Главная // Актуальные документы // ГОСТ Р (Государственный стандарт)СПРАВКА
Источник публикации
М.: Стандартинформ, 2015
Примечание к документу
Документ утратил силу с 01.11.2022 в связи с изданием Приказа Росстандарта от 10.06.2022 N 460-ст. Взамен введен в действие
ГОСТ Р 70144-2022.
Документ
введен в действие с 01.01.2016.
Название документа
"ГОСТ Р МЭК 60793-1-47-2014. Национальный стандарт Российской Федерации. Волокна оптические. Часть 1-47. Методы измерений и проведение испытаний. Потери, вызванные макроизгибами"
(утв. и введен в действие Приказом Росстандарта от 18.09.2014 N 1120-ст)
"ГОСТ Р МЭК 60793-1-47-2014. Национальный стандарт Российской Федерации. Волокна оптические. Часть 1-47. Методы измерений и проведение испытаний. Потери, вызванные макроизгибами"
(утв. и введен в действие Приказом Росстандарта от 18.09.2014 N 1120-ст)
Утвержден и введен в действие
агентства по техническому
регулированию и метрологии
от 18 сентября 2014 г. N 1120-ст
НАЦИОНАЛЬНЫЙ СТАНДАРТ РОССИЙСКОЙ ФЕДЕРАЦИИ
ВОЛОКНА ОПТИЧЕСКИЕ
ЧАСТЬ 1-47
МЕТОДЫ ИЗМЕРЕНИЙ И ПРОВЕДЕНИЕ ИСПЫТАНИЙ.
ПОТЕРИ, ВЫЗВАННЫЕ МАКРОИЗГИБАМИ
Optical fibres. Part 1-47. Measurement methods
and test procedures. Macrobending loss
IEC 60793-1-47:2009
Optical fibres - Part 1-47:
Measurement methods and test procedures - Macrobending loss
(IDT)
ГОСТ Р МЭК 60793-1-47-2014
Группа Э59
ОКП 63 6570
Дата введения
1 января 2016 года
1. Подготовлен Открытым акционерным обществом "Всероссийский научно-исследовательский, проектно-конструкторский и технологический институт кабельной промышленности" (ОАО "ВНИИКП") на основе собственного аутентичного перевода на русский язык международного стандарта, указанного в пункте 4.
2. Внесен Техническим комитетом по стандартизации ТК 46 "Кабельные изделия".
3. Утвержден и введен в действие
Приказом Федерального агентства по техническому регулированию и метрологии от 18 сентября 2014 г. N 1120-ст.
4. Настоящий стандарт идентичен международному стандарту МЭК 60793-1-47 (2009) "Волокна оптические. Часть 1-47. Методы измерений и проведение испытаний. Потери, вызванные макроизгибами" (IEC 60793-1-47:2009 "Optical fibres - Part 1-47: Measurement methods and test procedures - Macrobending loss").
При применении настоящего стандарта рекомендуется использовать вместо ссылочных международных стандартов соответствующие им национальные стандарты Российской Федерации, сведения о которых приведены в дополнительном
Приложении ДА.
5. Введен впервые.
6. Некоторые положения международного стандарта, указанного в
пункте 4, могут являться объектами патентных прав. Международная электротехническая комиссия (МЭК) не несет ответственности за идентификацию подобных патентных прав.
Правила применения настоящего стандарта установлены в ГОСТ Р 1.0-2012
(раздел 8). Информация об изменениях к настоящему стандарту публикуется в ежегодном (по состоянию на 1 января текущего года) информационном указателе "Национальные стандарты", а официальный текст изменений и поправок - в ежемесячном информационном указателе "Национальные стандарты". В случае пересмотра (замены) или отмены настоящего стандарта соответствующее уведомление будет опубликовано в ближайшем выпуске информационного указателя "Национальные стандарты". Соответствующая информация, уведомление и тексты размещаются также в информационной системе общего пользования - на официальном сайте Федерального агентства по техническому регулированию и метрологии в сети Интернет (gost.ru).
