Главная // Актуальные документы // ГОСТ Р (Государственный стандарт)СПРАВКА
Источник публикации
М.: Стандартинформ, 2019
Примечание к документу
Документ утратил силу с 01.07.2024 в связи с изданием
Приказа Росстандарта от 30.06.2023 N 464-ст. Взамен введен в действие
ГОСТ Р ИСО 1402-2023.
Документ
введен в действие с 01.01.2020.
Название документа
"ГОСТ Р ИСО 1402-2019. Национальный стандарт Российской Федерации. Рукава резиновые и пластиковые и рукава в сборе. Гидравлические испытания"
(утв. и введен в действие Приказом Росстандарта от 18.09.2019 N 700-ст)
"ГОСТ Р ИСО 1402-2019. Национальный стандарт Российской Федерации. Рукава резиновые и пластиковые и рукава в сборе. Гидравлические испытания"
(утв. и введен в действие Приказом Росстандарта от 18.09.2019 N 700-ст)
Утвержден и введен в действие
агентства по техническому
регулированию и метрологии
от 18 сентября 2019 г. N 700-ст
НАЦИОНАЛЬНЫЙ СТАНДАРТ РОССИЙСКОЙ ФЕДЕРАЦИИ
РУКАВА РЕЗИНОВЫЕ И ПЛАСТИКОВЫЕ И РУКАВА В СБОРЕ
ГИДРАВЛИЧЕСКИЕ ИСПЫТАНИЯ
Rubber and plastics hoses and hose assemblies.
Hydraulic testing
(ISO 1402:2009, Rubber and plastics hoses
and hose assemblies - Hydrostatic testing, IDT)
ГОСТ Р ИСО 1402-2019
Дата введения
1 января 2020 года
1 ПОДГОТОВЛЕН Федеральным государственным унитарным предприятием "Всероссийский научно-исследовательский институт стандартизации материалов и технологий" (ФГУП "ВНИИ СМТ"), Техническим комитетом по стандартизации ТК 160 "Продукция нефтехимического комплекса" на основе собственного перевода на русский язык англоязычной версии стандарта, указанного в
пункте 4
2 ВНЕСЕН Техническим комитетом по стандартизации ТК 160 "Продукция нефтехимического комплекса"
3 УТВЕРЖДЕН И ВВЕДЕН В ДЕЙСТВИЕ
Приказом Федерального агентства по техническому регулированию и метрологии от 18 сентября 2019 г. N 700-ст
4 Настоящий стандарт идентичен международному стандарту ИСО 1402:2009 "Резиновые и пластиковые рукава и рукава в сборе. Гидростатические испытания" (ISO 1402:2009 "Rubber and plastics hoses and hose assemblies - Hydrostatic testing", IDT).
Наименование настоящего стандарта изменено относительно наименования указанного международного стандарта для приведения в соответствие с ГОСТ Р 1.5-2012
(пункт 3.5).
При применении настоящего стандарта рекомендуется использовать вместо ссылочных международных стандартов соответствующие им национальные и межгосударственные стандарты, сведения о которых приведены в дополнительном
приложении ДА
5 ВВЕДЕН ВПЕРВЫЕ
Правила применения настоящего стандарта установлены в статье 26 Федерального закона от 29 июня 2015 г. N 162-ФЗ "О стандартизации в Российской Федерации". Информация об изменениях к настоящему стандарту публикуется в ежегодном (по состоянию на 1 января текущего года) информационном указателе "Национальные стандарты", а официальный текст изменений и поправок - в ежемесячном информационном указателе "Национальные стандарты". В случае пересмотра (замены) или отмены настоящего стандарта соответствующее уведомление будет опубликовано в ближайшем выпуске ежемесячного информационного указателя "Национальные стандарты". Соответствующая информация, уведомление и тексты размещаются также в информационной системе общего пользования - на официальном сайте Федерального агентства по техническому регулированию и метрологии в сети Интернет (www.gost.ru)
Настоящий стандарт устанавливает методы гидравлических испытаний резиновых и пластиковых рукавов и рукавов в сборе статическим давлением, включая методы определения устойчивости к деформации.
В настоящем стандарте использованы нормативные ссылки на следующие международные стандарты [для датированных ссылок применяют только указанное издание ссылочного стандарта, для недатированных - последнее издание (включая все изменения к нему)]:
ISO 4671, Rubber and plastics hoses and hose assemblies - Methods of measurement of the dimensions of hoses and the lengths of hose assemblies (Резиновые и пластиковые рукава и рукава в сборе. Методы измерения размеров рукавов и длин рукавов в сборе)
ISO 7751, Rubber and plastics hoses and hose assemblies - Ratios of proof and burst pressure to design working pressure (Резиновые и пластиковые рукава и рукава в сборе. Отношение испытательного и разрывного давлений к расчетному рабочему давлению)
ISO 8330, Rubber and plastics hoses and hose assemblies - Vocabulary (Резиновые и пластиковые рукава и рукава в сборе. Словарь)
ISO 23529, Rubber - General procedures for preparing and conditioning test pieces for physical test methods (Резина. Общие процедуры приготовления и кондиционирования образцов для определения физических свойств)
В настоящем стандарте применены термины по ИСО 8330.
Если нет других указаний, все испытания проводят при стандартной температуре (см. ИСО 23529).
5.1 Источник давления, способный обеспечивать давление со скоростью, указанной в
7.2.2, до достижения требуемого испытательного давления.
5.2 Калиброванный манометр или датчик давления с цифровой индикацией, выбираемый для каждого испытания таким образом, чтобы испытательное давление при испытании составляло от 15% до 85% максимального показания шкалы.
Для обеспечения точности измерений калиброванные манометры или датчики давления с цифровой индикацией следует часто проверять, также рекомендуется устанавливать дроссельные устройства для сведения к минимуму повреждений при ударной нагрузке.
5.3 Средства измерения размеров - штангенциркули с нониусом или микрометры, рулетка для измерения длины, лента для измерения окружности (

