Главная // Актуальные документы // ГОСТ Р (Государственный стандарт)СПРАВКА
Источник публикации
М.: Стандартинформ, 2009
Примечание к документу
Документ утратил силу с 1 января 2013 года в связи с изданием
Приказа Росстандарта от 13.12.2011 N 1471-ст. Взамен введен в действие
ГОСТ ISO 8588-2011.
Документ включен в
Перечень стандартов, содержащих правила и методы исследований (испытаний) и измерений, в том числе правила отбора образцов, необходимые для применения и исполнения требований технического регламента Таможенного союза "Технический
регламент на соковую продукцию из фруктов и овощей" (ТР ТС 023/2011) и осуществления оценки (подтверждения) соответствия продукции (
Решение Комиссии Таможенного союза от 09.12.2011 N 882).
Документ включен в
Перечень национальных стандартов, содержащих правила и методы исследований (испытаний) и измерений, в том числе правила отбора образцов, необходимые для применения и исполнения Федерального
закона "Технический регламент на соковую продукцию из фруктов и овощей" и осуществления оценки соответствия (
Распоряжение Правительства РФ от 19.05.2009 N 690-р).
Документ включен в
Перечень национальных стандартов, содержащих правила и методы исследований (испытаний) и измерений, в том числе правила отбора образцов, необходимых для применения и исполнения Федерального
закона "Технический регламент на молоко и молочную продукцию" и осуществления оценки соответствия (
Распоряжение Правительства РФ от 15.12.2008 N 1866-р).
Документ
введен в действие с 1 января 2010 года.
Название документа
"ГОСТ Р ИСО 8588-2008. Национальный стандарт Российской Федерации. Органолептический анализ. Методология. Испытания "А" - "Не А"
(утв. и введен в действие Приказом Ростехрегулирования от 18.12.2008 N 628-ст)
"ГОСТ Р ИСО 8588-2008. Национальный стандарт Российской Федерации. Органолептический анализ. Методология. Испытания "А" - "Не А"
(утв. и введен в действие Приказом Ростехрегулирования от 18.12.2008 N 628-ст)
Утвержден и введен в действие
агентства по техническому
регулированию и метрологии
от 18 декабря 2008 г. N 628-ст
НАЦИОНАЛЬНЫЙ СТАНДАРТ РОССИЙСКОЙ ФЕДЕРАЦИИ
ОРГАНОЛЕПТИЧЕСКИЙ АНАЛИЗ.
МЕТОДОЛОГИЯ.
ИСПЫТАНИЯ "А" - "НЕ А"
Sensory analysis. Methodology of "A" - "not A" test
ISO 8588:1987
Sensory analysis - Methodology - "A" - "not A" test
(IDT)
ГОСТ Р ИСО 8588-2008
Группа Н91
ОКС 67.240;
ОКП 98 8000
Дата введения
1 января 2010 года
Цели и принципы стандартизации в Российской Федерации установлены Федеральным
законом от 27 декабря 2002 г. N 184-ФЗ "О техническом регулировании", а правила применения национальных стандартов Российской Федерации -
ГОСТ Р 1.0-2004 "Стандартизация в Российской Федерации. Основные положения".
1. Подготовлен Техническим комитетом ИСО ТК 34 "Сельскохозяйственные пищевые продукты", подкомитетом ПК 67.240 "Сенсорный анализ", на основе аутентичного перевода ИСО 8588:1987, который выполнен Государственным образовательным учреждением высшего профессионального образования "Московский государственный университет пищевых производств".
2. Внесен Техническим комитетом по стандартизации ТК 335 "Методы испытаний агропромышленной продукции на безопасность".
3. Утвержден и введен в действие
Приказом Федерального агентства по техническому регулированию и метрологии от 18 декабря 2008 г. N 628-ст.
4. Настоящий стандарт идентичен международному стандарту ИСО 8588:1987 "Органолептический анализ. Методология. Испытания "А" - "Не "А" (ISO 8588:1987 "Sensory analysis - Methodology - "A" - "not A" test").
При применении настоящего стандарта рекомендуется использовать вместо ссылочных международных стандартов соответствующие им национальные стандарты, сведения о которых приведены в дополнительном
Приложении D.
5. Введен впервые.
Информация об изменениях к настоящему стандарту публикуется в ежегодно издаваемом информационном указателе "Национальные стандарты", а текст изменений и поправок - в ежемесячно издаваемых информационных указателях "Национальные стандарты". В случае пересмотра (замены) или отмены настоящего стандарта соответствующее уведомление будет опубликовано в ежемесячно издаваемом информационном указателе "Национальные стандарты". Соответствующая информация, уведомление и тексты размещаются также в информационной системе общего пользования - на официальном сайте Федерального агентства по техническому регулированию и метрологии в сети Интернет.
Настоящий стандарт предназначен для применения во всех областях промышленности, где используют органолептическую оценку продуктов с помощью органов чувств, и описывает испытание "А" - "Не А" для использования в органолептическом анализе, как испытание на:
