Главная // Актуальные документы // ГОСТ Р (Государственный стандарт)СПРАВКА
Источник публикации
М.: ИПК Издательство стандартов, 1997
Примечание к документу
Документ утратил силу с 1 января 2015 года в связи с изданием
Приказа Росстандарта от 01.11.2012 N 639-ст. Взамен вводится в действие ГОСТ 31609-2012 (ISO 3107:1988).
С 1 июля 2003 года до вступления в силу технических регламентов акты федеральных органов исполнительной власти в сфере технического регулирования носят рекомендательный характер и подлежат обязательному исполнению только в части, соответствующей целям, указанным в
пункте 1 статьи 46 Федерального закона от 27.12.2002 N 184-ФЗ.
Документ
введен в действие с 1 июля 1998 года.
Название документа
"ГОСТ Р 51094-97 (ИСО 3107-88). Государственный стандарт Российской Федерации. Материалы стоматологические цементные на основе оксида цинка с эвгенолом и без эвгенола. Общие технические требования и методы испытаний"
(принят и введен в действие Постановлением Госстандарта России от 23.09.1997 N 338)
"ГОСТ Р 51094-97 (ИСО 3107-88). Государственный стандарт Российской Федерации. Материалы стоматологические цементные на основе оксида цинка с эвгенолом и без эвгенола. Общие технические требования и методы испытаний"
(принят и введен в действие Постановлением Госстандарта России от 23.09.1997 N 338)
Принят и введен в действие
Постановлением Госстандарта России
от 23 сентября 1997 г. N 338
ГОСУДАРСТВЕННЫЙ СТАНДАРТ РОССИЙСКОЙ ФЕДЕРАЦИИ
МАТЕРИАЛЫ СТОМАТОЛОГИЧЕСКИЕ ЦЕМЕНТНЫЕ НА ОСНОВЕ ОКСИДА
ЦИНКА С ЭВГЕНОЛОМ И БЕЗ ЭВГЕНОЛА
ОБЩИЕ ТЕХНИЧЕСКИЕ ТРЕБОВАНИЯ И МЕТОДЫ ИСПЫТАНИЙ
Dental zinc-oxide cements with and without eugenol.
General technical requirements and test methods
ГОСТ Р 51094-97
(ИСО 3107-88)
Группа Р22
ОКС 11.060.10
ОКСТУ 9391
Дата введения
1 июля 1998 года
1. Разработан Техническим комитетом по стандартизации ТК 279 "Зубоврачебное дело".
Внесен Отделом стандартизации и сертификации информационных технологий, продукции электротехники и приборостроения Госстандарта России.
2. Принят и введен в действие Постановлением Госстандарта России от 23.09.97 N 338.
3. Настоящий стандарт содержит полный аутентичный текст международного стандарта ИСО 3107-88 "Материалы стоматологические цементные на основе оксида цинка с эвгенолом и без эвгенола. Общие технические требования и методы испытаний" с дополнительными требованиями, отражающими потребности экономики страны.
4. Введен впервые.
Международная организация по стандартизации (ИСО) представляет собой объединение национальных организаций по стандартизации (комитеты - члены ИСО). Разработка международных стандартов осуществляется техническими комитетами ИСО. Каждый комитет-член может принимать участие в работе любого технического комитета по интересующему его вопросу. Правительственные и неправительственные международные организации, сотрудничающие с ИСО, также принимают участие в этой работе. ИСО тесно сотрудничает с международной электротехнической комиссией (МЭК) по всем вопросам стандартизации электротехнических изделий.
Проекты международных стандартов, принятые техническими комитетами, перед утверждением их Советом ИСО в качестве международных стандартов направляются на рассмотрение всем комитетам-членам. В соответствии с процедурой ИСО их должны одобрить не менее 75% комитетов-членов, принимающих участие в голосовании.
Международный стандарт ИСО 3107 разработан Техническим комитетом ИСО/ТК 106 "Стоматология".
Настоящее второе издание отменяет и заменяет первые издания ИСО 3106-74 и ИСО 3107-74.
При пользовании международными стандартами следует иметь в виду, что они периодически пересматриваются, и ссылки в тексте на какой-либо другой стандарт относятся к его последнему изданию, если не указано иначе.
Специальные качественные и количественные требования по биологической безопасности не включены в настоящий стандарт.
Дополнительные требования, отражающие потребности экономики страны, приведены в
Приложении А.
Настоящий стандарт устанавливает требования и методы испытаний для неводных на основе оксида цинка с эвгенолом и без эвгенола цементных стоматологических материалов (далее - цементы), поставляемых в форме порошок-жидкость или паста-паста и предназначенных для применения в стоматологической практике непосредственно в полости рта. Указанные цементы могут содержать эвгенол или ароматические масла, химические соединения, способные реагировать с окисью цинка, такие как ускорители, каучуки и полимеры, а также инертные неорганические наполнители.
Настоящий стандарт распространяется на цементы на основе оксида цинка с эвгенолом и модифицированные на основе оксида цинка с эвгенолом промышленного изготовления, предназначенные для использования в восстановительной стоматологии для временного и постоянного цементирования, в качестве временных пломб как подкладки и прокладки в полостях зубов. Стандарт также распространяется на цементы на основе оксида цинка без эвгенола, содержащие окись цинка и ароматические масла и предназначенные для временного цементирования.
В настоящем стандарте использованы ссылки на следующие стандарты:
ГОСТ 1770-74 Посуда мерная лабораторная стеклянная. Цилиндры, мензурки, колбы, пробирки. Технические условия
ГОСТ 4212-76 Реактивы. Приготовление растворов для колориметрического и нефелометрического анализа
ГОСТ 5457-75 Ацетилен растворенный и газообразный технический. Технические условия
