Список изменяющих документов Постановлением Госстандарта России от 19.05.1999 N 166) |
1992.Нарезное оружие | Патроны центрального боя | Среднее значение максимального давления патрона, МПа (кгс/см2) | Изменение расстояния между зеркалом затвора и опорной поверхностью под патрон, мм, не более |
Пистолеты, револьверы, охотничьи карабины, комбинированные ружья | Со скатом и длиной гильзы более 30 мм | Менее или равно 330 (3366) | 0,15 |
Более 330 (3366) | 0,10 | ||
Пистолеты | С проточкой и со скатом | - | 0,20 |
С проточкой без ската и др. | - | 0,30 | |
Револьверы | Другие патроны | - | 0,25 |
Нарезное оружие под патроны кольцевого воспламенения | Среднее значение максимального давления патрона или кинетическая энергия, МПа (кгс/см2) | Изменение расстояния между зеркалом затвора и опорной поверхностью патрона в канале ствола, мм, не более |
Спортивные винтовки | Кинетическая энергия <*> | 0,20 |
Пистолеты | Менее или равно 180 (1836) | 0,20 |
Охотничьи карабины | Не более 250 (2550) | 0,15 |
Комбинированное | Более 250 (2550) | 0,10 |
<*> Значение кинетической энергии - в соответствии с приведенным в Таблицах ПМК. | ||




C.I.P. 2-е Souscommission | Tableaux des dimensions de Cartouches et de Chambres | PAGE | |
DATE | 84-06-14 | ||
REV. | 90-06-13 | ||
CHAMBRE MINI | |||
des symboles et leur ![]() | |||
Canon | |||
F = sur champs de rayures du canonZ = du fond de rayures du canon | |||
Longueurs | |||
Ll = Longueur de la chambre au P2L2 = Longueur de la chambre au H1L3 = Longueur de la chambre au H2 | |||
Cuvette | |||
R = Distance entre le fond de la cuvette et la tranche Rl = de la cuvetteR2 = Profondeur de la cuvette r = Rayon de raccordement R3 = | |||
Chambre | |||
E = Distance entre le fond de cuvette et P1 = P2 = | |||
S = Longueur du sommet du r1max = Rayon de raccordement aux du P2r2 = Rayon de raccordement au collet | |||
Collet | |||
H1 = H2 = | |||
Prise de rayures | |||
G1 = de la prise des rayuresG = Distance entre H2 et F h = Distance entre H2 et G1 (angle = s = Distance entre H2 et la prise de rayures au G1i = Demi angle de l'inclinaison de la prise des rayures | |||
Rayures | |||
b = Largeur des rayures N = Nombres de rayures u = Pas de Q = Section de | |||
C.I.P. 2-е Souscommission | Tableaux des dimensions de Cartouches et de Chambres | PAGE | |
DATE | 84-06-14 | ||
REV. | 90-06-13 | ||
CHAMBRE ![]() | |||
C.I.P. 2-е Souscommission | Tableaux des dimensions de Cartouches et de Chambres | PAGE | ||
DATE | 84-06-14 | |||
REV. | 90-06-13 | |||
CHAMBRE MINI | ||||
Formules entre les "Symboles" des dimensions maximales de cartouches: | ||||
![]() ![]() ![]() ![]() ![]() ![]() ![]() ![]() | ![]() ![]() ![]() ![]() s = h + longueur du cylindre ![]() ![]() ![]() | |||
NOTE. Les dimensions se | ||||
NOTE: Identification, dans les T.D.C.C., des cotes de base. 1. Calibres d'origine des pays membres de la CIP: - les longueurs et les sont les cotes de base;- les angles .2. Calibres d'origine des pays tiers: - les angles et longueurs correspondants;- les longueurs L1, L2 et G sont des cotes .3. Les cotes de base cont par un (*). | ||||
Tableaux des dimensions de Cartouches et de Chambres C.I.P. | таблица размеров патронов и патронников ПМК |
Commission Internationale Permanente pour l'Epreuve des Armes a Feu portatives | Постоянная международная комиссия по испытаниям ручного огнестрельного оружия |
Calibres a gorge | калибры с фланцем |
Calibres des armes longues a canon(s) raye(s) pour cartouches a gorge a percussion centrale | калибры длинноствольного нарезного оружия под патроны центрального боя с фланцем |
Les calibres metriques sont classes avant les calibres designes a l'origine en pouces (inches) | метрические калибры проставлены перед калибрами в дюймах |
Le classement est par ordre croissant et par ordre alphabetique suivant la designation du calibre | калибры классифицированы в возрастающем и алфавитном порядке |
Methode crusher | крешерный метод |
Methode transducteur | пьезометрический метод |
максимальное ср. давление (бар) | |
= pression maximale statistique individuelle (bar) | наибольшее значение статистического индивидуального давления (бар) |
= pression moyenne (bar) | среднее испытательное давление (бар) |
M = emplacement de la prise de pression (mm) | место измерения давления (мм) |
NOTE. Pour les transducteurs conformal ou tangentiels l'emplacement (M) sera celui defini par le fabricant | Примечание. Для специальных и тангенциальных электромеханических датчиков место измерения давления задается изготовителем |
Suite | продолжение |
Tolerances | допуски |
Liste des calibres verificateurs de reference des cotes importantes au point de vue de la securite | перечень контрольных калибров для проверки размеров, важных с точки зрения безопасности |
Chambre | патронник |
TAB.I-BR/1 - De forme ( | контрольный калибр ( |
TAB.I-BR/2 - Longueur | минимальная длина |
TAB.I-BR/3 - Cone de raccordement ( | соединительный конус ( |
TAB.I-BR/4 - Prise des rayures ( | пульный вход ( |
TAB.I-BR/5 - Cone de raccordement feuillure SAAMI | конический скат патронника с допуском SAAMI |
TAB.I-BR/6 - Longueur | длина |
TAB.I-BR/7 - Rayures (F, Z) | нарезы (F, Z) |
Cartouche | патрон |
TAB.I-AR/2 - Diametre du projectile | максимальный диаметр пули |
TAB.I-AR/3 - Diametre au collet | максимальный диаметр дульца |
TAB.I-AR/4 - Longueur maximale | максимальная длина ![]() |
Cartouche Maximale | максимальный патрон |
Chambre Minimale | минимальный патронник |
Culot | донная часть гильзы |
Cuvette | канавка |
Chambre a poudre | зарядная камора |
Cone de raccordement | соединительный конус |
Collet | дульце |
Diam. du projectile | диаметр пули |
Prise de rayures | врезание в нарезы |
Diam. du canon | диаметр ствола |
Rayures du canon | нарезной ствол |
Echelle | масштаб |
Tolerances admises pour les canons d'epreuve | допуски для испытательных стволов |
(1) A controler pour la securite | контроль безопасности |
(2) Avec tolerance pour les canons manometriques | с допусками для манометрических стволов |
(3) Valable pour les armes du commerce | годно для торгового оружия |
Cotes de base | размеры у основания |
C.I.P. 2-е Souscommission | Tableaux des dimensions de Cartouches et de Chambres | PAGE | |||||||||||
DATE | 84-06-14 | ||||||||||||
REV. | 90-06-13 | ||||||||||||
TAB. I Calibres des armes longues -------------------------- Les calibres sont Le classement est par ordre croissant et par ordre suivant la du calibre | |||||||||||||
crusher | transducteur | ||||||||||||
Calibre | Calibre | M | |||||||||||
5,6 x 50 Mag. | 3300 | 3795 | 4290 | 7 x 64 | 25 | 4100 | 4715 | 5380 | |||||
5,6 x 5,7 | 3800 | 4370 | 4940 | ||||||||||
5,6 x 61 SE v. H | 3900 | 4485 | 5070 | ||||||||||
6 x 62 Freres | 3700 | 4255 | 4810 | ||||||||||
6,5 x 54 Mauser | 2700 | 3105 | 3510 | ||||||||||
6,5 x 54 M. Sch. | 3200 | 3680 | 4160 | ||||||||||
6,5 x 55 SE | 3300 | 3795 | 4290 | ||||||||||
6,5 x 57 | 3400 | 3910 | 4420 | ||||||||||
6,5 x 58 Mauser | 3100 | 3565 | 4030 | ||||||||||
6,5 x 65 RWS | 3600 | 4140 | 4680 | ||||||||||
6,5 x 68 | 3800 | 4370 | 4940 | ||||||||||
7 x 57 | 3400 | 3910 | 4420 | ||||||||||
7 x 64 | 3600 | 4140 | 4680 | ||||||||||
7 mm SE v. H. | 3800 | 4370 | 4940 | ||||||||||
7,5 x 55 GP31 | 3300 | 3795 | 4290 | ||||||||||
7,62 x 39 | 3100 | 3565 | 4030 | ||||||||||
7,65 x 53 Arg. | 3400 | 3910 | 4420 | ||||||||||
7,92 x 33 kurz | 3000 | 3450 | 3900 | ||||||||||
8 x 51 (Mauser K) | 3000 | 3450 | 3900 | ||||||||||
8 x 56 M-Sch. | 2800 | 3220 | 3640 | ||||||||||
8 x 57 J | 3300 | 3795 | 4290 | ||||||||||
8 x 57 JS | 3400 | 3910 | 4420 | ||||||||||
8 x 60 | 3500 | 4025 | 4550 | ||||||||||
8 x 60 S | 3500 | 4025 | 4550 | ||||||||||
8 x 64 | 3500 | 4025 | 4550 | ||||||||||
8 x 64 S | 3500 | 4025 | 4550 | ||||||||||
8 x 68 S | 3800 | 4370 | 4940 | ||||||||||
8 x 75 S | 3800 | 4370 | 4940 | ||||||||||
9 x 57 | 2500 | 2875 | 3250 | ||||||||||
9,3 x 62 | 3400 | 3910 | 4420 | ||||||||||
9,3 x 64 Brenneke | 3800 | 4370 | 4940 | ||||||||||
10,75 x 68 | 2900 | 3335 | 3770 | ||||||||||
= pression maximale statistique individuelle (bar) = pression moyenne (bar)M = emplacement de la prise de pression (mm) NOTE. Pour les transducteurs conformal ou tangentiels l'emplacement (M) sera celui | |||||||||||||
Mag. | = Magnum | Win. | = Winchester | ||||||||||
SE v. H. | = Super Express vom Hofe | H. V. | = High Velocity | ||||||||||
M-Sch. | = Mannlicher Schonauer | Riml. N. E. | = Rimless Nitro Express | ||||||||||
SE | = Sweden | Spring | = Springfield | ||||||||||
Rem. | = Remington | Exp. | = Express | ||||||||||
C.I.P. 2-е Souscommission | Tableaux des dimensions de Cartouches et de Chambres | PAGE | |||||||||||
DATE | 84-06-14 | ||||||||||||
REV. | 90-06-13 | ||||||||||||
TAB. I Calibres des armes longues -------------------------- Les calibres metriques sont Le classement est par ordre croissant et par ordre suivant la du calibre | |||||||||||||
crusher | transducteur | ||||||||||||
Calibre | Calibre | M | |||||||||||
17 Rem. | 3650 | 4197 | 4795 | 270 Win. | 25 | 4200 | 4830 | 5460 | |||||
22 PPC-USA | 3500 | 4025 | 4550 | ||||||||||
22-250 Rem. | 3500 | 4025 | 4550 | ||||||||||
220 Swift | 3700 | 4255 | 4810 | ||||||||||
222 Rem. | 3200 | 3680 | 4160 | ||||||||||
222 Rem. Mag. | 3500 | 4025 | 4550 | ||||||||||
223 Rem. | 3700 | 4255 | 4810 | ||||||||||
243 Win. | 3600 | 4140 | 4680 | ||||||||||
244 Rem. | 3650 | 4197 | 4745 | ||||||||||
6 mm PPC | 3500 | 4025 | 4550 | ||||||||||
6 PPC-USA | 3500 | 4025 | 4550 | ||||||||||
6 mm Rem. | 3700 | 4255 | 4810 | ||||||||||
25 Rem. | - | - | - | ||||||||||
25-06 Rem. | 3870 | 4450 | 5031 | ||||||||||
250 Savage | 3200 | 3680 | 4160 | ||||||||||
256 Mag. Gibbs | 3000 | 3450 | 3900 | ||||||||||
257 Roberts | 3100 | 3565 | 4030 | ||||||||||
270 Win. | 3700 | 4255 | 4810 | ||||||||||
275 H. V. Rigby | 2850 | 3277 | 3705 | ||||||||||
7 mm-08 Rem. | 3585 | 4123 | 4660 | ||||||||||
280 Rem. | 3500 | 4025 | 4550 | ||||||||||
7 mm Exp. Rem. | 3500 | 4025 | 4550 | ||||||||||
280 Riml. N. E. Ross | 2850 | 3277 | 3705 | ||||||||||
284 Win. | 3800 | 4370 | 4940 | ||||||||||
30 Carbine | 2800 | 3220 | 3640 | ||||||||||
