Обозначение | Определение |
A | Относительное удлинение на длине базы L0 после разрушения, полученное при испытаниях, % |
Ar | Относительное удлинение на другой длине базы, для которой требуется перевод, % |
D | Диаметр испытуемого образца |
L0 | Исходная длина базы |
S0 | Начальная площадь поперечного сечения испытуемого образца |
.
.
приведены в таблице 6.
в эквивалентное удлинение для постоянных длин баз, равных 50, 80, 100 и 200 мм для диапазона площадей поперечного сечения. Для переводов в обратном порядке, т.е. удлинения на постоянной длине базы в эквивалентное удлинение на базе
, используют обратные значения коэффициентов.
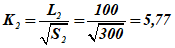
эквивалентно 20·1,046 = 20,9% на образце шириной 25 мм, толщиной 6 мм с длиной базы 50 мм (таблица 4).
.
.
(таблица 4);
и 50 мм;
и 200 мм;
и
на рисунке 2 и в точке, относящейся к наклонным линиям на рисунке 4, приближающейся к относительному удлинению 28,8% на базе
, (3)
; (4)
. (5)
.
и
для двух испытуемых образцов;
;
.
;
;
;Перевод из | Коэффициент перевода в | ||||||
![]() | ![]() | ![]() | 4D | 5D | 8D | ||
1,000 | 0,957 | 0,913 | 0,876 | 0,985 | 0,957 | 0,902 | |
![]() | 1,045 | 1,000 | 0,954 | 0,916 | 1,029 | 1,000 | 0,942 |
![]() | 1,095 | 1,048 | 1,000 | 0,956 | 1,078 | 1,048 | 0,987 |
![]() | 1,141 | 1,092 | 1,042 | 1,000 | 1,124 | 1,092 | 1,029 |
4d | 1,015 | 0,972 | 0,928 | 0,890 | 1,000 | 0,972 | 0,916 |
5d | 1,045 | 1,000 | 0,954 | 0,916 | 1,029 | 1,000 | 0,942 |
8d | 1,109 | 1,161 | 1,013 | 0,972 | 1,092 | 1,062 | 1,000 |
Перевод из | Коэффициент перевода в | |||
50 мм | 80 мм | 100 мм | 200 мм | |
50 мм | 1,000 | 0,942 | 0,916 | 0,839 |
80 мм | 1,062 | 1,000 | 0,972 | 0,890 |
100 мм | 1,092 | 1,029 | 1,000 | 0,916 |
200 мм | 1,193 | 1,123 | 1,092 | 1,000 |
Площадь поперечного сечения образца для испытаний, мм2 | ||||
200 мм | 100 мм | 80 мм | 50 мм | |
5 | 0,706 | 0,771 | 0,794 | 0,842 |
10 | 0,738 | 0,806 | 0,829 | 0,880 |
15 | 0,757 | 0,827 | 0,851 | 0,903 |
20 | 0,771 | 0,842 | 0,867 | 0,920 |
25 | 0,782 | 0,854 | 0,879 | 0,933 |
30 | 0,792 | 0,864 | 0,889 | 0,944 |
35 | 0,779 | 0,873 | 0,898 | 0,953 |
40 | 0,806 | 0,880 | 0,906 | 0,961 |
45 | 0,812 | 0,887 | 0,912 | 0,969 |
50 | 0,818 | 0,893 | 0,919 | 0,975 |
55 | 0,823 | 0,898 | 0,924 | 0,981 |
60 | 0,827 | 0,903 | 0,929 | 0,986 |
70 | 0,835 | 0,912 | 0,938 | 0,996 |
80 | 0,842 | 0,920 | 0,946 | 1,005 |
90 | 0,849 | 0,927 | 0,953 | 1,012 |
