Главная // Актуальные документы // ГОСТ Р (Государственный стандарт)СПРАВКА
Источник публикации
М.: ИПК Издательство стандартов, 2001
Примечание к документу
С 1 июля 2003 года до вступления в силу технических регламентов акты федеральных органов исполнительной власти в сфере технического регулирования носят рекомендательный характер и подлежат обязательному исполнению только в части, соответствующей целям, указанным в
пункте 1 статьи 46 Федерального закона от 27.12.2002 N 184-ФЗ.
Текст данного документа приведен с учетом
поправки, опубликованной в "ИУС", N 6, 2011.
Документ
введен в действие с 1 июля 2002 года.
Название документа
"ГОСТ Р 51777-2001. Государственный стандарт Российской Федерации. Кабели для установок погружных электронасосов. Общие технические условия"
(принят и введен в действие Постановлением Госстандарта России от 10.07.2001 N 263-ст)
"ГОСТ Р 51777-2001. Государственный стандарт Российской Федерации. Кабели для установок погружных электронасосов. Общие технические условия"
(принят и введен в действие Постановлением Госстандарта России от 10.07.2001 N 263-ст)
Принят и введен в действие
от 10 июля 2001 г. N 263-ст
ГОСУДАРСТВЕННЫЙ СТАНДАРТ РОССИЙСКОЙ ФЕДЕРАЦИИ
КАБЕЛИ ДЛЯ УСТАНОВОК ПОГРУЖНЫХ ЭЛЕКТРОНАСОСОВ
ОБЩИЕ ТЕХНИЧЕСКИЕ УСЛОВИЯ
Cables for installations of submersible electric
pumps. General specifications
ГОСТ Р 51777-2001
Дата введения
1 июля 2002 года
1 РАЗРАБОТАН ОАО "Всероссийский научно-исследовательский, проектно-конструкторский и технологический институт кабельной промышленности" (ОАО "ВНИИКП")
ВНЕСЕН Техническим комитетом по стандартизации ТК 46 "Кабельные изделия" при ОАО "ВНИИКП"
2 ПРИНЯТ И ВВЕДЕН В ДЕЙСТВИЕ
Постановлением Госстандарта России от 10 июля 2001 г. N 263-ст
3 ВВЕДЕН ВПЕРВЫЕ
Настоящий стандарт распространяется на кабели с тремя основными жилами для установок погружных электронасосов, предназначенные для подачи электрической энергии к электродвигателям установок добычи нефти, водоподъема и перекачки жидкостей из шурфов, резервуаров и водоемов, на номинальное переменное напряжение 2,5 и 3,3 кВ частоты 50 Гц.
Стандарт устанавливает параметры, характеристики и свойства кабелей, а также требования к их изготовлению, испытаниям и эксплуатации.
Требования настоящего стандарта являются обязательными при разработке технических условий на кабели, производстве кабелей на предприятиях-изготовителях, эксплуатации кабелей у потребителей и при сертификации кабелей.
В настоящем стандарте использованы ссылки на следующие стандарты:
ГОСТ 12.2.007.0-75 Система стандартов безопасности труда. Изделия электротехнические. Общие требования безопасности
ГОСТ 12.2.007.14-75 Система стандартов безопасности труда. Кабели и кабельная арматура. Требования безопасности
ГОСТ 15.309-98 Система разработки и постановки продукции на производство. Испытания и приемка выпускаемой продукции. Основные положения
ГОСТ 982-80 Масла трансформаторные. Технические условия
ГОСТ 2990-78 Кабели, провода и шнуры. Методы испытаний напряжением
ГОСТ 3345-76 Кабели, провода и шнуры. Метод определения электрического сопротивления изоляции
ГОСТ 5151-79 Барабаны деревянные для электрических кабелей и проводов. Технические условия
ГОСТ 7229-76 Кабели, провода и шнуры. Метод определения электрического сопротивления токопроводящих жил и проводников
ГОСТ 10121-76 Масло трансформаторное селективной очистки. Технические условия
ГОСТ 12177-79 Кабели, провода и шнуры. Методы проверки конструкции
ГОСТ 15150-69 Машины, приборы и другие технические изделия. Исполнения для различных климатических районов. Категории, условия эксплуатации, хранения и транспортирования в части воздействия климатических факторов внешней среды
ГОСТ 16962.1-89 Изделия электротехнические. Методы испытаний на устойчивость к климатическим внешним воздействующим факторам
ГОСТ 18690-82 Кабели, провода, шнуры и кабельная арматура. Маркировка, упаковка, транспортирование и хранение
ГОСТ 22483-77 Жилы токопроводящие медные и алюминиевые для кабелей, проводов и шнуров. Основные параметры. Технические требования
ОСТ 16 0.684-014-80 Барабаны металлические многооборотные для кабельных изделий. Технические условия
3. Классификация, основные параметры и размеры
3.1 Кабели подразделяют по следующим признакам:
1) материалу изоляции:
- пленка полиимидно-фторопластовая (И),
- лаковая (эмалевая) изоляция (Л),
- полиэтилен высокой плотности (П),
- полиэтилен высокой плотности вулканизированный (Пв),
- композиции полипропилена, сополимеры и блоксополимеры пропилена (Пп),
- резины на основе этиленпропиленового каучука (Э),
- фторсополимеры (Ф),
- термоэластопласты (Т);
2) материалу оболочек:
- полиэтилен высокой плотности (П),
- композиции полипропилена, сополимеры и блоксополимеры пропилена (Пп),
- резины на основе этиленпропиленового каучука (Э),
- термоэластопласты (Т),
- резины на основе нитрильного каучука (Н),
- свинец и его сплавы (С).
Примечание - Для изоляции и оболочек допускается применение согласно
ГОСТ Р 51651 других материалов с обозначением соответствующей буквой (сочетанием букв);
3) конструкции подушки под броней:
- обмотка или оплетка (без обозначения),
- общая оболочка (О);
4) материалу брони:
- лента стальная оцинкованная (Б),
- лента из коррозионностойкой стали (Бк).
Примечание - Допускается применение согласно
ГОСТ Р 51651 других металлических лент с обозначением в виде сочетания прописной буквы Б и строчной буквы, указывающей материал ленты;
5) конструктивному исполнению:
- круглый (К),
- плоский (П).
3.2 Номинальное напряжение переменного тока частоты 50 Гц кабелей должно быть:
2,5 кВ - для кабелей с основными жилами сечением 6 мм2;
3,3 кВ - для кабелей с основными жилами остальных сечений.
3.3 Длительно допустимую температуру нагрева жил кабелей устанавливают в зависимости от материалов изоляции и оболочек в соответствии с таблицей 1 и указывают в технических условиях на кабели конкретных марок.
Таблица 1
Длительно допустимая температура нагрева жил кабеля, °C, не более | Материал изоляции и оболочек |
90 | Изоляция и оболочки из полиэтилена высокой плотности |
100 | Изоляция и оболочки из композиций полипропилена |
110 | Изоляция и оболочки из термоэластопластов |
120 | Изоляция и оболочки из вулканизированного полиэтилена высокой плотности, сополимеров и блоксополимеров пропилена |
130 | Оболочки из резины на основе нитрильного каучука |
160 | Изоляция из фторопласта и фторсополимеров |
200 | Полиимидно-фторопластовая изоляция, изоляция и оболочки из резины на основе этиленпропиленового каучука, а также оболочки из свинца и его сплавов |
Для кабелей с разнородными материалами слоев изоляции и оболочек длительно допустимую температуру нагрева жил устанавливают по материалу с меньшей нагревостойкостью.
3.4 Число основных жил в кабелях - три.
Число контрольных жил выбирают из ряда 0; 1; 2; 3; 4.
3.5 Номинальное сечение основных жил выбирают из ряда 6; 8; 10; 13,3; 16; 21,15; 25; 35 и 50 мм2.
Номинальное сечение контрольных жил выбирают из ряда 0,5; 0,75; 1,0; 1,5 и 2,5 мм2.
3.6 Наружные размеры кабелей должны соответствовать указанным в таблице 2.
Таблица 2
Номинальное сечение основных жил, мм2 | Наружные размеры (диаметр) кабеля, мм, не более |
круглого | плоского |
6 и 8 | 25,0 | 10,7 x 27,0 |
10 | 29,0 | 13,6 x 33,8 |
13,3 и 16 | 32,0 | 15,0 x 37,4 |
21,15 и 25 | 35,6 | 16,2 x 42,5 |
35 | 38,3 | 18,0 x 48,2 |
50 | 44,0 | 19,7 x 52,3 |
3.7 Структура обозначения марок кабелей следующая:
К x x x x x x - xx или xxx
─┬─ ─┬─ ─┬─ ─┬─ ─┬─ ─┬─ ─┬─ ────┬─────
│ │ │ │ │ │ │ │ Кабель
└───┼───┼───┼───┼───┼───┼────────┼────────────────────────────────────────
│ │ │ │ │ │ │ Материал первого слоя изоляции
└───┼───┼───┼───┼───┼────────┼────────────────────────────────────────
│ │ │ │ │ │ Материал второго слоя изоляции
│ │ │ │ │ │ (при его наличии)
└───┼───┼───┼───┼────────┼────────────────────────────────────────
│ │ │ │ │ Материал оболочки (при ее наличии)
└───┼───┼───┼────────┼────────────────────────────────────────
│ │ │ │ Подушка в виде общей оболочки
│ │ │ │ (при ее наличии)
└───┼───┼────────┼────────────────────────────────────────
│ │ │ Материал брони
└───┼────────┼────────────────────────────────────────
│ │ Конструктивное исполнение
└────────┼────────────────────────────────────────
│ Длительно допустимая температура
│ нагрева жил
└────────────────────────────────────────
Примечание - При выполнении слоев изоляции из однородных материалов обозначение материала изоляции указывают один раз.
Примеры условных обозначений:
кабеля с медными жилами, с двухслойной полиэтиленовой изоляцией, бронированного стальной оцинкованной лентой, круглого, с длительно допустимой температурой нагрева жил 90 °C, с тремя основными жилами номинальным сечением 16 мм2:
Кабель КПБК-90 3 x
16 ТУ <*>
