Главная // Актуальные документы // ГОСТ Р (Государственный стандарт)СПРАВКА
Источник публикации
М.: Стандартинформ, 2011
Примечание к документу
Документ утратил силу с 1 июля 2015 года в связи с изданием
Приказа Росстандарта от 30.12.2013 N 2366-ст. Взамен введен в действие
ГОСТ 8.633-2013.
Документ
введен в действие с 1 января 2011 года.
Название документа
"ГОСТ Р 8.679-2009. Национальный стандарт Российской Федерации. Государственная система обеспечения единства измерений. Мерники металлические технические. Методика поверки"
(утв. и введен в действие Приказом Ростехрегулирования от 15.12.2009 N 1124-ст)
"ГОСТ Р 8.679-2009. Национальный стандарт Российской Федерации. Государственная система обеспечения единства измерений. Мерники металлические технические. Методика поверки"
(утв. и введен в действие Приказом Ростехрегулирования от 15.12.2009 N 1124-ст)
Утвержден и введен в действие
агентства по техническому
регулированию и метрологии
от 15 декабря 2009 г. N 1124-ст
НАЦИОНАЛЬНЫЙ СТАНДАРТ РОССИЙСКОЙ ФЕДЕРАЦИИ
ГОСУДАРСТВЕННАЯ СИСТЕМА ОБЕСПЕЧЕНИЯ ЕДИНСТВА ИЗМЕРЕНИЙ
МЕРНИКИ МЕТАЛЛИЧЕСКИЕ ТЕХНИЧЕСКИЕ
МЕТОДИКА ПОВЕРКИ
State system for ensuring the uniformity of measurements.
Technical metallic gauging tanks. Verification methods
ГОСТ Р 8.679-2009
Группа Т88.1
Дата введения
1 января 2011 года
Цели и принципы стандартизации в Российской Федерации установлены Федеральным
законом от 27 декабря 2002 г. N 184-ФЗ "О техническом регулировании", а правила применения национальных стандартов Российской Федерации -
ГОСТ Р 1.0-2004 "Стандартизация в Российской Федерации. Основные положения".
1. Разработан Федеральным государственным унитарным предприятием "Всероссийский научно-исследовательский институт расходометрии" (ФГУП "ВНИИР").
2. Внесен Управлением метрологии Федерального агентства по техническому регулированию и метрологии.
3. Утвержден и введен в действие
Приказом Федерального агентства по техническому регулированию и метрологии от 15 декабря 2009 г. N 1124-ст.
4. Введен впервые.
Информация об изменениях к настоящему стандарту публикуется в ежегодно издаваемом информационном указателе "Национальные стандарты", а текст изменений и поправок - в ежемесячно издаваемых информационных указателях "Национальные стандарты". В случае пересмотра (замены) или отмены настоящего стандарта соответствующее уведомление будет опубликовано в ежемесячно издаваемом информационном указателе "Национальные стандарты". Соответствующая информация, уведомление и тексты размещаются также в информационной системе общего пользования - на официальном сайте Федерального агентства по техническому регулированию и метрологии в сети Интернет.
Настоящий стандарт распространяется на металлические технические мерники (далее - мерники) для неагрессивных жидкостей и устанавливает методику первичной и периодической поверок мерников, а также основные технические требования к ним.
В настоящем стандарте использованы нормативные ссылки на следующие стандарты:
ГОСТ 166-89 (ИСО 3599-76) Штангенциркули. Технические условия
ГОСТ 1770-74 Посуда мерная лабораторная стеклянная. Цилиндры, мензурки, колбы, пробирки. Общие технические условия
ГОСТ 28498-90 Термометры жидкостные стеклянные. Общие технические требования. Методы испытаний
ГОСТ 29227-91 (ИСО 835-1-81) Посуда лабораторная стеклянная. Пипетки градуированные. Часть 1. Общие требования
Примечание. При пользовании настоящим стандартом целесообразно проверить действие ссылочных стандартов в информационной системе общего пользования - на официальном сайте Федерального агентства по техническому регулированию и метрологии в сети Интернет или по ежегодно издаваемому информационному указателю "Национальные стандарты", который опубликован по состоянию на 1 января текущего года, и по соответствующим ежемесячно издаваемым информационным указателям, опубликованным в текущем году. Если ссылочный стандарт заменен (изменен), то при пользовании настоящим стандартом следует руководствоваться заменяющим (измененным) стандартом. Если ссылочный стандарт отменен без замены, то положение, в котором дана ссылка на него, применяется в части, не затрагивающей эту ссылку.
3. Операции и средства поверки
При проведении поверки должны быть выполнены операции и применены средства поверки, указанные в таблице 1.