ГОСТ 8422-76 Натрий йодистый 2-водный. Технические условия
ГОСТ 17433-80 Промышленная чистота. Сжатый воздух. Классы загрязненности
ГОСТ 24104-88 Весы лабораторные общего назначения и образцовые. Общие технические условия
ГОСТ 25336-82 Посуда и оборудование лабораторные стеклянные. Типы, основные параметры и размеры
В настоящем стандарте цементы на основе оксида цинка с эвгенолом подразделяют на следующие типы по их назначению в восстановительной стоматологии:
тип I - для временного цементирования, затвердевающие и незатвердевающие:
класс 1 - порошок и жидкость;
класс 2A - затвердевающая паста и паста, содержащая эвгенол;
класс 2B - затвердевающая паста и паста, не содержащая эвгенол;
класс 3 - незатвердевающая паста и паста;
тип II - для постоянного цементирования:
класс 1 - порошок и жидкость;
тип III - для временных пломб и основы:
класс 1 - порошок и жидкость;
класс 2 - паста и паста;
тип IV - для прокладок в полостях зубов:
класс 1 - порошок и жидкость;
класс 2 - затвердевающая паста и паста.
5.1. Материал
Компоненты материала при смешивании их по инструкциям изготовителя должны образовывать в течение установленного времени материал, обладающий характеристиками, соответствующими его назначению.
5.2. Компоненты
Жидкость должна быть прозрачной, бесцветной или с легким янтарным оттенком, без осадка и взвеси.
Порошок должен быть без механических примесей. Если порошок окрашен, окраска должна быть равномерной.
Одна упаковка с пастами должна состоять из двух разборных тюбиков или других контейнеров, один с цинк-оксидной пастой с модификаторами или без них, а другой - с пастой на основе эвгенола или без эвгенола с модификаторами или без них. Паста должна быть однородной и без механических примесей.
5.3. Требования к рабочим характеристикам
При испытаниях, проводимых в соответствии с
разделом 7, рабочие характеристики цементов должны соответствовать требованиям, установленным в таблице 1.
Таблица 1
Требования к рабочим характеристикам цементов
Тип цемента | Время твердения при 37 °C, мин | Прочность при сжатии через 24 ч, МПа | Дезинтеграция через 24 ч, % | Толщина пленки, мкм | Содержание кислоторастворимого мышьяка, мг/кг |
Мин. | Макс. | Мин. | Макс. | Макс. | Макс. | Макс. |
Тип I: | | | | | | | |
класс 1 | 4 | 10 | - | 35 | 2,5 | 25 | 2 |
класс 2A | 4 | 10 | - | 35 | 2,5 | 25 | 2 |
класс 2B | 4 | 10 | - | 35 | 2,5 | 25 | 2 |
класс 3 | Пенетрация в течение 60 мин | | | | 25 | 2 |
Тип II: | | | | | | | |
класс 1 | 4 | 10 | 35 | - | 1,5 | 25 | 2 |
Тип III: | | | | | | | |
класс 1 | 3 | 10 | 25 | - | 1,5 | | 2 |
класс 2 | 3 | 10 | 25 | - | 1,5 | | 2 |
Тип IV: | | | | | | | |
класс 1 | 4 | 10 | 5 | - | 1,5 | | 2 |
класс 2 | 4 | 10 | 5 | - | 1,5 | | 2 |
|
5.4. Биологическая безопасность
Оценка биологической и токсической опасности - по Сборнику материалов
[1].
Общее содержание мышьяка в цементах, определяемое по
7.6, не должно превышать значений, установленных в
таблице 1.
5.5. Инструкции изготовителя
К каждой упаковке должны быть приложены инструкции для потребителя по дозировке, смешиванию и работе с цементом, в которых должны быть указаны:
a) рекомендуемые температура и влажность воздуха при смешивании, состояние и тип поверхности смеси;
b) рекомендуемое соотношение компонентов для каждого специального применения;
c) последовательность введения компонентов;
d) время смешивания;
e) рабочее время после окончания смешивания;
f) время твердения (при необходимости).
6. ОТБОР ОБРАЗЦОВ И ОСМОТР
6.1. Поставка
Поставка образцов на испытание осуществляется по соглашению между изготовителем и испытательной лабораторией и регистрируется в протоколе испытаний.
6.2. Отбор образцов
Образец, взятый из одной партии, должен содержать достаточное количество порошка и жидкости или соответствующих паст для проведения испытаний, установленных в настоящем стандарте.
6.3. Осмотр
7.1. Приготовление образцов
7.1.1. Климатические условия
Все операции по смешиванию компонентов цемента для приготовления образцов проводят при температуре (23 +/- 1) °C и относительной влажности (50 +/- 2)%.
7.1.2. Оборудование для смешивания
7.1.2.1. Гладкая стеклянная пластина размером 150 x 75 x 20 мм.
Если изготовитель поставляет прокладку для смешивания, ее следует использовать.
7.1.2.2. Твердый шпатель, инертный по отношению к цементу.
Все оборудование для смешивания должно быть чистым, сухим, без частиц затвердевшего цемента.
7.1.3. Методика смешивания
Компоненты цемента помещают на поверхность для смешивания в пропорциях, указанных в инструкции изготовителя.
Если цемент поставляется в виде двух паст, используют соотношение компонентов, указанное в инструкции изготовителя, получая при этом не менее 0,75 мл смешанного цемента.
Компоненты смешивают до однородной массы в соответствии с инструкцией изготовителя.
7.2. Определение времени твердения
7.2.1. Оборудование
7.2.1.1. Термостат или климатическая камера с температурой (37 +/- 1) °C и относительной влажностью 95 - 100%.
7.2.1.2. Индентор с иглой массой (400 +/- 2) г и диаметром ее плоского торца (1,0 +/- 0,1) мм. Конец иглы должен быть цилиндрическим на длине 5 мм. Торец иглы должен быть плоским и перпендикулярным к оси стержня. Эту иглу используют для испытаний цементов типа I (класс 1), типа II (класс 1), типа III (класс 1) и типа IV (класс 1).
Индентор с подобной иглой массой (100 +/- 0,5) г и диаметром плоского торца (2,0 +/- 0,1) мм используют для испытания цементов типа I (классы 2A и 2B) и типа IV (класс 2).