Настоящий стандарт устанавливает единые требования для измерения потерь, вызванных макроизгибами, для одномодовых волокон (класса B) при 1550 нм или 1625 нм, для многомодовых волокон категории A1 при 850 нм или 1300 нм и для многомодовых волокон категорий A3 и A4 при 650 нм, 850 нм или 1300 нм, таким образом, содействуя оценке пригодности волокон и кабелей для использования их в коммерческих целях.
В настоящем стандарте указаны два метода измерения чувствительности волокна к макроизгибам.
Для измерения кабельной длины волны отсечки

применяют два метода:
- метод A - наматывание волокна, относящийся к одномодовым волокнам класса B и многомодовым волокнам категории A1;
- метод B - изгибы в четверть окружности, относящийся к многомодовым волокнам категорий A3 и A4.
Для обоих этих методов оптическую мощность измеряют с использованием методики контроля мощности или методики обрыва.
Полагают, что измерения, проводимые в соответствии с методами A и B на одном и том же волокне приводят к разным результатам. Это происходит потому, что основное различие между двумя методами заключается в расположении испытуемого волокна, включая радиус изгиба волокна и количество волокна, подвергаемого изгибу. Причиной данного различия является то, что многомодовые волокна категорий A3 и A4 предполагается размещать в коротких длинах с относительно незначительным количеством изгибов по сравнению с одномодовыми волокнами и многомодовыми волокнами категории A1.
В последующем тексте "радиус кривизны" определяют как радиус соответствующей опоры круглой формы (например оправка или направляющая канавка на плоской поверхности), на которой волокно может подвергаться изгибу.
Настоящий стандарт следует читать совместно с МЭК 60793-1-1.
В настоящем стандарте использованы нормативные ссылки на следующие международные стандарты (для недатированной ссылки следует использовать последнее издание указанного стандарта, включая все последующие изменения):
МЭК 60793-1-1 Волокна оптические. Часть 1-1. Методы измерений и проведение испытаний. Общие положения и руководство (IEC 60793-1-1, Optical fibres - Part 1-1: Measurement methods and test procedures - General and guidance)
МЭК 60793-1-40 Волокна оптические. Часть 1-40. Методы измерений и порядок проведения испытаний. Затухание волокна (IEC 60793-1-40, Optical fibres - Part 1-40: Measurement methods and test procedures - Attenuation)
МЭК 60793-1-46 Волокна оптические. Часть 1-46. Методы измерений и порядок проведения испытаний. Контроль изменения коэффициента оптического пропускания (IEC 60793-1-46, Optical fibres - Part 1-46: Measurement methods and test procedures - Monitoring of changes in optical transmittance).
МЭК 61280-4-1 Методики испытаний подсистем волоконно-оптической связи. Часть 4-1. Кабельный участок и каналы связи. Измерение затухания на многомодовом волоконно-оптическом кабельном участке (IEC 61280-4-1, Fibre-optic communication subsystem test procedures - Part 4-1: Cable plant and links - Multimode fibre-optic cable plant attenuation measurement).
3.1.1. Метод A - Наматывание волокна
Образец должен представлять собой отрезок волокна известной длины, как указано в частных технических условиях. В частности, длина образца, на котором проводят испытание на потерю в волокне, определяется особенностями измерительной установки, то есть радиусом кривизны (R) и числом оборотов (N); длина любого следующего отрезка волокна не влияет на результаты измерений при условии, что отношение сигнал/шум (S/N) является оптимальным.
3.1.2. Метод B - Изгибы в четверть круга
Длину образца определяют в соответствии с
5.2.
3.2. Торцевая поверхность образца
Подготавливают плоскую торцевую поверхность, перпендикулярную оси волокна, на входном и выходном концах каждого испытуемого образца.
4.1. Метод A - Наматывание волокна
Испытательное оборудование состоит из инструмента (например, оправка или направляющая канавка на плоской поверхности), способного удерживать образец волокна, изогнутый с радиусом, как указано в технических условиях (например, 30 мм для одномодовых волокон и 37,5 мм для многомодовых волокон), и инструмента для измерения потерь в волокне. Определяют потери при макроизгибах для длины волны, как указано в технических условиях (например, 850 или 1300 нм для многомодовых волокон, 1550 или 1625 нм для одномодовых волокон), используя метод контроля передаваемой мощности (МЭК 60793-1-46, метод A) или метод обрыва (МЭК 60793-1-40, метод A) и обеспечивая соответствующие условия возбуждения для конкретного типа волокна.