30 Rem. | 2500 | 2875 | 3250 | ||||||||||
30-06 Spring. | 3500 | 4025 | 4550 | ||||||||||
300 Lapua Mag. | 4000 | 4600 | 5200 | ||||||||||
300 Savage | 3200 | 3680 | 4160 | ||||||||||
308 EH | |||||||||||||
308 Win. | 3600 | 4140 | 4680 | ||||||||||
318 Riml. N. E. | 2900 | 3335 | 3770 | ||||||||||
= pression maximale statistique individuelle (bar) = pression moyenne (bar)M = emplacement de la prise de pression (mm) NOTE. Pour les transducteurs conformal ou tangentiels l'emplacement (M) sera celui | |||||||||||||
Mag. | = Magnum | Win. | = Winchester | ||||||||||
SE v. H. | = Super Express vom Hofe | H. V. | = High Velocity | ||||||||||
M-Sch. | = Mannlicher Schonauer | Riml. N. E. | = Rimless Nitro Express | ||||||||||
SE | = Sweden | Spring | = Springfield | ||||||||||
Rem. | = Remington | Exp. | = Express | ||||||||||
C.I.P. 2-е Souscommission | Tableaux des dimensions de Cartouches et de Chambres | PAGE | ||||||||||
DATE | 84-06-14 | |||||||||||
REV. | 90-06-13 | |||||||||||
TAB. I Calibres des armes longues -------------------------- Les calibres metriques sont Le classement est par ordre croissant et par ordre suivant la du calibre | ||||||||||||
crusher | transducteur | |||||||||||
Calibre | Calibre | M | ||||||||||
32 Rem. | 2600 | 2990 | 3380 | |||||||||
333 Riml. N. E. | 2900 | 3335 | 3770 | |||||||||
338 Lapua Mag. | 4000 | 4600 | 5200 | |||||||||
35 Rem. | 2450 | 2817 | 3185 | |||||||||
350 Mag. Rigby | 2750 | 3162 | 3575 | |||||||||
358 Win. | 3500 | 4025 | 4550 | |||||||||
404 Riml. N. E. | 3200 | 3680 | 4160 | |||||||||
416 Rigby | 2850 | 3277 | 3705 | |||||||||
505 Mag. Gibbs | 2400 | 2760 | 3120 | |||||||||
= pression maximale statistique individuelle (bar) = pression moyenne (bar)M = emplacement de la prise de pression (mm) NOTE. Pour les transducteurs conformal ou tangentiels l'emplacement (M) sera celui | ||||||||||||
Mag. | = Magnum | Win. | = Winchester | |||||||||
SE v. H. | = Super Express vom Hofe | H. V. | = High Velocity | |||||||||
M-Sch. | = Mannlicher Schonauer | Riml. N. E. | = Rimless Nitro Express | |||||||||
SE | = Sweden | Spring | = Springfield | |||||||||
Rem. | = Remington | Exp. | = Express | |||||||||
C.I.P. 2-е Souscommission | Tableaux des dimensions de Cartouches et de Chambres | PAGE | |
DATE | 84-06-14 | ||
REV. | 90-06-13 | ||
TOLERANCES TAB. I | |||
C.I.P. 2-е Souscommission | Tableaux des dimensions de Cartouches et de Chambres | PAGE | |
DATE | 84-06-14 | ||
REV. | 90-06-13 | ||
TAB. I Liste des calibres de des cotes importantes au point de vue de la --------------------- CALIBRES A GORGE --------------------- | |||
Chambre TAB.I-BR/1 - De forme ( TAB.I-BR/2 - Longueur TAB.I-BR/3 - TAB.I-BR/4 - Prise des rayures ( TAB.I-BR/5 - TAB.I-BR/6 - Longueur TAB.I-BR/7 - Rayures (F, Z) Cartouche TAB.I-AR/2 - du projectile TAB.I-AR/3 - au collet TAB.I-AR/4 - Longueur maximale | |||
Tableaux des dimensions de Cartouches et de Chambres C.I.P | таблица размеров патронов и патронников ПМК |
Commission Internationale Permanente pour l'Epreuve des Armes a Feu portatives | Постоянная международная комиссия по испытаниям ручного огнестрельного оружия |
Calibres a bourrelet | калибры с закраиной |
Calibres des armes longues a canon(s) raye(s) pour cartouches a bourrelet a percussion centrale | калибры длин ствольного нарезного оружия под патроны с закраиной центрального боя |
Les calibres metriques sont classes avant les calibres designes a l'origine en pouces (inches) | метрические калибры проставлены по классам перед калибрами в дюймах |
Le classement est par ordre croissant et par ordre alphabetique suivant la designation du calibre | калибры классифицированы в возрастающем и алфавитном порядке |
Methode crusher | крешерный метод |
Methode transducteur | пьезометрический метод |
максимальное ср. давление (бар) | |
= pression maximale statistique individuelle (bar) | наибольшее значение статистического индивидуального давления (бар) |
= pression moyenne l'epreuve (bar) | среднее испытательное давление (бар) |
M = emplacement de la prise de pression (mm) | место измерения давления (мм) |
NOTE. Pour les transducteurs conformal ou tangentiels l'emplacement (M) sera celui defini par le fabricant | Примечание. Для специальных и тангенциальных электромеханических датчиков место измерения давления задается изготовителем |
Suite | продолжение |
Tolerances | допуски |
Liste des calibres verificateurs de reference des cotes importantes au point de vue de la securite | перечень контрольных калибров для проверки размеров, важных с точки зрения безопасности |
Chambre | патронник |
TAB.I-BR/1 - De forme ( | контрольный калибр ( |
TAB.I-BR/2 - Longueur | минимальная длина |
TAB.I-BR/3 - Cone de raccordement ( | соединительный конус ( |
TAB.I-BR/4 - Prise des rayures ( | пульный вход ( |
TAB.I-BR/7 - Rayures (F, Z) | нарезы |
TAB.II-BR/2 - Profondeur du drageoir et feuillure | глубина выемки и зазор |
Cartouche | патрон |
TAB.I-AR/2 - Diametre du projectile | максимальный диаметр пули |
TAB.I-AR/3 - Diametre au collet | максимальный диаметр дульца |
TAB.I-AR/4 - Longueur maximale | максимальная длина ![]() |
Cartouche Maximale | максимальный патрон |
Chambre Minimale | минимальный патронник |
Culot | донная часть гильзы |
Cuvette | канавка |
Chambre | зарядная камора |
Cone de raccordement | соединительный конус |
Collet | дульце |
Diam. du projectile | диаметр пули |
Prise de rayures | врезание в нарезы |
Diam. du canon | диаметр ствола |
Rayures du canon | нарезной ствол |
Echelle | масштаб |
Tolerances admises pour les canons d'epreuve | допуски для испытательных стволов |
(1) A controler pour la securite | контроль безопасности |
(2) Avec tolerance pour les canons manometriques | с допусками для манометрических стволов |
(3) Valable pour les armes du commerce | годно для торгового оружия |
Cotes de base | размеры у основания |
C.I.P. 2-е Souscommission | Tableaux des dimensions de Cartouches et de Chambres | PAGE | ||||||||||
DATE | 84-06-14 | |||||||||||
REV. | 90-06-13 | |||||||||||
TAB. II Calibres des armes longues -------------------------- Les calibres metriques sont Le classement est par ordre croissant et par ordre suivant la du calibre | ||||||||||||
crusher | transducteur | |||||||||||
Calibre | Calibre | M | ||||||||||
5,6 x 35 R | 2400 | 2760 | 3120 | |||||||||
5,6 x 50 R Mag. | 3000 | 3450 | 3900 | |||||||||
5,6 x 52 R | 2900 | 3335 | 3770 | |||||||||
5,6 x 57 R | 3800 | 4370 | 4940 | |||||||||
5,6 x 61 R SE v. H. | 3300 | 3795 | 4290 | |||||||||
6,5 x 50 R Scheiring | 3800 | 4370 | 4940 | |||||||||
6,5 x 51 R Arisaka | 2600 | 2990 | 3380 | |||||||||
6,5 x 52 R | 2200 | 2530 | 2860 | |||||||||
6,5 x 57 R | 2900 | 3335 | 3770 | |||||||||
6,5 x 58 R | 2500 | 2875 | 3250 | |||||||||
6,5 x 65 R RWS | 3300 | 3795 | 4290 | |||||||||
6,5 x 68 R | 3400 | 3910 | 4420 | |||||||||
6,5 x 70 R | 2500 | 2875 | 3250 | |||||||||
7 x 57 R | 3000 | 3450 | 3900 | |||||||||
7 mm Mag. Fl. H.&H. | 2900 | 3335 | 3770 | |||||||||
7 x 65 R | 3300 | 3795 | 4290 | |||||||||
7 x 72 R | 2500 | 2875 | 3250 | |||||||||
7 x 75 R SE v. H. | 3600 | 4140 | 4680 | |||||||||
7,62 x 53 R | 3400 | 3910 | 4420 | |||||||||
8 x 50 R | 3100 | 3565 | 4030 | |||||||||
8 x 56 R M30 | 3000 | 3450 | 3900 | |||||||||
8 x 56 R M30S | 3100 | 3565 | 4030 | |||||||||
8 x 57 R 360 | 2200 | 2530 | 2860 | |||||||||
8 x 57 JR | 2800 | 3220 | 3640 | |||||||||
8 x 57 JRS | 2900 | 3335 | 3770 | |||||||||
8 x 58 R | 2000 | 2300 | 2600 | |||||||||
8 x 60 R | 3000 | 3450 | 3900 | |||||||||
8 x 60 RS | 3000 | 3450 | 3900 | |||||||||
8 x 65 R | 3400 | 3910 | 4420 | |||||||||
8 x 65 RS | 3500 | 4025 | 4550 | |||||||||
8 x 72 R | 2500 | 2875 | 3250 | |||||||||
8 x 75 RS | 3300 | 3795 | 4290 | |||||||||
8,15 x 46 R | 1500 | 1725 | 1950 | |||||||||
= pression maximale statistique individuelle (bar) = pression moyenne (bar)M = emplacement de la prise de pression (mm) NOTE. Pour les transducteurs conformal ou tangentiels l'emplacement (M) sera celui | ||||||||||||
Mag. | = Magnum | lg | = long | |||||||||
Fl. NE | = Flanged Nitro Express | B. P | = Black Powder | |||||||||
Sld. | = Solid | R | = Rand = | |||||||||
SL | = Self loading | SE v. H. | = Super Express vom Hofe | |||||||||
H.&H. | = Holland and Holland | Win. | = Winchester | |||||||||
sh | = short | Mag Fl H.&H. | = Magnum Flanged Holland and Holland | |||||||||
C.I.P. 2-е Souscommission | Tableaux des dimensions de Cartouches et de Chambres | PAGE | ||||||||||
DATE | 84-06-14 | |||||||||||
REV. | 90-06-13 | |||||||||||
TAB. II Calibres des armes longues -------------------------- Les calibres metriques sont Le classement est par ordre croissant et par ordre suivant la du calibre | ||||||||||||
crusher | transducteur | |||||||||||
Calibre | Calibre | M | ||||||||||
9 x 57 R | 2500 | 2875 | 3250 | |||||||||
9,3 x 72 R | 1800 | 2070 | 2340 | |||||||||
9,3 x 74 R | 3000 | 3450 | 3900 | |||||||||
10,3 x 60 R | 2400 | 2760 | 3120 | |||||||||
11,15 x 60 R | 2500 | 2875 | 3250 | |||||||||
(suite) | ||||||||||||
= pression maximale statistique individuelle (bar) = pression moyenne (bar)M = emplacement de la prise de pression (mm) NOTE. Pour les transducteurs conformal ou tangentiels l'emplacement (M) sera celui | ||||||||||||
Mag. | = Magnum | lg | = long | |||||||||
Fl. NE | = Flanged Nitro Express | B. P | = Black Powder | |||||||||
Sld. | = Solid | R | = Rand = | |||||||||
SL | = Self loading | SE v. H. | = Super Express vom Hofe | |||||||||
H.&H. | = Holland and Holland | Win. | = Winchester | |||||||||
sh | = short | Mag Fl H.&H. | = Magnum Flanged Holland and Holland | |||||||||
C.I.P. 2-е Souscommission | Tableaux des dimensions de Cartouches et de Chambres | PAGE | ||||||||||||
DATE | 84-06-14 | |||||||||||||
REV. | 90-06-13 | |||||||||||||
TAB. II Calibres des armes longues -------------------------- Les calibres metriques sont Le classement est par ordre croissant et par ordre suivant la du calibre | ||||||||||||||
crusher | transducteur | |||||||||||||
Calibre | Calibre | M | ||||||||||||
218 Bee | 2800 | 3220 | 3640 | |||||||||||
219 Zipper | 2540 | 2921 | 3302 | |||||||||||
22 Hornet | 2800 | 3220 | 3640 | |||||||||||
