Главная // Актуальные документы // ГОСТ Р (Государственный стандарт)СПРАВКА
Источник публикации
М.: ИПК Издательство стандартов, 2001
Примечание к документу
С 1 июля 2003 года до вступления в силу технических регламентов акты федеральных органов исполнительной власти в сфере технического регулирования носят рекомендательный характер и подлежат обязательному исполнению только в части, соответствующей целям, указанным в
пункте 1 статьи 46 Федерального закона от 27.12.2002 N 184-ФЗ.
Документ
введен в действие с 1 июля 2001 года.
Название документа
"ГОСТ Р 51658-2000. Государственный стандарт Российской Федерации. Фильтры-экраны защитные для средств отображения информации. Типы, основные параметры и методы измерений"
(принят и введен в действие Постановлением Госстандарта России от 26.10.2000 N 278-ст)
"ГОСТ Р 51658-2000. Государственный стандарт Российской Федерации. Фильтры-экраны защитные для средств отображения информации. Типы, основные параметры и методы измерений"
(принят и введен в действие Постановлением Госстандарта России от 26.10.2000 N 278-ст)
Принят и введен в действие
Госстандарта России
от 26 октября 2000 г. N 278-ст
ГОСУДАРСТВЕННЫЙ СТАНДАРТ РОССИЙСКОЙ ФЕДЕРАЦИИ
ФИЛЬТРЫ-ЭКРАНЫ ЗАЩИТНЫЕ ДЛЯ СРЕДСТВ ОТОБРАЖЕНИЯ ИНФОРМАЦИИ
ТИПЫ, ОСНОВНЫЕ ПАРАМЕТРЫ И МЕТОДЫ ИЗМЕРЕНИЙ
Protective filter-screens for visual display units.
Types, basic parameters and measurement techniques
ГОСТ Р 51658-2000
Группа Э34
Дата введения
1 июля 2001 года
1. Разработан Московским государственным институтом электроники и математики (технический университет) с участием Всероссийского научно-исследовательского института стандартизации.
Внесен Техническим комитетом ТК 407 "Средства отображения информации".
2. Принят и введен в действие
Постановлением Госстандарта России от 26 октября 2000 г. N 278-ст.
3. Введен впервые.
Настоящий стандарт распространяется на защитные фильтры-экраны для средств отображения информации (далее - фильтры), предназначенные для защиты пользователей от вредного воздействия бликов и мерцаний изображения на экране средства отображения информации (далее - СОИ), от создаваемых СОИ электростатического поля и электрической составляющей переменного электромагнитного поля, а также для обеспечения комфортных условий восприятия и конфиденциальности информации, отображаемой на экране СОИ. В зависимости от назначения фильтры могут обладать как отдельными перечисленными свойствами, так и комплексом свойств в различных сочетаниях.
Стандарт устанавливает эргономические требования к параметрам фильтров, характеризующим степень защиты пользователей СОИ от вредных и опасных производственных факторов, влияние которых может привести к ухудшению здоровья пользователей.
В настоящем стандарте использованы ссылки на следующие стандарты:
ГОСТ 27833-88 Средства отображения информации. Термины и определения
3.1. Термины и соответствующие им определения, применяемые в настоящем стандарте, приведены в
Приложении А.
4.1. По назначению фильтры разделяют на 6 типов:
В - фильтры, корректирующие визуальные параметры отображаемой информации (блики, мерцания, контрастность и т.п.);
Э - фильтры, обеспечивающие экранировку полей СОИ;
ВЭ - фильтры, корректирующие визуальные параметры отображаемой информации и обеспечивающие экранировку полей СОИ;
ВК - фильтры, корректирующие визуальные параметры и обеспечивающие конфиденциальность отображаемой СОИ информации;
ЭК - фильтры, обеспечивающие экранировку полей СОИ и конфиденциальность отображаемой СОИ информации;
ВЭК - фильтры, корректирующие визуальные параметры, обеспечивающие экранировку полей СОИ и конфиденциальность отображаемой СОИ информации.
4.2. По конструктивно-технологическим характеристикам фильтры разделяют на 4 типа:
П - фильтры из пленочных или прозрачных полимерных материалов;
ПС - фильтры из полимерных сетчатых материалов;
МС - фильтры из металлической сетки;
С - стеклянные фильтры.
5. Требования к техническим характеристикам
5.1. Требования к визуальным параметрам
5.1.1. Средний коэффициент пропускания в диапазоне длин волн от 400 до 700 нм должен составлять от 10% до 80%. Неравномерность коэффициента пропускания рабочего поля фильтра не должна превышать +/- 10%.
5.1.2. Коэффициент зеркального отражения фильтра со стороны, обращенной к пользователю, с учетом стандартной функции относительной спектральной чувствительности глаза не должен превышать 1,0%.
5.1.3. Коэффициент зеркального отражения фильтра со стороны, обращенной к экрану СОИ, с учетом стандартной функции относительной спектральной чувствительности глаза не должен превышать 2,5%.
5.1.4. Рекомендуемые коэффициенты пропускания фильтра для стандартной внешней освещенности экрана 250 лк, а также для диапазонов свыше 250 до 1000 лк и от 1000 до 5000 лк при яркости изображения 50 и 100 кд/м2 и расстоянии наблюдения 500 - 600 мм должны быть указаны в эксплуатационных документах на конкретные типы фильтров.
5.1.5. Назначение и классификация фильтра по
4.1,
4.2 должны быть указаны в эксплуатационных документах и в наименовании конкретного типа фильтра.
5.2. Требования к параметрам экранировки
5.2.1. Ослабление напряженности электростатического поля (поверхностного электростатического потенциала) - не менее 95%.
5.2.2. Ослабление напряженности электрической составляющей переменного электромагнитного поля в диапазоне частот от 5 Гц до 2 кГц - не менее 90%, в диапазоне частот от 2 до 400 кГц - не менее 60%.
5.3. Требования к конфиденциальности
5.3.1. Отображаемое на экране СОИ изображение должно исключать восприятие информации с экрана (становиться темным, размытым) при угле наблюдения более 30° относительно нормали к центру экрана.
6.1. При измерениях параметров фильтров используют средства измерений (СИ) и вспомогательное оборудование, приведенные в таблице 1.
Средства измерений и вспомогательное оборудование
Наименование СИ | Допустимая погрешность измерения, % | Метод измерения (пункт настоящего стандарта) |
Фотометр (яркомер-люксметр) | +/- 10 | |
Источник света | +/- 10 | |
Набор цветных оптических стекол | - | |
Эквивалент экрана дисплея | - | |
Измеритель переменного электрического поля | +/- 10 | |
Генератор сигналов | +/- 1 | |
Измеритель электростатического поля | +/- 10 | |
Источник питания постоянного тока | +/- 1 | |
Примечание - Допускается использовать другие средства измерений, обеспечивающие измерение заданных параметров с необходимой точностью. Все средства измерений, используемые при испытаниях, должны быть поверены в установленном порядке. |
6.2. Измерение среднего коэффициента пропускания в диапазоне длин волн от 400 до 750 нм проводят в следующей последовательности.
6.2.1. Собрать схему измерения, приведенную на
рисунке 1.
Измерение проводить в затемненном помещении. Посторонние источники света не должны создавать освещенность на испытуемом фильтре более 1 лк.
Оптическая ось яркомера должна совпадать с оптической осью источника света.
Фотометр следует фокусировать на источнике света, а не на фильтре.
Угловой размер диафрагмы яркомера должен составлять от 30' до 1°.
1 - источник света; 2 - исследуемый фильтр; 3 - яркомер
Рисунок 1. Схема измерения коэффициента пропускания фильтра
в видимом диапазоне длин волн
6.2.2. Измерить коэффициенты пропускания в пяти участках фильтра: в центре и в четырех углах. Положение фотометрируемых участков фильтра показано на рисунке 2.
Рисунок 2. Положение фотометрируемых участков фильтра
6.2.3. Коэффициент пропускания

