - 250 см3. Повторяют экстракцию бенз(а)пирена из анализируемой пробы воды еще дважды таким же объемом н-гексана без добавления раствора хлористого натрия. Перед добавлением н-гексана в делительную воронку им промывают сосуд, в котором находилась проба.
Экстракты объединяют, высушивают, пропуская через осушитель (воронку со слоем безводного сернокислого натрия высотой не менее 2 см) в колбу роторного испарителя вместимостью 250 см3. Осушитель и фильтр промывают 10 - 15 см3 н-гексана, присоединяя промывочный н-гексан к фильтрату.
Допускается для испытаний использовать автоматические и полуавтоматические экстракторы. При этом объем используемого н-гексана может быть уменьшен до 10 см3 в соответствии с инструкцией по эксплуатации экстрактора.
Допускается использовать хлористый метилен вместо н-гексана того же объема, что и н-гексан. При этом хлористый метилен образует нижний слой при экстракции бенз(а)пирена из проб воды.
6.3. Экстракт упаривают до небольшого объема 3 - 5 см3 на роторном испарителе. Остаток переносят в пробирку вместимостью 10 - 15 см3, тщательно, не менее 3 раз, обмывают стенки колбы н-гексаном, присоединяя промывочный н-гексан к раствору в пробирке, и упаривают досуха в вакууме водоструйного насоса, поместив пробирку в водяную баню при 40 - 50 °C; в случае использования хлористого метилена - при 35 - 40 °C. Остаток растворяют в 0,2 - 0,5 см3 ацетонитрила, тщательно обмывая стенки пробирки, и регистрируют объем полученного концентрата пробы

. Полученный концентрат выдерживают не менее 15 мин и анализируют при тех же условиях хроматографирования, при которых проводили градуировку, делая не менее двух вводов. Определяют время удержания пика бенз(а)пирена, как указано в
5.7.3.
Для концентрирования экстрактов допускается использовать любую аппаратуру (например установку Кудерна-Даниша), позволяющую проводить концентрирование экстракта без потерь бенз(а)пирена.
При анализе проб сильно загрязненных бенз(а)пиреном (свыше 0,02 мкг/дм3) объем ацетонитрила, используемый для растворения остатка после упаривания, следует увеличить до 1,0 - 1,5 см3.
6.4. Идентифицируют пик бенз(а)пирена на хроматограмме концентрата анализируемой пробы по соответствию времени удержания пика на хроматограмме концентрата пробы, полученной по
6.3, и хроматограмме градуировочного раствора, полученной при контроле стабильности градуировочной характеристики по
5.7.3. Расхождение времени удержания не должно превышать 10%.
6.5. Измеряют высоту (площадь) пика бенз(а)пирена на хроматограммах, полученных по результатам анализа не менее двух порций (двух вводов) концентрата.
6.6. Если высота (площадь) пика бенз(а)пирена, измеренная по
6.5, окажется больше, чем для градуировочного раствора максимальной концентрации, концентрат пробы разбавляют. Для этого отбирают объем концентрата

(рекомендуется 100 мм3), разбавляют ацетонитрилом до объема

(рекомендуется до 1000 мм3) и полученный разбавленный концентрат хроматографируют. Идентифицируют пик бенз(а)пирена по
6.4 и измеряют его высоту (площадь) по
6.5. Если полученное значение опять не укладывается в диапазон градуировочного графика, то разбавление повторяют.
7. Обработка результатов измерений
7.1. За результат измерения высоты (площади) пика бенз(а)пирена по
6.5 принимают среднее арифметическое значение не менее двух измерений, расхождение между которыми не должно превышать 7%. Если расхождение превышает указанное значение, то выясняют и устраняют причины нестабильности.
7.2. Массовую концентрацию бенз(а)пирена в концентрате (или в разбавленном концентрате) определяют по градуировочному графику по значению высоты (площади) пика бенз(а)пирена, вычисленной по
7.1.
7.3. Массовую концентрацию бенз(а)пирена в анализируемой пробе воды X, мкг/дм3, вычисляют по формуле