22 Savage | 2900 | 3335 | 3770 | |||||||||||
225 Win. | 3400 | 3910 | 4420 | |||||||||||
240 Fl. N. E. | 2800 | 3220 | 3640 | |||||||||||
25-20 Win. | 2400 | 2760 | 3120 | |||||||||||
25-35 Win. | 2700 | 3105 | 3510 | |||||||||||
256 Win. Mag. | 3050 | 3507 | 3965 | |||||||||||
280 Fl. N. E. | 2600 | 2990 | 3380 | |||||||||||
297/230 Morris lg | - | - | - | |||||||||||
297/230 Morris sh | - | - | - | |||||||||||
297/250 Rook Rifle | - | - | - | |||||||||||
30 Fl. N. E. Purdey | 2800 | 3220 | 3640 | |||||||||||
30 Super Fl. H.&H. | 2800 | 3220 | 3640 | |||||||||||
30-30 Win. | 2800 | 3220 | 3640 | |||||||||||
30-40 Krag | 2850 | 3277 | 3705 | |||||||||||
300/295 Rook Rifle | 1100 | 1265 | 1430 | |||||||||||
300 Sherwood | 1300 | 1495 | 1690 | |||||||||||
303 British | 3200 | 3680 | 4160 | |||||||||||
303 Savage | 2400 | 2760 | 3120 | |||||||||||
307 Win. | 3600 | 4140 | 4680 | |||||||||||
310 Cadet Rifle | 1000 | 1150 | 1300 | |||||||||||
32 Win. SL | 1400 | 1610 | 1820 | |||||||||||
32 Win. Spec. | 2700 | 3105 | 3510 | |||||||||||
32-20 Win. | 1900 | 2185 | 2470 | |||||||||||
32-40 Win. | 2100 | 2415 | 2730 | |||||||||||
33 Win. | 2700 | 3105 | 3510 | |||||||||||
348 Win. | 2800 | 3220 | 3640 | |||||||||||
35 Win. | 2700 | 3105 | 3510 | |||||||||||
35 Win. SL | 2150 | 2472 | 2795 | |||||||||||
350 No 2 Rigby | 2900 | 3335 | 3770 | |||||||||||
(suite) | ||||||||||||||
= pression maximale statistique individuelle (bar) = pression moyenne (bar)M = emplacement de la prise de pression (mm) NOTE. Pour les transducteurs conformal ou tangentiels l'emplacement (M) sera celui | ||||||||||||||
Mag. | = Magnum | lg | = long | |||||||||||
Fl. NE | = Flanged Nitro Express | B. P | = Black Powder | |||||||||||
Sld. | = Solid | R | = Rand = | |||||||||||
SL | = Self loading | SE v. H. | = Super Express vom Hofe | |||||||||||
H.&H. | = Holland and Holland | Win. | = Winchester | |||||||||||
sh | = short | Mag Fl H.&H. | = Magnum Flanged Holland and Holland | |||||||||||
C.I.P. 2-е Souscommission | Tableaux des dimensions de Cartouches et de Chambres | PAGE | |||||||||||
DATE | 84-06-14 | ||||||||||||
REV. | 90-06-13 | ||||||||||||
TAB. II Calibres des armes longues -------------------------- Les calibres metriques sont Le classement est par ordre croissant et par ordre suivant la du calibre | |||||||||||||
crusher | transducteur | ||||||||||||
Calibre | Calibre | M | |||||||||||
351 Win. SL | 3200 | 3680 | 4160 | ||||||||||
356 Win. | 3600 | 4140 | 4680 | ||||||||||
360 N. E. 2''1/4 | 2200 | 2530 | 2860 | ||||||||||
369 N. E. Purdey | 2700 | 3105 | 3510 | ||||||||||
375 Fl. N. E. 2"1/2 | 2000 | 2300 | 2600 | ||||||||||
375 Fl. Mag. N. E. | 2850 | 3277 | 3705 | ||||||||||
375 Win. | 3800 | 4370 | 4940 | ||||||||||
38-40 Win. | 1050 | 1207 | 1365 | ||||||||||
38-55 Win. | 2150 | 2472 | 2795 | ||||||||||
380 Long Rifle | 900 | 1035 | 1170 | ||||||||||
40-82 Win. | 1500 | 1725 | 1950 | ||||||||||
400 N. E. B. P. 3" | - | - | - | ||||||||||
Purdey | |||||||||||||
400/350 N. E. | 2500 | 2875 | 3250 | ||||||||||
401 Win. SL | 2200 | 2530 | 2860 | ||||||||||
405 Win. | 2200 | 2530 | 2860 | ||||||||||
408 Win. | 3550 | 4082 | 4615 | ||||||||||
44-40 Win. | 1000 | 1150 | 1300 | ||||||||||
444 Marlin | 3100 | 3565 | 4030 | ||||||||||
46-70 Govt. | 2000 | 2300 | 2600 | ||||||||||
450 N. E. 3"1/4 | 2700 | 3105 | 3510 | ||||||||||
450/400 N. E. 3" | 2500 | 2875 | 3250 | ||||||||||
450/400 Mag. N. E. | 2600 | 2990 | 3380 | ||||||||||
3"1/4 | |||||||||||||
470 N. E. | 2400 | 2760 | 3120 | ||||||||||
475 No 2 N. E. 3"1/2 | 2450 | 2817 | 3185 | ||||||||||
500 N. E. 3" | 2500 | 2875 | 3250 | ||||||||||
500/465 N. E. | 2200 | 2530 | 2860 | ||||||||||
577/450 Sld. Mart. H. | 1600 | 1840 | 2080 | ||||||||||
577 N. E. 3" | 2200 | 2530 | 2860 | ||||||||||
577 Sld. Snider | 1400 | 1610 | 1820 | ||||||||||
600 N. E. | 2200 | 2530 | 2860 | ||||||||||
= pression maximale statistique individuelle (bar) = pression moyenne (bar)M = emplacement de la prise de pression (mm) NOTE. Pour les transducteurs conformal ou tangentiels l'emplacement (M) sera celui | |||||||||||||
Mag. | = Magnum | lg | = long | ||||||||||
Fl. NE | = Flanged Nitro Express | B. P | = Black Powder | ||||||||||
Sld. | = Solid | R | = Rand = | ||||||||||
SL | = Self loading | SE v. H. | = Super Express vom Hofe | ||||||||||
H.&H. | = Holland and Holland | Win. | = Winchester | ||||||||||
sh | = short | Mag Fl H.&H. | = Magnum Flanged Holland and Holland | ||||||||||
C.I.P. 2-е Souscommission | Tableaux des dimensions de Cartouches et de Chambres | PAGE | |
DATE | 84-06-14 | ||
REV. | 90-06-13 | ||
TAB. II Liste des calibres de des cotes importantes au point de vue de la --------------------- CALIBRES A BOURRELET --------------------- | |||
Chambre TAB.I-BR/1 - De forme ( TAB.I-BR/2 - Longueur TAB.I-BR/3 - TAB.I-BR/4 - Prise des rayures ( TAB.I-BR/7 - Rayures (F, Z) TAB.II-BR/2 - Profondeur du drageoir et feuillure ( Cartouche TAB.I-AR/2 - du projectile TAB.I-AR/3 - au collet TAB.I-AR/4 - Longueur maximale | |||
Tableaux des dimensions de Cartouches et de Chambres C.I.P. | таблицы размеров патронов и патронников ПМК |
Calibres pour armes a canon(s) lisse(s) | калибры гладкоствольного оружия |
Calibres des armes a canon(s) lisse(s) a percussion centrale | калибры гладкоствольного оружия под патроны центрального боя |
Longueur Douille maxi | максимальная длина гильзы |
Longueur Chambre mini | минимальная длина патронника |
Longueur nominale en pouces | номинальная длина в дюймах |
Methode crusher | крешерный метод |
Haute performance/Epreuve Superieure | повышенные результаты/повышенное испытание |
максимальное среднее давление | |
= pression maximale statistique individuelle (bar) | максим. статист. индивидуальное давление (бар) |
= pression moyenne d'epreuve (bar) | среднее испытательное давление (бар) |
M = emplacement de la prise de pression (mm) | место измерения давления (мм) |
NOTE. Les valeurs de pression de cartouches de haute performance et de l'epreuve superieure sont valables pour lous les calibres. Les cartouches confectionnees avec des douilles de 67,5 mm de longueur maximale et chargees a plomb pourront etre tirees dans des chambres de 65 mm de longueur | Примечание. Значения давления повышенного испытания действительны для всех калибров. Дробовые патроны с максимальной длиной гильзы 67,5 мм пригодны для стрельбы из оружия, имеющего длину патронника 65 мм |
Liste des calibres verificateurs de reference des cotes importantes au point de vue de la securite | перечень контрольных калибров для контроля размеров, важных с точки зрения безопасности функционирования |
Chambre | патронник |
TAB. VII-BR/1 - Diametre a entree (D) | диаметр на входе (D) |
TAB. VII-BR/2 - Diametre a l'avant (H) et longueur (L) minimales | минимальные диаметр (H) и длина (L) |
TAB. VII-BR/3 - Diametre a l'avant (H) et longueuer (L) maximales | максимальные диаметр (H) и длина (L) |
TAB. VII-BR/4 - Cone de raccordement | соединительный конус |
TAB. VII-AB/7 - Profondeur du drageoir (T) page 01 et 02 | глубина выемки (T) |
TAB. VII-AB/8 - Feuillure (Fe) maximale | максимальный зазор |
Cartouche | патрон |
TAB. VII-AB/5 - Epaisseur du bourrelet (t) maximale | толщина макс. фланца (t) |
TAB. VII-AB/6 - Epaisseur du bourrelet (t) minimale | минимальная толщина фланца (t) |
TAB. VII-AR/1 - Diametre sous bourrelet (d) maximal et minimal | максимальный и минимальный диаметр донной части (d) |
Douille | гильза |
Culot dia. | диаметр донной части |
Bourrelet dia. | диаметр закраины |
Bourrelet ep. | толщина закраины |
Tube dia. | диаметр трубы или канала ствола |
Longueurs | длина |
Echelle | масштаб |
Drageoir dia. | диаметр выемки |
Drageoir pro. | глубина выемки |
Canon dia. | диаметр ствола |
Canon angle | угол ствола |
Feuillure | зазор |
Tolerances admises pour les canons d'epreuve | допуски для испытательных стволов |
(1) A controler pour la securite | необходимо контролировать на безопасность |
(2) Avec tolerance pour les canons manometriques | с допуском для манометрических стволов |
(3) Valable pour les armes du commerce | действительно для торгового оружия |
C.I.P. 2-е Souscommission | Tableaux des dimensions de Cartouches et de Chambres | PAGE | ||||||||
DATE | 84-06-14 | |||||||||
REV. | 90-06-13 | |||||||||
TAB. VII Calibres des armes | ||||||||||
Calibre | Longueur Douille maxi mm | Longueur Chambre mini mm | Longueur nominale en pouces | Methode Crusher | ||||||
M | ||||||||||
4/82 | 82,4 | 82,6 | 3"1/4 | 900 | 1,035 | 1,200 | 17/32 | |||
4/101 | 101,0 | 101,2 | 4" | 900 | 1,035 | 1,200 | 17/32 | |||
8/82 | 82,4 | 82,6 | 3"1/4 | 900 | 1,035 | 1,200 | 17/32 | |||
8/100 | 100,0 | 100,5 | 4" | 900 | 1,035 | 1,200 | 17/32 | |||
10/76 | 76,0 | 76,2 | 3" | 900 | 1,035 | 1,200 | 17/32 | |||
10/82 | 82,4 | 82,6 | 3"1/4 | 900 | 1,035 | 1,200 | 17/32 | |||
10/89 | 88,7 | 88,9 | 3"1/2 | 900 | 1,035 | 1,200 | 17/32 | |||
12/60 | 60,0 | 60,1 | 2"3/8 | 650 | 747 | 850 | 17/32 | |||
12/65 | 65,0 | 65,1 | 2"1/2 | 650 | 747 | 850 | 17/32 | |||
12/67 | 67,5 | 65,1 | 2"5/8 | 650 | 747 | 850 | 17/32 | |||
12/70 | 69,8 | 69,9 | 2"3/4 | 650 | 747 | 850 | 17/32 | |||
12/73 | 72,8 | 73,0 | 2"7/8 | 900 | 1,035 | 1,200 | 17/32 | |||
12/76 | 76,0 | 76,2 | 3" | 900 | 1,035 | 1,200 | 17/32 | |||
12/89 | 88,7 | 88,9 | 3"1/2 | 900 | 1,035 | 1,200 | 17/32 | |||
14/65 | 65,0 | 65,1 | 2"1/2 | 650 | 747 | 850 | 17/32 | |||
14/67 | 67,5 | 65,1 | 2"5/8 | 650 | 747 | 850 | 17/32 | |||
14/70 | 69,8 | 69,9 | 2"3/4 | 650 | 747 | 850 | 17/32 | |||
16/65 | 65,0 | 65,1 | 2"1/2 | 680 | 782 | 900 | 17/32 | |||
16/67 | 67,5 | 65,1 | 2"5/8 | 680 | 782 | 900 | 17/32 | |||
16/70 | 69,8 | 69,9 | 2"3/4 | 680 | 782 | 900 | 17/32 | |||
20/65 | 65,0 | 65,1 | 2"1/2 | 720 | 828 | 950 | 17/32 | |||
20/67 | 67,5 | 65,1 | 2"5/8 | 720 | 828 | 950 | 17/32 | |||
20/70 | 69,8 | 69,9 | 2"3/4 | 720 | 828 | 950 | 17/32 | |||
20/76 | 76,0 | 76,2 | 3" | 900 | 1,035 | 1,200 | 17/32 | |||
24/63,5 | 63,5 | 63,6 | 2"1/2 | 720 | 828 | 950 | 17/32 | |||
24/65 | 65,0 | 65,1 | 2"1/2 | 720 | 828 | 950 | 17/32 | |||
24/70 | 69,8 | 69,9 | 2"3/4 | 720 | 828 | 950 | 17/32 | |||