кабеля с медными жилами, с изоляцией из полиимидно-фторопластовой пленки и фторсополимера, со свинцовыми оболочками жил, бронированного стальной оцинкованной лентой, плоского, с длительно допустимой температурой нагрева жил 160 °C, с тремя основными жилами номинальным сечением 10 мм2 и двумя контрольными жилами номинальным сечением 0,5 мм2:
Кабель КИФСБП-160 3 x 10 + 2 x 0,5 ТУ <*>
--------------------------------
<*> Обозначение технических условий на кабель конкретной марки.
4. Общие технические требования
4.1.1 Кабели должны быть изготовлены в соответствии с требованиями настоящего стандарта и технических условий на кабели конкретных марок по технологической документации, утвержденной в установленном порядке.
4.1.2 Кабели должны соответствовать климатическому исполнению УХЛ, категорий размещения 1 и 5 по
ГОСТ 15150, для эксплуатации в скважинной жидкости.
4.2.1. Конструктивные требования
4.2.1.1 Конструкция и конструктивные размеры кабелей должны быть указаны в технических условиях на кабели конкретных марок.
4.2.1.2 В таблицу (текст) основных конструктивных размеров кабелей должны входить:
- марки кабелей;
- число и номинальное сечение основных жил, мм2;
- число и номинальное сечение контрольных жил, мм2;
- номинальная толщина изоляции жил, мм;
- номинальный диаметр изолированных жил, мм;
- номинальная толщина оболочек жил, мм;
- номинальный диаметр оболочек жил, мм;
- максимальные наружные размеры кабелей, мм.
При двухслойной изоляции, если слои выполнены из разнородных материалов, должны быть указаны номинальные толщины и диаметры каждого слоя изоляции.
Предельные отклонения от номинальных толщин изоляции и оболочек, а также от номинальных диаметров изолированных жил и оболочек должны быть указаны в технических условиях на кабели конкретных марок.
При наличии в кабелях подушки под броней в виде общей оболочки должны быть указаны ее номинальные наружные размеры и предельные отклонения от них.
Допускается указывать другие конструктивные размеры по усмотрению разработчика кабеля.
4.2.1.3 Токопроводящие жилы должна быть изготовлены из медной проволоки.
Жилы номинальным сечением 6; 8; 10; 16; 25; 35 и 50 мм
2 должны соответствовать классу 1 или 2 по
ГОСТ 22483.
Жилы номинальным сечением 0,5; 0,75; 1,0; 1,5 и 2,5 мм
2 должны соответствовать классу 2 по
ГОСТ 22483.
Жилы номинальным сечением 13,3 и 21,15 мм
2 могут быть одно- или семипроволочными и должны соответствовать ГОСТ 22483
(раздел 2).
Многопроволочные жилы должны иметь заполнение промежутков между проволоками герметизирующим материалом.
Допускается лужение проволок жил оловянно-свинцовыми припоями.
4.2.1.4 Поверх токопроводящей жилы должна быть наложена изоляция. Изоляция должна плотно прилегать к жиле. В изоляции не должно быть пор и инородных включений, а на ее поверхности - трещин, вмятин и утолщений, выводящих номинальные размеры изолированной жилы за предельные отклонения.
4.2.1.5 Пластмассовая изоляция и изоляция из термоэластопластов должна быть наложена в два слоя.
Допускается выполнение слоев изоляции из разнородных материалов.
Слои изоляции должны отличаться один от другого по цвету.
4.2.1.6 Диаметры изолированных жил в любом поперечном сечении кабеля не должны отличаться более чем на 10%.
Починка изоляции жил при изготовлении кабелей не допускается.
4.2.1.7 Поверх изолированной жилы может быть наложена оболочка. Оболочка должна плотно прилегать к изоляции жилы и легко отделяться от нее без повреждения изоляции.
В оболочке не должно быть пор, инородных включений и трещин, а на ее поверхности - вмятин и утолщений, выводящих номинальные размеры оболочки за предельные отклонения.
Наличие оболочки по изолированной жиле для кабелей с резиновой изоляцией обязательно.
4.2.1.8 Диаметры жил по оболочкам в любом поперечном сечении кабеля не должны отличаться более чем на 10%.
Починка оболочек при изготовлении кабелей не допускается.
4.2.1.9 Поверх изоляции или оболочки жилы может быть наложен бандаж в виде обмотки лентами с перекрытием не менее 50% и/или оплетки плотностью не менее 85%. Для кабелей с резиновой изоляцией и резиновыми оболочками наложение бандажей обязательно.
Бандаж должен быть плотно наложен на жилу.
4.2.1.10 Поверх скрученных жил круглых кабелей и жил плоских кабелей, уложенных параллельно, должна быть продольно проложена маркировочная лента <*> и наложена подушка под броню. В случае выполнения подушки в виде общей оболочки маркировочную ленту прокладывают поверх подушки.
--------------------------------
<*> Обязательность маркировочной ленты вводится с 01.01.2003.
Материал маркировочной ленты и обозначения на ней должны быть устойчивы к механическим воздействиям брони и влиянию внешней среды.
4.2.1.11 Подушка под броню может выполняться в виде обмотки лентами с перекрытием не менее 40%, оплетки плотностью не менее 70%, общей пластмассовой или резиновой оболочки, других конструкций, обеспечивающих защиту изоляции и оболочек жил кабеля от механических воздействий брони.
Подушка должна быть плотно наложена на жилы кабеля и легко отделяться от изоляции или оболочек жил без повреждения изоляции и оболочек.
Подушка в виде общей оболочки не должна иметь трещин и сквозных пор.
4.2.1.12 Промежутки между жилами под подушкой могут иметь заполнение.
4.2.1.13 Допускается отсутствие подушки в кабелях, имеющих бандажи поверх изоляции или оболочек жил.
4.2.1.14 Поверх подушки или жил, имеющих бандажи, должна быть наложена броня из лент, номинальные размеры которых должны соответствовать указанным в таблице 3.
Тип ленты | Конструктивное исполнение кабеля | Номинальное сечение основных жил, мм2 | Номинальные размеры ленты, мм |
Толщина | Ширина |
Стальная оцинкованная | Круглый | 6 и 8 | 0,4 | 10 - 15 |
10 - 50 | 0,5 | 10 - 15 |
Плоский | 6 и 8 | 0,4 | 15 - 20 |
10 - 50 | 0,5 | 15 - 20 |
Из коррозионно-стойкой стали | Круглый | 6 и 8 | 0,3 | 10 - 15 |
10 - 50 | 0,4 | 10 - 15 |
Плоский | 6 и 8 | 0,3 | 15 - 20 |
10 - 50 | 0,4 | 15 - 20 |
При использовании для бронирования кабелей лент других типов номинальная ширина лент должна соответствовать указанной в
таблице 3, а номинальная толщина лент должна быть указана в технических условиях на кабели конкретных марок.
4.2.1.15 При бронировании кабелей ленты должны иметь профили:
- S-образный (рисунок 1) - для круглых кабелей;
- ступенчатый противозадирный
(рисунок 2) - для плоских кабелей.
Рисунок 1
Броня должна быть наложена:
- "в замок" - на круглых кабелях;
- с перекрытием 30 - 50% - на плоских кабелях.
Не допускаются расхождение и набегание друг на друга витков брони.
4.2.1.16 Номинальная строительная длина кабелей, предельные отклонения от нее, а также поставка строительных длин в двух отрезках и минимальная длина меньшего из них согласовываются с заказчиком.
4.2.1.17 Расчетная масса кабелей должна быть указана в технических условиях на кабели конкретных марок в качестве справочного материала.
4.2.1.18 В технических условиях на кабели конкретных марок в разделе "Технические требования" или в приложении к техническим условиям должны быть приведены схематические чертежи поперечного сечения кабелей.
4.2.1.19 Марки (рецептуры) материалов, применяемых для изготовления кабелей, должны быть указаны в технических условиях на кабели конкретных марок. Выбор и замена материалов, а также применение новых материалов должны производиться согласно
ГОСТ Р 51651.
4.2.2. Требования к электрическим параметрам
4.2.2.1 Электрическое сопротивление токопроводящих жил постоянному току, пересчитанное на длину 1 км и температуру 20 °C, должно соответствовать:
- сечением 0,5; 0,75; 1,0; 1,5; 2,5; 6; 8; 10; 16; 25; 35 и 50 мм
2 -
ГОСТ 22483;
- сечением 13,3 и 21,15 мм2 - указанному в таблице 4.
Таблица 4
Номинальное сечение жилы, мм2 | Электрическое сопротивление токопроводящей жилы на длине 1 км при 20 °C, Ом, не более |
13,3 | 1,400 |
21,15 | 0,863 |
4.2.2.2 Электрическое сопротивление изоляции основных жил и готового кабеля, пересчитанное на длину 1 км и температуру 20 °C, должно быть не менее:
2500 МОм - для кабелей с пластмассовой изоляцией и изоляцией из термоэластопластов;
500 МОм - для кабелей с резиновой изоляцией.
4.2.2.3 Изолированные основные жилы и готовые кабели должны выдержать испытание напряжением постоянного тока в течение не менее 5 мин.
Значения испытательного напряжения и ток утечки изоляции, замеренный в конце испытания напряжением и пересчитанный на длину 1 км и температуру 20 °C, должны соответствовать указанным в таблице 5.
Таблица 5
Номинальное напряжение кабеля, кВ | Испытательное напряжение, кВ | Ток утечки изоляции при испытательном напряжении, А, не более, для кабелей |
с пластмассовой изоляцией и изоляцией из термоэластопластов | с резиновой изоляцией |
2,5 | 14,5 | 1·10-5 | 5·10-5 |
3,3 | 18,0 |
4.2.2.4 Требования к электрическим параметрам контрольных жил кабелей должны быть указаны в технических условиях на кабели конкретных марок.