, (1)
где

- массовая концентрация бенз(а)пирена в концентрате по
7.2, мкг/см3;

- объем концентрата пробы по
6.3, см3;
Q - коэффициент разбавления концентрата. Если концентрат не разбавляют, то Q = 1;

- объем анализируемой пробы воды, дм3 (1 дм3);

- коэффициент извлечения бенз(а)пирена из пробы воды.
Коэффициент разбавления концентрата Q вычисляют по формуле

, (2)
где

- объем разбавленного концентрата по
6.6, мм3;

- объем порции концентрата, взятого для разбавления, мм3.
Коэффициент извлечения бенз(а)пирена из пробы воды

определяют по
Приложению Б.
7.4. Результат измерений массовой концентрации бенз(а)пирена в анализируемых пробах воды представляют в виде:

, мкг/дм3 при вероятности P = 0,95,
где X - массовая концентрация бенз(а)пирена в пробе воды, мкг/дм3;

- граница абсолютной погрешности измерений массовой концентрации бенз(а)пирена, мкг/дм3, вычисляемая по формуле

, (3)
где

- относительная погрешность измерений бенз(а)пирена по
таблице 1.
8. Характеристики погрешности измерений
8.1. Границы допускаемой относительной погрешности результатов измерений массовой концентрации бенз(а)пирена в пробе воды