Таблица 1
Операции и средства поверки
Наименование операции | Номер подраздела настоящего стандарта | Средства поверки и их нормативно-технические характеристики |
Внешний осмотр | | |
Опробование | | - |
Определение метрологических характеристик | | Эталонные мерники 1-го разряда номинальной вместимостью 5; 10; 20; 50; 100; 200; 500 и 1000 дм3 с погрешностью, не превышающей +/- 0,02% номинальной вместимости; эталонные мерники 2-го разряда номинальной вместимостью 5; 10; 20; 50; 100; 200; 500 и 1000 дм3 с погрешностью, не превышающей +/- 0,1% номинальной вместимости; эталонные стеклянные колбы 1-го класса точности номинальной вместимостью 0,5; 1; 2 дм3 по ГОСТ 1770, эталонные пипетки на полный слив вместимостью до 0,1 дм3 по ГОСТ 29227, термометры по ГОСТ 28498. Установка динамического измерения количества воды с погрешностью измерения +/- 0,1% |
Примечание. Допускается применять отдельные вновь разработанные или находящиеся в применении средства поверки, выдержавшие испытания в целях утверждения типа и удовлетворяющие по точности требованиям настоящего стандарта.
4. Требования к квалификации поверителей
и требования безопасности
4.1. Поверку мерников проводят физические лица, аттестованные в качестве поверителей в установленном порядке.
4.2. К поверке мерников допускают лиц, изучивших технические документы на мерники и их конструкцию, средства поверки и прошедших обучение и инструктаж по технике безопасности труда при работе с электрооборудованием (кондиционеры, обогреватели, перекачивающие насосы).
4.3. Перед началом поверки мерников вместимостью более 1000 дм3, установленных стационарно, следует проверить исправность:
- наружных лестниц с поручнями и подножками;
- помоста с ограждением.
Примечание. Помосты и ступеньки наружных лестниц изготовляют из рифленой стали.
При проведении поверки мерников должны быть соблюдены следующие условия:
- поверочная жидкость - вода;
- температура воды и окружающей среды (далее - воздух) - от 10 °C до 30 °C;
- атмосферное давление - от 84 до 106 кПа (от 630 до 795 мм рт. ст.);
- относительная влажность воздуха - от 30% до 80%;
- изменение температуры воды во время поверки одного мерника, не более:
+/- 2 °C - для мерников 1-го класса,
+/- 5 °C - для мерников 2-го класса;
- изменение температуры воздуха - +/- 5 °C;
- пределы абсолютной погрешности при измерении температуры воды и воздуха - +/- 0,5 °C.
6.1. Перед проведением поверки мерников выполняют следующие подготовительные работы:
- проверяют наличие действующих свидетельств о поверке эталонных средств измерений, применяемых при поверке;
- мерники устанавливают по уровню или отвесу, обеспечивая вертикальность положения измерительного цилиндра шкального мерника или измерительной горловины мерников полной вместимости.
6.2. Поверяемые мерники, вода для их наполнения и средства измерений должны быть выдержаны в помещении, предназначенном для проведения поверки, до достижения ими температуры, соответствующей температуре этого помещения.
6.3. В поверяемом мернике должны отсутствовать посторонние предметы и выступающие швы, препятствующие полному сливу; внутренняя поверхность должна быть чистой, без вмятин; воздухоотводящее отверстие наливной трубы не должно быть засорено; устройство для сообщения внутренней полости мерника с атмосферой должно быть исправно.
7.1.1. При первичной поверке мерников проверяют:
- соответствие их конструкции требованиям технической документации, утвержденной в установленном порядке;
- диаметр горловины, равенство делений шкалы и цену деления;
- внутренний диаметр уровнемерной трубки;
- ширину прозрачного участка в свету смотровых окон и защитных кожухов уровнемерных трубок;
- ширину отметок шкалы;
- углы конических стенок по отношению к вертикальной оси.
7.1.2. Первичную поверку стационарных мерников проводят после монтажа на месте эксплуатации.
7.1.3. При периодической поверке проверяют:
- соответствие комплектности эксплуатационной документации на мерник конкретного типа;
- отсутствие нарушения лакокрасочного покрытия;
- четкость изображений, надписей на маркировочной табличке, а также числовых отметок на шкале мерника или шкале горловины;
- отсутствие дефектов на прозрачной части горловины мерника или уровнемерной трубки, препятствующих наблюдению за уровнем жидкости.