7.2.1.3. Форма из некорродирующего металла, состоящая из прямоугольной пластины с круглым отверстием и соответствующая размерам, приведенным на рисунке 1.
Рисунок 1. Форма для определения времени твердения
7.2.1.4. Металлический блок размерами 8 x 20 x 10 мм, представляющий собой часть оборудования, указанного в
7.2.1.1, или самостоятельный элемент.
7.2.1.5. Стеклянная пластина толщиной 1 мм (например, предметное стекло микроскопа).
7.2.2. Методика
Металлический блок
(7.2.1.4) и индентор с иглой
(7.2.1.2) выдерживают в термостате
(7.2.1.1) при температуре (37 +/- 1) °C в течение 1 ч.
Помещают металлическую форму
(7.2.1.3), термостатированную при температуре (23 +/- 1) °C, на стеклянную пластину
(7.2.1.5) и заполняют ее доверху цементом, смешанным по инструкции изготовителя.
Через (120 +/- 10) с для цементов типа II (класс 1) или (180 +/- 10) с для цементов типа I (классы 1, 2A и 2B), типа II (класс 1) и типа IV (классы 1 и 2) от начала смешивания переносят образец в термостат для испытания.
Сразу же после помещения образца в термостат осторожно опускают иглу индентора вертикально на поверхность цемента и вдавливают в цемент с интервалами 15 с до начала времени твердения, указанного в инструкции изготовителя. Между погружениями иглу очищают.
Записывают время твердения как период времени между началом смешивания и временем, когда игла перестает полностью проникать на глубину цемента 2 мм. Такая пенетрация может быть установлена путем визуального осмотра образца на свету.
Испытание проводят не менее трех раз.
Примечание. Цемент типа I (класс 3) не затвердевает. Для проверки этого свойства используют иглу массой (100 +/- 0,5) г и испытывают образец каждые 15 мин в течение 1 ч. При каждом испытании должна быть получена полная пенетрация.
7.2.3. Оформление результатов
Вычисляют среднее арифметическое результатов двух испытаний и полученное значение записывают с точностью до 15 с.
7.3. Определение прочности при сжатии
7.3.1. Оборудование
7.3.1.1. Термостат или климатическая камера.
7.3.1.2. Пять разъемных форм высотой 6 мм и внутренним диаметром 4 мм и пластины (рисунок 2), изготовленные из нержавеющей стали или другого материала, не корродирующего при контакте с цементом.
Рисунок 2. Форма для приготовления образцов
для испытания на прочность при сжатии
7.3.1.3. Пять винтовых зажимов (рисунок 3).
Рисунок 3. Зажим для приготовления образцов
для испытания на прочность при сжатии
7.3.1.4. Аппарат для определения прочности при сжатии со скоростью нагружения (1,00 +/- 0,25) мм/мин.
7.3.2. Приготовление образцов
Приготавливают не менее пяти образцов. Термостатируют формы
(7.3.1.2), винтовые зажимы
(7.3.1.3), верхнюю и нижнюю пластины
(7.3.1.2) при температуре (23 +/- 1) °C в течение 1 ч.
В течение 1 мин после окончания смешивания, проводимого по инструкции изготовителя, помещают цемент с небольшим избытком в разъемные формы.
Примечание. Для уплотнения цемента и во избежание образования воздушных пузырьков рекомендуют помещать смешанный цемент в формы большими порциями, прижимая его к одной стороне формы соответствующим инструментом.
Указанным способом заполняют с избытком форму и затем, слегка прижимая, устанавливают ее на нижнюю пластину.
Удаляют излишки цемента, накладывают в нужном положении верхнюю пластину и все сжимают. Помещают форму с пластинами в зажим
(7.3.1.3) и крепко завинчивают в нем. Не позднее чем через 2 мин после окончания смешивания переносят зажим с пластинами и формой в термостат
(7.3.1.1), в котором установлена температура (37 +/- 1) °C.
Через час после окончания смешивания вынимают зажим с формой из термостата, снимают пластины и обрабатывают боковые поверхности образца, делая их плоскими и перпендикулярными его продольной оси, при помощи небольшого количества порошка карбида кремния (45 мкм) или аналогичного абразивного порошка, смешанного на стеклянной пластине. Можно также использовать наждачную бумагу эквивалентного качества и воду. В ходе шлифования края образца увлажняют и поворачивают его на четверть оборота через несколько возвратно-поступательных движений.
Сразу же после обработки образец вынимают из формы и осматривают на наличие воздушных раковин и сколотых краев. При обнаружении подобных дефектов образец бракуют.
Примечание. Для облегчения извлечения образца затвердевшего цемента внутренняя поверхность форм перед заполнением может быть покрыта 3%-ным раствором микрокристаллического или твердого парафина в чистом толуоле. Можно также использовать тонкий слой силиконовой смазки или сухой смазки на основе политетрафторэтилена ПТФЭ.
Каждый принятый образец погружают в дистиллированную или деионизированную воду и выдерживают при температуре (37 +/- 1) °C в течение 24 ч, затем помещают их в дистиллированную или деионизированную воду при температуре (23 +/- 1) °C и выдерживают не менее 15 мин до начала испытаний.
7.3.3. Методика
Испытывают не менее пяти образцов.
Через 24 ч после окончания смешивания при помощи соответствующего аппарата
(7.3.1.4) определяют прочность испытуемых образцов при сжатии.
Образец помещают плоскими краями между пластинами аппарата таким образом, чтобы нагрузка прикладывалась в направлении продольной оси образца.
7.3.4. Оформление результатов
Записывают максимальную прикладываемую нагрузку, при которой происходит разрушение образца, и вычисляют прочность при сжатии K, мПа, по формуле