100 | 0,854 | 0,933 | 0,960 | 1,019 |
110 | 0,860 | 0,939 | 0,966 | 1,025 |
120 | 0,864 | 0,944 | 0,971 | 1,031 |
130 | 0,869 | 0,949 | 0,976 | 1,036 |
140 | 0,873 | 0,953 | 0,981 | 1,041 |
150 | 0,877 | 0,957 | 0,985 | 1,045 |
160 | 0,880 | 0,961 | 0,989 | 1,050 |
170 | 0,884 | 0,965 | 0,993 | 1,054 |
180 | 0,887 | 0,969 | 0,996 | 1,058 |
190 | 0,890 | 0,972 | 1,000 | 1,061 |
200 | 0,893 | 0,975 | 1,003 | 1,065 |
210 | 0,896 | 0,978 | 1,006 | 1,068 |
220 | 0,898 | 0,981 | 1,009 | 1,071 |
230 | 0,901 | 0,984 | 1,012 | 1,074 |
240 | 0,903 | 0,986 | 1,015 | 1,077 |
250 | 0,906 | 0,989 | 1,017 | 1,080 |
260 | 0,908 | 0,991 | 1,020 | 1,083 |
270 | 0,910 | 0,994 | 1,022 | 1,085 |
280 | 0,912 | 0,996 | 1,025 | 1,088 |
290 | 0,914 | 0,998 | 1,027 | 1,090 |
300 | 0,916 | 1,000 | 1,029 | 1,093 |
310 | 0,918 | 1,003 | 1,031 | 1,095 |
320 | 0,920 | 1,005 | 1,033 | 1,097 |
330 | 0,922 | 1,007 | 1,035 | 1,099 |
340 | 0,923 | 1,008 | 1,037 | 1,101 |
350 | 0,925 | 1,010 | 1,039 | 1,103 |
360 | 0,927 | 1,012 | 1,041 | 1,105 |
370 | 0,928 | 1,014 | 1,043 | 1,107 |
380 | 0,930 | 1,016 | 1,045 | 1,109 |
390 | 0,932 | 1,017 | 1,047 | 1,111 |
400 | 0,933 | 1,019 | 1,048 | 1,113 |
410 | 0,935 | 1,021 | 1,050 | 1,114 |
420 | 0,936 | 1,022 | 1,051 | 1,116 |
430 | 0,937 | 1,024 | 1,053 | 1,118 |
440 | 0,939 | 1,025 | 1,055 | 1,119 |
450 | 0,940 | 1,027 | 1,056 | 1,121 |
460 | 0,941 | 1,028 | 1,058 | 1,123 |
470 | 0,943 | 1,029 | 1,059 | 1,124 |
480 | 0,944 | 1,031 | 1,060 | 1,126 |
490 | 0,945 | 1,032 | 1,062 | 1,127 |
500 | 0,946 | 1,033 | 1,063 | 1,129 |
550 | 0,952 | 1,040 | 1,070 | 1,135 |
600 | 0,957 | 1,045 | 1,076 | 1,142 |
650 | 0,962 | 1,051 | 1,081 | 1,148 |
700 | 0,967 | 1,056 | 1,086 | 1,153 |
750 | 0,971 | 1,060 | 1,091 | 1,158 |
800 | 0,975 | 1,065 | 1,095 | 1,163 |
850 | 0,979 | 1,069 | 1,100 | 1,167 |
900 | 0,982 | 1,073 | 1,104 | 1,171 |
950 | 0,986 | 1,076 | 1,107 | 1,176 |
1 000 | 0,989 | 1,080 | 1,111 | 1,179 |
1 050 | 0,992 | 1,083 | 1,114 | 1,183 |
1 100 | 0,995 | 1,087 | 1,118 | 1,187 |
1 150 | 0,998 | 1,090 | 1,121 | 1,190 |
1 200 | 1,000 | 1,093 | 1,124 | 1,193 |
1 250 | 1,003 | 1,095 | 1,127 | 1,196 |
1 300 | 1,006 | 1,098 | 1,130 | 1,199 |
1 350 | 1,008 | 1,101 | 1,132 | 1,202 |
1 400 | 1,010 | 1,103 | 1,135 | 1,205 |
1 450 | 1,013 | 1,106 | 1,138 | 1,208 |
1 500 | 1,015 | 1,108 | 1,140 | 1,210 |
1 550 | 1,017 | 1,110 | 1,142 | 1,213 |
1 600 | 1,019 | 1,113 | 1,145 | 1,215 |