Опробование проводят заполнением водой до отметки полной вместимости с последующей выдержкой мерников:
- вместимостью до 500 дм3 - не менее 20 мин;
- вместимостью 500 дм3 и более - не менее 1 ч.
При этом проверяют герметичность соединений - отсутствие течи и отпотевания на поверхности мерника, сохранение уровня заполнения. Также проверяют работу запорной арматуры, ее герметичность при отсоединенном подводящем трубопроводе.
7.3. Определение метрологических характеристик
7.3.1. Вместимость мерников 1-го и 2-го классов определяют объемным методом по эталонным мерникам 1-го и 2-го разрядов соответственно. Допускается определять вместимость мерников 2-го класса с использованием в качестве эталонного средства измерений установки динамического измерения количества воды.
7.3.2. Вместимость мерника, предназначенного для измерения жидкости в объеме полной вместимости, определяют, наливая в него воду, объем которой предварительно измерен эталонным средством измерений (метод налива), или выливая из него воду в эталонное средство измерений (метод слива). Непосредственно перед измерением должны быть смочены в первом случае - поверяемый мерник, а во втором случае - эталонный мерник. Процедура смачивания заключается в заполнении мерника водой до отметки номинальной вместимости, сливе воды сплошной струей с последующей выдержкой на слив капель в течение 1 мин для мерников вместимостью не более 500 дм3 и в течение 3 мин для мерников вместимостью более 500 дм3. После выдержки сливной кран закрывают. Мерники без сливного крана возвращают в положение "горловина сверху".
Если вместимость поверяемого мерника превышает вместимость эталонного, применяют многократное использование эталонного мерника или набор эталонных средств измерений.
Эталонный мерник в этом случае должен иметь такую вместимость, чтобы число измерений не превышало 50.
При использовании в качестве эталонного средства измерений установки динамического измерения количества воды следует исключить неучтенные технологические потери измеренного (измеряемого) количества воды.
7.3.3. Перед заполнением эталонный и поверяемый мерники должны быть установлены по уровню или отвесу.
7.3.4. После наполнения эталонного или поверяемого мерника необходимо убедиться, что уровень воды окончательно установился, а после опорожнения мерников - убедиться, что вода полностью удалена. Для этого после слива сплошной струей выполняют выдержку на слив капель в течение 1 мин для мерников вместимостью не более 500 дм3 и 3 мин - для мерников вместимостью более 500 дм3. После выдержки сливной кран закрывают. Мерники без сливного крана возвращают в положение "горловина сверху".
7.3.5. Если в поверяемом по методу налива мернике или в эталонном мернике при поверке по методу слива установившийся уровень воды не совпадает с отметкой вместимости, то с помощью эталонных колб или пипеток доливают (отливают) воду до совмещения ее уровня с отметкой вместимости.
7.3.6. При определении вместимости цилиндрических шкальных мерников методом налива допускаются линейные измерения - после установления уровня воды с помощью металлической линейки измеряют высоту перелива или недолива. Предварительно определяют вместимость мерника на 1 мм его высоты.
7.3.7. Вместимость шкального мерника на любой отметке шкалы определяют как сумму вместимости на ближайшей числовой отметке, расположенной ниже выбранной, и вместимости мерника от указанной числовой отметки до выбранной.
Вместимость поверяемого шкального мерника определяют на каждой числовой отметке шкалы, начиная с отметки, соответствующей 20% полной вместимости мерника, до отметки 100% полной вместимости.
Значение абсолютной погрешности шкальных мерников на всех отметках шкалы не должно превышать наибольшего значения допускаемой абсолютной погрешности.
7.3.8. Вместимость мерников 1-го класса определяют на отметке номинального значения полной вместимости дважды, и за окончательный результат принимают среднеарифметическое значение результатов двух измерений.
7.3.9. Разность между результатами двух измерений не должна превышать половины наибольшего значения допускаемой абсолютной погрешности.
7.3.10. Наибольшее значение допускаемой абсолютной погрешности