,
где F - максимальная нагрузка, Н;
d - диаметр образца, мм.
7.3.5. Соответствие требованиям к рабочим характеристикам цементов
Если не менее четырех из пяти полученных результатов ниже минимального значения прочности
(таблица 1), цемент считают не соответствующим требованиям настоящего стандарта. Если не менее четырех из пяти результатов выше минимального значения прочности, цемент считают соответствующим требованиям настоящего стандарта.
В других случаях дополнительно приготовляют 10 образцов и вычисляют средний результат всех 15 образцов. Округляют полученное значение до двух значащих цифр и записывают его как значение прочности при сжатии.
7.4. Определение толщины пленки
7.4.1. Оборудование
7.4.1.1. Две оптически плоские круглые стеклянные пластины одинаковой толщины не менее 5 мм и площадью контактной поверхности (200 +/- 10) мм2.
7.4.1.2. Нагрузочное устройство (рисунок 4) или аналогичное, при помощи которого можно прикладывать усилие 147 Н (15 кг массы)
1 - нагрузка; 2 - стеклянная пластина; 3 - образец
Рисунок 4. Нагрузочное устройство для определения
толщины пленки
перпендикулярно к поверхности цемента. Нижняя поверхность несущего нагрузку стержня должна быть горизонтальной и параллельной основанию устройства и иметь достаточный размер для покрытия одной из стеклянных пластин. Нагрузочное устройство должно обеспечивать приложение нагрузки без какого-либо вращательного движения. Каждая стеклянная пластина должна крепиться к нагрузочному устройству при помощи упоров, предупреждающих смещение при приложении нагрузки.
7.4.1.3. Микрометр или аналогичное измерительное средство с погрешностью измерений 1 мкм.
7.4.2. Методика
Производят точное измерение толщины двух оптически плоских стеклянных пластин
(7.4.1.1), сложенных вместе.
Кладут небольшое количество цемента, смешанного по инструкции изготовителя, в центр одной из стеклянных пластин и устанавливают в упоры. Помещают вторую стеклянную пластину центральной частью на цемент.
В течение указанного в инструкции изготовителя рабочего времени при помощи нагрузочного устройства
(7.4.1.2) осторожно прикладывают усилие 147 Н перпендикулярно к верхней пластине и удерживают его в течение 8 мин. Следят за тем, чтобы цемент полностью заполнил пространство между пластинами.
Измеряют толщину двух стеклянных пластин и цементной пленки.
Испытание проводят не менее трех раз.
7.4.3. Оформление результатов
Находят разницу в толщине пластин с цементной пленкой и без нее и записывают результат как толщину пленки.
Вычисляют среднее значение трех таких испытаний с точностью до 1 мкм.
7.5. Определение дезинтеграции
7.5.1. Оборудование
7.5.1.1. Термостат или климатическая камера
(7.2.1.1).
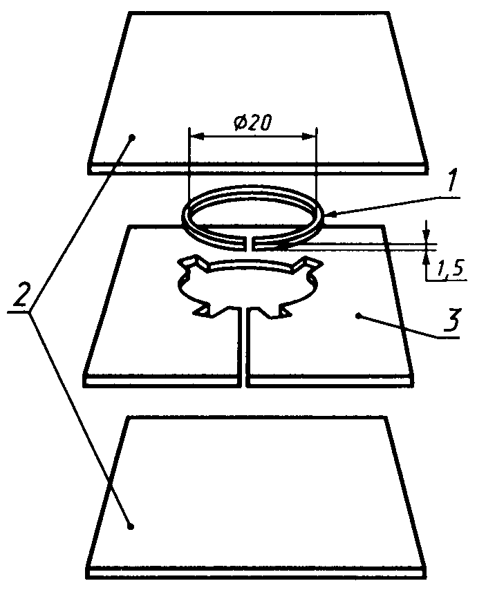
7.5.1.2. Форма, состоящая из разъемного кольца из нержавеющей стали высотой 1,5 мм и внутренним диаметром 20 мм, помещаемого в шаблон или фиксирующую пластину (рисунок 5).
1 - разъемное кольцо; 2 - покровные пластины;
3 - фиксирующая пластина
Рисунок 5. Форма и шаблон для приготовления образцов
для определения дезинтеграции цемента
Шаблон или фиксирующая пластина при избытке цемента препятствуют расширению диаметра разъемного кольца свыше 20 мм.
7.5.1.3. Два куска проволоки из нержавеющей стали или другого коррозионно-стойкого материала диаметром 0,75 мм и длиной 50 мм, взвешенные с точностью до 0,001 г каждый.
7.5.1.4. Две бутыли с широким горлышком емкостью не менее 50 мл (рисунок 6).
1 - проволока из нержавеющей стали;
2 - испытуемый образец
Рисунок 6. Бутыли с образцами для определения интеграции
7.5.1.5. Простой или сложный пружинный зажим (рисунок 7). Пружинный зажим помещают в термостат не менее чем за 5 мин до начала приготовления образцов и не вынимают его до тех пор, пока он не понадобится.
Рисунок 7. Сложный пружинный зажим
7.5.1.6. Эксикатор, содержащий абсолютно сухой безводный сульфат кальция или силикагель, свежевысушенный при температуре 130 °C.
7.5.2. Приготовление образцов
Приготавливают по два образца для каждого из параллельных испытаний.
Помещают форму
(7.5.1.2) на тонкую полиэтиленовую или ацетилцеллюлозную пленку, под которой находится стеклянная пластина. Вводят в прорезь разъемного кольца взвешенную проволоку
(7.5.1.3) так, чтобы не менее 10 мм ее находилось на кольце. Заполняют с небольшим избытком разъемное кольцо цементом, смешанным по инструкциям изготовителя. Накрывают другой стеклянной пластиной, подложив под нее полиэтиленовую или ацетилцеллюлозную пленку, и плотно сжимают пластины.
Через 3 мин после начала смешивания форму с пластинами помещают в зажим
(7.5.1.5), находящийся в термостате при температуре (37 +/- 1) °C.
Через 1 ч пластины с образцом вынимают из зажима и осторожно отделяют цементный диск вместе с проволокой от разъемного кольца.
Примечание. Учитывая относительную хрупкость некоторых цементов на ранней стадии твердения, необходимо очистить поверхность кольца от излишков цемента перед извлечением образца из формы. Для облегчения извлечения образца из формы следует использовать подходящий антиадгезив. Для этой цели рекомендуется сухая смазка на основе политетрафторэтилена ПТФЭ.
Удаляют излишки цемента с краев диска-образца и осторожно очищают щеткой его поверхность от остатков материала.
7.5.3. Методика
Измеряют массу образцов с погрешностью +/- 0,001 г.
Помещают два образца в бутыль с широким горлом
(7.5.1.4), подвешивая их за проволоку так, чтобы они не касались друг друга и стенок бутыли.
Сразу заливают в бутыль 50 мл дистиллированной воды, плотно закрывают крышку, помещают бутыль в термостат и выдерживают в течение 24 ч при температуре (37 +/- 1) °C.
Затем диски вынимают. Поверхности образцов ополаскивают небольшим количеством дистиллированной воды и просушивают чистой промокательной бумагой. Помещают образцы в эксикатор
(7.5.1.6) на 24 ч, затем измеряют массу с погрешностью +/- 0,001 г. Повторяют взвешивание до получения постоянной массы с погрешностью +/- 0,001 г.
Записывают конечную массу.
7.5.4. Оформление результатов
Определяют дезинтеграцию D, % по массе, по формуле