1 650 | 1,021 | 1,115 | 1,147 | 1,217 |
1 700 | 1,023 | 1,117 | 1,149 | 1,220 |
1 750 | 1,025 | 1,119 | 1,151 | 1,222 |
1 800 | 1,027 | 1,121 | 1,153 | 1,224 |
1 850 | 1,028 | 1,123 | 1,155 | 1,226 |
1 900 | 1,030 | 1,125 | 1,157 | 1,228 |
1 950 | 1,032 | 1,127 | 1,159 | 1,230 |
2 000 | 1,033 | 1,129 | 1,161 | 1,232 |
2 050 | 1,035 | 1,130 | 1,163 | 1,234 |
2 100 | 1,037 | 1,132 | 1,165 | 1,236 |
2 150 | 1,038 | 1,134 | 1,166 | 1,238 |
2 200 | 1,040 | 1,135 | 1,168 | 1,240 |
2 250 | 1,041 | 1,137 | 1,170 | 1,242 |
2 300 | 1,043 | 1,139 | 1,171 | 1,243 |
2 350 | 1,044 | 1,140 | 1,173 | 1,245 |
2 400 | 1,045 | 1,142 | 1,175 | 1,247 |
2 450 | 1,047 | 1,143 | 1,176 | 1,248 |
2 500 | 1,048 | 1,145 | 1,178 | 1,250 |
2 550 | 1,050 | 1,146 | 1,179 | 1,252 |
2 600 | 1,051 | 1,148 | 1,181 | 1,253 |
2 650 | 1,052 | 1,149 | 1,182 | 1,255 |
2 700 | 1,053 | 1,150 | 1,183 | 1,256 |
2 750 | 1,055 | 1,152 | 1,185 | 1,258 |
2 800 | 1,056 | 1,153 | 1,186 | 1,259 |
2 850 | 1,057 | 1,154 | 1,187 | 1,260 |
2 900 | 1,058 | 1,156 | 1,189 | 1,262 |
2 950 | 1,059 | 1,157 | 1,190 | 1,263 |
3 000 | 1,060 | 1,158 | 1,191 | 1,265 |
. (6)
к значениям удлинений на непропорциональной длине базы необходимо умножить их на соответствующий коэффициент.
необходимо разделить их на соответствующий коэффициент (рисунки 1 и 2).Площадь поперечного сечения образца для испытаний, мм2 | ||||
200 мм | 100 мм | 80 мм | 50 мм | |
5 | 0,673 | 0,734 | 0,756 | 0,802 |
10 | 0,703 | 0,767 | 0,790 | 0,838 |
15 | 0,721 | 0,787 | 0,810 | 0,860 |
20 | 0,734 | 0,802 | 0,825 | 0,876 |
25 | 0,745 | 0,813 | 0,837 | 0,888 |
30 | 0,754 | 0,823 | 0,847 | 0,899 |
35 | 0,761 | 0,831 | 0,855 | 0,907 |
40 | 0,767 | 0,838 | 0,862 | 0,915 |
45 | 0,773 | 0,844 | 0,869 | 0,922 |
50 | 0,778 | 0,850 | 0,874 | 0,928 |
55 | 0,783 | 0,855 | 0,880 | 0,934 |
60 | 0,787 | 0,860 | 0,885 | 0,939 |
70 | 0,796 | 0,868 | 0,893 | 0,948 |
80 | 0,802 | 0,876 | 0,901 | 0,956 |
90 | 0,808 | 0,882 | 0,908 | 0,964 |
100 | 0,813 | 0,888 | 0,914 | 0,970 |
110 | 0,818 | 0,894 | 0,919 | 0,976 |
120 | 0,823 | 0,899 | 0,924 | 0,981 |
130 | 0,827 | 0,903 | 0,929 | 0,986 |
140 | 0,831 | 0,907 | 0,934 | 0,991 |
150 | 0,835 | 0,911 | 0,938 | 0,995 |
160 | 0,838 | 0,915 | 0,941 | 0,999 |
170 | 0,841 | 0,919 | 0,945 | 1,003 |
180 | 0,844 | 0,922 | 0,949 | 1,007 |
190 | 0,847 | 0,925 | 0,952 | 1,010 |
200 | 0,850 | 0,928 | 0,955 | 1,014 |