, дм3, поверяемых мерников составляет:

- для мерников 1-го класса;

- для мерников 2-го класса,
где V - номинальное значение полной вместимости мерника, дм3.
Примечание. При поверке мерников 1-го класса с установленной вместимостью, находящихся в эксплуатации, в случае получения результата измерения вместимости, совпадающего с результатом предыдущей поверки, ограничиваются одним измерением.
8. Обработка результатов измерений
8.1. По завершении измерений рассчитывают следующие величины:
8.1.1. Вместимость поверяемого мерника

, дм3, при температуре воды t

, (1)
где

- объем воды при температуре t, измеренный эталонными мерниками, дм3;

- объем добавленной воды или объем воды, не достающий до уровня поверяемой отметки, определенный измерением высоты недолива, дм3;

- объем отобранной воды или объем воды, превышающий уровень поверяемой отметки, определенный измерением высоты перелива, дм3.
8.1.2. Цену деления шкалы шкального мерника

, (2)
где

- вместимость мерника на i-й числовой отметке, дм3;

- вместимость мерника на (i +/- 1)-й числовой отметке, дм3;
к - число делений между двумя числовыми отметками.
8.1.3. Вместимость мерников 1-го класса

, дм3, при температуре 20 °C

, (3)
где

- вместимость мерника, определенная при температуре измерения t °C, дм3;
n - поправочный коэффициент, учитывающий изменения вместимости мерника в зависимости от его температуры t

, (4)
где

- коэффициент объемного расширения материала, из которого изготовлен мерник, 1/°C.
Значения коэффициента n приведены в таблице 2.
Таблица 2
Температура мерника, °C | Коэффициент n для мерника |
из стали | из меди | из алюминия |
10 | 1,0004 | 1,0005 | 1,0007 |
11 | 1,0003 | 1,0005 | 1,0007 |
12 | 1,0003 | 1,0004 | 1,0006 |
13 | 1,0002 | 1,0004 | 1,0005 |
14 | 1,0002 | 1,0003 | 1,0004 |
15 | 1,0002 | 1,0003 | 1,0004 |
16 | 1,0001 | 1,0002 | 1,0003 |
17 | 1,0001 | 1,0002 | 1,0002 |
18 | 1,0001 | 1,0001 | 1,0001 |
19 | 1,0000 | 1,0001 | 1,0001 |
20 | 1,0000 | 1,0000 | 1,0000 |
21 | 1,0000 | 0,9999 | 0,9999 |
22 | 0,9999 | 0,9999 | 0,9999 |
23 | 0,9999 | 0,9998 | 0,9998 |
24 | 0,9999 | 0,9998 | 0,9997 |
25 | 0,9998 | 0,9997 | 0,9996 |
26 | 0,9998 | 0,9997 | 0,9996 |
27 | 0,9998 | 0,9996 | 0,9995 |
28 | 0,9997 | 0,9996 | 0,9994 |
29 | 0,9997 | 0,9995 | 0,9994 |
30 | 0,9996 | 0,9995 | 0,9993 |
8.1.4. Среднеарифметическое значение вместимости мерников 1-го класса