при вероятности P = 0,95 приведены в таблице 1.
Диапазон измеряемой массовой концентрации бенз(а)пирена, мкг/дм3 | Границы погрешности  , % |
От 0,002 до 0,01 включ. | +/- 50 |
Св. 0,01 " 0,05 " | +/- 30 |
" 0,05 " 0,5 " | +/- 20 |
8.2. Норматив контроля воспроизводимости D при вероятности P = 0,95 и числе измерений n = 2 приведен в таблице 2.
Диапазон измеряемой массовой концентрации бенз(а)пирена, мкг/дм3 | Норматив D, % |
От 0,002 до 0,01 включ. | 60 |
Св. 0,01 " 0,05 " | 35 |
" 0,05 " 0,5 " | 25 |
8.3. Контроль точности (погрешности) измерений проводят в соответствии с правилами, изложенными в
Приложении В.
9. Оформление результатов измерений
Полученные результаты регистрируют в протоколах, в которых указывают:
- обозначение настоящего стандарта;
- порядковый номер пробы;
- отклонения при проведении определения, если таковые имелись, и факторы, отрицательно влияющие на результаты анализа;
- дату отбора пробы и анализа;
- результат измерения;
- фамилию исполнителя.
(рекомендуемое)
ПРАВИЛА ПРОВЕРКИ ЧИСТОТЫ ХИМИЧЕСКИХ РЕАКТИВОВ
И СПОСОБЫ ИХ ОЧИСТКИ
А.1. Проверку чистоты реактивов осуществляют по результатам анализа холостой пробы, в качестве которой используют 1000 см3 дистиллированной воды. Обработку и хроматографирование холостой пробы проводят в точном соответствии с обработкой и хроматографированием анализируемой пробы воды по
6.1 -
6.4 настоящего стандарта. Если на хроматограмме холостой пробы идентифицируется пик бенз(а)пирена, то выявляют источник загрязнения (н-гексан, хлористый метилен, дистиллированная вода) и устраняют его соответствующим способом очистки.
А.2. Для проверки чистоты экстрагента в колбу для перегонки вместимостью 250 см3 помещают н-гексан (или хлористый метилен), объем которого должен быть равен суммарному объему растворителя, используемому при обработке пробы по
6.2, и упаривают содержимое в роторном испарителе до небольшого объема.
Остаток переносят в пробирку вместимостью 10 - 15 см3, тщательно, не менее 3 раз, обмывают стенки колбы тем же растворителем, присоединяя промывочный растворитель к раствору в пробирке, и упаривают досуха в вакууме водоструйного насоса, поместив пробирку в водяную баню при 40 - 50 °C. Остаток растворяют, тщательно обмывая стенки пробирки, в таком же объеме ацетонитрила, который используется при анализе проб. Полученный концентрат выдерживают не менее 15 мин и анализируют при тех же условиях хроматографирования, при которых проводили градуировку хроматографа по
5.7 настоящего стандарта. Если пик бенз(а)пирена идентифицируется на хроматограмме, то растворитель необходимо подвергнуть тщательной перегонке, отбрасывая первые и последние 10% дистиллята, и повторно проверить чистоту.
А.3. Для проверки чистоты дистиллированной воды, применяемой для приготовления раствора или в качестве холостой пробы, проводят экстракцию возможных следов бенз(а)пирена из 1000 см3 дистиллированной воды по
6.2 настоящего стандарта, используя экстрагенты, чистота которых проверена по
А.2. Полученный экстракт анализируют по
6.3,
6.4 настоящего стандарта. Если пик бенз(а)пирена на хроматограмме не обнаружен, дистиллированную воду считают чистой.
Если пик бенз(а)пирена на хроматограмме обнаружен, дистиллированную воду необходимо повторно перегнать в кварцевом или стеклянном дистилляторе, отбрасывая первые и последние 15% дистиллята. При этом не допускается контакт получаемого дистиллята с деталями из резины, поливинилхлорида или иных полимерных материалов.
(обязательное)
ПРАВИЛА ИЗМЕРЕНИЯ КОЭФФИЦИЕНТА ИЗВЛЕЧЕНИЯ
БЕНЗ(А)ПИРЕНА ИЗ ПРОБЫ
Б.1. Для определения коэффициента извлечения бенз(а)пирена из пробы воды используют два образца: дистиллированную воду (холостая проба) и дистиллированную воду с добавкой бенз(а)пирена (рабочая проба). Приготовление пробы с добавкой бенз(а)пирена проводят по
В.2.2 Приложения В настоящего стандарта. Концентрацию бенз(а)пирена в рабочей пробе выбирают близкой к массовой концентрации бенз(а)пирена в анализируемой пробе. Проводят анализ холостой и рабочей проб и регистрируют хроматограммы по
6.1 -
6.3 настоящего стандарта, идентифицируют пик бенз(а)пирена по
6.4 настоящего стандарта и вычисляют концентрацию бенз(а)пирена в рабочей пробе по
7.3 настоящего стандарта.
Б.2. Проводят измерения массовой концентрации бенз(а)пирена не менее, чем в двух рабочих пробах одной и той же массовой концентрации по
разделу 6 настоящего стандарта. Расхождение между результатами измерений не должно превышать значение норматива контроля воспроизводимости в соответствии с
таблицей 2 настоящего стандарта.
Определяют среднее арифметическое значение двух измерений массовой концентрации бенз(а)пирена в рабочей пробе X, мкг/дм3.
Б.3. Коэффициент извлечения бенз(а)пирена

вычисляют по формуле

, (Б.1)
где X - значение массовой концентрации бенз(а)пирена в рабочей пробе по
Б.2, мкг/дм3;
C - значение массовой концентрации бенз(а)пирена в рабочей пробе, мкг/дм3 по
В.2.2 Приложения В настоящего стандарта.
Полученное значение

должно быть не менее 0,8 и не более 1,1; в холостой пробе бенз(а)пирен не должен обнаруживаться. Если эти условия не выполняются, то результаты определения коэффициента извлечения признают неудовлетворительными. Если

выше 0,95, но не более 1,1, то при вычислениях по
формуле (1) настоящего стандарта принимают

.
Б.4. Периодичность проведения измерения не реже одного раза в 3 мес. Расхождение между вновь установленным значением