4.2.3. Требования стойкости к механическим воздействиям
4.2.3.1 Кабели должны быть стойкими к изгибам при навивании на цилиндр диаметром, равным 15-кратному максимальному диаметру кабеля.
4.2.3.2 Кабели должны выдерживать раздавливающую нагрузку не менее:
98 кН (10 тс) - для кабелей с основными жилами сечением 6 и 8 мм2;
158 кН (16 тс) - для кабелей с основными жилами остальных сечений.
4.2.3.3 Изолированные жилы кабелей должны быть продольно герметичны при перепаде давления жидкости 0,02 МПа на 1 м длины.
4.2.4. Требования стойкости к внешним воздействующим факторам
4.2.4.1 Кабели в статическом состоянии должны быть стойкими к воздействию температуры воздуха до минус 60 °C.
4.2.4.2 Кабели должны быть стойкими к воздействию смены температур от минус 60 °C до длительно допустимой температуры нагрева жил.
4.2.4.3 Кабели должны выдерживать изгибы вокруг роликов диаметром, равным 15-кратному максимальному диаметру кабеля, при температуре воздуха не ниже:
- минус 30 °C - для кабелей с изоляцией и оболочками и композиций полипропилена, сополимеров и блоксополимеров пропилена;
- минус 35 °C - для кабелей с изоляцией и оболочками из полиэтилена высокой плотности;
- минус 40 °C - для кабелей с изоляцией и оболочками из термоэластопластов, фторопластов и резин на основе этиленпропиленового каучука, оболочками из резин на основе нитрильного каучука, свинца и его сплавов.
4.2.4.4 Кабели должны выдерживать изгибы вокруг роликов диаметром, равным 15-кратному максимальному диаметру кабеля, при смене температур от 90 °C до отрицательных температур по
4.2.4.3.
4.2.5. Требования надежности
Средний срок службы кабелей должен быть не менее пяти лет.
В комплект поставки должны входить:
- кабель;
- заготовка брони и другие материалы для ремонтных нужд (по согласованию с заказчиком);
- паспорт качества на кабель по форме, утвержденной в установленном порядке, с указанием электрического сопротивления и токов утечки изоляции жил кабеля на период приемки и поставки.
4.4.1 Маркировка кабелей должна соответствовать
ГОСТ 18690.
4.4.2 Маркировка должна быть нанесена на маркировочную ленту по
4.2.1.10 с интервалом не более 0,5 м и содержать:
- условное обозначение кабеля (без указания обозначения технических условий);
- наименование или кодовое обозначение, или товарный знак предприятия-изготовителя;
- месяц и год выпуска.
4.4.3 На щеке барабана или ярлыке, прикрепленном к барабану, должно быть указано:
- условное обозначение кабеля и технических условий;
- товарный знак или наименование предприятия-изготовителя;
- заводской номер по системе нумерации предприятия-изготовителя;
- длина, м;
- масса брутто, кг;
- дата изготовления (месяц, год).
При поставке кабеля строительной длины в двух отрезках должна быть указана длина каждого отрезка.
На ярлыке должно быть проставлено клеймо технического контроля.
4.4.4 С обоих концов кабеля или отрезков, составляющих строительную длину, на броне или изоляции, или оболочках должно быть проставлено устойчивое клеймо или другой знак предприятия-изготовителя.
4.4.5 Дополнительные требования по маркировке согласовываются с заказчиком.
4.5.1 Упаковка кабелей должна соответствовать требованиям
ГОСТ 18690.
4.5.2 Кабели должны поставляться на металлических барабанах по ОСТ 16 0.684-014 упакованными матами по
ГОСТ 5151.
Допускается поставка кабелей на металлических барабанах других конструкций, согласованных с заказчиком.
4.5.3 Намотка кабеля на барабан должна быть ровной, без ослабления и перепутывания витков.
4.5.4 Намотка плоского кабеля на барабан должна производиться таким образом, чтобы открытые кромки витков брони были обращены в сторону, противоположную намотке (по согласованию с заказчиком).
4.5.5 Длина нижнего конца кабеля, располагаемого внутри шейки барабана, должна быть не менее 0,5 м.
4.5.6 Закрепление концов кабеля на барабане должно обеспечивать сохранность кабеля при транспортировании.
4.5.7 При поставке строительной длины кабеля в двух отрезках меньший отрезок должен быть расположен на внешней стороне намотки.
4.5.8 Паспорт качества на кабель должен быть помещен в водонепроницаемую упаковку и прикреплен внутри шейки барабана.
4.5.9 Требования к упаковке материалов для ремонтных нужд и размещению перечня этих материалов в упаковке должны быть согласованы с заказчиком.
5. Требования безопасности
5.2 Экологические требования при необходимости должны быть указаны в технических условиях на кабели конкретных марок.
Правила приемки кабелей должны соответствовать
ГОСТ 15.309, требованиям настоящего стандарта и технических условий на кабели конкретных марок.
Для проверки соответствия кабелей установленным требованиям назначаются следующие виды контрольных испытаний:
- приемосдаточные;
- периодические;
- типовые.
6.3. Приемосдаточные испытания
6.3.1 Кабели предъявляют к приемке партиями. За партию принимают количество кабелей одного маркоразмера, одновременно предъявляемое к сдаче, объемом от 1 до 50 поставочных единиц (барабанов).
6.3.2 Состав и последовательность испытаний в пределах каждой группы должны соответствовать указанным в таблице 6.
Таблица 6
Группа испытаний | Вид испытаний и проверок | Пункт |
технических требований | методов контроля |
С-1 | Проверка конструкции и конструктивных размеров | | |
С-2 | Проверка электрического сопротивления изоляции | | |
С-3 | Испытание напряжением с определением тока утечки изоляции | | |
С-4 | Проверка комплектности, маркировки и упаковки | | |
6.3.4 При испытаниях применяют сплошной контроль с приемочным числом C = 0 для групп С-1 - С-3 и C = 2 для группы С-4.
6.4. Периодические испытания
6.4.1 Испытания проводят в объеме и последовательности в пределах, каждой группы согласно
таблице 7 не реже одного раза в год. Испытания проводят по плану выборочного двухступенчатого контроля на выборках
n1 = 3,
n2 = 6 образцов с приемочным числом
C1 = 0 и браковочным числом
C2 = 2 для первой выборки и приемочным числом
C3 = 1 для суммарной (
n1 и
n2) выборки.
В выборки включают случайным отбором образцы последней принятой партии.
Группа испытаний | Вид испытаний и проверок | Пункт |
технических требований | методов контроля |
П-1 | Проверка электрического сопротивления токопроводящей жилы | | |
П-2 | Испытание на изгиб | | |
П-3 | Испытание на раздавливание | | |
П-4 | Испытание на герметичность | | |
П-5 | Испытание на стойкость к воздействию пониженной температуры воздуха в статическом состоянии | | |
Испытание на стойкость к воздействию смены температур | | |
Испытание на стойкость к воздействию изгибов при пониженной температуре воздуха | | |
6.4.2 Испытания по группам проводят на самостоятельных выборках.
6.5.1 Испытания проводят по программе, утвержденной в установленном порядке. По результатам испытаний, оформленных протоколом и актам, принимают решение о возможности и целесообразности внесения изменений в техническую документацию.
Надежность
(4.2.5) не проверяют. Параметр обеспечивается применяемыми материалами, конструкцией и технологией изготовления.
6.5.2 Испытание на стойкость к изгибам при смене температур
(4.2.4.4) проводят по
7.5.3.
7.1.1 Все испытания и измерения, если в их изложении нет особых указаний, должны быть проведены в нормальных климатических условиях по
ГОСТ 15150.
7.1.2 Внешний осмотр проводят без применения увеличительных приборов.
7.2. Проверка конструкции
Конструкцию и конструктивные размеры (
4.2.1.1 -
4.2.1.16) проверяют измерениями по
ГОСТ 12177 и внешним осмотром при разделке концов кабеля.
7.3. Проверка электрических параметров
7.3.1 Электрическое сопротивление токопроводящей жилы
(4.2.2.1) проверяют на строительной длине или на образцах по
ГОСТ 7229.
7.3.2 Электрическое сопротивление изоляции основных жил и готового кабеля
(4.2.2.2) проверяют по
ГОСТ 3345 на изделиях, намотанных на барабан.
Электрическое сопротивление изоляции основных жил проверяют в воде после их выдержки в ней не менее 1 ч. Значения коэффициента K для приведения электрического сопротивления изоляции к температуре 20 °C указывают в технических условиях на кабели конкретных марок.
7.3.3 Испытание напряжением изолированных основных жил и готовых кабелей
(4.2.2.3) проводят по
ГОСТ 2990 на изделиях, намотанных на барабан, с определением тока утечки изоляции согласно
приложению А.
Испытание напряжением изолированных основных жил проводят в воде после их выдержки в ней не менее 1 ч.
7.3.4 Допускается проведение испытаний изолированных основных жил по
4.2.2.2,
4.2.2.3 за один цикл погружения их в воду.
7.4. Проверка стойкости к механическим воздействиям
7.4.1 Испытание на изгиб
(4.2.3.1) проводят изгибанием образца кабеля длиной не менее 3 м на угол 360° вокруг цилиндра диаметром, равным 15-кратному максимальному диаметру кабеля. Для плоского кабеля за диаметр принимают значение, численно равное отношению максимального наружного периметра к числу