4.2. Метод B - Изгибы в четверть круга
Испытательное оборудование состоит из одной или более пластин, каждая из которых имеет одну или более "направляющих канавок" и инструмента для измерения потерь в волокне. Во время испытания пластины должны располагаться друг над другом, не касаясь испытуемого волокна в нижней и верхней пластинах; такой контакт повлияет на результаты измерений. Каждая направляющая канавка должна иметь сегмент в четверть круга (то есть 90°), как показано на рисунке 1. Радиус изгиба r, то есть радиус сегмента в четверть круга, должен быть указан в частных технических условиях. Ширина каждой направляющей канавки должна быть не менее чем на 0,4 мм больше диаметра волокна.
Определяют потери при макроизгибах для конкретного значения длины волны, как указано в технических условиях (например, 650, 850 или 1300 нм), используя метод контроля передаваемой мощности (МЭК 60793-1-46, метод A) или метод обрыва (МЭК 60793-1-40, метод A) и обеспечивая соответствующие условия возбуждения для конкретного типа волокна.
Рисунок 1. Направляющая канавка в пластине
с изгибом в четверть круга
5.1. Метод A - Наматывание волокна
5.1.1. Общие положения
Волокно наматывают без натяжения на инструмент, избегая чрезмерного перекручивания волокна. Информация о числе оборотов, радиусе кривизны и длине волны, при которой измеряют потери в волокне, содержится в следующих параграфах.
Так как действительный радиус кривизны является крайне важной величиной, то допускается отклонение в пределах +/- 0,1 мм (для значений радиуса не более 15 мм) или от +/- 0,5 до +/- 1,0 мм (для больших значений радиуса); для достижения высокой точности измерений для малых радиусов изгиба требуются меньшие значения допускаемого отклонения.
Как для одномодовых, так и для многомодовых волокон два значения оптической мощности могут быть измерены с использованием:
- метода контроля мощности, при помощи которого измеряют увеличение затухания в волокне вследствие изменения положения волокна из прямого в изогнутое, или
- метода обрыва, при помощи которого измеряют общее затухание в волокне в изогнутом положении. Для определения затухания, вносимого вследствие макроизгибов, данное значение должно быть скорректировано с учетом собственного затухания волокна.
Длина волокна за пределами оправки и эталонная длина отрезанного участка волокна не должны содержать изгибов, которые могут вносить значительные изменения в результат измерения. Рекомендуется накопление избыточного волокна на радиусе изгиба не менее 140 мм.
Также возможна перемотка волокна с оправки большого радиуса (вносящей незначительные потери вследствие макроизгибов) на оправку требуемого радиуса. В этом случае потери вследствие макроизгибов можно определить непосредственно, используя метод мониторинга мощности (без поправки на собственное затухание волокна).
Следует избегать скручивания любых частей волокна во время измерений, т.к. это влияет на результат измерений.
5.1.2. Одномодовые волокна
Разные сферы применения оптических волокон могут потребовать разных условий прокладки: разные типы волокон были разработаны для достижения оптимальных характеристик при изгибе для каждого условия прокладки.
Две типовые схемы расположения волокна рассматриваются для разных (возможно) типов волокон, для которых разные измерительные установки должны использоваться при определении характеристик этих волокон.
a) Магистральные сети: вдали от городов свободное пространство обычно нетрудно найти, и изгибы волокон могут быть ограничены относительно большими радиусами. Волокна, предназначенные для данного применения, испытывают в похожих условиях, то есть с использованием образцов, наматываемых вокруг оправок относительно большого радиуса, например 25 - 30 мм.
На данную измерительную установку главным образом воздействуют ошибки, определяемые низким отношением S/N и нежелательным натяжением, скручиванием или наличием петель на относительно длинном отрезке волокна, используемого при проведении измерений.
b) Сети доступа: условия эксплуатации требуют наименьшее возможное значение радиуса изгиба в соответствии с ожидаемым сроком службы и допустимыми потерями. Волокна, предназначенные для данного применения, испытывают в похожих условиях, то есть образцы изгибают с малыми радиусами, например в диапазоне 7,5 - 15 мм (см.