28/63,5 | 63,5 | 63,6 | 2"1/2 | 720 | 828 | 950 | 17/32 | |||
28/65 | 65,0 | 65,1 | 2"1/2 | 720 | 828 | 950 | 17/32 | |||
28/70 | 69,8 | 69,9 | 2"3/4 | 720 | 828 | 950 | 17/32 | |||
32/50,7 | 50,7 | 50,8 | 2" | 720 | 828 | 950 | 17/32 | |||
32/60 | 60,0 | 63,6 | 2"3/8 | 720 | 828 | 950 | 17/32 | |||
32/63,5 | 63,5 | 63,6 | 2"1/2 | 720 | 828 | 950 | 17/32 | |||
32/65 | 65,0 | 65,1 | 2"1/2 | 720 | 828 | 950 | 17/32 | |||
410/50,7 | 50,7 | 50,8 | 2" | 720 | 828 | 950 | 17/32 | |||
410/63,5 | 63,5 | 63,6 | 2"1/2 | 720 | 828 | 950 | 17/32 | |||
410/65 | 65,0 | 65,1 | 2"1/2 | 720 | 828 | 950 | 17/32 | |||
410/70 | 69,8 | 69,9 | 2"3/4 | 720 | 828 | 950 | 17/32 | |||
410/73 | 72,8 | 73,0 | 2"7/8 | 900 | 1,035 | 1,200 | 17/32 | |||
410/76 | 76,0 | 76,2 | 3" | 900 | 1,035 | 1,200 | 17/32 | |||
9 mm/44,5 | 44,5 | 44,6 | 1"3/4 | 720 | 828 | 950 | 17/32 | |||
Haute performance/Epreuve _________ | 900 | 1,035 | 1,200 | 17/32 | ||||||
= pression maximale statistique individuelle (bar) = pression moyenne (bar)M = emplacement de la prise de pression (mm) | ||||||||||
NOTE. Les valeurs de pression de cartouches de haute performance et de sont valables pour tous les calibres.Les cartouches avec des douilles de 67,5 mm de longueur maximale et | ||||||||||
C.I.P. 2-е Souscommission | Tableaux des dimensions de Cartouches et de Chambres | PAGE | ||||||||
DATE | 84-06-14 | |||||||||
REV. | 90-06-13 | |||||||||
TAB. VII Calibres des armes | ||||||||||
Calibre | Longueur Douille maxi mm | Longueur Chambre mini mm | Longueur nominale en pouces | Methode Transducteur | ||||||
M | ||||||||||
4/82 | 82,4 | 82,6 | 3"1/4 | 1,050 | 1,200 | 1,370 | 25/30 | |||
4/101 | 101,0 | 101,2 | 4" | 1,050 | 1,200 | 1,370 | 25/30 | |||
8/82 | 82,4 | 82,6 | 3"1/4 | 1,050 | 1,200 | 1,370 | 25/30 | |||
8/100 | 100,0 | 100,5 | 4" | 1,050 | 1,200 | 1,370 | 25/30 | |||
10/76 | 76,0 | 76,2 | 3" | 1,050 | 1,200 | 1,370 | 25/30 | |||
10/82 | 82,4 | 82,6 | 3"1/4 | 1,050 | 1,200 | 1,370 | 25/30 | |||
10/89 | 88,7 | 88,9 | 3"1/2 | 1,050 | 1,200 | 1,370 | 25/30 | |||
12/60 | 60,0 | 60,1 | 2"3/8 | 740 | 850 | 960 | 25/30 | |||
12/65 | 65,0 | 65,1 | 2"1/2 | 740 | 850 | 960 | 25/30 | |||
12/67 | 67,5 | 65,1 | 2"5/8 | 740 | 850 | 960 | 25/30 | |||
12/70 | 69,8 | 69,9 | 2"3/4 | 740 | 850 | 960 | 25/30 | |||
12/73 | 72,8 | 73,0 | 2"7/8 | 1,050 | 1,200 | 1,370 | 25/30 | |||
12/76 | 76,0 | 76,2 | 3" | 1,050 | 1,200 | 1,370 | 25/30 | |||
12/89 | 88,7 | 88,9 | 3"1/2 | 1,050 | 1,200 | 1,370 | 25/30 | |||
14/65 | 65,0 | 65,1 | 2"1/2 | 740 | 850 | 960 | 25/30 | |||
14/67 | 67,5 | 65,1 | 2"5/8 | 740 | 850 | 960 | 25/30 | |||
14/70 | 69,8 | 69,9 | 2"3/4 | 740 | 850 | 960 | 25/30 | |||
16/65 | 65,0 | 65,1 | 2"1/2 | 780 | 900 | 1,020 | 25/30 | |||
16/67 | 67,5 | 65,1 | 2"5/8 | 780 | 900 | 1,020 | 25/30 | |||
16/70 | 69,8 | 69,9 | 2"3/4 | 780 | 900 | 1,020 | 25/30 | |||
20/65 | 65,0 | 65,1 | 2"1/2 | 830 | 950 | 1,080 | 25/30 | |||
20/67 | 67,5 | 65,1 | 2"5/8 | 830 | 950 | 1,080 | 25/30 | |||
20/70 | 69,8 | 69,9 | 2"3/4 | 830 | 950 | 1,080 | 25/30 | |||
20/76 | 76,0 | 76,2 | 3" | 1,050 | 1,200 | 1,370 | 25/30 | |||
24/63,5 | 63,5 | 63,6 | 2"1/2 | 830 | 950 | 1,080 | 17 | |||
24/65 | 65,0 | 65,1 | 2"1/2 | 830 | 950 | 1,080 | 17 | |||
24/70 | 69,8 | 69,9 | 2"3/4 | 830 | 950 | 1,080 | 17 | |||
28/63,5 | 63,5 | 63,6 | 2"1/2 | 830 | 950 | 1,080 | 17 | |||
28/65 | 65,0 | 65,1 | 2"1/2 | 830 | 950 | 1,080 | 17 | |||
28/70 | 69,8 | 69,9 | 2"3/4 | 830 | 950 | 1,080 | 17 | |||
32/50,7 | 50,7 | 50,8 | 2" | 830 | 950 | 1,080 | 17 | |||
32/60 | 60,0 | 63,6 | 2"3/8 | 830 | 950 | 1,080 | 17 | |||
32/63,5 | 63,5 | 63,6 | 2"1/2 | 830 | 950 | 1,080 | 17 | |||
32/65 | 65,0 | 65,1 | 2"1/2 | 830 | 950 | 1,080 | 17 | |||
410/50,7 | 50,7 | 50,8 | 2" | 830 | 950 | 1,080 | 12,5 | |||
410/63,5 | 63,5 | 63,6 | 2"1/2 | 830 | 950 | 1,080 | 17 | |||
410/65 | 65,0 | 65,1 | 2"1/2 | 830 | 950 | 1,080 | 17 | |||
410/70 | 69,8 | 69,9 | 2"3/1 | 830 | 950 | 1,080 | 17 | |||
410/73 | 72,8 | 73,0 | 2"7/8 | 1,050 | 1,200 | 1,370 | 17 | |||
410/76 | 76,0 | 76,2 | 3" | 1,050 | 1,200 | 1,370 | 17 | |||
9 mm/44,5 | 44,5 | 44,6 | 1"3/4 | 830 | 950 | 1,080 | 12,5 | |||
Haute performance/Epreuve _________ | 1,050 | 1,200 | 1,370 | 12,5 | ||||||
= pression maximale statistique individuelle (bar) = pression moyenne (bar)M = emplacement de la prise de pression (mm) | ||||||||||
NOTE. Les valeurs de pression de cartouches de haute performance et de sont valables pour tous les calibres.Les cartouches avec des douilles de 67,5 mm de longueur maximale et | ||||||||||
C.I.P. 2-е Souscommission | Tableaux des dimensions de Cartouches et de Chambres | PAGE | |
DATE | 84-06-14 | ||
REV. | 90-06-13 | ||
TAB. VII Liste des calibres de des cotes importantes au point de vue de la ----------------------- CALIBRES A PLOMB POUR ARMES A CANON(S) LISSE(S) A PERCUSSION CENTRALE ----------------------- | |||
Chambre TAB.VII-BR/1 - sous bourrelet (D)TAB.VII-BR/2 - TAB.VII-BR/3 - TAB.VII-BR/4 - TAB.VII-AB/7 - Profondeur du drageoir (T) page 01 et 02 TAB.VII-AB/8 - Feuillure (Fe) maximale | |||
Cartouche TAB.VII-AB/5 - Epaisseur du bourrelet (t) maximale TAB.VII-AB/6 - Epaisseur du bourrelet (t) minimale TAB.VII-AR/l - sous bourrelet (d) maximal et minimal | |||
C.I.P. 2-е Souscommission | Armes de chasse Calibre 4 | TAB. | VII | |||||||||||||
DATE | 89-01-19 | |||||||||||||||
REV. | 90-06-13 | |||||||||||||||
DOUILLE | DOUILLE | |||||||||||||||
![]() Echelle 1:2 | Maxi | Mini | ||||||||||||||
Culot | dia. | d = 27,60 mm | 27,35 mm | |||||||||||||
Bourrelet | dia. | g = 30,45 mm | 30,00 mm | |||||||||||||
Bourrelet | t = 3,25 mm | 2,85 mm | ||||||||||||||
Tube | dia. | h = 26,20 mm | 25,75 mm | |||||||||||||
Longueurs: | ||||||||||||||||
= 82,40 - 101,00 | ||||||||||||||||
: -2,50 mm | ||||||||||||||||
CHAMBRE | CHAMBRE | |||||||||||||||
![]() Echelle 1:2 | Culot | dia. | ![]() | |||||||||||||
Drageoir | dia. | ![]() | ||||||||||||||
Drageoir | pro. | ![]() | ||||||||||||||
Chambre | dia. | ![]() | ||||||||||||||
Canon | dia. | ![]() | ||||||||||||||
Canon | angle | ![]() | ||||||||||||||
Longueurs: | ||||||||||||||||
= 82,60 - 101,20 | ||||||||||||||||
: +2,00 mm | ||||||||||||||||
Feuillure | = 0,10 mm ![]() | (1) | ||||||||||||||
= 0,20 mm (basculant) | (1) | |||||||||||||||
= 0,35 mm (automatique) | (1) | |||||||||||||||
admises pour les canons : (mm) | ||||||||||||||||
B | G | D | H | T | L | |||||||||||
+0,10 | +0,05 | +0,05 | +0,05 | +0,05 | +2,00 | -30' | ||||||||||
C.I.P. 2-е Souscommission | Armes de chasse Calibre 8 | TAB. | VII | |||||||||||||
DATE | 89-01-19 | |||||||||||||||
REV. | 90-06-13 | |||||||||||||||
DOUILLE | DOUILLE | |||||||||||||||
![]() Echelle 1:2 | Maxi | Mini | ||||||||||||||
Culot | dia. | d = 23,50 mm | 23,25 mm | |||||||||||||
Bourrelet | dia. | g = 26,25 mm | 25,80 mm | |||||||||||||
Bourrelet | t = 2,90 mm | 2,50 mm | ||||||||||||||
Tube | dia. | h = 23,15 mm | 22,70 mm | |||||||||||||
Longueurs: | ||||||||||||||||
= 82,40 - 100,00 | ||||||||||||||||
: -2,50 mm | ||||||||||||||||
CHAMBRE | CHAMBRE | |||||||||||||||
![]() Echelle 1:2 | Culot | dia. | ![]() | |||||||||||||
Drageoir | dia. | ![]() | ||||||||||||||
Drageoir | pro. | ![]() | ||||||||||||||
Chambre | dia. | ![]() | ||||||||||||||
Canon | dia. | ![]() | ||||||||||||||
Canon | angle | ![]() | ||||||||||||||
Longueurs: | ||||||||||||||||
= 82,60 - 100,50 | ||||||||||||||||
: +2,00 mm | ||||||||||||||||
Feuillure | = 0,10 mm ![]() | (1) | ||||||||||||||
= 0,20 mm (basculant) | (1) | |||||||||||||||
= 0,35 mm (automatique) | (1) | |||||||||||||||
admises pour les canons : (mm) | ||||||||||||||||
B | G | D | H | T | L | |||||||||||
+0,10 | +0,05 | +0,05 | +0,05 | +0,05 | +2,00 | -30' | ||||||||||
C.I.P. 2-е Souscommission | Armes de chasse Calibre 10 | TAB. | VII | |||||||||||||
DATE | 84-06-14 | |||||||||||||||
REV. | 90-06-13 | |||||||||||||||
DOUILLE | DOUILLE | |||||||||||||||
![]() Echelle 1:1 | Maxi | Mini | ||||||||||||||
Culot | dia. | d = 21,70 mm | 21,46 mm | |||||||||||||
Bourrelet | dia. | g = 23,65 mm | 23,01 mm | |||||||||||||
Bourrelet | t = 1,90 mm | 1,50 mm | ||||||||||||||
Tube | dia. | h = 21,30 mm | 20,83 mm | |||||||||||||
Longueurs: | ||||||||||||||||
= 76,0 - 82,4 - 88,7 | ||||||||||||||||
: -2,50 mm | ||||||||||||||||
CHAMBRE | CHAMBRE | |||||||||||||||
![]() Echelle 1:1 | Culot | dia. | ![]() | |||||||||||||
Drageoir | dia. | ![]() | ||||||||||||||
Drageoir | pro. | ![]() | ||||||||||||||
Chambre | dia. | ![]() | ||||||||||||||
Canon | dia. | ![]() | ||||||||||||||
Canon | angle | ![]() | ||||||||||||||
Longueurs: | ||||||||||||||||
= 76,2 - 82,6 - 88,9 | ||||||||||||||||
: +2,00 mm | ||||||||||||||||
Feuillure | = 0,10 mm ![]() | (1) | ||||||||||||||
= 0,20 mm (basculant) | (1) | |||||||||||||||
= 0,35 mm (automatique) | (1) | |||||||||||||||
admises pour les canons : (mm) | ||||||||||||||||
B | G | D | H | T | L | |||||||||||
+0,10 | +0,05 | +0,05 | +0,05 | +0,05 | +2,00 | -30' | ||||||||||
C.I.P. 2-е Souscommission | Armes de chasse Calibre 12 | TAB. | VII | |||||||||||||
DATE | 84-06-14 | |||||||||||||||
REV. | 90-06-13 | |||||||||||||||
DOUILLE | DOUILLE | |||||||||||||||
![]() Echelle 1:1 | Maxi | Mini | ||||||||||||||
Culot | dia. | d = 20,60 mm | 20,32 mm | |||||||||||||
Bourrelet | dia. | g = 22,45 mm | 21,97 mm | |||||||||||||
Bourrelet | t = 1,85 mm | 1,50 mm | ||||||||||||||
Tube | dia. | h = 20,20 mm | 19,73 mm | |||||||||||||
Longueurs: | ||||||||||||||||
= 60,0 - 65,0 - 67,5 - 69,8 - 72,8 - 76,0 - 88,7 | ||||||||||||||||
: -2,50 mm | ||||||||||||||||
CHAMBRE | CHAMBRE | |||||||||||||||
![]() Echelle 1:1 | Culot | dia. | ![]() | |||||||||||||
Drageoir | dia. | ![]() | ||||||||||||||
Drageoir | pro. | ![]() | ||||||||||||||
Chambre | dia. | ![]() | ||||||||||||||
Canon | dia. | ![]() | ||||||||||||||
Canon | angle | ![]() | ||||||||||||||
Longueurs: | ||||||||||||||||
= 60,1 - 65,1 - 69,9 - 73,0 - 76,2 - 88,9 | ||||||||||||||||
: +2,00 mm | ||||||||||||||||
Feuillure | = 0,10 mm ![]() | (1) | ||||||||||||||
= 0,20 mm (basculant) | (1) | |||||||||||||||
= 0,35 mm (automatique) | (1) | |||||||||||||||
admises pour les canons : (mm) | ||||||||||||||||
B | G | D | H | T | L | |||||||||||