. При этом не должно происходить раскрытие замков брони на круглом кабеле или образование зазоров между кромками витков брони и зазоров более 1 мм между витками брони на плоском кабеле.
7.4.2 Испытание на раздавливание
(4.2.3.2) проводят на образцах кабеля длиной не менее 1 м, уложенных между двумя пластинами номинальными размерами 140 x 140 мм, установленными в гидравлическом прессе или другом устройстве, обеспечивающем сжатие образцов со скоростью 0,001 - 0,005 м/с и усилием не менее указанного в
4.2.3.2.
Для определения момента замыкания между жилами и/или между жилами и броней используют контрольную аппаратуру.
В момент замыкания фиксируют раздавливающее усилие по манометру или другому прибору с пределом измерений до 25 МПа, класса точности 1. Раздавливающее усилие определяют как среднее арифметическое значение результатов трех испытаний для каждой схемы подключения образцов.
7.4.3 Испытание на герметичность изолированных жил кабеля
(4.2.3.3) проводят на образце кабеля длиной (5 +/- 0,1) м. Для этого на одном из концов кабеля предварительно снимают броню на длине не менее 0,3 м и изолированные жилы поочередно подсоединяют к маслопроводу. Испытание проводят при давлении (0,1 +/- 0,012) МПа трансформаторного масла по
ГОСТ 982 или
ГОСТ 10121. Давление контролируют манометром или другим прибором с пределом измерения 0,16 МПа, класса точности 2,5.
Каждую жилу выдерживают под давлением в течение (2,5 +/- 0,1) ч. При этом на торцах жил кабеля, противоположных торцам, к которым присоединяют маслопровод, не должно быть следов масла.
7.5. Проверка стойкости к внешним воздействующим факторам
7.5.1 Испытание на стойкость к воздействию пониженной температуры воздуха в статическом состоянии
(4.2.4.1) и смены температур
(4.2.4.2) проводят по
ГОСТ 16962.1 (метод 205-1) на образцах кабеля длиной не менее 5 м, свернутых в бухту с внутренним диаметром не менее 0,7 м.
В каждом цикле испытаний образцы выдерживают в камере холода при температуре минус (60 +/- 2) °C, затем - в камере тепла при установленной длительно допустимой температуре нагрева жил с отклонением +/- 2 °C. Время переноса образцов из камеры холода в камеру тепла и обратно не должно превышать 3 мин. Образцы выдерживают при указанных температурах в каждой из камер не менее 3 ч. Общее число циклов воздействия пониженной и повышенной температур - три.
Допускается перерыв между циклами не более 48 ч.
После последнего температурного цикла образцы выдерживают в нормальных климатических условиях не менее 3 ч. Затем образцы испытывают на соответствие требованиям
4.2.2.3 в воде без определения тока утечки изоляции.
7.5.2 Испытание на стойкость к изгибам при пониженной температуре воздуха
(4.2.4.3) проводят на образцах кабеля длиной не менее 1,5 м в следующем порядке.
7.5.2.1 Образец устанавливают в испытательное приспособление так, чтобы один из его концов был жестко закреплен, а сам образец был зафиксирован между роликами; длина свободного конца образца должна позволять его изгибание вокруг роликов.
Диаметр роликов должен быть равен 15-кратному максимальному диаметру кабеля. Для плоского кабеля за диаметр принимают значение, равное отношению максимального наружного периметра к числу