лента).
6.1 Рукава в сборе
При необходимости испытания рукавов в сборе используют длину рукава в сборе.
Испытания на гидростатическое давление и разрывное давление проводят на образце рукава минимальной свободной длины, за исключением концевой арматуры и концевых армирующих элементов: 600 мм - при необходимости измерения деформации рукава и 300 мм - при ее отсутствии. Если для рукава конкретного типа или размера требуется более длинный испытуемый образец, его длину следует указывать в спецификации на данный рукав.
6.3 Число образцов
Испытывают не менее двух образцов.
7 Приложение гидростатического давления
7.1 Общие положения
В качестве испытательной среды используют воду или другую жидкость, пригодную для испытуемого рукава.
Предупреждение - Рукава и рукава в сборе, в которых находится жидкость под давлением, могут быть потенциально опасными, поэтому испытание проводят в защитном корпусе. Следует избегать использования воздуха и других газов в качестве испытательных сред из-за риска для операторов. В особых случаях, когда такие испытательные среды необходимы для испытаний, применяют строгие меры безопасности. При использовании жидкости в качестве испытательной среды крайне важно удалить весь воздух из испытуемого образца из-за риска травмирования оператора в результате резкого расширения высвобождающегося воздуха при разрыве рукава.
7.2 Приложение давления
7.2.1 Заполняют образец испытательной жидкостью, вытесняя весь воздух, и подсоединяют к испытательному оборудованию. Закрывают клапан и прикладывают гидростатическое давление с равномерной скоростью. Измеряют давление калиброванным манометром или датчиком давления с цифровой индикацией (см.
5.2).
Важно - Следует обеспечить свободное перемещение открытого или закрытого конца испытуемого образца во время испытания.
7.2.2 Скорость повышения давления должна быть постоянной и выбрана таким образом, чтобы конечное давление достигалось в течение 30 - 60 с для рукавов номинальным внутренним диаметром до 50 мм. Для рукавов номинальным внутренним диаметром более 50 мм, но не более 250 мм время, необходимое для достижения конечного давления, должно быть от 60 до 240 с. Для рукавов номинальным внутренним диаметром более 250 мм время, необходимое для достижения конечного давления, должно быть согласовано между изготовителем и потребителем рукавов.
8 Гидравлические испытания
8.1 Выдерживание проверочного давления
Если для определения герметичности рукавов или рукавов в сборе используют испытательное давление, прикладывают указанное проверочное давление в соответствии с
7.2.2 и выдерживают его не менее 30 с и не более 60 с, если в спецификации на рукав нет других указаний. Осматривают образцы во время испытания на наличие утечки, трещин, резких искажений поверхности, указывающих на неоднородность материала или нарушение технологии изготовления, или других признаков разрушения.
Если нет других указаний, проверочное давление должно быть связано с максимальным рабочим давлением соотношением, указанным в ИСО 7751.
Примечание 1 - В настоящем пункте использован термин "максимальное рабочее давление" вместо устаревшего термина "расчетное рабочее давление".