, дм3

, (5)
где

,

- результаты определения вместимости мерника при температуре 20 °C при первом и втором измерениях, дм3.
8.1.5. Разность между результатами двух измерений вместимости мерников 1-го класса, ее соответствие
7.3.9

. (6)
8.1.6. Относительную погрешность

, %, поверяемого мерника на отметке полной вместимости:

- для мерников 1-го класса; (7)

- для мерников 2-го класса. (8)
8.2. Мерник допускают к применению, если значение его относительной погрешности не превышает значения, указанного в
А.2 (Приложение А) для мерников 1-го класса, и значения, указанного в
А.3 (Приложение А) для мерников 2-го класса, выполнено условие
7.3.9 для мерников 1-го класса и установлено соответствие его остальным требованиям настоящего стандарта.
9. Оформление результатов поверки
9.1. Мерники 1-го и 2-го классов, удовлетворяющие требованиям настоящего стандарта, подлежат клеймению.
Кроме того, на мерники 1-го класса выдают свидетельство о поверке по форме, установленной правилами
[1], на оборотной стороне которого указывают действительное значение вместимости мерника.
9.2. Поверительные клейма или пломбы с поверительными клеймами должны быть нанесены или установлены так, чтобы исключить возможность изменения вместимости мерника без их нарушения в соответствии с
А.21 (Приложение А).
9.3. Мерники, не удовлетворяющие требованиям настоящего стандарта, к применению не допускают.
(обязательное)
ОСНОВНЫЕ ТЕХНИЧЕСКИЕ ТРЕБОВАНИЯ
К МЕТАЛЛИЧЕСКИМ ТЕХНИЧЕСКИМ МЕРНИКАМ 1-ГО И 2-ГО КЛАССОВ
А.1. Мерники 1-го и 2-го классов, предназначенные для измерения объемного количества жидкостей методом слива или налива, должны иметь следующие номинальные вместимости: 5; 10; 20; 50; 100; 200; 500; 1000; 2000; 5000; 10000; 20000; 30000 и 50000 дм3.
Мерники вместимостью более 100 дм3 допускаются к изготовлению с иной номинальной вместимостью.
А.2. Пределы относительной погрешности мерников 1-го класса при температуре 20 °C - +/- 0,2% номинального значения полной вместимости.
А.3. Пределы относительной погрешности мерников 2-го класса при температуре (20 +/- 10) °C - +/- 0,5% номинального значения полной вместимости.
А.4. Мерники 1-го класса, предназначенные для измерения объемного количества вина, спирта или водно-спиртовых растворов, должны иметь форму, изображенную на рисунках А.1 -
А.5,
А.8 -
А.10.
А.5. Мерники 1-го и 2-го классов подразделяют на стационарные, переносные и передвижные.
Переносные мерники номинальной вместимостью не более 500 дм3 должны иметь форму, представленную на рисунках А.6 -
А.10.
А.6. Мерники номинальной вместимостью более 20 дм3, при необходимости, снабжают защитным ограждением, предохраняющим их от возможных повреждений.
Стационарные мерники номинальной вместимостью более 500 дм3 должны иметь форму, представленную на
рисунках А.1 -
А.5,
А.10.
А.7. Шкальные мерники следует изготовлять в виде вертикального цилиндра (
рисунки А.1,
А.2) или в виде трех цилиндров, соединенных между собой коническими переходами
(рисунок А.3).
Для измерения объема и наблюдения за уровнем жидкости мерники должны иметь смотровые окна со шкалами или уровнемерную трубку со шкалой
(рисунок А.2).
Цена деления в зависимости от вместимости мерника должна быть:
для мерников вместимостью 50 дм3 - 0,2 дм3;
" " " 100 дм3 - 0,5 дм3;
" " " 200 дм3 - 1 дм3;