, %, каждого фотометрируемого участка фильтра в видимом диапазоне длин волн рассчитать по формуле

, (1)
где

- яркость источника света при введенном в световой поток фильтре, кд/м2;

- яркость источника света без фильтра, кд/м2.
За результат измерения принимают среднее арифметическое значение

пяти полученных

.
6.2.4. Неравномерность коэффициента пропускания

, %, рассчитать по формуле

. (2)
За результат измерения принимают наибольшее по модулю значение.
6.2.5. Результат измерения считают удовлетворительным, если фильтр соответствует требованиям
5.1.1.
6.3. Измерение коэффициента зеркального отражения любой поверхности фильтра (обращенной к пользователю или к экрану СОИ) в диапазоне длин волн от 400 до 700 нм с учетом относительной спектральной чувствительности глаза проводят в следующей последовательности.
6.3.1. Собрать схему измерения согласно рисунку 3.
1 - исследуемый фильтр; 2 - источник света; 3 - яркомер
Рисунок 3. Схема измерения коэффициента зеркального
отражения фильтра в видимом диапазоне длин волн
Измерения проводить в затемненном помещении.
6.3.2. Измерить яркость

источника света в диапазоне длин волн от 400 до 700 нм не менее чем на десяти длинах волн с шагом не более 50 нм.
6.3.3. Измерить коэффициент зеркального отражения

в центре лицевой и тыльной поверхностей фильтра в диапазоне длин волн от 400 до 700 нм не менее чем на десяти длинах волн с шагом не более 50 нм.
6.3.4. Коэффициент зеркального отражения

фильтра с учетом стандартной функции относительной спектральной чувствительности глаза

рассчитать по формуле

, (3)
где

- зависимость яркости источника света от длины волны, кд/м2;

- относительная спектральная чувствительность глаза для дневного зрения, отн. ед.;

- зависимость коэффициента зеркального отражения фильтра от длины волны, отн. ед.;