.
7.5.2.2 Приспособление с образцом помещают в камеру холода и выдерживают при температуре, допустимой для испытуемого кабеля, не менее 4 ч.
7.5.2.3 После выдержки в камере холода образец подвергают трем циклам изгибов вокруг роликов в противоположных направлениях со скоростью не менее одного изгиба в 3 с. Образец должен быть изогнут на угол не менее 90° в каждую сторону.
За один цикл принимают изгиб вправо (влево), выпрямление, изгиб влево (вправо) и выпрямление.
Допускается производить изгибы в нормальных климатических условиях не более чем через 5 мин после извлечения образца из камеры холода.
7.5.2.4 После последнего цикла изгибов образец выдерживают в нормальных климатических условиях не менее 3 ч, после чего испытывают на соответствие требованиям
4.2.2.3 в воде без определения тока утечки изоляции.
7.5.3 Испытание на стойкость к изгибам при смене температур
(4.2.4.4) проводят на образце кабеля длиной не менее 1,5 м в следующем порядке.
7.5.3.1 Образец устанавливают в испытательное приспособление так, чтобы один из его концов был жестко закреплен, а сам образец был зафиксирован между роликами; длина свободного конца образца должна позволять его изгибание вокруг роликов.
Диаметр роликов должен быть равен 15-кратному максимальному диаметру кабеля. Для плоского кабеля за диаметр принимают значение, равное отношению максимального наружного периметра к числу