,
где

- масса образцов, г;

- конечная масса, г.
Записывают средний результат двух параллельных испытаний с точностью до 0,001%.
7.6. Определение содержания кислоторастворимого мышьяка
7.6.1. Приготовление образца
Измельчают в порошок затвердевший цемент и просеивают его через сито 75 мкм (200 меш). Разводят 2 г просеянного порошка в 30 мл воды и добавляют 10 мл 36%-ного раствора соляной кислоты

.
Выдерживают смесь в течение 1 ч при температуре (37 +/- 1) °C, затем отфильтровывают раствор и используют его при определении общего содержания мышьяка.
7.6.2. Методика определения массовой доли мышьяка методом атомно-абсорбционной спектрометрии приведена в
Приложении А.
8.1. Упаковка
Компоненты цементов должны поставляться в герметичных контейнерах, изготовленных из материала, который не реагирует с содержимым и не допускает его загрязнения.
Примечание. В настоящем стандарте контейнером принято считать непосредственную упаковку компонентов.
8.2. Инструкции по использованию
| | ИС МЕГАНОРМ: примечание. В официальном тексте документа, видимо, допущена опечатка: пункт 4.5 в тексте документа отсутствует. Возможно, имеется в виду пункт 5.5. | |
Инструкции, указанные в
4.5, должны быть приложены к каждой упаковке.
8.3. Маркировка контейнеров
На каждом контейнере должна быть четко нанесена следующая информация:
a) наименование и/или товарный знак предприятия-изготовителя;
b) тип и класс цемента;
c) минимальная масса нетто порошка или пасты (г) и минимальный объем нетто жидкости (мл);
d) номер серии или номер кода для обозначения каждой партии или серии вместе с точной датой изготовления и срока годности.
(обязательное)
МЕТОДИКА ОПРЕДЕЛЕНИЯ МАССОВОЙ ДОЛИ МЫШЬЯКА МЕТОДОМ
АТОМНО-АБСОРБЦИОННОЙ СПЕКТРОМЕТРИИ
Методика предназначена для определения массовой доли мышьяка в цементах методом атомно-абсорбционной спектрометрии (гидридный метод).
Диапазон определяемых концентраций 0,002 - 0,02 мкг/мл. Предел обнаружения при объеме пробы 20 мл - 0,0002 мкг/мл. Граница относительной погрешности методики при доверительной вероятности P = 0,95 не превышает 20%.
Продолжительность анализа мышьяка в подготовленном растворе - 20 мин. Общая продолжительность анализа лимитируется этапом подготовки пробы и составляет 3 - 3,5 ч.
А.1. Принцип метода
Метод основан на способности мышьяка при введении в пробу восстановителя боргидрида натрия