Приложение А).
На результаты измерения могут влиять различные источники, один из которых - отражения. Например, отражение света от границы покрытие/воздух или покрытие/стекло, от окружающих поверхностей (включая поверхность оправки, если она используется) или от соединителей.
Испытание можно проводить на образцах, совершая полный (360°) оборот (обороты) вне помещения или вокруг соответствующей опоры (оправки) или совершая эквивалентное число неполных оборотов, например, u-обороты (180°) или четверти оборотов (90°) вне помещения или вокруг соответствующих опор. Длина испытуемого образца разнится в зависимости от того, наматывают ли волокно вокруг оправки полными или неполными оборотами. Например, длина полного оборота равна удвоенной длине u-оборота или в четыре раза превышает длину четверти оборота. В дальнейшем термин "виток" относится к полному обороту. Один виток может также состоять, например, из двух последовательных u-оборотов <1> или четырех последовательных четвертей оборота. Это нужно учитывать при нормировании результатов к длине или образцу (число витков).
--------------------------------
<1> Если имеет место чрезмерное смещение между следующими друг за другом u-оборотами волокна, то длина образца наматываемого двумя u-оборотами может быть меньше одного витка. Предлагается максимальное смещение между соседними u-оборотами в 0,5 мм.
Следующие рекомендации применяют к условиям проведения испытания в обоих случаях [вышеуказанные
пункты a) и
b)]:
Число оборотов
Число оборотов должно соответствовать значениям, указанным в технических условиях на изделие.
Для одномодовых волокон затухание возрастает по линейному закону с увеличением числа витков.
Для каждого радиуса число оборотов выбирают таким образом, чтобы:
- вводимые потери значительно превышали порог обнаружения испытательной установки; при необходимости, например, для волокон с потерями вследствие малых изгибов испытания можно проводить при большем числе оборотов, чем требуется в технических условиях - затем проводят линейное нормирование к установленному числу витков;
- вводимые потери значительно ниже начального уровня нелинейной области испытательной установки; для радиусов изгиба в диапазоне 5 - 10 мм это может подразумевать, что должно быть использовано не более 5 - 10 оборотов.
Радиус изгиба
Значение радиуса изгиба должно соответствовать значениям, указанным в технических условиях на изделие <2>.
--------------------------------
<2> Потери, вызванные изгибами, на одномодовом волокне увеличиваются экспоненциально при увеличении значения длины волны и при уменьшении радиуса (см.
Приложение А).
Длина волны
Значения длины волны при измерении должны находиться в диапазоне 1550 - 1625 нм согласно соответствующим техническим условиям на изделие; нужно учитывать, что потери, вызванные изгибами, увеличиваются экспоненциально при увеличении значения длины волны.
Примечание. Однородность потерь, вызванных изгибами, в разных угловых положениях в поперечном сечении волокна необходимо проверять путем проведения испытаний во многих угловых положениях или проверять однородность действительного профиля показателя преломления, определяющего ведущие характеристики испытуемого изогнутого волокна.
5.1.3. Многомодовые волокна категории A1
Потери, вызванные макроизгибами в многомодовых волокнах категории A1, изменяются в зависимости от радиуса изгиба и числа оборотов волокна вокруг оправки, но в значительной мере не зависят от измеряемого значения длины волны, за исключением случаев влияния возможных колебательных эффектов на значения длины волны, которые зависят от последовательных импульсных отсечек в модовых группах и приводят к увеличению потерь, вызванных изгибами для данных значений длины волны.
Значения радиуса изгиба и число оборотов должно соответствовать значениям, указанным в технических условиях. При проведении испытания с числом оборотов более одного затухание в конкретном витке зависит от затухания в предыдущих витках. Нарастание потерь, вызываемых макроизгибами, добавляемых с каждым витком, уменьшается с каждым дополнительным витком. Потери, вызванные макроизгибами, накопленные при многократных оборотах волокна, не должны быть выражены в единицах "дБ/об", полученных путем деления значения общих накопленных потерь на число оборотов. Вместо этого они должны указываться в децибелах для конкретного числа оборотов. Экстраполяция для числа оборотов больше указанного приводит к завышенной оценке общих потерь.