.
7.5.3.2 Приспособление с образцом помещают в камеру тепла и выдерживают при температуре (90 +/- 2) °C не менее 4 ч.
7.5.3.3 После выдержки в камере тепла образец подвергают трем циклам изгибов вокруг роликов в противоположных направлениях со скоростью не менее одного изгиба в 3 с. Образец должен быть изогнут на угол не менее 90° в каждую сторону.
За один цикл принимают изгиб вправо (влево), выпрямление, изгиб влево (вправо) и выпрямление.
Допускается производить изгибы в нормальных климатических условиях не более чем через 5 мин после извлечения образца из камеры тепла.
7.5.3.4 Не более чем через 5 мин после испытания по
7.5.3.3 приспособление с образцом помещают в камеру холода с температурой, допустимой для испытуемого кабеля.
7.5.3.5 После выдержки в камере холода не менее 4 ч образец подвергают трем циклам изгибов по
7.5.3.3.
Допускается производить изгибы в нормальных климатических условиях не более чем через 5 мин после извлечения образца из камеры холода.
7.5.3.6 После последнего цикла изгибов образец выдерживают в нормальных климатических условиях не менее 3 ч, после чего испытывают на соответствие требованиям
4.2.2.3 в воде без определения тока утечки изоляции.
7.6. Проверка комплектности, маркировки и упаковки
8. Транспортирование и хранение
8.1 Транспортирование и хранение кабелей должны соответствовать требованиям
ГОСТ 18690.
8.2 Условия транспортирования и хранения кабелей в части воздействия климатических факторов внешней среды должны соответствовать группе ОЖ3 по
ГОСТ 15150.
9. Указания по эксплуатации
9.1 Потребитель осуществляет входной контроль кабелей по требованиям и нормам, установленным настоящим стандартом и техническими условиями на кабели конкретных марок для приемосдаточных испытаний, при этом допускаются проверки кабеля по
4.2.2.2,
4.2.2.3 в воде.
9.2 Радиусы изгиба кабелей при спуско-подъемных и перемоточных операциях должны быть не менее:
380 мм - для кабелей с основными жилами сечением не более 35 мм2;
450 мм - для кабелей с основными жилами сечением 50 мм2.
9.3 Допускаются перемотки кабелей с пластмассовой изоляцией и спуско-подъемные операции с ними при температуре воздуха не ниже минус 40 °C в условиях искусственного обогрева кабеля, обеспечивающего температуру не ниже указанной в
4.2.4.3.
9.4 Спуск кабеля в скважину и подъем из нее должны производиться плавно со скоростью не более 0,25 м/с. При прохождении участков колонны труб скважины кривизной более 1,5° на 10 м и мест перехода колонны на меньший диаметр труб скорости спуска и подъема не должны быть более 0,1 м/с.
При креплении кабеля к насосно-компрессорным трубам и свинчивании труб не допускаются закручивание кабеля вокруг труб, а также перекручивание плоского кабеля относительно собственной оси.
9.5 Кабели предназначены для эксплуатации в скважинной жидкости, содержащей нефть, а также воду и газ со следующими показателями.
9.5.1 Содержание воды - до 100%.
9.5.2 Водородный показатель попутной воды pH 6,0 - 8,5.
9.5.3 Концентрация сероводорода, % (г/л), не более:
0,001 (0,01) - для кабелей с броней из стальной оцинкованной ленты:
0,125 (1,25) - для кабелей с броней из коррозионностойкой стальной ленты.
9.5.4 Гидростатическое давление, МПа, не более:
35 - для кабелей с жилами в свинцовых оболочках;
25 - для остальных кабелей.
9.5.5 Газовый фактор, м3/м3, не более:
200 - для кабелей с изоляцией и оболочками из термоэластопластов и резин;
500 - для остальных кабелей, в том числе для кабелей с резиновой изоляцией жил в свинцовых оболочках.
9.6 Допустимые токи нагрузки кабелей при температуре скважинных сред и воздуха от 20 °C до длительно допустимых температур нагрева жил, рассчитанные согласно
приложению Б, должны быть указаны в технических условиях на кабели конкретных марок.
9.7 Рекомендуемое испытательное напряжение постоянного тока при проверках кабелей, эксплуатировавшихся в скважинах, не более:
10 кВ - для кабелей на номинальное напряжение 2,5 кВ;
12 кВ - для кабелей на номинальное напряжение 3,3 кВ.
Допускаются проверки электрических параметров кабелей у потребителя в воде, в т.ч. диагностические проверки напряжением постоянного тока не более 20 кВ для кабелей с пластмассовой изоляцией и не более 14,5 кВ для кабелей с резиновой изоляцией на номинальное напряжение 2,5 кВ, не более 25 кВ для кабелей с пластмассовой изоляцией и не более 18 кВ для кабелей с резиновой изоляцией на номинальное напряжение 3,3 кВ в течение суммарного времени не более 5 мин.
Допускаются другие методы диагностики кабелей у потребителя по согласованию с разработчиком настоящего стандарта.
9.8 В технических условиях на кабели конкретных марок должны быть указаны рекомендации:
- по снижению усадки разделанных концов кабеля при сращивании, муфтовании и ремонтах - для кабелей с пластмассовой изоляцией и изоляцией из термоэластопластов;
- по времени разгазирования изоляции кабеля после подъема из скважины - для кабелей с резиновыми изоляцией и оболочками.
9.9 В технических условиях на кабели конкретных марок в качестве справочных материалов должны быть указаны значения электрического сопротивления жил и изоляции кабелей при температуре от 20 °C до длительно допустимой температуры нагрева жил или приведены соответствующие формулы и коэффициенты для их расчетов.
9.10 При эксплуатации кабелей необходимо руководствоваться правилами безопасности, принятыми в конкретной отрасли.
10. Гарантии изготовителя
10.1 Изготовитель гарантирует соответствие кабелей требованиям настоящего стандарта и технических условий на кабели конкретных марок при соблюдении потребителем правил транспортирования, хранения, монтажа и эксплуатации.
Гарантийный срок эксплуатации кабелей - 18 мес со дня ввода в эксплуатацию, но не более 24 мес со дня отгрузки потребителю.
10.2 Гарантии распространяются на кабели строительных длин и взятые от них отрезки длиной не менее 20 м.
(обязательное)
ОПРЕДЕЛЕНИЕ ТОКА УТЕЧКИ ИЗОЛЯЦИИ КАБЕЛЕЙ
А.1 Отбор и подготовка образцов
А.1.1 Для испытания берут отрезок кабеля или изолированной жилы, намотанный на барабан. Длина образца должна быть не менее 50 м, не считая концов, разделанных для подсоединения к испытательной аппаратуре.
А.1.2 С обоих концов образца удаляют:
- броню и подушку (если имеются) на длине 320 - 350 мм;
- оболочки жил (если имеются) на длине 270 - 300 мм, при этом повреждение изоляции жил не допускается;
- изоляцию жил на длине 80 - 100 мм.
Оголенные участки жил зачищают шлифовальной шкуркой до металлического блеска.
А.2 Проведение испытания
А.2.1 Испытание проводят в нормальных климатических условиях по
ГОСТ 15150.
А.2.2 Барабан с образцом помещают в емкость с водой так, чтобы вода полностью покрывала образец, при этом оба разделанных конца кабеля должны быть выведены из воды на длину не менее 500 мм и неподвижно закреплены. Время выдержки образца в воде до испытания - не менее 1 ч. Допускается испытание образцов кабеля на воздухе без погружения в воду.
А.2.3 На обоих концах образца разводят жилы на угол (120 +/- 30)° относительно друг друга.
А.2.4 Разделанные концы на длине не менее 300 мм тщательно протирают ветошью, смоченной в ацетоне или спирте, и просушивают.
С целью снижения влияния на результаты испытаний поверхностных токов утечки рекомендуется покрывать изоляцию разделанных концов на длине не менее 150 мм тонким слоем кремнийорганической пасты типа КПД; не допускается попадание пасты на оголенные участки токопроводящих жил.
А.2.5 Проводят контрольное измерение электрического сопротивления изоляция образца по
ГОСТ 3345, которое при пересчете на длину 1 км и температуру 20 °C должно быть не менее указанного в технических условиях на кабель конкретной марки. При пересчете используют коэффициент
K для приведения замеренного значения электрического сопротивления изоляции к температуре 20 °C, указанный в технических условиях на кабель конкретной марки.
А.2.6 Подсоединяют один из концов образца к испытательной аппаратуре и подают постоянное напряжение согласно
ГОСТ 2990. Значение испытательного напряжения устанавливают согласно указанному в технических условиях на кабель конкретной марки.
А.2.7 При установленном напряжении не ранее чем через 5 мин после его приложения определяют по показаниям микроамперметра фактическое значение тока утечки изоляции образца, которое при пересчете на длину 1 км и температуру 20 °C не должно быть более указанного в технических условиях на кабель конкретной марки. Для образцов кабеля ток утечки изоляции определяют отдельно для каждой жилы.
А.3 Обработка результатов испытаний
Измеренное значение тока утечки пересчитывают на длину 1 км и температуру 20 °C по формуле