a) различие, особенно для оценки образцов, имеющих различный внешний вид (что затрудняет получение строго идентичных повторных образцов) или различный остающийся привкус (что затрудняет непосредственное сравнение);
b) узнавание, особенно для определения того, может ли эксперт или группа экспертов идентифицировать новый раздражитель в сравнении с известным раздражителем (например распознавание качества сладкого вкуса нового подслащивающего средства);
c) восприятие для определения чувствительности эксперта к конкретному раздражителю.
В настоящем стандарте использованы нормативные ссылки на следующие стандарты:
ИСО 3534. Статистика. Словарь и обозначения
ИСО 5492:2005. Органолептический анализ. Словарь
ИСО 6658:2005. Органолептический анализ. Методология. Общее руководство
ИСО 8589:2005. Органолептический анализ. Общее руководство по проектированию помещения для испытаний.
В настоящем стандарте применены термины по ИСО 5492 для терминов, относящихся к органолептическому анализу, и по ИСО 3534 - для статистических методов.
Испытателю предоставляется ряд образцов, некоторые из которых являются образцом "А", тогда как другие отличаются от образца "А". Для каждого образца испытатель должен определить, является ли он идентичным или неидентичным "А". Это испытание требует от испытателя оценки известного образца "А" до оценки испытуемых образцов.
Аппаратура должна быть выбрана руководителем испытания в соответствии с природой подлежащего анализу продукта, количеством образцов и т.д. и не должна никаким образом влиять на результаты испытаний. Если аппаратура соответствует требованиям данного испытания, то ее следует использовать.
6. Отбор проб для испытаний
Отбор проб для испытаний следует проводить согласно стандартам по органолептическому анализу продукта или продуктов, подлежащих испытанию. При отсутствии таких стандартов следует руководствоваться правилами отбора проб на данный продукт или достичь соглашения между заинтересованными сторонами.
7. Общие условия испытаний
7.1. Помещение для испытаний
Испытания следует проводить в помещении, которое соответствует требованиям ИСО 8589.
7.2. Испытатели
7.2.1. Квалификация, отбор, расстановка
Все испытатели должны иметь одинаковый уровень квалификации. Эта квалификация должна быть выбрана в соответствии с целью испытания. Отбор испытателей следует проводить согласно ИСО 8586-2 и ИСО 8586-1.
7.2.2. Количество экспертов
Количество привлекаемых экспертов зависит от цели испытания и от требуемого уровня значимости.
8.1. Подготовка образцов для испытаний
Необходимо обеспечить достаточное число образцов продукта для испытаний "А" и "Не А" так, чтобы можно было приготовить требуемое число образцов.
Испытатели не должны делать заключения о природе образцов на основании способа предоставления образцов испытателям на испытание. Образцы должны быть подготовлены идентичным образом (одинаковые емкости, одинаковые количества продукта).
Температура образцов должна контролироваться и быть постоянной.
Контейнеры, содержащие образцы для испытаний, должны быть закодированы с помощью трехзначных номеров, выбранных случайным образом. Кодирование должно быть различным для каждого испытания.
8.2. Метод испытания
Испытание "А" - "Не А" предполагает изначальное восприятие или ознакомление с образцом "А". После восприятия или ознакомления, как только началась оценка образцов, испытатель не имеет доступа к явному образцу "А". Кроме того, в последовательности образцов, предоставленных эксперту, все образцы "Не А" аналогичны. Число образцов "А" и "Не А" не должно быть известно испытателю.
Порядок предоставления образцов "А" и "Не А" должен быть случайным, и этот порядок должен быть различным для каждого испытателя. Каждому испытателю должно быть предоставлено идентичное число образцов "А" и идентичное число образцов "Не А" (эти два числа необязательно должны быть одинаковыми).
В соответствии с природой образца и во избежание некоторых мешающих факторов, влияющих на чувствительность, должны соблюдаться одинаковые временные интервалы между предоставлением двух последовательных образцов.
В зависимости от цели испытания возможны некоторые изменения, которые включают в себя:
a) ознакомление с исходным образцом, которое может охватывать не только образец "А", но также и образец "Не А";
b) свободный доступ образца "А" в течение всего процесса испытания;
c) предоставление образцов "Не А", которые сами являются различными.
9. Предоставление результатов
В конце испытания руководитель исследования получает, при простом виде испытания, таблицу из двух граф и двух строк (см. таблицу 1).
Таблица 1
Количество наблюдений
| | Предоставленный образец | Итого |
"А" | "Не А" |
Эксперт идентифицировал | "А" | | | |
"Не А" | | | |
Всего | | | | n |
где