+0,10 | +0,05 | +0,05 | +0,05 | +0,05 | +2,00 | -30' | ||||||||||
C.I.P. 2-е Souscommission | Armes de chasse Calibre 14 | TAB. | VII | |||||||||||||
DATE | 84-06-14 | |||||||||||||||
REV. | 90-06-13 | |||||||||||||||
DOUILLE | DOUILLE | |||||||||||||||
![]() Echelle 1:1 | Maxi | Mini | ||||||||||||||
Culot | dia. | d = 19,65 mm | 19,40 mm | |||||||||||||
Bourrelet | dia. | g = 21,45 mm | 21,00 mm | |||||||||||||
Bourrelet | t = 1,75 mm | 1,40 mm | ||||||||||||||
Tube | dia. | h = 19,30 mm | 18,80 mm | |||||||||||||
Longueurs: | ||||||||||||||||
= 65,0 - 67,5 - 69,8 | ||||||||||||||||
: -2,50 mm | ||||||||||||||||
CHAMBRE | CHAMBRE | |||||||||||||||
![]() Echelle 1:1 | Culot | dia. | ![]() | |||||||||||||
Drageoir | dia. | ![]() | ||||||||||||||
Drageoir | pro. | ![]() | ||||||||||||||
Chambre | dia. | ![]() | ||||||||||||||
Canon | dia. | ![]() | ||||||||||||||
Canon | angle | ![]() | ||||||||||||||
Longueurs: | ||||||||||||||||
= 65,1 - 69,9 | ||||||||||||||||
: +2,00 mm | ||||||||||||||||
Feuillure | = 0,10 mm ![]() | (1) | ||||||||||||||
= 0,20 mm (basculant) | (1) | |||||||||||||||
= 0,35 mm (automatique) | (1) | |||||||||||||||
admises pour les canons : (mm) | ||||||||||||||||
B | G | D | H | T | L | |||||||||||
+0,10 | +0,05 | +0,05 | +0,05 | +0,05 | +2,00 | -30' | ||||||||||
C.I.P. 2-е Souscommission | Armes de chasse Calibre 16 | TAB. | VII | |||||||||||||
DATE | 84-06-14 | |||||||||||||||
REV. | 90-06-13 | |||||||||||||||
DOUILLE | DOUILLE | |||||||||||||||
![]() Echelle 1:1 | Maxi | Mini | ||||||||||||||
Culot | dia. | d = 18,90 mm | 18,67 mm | |||||||||||||
Bourrelet | dia. | g = 20,65 mm | 20,32 mm | |||||||||||||
Bourrelet | t = 1,65 mm | 1,30 mm | ||||||||||||||
Tube | dia. | h = 18,55 mm | 18,06 mm | |||||||||||||
Longueurs: | ||||||||||||||||
= 65,0 - 67,5 - 69,8 | ||||||||||||||||
: -2,50 mm | ||||||||||||||||
CHAMBRE | CHAMBRE | |||||||||||||||
![]() Echelle 1:1 | Culot | dia. | ![]() | |||||||||||||
Drageoir | dia. | ![]() | ||||||||||||||
Drageoir | pro. | ![]() | ||||||||||||||
Chambre | dia. | ![]() | ||||||||||||||
Canon | dia. | ![]() | ||||||||||||||
Canon | angle | ![]() | ||||||||||||||
Longueurs: | ||||||||||||||||
= 65,1 - 69,9 | ||||||||||||||||
: +2,00 mm | ||||||||||||||||
Feuillure | = 0,10 mm ![]() | (1) | ||||||||||||||
= 0,20 mm (basculant) | (1) | |||||||||||||||
= 0,35 mm (automatique) | (1) | |||||||||||||||
admises pour les canons : (mm) | ||||||||||||||||
B | G | D | H | T | L | |||||||||||
+0,10 | +0,05 | +0,05 | +0,05 | +0,05 | +2,00 | -30' | ||||||||||
C.I.P. 2-е Souscommission | Armes de chasse Calibre 20 | TAB. | VII | |||||||||||||
DATE | 84-06-14 | |||||||||||||||
REV. | 90-06-13 | |||||||||||||||
DOUILLE | DOUILLE | |||||||||||||||
![]() Echelle 1:1 | Maxi | Mini | ||||||||||||||
Culot | dia. | d = 17,70 mm | 17,48 mm | |||||||||||||
Bourrelet | dia. | g = 19,40 mm | 19,00 mm | |||||||||||||
Bourrelet | t = 1,55 mm | 1,20 mm | ||||||||||||||
Tube | dia. | h = 17,35 mm | 16,86 mm | |||||||||||||
Longueurs: | ||||||||||||||||
= 65,0 - 67,5 - 69,8 - 76,0 | ||||||||||||||||
: -2,50 mm | ||||||||||||||||
CHAMBRE | CHAMBRE | |||||||||||||||
![]() Echelle 1:1 | Culot | dia. | ![]() | |||||||||||||
Drageoir | dia. | ![]() | ||||||||||||||
Drageoir | pro. | ![]() | ||||||||||||||
Chambre | dia. | ![]() | ||||||||||||||
Canon | dia. | ![]() | ||||||||||||||
Canon | angle | ![]() | ||||||||||||||
Longueurs: | ||||||||||||||||
= 65,1 - 69,9 - 76,2 | ||||||||||||||||
: +2,00 mm | ||||||||||||||||
Feuillure | = 0,10 mm ![]() | (1) | ||||||||||||||
= 0,20 mm (basculant) | (1) | |||||||||||||||
= 0,35 mm (automatique) | (1) | |||||||||||||||
admises pour les canons : (mm) | ||||||||||||||||
B | G | D | H | T | L | |||||||||||
+0,10 | +0,05 | +0,05 | +0,05 | +0,05 | +2,00 | -30' | ||||||||||
C.I.P. 2-е Souscommission | Armes de chasse Calibre 24 | TAB. | VII | |||||||||||||
DATE | 84-06-14 | |||||||||||||||
REV. | 90-06-13 | |||||||||||||||
DOUILLE | DOUILLE | |||||||||||||||
![]() Echelle 1:1 | Maxi | Mini | ||||||||||||||
Culot | dia. | d = 16,75 mm | 16,55 mm | |||||||||||||
Bourrelet | dia. | g = 18,45 mm | 18,05 mm | |||||||||||||
Bourrelet | t = 1,55 mm | 1,20 mm | ||||||||||||||
Tube | dia. | h = 16,45 mm | 15,95 mm | |||||||||||||
Longueurs: | ||||||||||||||||
= 63,5 - 65,0 - 69,8 | ||||||||||||||||
: -2,50 mm | ||||||||||||||||
CHAMBRE | CHAMBRE | |||||||||||||||
![]() Echelle 1:1 | Culot | dia. | ![]() | |||||||||||||
Drageoir | dia. | ![]() | ||||||||||||||
Drageoir | pro. | ![]() | ||||||||||||||
Chambre | dia. | ![]() | ||||||||||||||
Canon | dia. | ![]() | ||||||||||||||
Canon | angle | ![]() | ||||||||||||||
Longueurs: | ||||||||||||||||
= 63,6 - 65,1 - 69,9 | ||||||||||||||||
: +2,00 mm | ||||||||||||||||
Feuillure | = 0,10 mm ![]() | (1) | ||||||||||||||
= 0,20 mm (basculant) | (1) | |||||||||||||||
= 0,35 mm (automatique) | (1) | |||||||||||||||
admises pour les canons : (mm) | ||||||||||||||||
B | G | D | H | T | L | |||||||||||
+0,10 | +0,05 | +0,05 | +0,05 | +0,05 | +2,00 | -30' | ||||||||||
C.I.P. 2-е Souscommission | Armes de chasse Calibre 28 | TAB. | VII | |||||||||||||
DATE | 84-06-14 | |||||||||||||||
REV. | 90-06-13 | |||||||||||||||
DOUILLE | DOUILLE | |||||||||||||||
![]() Echelle 1:1 | Maxi | Mini | ||||||||||||||
Culot | dia. | d = 15,85 mm | 15,67 mm | |||||||||||||
Bourrelet | dia. | g = 17,40 mm | 17,02 mm | |||||||||||||
Bourrelet | t = 1,55 mm | 1,20 mm | ||||||||||||||
Tube | dia. | h = 15,55 mm | 15,06 mm | |||||||||||||
Longueurs: | ||||||||||||||||
= 63,5 - 65,0 - 69,8 | ||||||||||||||||
: -2,50 mm | ||||||||||||||||
CHAMBRE | CHAMBRE | |||||||||||||||
![]() Echelle 1:1 | Culot | dia. | ![]() | |||||||||||||
Drageoir | dia. | ![]() | ||||||||||||||
Drageoir | pro. | ![]() | ||||||||||||||
Chambre | dia. | ![]() | ||||||||||||||
Canon | dia. | ![]() | ||||||||||||||
Canon | angle | ![]() | ||||||||||||||
Longueurs: | ||||||||||||||||
= 63,6 - 65,1 - 69,9 | ||||||||||||||||
: +2,00 mm | ||||||||||||||||
Feuillure | = 0,10 mm ![]() | (1) | ||||||||||||||
= 0,20 mm (basculant) | (1) | |||||||||||||||
= 0,35 mm (automatique) | (1) | |||||||||||||||
admises pour les canons : (mm) | ||||||||||||||||
B | G | D | H | T | L | |||||||||||
+0,10 | +0,05 | +0,05 | +0,05 | +0,05 | +2,00 | -30' | ||||||||||
C.I.P. 2-е Souscommission | Armes de chasse Calibre 32 | TAB. | VII | |||||||||||||
DATE | 84-06-14 | |||||||||||||||
REV. | 90-06-13 | |||||||||||||||
DOUILLE | DOUILLE | |||||||||||||||
![]() Echelle 1:1 | Maxi | Mini | ||||||||||||||
Culot | dia. | d = 14,55 mm | 14,40 mm | |||||||||||||
Bourrelet | dia. | g = 16,10 mm | 15,70 mm | |||||||||||||
Bourrelet | t = 1,55 mm | 1,20 mm | ||||||||||||||
Tube | dia. | h = 14,25 mm | 13,90 mm | |||||||||||||
Longueurs: | ||||||||||||||||
= 50,7 - 60,0 - 63,5 - 65,0 | ||||||||||||||||
: -2,50 mm | ||||||||||||||||
CHAMBRE | CHAMBRE | |||||||||||||||
![]() Echelle 1:1 | Culot | dia. | ![]() | |||||||||||||
Drageoir | dia. | ![]() | ||||||||||||||
Drageoir | pro. | ![]() | ||||||||||||||
Chambre | dia. | ![]() | ||||||||||||||
Canon | dia. | ![]() | ||||||||||||||
Canon | angle | ![]() | ||||||||||||||
Longueurs: | ||||||||||||||||
= 50,8 - 63,6 - 65,1 | ||||||||||||||||
: +2,00 mm | ||||||||||||||||
Feuillure | = 0,10 mm ![]() | (1) | ||||||||||||||
= 0,20 mm (basculant) | (1) | |||||||||||||||
= 0,35 mm (automatique) | (1) | |||||||||||||||
admises pour les canons : (mm) | ||||||||||||||||
B | G | D | H | T | L | |||||||||||
+0,10 | +0,05 | +0,05 | +0,05 | +0,05 | +2,00 | -30' | ||||||||||
C.I.P. 2-е Souscommission | Armes de chasse Calibre 410 (36) | TAB. | VII | |||||||||||||
DATE | 84-06-14 | |||||||||||||||
REV. | 90-06-13 | |||||||||||||||
DOUILLE | DOUILLE | |||||||||||||||
![]() Echelle 1:1 | Maxi | Mini | ||||||||||||||
Culot | dia. | d = 12,00 mm | 11,89 mm | |||||||||||||
Bourrelet | dia. | g = 13,60 mm | 13,20 mm | |||||||||||||
Bourrelet | t = 1,55 mm | 1,20 mm | ||||||||||||||
Tube | dia. | h = 11,75 mm | 11,37 mm | |||||||||||||
Longueurs: | ||||||||||||||||
= 50,7 - 63,5 - 65,0 - 69,8 - 72,8 - 76,0 | ||||||||||||||||
: -2,50 mm | ||||||||||||||||
CHAMBRE | CHAMBRE | |||||||||||||||
![]() Echelle 1:1 | Culot | dia. | ![]() | |||||||||||||
Drageoir | dia. | ![]() | ||||||||||||||
Drageoir | pro. | ![]() | ||||||||||||||
Chambre | dia. | ![]() | ||||||||||||||
Canon | dia. | ![]() | ||||||||||||||
Canon | angle | ![]() | ||||||||||||||
Longueurs: | ||||||||||||||||
= 50,8 - 63,6 - 65,1 - 69,9 - 73,0 - 76,2 | ||||||||||||||||
: +2,00 mm | ||||||||||||||||
Feuillure | = 0,10 mm ![]() | (1) | ||||||||||||||
= 0,20 mm (basculant) | (1) | |||||||||||||||
= 0,35 mm (automatique) | (1) | |||||||||||||||
admises pour les canons : (mm) | ||||||||||||||||
B | G | D | H | T | L | |||||||||||
+0,10 | +0,05 | +0,05 | +0,05 | +0,05 | +2,00 | -30' | ||||||||||
C.I.P. 2-е Souscommission | Armes de chasse Calibre 9 mm C. F. | TAB. | VII | |||||||||||||
DATE | 84-06-14 | |||||||||||||||
REV. | 90-06-13 | |||||||||||||||
DOUILLE | DOUILLE | |||||||||||||||
![]() Echelle 1:1 | Maxi | Mini | ||||||||||||||
Culot | dia. | d = 9,85 mm | 9,75 mm | |||||||||||||
Bourrelet | dia. | g = 11,40 mm | 11,10 mm | |||||||||||||
Bourrelet | t = 1,40 mm | 1,15 mm | ||||||||||||||
Tube | dia. | h = 9,65 mm | 9,30 mm | |||||||||||||
Longueurs: | ||||||||||||||||
= 44,5 | ||||||||||||||||
: -2,50 mm | ||||||||||||||||
CHAMBRE | CHAMBRE | |||||||||||||||
![]() Echelle 1:1 | Culot | dia. | ![]() | |||||||||||||
Drageoir | dia. | ![]() | ||||||||||||||
Drageoir | pro. | ![]() | ||||||||||||||
Chambre | dia. | ![]() | ||||||||||||||
Canon | dia. | ![]() | ||||||||||||||
Canon | angle | ![]() | ||||||||||||||
Longueurs: | ||||||||||||||||
= 44,6 | ||||||||||||||||
: +2,00 mm | ||||||||||||||||
Feuillure | = 0,10 mm ![]() | (1) | ||||||||||||||
= 0,20 mm (basculant) | (1) | |||||||||||||||
= 0,35 mm (automatique) | (1) | |||||||||||||||
admises pour les canons : (mm) | ||||||||||||||||
B | G | D | H | T | L | |||||||||||
+0,10 | +0,05 | +0,05 | +0,05 | +0,05 | +2,00 | -30' | ||||||||||
C.I.P. 2-е Souscommission | 5,6 x 39 Pays d'origine: RF | TAB. | I | ||||||||||||