210 | 0,853 | 0,931 | 0,958 | 1,017 |
220 | 0,855 | 0,934 | 0,961 | 1,020 |
230 | 0,858 | 0,937 | 0,963 | 1,023 |
240 | 0,860 | 0,939 | 0,966 | 1,025 |
250 | 0,862 | 0,941 | 0,969 | 1,028 |
260 | 0,864 | 0,944 | 0,971 | 1,031 |
270 | 0,866 | 0,946 | 0,973 | 1,033 |
280 | 0,868 | 0,948 | 0,976 | 1,036 |
290 | 0,870 | 0,950 | 0,978 | 1,038 |
300 | 0,872 | 0,952 | 0,980 | 1,040 |
310 | 0,874 | 0,954 | 0,982 | 1,042 |
320 | 0,876 | 0,956 | 0,984 | 1,044 |
330 | 0,877 | 0,958 | 0,986 | 1,046 |
340 | 0,879 | 0,960 | 0,988 | 1,048 |
350 | 0,881 | 0,962 | 0,989 | 1,050 |
360 | 0,882 | 0,964 | 0,991 | 1,052 |
370 | 0,884 | 0,965 | 0,993 | 1,054 |
380 | 0,885 | 0,967 | 0,995 | 1,056 |
390 | 0,887 | 0,968 | 0,996 | 1,058 |
400 | 0,888 | 0,970 | 0,998 | 1,059 |
410 | 0,890 | 0,972 | 0,999 | 1,061 |
420 | 0,891 | 0,973 | 1,001 | 1,063 |
430 | 0,892 | 0,974 | 1,002 | 1,064 |
440 | 0,894 | 0,976 | 1,004 | 1,066 |
450 | 0,895 | 0,977 | 1,005 | 1,067 |
460 | 0,896 | 0,979 | 1,007 | 1,069 |
470 | 0,897 | 0,980 | 1,008 | 1,070 |
480 | 0,899 | 0,981 | 1,010 | 1,072 |
490 | 0,900 | 0,983 | 1,011 | 1,073 |
500 | 0,901 | 0,984 | 1,012 | 1,074 |
550 | 0,906 | 0,990 | 1,018 | 1,081 |
600 | 0,911 | 0,995 | 1,024 | 1,087 |
650 | 0,916 | 1,000 | 1,029 | 1,092 |
700 | 0,920 | 1,005 | 1,034 | 1,098 |
750 | 0,924 | 1,010 | 1,039 | 1,102 |
800 | 0,928 | 1,014 | 1,043 | 1,107 |
850 | 0,932 | 1,018 | 1,047 | 1,111 |
900 | 0,935 | 1,021 | 1,051 | 1,115 |
950 | 0,938 | 1,025 | 1,054 | 1,119 |
1 000 | 0,941 | 1,028 | 1,058 | 1,123 |
1 050 | 0,944 | 1,031 | 1,061 | 1,126 |
1 100 | 0,947 | 1,034 | 1,064 | 1,130 |
1 150 | 0,950 | 1,037 | 1,067 | 1,133 |
1 200 | 0,952 | 1,040 | 1,070 | 1,136 |
1 250 | 0,955 | 1,043 | 1,073 | 1,139 |
1 300 | 0,957 | 1,045 | 1,075 | 1,142 |
1 350 | 0,960 | 1,048 | 1,078 | 1,144 |
1 400 | 0,962 | 1,050 | 1,081 | 1,147 |
1 450 | 0,964 | 1,053 | 1,083 | 1,150 |
1 500 | 0,966 | 1,055 | 1,085 | 1,152 |
1 550 | 0,968 | 1,057 | 1,088 | 1,154 |
1 600 | 0,970 | 1,059 | 1,090 | 1,157 |
1 650 | 0,972 | 1,061 | 1,092 | 1,159 |
1 700 | 0,974 | 1,063 | 1,094 | 1,161 |
1 750 | 0,976 | 1,065 | 1,096 | 1,163 |
1 800 | 0,977 | 1,067 | 1,098 | 1,165 |
1 850 | 0,979 | 1,069 | 1,100 | 1,167 |
1 900 | 0,981 | 1,071 | 1,102 | 1,169 |
1 950 | 0,982 | 1,073 | 1,103 | 1,171 |
2 000 | 0,984 | 1,074 | 1,105 | 1,173 |
2 050 | 0,985 | 1,076 | 1,107 | 1,175 |
2 100 | 0,987 | 1,078 | 1,109 | 1,177 |
2 150 | 0,988 | 1,079 | 1,110 | 1,179 |