" " " 500 дм3 - 2 дм3;
" " " 1000 дм3 - 5 дм3.
Цена деления шкальных мерников других вместимостей должна составлять удвоенное значение наибольшей допускаемой абсолютной погрешности с ее округлением до удобной для отсчета величины.
Числовое указание вместимости на отметках шкалы шкальных мерников выполняют через каждые 10% полной вместимости мерника начиная с отметки, соответствующей 20% полной вместимости.
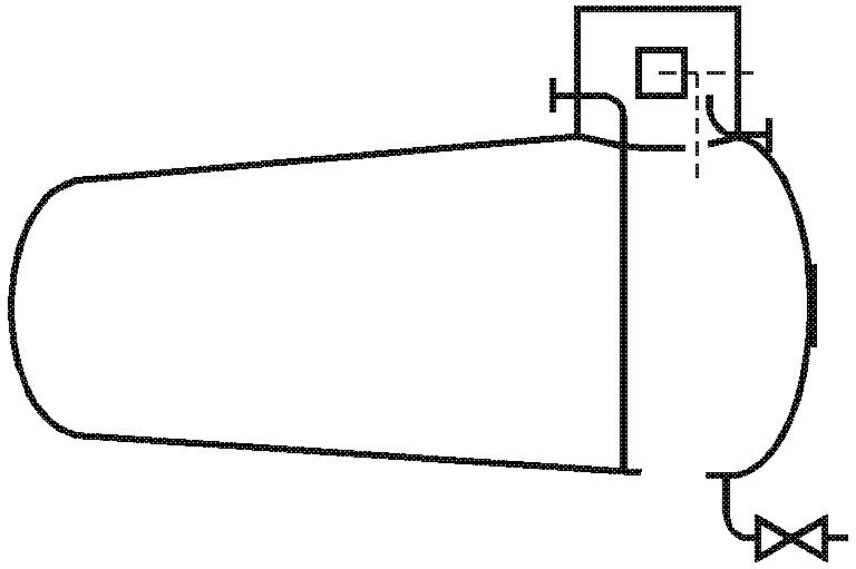
А.8. Стационарные мерники в виде усеченного конуса с горизонтальной осью
(рисунок А.4) или в виде цилиндра с наклонной осью
(рисунок А.5) должны иметь горловину с двумя смотровыми окнами, диаметрально расположенными друг против друга.
На переднем смотровом окне должна быть укреплена шкальная пластина с числовой отметкой вместимости.
А.9. Переносные мерники, предназначенные для измерения только полной вместимости, должны быть изготовлены в виде усеченного конуса
(рисунок А.8) или цилиндрической формы (
рисунки А.9 и
А.10), но с горловиной, имеющей два смотровых окна, диаметрально расположенных друг против друга, с числовой отметкой вместимости на переднем смотровом окне.
Мерник
(рисунок А.10) может иметь горловину со шкалой или уровнемерную трубку со шкалой. На шкалу наносят числовую отметку номинальной вместимости и деления с ценой, равной значению наибольшей допускаемой абсолютной погрешности. В нижней точке дна должен находиться сливной кран.
Кроме того, все стационарные мерники должны иметь по три крана для отбора проб, расположенных на равных расстояниях вдоль образующей цилиндрической части (
рисунки А.1,
А.2 и
А.10) или по высоте переднего днища (
рисунки А.4 и
А.5).
Мерники в центре переднего днища (
рисунки А.4 и
А.5) и в середине образующей цилиндрической части
(рисунок А.10) должны иметь показывающие термометры электрического принципа действия или иметь специальные смотровые окна для контроля за температурой жидкости по термометру, установленному за стеклом внутри мерника. Не допускается применение ртутных термометров в рабочей среде пищевого назначения (вино, спирты, спиртовые растворы, пиво, квас). Для взрыво- и пожароопасных сред исполнение применяемых термометров должно быть взрывозащищенным.
Мерники по
рисункам А.4 и
А.5 допускается оборудовать прозрачными трубками для наблюдения за наполнением жидкостью.
А.10. Мерники, применяемые для хранения жидкостей, должны иметь запасной объем (до 4% вместимости мерника), рассчитанный на возможное расширение жидкости от изменения температуры в условиях эксплуатации.
А.11. Цилиндры мерников (
рисунки А.1 -
А.3) и горловины мерников (
рисунки А.4,
А.5 и
А.10) должны быть закрыты герметичной крышкой, иметь устройство для сообщения внутренней полости мерника с атмосферой и приспособление, предохраняющее выброс жидкости из мерника. Дно мерников (
рисунки А.1 -
А.3 и
А.10) должно иметь коническую форму.
У конических мерников угол наклона образующей к оси
(рисунок А.4) и угол наклона образующей к горизонтальной плоскости
(рисунок А.5) должны составлять не менее 3°.
А.12. Конструкция мерников должна обеспечивать достаточную прочность, жесткость и постоянство вместимости при длительной эксплуатации, а также предусматривать возможность их промывки и очистки; внутренние поверхности мерников должны быть гладкими, не иметь сварных швов, выступающих более чем на 4 мм, и других препятствий, задерживающих выход воздуха и мешающих полному сливу жидкости.