и

- число правильных ответов "А" и "не А" соответственно;

и

- число неправильных ответов "А" и "не А" соответственно;

и

- суммы ответов по строкам 1 и 2 соответственно;

и

- суммы ответов по графам 1 и 2 соответственно;
n - суммарное число ответов.
Интерпретация результатов заключается в сравнении двух распределений

и

для определения того, являются ли различие отношения

и отношения

существенными.
Возможны другие методы интерпретации результатов испытания, а именно:
- при малом числе ответов можно использовать критерий Фишера;
- когда испытания "А" - "Не А" используют для определения порога восприятия, тогда может быть использована теория обнаружения импульса.
Теория обнаружения импульса позволяет определить параметры обнаружения для каждого возможного решения, с тем чтобы влиять на характеристики образца и чувствительность испытателей.
(рекомендуемое)
ПРИМЕРЫ РАСЧЕТА ИСПЫТАНИЯ "А" - "НЕ А"
Распознавание сладкого вкуса сахарозы (раздражитель "А") от сладкого вкуса, вызванного подслащивающим веществом (раздражитель "Не А").
Оба вещества предоставлены в виде водных растворов в концентрации, соответствующей степени сладости, эквивалентной раствору сахарозы 40 г/л.
Число экспертов: 20.
Число образцов на испытателя: пять "А" и пять "Не А".
Результаты (для всех испытателей вместе): смотрите таблицу A.1.
Таблица A.1
| Предоставленный образец | Итого |
"А" | "Не А" |
Число идентифицированных ответов | "А" | 60 | 35 | 95 |
"Не А" | 40 | 65 | 105 |
Всего | 100 | 100 | 200 |
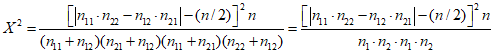
Значение критерия

вычисляют по формуле

,
где

- наблюдаемое число при i-м, j-м значениях;

- теоретическое число, определяемое отношением произведения i-го и j-го чисел к суммарному числу, т.е. используя обозначения, приведенные в
разделе 9:

.
Например, для строки "А" и графы "А" (или

):

,
Наблюдаемое значение критерия

сравнивают с критическим значением, приведенным в
таблице 7, для числа степеней свободы, равного 1.
Если данное значение критерия больше критического значения, то принимается решение, что для выбранного риска имеется существенное различие в распознавании двух сладких вкусов (в данном примере 12,53 больше 3,84 (при риске 5%), гипотеза является двухсторонней, см.
примечание 3).
Если данное значение критерия

меньше теоретического значения, то принимается решение об отсутствии существенного различия в распознавании двух сладких вкусов, как в случае в таблице A.2.
Таблица A.2
Отсутствие значащего различия в распознавании
В этом случае значение

равно 2,02, что меньше значения 3,84.
Примечания
1. Поскольку распределение

(непрерывное) используется как аппроксимация непрерывного распределения, то предшествующее уравнение должно быть исправлено следующим образом [поправка Йейта (YATES)]:

,
где

является абсолютной величиной разности.
Поправка 0,5 пренебрежимо мала при большом числе ответов; обычно она считается существенной, если одно из чисел в графе меньше 5; эта поправка желательна, если суммарное число ответов в таблице меньше 40.
2. В случае таблицы размером 2 x 2, предшествующее уравнение может иметь вид:

.
3. Гипотеза в данном примере является двухсторонней: ответы "сахароза" - "не сахароза" являются независимыми для образца. Испытатель может желать принимать решение в контексте односторонней гипотезы: ответ "сахароза" является более частым, когда образец - это сахароза, чем когда образец - это не сахароза, в этом случае критическое значение для 5% риска равно 2,71.
Данный пример идентичен
примеру 1, но каждый эксперт оценивает "А" 4 раза и "Не А" 6 раз (см. таблицу A.3).
Таблица A.3
Число идентифицированных ответов | Предоставленный образец | Итого |
"А" | "Не А" |
"А" | 50 | 55 | 105 |
"Не А" | 30 | 65 | 95 |
Всего | 80 | 120 | 200 |

- значимое значение при пороге 5%.
A.3. Пример 3
Данный пример идентичен
примеру 1, с той разницей, что каждый испытатель оценивает 32 образца: 13 "А" и 19 "Не А", и внимание обращается на каждого эксперта, а не на ответы всех экспертов в целом, например на испытателя 1. Смотрите таблицу A.4.
Таблица A.4
Наблюдаемые величины для примера 3
(для одного испытателя)
Число идентифицированных ответов | Предоставленный образец | Итого |
"А" | "Не А" |
"А" | 8 | 6 | 14 |
"Не А" | 5 | 13 | 18 |
Всего | 13 | 19 | 32 |

- незначимое значение при 5%-ном пороге и односторонней гипотезе.
В данном случае существенна поправка на непрерывность ввиду небольших чисел в таблице 5. Следует обратить внимание на то, что значение

без поправки (равной 2,81) было бы значимым при 5%.
A.4. Пример 4
Данный пример идентичен
примеру 1, но образец "Не А" состоит из двух различных подслащивающих веществ,

и

. Например испытатель получил значения, приведенные в таблице A.5.
Таблица A.5
Наблюдаемые величины для примера 4
Число идентифицированных ответов | Предоставленный образец | Итого "Не А" | Итого "А" + "Не А" |
"А" | | |
"А" | 60 | 45 | 40 | 85 | 145 |
"Не А" | 40 | 55 | 40 | 95 | 135 |
Всего | 100 | 100 | 80 | 180 | 280 |
Руководитель испытания мог выполнить этот эксперимент для того, чтобы решить:
a) распознается ли "А" как отличающийся от группы

; в этом случае задача сводится в точности к уже показанной в
примерах 1 и
2, с подгруппами

и

, объединенными в группу "Не А";
b) распознаются ли три образца "А",

и

как отличающиеся существенным образом: в этом случае задача решается аналогично
примеру 1, за исключением того, что суммарное число должно быть расширено до всех клеток (в данном случае 6) и число степеней свободы (df) равно числу образцов минус единица (в данном случае 3 - 1 = 2) и не нужна поправка Йейта (YATES):

, равное 4,65 - значение меньше критического значения 5,99 для 5%-ного порога и двух степеней свободы (двухсторонняя гипотеза);
c) распознаются ли два образца

и

как отличающиеся существенным образом: в этом случае задача решается, как описано в
примере 1 (графа "А" удаляется) при условии, что предварительное испытание, выполненное для этих трех образцов, дало в результате существенное различие; если нет, то вопрос является бессмысленным, поскольку предшествующее испытание привело к выводу о том, что образцы

и

не воспринимаются как различные. Аналогичное замечание имеет место, если руководитель испытания желает сравнить, например "А" и

или "А" и

. Для предложенного примера полное испытание

(две степени свободы) дает в результате несущественное различие; следовательно, другие сравнения:
- "А" с

,
- "А" с

,
- "А" с

,
-

с

не требуют проведения испытания.
(рекомендуемое)
ВЫБОРКА ИЗ ТАБЛИЦЫ

В таблице 7 приведены критические значения для критерия

для определения в случае двухсторонней гипотезы, имеются ли существенные различия, если наблюдаемая величина

больше критического значения.
В случае односторонней гипотезы величина риска делится пополам.
Таблица 7
Критические значения для