DATE | |||||||||||||||
REV. | |||||||||||||||
CARTOUCHE MAXIMALE | CARTOUCHE MAXIMALE | CHAMBRE MINIMALE | |||||||||||||
![]() Echelle 1:1 | Longueurs | Longueurs | |||||||||||||
L 1 <*> | = 27,00 | L 1 <*> | = 26,88 | ||||||||||||
L 2 <*> | = 32,20 | L 2 <*> | = 32,22 | ||||||||||||
L 3 | = 38,70 | L 3 | = 39,13 | ||||||||||||
L 4 | = | ||||||||||||||
L 5 | = | ||||||||||||||
L 6 | = 48,70 | ||||||||||||||
Culot | Cuvette | ||||||||||||||
R | = 1,50 | R | = 1,50 | ||||||||||||
R 1 | = 11,35 | R 1 | = 11,40 | ||||||||||||
R 3 | = | R 2 | = | ||||||||||||
E | = 3,50 | R 3 | = | ||||||||||||
E 1 | = 9,56 | r | = | ||||||||||||
= 1,2 | |||||||||||||||
delta | = 51°58'13" | ||||||||||||||
f | = | ||||||||||||||
beta | = | ||||||||||||||
CHAMBRE MINIMALE | Chambre | Chambre | |||||||||||||
![]() Echelle 1:1 | P 1 | = 11,35 | E | = 5,13 | |||||||||||
P 2 <*> | = 10,20 | P 1 | = 11,26 | ||||||||||||
P 2 <*> | = 10,24 | ||||||||||||||
alpha | = 39°13'1" | alpha | = 40°00" | ||||||||||||
S | = 40,56 | S | = 40,94 | ||||||||||||
= 0,50 | = 0,50 | ||||||||||||||
r 2 | = 2,00 | r 2 | = 2,50 | ||||||||||||
Collet | Collet | ||||||||||||||
H 1 <*> | = 6,29 | H 1 <*> | = 6,36 | ||||||||||||
H 2 | = 6,29 | H 2 | = 6,29 | ||||||||||||
Diam. du projectile | Prise de rayures | ||||||||||||||
G 1 | = 5,67 | G 1 <*> | = 5,78 | ||||||||||||
G 2 | = | G <*> | = 10,31 | ||||||||||||
L 3 + G | = 49,41 | alpha 1 | = 31°24' | ||||||||||||
h | = 1,20 | ||||||||||||||
s | = 6,00 | ||||||||||||||
l | = 0°59'50" | ||||||||||||||
Diam. du canon | |||||||||||||||
F <*> | = 5,45 | ||||||||||||||
Z | = 5,59 | ||||||||||||||
Rayures du canon | |||||||||||||||
b | = 2,00 | ||||||||||||||
N | = 6 | ||||||||||||||
u | = 420,00 | ||||||||||||||
Q | = 23,92 mm2 | ||||||||||||||
admises pour les canons : | |||||||||||||||
G | Z | ||||||||||||||
+0,02 | +0,03 | +0,10 | +0,05 | +0,05 | +0,05 | +0,03 | |||||||||
C.I.P. 2-е Souscommission | 7,62 x 53 Pays d'origine: RF | TAB. | II | ||||||||||||
DATE | |||||||||||||||
REV. | |||||||||||||||
CARTOUCHE MAXIMALE | CARTOUCHE MAXIMALE | CHAMBRE MINIMALE | |||||||||||||
![]() Echelle 1:1 | Longueurs | Longueurs | |||||||||||||
L 1 <*> | = 39,70 | L 1 <*> | = 39,70 | ||||||||||||
L 2 <*> | = 44,30 | L 2 <*> | = 44,27 | ||||||||||||
L 3 | = 53,72 | L 3 | = 53,67 | ||||||||||||
L 4 | = | ||||||||||||||
L 5 | = | ||||||||||||||
L 6 | = 76,00 | ||||||||||||||
Culot | Cuvette | ||||||||||||||
R | = 1,60 | R | = 1,60 | ||||||||||||
R 1 | = 14,48 | R 1 | = 14,50 | ||||||||||||
R 3 | = | R 2 | = | ||||||||||||
E | = | R 3 | = | ||||||||||||
E 1 | = | r | = | ||||||||||||
= | |||||||||||||||
delta | = | ||||||||||||||
f | = 0,60 | ||||||||||||||
beta | = 71°20' | ||||||||||||||
Chambre | Chambre | ||||||||||||||
P 1 | = 12,42 | E | = | ||||||||||||
P 2 <*> | = 11,61 | P 1 | = 12,31 | ||||||||||||
P 2 <*> | = 11,63 | ||||||||||||||
CHAMBRE MINIMALE | |||||||||||||||
![]() Echelle 1:1 | alpha | = 37°00' | alpha | = 36°36'08" | |||||||||||
S | = 57,04 | S | = 57,07 | ||||||||||||
= 0,50 | = 0,50 | ||||||||||||||
r 2 | = 2,00 | r 2 | = 2,50 | ||||||||||||
Collet | Collet | ||||||||||||||
H 1 <*> | = 8,53 | H 1 <*> | = 8,61 | ||||||||||||
H 2 | = 8,53 | (1) | H 2 | = 8,56 | |||||||||||
Diam. du projectile | Prise de rayures | ||||||||||||||
G 1 | = 7,92 | G 1 <*> | = 7,92 | ||||||||||||
G 2 | = | G <*> | = 21,17 | ||||||||||||
L 3 + G | = 74,89 | alpha 1 | = 8°24'40" | ||||||||||||
h | = 18,29 | ||||||||||||||
s <*> | = | ||||||||||||||
l | = 3°07'43" | ||||||||||||||
Diam. du canon | |||||||||||||||
F <*> | = 7,61 | ||||||||||||||
Z | = 7,91 | ||||||||||||||
Rayures du canon | |||||||||||||||
b | = 3,81 | ||||||||||||||
N | = 4 | ||||||||||||||
u | = 240,00 | ||||||||||||||
Q | = 47,27 mm2 | ||||||||||||||
admises pour les canons : | |||||||||||||||
G | Z | ||||||||||||||
+0,02 | +0,03 | +0,10 | +0,05 | +0,05 | +0,05 | +0,03 | |||||||||
C.I.P. 2-е Souscommission | 9 x 53 Pays d'origine: RF | TAB. | I | ||||||||||||
DATE | |||||||||||||||
REV. | |||||||||||||||
CARTOUCHE MAXIMALE | CARTOUCHE MAXIMALE | CHAMBRE MINIMALE | |||||||||||||
![]() Echelle 1:1 | Longueurs | Longueurs | |||||||||||||
L 1 <*> | = 39,68 | L 1 <*> | = 39,70 | ||||||||||||
L 2 <*> | = 42,45 | L 2 <*> | = 42,30 | ||||||||||||
L 3 | = 53,00 | L 3 | = 52,97 | ||||||||||||
L 4 | = | ||||||||||||||
L 5 | = | ||||||||||||||
L 6 | = 67,00 | ||||||||||||||
Culot | Cuvette | ||||||||||||||
R | = 1,58 | R | = 1,60 | ||||||||||||
R 1 | = 14,48 | R 1 | = 14,50 | ||||||||||||
R 3 | = | R 2 | = | ||||||||||||
E | = | R 3 | = | ||||||||||||
E 1 | = | r | = | ||||||||||||
= | |||||||||||||||
delta | = | ||||||||||||||
f | = 0,60 | ||||||||||||||
beta | = 71°20' | ||||||||||||||
Chambre | Chambre | ||||||||||||||
P 1 | = 12,37 | E | = | ||||||||||||
P 2 <*> | = 11,61 | P 1 | = 12,45 | ||||||||||||
P 2 <*> | = 11,68 | ||||||||||||||
CHAMBRE MINIMALE | |||||||||||||||
![]() Echelle 1:1 | alpha | = 36°30' | alpha | = 36°29'20" | |||||||||||
S | = 57,94 | S | = 57,44 | ||||||||||||
= 0,50 | = 0,50 | ||||||||||||||
r 2 | = 2,00 | r 2 | = 2,50 | ||||||||||||
Collet | Collet | ||||||||||||||
H 1 <*> | = 9,86 | H 1 <*> | = 9,89 | ||||||||||||
H 2 | = 9,86 | H 2 | = 9,97 | ||||||||||||
Diam. du projectile | Prise de rayures | ||||||||||||||
G 1 | = 9,22 | G 1 <*> | = 9,33 | ||||||||||||
G 2 | = | G <*> | = 8,03 | ||||||||||||
L 3 + G | = 61,03 | alpha 1 | = 38°35'20" | ||||||||||||
h | = 0,80 | ||||||||||||||
s <*> | = 5,73 | ||||||||||||||
l | = 5°08'34" | ||||||||||||||
Diam. du canon | |||||||||||||||
F <*> | = 9,00 | ||||||||||||||
Z | = 9,25 | ||||||||||||||
Rayures du canon | |||||||||||||||
b | = 3,00 | ||||||||||||||
N | = 6 | ||||||||||||||
u | = 250,00 | ||||||||||||||
Q | = 65,36 mm2 | ||||||||||||||
admises pour les canons : | |||||||||||||||
F | Z | ||||||||||||||
+0,02 | +0,03 | +0,10 | +0,05 | +0,05 | +0,05 | +0,03 | |||||||||
Liste des calibres verificateurs de reference des cotes-importantes au point de vue de la securite | перечень калибров, рекомендуемых для контроля размеров, важных с точки зрения безопасности функционирования |
Chambre | патронник |
TAB. I-BR/1 - De forme ( | форма ( |
TAB. I-BR/2 - Longueur | длина |
TAB. I-BR/3 - Cone de raccordement ( | соединительный конус ( |
TAB. I-BR/4 - Prise des rayures ( | пульный вход ( |
TAB. I-BR/5 - Cone de raccordement feuillure SAAMI | соединительный конус, допуски SAAMI |
TAB. I-BR/6 - Longueuer | длина |
TAB. I-BR/7 - Rayures (F, Z) | нарезы (F, Z) |
TAB. II-BR/2 - Profondeur du drageoir et feuillure ( | глубина выемки с зазором ( |
TAB. III-BR/2 - Profondeur de la cuvette et feuillure ( | глубина выемки с зазором ( |
TAB. V-B/7 - Profondeur du drageoir (R) minimale (annulaire) | глубина выемки (R) минимальная (кольцевого) |
TAB. V-B/8 - Feuillure (Fe) maximale | максимальный зазор (Fe) |
TAB. VI-BR/7 - Profondeur du drageoir (R) minimale (scellement) | глубина выемки (R) минимальная (монтажные устройства) |
TAB. VI-B/1 - Diametre minimal a l'entree | минимальный диаметр у входа |
TAB. VI-B/2 - Diametre | диаметр |
TAB. VI-B/4 - Cone de raccordement (8 Gauge) | максимальный соединительный конус |
TAB. VI-B/5 - Profondeur minimale du drageoir (R) (8 Gauge) | минимальная толщина фланца (R) (8 Gauge) |
TAB. VI-B/8 - Feuillure maximale (a) (8 Gauge) | максимальные допуски (a) (8 Gauge) |
TAB. VII-BR/1 - Diametre a l'entree (D) | диаметр у входа (D) |
TAB. VII-BR/2 - Diametre a l'avant (H) et longueur (L) minimales | диаметр (H) на длине (L) минимальные |
TAB. VII-BR/3 - Diametre a l'avant et longueur (L) maximales | диаметр (P) на длине (L) максимальные |
TAB. VII-BR/4 - Cone de raccordement | соединительный конус |
TAB. VII-AB/7 - Profondeur du drageoir (T) page 01 et 02 | толщина фланца (T) стр. 01 и 02 |
TAB. VII-AB/8 - Feuillure (a) maximale | максимальные допуски (a) |
Controle de securite | контроль безопасности |
Armes a canon raye - Chambre minimale | нарезное оружие - минимальный патронник |
Calibre verificateur de reference ( | калибр для проверки размеров ( |
Entre | входит |
a gorge | с фланцем |
a bourrelet | с закраиной |
a culot Magnum | с донной частью Магнум |
Tolerances = ISO 286-2:1986 (F) | допуски |
Calibre verificateur de reference | калибр для проверки размеров |
Chambre pour cartouches a gorge et sans cone | патронник под патрон с дульцем без ската |
Controle de la longueur minimale de la chambre | цилиндрический калибр-пробка с миним. длиной патронника |
Controle de la feuillure maximale | калибр с максимальным допуском |
N'entre pas | не входит |
Armes a canon raye - Cone de raccordement | нарезное оружие - соединительный конус |
Controle de | контроль |
Controle de la feuillure maximale | контроль максимального зазора |
NOTE. La valeur nominale de D peut verier entre les valeurs | Примечание. Номинальное значение D может изменяться в пределах |
Armes a canon raye - Prise des rayuers | нарезное оружие - пульный вход |
Controle de | контроль |
Armes a canon raye - Origine U. S. | нарезное оружие - производство США |
Calibre verificateur de reference | калибры, рекомендуемые для контроля |
Chambre pour cartouches conigues | патронник под патроны с конусной частью |
Controle de la feuillure minimale et maximale | контрольный калибр для максим. и миним. зазора |
NOTE. La feuillure des armes d'origine US peut etre controlee a l'aide de calibres verificateurs conformes aux plans SAAMI. Pour le controle de la valeur MAXI, la tolerance CIP doit etre appliquee | Примечание. Для оружия американского производства для контроля зеркального зазора возможно применение калибров, аналогичных SAAMI, с использованием максимальных значений допусков CIP |
Chambre pour cartouches a gorge sans cone | патронник под конический патрон |
NOTE. Les tampons seront consideres "hors d'usage" des qu'ils auront atteint la cote nominale | Примечание. При достижении номинального размера калибр считается непригодным |
Armes a canon raye pour cartouche a bourrelet | нарезное оружие под патроны с закраиной |
Controle de la profondeur du drageoir | контрольный цилиндрический калибр-пробка, минимальная толщина фланца |