Примечание 2 - Испытание не применимо к изогнутым рукавам.
8.2 Измерение деформации под давлением
8.2.1 Общая процедура
8.2.1.1 Установка образца
При необходимости определения изменения длины, изменения наружного диаметра и скручивания и/или деформации рукав или рукав в сборе распрямляют, размещают его горизонтально для осмотра и прикладывают гидростатическое давление 0,07 МПа (0,7 бар). Это необходимо для стабилизации рукава/рукава в сборе. Прикладывают указанное давление примерно через 5 мин после завершения испытания на выдерживание проверочного давления. Опорная поверхность, на которой размещают рукав/рукав в сборе, должна быть ровной и гладкой, чтобы рукав/рукав в сборе мог расширяться или сжиматься без каких-либо ограничений. Альтернативно рукав/рукав в сборе можно размещать на роликах или подвешивать вертикально. При использовании в качестве испытуемого образца отрезка рукава его также можно поместить в испытательную установку в вертикальном положении.
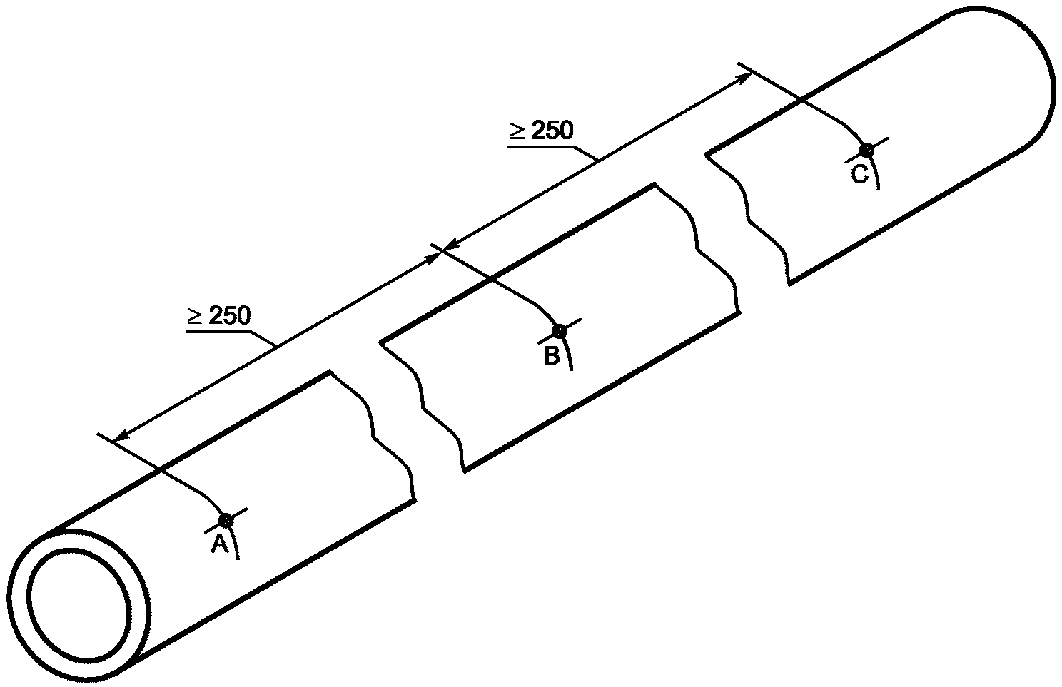
8.2.1.2 Контрольные метки
На наружной поверхности длинных рукавов или образцов рукава (см.
6.2), поддерживая давление, наносят три контрольные метки (A, B и C), среднюю метку (B) наносят примерно посередине длины рукава, крайние метки (A и C) - на расстоянии не менее 250 мм от середины (метка B). Каждая метка должна быть в форме дуги по окружности рукава, через которую проходит прямая линия, перпендикулярная к дуге, при этом три линии должны быть коллинеарными (см.
рисунок 1).
Для рукавов в сборе измеряют расстояние между контактными поверхностями концевой арматуры или наносят контрольные метки на поверхность рукава вблизи конца вставленной части арматуры.
Примечание -
Рисунок также распространяется на рукава в сборе (концевая арматура не показана).
8.2.1.3 Измерение начальных размеров
После выдерживания начального давления 0,07 МПа (0,7 бар) в течение примерно 5 мин средствами измерения (см.
5.3) выполняют соответствующие измерения (см. 8.2.2,
8.2.3 и
8.2.4) на контрольных метках A и C с точностью до +/- 1 мм и регистрируют результаты. Измеряют наружный диаметр или длину окружности с такой же точностью.
8.2.2 Изменение длины при заданном испытательном давлении
Примечание - Испытательное давление должно быть указано в спецификации на рукав и может быть максимальным рабочим давлением (см.
примечание 1 к 8.1), проверочным давлением или давлением ниже проверочного давления, при котором измеряют характеристики деформации рукава.
Повышают давление до испытательного давления, указанного в спецификации на рукав, со скоростью по
7.2.2 и поддерживают его в течение 5 мин (или дольше, если это указано в спецификации на рукав). Затем рулеткой (см.
5.3) с точностью до +/- 1 мм измеряют длину между контрольными метками A и C или для рукава в сборе - между контактными поверхностями концевой арматуры и регистрируют полученные результаты.
Примечание - Рисунок также распространяется на рукава в сборе (концевая арматура не показана).
Рисунок 1 - Определение устойчивости к деформации
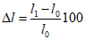
Вычисляют изменение длины