, (А.1)
где Iу - ток утечки, пересчитанный на длину 1 км и температуру 20 °C, А;
Iизм - измеренное значение тока утечки, А;
K - коэффициент для приведения электрического сопротивления изоляции к температуре 20 °C, указанный в технических условиях на кабель конкретной марки;
L - длина образца на барабане, км.
(обязательное)
РАСЧЕТ ДЛИТЕЛЬНО ДОПУСТИМЫХ ТОКОВ НАГРУЗКИ КАБЕЛЕЙ
Б.1 Исходные данные для расчета
Б.1.1 Конструктивные размеры:
- номинальный диаметр токопроводящей жилы d, мм;
- номинальный наружный диаметр первого слоя изоляции жилы d1, мм;
- номинальный наружный диаметр второго слоя изоляции жилы d2, мм;
- номинальный наружный диаметр оболочки жилы dо, мм;
- номинальный наружный диаметр бандажа поверх оболочки жилы dб, мм;
- номинальный диаметр по скрутке жил Dс, мм;
- номинальный наружный диаметр подушки под броней Dп, мм;
- максимальный наружный диаметр круглого кабеля D, мм;
- максимальные наружные размеры плоского кабеля: толщина H и ширина B, мм.
Примечания
1 Размеры указаны для основных жил кабеля.
2 Для плоского кабеля значения
Dс и
Dп определяют через отношения к числу