Значения критерия  для различных степеней риска |
Двухсторонняя гипотеза | 0,10 (10%) | 0,05 (5%) | 0,025 (2,5%) | 0,01 (1%) | 0,005 (0,5%) |
Односторонняя гипотеза | 0,05 (5%) | 0,025 (2,5%) | 0,0125 (1,25%) | 0,005 (0,5%) | 0,0025 (0,25%) |
Степень свободы | 1 | 2,71 | 3,84 | 5,02 | 6,63 | 7,88 |
2 | 4,61 | 5,99 | 7,38 | 9,21 | 10,6 |
3 | 6,25 | 7,81 | 9,35 | 11,3 | 12,8 |
4 | 7,78 | 9,49 | 11,1 | 13,3 | 14,9 |
5 | 9,24 | 11,1 | 12,8 | 15,1 | 16,7 |
6 | 10,6 | 12,6 | 14,4 | 16,8 | 18,5 |
7 | 12,0 | 14,1 | 16,0 | 18,5 | 20,3 |
8 | 13,4 | 15,5 | 17,5 | 20,1 | 22,0 |
9 | 14,7 | 16,9 | 19,0 | 21,7 | 23,6 |
10 | 16,0 | 18,3 | 20,5 | 23,2 | 25,2 |
(рекомендуемое)
ПРИМЕРЫ ЗАПОЛНЕНИЯ АНКЕТЫ ДЛЯ ИСПЫТАНИЯ "А" - "НЕ А"
C.1. Предварительно предоставлен только образец "А"
1. Дегустируют образец "А" и возвращают контейнер руководителю испытания. Берут предоставленные закодированные образцы.
2. Закодированные образцы состоят из образцов "А" и "Не А", расположенные в случайной последовательности. Все образцы "Не А" являются идентичными. Число образцов каждого вида неизвестно.
3. Дегустируют закодированные образцы один за другим и записывают свое суждение в анкету.
Тестируемый образец _______________________________________________________
Эксперт _________________________________________ Дата ____________________
Анализируют предоставленные образцы. Указывают свои ощущения в таблице. Ставят знак "+" в соответствующей графе.
Код образца | Ощущения |
"А" | "Не А" |
| | |
| | |
| | |
Заключение
___________________________________________________________________________
C.2. Предварительно предоставлены образец "А" и образец "Не А"
1. Дегустируют образец "А" и образец "Не А" и возвращают контейнеры руководителю испытания. Берут предоставленные закодированные образцы.
2. Закодированные образцы состоят из образцов "А" и "Не А", расположенных в случайной последовательности. Все образцы "Не А" являются идентичными. Число образцов каждого вида неизвестно.
3. Дегустируют закодированные образцы один за другим и записывают свое суждение в анкету.
Тестируемый образец _______________________________________________________
Эксперт _________________________________________ Дата ____________________
Анализируют предоставленные образцы. Указывают свои ощущения в таблице. Ставят знак "+" в соответствующей графе.
Код образца | Ощущения |
"А" | "Не А" |
| | |
| | |
| | |
| | |
Заключение
___________________________________________________________________________
(справочное)
СВЕДЕНИЯ О СООТВЕТСТВИИ ССЫЛОЧНЫХ МЕЖДУНАРОДНЫХ
СТАНДАРТОВ НАЦИОНАЛЬНЫМ СТАНДАРТАМ РОССИЙСКОЙ ФЕДЕРАЦИИ,
ИСПОЛЬЗОВАННЫХ В НАСТОЯЩЕМ СТАНДАРТЕ В КАЧЕСТВЕ
НОРМАТИВНЫХ ССЫЛОК
Таблица D.1
Обозначение ссылочного международного стандарта | Обозначение и наименование соответствующего национального стандарта |
ИСО 3534:1997 | |
ИСО 5492:2005 | |
ИСО 6658:2005 | |
ИСО 8589:2005 | ГОСТ Р ИСО 8589-2005. Органолептический анализ. Руководство по проектированию помещений для исследования (IDT) |
Примечание. В настоящей таблице использовано следующее условное обозначение степени соответствия стандартов: - IDT - идентичные стандарты. |
<*> Соответствующий национальный стандарт отсутствует. До его утверждения рекомендуется использовать перевод на русский язык данного международного стандарта. Перевод данного международного стандарта находится в Федеральном информационном фонде технических регламентов и стандартов. |