образовывать легколетучий гидрид, арсин

, который, поступая в подогретую до 700 - 850 °C кварцевую кювету, образует атомный пар данного элемента.
Оптическая плотность атомного пара, пропорциональная содержанию мышьяка в пробе, измеряется затем на атомно-абсорбционном спектрометре на резонансной линии 193,7 нм.
Эффективность процесса генерирования арсина зависит от валентного состояния присутствующих ионов мышьяка (As). As (III) дает вдвое большую чувствительность, чем As (V). Поэтому к исследуемой пробе с концентрацией соляной кислоты не ниже 2Н добавляют йодид натрия (NaJ) до 0,2%-ной концентрации его в растворе. Реализацию образования арсина проводят в специальном гидридном генераторе при интенсивном борбатировании пробы инертным газом (аргоном или азотом). Далее потоком инертного газа арсин переносится в термический атомизатор (нагреваемую кварцевую кювету, пламя горелки) и атомизируется.
Кварцевая кювета выполнена в виде цилиндра с тремя входными штуцерами. На крайние штуцеры подается аргон для создания в трубке нейтральной среды, а через средний штуцер вводится арсин, носителем которого также является аргон. Кварцевая кювета крепится на специальной установке, которая в свою очередь крепится на горелке спектрометра.
Схема подключения генератора к кювете и газовым магистралям представлена на
рисунке А.1.
1 - кювета; 2 - распылитель; 3 - магистраль сжатого
воздуха для питания распылителя; 4 - дроссель для
регулирования расхода воздуха; 5 - пузырьковый
индикатор расхода воздуха; 6 - тройник; 7 - баллон
с аргоном; 8 - штуцер "Вход" генератора; 9 - кювета для
подачи аргона; 10 - штуцер "Кювета" для подачи арсина
Рисунок А.1. Схема подключения генератора
к кювете и газовым магистралям
Измерение атомного поглощения производится на любом атомно-абсорбционном спектрометре, снабженном источником излучения и имеющим возможность установки термического атомизатора.
А.2. Средства измерений, вспомогательные устройства, реактивы, растворы
А.2.1. Средства измерений
А.2.1.1. Атомно-абсорбционный спектрометр (ААС) Квант-АФА по нормативным документам в комплекте с ПЭВМ и ртутно-гидридным генератором ГРГ-103.
А.2.1.2. Государственный стандартный образец (ГСО) раствора мышьяка с относительной погрешностью не более 1%. Массовая концентрация ионов мышьяка в стандартном образце 0,1 мг/см3. В отсутствие ГСО допускается приготовление основного градуировочного раствора мышьяка из мышьякового ангидрида по
ГОСТ 4212.
А.2.1.3. Рабочий раствор А
1 см3 раствора А содержит 10 мкг мышьяка (10 мкг/см3) и приготовлен следующим образом. Вскрывают стеклянную ампулу ГСО
(А.2.1.2) с концентрацией 0,1 мг/см3, с помощью пипетки выливают в сухой стакан вместимостью 5 см3, переносят ГСО в мерную колбу вместимостью 50 см3 и доводят до метки фоновым раствором
(А.2.3.2).
Срок хранения раствора А - 6 мес.
А.2.1.4. Колбы мерные наливные 2-1000-2, 2-500-2, 2-100-2, 2-50-2, 2-25-2 по
ГОСТ 1770.
А.2.1.5. Пипетки 5-2-1, 5-2-2, 6-2-5, 6-2-10, 2-1-20 по нормативным документам.
Допускается использование других средств измерения с метрологическими характеристиками не хуже указанных.
А.2.1.6. Цилиндры 1-50, 1-25, 1-10 по
ГОСТ 1770.
А.2.2. Вспомогательные устройства
А.2.2.1. Весы аналитические лабораторные с верхним пределом взвешивания 200 г 2-го класса точности с метрологическими характеристиками по ГОСТ 24104.
А.2.2.2. Термостат, обеспечивающий температуру (37 +/- 3) °C.
А.2.2.3. Колбы конические КН-1-100-29/32 ТС, КН-1-50-29/32 ТС по
ГОСТ 25336.
А.2.2.6. Стаканчики для взвешивания СВ-14/8 по
ГОСТ 25336.
А.2.2.7. Фильтры обеззоленные "синяя лента".
А.2.2.8. Пропан-бутановая смесь по
ГОСТ 5457 в баллонах.
А.2.2.9. Аргон высокой чистоты по нормативным документам.
А.2.2.10. Сжатый воздух по
ГОСТ 17433 в баллонах (допускается использование воздушного компрессора).
А.2.3. Реактивы, растворы
А.2.3.1. Кислота соляная, о.с.ч.
Примечание. Кислота более низкой квалификации загрязнена соединениями мышьяка на недопустимо высоком уровне.
А.2.3.2. Фоновый раствор 2Н HCl, приготовленный следующим образом.
В мерную колбу вместимостью 1000 см3 помещают 75 см3 соляной кислоты
(А.2.3.1) и доводят до метки дистиллированной водой.
Срок хранения раствора в колбе с притертой пробкой - 6 мес.
А.2.3.3. Натрий йодистый, 2-водный по ГОСТ 8422, ч.д.а.
А.2.3.4. 20%-ный раствор йодистого натрия, приготовленный следующим образом.
10 г йодистого натрия
(А.2.3.3) растворяют в 25 см3 дистиллированной воды, переносят в мерную колбу вместимостью 50 см3 и доводят до метки дистиллированной водой.
А.2.3.5. Натрий гидроокись по
ГОСТ 4328, х.ч.
А.2.3.6. 1Н NaOH, приготовленный следующим образом.
Растворяют 20 г гидроокиси натрия в 100 см3 дистиллированной воды, переносят в мерную колбу вместимостью 500 см3 и доводят до метки дистиллированной водой.
Срок хранения раствора в полиэтиленовой посуде - 3 мес.
А.2.3.7. Боргидрид натрия, х.ч.
А.2.3.8. 0,5%-ный раствор боргидрида натрия