et de la feuillure maximale | с допуском максимальным |
Armes a canon raye pour cartouche a culot Magnum | нарезное оружие под патроны с донной частью Магнум |
Controle de la profondeur de la cuvette | контроль толщины донной части |
et de la feuillure maximale | с максимальным зазором |
Armes a percussion annulaire | оружие под патроны кольцевого воспламенения |
Controle de la profondeur minimale du drageoir R | контроль Минимальной глубины выемки R |
* = a l'intersection des lignes | на пересечении линий |
Controle de la feuillure maximale Fe | контроль максимального зазора Fe |
Fe = profondeur du drageoir plus feuillure | глубина выемки плюс допуск |
Canons des engins a buts industriels | стволы под патроны к устройствам промышленного назначения |
Controle de la profondeur minimale du drageoir R | контроль минимальной и максимальной глубины выемки R |
Appareil a but industriel | устройства промышленного назначения |
Controle du diametre minimal | контроль минимального диаметра |
NOTE. Le calibre doit entrer dans la chambre au moins jusqu' au repere A | Примечание. Казенный срез патронника не должен выходить за пределы линии A |
Controle du diametre | контрольный калибр для проверки диам. |
NOTE. Le calibre doit entrer completement dans la chambre | калибр полностью должен входить в патронник |
Controle du cone de raccordement | контрольный калибр для максим. соединительного конуса |
NOTE. 1. La face de la tige coulissante ne doit pas etre en saillie par rapport a la face superieure du calibre. 2. Le calibre pourra etre construit d'une longueuer inferieure on superieure a la longueur de la chambre minimale | Примечания: 1. Плоскость внутреннего стержня не должна выходить за плоскость калибра. 2. Длина калибра может быть больше или меньше минимальной длины патронника |
Controle de la profondeur minimale du drageoir R | контроль максимальной и минимальной толщины R |
Controle de la feuillure maximale (a) | контроль максимального зазора (a) |
Armes a canon(s) lisse(s) a percussion centrale | гладкоствольное оружие под патроны центрального боя |
Controle du diametre a l'entree de la chambre D | калибр для проверки диаметра D у входа в патронник |
NOTE. 1. Le calibre doit entrer dans la chambre de facon que la tranche de culasse se situe entre les reperes A et R. Si le calibre penetre au dela du repere R, la profondeur du drageoir doit etre verifiee. 2. Deux calibres differentes MINI et MAXI peuvent etre utilises | Примечание. Казенный срез ствола располагается между линиями A и R калибра. Калибр может состоять из двух частей: заканчивающейся на линии A - для проверки миним. диаметра; заканчивающейся на линии R - для проверки максим. диаметра |
Controle du diametre H et de la longueur minimale de la chambre L | калибр для проверки минимальной длины патронника L и диаметра в конце патронника H |
NOTE. 1. Le calibre doit entrer dans la chambre jusqu'au repere correspondent a la longueur de la chambre. 2. Puor chaque longueur de chambre, un calibre correspondant pourra etre utilise | казенный срез ствола должен располагаться в пазах для каждой длины калибры для проверки диаметра в конце патронника H при миним. длине патронника L могут изготовляться отдельно |
Controle du diametre H et de la longueur maximale de la chambre L | калибр для проверки максим. диаметра в конце патронника H и максим. длины патронника L |
NOTE. Le calibre ne doit pas entrer completement dans la chambre | Примечание. Калибр не должен полностью входить в патронник |
Controle du cone de raccordement | калибр для проверки угла пульного входа ![]() |
NOTE. 1. La face de la tige coulissante ne doit pas etre en saillie par rapport a la face superieure du calibre. 2. Le calibre pourra etre construit d'une longueur inferieure ou superieure a la longueuer de la chambre minimale | фаска внутреннего стержня не должна выходить за плоскость длина калибра может быть больше или меньше миним. длины патронника |
Controle de la profondeur minimale et maximale du drageoir T | калибр для проверки минимальной и максимальной выемки патронника T |
Canons juxtaposes | горизонтальное расположение стволов |
Canons superposes | вертикальное расположение стволов |
Point de controle oppose a l'extracteur | точка контроля, противоположная выбрасывателю |
NOTE. Mode d'emploi du calibre verificateur de la profondeur du drageoir. Controle a effecteur selon les diametres A - A et B - B | Примечание. Способ применения калибра для проверки глубины выемки патронника под фланец гильзы. Контроль проводится по диаметрам в сечениях А - А и Б - Б |
C.I.P. 2-е Souscommission | Tableaux des dimensions de Cartouches et de Chambres | PAGE | |
DATE | 84-06-14 | ||
REV. | 90-06-13 | ||
Liste des calibres de des cotes importantes au point de vue de la | |||
Chambre TAB.I-BR/1 - De forme ( TAB.I-BR/2 - Longueur TAB.I-BR/3 - TAB.I-BR/4 - Prise des rayures ( TAB.I-BR/5 - TAB.I-BR/6 - Longueur TAB.I-BR/7 - Rayures (F, Z) TAB.II-BR/2 - Profondeur du drageoir et feuillure ( TAB.III-BR/2 - Profondeur de la cuvette et feuillure ( TAB.V-B/7 - Profondeur du drageoir (R) minimale (annulaire) TAB.V-BR/8 - Feuillure (Fe) maximale TAB.VI-BR/7 - Profondeur du drageoir (R) minimale (scellement) TAB.VI-B/1 - minimal TAB.VI-B/2 - TAB.VI-B/4 - TAB.VI-B/5 - Profondeur minimale du drageoir (R) (8 Gauge) TAB.VI-B/8 - Feuillure maximale (a) (8 Gauge) TAB.VII-BR/1 - TAB.VII-BR/2 - TAB.VII-BR/3 - TAB.VII-BR/4 - TAB.VII-AB/7 - Profondeur du drageoir (T) page 01 et 02 TAB.VII-AB/8 - Feuillure (a) maximale | |||
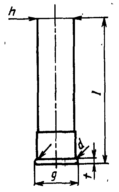
C.I.P. 2-е Souscommission | de Armes | TAB. I | BR/1 |
DATE | 83-02-03 | ||
REV. | 90-06-13 | ||
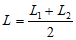
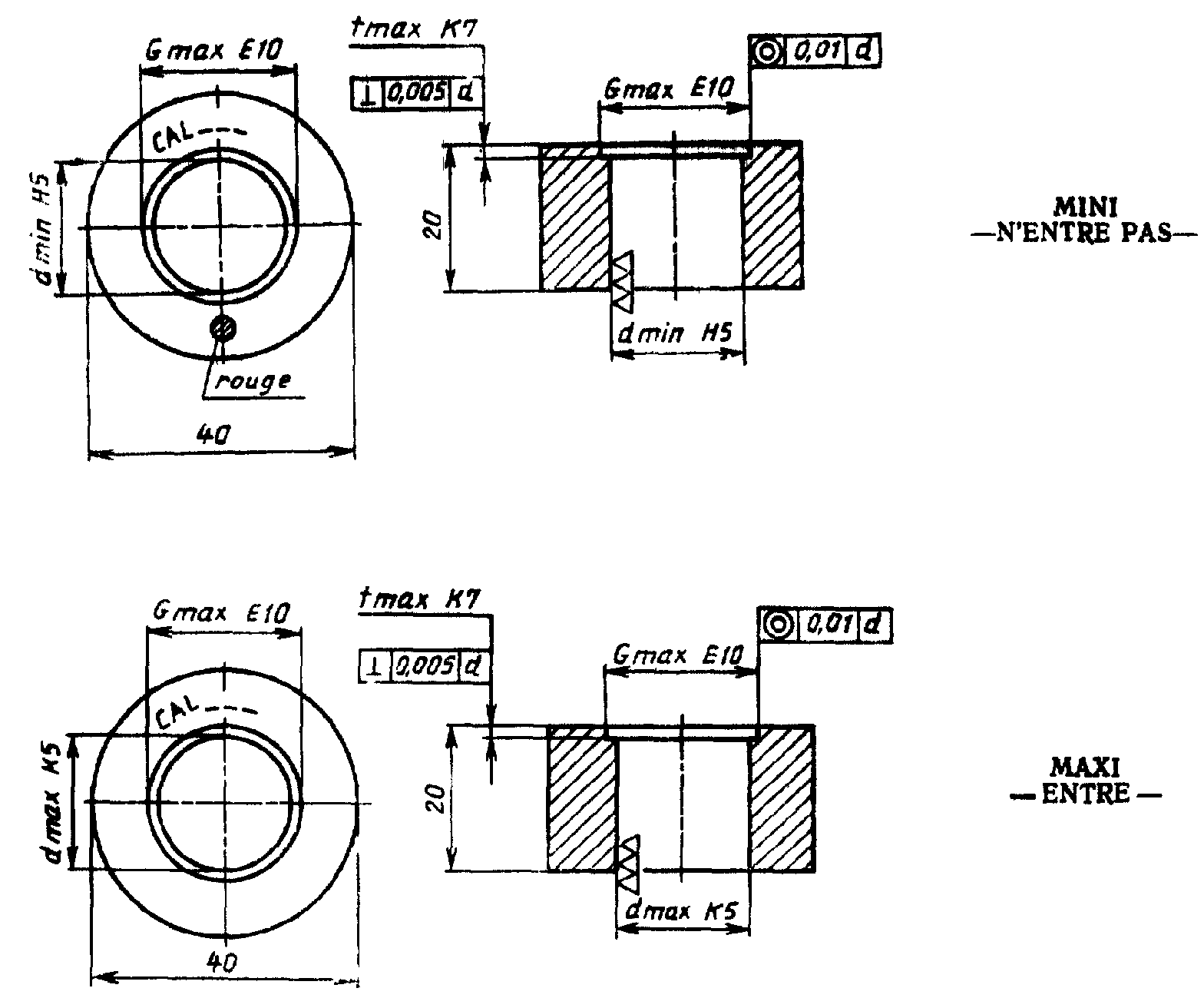
Calibre de ![]() (P1, L3, et H2) ENTRE ![]() ![]() ![]() ![]() ![]() | |||
![]() | |||
= ISO 286-2:1986 (F) | |||
C.I.P. 2-е Souscommission | de Armes | TAB. I | BR/2 |
DATE | 83-02-03 | ||
REV. | 90-06-13 | ||
Calibre de ![]() Chambre pour cartouches de la longueur minimale de la chambre L3 et du H2ENTRE de la feuillure maximaleN'ENTRE PAS ![]() ![]() ![]() | |||
![]() | |||
= ISO 286-2:1986 (F) | |||
C.I.P. 2-е Souscommission | de Armes | TAB. I | BR/3 | |||
DATE | 83-02-03 | |||||
REV. | 90-06-13 | |||||
Calibre de ![]() de L1/P2 et L2/H1ENTRE de la feuillure maximaleN'ENTRE PAS ![]() | ||||||
![]() ![]() | ||||||
![]() ![]() ![]() | ![]() ![]() | |||||
![]() | ![]() | ![]() | ||||
NOTE: La valeur nominale de D peut varier entre les valeurs P2 et H1 entrainant par la variation de la longueur (L) arrondie au chiffre, | ||||||
= ISO 286-2:1986 (F) | ||||||
C.I.P. 2-е Souscommission | de Armes | TAB. I | BR/4 | ||
DATE | 83-02-03 | ||||
REV. | 90-06-13 | ||||
Calibre de ![]() de G1, s, G, L3 + GENTRE ![]() | |||||
![]() | ![]() | ||||
![]() | |||||
![]() | ![]() | ||||
![]() | |||||
NOTE: La valeur nominale de D peut varier entre les valeurs P2 et H1 entrainant par la variation de la longueur (L) arrondie au chiffre, | |||||
= ISO 286-2:1986 (F) | |||||
C.I.P. 2-е Souscommission | de Armes | TAB. I | BR/5 | ||
DATE | 83-02-04 | ||||
REV. | 90-06-13 | ||||
Calibre de ![]() Chambre pour cartouches coniques de la feuillure minimale et maximale![]() | |||||
![]() | ![]() ![]() ![]() | ||||
![]() ![]() ![]() | |||||
![]() | |||||
NOTE: La feuillure des armes d'origine US peut conformes aux plans SAAMI.Pour le CIP doit . | |||||
= ISO 286-2:1986 (F) | |||||
C.I.P. 2-е Souscommission | de Armes | TAB. I | BR/5 | |
DATE | 83-02-03 | |||
REV. | 90-06-13 | |||
Calibre de ![]() Chambre pour cartouches de la feuillure minimale et maximale![]() | ||||
![]() | ||||
![]() ![]() ![]() | ||||
![]() | ||||
NOTE: La feuillure des armes d'origine US peut conformes aux plans SAAMI.Pour le CIP doit . | ||||
= ISO 286-2:1986 (F) | ||||
C.I.P. 2-е Souscommission | de Armes | TAB. I | BR/7 | |
DATE | 83-02-03 | |||
REV. | 90-06-13 | |||
Calibre de ![]() de F et 7ENTRE ![]() | ||||
a = 0,7 x b ![]() ![]() ![]() | ||||
![]() | ||||
NOTE: Les tampons seront "hors d'usage" | ||||
= ISO 286-2:1986 (F) | ||||
C.I.P. 2-е Souscommission | de Armes | TAB. II | BR/2 | |
DATE | 83-02-03 | |||
REV. | 90-06-13 | |||
Calibre de ![]() de la profondeur du drageoir ENTRE et de la feuillure maximale N'ENTRE PAS ![]() | ||||
![]() ![]() ![]() ![]() | ||||
![]() | ![]() | |||
= ISO 286-2:1986 (F) | ||||
C.I.P. 2-е Souscommission | de Armes | TAB. III | BR/2 | |
DATE | 83-02-03 | |||
REV. | 90-06-13 | |||
Calibre de ![]() de la profondeur de la cuvette ENTRE et de la feuillure maximale N'ENTRE PAS ![]() | ||||
![]() ![]() ![]() ![]() | ||||
![]() | ![]() | |||
= ISO 286-2:1986 (F) | ||||
C.I.P. 2-е Souscommission | de Armes | TAB. V | B/7 | |
DATE | 82-03-19 | |||
REV. | 90-06-13 | |||
Calibre de ![]() de la profondeur minimale du drageoir RENTRE ![]() | ||||
* = (cartouche)![]() (chambre)![]() ![]() ![]() | ![]() | |||
= ISO 286-2:1986 (F) | ||||
C.I.P. 2-е Souscommission | de Armes | TAB. V | B/8 | |
DATE | 82-03-19 | |||
REV. | 90-06-13 | |||
Calibre de ![]() de la feuillure maximale FeN'ENTRE PAS ![]() | ||||
* = (cartouche)![]() (chambre)![]() ![]() ![]() | ![]() | |||
= ISO 286-2:1986 (F) | ||||
C.I.P. 2-е Souscommission | de Canons des engins | TAB. VI | BR/7 | |
DATE | 82-3-19 | |||
REV. | 90-06-13 | |||
Calibre de ![]() de la profondeur minimale du drageoir RENTRE ![]() | ||||
* = (cartouche)![]() ![]() ![]() ![]() ![]() | ![]() | |||
= ISO 286-2:1986 (F) | ||||
C.I.P. 2-е Souscommission | de Appareil | TAB. VI | B/1 | |
DATE | 83-02-03 | |||
REV. | 90-06-13 | |||
Cal. "8 Gauge" industriel Calibre de ![]() du minimal P1ENTRE ![]() | ||||
![]() | ||||
NOTE: Le calibre doit entrer dans la chambre au moins jusqu'au | ||||
= ISO 286-2:1986 (F) | ||||
C.I.P. 2-е Souscommission | de Appareil | TAB. VI | B/2 | |
DATE | 85-03-26 | |||
REV. | 90-06-13 | |||
Cal. "8 Gauge" industriel Calibre de ![]() du diametre H2 et de la longueur L3 minimalesENTRE ![]() | ||||
![]() | ||||
NOTE: Le calibre doit entrer dans la chambre. | ||||
= ISO 286-2:1986 (F) | ||||
C.I.P. 2-е Souscommission | de Appareil | TAB. VI | B/4 | |
DATE | 85-03-26 | |||
REV. | 90-06-13 | |||