,

- границы исследуемого диапазона длин волн, нм.
Результаты измерения считают удовлетворительными, если фильтр соответствует требованиям
5.1.2,
5.1.3.
6.4. Измерение ослабления напряженности электростатического поля (поверхностного электростатического потенциала) проводят в следующей последовательности.
6.4.1. Подготовить к работе источник питания постоянного тока, измеритель электростатического поля и эквивалент экрана СОИ. Собрать схему измерения согласно рисунку 4.
1 - источник питания постоянного тока; 2 - эквивалент экрана
СОИ; 3 - испытуемый фильтр; 4 - датчик электростатического
поля; 5 - измеритель электростатического поля
Рисунок 4. Схема измерения ослабления напряженности
электростатического поля (поверхностного
электростатического потенциала)
6.4.2. Испытуемый фильтр установить на соответствующее приспособление для его крепления и заземлить фильтр. На выходе источника питания постоянного тока установить напряжение 500 В и снять показание Q измерителя электростатического поля.
Снять испытуемый фильтр вместе с приспособлением.
Изменяя выходное напряжение источника питания постоянного тока, установить показание измерителя электростатического поля, равное Q, и отсчитать выходное напряжение U, В, источника питания постоянного тока.
6.4.3. Ослабление A, %, напряженности электростатического поля (поверхностного электростатического потенциала) рассчитать по формуле

. (4)
6.4.4. Результаты измерения считают удовлетворительными, если фильтр соответствует требованию
5.2.1.
6.5. Измерение ослабления напряженности электрической составляющей переменного электромагнитного поля проводят в следующей последовательности.
6.5.1. Собрать схему измерения согласно рисунку 5. Не включая приборы, закрепить фильтр на соответствующем приспособлении для его крепления и заземлить.
1 - генератор сигнала; 2 - эквивалент экрана СОИ;
3 - испытуемый фильтр; 4 - приемная антенна измерителя
переменного электрического поля; 5 - измеритель
переменного электрического поля
Рисунок 5. Схема измерения ослабления напряженности
электрической составляющей переменного
электромагнитного поля
Включить генератор сигналов и измеритель переменного электрического поля. На генераторе сигналов установить диапазон частот от 5 Гц до 600 кГц. Прогреть приборы в течение 15 мин.
6.5.2. Измерить напряженность E, В/м, электрической составляющей переменного электромагнитного поля в диапазоне частот 5 Гц - 2 кГц, а затем в диапазоне частот 2 - 400 кГц.
6.5.3. Снять испытуемый фильтр с приспособления для его крепления и измерить напряженность

, В/м, в указанных диапазонах частот.
6.5.4. Ослабление T, %, напряженности электрической составляющей переменного электромагнитного поля для каждого из указанных диапазонов частот рассчитать по формуле

. (5)
6.5.5. Результаты измерения считают удовлетворительными, если фильтр соответствует требованиям
5.2.2.
6.6. Проверку конфиденциальности проводят следующим образом.
Испытуемый фильтр установить на экран СОИ. На экран вывести (при отсутствии эксперта) текстовую информацию объемом не менее 5 строк. Рекомендуемый шрифт - Arial, размер шрифта - 12 пунктов, масштаб изображения - 75%. Изображение замаскировать от эксперта любым способом. Затем эксперт располагается на проектном расстоянии наблюдения от экрана СОИ. Линия наблюдения должна совпадать с нормалью к центру экрана. Эксперту предъявляют выведенную на экран информацию и фиксируют время

ее считывания.
Затем на экран вывести (при отсутствии эксперта) аналогичную по содержанию и объему информацию, которую также маскируют от эксперта. Эксперт располагается на проектном расстоянии наблюдения от экрана СОИ. Угол между линией наблюдения и нормалью к центру экрана должен быть равен 30°. Эксперту предъявляют выведенную на экран информацию и фиксируют время

ее считывания.
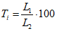
Степень конфиденциальности определяют отношением

к

, которое должно быть не менее 1,5.
(справочное)
В настоящем стандарте применяют следующие термины и соответствующие им определения.
А.3. средство отображения информации: По
ГОСТ 27833.
А.4. защитный фильтр-экран (фильтр): Устройство, служащее для изменения (путем пропускания или отражения) светового потока или его пространственного распределения, или экранирования электростатического и переменного электрического поля, или для того, другого и третьего одновременно.
А.5. коэффициент пропускания: Отношение светового потока, достигшего выходной поверхности фильтра, к потоку, прошедшему через его входную поверхность.
А.6. средний коэффициент пропускания: Отношение суммы значений коэффициентов пропускания, измеренных в центре и углах фильтра, к числу измерений.
А.7. коэффициент зеркального отражения: Отношение отраженного светового потока к падающему световому потоку, когда отраженный луч лежит в одной плоскости с падающим лучом и нормалью к поверхности фильтра при равенстве углов падения и отражения.
А.8. конфиденциальность информации, отображаемой на экране СОИ: Уменьшение яркости изображения или его различаемости до уровня, исключающего восприятие информации, в направлениях, ограниченных заданным конусом или углом в плоскости, перпендикулярной к поверхности фильтра.