, %, от исходной длины рукава по формуле

, (1)
где l1 - расстояние между контрольными метками A и C, измеренное при заданном испытательном давлении, м;
l0 - расстояние между контрольными метками A и C или общая длина (для рукава в сборе), измеренные при начальном давлении 0,07 МПа (0,7 бар), м.
Изменение длины

в процентах будет положительным (+) в случае увеличения длины и отрицательным (-) - в случае ее уменьшения.
Пример процедуры испытания приведен на
рисунке 3.
8.2.3 Изменение наружного диаметра при заданном испытательном давлении, измеренное примерно в середине рукава в сборе
Наружный диаметр рукава предпочтительно определять по измерениям длины окружности, выполненным с точностью до 1 мм, с использованием ленты для измерения окружности (см. ИСО 4671). Измерения также можно проводить штангенциркулем с нониусом с рабочей шириной губок не менее 5 мм.
8.2.3.2 Определение изменения длины наружной окружности
Лентой для измерения окружности (см.
5.3) измеряют длину окружности в каждой из трех контрольных меток (A, B и C) при начальном давлении 0,07 МПа (0,7 бар) (см.
8.2.1.3) и при заданном испытательном давлении (во время измерения, как указано в
8.2.2).
Вычисляют изменение наружного диаметра

, %, от исходного диаметра по формуле

, (2)
где

- сумма длин окружностей в трех контрольных метках, измеренных при заданном испытательном давлении;

- сумма длин окружностей в трех контрольных метках, измеренных при начальном давлении.
8.2.3.3 Прямой метод измерения наружного диаметра
Штангенциркулем с нониусом (см.
5.3) измеряют диаметр рукава в двух перпендикулярных плоскостях в каждой из трех контрольных меток при начальном давлении 0,07 МПа (0,7 бар) (см.
8.2.1.3) и при заданном испытательном давлении (во время измерения, как указано в
8.2.2).
Вычисляют изменение наружного диаметра рукава

, %, от исходного диаметра по формуле

, (3)
где

- сумма шести значений диаметров, измеренных в контрольных метках при заданном испытательном давлении;

- сумма шести значений диаметров, измеренных в контрольных метках при начальном давлении.
8.2.4 Скручивание при заданном испытательном давлении
Если рукав под воздействием давления скручивается, исходные линии, образующие контрольные метки, будут спиральными (см. рисунок 2).
Примечание - Рисунок также применим к рукавам в сборе (концевая арматура не показана).
Рисунок 2 - Определение величины скручивания
На рукаве при заданном испытательном давлении (во время измерения, как указано в
8.2.2) проецируют прямую линию вдоль длины рукава от контрольной метки A до тех пор, пока она не пересечет в точке C
' дугу окружности, проходящей через контрольную метку C. Альтернативно для коротких рукавов в сборе контрольные метки A и C можно размещать на концевой арматуре или на участке рукава, покрывающего установленные элементы арматуры.
Затем рулеткой
(5.3) измеряют длину
s дуги CC
' с точностью до 1 мм.
Вычисляют степень скручивания рукава на метр T, градусы, по формуле