в 1Н NaOH, приготовленный следующим образом.
0,25 г порошка боргидрида натрия растворяют в 20 см3 1Н NaOH, переносят в мерную колбу вместимостью 50 см3 и доводят до метки 1Н NaOH.
Раствор используют в день приготовления.
А.3. Подготовка к выполнению измерений
А.3.1. Настройка и режим работы спектрометра (таблица А.1)
А.3.1.1. Включают и настраивают спектрометр Квант-АФА совместно с приставкой ГРГ-103 согласно техническому описанию и инструкции по эксплуатации (обозначение спектрометра 1 КНЖ.Ж.1500.000.ТО).
Таблица А.1
Режим работы спектрометра Квант-АФА в комплекте
с ртутно-гидридным генератором
Определяемый элемент | Источник света | Аналитическая линия, нм | Ток ЛПК, нм | Щель монохрома, нм | Расход воздуха, л/мин | Расход пропана, л/мин | Время прогрева, мин |
Мышьяк | ЛПК | 193,7 | 4,5 | 0,25 | 10 - 15 | 0,9 - 1,0 | 10 - 20 |
А.3.1.2. Устанавливают кварцевую кювету на горелку и юстируют по максимуму пропускания излучение лампы полого катода (ЛПК) согласно инструкции по эксплуатации спектрометра Квант-АФА.
А.3.1.3. Зажигают пламя и поднимают факел на высоту 40 - 60 мм, увеличивая подачу воздуха и пропана.
А.3.1.4. Подключают трубки кюветы к генератору. Схема подключения генератора к кювете и газовым магистралям аргона и воздуха приведена на
рисунке А.1.
А.3.1.5. Подсоединяют трубку от редуктора баллона с аргоном к штуцеру "Аргон-вход" генератора.
А.3.1.6. Открывают редуктор аргонового баллона и устанавливают давление, равное 1 атм.
А.3.1.7. Устанавливают регуляторы "Продув" и "Обдув" на генераторе на отметку 40 - 50 делений, что соответствует расходу аргона 0,5 л/мин.
А.3.1.8. Заполняют сосуд (восстановитель) раствором боргидрида натрия
(А.2.3.8).
А.3.1.9. Необходимый расход боргидрида натрия регулируют согласно таблице А.2.
Таблица А.2
Рабочие параметры ртутно-гидридного генератора
при дозировке