А.13. Металл или сплавы, из которых изготовляют мерники, должны обеспечивать требования прочности конструкции при длительной эксплуатации мерника.
А.14. Материалы мерника, покрытия его внутренней поверхности и прокладок должны быть устойчивы к воздействию наливаемой жидкости и не влиять на ее свойства.
Наружная поверхность мерника должна иметь защитное покрытие и не иметь вмятин, выпучин и других пороков, ухудшающих внешний вид мерника.
А.15. Переносные и передвижные мерники (
рисунки А.8 -
А.10) должны быть оборудованы ампулой уровня для вертикальной установки горловины при проведении измерений.
Стационарные мерники должны быть снабжены отвесом или уровнем для контроля правильной установки измерительного цилиндра или горловины.
А.16. Стационарные мерники должны иметь:
- опорные лапы для регулирования вертикального положения измерительного цилиндра или горловины при монтаже и последующем закреплении на фундаменте;
- наливную трубу для донного налива жидкости;
- переливную трубу для предотвращения переполнения мерника и автоматической установки уровня жидкости при наливе против отметки, соответствующей номинальной вместимости.
Наливная труба в верхней части должна иметь отверстие диаметром не менее 5 мм для сообщения полости трубы с воздушным пространством мерника.
Переливная труба должна быть установлена так, чтобы ее входное отверстие было расположено в горизонтальной плоскости и обеспечивало после слива излишка жидкости и ее успокоения положение уровня на отметке номинальной (полной для шкального) вместимости мерника. Входное отверстие переливной трубы должно иметь острую кромку.
Допускается установка на конце переливной трубы муфты, предназначенной для регулирования положения входного отверстия переливной трубы при градуировке мерника и приспособленной для опломбирования.
А.17. Для слива жидкости мерник вместимостью 20 дм3 и более должен быть снабжен сливным краном; входное отверстие сливного крана должно находиться в нижней точке внутренней поверхности мерника.
А.18. Смотровые окна на цилиндрических шкальных мерниках должны быть установлены на измерительной части мерника в шахматном порядке так, чтобы они перекрывали друг друга не менее чем на одно деление шкалы. Прозрачные части смотровых окон или уровнемерные трубки должны быть изготовлены из бесцветного материала.
А.19. Шкалы мерников должны находиться около смотровых окон и уровнемерных трубок. Шкальные пластины должны быть изготовлены из коррозионно-стойкого металла, иметь гладкую и светлую поверхность.
Отметки на шкальных пластинах должны быть расположены горизонтально по всей ширине пластины и иметь ширину и глубину не более 0,5 мм. Над отметками должны быть числа, указывающие вместимость.
А.20. На табличке, прикрепленной к корпусу мерника, должна быть нанесена следующая маркировка:
- товарный знак предприятия-изготовителя;
- класс мерника;
- наименование жидкости, для измерения которой предназначен мерник;
- надпись: "Вместимость... дм3";
- номер мерника по системе нумерации предприятия-изготовителя;
- год выпуска.
У мерников, выполненных по форме, изображенной на
рисунках А.6 и
А.7, эти обозначения должны быть нанесены на ободке.