, (4)
где s - длина дуги окружности CC', мм;
Cc - окружность на контрольной отметке C, измеренная, как описано в
8.2.3.1, мм;
l0 - расстояние между контрольными метками A и C, измеренное по
8.2.2, м.
8.2.5 Деформация при заданном испытательном давлении
Деформацией при гидравлических испытаниях является отклонение рукава между концевой арматурой от прямой линии в плоскости, параллельной поверхности, на которой располагают рукав при начальном давлении 0,07 МПа (0,7 бар). Для установки прямой линии между центрами концевой арматуры можно использовать плотно натянутый шнур. Величина деформации при заданном испытательном давлении представляет собой максимальное отклонение любой части рукава от прямой линии, проведенной между центрами концевой арматуры при начальном давлении. Деформацию выражают как расстояние от этой линии до осевой линии рукава в точке максимального отклонения. Результат регистрируют с точностью до 5 мм.
8.3 Испытание на разрывное давление
Повышают давление со скоростью, указанной в
7.2.2, до разрыва рукава или рукава в сборе. Положение и характер разрушения рукава регистрируют в протоколе испытаний.
Пример последовательности гидростатического испытания показан на рисунке 3.
--------------------------------
<a> До разрыва.
X - время t; Y - давление p (МПа или бар); 1 - проверочное
давление; 2 - испытательное давление; 3 - проверка
герметичности и обнаружение дефектов; 4 - измерения;
5 - разрывное давление; 6 - разрушение; t0 - заданное время
увеличения давления; t1 - заданное время удерживания
давления; t2 - время измерения начальных размеров (длины
и диаметра) при контрольном давлении [0,07 МПа (0,7 бар)];
t3 - заданное время выдерживания между разными давлениями
Примечание - Данный полный испытательный цикл (проверочное давление - испытательное давление - разрывное давление) используют только при типовых испытаниях. Для рутинных испытаний этап измерений после приложения проверочного давления применяют только в случае, если это указано в спецификации на соответствующий рукав.
Измеряют начальную длину и диаметр/длину окружности и отмечают контрольные метки для измерения скручивания между точками A и B. Увеличение длины, диаметра/длины окружности, скручивание и деформацию измеряют непосредственно перед точкой C.
Рисунок 3 - Пример последовательности гидростатического
испытания в соответствии с настоящим стандартом
8.4 Испытание на герметичность
8.4.1 Испытуемые образцы
Испытывают на герметичность рукава в сборе до старения через 1 - 30 дней после присоединения концевой арматуры.
8.4.2 Проведение испытания
Прикладывают к образцам гидростатическое давление, равное 70% указанного минимального разрывного давления. Поддерживают указанное давление в течение (5,0 +/- 0,5) мин, а затем снижают его до нуля. Повторно прикладывают указанное давление и поддерживают его еще в течение (5,0 +/- 0,5) мин. Данное испытание является разрушающим, поэтому образцы после испытания утилизируют.
8.4.3 Критерии отказа
Не должно быть утечек или признаков разрушения. Утечка у концевой арматуры, негерметичность арматуры или разрыв рукава в месте крепления к арматуре рассматривают как ошибки при сборке рукава.
Примечание - Такие повреждения не обязательно указывают на неспособность рукава соответствовать установленным требованиям при креплении другой арматуры.
Для каждого испытания протокол испытаний должен содержать:
a) полное описание рукава и при необходимости рукава в сборе;
b) обозначение настоящего стандарта;
c) использованный метод;
d) количество испытуемых образцов и длину каждого испытуемого образца;
e) испытательное давление и скорость увеличения давления;
f) испытательную среду (если это не вода);
g) результаты испытаний каждого образца;
h) при разрушении испытуемого образца - его положение и характер разрушения;
i) любые необычные признаки, отмеченные во время испытания;
j) дату проведения испытаний.
(справочное)
СВЕДЕНИЯ О СООТВЕТСТВИИ ССЫЛОЧНЫХ МЕЖДУНАРОДНЫХ СТАНДАРТОВ
НАЦИОНАЛЬНЫМ И МЕЖГОСУДАРСТВЕННЫМ СТАНДАРТАМ
Таблица ДА.1
Обозначение ссылочного международного стандарта | Степень соответствия | Обозначение и наименование соответствующего национального, межгосударственного стандарта |
ISO 4671 | IDT | ГОСТ ISO 4671-2013 "Рукава резиновые или пластиковые и рукава в сборе. Методы измерения размеров рукавов и длин рукавов в сборе" |
ISO 7751 | - | |
ISO 8330 | - | |
ISO 23529 | IDT | ГОСТ ISO 23529-2013 "Резина. Общие методы приготовления и кондиционирования образцов для определения физических свойств" |
<*> Соответствующий национальный стандарт отсутствует. До его принятия рекомендуется использовать перевод на русский язык данного международного стандарта. Примечание - В настоящей таблице использовано следующее условное обозначение степени соответствия стандартов: - IDT - идентичные стандарты. |
УДК 678-462:678.019.31:532.11:006.354 | |
Ключевые слова: резиновые и пластиковые рукава, рукава в сборе, гидравлические испытания |