Только в случае многомодовых волокон параметры возбуждения источника света для испытуемого волокна, находящегося в положении для ввода излучения, должны соответствовать ожидаемой области применения волокна. Более подробную информацию по условиям ввода излучения в волокно с макроизгибами можно найти в МЭК 61280-4-1.
5.2. Метод B - Изгибы в четверть круга
Испытуемое волокно осторожно помещают в направляющую канавку (канавки) (см.
рисунок 1). Начало каждого регулируемого изгиба должно составлять s метров, не считая начала следующего регулируемого изгиба. Начало регулируемого изгиба, ближайшего к концу волокна, в которое вводят излучение, должно быть расположено на расстоянии 1 м от точки ввода излучения (см. рисунок 2).
Рисунок 2. Многократное изгибание волокна
с использованием пластин, расположенных друг над другом
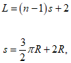
Минимальную длину образца определяют в соответствии со следующим уравнением:

(1)
где L - минимальная длина образца, м;
n - число изгибов в четверть оборота;
s - интервал между каждым изгибом, м;
R - радиус изгиба ненатянутого волокна, м.
Потери, вызванные макроизгибами, обусловленные многократными изгибами разного радиуса можно измерять одновременно, размещая друг над другом пластины с вырезанными в них канавками, имеющими разные установленные значения радиуса (см.
рисунок 2).
Если в частных технических условиях не указано другое, то значениями по умолчанию для проведения данного испытания являются следующие значения:
- радиус макроизгиба r = 25 мм;
- число макроизгибов n = 10;
- радиус изгиба ненатянутого волокна R >= 150 мм;
- длина волны 650, 850 или 1300 нм.
Данные параметры соответствуют интервалу между каждым макроизгибом s >= 1 м и длине образца L >= 11 м.
Накопленные потери в волокне, вызываемые изгибами, измеряют с использованием метода контроля передаваемой мощности (МЭК 60793-1-46, метод A) или метод обрыва (МЭК 60793-1-40, метод A). Используют фильтры оболочечных мод на концах образца волокна вблизи источника света и детектора. Соответствующий фильтр оболочечных мод состоит из трех оборотов испытуемого волокна, намотанных вокруг оправки радиусом 150 мм.
При проведении испытания придерживаются следующей последовательности:
a) обрезают волокно до соответствующей длины и наматывают его на катушку или располагают его на плоской поверхности таким образом, чтобы волокно имело радиус изгиба не менее 150 мм;
b) измеряют передаваемую мощность;
c) помещают волокно в измерительное оборудование (см.
рисунки 1 и
2);
d) измеряют передаваемую мощность.
Примечание. При испытании многократных макроизгибов, например используя значение по умолчанию n = 10, распределение мод в случае конкретного макроизгиба может зависеть от числа предшествующих макроизгибов. Например, первый изгиб может влиять на условия ввода излучения на второй изгиб, и второй изгиб может влиять на условия ввода излучения на третий изгиб и т.д. Следовательно, накопленные потери в волокне, вызываемые макроизгибами, для конкретного изгиба могут отличаться от потерь накопленных при макроизгибах для другого изгиба. В частности, первый изгиб может оказывать наибольшее влияние на последующие изгибы. Следовательно, накопленные потери в волокне, вызываемые макроизгибами, обусловленные многократными изгибами, не должны выражаться в единицах "дБ/изгиб" (путем деления всех накопленных потерь на число изгибов). Следовательно, в соответствующих технических условиях накопленные потери в волокне, вызываемые макроизгибами, не должны указываться в единицах "дБ/изгиб".
Результаты указывают в отчете в следующем виде:

(2)
где Pstr - мощность, измеренная на выходе волокна без изгиба;
PBend - мощность, измеренная на выходе волокна текущего изгиба <1>.
--------------------------------
<1> Мощность на выходе прямого волокна можно рассчитать, используя коэффициент затухания волокна, длину волокна, на котором проводились измерения, и выходную мощность источника.