и предыдущим его значением не должно превышать 0,2. Если расхождение превышает указанное значение, то измерения повторяют.
Б.5. Определение коэффициента извлечения проводят в следующих случаях:
- при выявлении неудовлетворительных результатов контроля воспроизводимости и/или точности измерений;
- при замене или после проведения ремонтно-профилактических работ вспомогательного оборудования, применяемого при экстракции и концентрировании.
(рекомендуемое)
ПРАВИЛА ПРОВЕДЕНИЯ КОНТРОЛЯ ТОЧНОСТИ (ПОГРЕШНОСТИ) ИЗМЕРЕНИЙ
В.1. Контроль воспроизводимости
В.1.1. Контроль воспроизводимости осуществляют путем сравнения результатов контрольных испытаний (анализов), проведенных на одной и той же пробе, выполненных по методу настоящего стандарта разными исполнителями на разном оборудовании с использованием реактивов разных партий в разное время.
В.1.2. Образцами для контроля являются реальные пробы воды. Объем отобранной пробы для контроля должен соответствовать удвоенному объему, предусмотренному настоящим стандартом. Отобранный объем делят на две части и анализируют в точном соответствии с требованиями настоящего стандарта.
В.1.3. Результат контроля считают удовлетворительным при выполнении условия

, (В.1)
где

,

- результаты анализа пробы, полученные по
В.1.1 разными исполнителями, мкг/дм3;
D - норматив воспроизводимости (допускаемое расхождение между двумя результатами анализа одной и той же пробы) по
таблице 2 настоящего стандарта, %.
Если условие не выполняется, эксперимент повторяют. При повторном получении отрицательного результата выясняют причины, приводящие к неудовлетворительным результатам контроля, и устраняют их.
В.2. Контроль погрешности
В.2.1. Контроль погрешности результатов измерений выполняют методом добавок.
В.2.2. Для контрольных анализов объем пробы должен соответствовать удвоенному объему, предусмотренному настоящим стандартом.
Отобранный объем пробы воды делят на две части. Первую часть (характеризующую состав исходной пробы воды) оставляют без изменений. Измеряют объем второй части

, см3, и вносят добавку бенз(а)пирена, используя исходный или градуировочный раствор по
5.5 настоящего стандарта или государственный стандартный образец состава раствора бенз(а)пирена в ацетонитриле известной концентрации

, мкг/см3 такого объема

, см3, чтобы содержание бенз(а)пирена в добавке составляло 50 - 200% его содержания в исходной пробе.
При этом концентрация бенз(а)пирена в пробе с добавкой не должна превышать верхний предел диапазона измеряемых концентраций бенз(а)пирена, предусмотренного методом настоящего стандарта.
Если значение массовой концентрации бенз(а)пирена в исходной пробе оказывается меньше, чем нижняя граница диапазона измерения, то в пробу воды вносят такую добавку, чтобы содержание бенз(а)пирена в добавке составляло 0,003 - 0,006 мкг/дм3.
Массовую концентрацию добавки бенз(а)пирена в пробе C, мкг/дм3, вычисляют по формуле

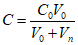
. (В.2)
В.2.3. Анализируют пробы воды, полученные в
В.2.2 в соответствии с методом настоящего стандарта, получая результат анализа исходной пробы воды X, мкг/дм3, и пробы с добавкой X' мкг/дм3. Результат контроля считают удовлетворительным при выполнении условия:

, (В.3)
где C - массовая концентрация добавки бенз(а)пирена по
В.2.3, мкг/дм3;
K - норматив контроля погрешности, вычисляют по формуле

, (В.4)
где

и

- абсолютные погрешности определения массовой концентрации бенз(а)пирена соответственно в пробе с добавкой и в пробе без добавки. Значения

и

вычисляют по формулам:

;

, (В.5)
где

и

- границы погрешности для массовой концентрации бенз(а)пирена соответственно в пробе с добавкой и в пробе без добавки, приведенные в
таблице 1 настоящего стандарта, %.
В.2.4. Если значение массовой концентрации бенз(а)пирена в исходной пробе воды оказывается меньше, чем нижняя граница диапазона измеряемых концентраций, то результаты контроля признают удовлетворительными при выполнении условия

, (В.6)
где K - норматив контроля погрешности, вычисляют по формуле

. (В.7)
В.2.5 Если условие по
В.2.3 (или
В.2.4) не выполняется, эксперимент повторяют. В случае повторного получения отрицательного результата выясняют причины, приводящие к неудовлетворительным результатам контроля, и устраняют их.