4,0 мл
Операция | Продолжительность, с | Примечание |
Предварительный продув | 15 - 20 | Проба продувается аргоном в течение 20 - 30 с, затем срабатывает дозатор  , после чего проба выдерживается в течение 120 с для протекания реакции образования  . Далее включается система регистрации, а также продув аргона через пробу. В течение установленного времени регистрируется содержание мышьяка в пробе |
Время задержки для протекания реакции | 120 |
Время регистрации | 10 - 20 |
А.3.2. Приготовление растворов для градуировки прибора
Для приготовления растворов используют фоновый раствор 2Н HCl, не содержащий мышьяка в концентрации, обнаруживаемой методикой при холостом опыте.
А.3.2.1. Рабочий раствор Б
1 см3 раствора Б содержит 1 мкг мышьяка.
Отбирают пипеткой 5 см3 раствора А
(А.2.1.3), переносят в мерную колбу вместимостью 50 см3 и доводят до метки фоновым раствором
(А.2.3.2).
Раствор используют в день приготовления.
А.3.3. Градуировка прибора
Градуировку прибора выполняют по серии градуировочных растворов
(таблица А.3).
Для градуировки применяют не менее трех градуировочных растворов с содержанием мышьяка, равномерно охватывающим весь диапазон измерений.
Градуировку выполняют, следуя указаниям текста программного обеспечения спектрометра. В случае если спектрометр работает только в ручном режиме обработки данных, для построения градуировочного графика последовательно измеряют сигналы фонового раствора и градуировочных растворов мышьяка, начиная с наименьшей концентрации. Усредняют значения двух параллельных определений растворов с одинаковой концентрацией. Градуировочный график строят в координатах "концентрация раствора - показание прибора".
Градуировочные растворы готовят в день проведения анализа в мерных колбах вместимостью 100 см3. Растворы в колбах доводят до метки фоновым раствором
(А.2.3.2).
А.3.3.1. Отбирают пипеткой 20 см3 приготовленного градуировочного раствора и вносят в реактор.
А.3.3.2. Устанавливают заполненный реактор в генератор.
А.3.3.3. Проводят градуировку согласно
А.3.3.
А.3.3.4. В процессе одной серии измерений скорость потока аргона и дозировка боргидрида натрия должны быть постоянными.
А.3.3.5. После проведения измерения снимают реактор и промывают барбатер фоновым раствором.
Таблица А.3
Приготовление градуировочных растворов
Номер градуировочного раствора | Массовая концентрация мышьяка в градуировочном растворе, мкг/см3 | Аликвотная часть разбавляемого раствора Б, помещаемая в мерную колбу, см3 |
1 | 0,02 | 2,0 |
2 | 0,01 | 1,0 |
3 | 0,005 | 0,5 |
А.3.3.6. Для каждой анализируемой пробы проводят два параллельных определения, включающих минерализацию каждой пробы.
А.4. Подготовка пробы
А.4.1. Минерализация пробы цементов
В коническую колбу просеянной пробы порошка цемента вносят 30 см3 дистиллированной воды и добавляют 10 см3 концентрированной соляной кислоты
(А.2.3). Смесь выдерживают в течение 1 ч при температуре (37 +/- 3) °C. Раствор отфильтровывают в мерную колбу вместимостью 100 см3 через фильтр, увлажненный фоновым раствором. Колбу из-под минерализита и фильтр несколько раз промывают небольшими порциями фонового раствора. Затем в колбу вносят 4 см3 5%-ного раствора йодида натрия и выдерживают в течение 1 ч. Доводят до метки фоновым раствором и перемешивают. Одновременно проводят контроль реактивов (холостой опыт), учитывая его при вычислении результатов.
А.5. Выполнение измерений
А.5.1. Отбирают 20 см3 раствора пробы, полученной по
А.4.1, и переносят ее в реактор.
А.5.2. Устанавливают реактор в генератор и проводят измерения по
А.3.3.1 -
А.3.3.6.
А.5.3. После проведения измерений концентрации мышьяка в двух образцах проводят контрольные измерения градуировочных растворов. Не допускается отклонение результата контрольного измерения с максимальной концентрацией от первоначального значения более чем на 5%.
А.5.4. Измеряют содержание мышьяка в растворе холостого опыта по
А.5.1 -
А.5.2.
А.6. Обработка результатов измерения
Массовую долю мышьяка в цементах

, рассчитывают по формуле

,
где X - концентрация мышьяка в анализируемом растворе, мкг/см3;

- концентрация мышьяка в "холостом растворе", мкг/см3;
P - навеска пробы, г;
V - исходный объем испытуемого раствора, см3;

- коэффициент разбавления.
За окончательный результат анализа

, принимают среднее арифметическое результатов двух параллельных определений

и


,
расхождение между которыми не должно превышать значений норматива контроля сходимости (допускаемых расхождений двух параллельных определений) -

. Значения нормативов контроля сходимости

приведены в
таблице А.4.
А.7. Контроль характеристик погрешности методики
А.7.1. Контроль воспроизводимости
Образцами для контроля (см.
7.6.1) являются образцы цементов.
Два результата анализа одного и того же вида цемента не должны отличаться друг от друга на допускаемые расхождения между результатами анализа

:

,
где

- результат анализа рабочей пробы, мг/кг;

- результат анализа той же пробы, полученной в условиях лабораторной воспроизводимости (разные операторы, разное время, разные наборы посуды), мг/кг.
Допускаемые расхождения между результатами 2 определений приведены в
таблице А.4. При превышении норматива

анализ пробы повторяют.
А.7.2. Контроль погрешности методики
Из отобранной массы одного и того же вида цемента отбирают четыре навески, две из которых анализируют в точном соответствии с методикой и получают результат анализа исходной рабочей пробы

, в оставшиеся две добавляют добавку мышьяка (содержание мышьяка в пробе с добавкой не должно превышать верхнюю границу диапазона) и анализируют в точном соответствии с данной методикой, получая результат анализа рабочей пробы с добавкой

.
Решение об удовлетворительной погрешности результатов принимают, если результат контроля

, не превышает норматива
(таблица А.4):

,
где

- результат анализа пробы с добавкой мышьяка, мг/кг;

- результат анализа пробы без добавки мышьяка, мг/кг;
C - значение добавки мышьяка в пробе, мг/кг;

- норматив оперативного контроля погрешности (таблица А.4).
При превышении норматива контроля погрешности определения повторяют.
Таблица А.4
Значения нормативов контроля характеристик погрешности
при определении массовой доли мышьяка в цементах
Элемент | Массовая доля мышьяка в цементах, мг/кг, не более | Нормативы контроля характеристик погрешности, % |
| | |
Мышьяк | 2,0 | 30 | 30 | 15 |
(информационное)
БИБЛИОГРАФИЯ
[1] Сборник руководящих методических материалов по токсиколого-гигиеническим исследованиям полимерных материалов и изделий на их основе медицинского назначения: М., 1987.