Примечание. Для одномодового волокна потери могут быть представлены в отчете в единицах "дБ/об".
7.1. Информация, получаемая при каждом измерении
По каждому измерению в отчете представляется следующая информация:
- дата проведения и наименование измерения;
- обозначение образца;
- длина образца;
- радиус кривизны и измерительная установка (метод A);
- радиус макроизгиба (метод B);
- число оборотов (метод A);
- число макроизгибов (метод B);
- интересующее значение (значения) длины волны;
- условия ввода излучения (только для многомодовых волокон);
- потери в децибелах, вызванные макроизгибами.
7.2. Информация, предоставляемая по требованию
По запросу представляется следующая информация:
- используемый метод измерения: A или B;
- метод измерения мощности: метод контроля мощности или метод отсечки;
- описание схемы измерительного оборудования;
- подробное описание методики проведения вычислений;
- дата последней калибровки оборудования.
8. Информация в технических условиях
В частных технических условиях указывают следующую информацию:
- тип волокна, на котором проводят измерение;
- условия ввода излучения (только для многомодовых волокон);
- радиус кривизны (метод A);
- радиус макроизгиба (метод B);
- число оборотов (метод A);
- число макроизгибов (метод B);
- критерий приемки или отбраковки;
- информация, представляемая в отчете;
- интересующее значение (значения) длины волны;
- любые отклонения от установленной процедуры проведения измерения.
(справочное)
ЭФФЕКТЫ, ВОЗНИКАЮЩИЕ В ВОЛОКНЕ ПРИ ИЗГИБАХ МАЛОГО РАДИУСА
А.1. Общие положения
В данном приложении указаны некоторые особенности поведения одномодового волокна, подвергаемого изгибам особо малого радиуса, в зависимости от конструкции волокна. Информация в приложении основана на практическом опыте нескольких изготовителей волокна.
Эффекты, описанные в данном приложении, могут воздействовать на качество передачи сигнала. Следовательно, рекомендуется, чтобы рабочие характеристики волокна подтверждались в реальных условиях эксплуатации, например, значения длины волны, значения радиуса изгиба и длина изгибаемого волокна.
А.2. Интерференция между распространяющимися и излучаемыми модами
При измерении потерь, вызванных макроизгибами при малых радиусах изгиба, вторичный эффект, возникающий вследствие интерференции между основной распространяющейся модой в сердцевине и излучающими модами, может появляться, если длина изогнутого образца не является достаточной для подавления излучающих мод. При данном эффекте распространяющийся оптический сигнал излучается из сердцевины изогнутого волокна и отражается обратно от искривленных границ раздела за пределами сердцевины (например, сердцевина-оболочка или оболочка-покрытие, или покрытие-воздух, так же как при так называемом эффекте галереи шепота), таким образом интерферируя с распространяющейся модой. При определенных условиях расположения волокна в нем могут возникать конструктивные и деструктивные эффекты, приводящие к потерям, зависящим от значения длины волны при определенном радиусе изгиба.
Так как существует вероятность влияния этих эффектов на потери в волокне, зависящие от значения длины волны, то можно применить процесс аппроксимации кривой для обработки кривой спектральных потерь; данная аппроксимация должна основываться на экспоненциальном характере отношения потерь к значению длины волны. При аппроксимации ожидается получение значений, которые могли бы быть получены при значительном уменьшении влияния эффектов интерференции, что могло бы иметь место при проведении испытания на волокне с некоторым числом оборотов, достаточно большим для подавления эффектов интерференции. Однако методика аппроксимации позволяет проводить и завершать измерения без использования непрактичных измерительных установок и условий проведения измерений.
Пример данного колебательного поведения и возможная аппроксимирующая кривая (А) представлены на следующем рисунке А.1. Два последовательных размещения волокна в испытательном устройстве при R = 7,5 мм и восемнадцати изгибах в 180° (размещение волокна u-оборотами) представлены на графике разными кривыми потерь, но совпадающей аппроксимирующей кривой.