2 200 | 0,990 | 1,081 | 1,112 | 1,180 |
2 250 | 0,991 | 1,082 | 1,114 | 1,182 |
2 300 | 0,993 | 1,084 | 1,115 | 1,184 |
2 350 | 0,994 | 1,085 | 1,117 | 1,185 |
2 400 | 0,995 | 1,087 | 1,118 | 1,187 |
2 450 | 0,997 | 1,088 | 1,120 | 1,188 |
2 500 | 0,998 | 1,090 | 1,121 | 1,190 |
2 550 | 0,999 | 1,091 | 1,122 | 1,191 |
2 600 | 1,000 | 1,092 | 1,124 | 1,193 |
2 650 | 1,002 | 1,094 | 1,125 | 1,194 |
2 700 | 1,003 | 1,095 | 1,127 | 1,196 |
2 750 | 1,004 | 1,096 | 1,128 | 1,197 |
2 800 | 1,005 | 1,098 | 1,129 | 1,199 |
2 850 | 1,006 | 1,099 | 1,130 | 1,200 |
2 900 | 1,007 | 1,100 | 1,132 | 1,201 |
2 950 | 1,008 | 1,101 | 1,133 | 1,203 |
3 000 | 1,010 | 1,102 | 1,134 | 1,204 |
.Фактическое удлинение, %, измеренное на длине базы | 0 | 1 | 2 | 3 | 4 | 5 | 6 | 7 | 8 | 9 |
Соответствующее удлинение, %, на длине базы ![]() | ||||||||||
10 | 10 | 11 | 11 | 12 | 13 | 14 | 15 | 16 | 17 | 18 |
20 | 19 | 20 | 21 | 22 | 23 | 24 | 25 | 26 | 27 | 28 |
30 | 29 | 30 | 31 | 32 | 33 | 33 | 34 | 35 | 36 | 37 |
40 | 38 | 39 | 40 | 41 | 42 | 43 | 44 | 45 | 46 | 47 |
50 | 48 | 49 | 50 | 51 | 52 | 53 | 54 | 55 | 56 | 56 |
Фактическое удлинение, %, на длине базы 50 мм | Соответствующее удлинение, %, на длине базы , если площадь поперечного сечения, мм2, равна | |||||||||||||||||||||
5 | 10 | 20 | 40 | 60 | 80 | 100 | 150 | 200 | 250 | 300 | 400 | 500 | 600 | 700 | 800 | 900 | 1000 | 1200 | 1500 | 2000 | 2500 | |
10 | 12 | 11 | 11 | 10 | 10 | 10 | 10 | 10 | 9 | 9 | 9 | 9 | 9 | 9 | 9 | 9 | 9 | 8 | 8 | 8 | 8 | 8 |
11 | 13 | 12 | 12 | 11 | 11 | 11 | 11 | 11 | 10 | 10 | 10 | 10 | 10 | 10 | 10 | 9 | 9 | 9 | 9 | 9 | 9 | 9 |
12 | 14 | 14 | 13 | 12 | 12 | 12 | 12 | 11 | 11 | 11 | 11 | 11 | 11 | 11 | 10 | 10 | 10 | 10 | 10 | 10 | 10 | 10 |
13 | 15 | 15 | 14 | 14 | 13 | 13 | 13 | 12 | 11 | 12 | 12 | 12 | 12 | 11 | 11 | 11 | 11 | 11 | 11 | 11 | 11 | 10 |
14 | 17 | 16 | 15 | 15 | 14 | 14 | 14 | 13 | 12 | 13 | 13 | 13 | 12 | 12 | 12 | 12 | 12 | 12 | 12 | 12 | 11 | 11 |
15 | 18 | 17 | 16 | 16 | 15 | 15 | 15 | 14 | 13 | 14 | 14 | 13 | 13 | 13 | 13 | 13 | 13 | 13 | 13 | 12 | 12 | 12 |
16 | 19 | 18 | 17 | 17 | 16 | 16 | 16 | 15 | 14 | 15 | 15 | 14 | 14 | 14 | 14 | 14 | 14 | 14 | 13 | 13 | 13 | 13 |
17 | 20 | 19 | 18 | 18 | 17 | 17 | 17 | 16 | 15 | 16 | 16 | 15 | 15 | 15 | 15 | 15 | 15 | 14 | 14 | 14 | 14 | 14 |
18 | 21 | 20 | 20 | 19 | 18 | 18 | 18 | 17 | 16 | 17 | 16 | 16 | 16 | 16 | 16 | 15 | 15 | 15 | 15 | 15 | 15 | 14 |