Cal. "8 Gauge" industriel Calibre de ![]() du | ||||
![]() ![]() | ![]() | |||
![]() ![]() | ![]() | |||
NOTE: 1. La face de la tige coulissante ne doit pas du calibre.2. Le calibre pourra ou | ||||
= ISO 286-2:1986 (F) | ||||
C.I.P. 2-е Souscommission | de Appareil | TAB. VI | B/5 | |
DATE | 85-03-26 | |||
REV. | 90-06-13 | |||
Cal. "8 Gauge" industriel Calibre de ![]() de la profondeur minimale du drageoir R![]() | ||||
* = ![]() ![]() ![]() ![]() | ![]() | ![]() | ||
= ISO 286-2:1986 (F) | ||||
C.I.P. 2-е Souscommission | de Appareil | TAB. VI | B/8 | |
DATE | 85-03-26 | |||
REV. | 90-06-13 | |||
Cal. "8 Gauge" industriel Calibre de ![]() de la feuillure maximale aN'ENTRE PAS ![]() | ||||
![]() * = ![]() ![]() ![]() a = feuillure maximale | ![]() | ![]() | ||
= ISO 286-2:1986 (F) | ||||
C.I.P. 2-е Souscommission | de Armes | TAB. VII | BR/1 |
DATE | 83-02-03 | ||
REV. | 90-06-13 | ||
Calibre de ![]() du ![]() | |||
![]() I = a | ![]() | ||
NOTE: 1. Le calibre doit entrer dans la chambre de facon que la tranche de culasse se situe entre les Si le calibre 2. Deux calibres MINI et MAXI peuvent | |||
= ISO 286-2:1986 (F) | |||
C.I.P. 2-е Souscommission | de Armes | TAB. VII | BR/2 |
DATE | 83-02-03 | ||
REV. | 90-06-13 | ||
Calibre de ![]() du H et de la longueur minimale de la chambre LENTRE ![]() | |||
![]() | ![]() | ||
NOTE: 1. Le calibre doit entrer dans la chambre jusqu'au 2. Pour chaque longueur de chambre, un calibre correspondant pourra | |||
= ISO 286-2:1986 (F) | |||
C.I.P. 2-е Souscommission | de Armes | TAB. VII | BR/3 |
DATE | 83-02-03 | ||
REV. | 90-06-13 | ||
Calibre de ![]() du H et de la longueur miximale de la chambre LN'ENTRE PAS ![]() | |||
![]() | |||
NOTE: 1. Le calibre ne doit pas entrer dans la chambre.2. Pour chaque longueur de chambre, un calibre correspondant pourra | |||
= ISO 286-2:1986 (F) | |||
C.I.P. 2-е Souscommission | de Armes | TAB. VII | BR/4 |
DATE | 83-02-03 | ||
REV. | 90-06-13 | ||
Calibre de ![]() du ![]() | |||
![]() ![]() ![]() | ![]() | ||
NOTE: 1. La face de la tige coulissante ne doit pas du calibre.2. Le calibre pourra ou | |||
= ISO 286-2:1986 (F) | |||
C.I.P. 2-е Souscommission | de Armes | TAB. VII | AB/7 01 | |
DATE | 80-06-10 | |||
REV. | 90-06-13 | |||
Calibre de ![]() de la profondeur minimale et maximale du drageoir T![]() | ||||
* = ![]() ![]() ![]() ![]() ![]() | ![]() | ![]() | ||
= ISO 286-2:1986 (F) | ||||
C.I.P. 2-е Souscommission | de Armes | TAB. VII | AB/7 02 |
DATE | 80-06-10 | ||
REV. | 90-06-13 | ||
Calibre de ![]() de la profondeur minimale et maximale du drageoir TArmes pour cartouches ![]() | |||
NOTE: Mode d'emploi du calibre de la profondeur du drageoir. A-A et B-B. | |||
= ISO 286-2:1986 (F) | |||
C.I.P. 2-е Souscommission | de Armes | TAB. VII | AB/8 | |
DATE | 82-03-24 | |||
REV. | 90-06-13 | |||
Calibre de ![]() de la feuillure maximale aN'ENTRE PAS ![]() | ||||
* = ![]() ![]() ![]() ![]() a = feuillure maximale | ![]() | ![]() | ||
= ISO 286-2:1986 (F) | ||||
Tableaux des dimensions de Cartouches et de Chambres | таблицы размеров патронов и патронников |
Liste des calibres verificateurs de reference des cotes importantes au point de vue de la securite | перечень калибров для контроля размеров, важных с точки зрения безопасности |
Cartouche | патрон |
TAB. I-AR/2 - Diametre du progectile | максимальный диаметр пули |
TAB. I-AR/3 - Diametre au collet | максимальный диаметр дульца |
TAB. I-AR/4 - Longueur maximale | максимальная длина ![]() |
TAB. V-AR/4 - Longueur | максимальная длина |
TAB. V-AR/5 - Forme generale-annulaire | общая форма - патроны кольцевого воспламенения |
TAB. VI-A/11 - Epaisseur du bourrelet | толщина фланца - патроны кольцевого воспламенения |
TAB. VI-A/1 - Diametre maximal sous bourrelet | максимальный диаметр фланца |
TAB. VI-A/5 - Epaisseur maximal du bourrelet R (8 Gauge) | максимальная толщина фланца R (8 Gauge) |
TAB. VI-AB/11 - Epaisseur maximale du bourrelet R (scellement) | максимальная толщина фланца R (монтажные устройства) |
TAB. VII-AB/5 - Epaisseur du bourrelet (t) maximale | максимальная толщина фланца (t) |
TAB. VII-AB/6 - Epaisseur du bourrelet (t) minimale | минимальная толщина фланца (t) |
TAB. VII-AR/1 - Diametre sous bourrelet (d) maximal et minimal | максимальный и минимальный диаметр донной части (d) |
Controle de securite | контроль безопасности |
Calibre verificateur de reference | калибры, рекомендуемые для контроля |
Controle du diametre | контроль диаметра пули |
NOTE. Le projectile doit s'enfoncer completement dans l'alesage de la bague | Примечание. Пуля должна полностью входить в кольцо |
Controle du diametre | контрольный калибр - цилиндрическое кольцо, максимальный диаметр дульца гильзы |
NOTE. Le collet de la douille doit entrer partiellement dans l'alesage du calibre suivant la conicite | Примечание. Кольцо должно надеваться на дульце, которое в зависимости от наклона конуса должно частично входить в контрольный калибр |
NOTE. Le culot de la cartouche ne doit pas etre en saillie par rapport a la face superieure du calibre. | Примечание. Поверхность донной части патрона не должна выступать за верхнюю плоскость калибра |
Controle de forme generale | контрольный калибр максимальной формы |
NOTE. La face du fond culot de la cartouche ne doit pas sortir de la face superieure du verificateur | Примечание. Поверхность донной части патрона не должна выступать за верхнюю плоскость калибра |
Controle de la longueur | контрольный калибр максимальной длины |
Alternative | альтернатива |
Chambre minimale | минимальный патронник |
Cartouche maximale | максимальный патрон |
C.I.P. 2-е Souscommission | Tableaux des dimensions de Cartouches et de Chambres | PAGE | 48 |
DATE | 84-06-14 | ||
REV. | 90-06-13 | ||
Liste des calibres de des cotes importantes au point de vue de la | |||
Cartouche TAB.I-AR/2 - du projectile TAB.I-AR/3 - au collet TAB.I-AR/4 - Longueur maximale | |||
TAB.V-AR/4 - Longueur TAB.V-AR/5 - Forme - annulaireTAB.V-AB/11 - Epaisseur du bourrelet | |||
TAB.VI-A/1 - maximal sous bourrelet TAB.VI-A/5 - Epaisseur maximal du bourrelet R (8 Gauge) TAB.VI-AB/11 - Epaisseur maximale du bourrelet R (scellement) | |||
TAB.VII-AB/5 - Epaisseur du bourrelet (t) maximale TAB.VII-AB/6 - Epaisseur du bourrelet (t) minimale TAB.VII-AR/1 - sous bourrelet (d) maximal et minimal | |||
C.I.P. 2-е Souscommission | de Cartouche | TAB. I | AR/2 | |
DATE | 83-02-04 | |||
REV. | 90-06-13 | |||
Calibre de ![]() du G1 du projectileENTRE ![]() | ||||
![]() | ||||
NOTE: Le projectile doit s'enfoncer dans de la bague. | ||||
= ISO 286-2:1986 (F) | ||||
C.I.P. 2-е Souscommission | de Cartouches | TAB. I | AR/3 | |
DATE | 83-02-04 | |||
REV. | 90-06-13 | |||
Calibre de ![]() du H2 au collet de la douilleENTRE ![]() | ||||
![]() | ||||
NOTE: Le collet de la douille doit entrer partiellement dans du calibre suivant la | ||||
= ISO 286-2:1986 (F) | ||||
C.I.P. 2-е Souscommission | de Cartouches | TAB. I | AR/4 | ||
DATE | 83-02-04 | ||||
REV. | 90-06-13 | ||||
Calibre de ![]() de la longueur L3 + GENTRE ![]() | |||||
![]() | ALTERNATIVE ![]() | ||||
NOTE: Le culot de la cartouche ne doit pas du calibre. | |||||
= ISO 286-2:1986 (F) | |||||
C.I.P. 2-е Souscommission | de Cartouches annulaires | TAB. V | AR/4 | ||||||
DATE | 86-10-19 | ||||||||
REV. | 90-06-13 | ||||||||
Calibre de ![]() de la longueur L3 + GENTRE ![]() | |||||||||
min = chambre minimale max = cartouche maximale | ALTERNATIVE | ![]() | |||||||
4113730 | L5max | L3max | R | ||||||
22 Short | 14,09 | 10,69 | 1,09 | ||||||
22 Long | 18,97 | 15,57 | 1,09 | ||||||
22 L. R. | 20,02 | 15,57 | 1,09 | ||||||
22 Ex. Long | 22,75 | 18,30 | 1,12 | ||||||
22 Ex L. R. | 22,23 | 17,78 | 1,09 | ||||||
NOTE: La face du fond culot de la cartouche ne doit pas sortir de la face du . | |||||||||
= ISO 286-2:1986 (F) | |||||||||
C.I.P. 2-е Souscommission | de Cartouches annulaires | TAB. V | AR/5 | |||
DATE | 86-10-19 | |||||
REV. | 90-06-13 | |||||
Calibre de ![]() de forme ![]() ENTRE ![]() | ||||||
![]() | ||||||
CAL | L3max | R | ||||
22 Short | 10,69 | 1,09 | ||||
22 Long | 15,57 | 1,09 | ||||
22 L. R. | 15,57 | 1,09 | ||||
22 Ex. Long | 18,30 | 1,12 | ||||
22 Ex L. R. | 17,78 | 1,09 | ||||
NOTE: La face du fond culot de la cartouche ne doit pas sortir de la face du . | ||||||
= ISO 286-2:1986 (F) | ||||||
C.I.P. 2-е Souscommission | de Cartouches annulaires | TAB. V | AB/11 |
DATE | 79-06-20 | ||
REV. | 90-06-13 | ||
Calibre de ![]() de maximale du bourrelet RENTRE ![]() | |||
(chambre) (cartouche) (cartouche) | |||
= ISO 286-2:1986 (F) | |||
C.I.P. 2-е Souscommission | de Cartouches pour appareil | TAB. VI | A/1 |
DATE | 85-03-26 | ||
REV. | 90-06-13 | ||
Cal. "8 Gauge" industriel Calibre de ![]() du maximal sous bourrelet P1ENTRE ![]() | |||
![]() | |||
NOTE: Le bourrelet ne doit pas du calibre verificateur. | |||
= ISO 286-2:1986 (F) | |||
C.I.P. 2-е Souscommission | de Cartouches pour appareil | TAB. VI | A/5 |
DATE | 85-03-26 | ||
REV. | 90-06-13 | ||
Cal. "8 Gauge" industriel Calibre de ![]() de maximale du bourrelet RENTRE ![]() | |||
![]() mini = chambre maxi = cartouche | |||
= ISO 286-2:1986 (F) | |||
C.I.P. 2-е Souscommission | de Cartouches pour engins | TAB. VI | AB/11 |
DATE | 79-06-20 | ||
REV. | 90-06-13 | ||
Calibre de ![]() de maximale du bourrelet RENTRE ![]() | |||
(chambre) (cartouche) (cartouche) | |||
= ISO 286-2:1986 (F) | |||
C.I.P. 2-е Souscommission | de Cartouches | TAB. VII | AB/5 |
DATE | 78-05-02 | ||
REV. | 90-06-13 | ||
Calibre de ![]() Cartouches de maximale du bourrelet (t)ENTRE ![]() | |||
![]() | |||
= ISO 286-2:1986 (F) | |||
C.I.P. 2-е Souscommission | de Cartouches | TAB. VII | AR/6 |
DATE | 78-05-02 | ||
REV. | 90-06-13 | ||
Calibre de ![]() Cartouches de minimale du bourrelet (t)N'ENTRE PAS ![]() | |||
= ISO 286-2:1986 (F) | |||
C.I.P. 2-е Souscommission | de Cartouches | TAB. VII | AR/1 |
DATE | 83-02-04 | ||
REV. | 90-06-13 | ||
Calibre de ![]() Cartouches du (d) minimal et maximal sous bourrelet![]() | |||
![]() | |||
NOTE: Le bourrelet doit: (condition minimale) soritr du drageoir du calibre verificateur (condition maximale) | |||
= ISO 286-2:1986 (F) | |||