Примечание. При проведении аппроксимации при нахождении на графике точек максимума и минимума нужно удостовериться в том, что этих точек достаточное число, например четыре, так чтобы их влияние уравновешивалось.
| | ИС МЕГАНОРМ: примечание. В официальном тексте документа, видимо, допущена опечатка: не указан номер рисунка. Возможно, имеется в виду рисунок А.1. | |
Схожее колебательное поведение можно наблюдать в случае фиксированного значения длины волны для изменяющегося значения радиуса и/или для изменяющейся температуры: в этом случае также возможно применение методики аппроксимации.
Что касается аппроксимирующей кривой, то для ее построения было разработано несколько различных моделей и их можно найти в научной литературе; две упрощенные модели приведены ниже в качестве примера.
В случае фиксированного изгиба изменения величины потерь в волокне в зависимости от значения длины волны могут быть представлены следующей формулой:
где A и

- коэффициенты, зависящие от конструкции волокна.
В случае фиксированного значения длины волны и для ограниченных областей вокруг определенного значения радиуса (например, 15 или 30 мм для волокон категории B1) зависимость величины потерь от радиуса изгиба можно представить следующей формулой:
где B и

- коэффициенты, зависящие от конструкции волокна;
R - радиус изгиба волокна, расположенного по кругу.
Вследствие статистической природы (до некоторой степени) явления интерференции аппроксимацию рекомендуется проводить:
a) используя данные на логарифмической оси y;
b) минимизируя разницу между медианными и средними значениями вместо использования среднеквадратичной погрешности.
А.3. Поляризационные эффекты
При измерении потерь, вызванных макроизгибами при очень малых значениях радиуса изгиба, поляризация распространяющегося или излучаемого света может влиять на результат измерения. Так как свет, выходящий из волокна, несколько раз отражается от разных границ раздела (например, оболочка-покрытие, покрытие-воздух, покрытие-контактирующие материалы), поляризация в некоторой степени может присутствовать даже при использовании неполяризованных источников света. Такие потери, вызываемые поляризацией (PDL), являются функцией от значения длины волны и должны учитываться при сравнении результатов, полученных при разных измерениях или в разных лабораториях.
А.4. Повреждения, вызываемые высокой мощностью излучения источника
В некоторых экстремальных условиях (очень высокая мощность излучения источника, очень крутые изгибы) температура покрытия и стекла может подниматься до очень высоких значений, в конечном итоге приводя к разрушению покрытия и стекла. Данные экстремальные условия, однако, не являются типовыми при развертывании и эксплуатации стандартных телекоммуникационных сетей. Подробную информацию об этом явлении можно найти в МЭК/ТО 62547.
(справочное)
СВЕДЕНИЯ О СООТВЕТСТВИИ ССЫЛОЧНЫХ МЕЖДУНАРОДНЫХ
СТАНДАРТОВ ССЫЛОЧНЫМ НАЦИОНАЛЬНЫМ СТАНДАРТАМ
РОССИЙСКОЙ ФЕДЕРАЦИИ
Таблица ДА.1
Обозначение ссылочного международного стандарта | Степень соответствия | Обозначение и наименование соответствующего национального стандарта |
МЭК 60793-1-1 | - | |
МЭК 60793-1-40 | IDT | |
МЭК 60793-1-46 | IDT | ГОСТ Р МЭК 60793-1-46-2014 "Волокна оптические. Часть 1-46. Методы измерений и проведение испытаний. Контроль изменений коэффициента оптического пропускания" |
МЭК 61280-4-1 | - | <*> |
<*> Соответствующий национальный стандарт отсутствует. До его утверждения рекомендуется использовать перевод на русский язык данного международного стандарта. Перевод данного международного стандарта находится в ОАО "ВНИИКП". Примечание. В настоящей таблице использовано следующее условное обозначение степени соответствия стандартов: - IDT - идентичные стандарты. |
МЭК/ТО 62547 | Руководящие указания по измерению чувствительности к повреждениям, вызываемым высокой мощностью излучения источника, одномодовых волокон при изгибах. Руководство для интерпретации результатов |
(IEC/TR 62547) | (Guidelines for the measurement of high-power damage sensitivity of single-mode fibres to bends - Guidance for the interpretation of results). |