соответственно периметра поверх уложенных вместе жил и наружного периметра подушки под броней.
Б.1.2 Тепловые параметры
Б.1.2.1 Удельное тепловое сопротивление, °C·см·Вт-1:
- материала первого слоя изоляции

;
- материала второго слоя изоляции

;
- материала оболочки

;
- материала бандажа поверх оболочки

;
- материала подушки под броней

.
Б.1.2.2 Удельное тепловое сопротивление, °C·см2·Вт-1:
- теплоперехода от поверхности кабеля в воду и от воды к обсадной трубе скважины

;
- теплоперехода от поверхности кабеля в скважинную жидкость (нефть) и от скважинной жидкости к обсадной трубе скважины

;
- теплоизлучению от поверхности кабеля в воздушную среду

.
Б.1.2.3 Температурные параметры:
- длительно допустимая температура нагрева жил кабеля T, °C;
- температура окружающей среды Tср, °C;
- температурный коэффициент электрического сопротивления материала токопроводящей жилы

, °C
-1.
Рекомендуемые значения удельного теплового сопротивления основных материалов и сред приведены в таблице Б.1.
Таблица Б.1
Параметр | Значение |
Удельное тепловое сопротивление материала  ,  ,  ,  ,  , °C·см·Вт -1: | |
- полиэтилен, композиции полипропилена и сополимеры пропилена | 400 |
- термоэластопласты | 600 |
- резины | 750 |
- фторсополимеры | 1000 |
- материалы оплеток и лент для наложения бандажей и подушек | 650 |
- свинец и его сплавы | 3 |
Удельное тепловое сопротивление теплоперехода от поверхности кабеля в воду и от воды к обсадной трубе скважины  , °C·см 2·Вт -1 | 104 |
Удельное тепловое сопротивление теплоперехода от поверхности кабеля в скважинную жидкость (нефть) и от скважинной жидкости к обсадной трубе скважины  , °C·см 2·Вт -1 | 425 |
Удельное тепловое сопротивление теплоизлучению от поверхности кабеля в воздушную среду  , °C·см 2·Вт -1 | 1100 |
Б.1.3 Прочие данные:
- электрическое сопротивление токопроводящей жилы по
4.2.2.1 R, Ом;
- внутренний диаметр обсадной трубы скважины Dтр, мм.
Рекомендуемые значения внутреннего диаметра обсадной трубы нефтяной скважины приведены в таблице Б.2.
Таблица Б.2
Номинальное сечение токопроводящих жил кабеля, мм2 | Внутренний диаметр обсадной трубы скважины, мм |
До 16 включ. | 121,7 |
Св. 16 до 25 включ. | 130,0 |
" 25 " 50 " | 144,3 |
Б.2 Порядок расчета
Б.2.1 Тепловое сопротивление кабеля Sк, °C·см·Вт-1
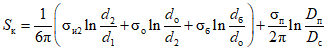
Б.2.1.1 Тепловое сопротивление кабеля с двухслойной изоляцией жил, оболочками, бандажами поверх оболочек, с подушкой под броней в виде обмоток лентами и/или оплеток:

. (Б.1)
При отсутствии в кабеле одного или нескольких элементов конструкции их
формулы исключают соответствующие слагаемые. При применении в бандажах или подушке нескольких материалов с различным удельным тепловым сопротивлением значения

или

устанавливают по материалу с наибольшим удельным тепловым сопротивлением.
Б.2.1.2 Тепловое сопротивление кабеля по
Б.2.1.1, если слои изоляции выполнены из материалов с равным удельным тепловым сопротивлением:

. (Б.2)
Б.2.1.3 Тепловое сопротивление кабеля по
Б.2.1.1, если слои изоляции и оболочки выполнены из материалов с равным удельным тепловым сопротивлением:

. (Б.3)
Б.2.1.4 Тепловое сопротивление кабеля с контрольными жилами или заполнением между основными жилами, с подушкой под броней в виде обмоток лентами и/или оплеток:

, (Б.4)
где dн - наружный диаметр основной жилы под подушкой, мм, численно равный d1, d2, dо или dб в зависимости от конструкции кабеля.
При применении для изоляции, оболочек, бандажей или заполнения материалов с различным удельным тепловым сопротивлением значение

устанавливают по материалу с наибольшим удельным тепловым сопротивлением.
При отсутствии подушки под броней из
формулы исключают второе слагаемое.
Б.2.1.5 Тепловое сопротивление кабеля по
Б.2.1.4, если подушка под броней выполнена в виде общей оболочки:

. (Б.5)
При применении для изоляции, оболочек, бандажей или подушки материалов с различным удельным тепловым сопротивлением значение

устанавливают по материалу с наибольшим удельным тепловым сопротивлением.
Б.2.2 Тепловое сопротивление окружающей среды Sср, °C·см·Вт-1
Б.2.2.1 Тепловое сопротивление при теплопередаче в воде скважины:
а) для круглого кабеля

; (Б.6)
б) для плоского кабеля

; (Б.7)
Б.2.2.2 Тепловое сопротивление по
Б.2.2.1 в воде резервуара или водоема:
а) для круглого кабеля

; (Б.8)
б) для плоского кабеля

. (Б.9)
Б.2.2.3 Тепловое сопротивление по
Б.2.2.1 в скважинной жидкости нефтяной скважины:
а) для круглого кабеля

; (Б.10)
б) для плоского кабеля

. (Б.11)
Б.2.2.4 Тепловое сопротивление при теплоизлучении в воздушной среде:
а) для круглого кабеля

; (Б.12)
б) для плоского кабеля

. (Б.13)
Б.2.2.5 Тепловое сопротивление при теплоизлучении в газовоздушной среде скважины:
а) для круглого кабеля

; (Б.14)
б) для плоского кабеля

. (Б.15)
Б.2.3 Электрическое сопротивление токопроводящей жилы Rт, Ом, при длительно допустимой температуре нагрева жилы:

. (Б.16)
Б.2.4 Длительно допустимый ток I, А, нагрузки кабеля:

(Б.17)