На корпусе стационарных шкальных мерников (
рисунки А.1 -
А.3) должна быть надпись: "Измерение менее... дм3 (20% полной вместимости) не допускается".
А.21. Конструкция мерника должна предусматривать возможность и удобство нанесения:
- клейм, исключающих перемещение шкальных пластин на смотровых окнах и уровнемерных трубках (у мерников по
рисункам А.1 -
А.5,
А.8 -
А.10);
- клейма, исключающего перемещение указателей (у мерников по
рисункам А.6 и
А.7);
- клейма, исключающего перемещение регулировочной муфты на переливной трубе (при отсутствии регулировочной муфты клеймо наносят на капле припоя на торце переливной трубы).
А.22. Поперечные сечения цилиндра у мерников (
рисунки А.1 -
А.3) и горловины у мерников (
рисунки А.4,
А.5,
А.8 -
А.10) должны быть таких размеров, чтобы высота столба жидкости объемом, равным значению наибольшей допускаемой абсолютной погрешности, составляла не менее 4 мм.
Диаметр горловины у мерников вместимостью свыше 1000 дм3 должен обеспечивать свободный доступ в мерники для очистки и осмотра.
А.23. Мерники (
рисунки А.1 -
А.3 и
А.10) должны иметь дно конической формы с углом конуса не более 150°.
А.24. Толщина плоских смотровых стекол, устанавливаемых на прокладках в металлических рамках, должна быть 5 - 7 мм.
А.25. Уровнемерная прозрачная трубка должна иметь стенку толщиной не менее 3 мм, внутренний диаметр не менее 15 мм и защитный металлический кожух.
А.26. Ширина смотровых окон в свету должна быть не менее 15 мм.
А.27. Металлические технические мерники 2-го класса, предназначенные для измерения объема пива, кваса, нефтепродуктов и других жидкостей с вязкостью не более 36 сСт, должны иметь форму, изображенную на
рисунках А.6,
А.7 и
А.10.
А.28. Переносные мерники 2-го класса, предназначенные для измерения только полной вместимости, должны быть изготовлены в виде усеченного конуса с вертикальной осью по
рисункам А.6 и
А.7 и иметь воронку с носиком, дужкой, а также одну или две ручки для переноски. Корпус мерника вверху должен быть закончен ободком и снабжен откидной крышкой. Дно мерников должно иметь бортик и ребра жесткости или крестовину. На уровне верхнего края конуса должно быть укреплено не менее трех указателей уровня, расположенных на равных расстояниях друг от друга.
А.29. Диаметр верхнего основания конуса мерников по
рисункам А.6 и
А.7 должен соответствовать размерам, указанным в таблице А.1.
Таблица А.1
Вместимость мерника, л | Диаметр, мм |
10 и 20 | 140 - 150 |
5 | 100 - 110 |
А.30. Толщина стенок и дна, ширина и толщина обруча и крестовины мерников по
рисункам А.6 и
А.7 должны соответствовать размерам, указанным в таблице А.2.
Таблица А.2
Размеры в миллиметрах
Вместимость мерника, л | Толщина стенок и дна | Обруч | Крестовина |
Толщина | Ширина | Толщина | Ширина |
20, 10 и 5 | Не менее 1 | Не менее 3 | 20 - 30 | Не менее 2 | Не менее 20 |
А.31. Указатели у мерников по
рисункам А.6 и
А.7, определяющие правильность их заполнения, должны быть прикреплены внутри мерника на расстоянии 5 мм от верхнего края конуса. Указатели следует изготовлять в виде уголков толщиной не менее 0,8 мм. Длина горизонтальной части указателей у мерников вместимостью от 5 до 20 дм3 должна быть 8 - 10 мм.
| | Государственная система обеспечения единства измерений. Порядок проведения поверки средств измерений |