19 | 23 | 22 | 21 | 20 | 19 | 19 | 19 | 18 | 17 | 18 | 17 | 16 | 17 | 17 | 16 | 16 | 16 | 16 | 16 | 16 | 15 | 15 |
20 | 24 | 23 | 22 | 21 | 20 | 20 | 20 | 19 | 18 | 19 | 18 | 17 | 18 | 18 | 17 | 17 | 17 | 17 | 17 | 17 | 16 | 16 |
21 | 25 | 24 | 23 | 22 | 21 | 21 | 21 | 20 | 19 | 19 | 19 | 18 | 19 | 18 | 18 | 18 | 18 | 18 | 18 | 17 | 17 | 17 |
22 | 26 | 25 | 24 | 23 | 22 | 22 | 22 | 21 | 20 | 20 | 19 | 19 | 19 | 19 | 19 | 19 | 19 | 19 | 18 | 18 | 18 | 18 |
23 | 27 | 26 | 25 | 24 | 23 | 23 | 23 | 22 | 21 | 21 | 20 | 19 | 20 | 20 | 20 | 20 | 20 | 20 | 19 | 19 | 19 | 18 |
24 | 28 | 27 | 26 | 25 | 24 | 24 | 24 | 23 | 22 | 22 | 21 | 20 | 21 | 21 | 21 | 21 | 20 | 20 | 20 | 20 | 19 | 19 |
25 | 30 | 28 | 27 | 26 | 25 | 25 | 25 | 24 | 23 | 23 | 22 | 21 | 22 | 22 | 22 | 22 | 21 | 21 | 21 | 21 | 20 | 20 |
26 | 31 | 30 | 28 | 27 | 26 | 26 | 26 | 25 | 24 | 24 | 23 | 22 | 23 | 23 | 23 | 22 | 22 | 22 | 22 | 21 | 21 | 21 |
27 | 32 | 31 | 29 | 28 | 27 | 27 | 26 | 26 | 25 | 25 | 24 | 23 | 24 | 24 | 23 | 23 | 23 | 23 | 23 | 22 | 22 | 22 |
28 | 33 | 32 | 30 | 29 | 28 | 28 | 27 | 26 | 26 | 26 | 25 | 24 | 25 | 25 | 24 | 24 | 24 | 24 | 23 | 23 | 23 | 22 |
29 | 34 | 33 | 32 | 30 | 29 | 29 | 28 | 27 | 26 | 26 | 26 | 25 | 26 | 25 | 25 | 25 | 25 | 25 | 24 | 24 | 24 | 23 |
30 | 36 | 34 | 33 | 31 | 30 | 30 | 29 | 28 | 27 | 27 | 26 | 26 | 27 | 26 | 26 | 26 | 26 | 25 | 25 | 25 | 24 | 24 |
31 | 37 | 35 | 34 | 32 | 31 | 31 | 30 | 29 | 28 | 28 | 27 | 26 | 27 | 27 | 27 | 27 | 26 | 26 | 26 | 26 | 25 | 25 |
32 | 38 | 36 | 35 | 33 | 32 | 32 | 31 | 30 | 29 | 29 | 28 | 27 | 28 | 28 | 28 | 28 | 27 | 27 | 27 | 26 | 26 | 26 |
33 | 39 | 37 | 36 | 34 | 33 | 33 | 32 | 31 | 30 | 30 | 29 | 28 | 29 | 29 | 29 | 28 | 28 | 28 | 28 | 27 | 27 | 26 |
34 | 40 | 39 | 37 | 35 | 34 | 34 | 33 | 32 | 31 | 31 | 30 | 29 | 30 | 30 | 29 | 29 | 29 | 29 | 28 | 28 | 28 | 27 |
35 | 42 | 40 | 38 | 36 | 35 | 35 | 34 | 33 | 32 | 31 | 31 | 30 | 31 | 31 | 30 | 30 | 30 | 30 | 29 | 29 | 28 | 28 |
36 | 43 | 41 | 39 | 37 | 36 | 36 | 35 | 34 | 33 | 33 | 31 | 31 | 32 | 32 | 31 | 31 | 31 | 31 | 30 | 30 | 29 | 29 |
37 | 44 | 42 | 40 | 38 | 38 | 37 | 36 | 35 | 34 | 34 | 33 | 31 | 33 | 32 | 32 | 32 | 32 | 31 | 31 | 31 | 30 | 30 |
38 | 45 | 43 | 41 | 40 | 39 | 38 | 37 | 36 | 35 | 35 | 34 | 33 | 34 | 33 | 33 | 33 | 32 | 32 | 32 | 31 | 31 | 30 |
39 | 46 | 44 | 42 | 41 | 40 | 39 | 38 | 37 | 36 | 36 | 35 | 34 | 35 | 34 | 34 | 34 | 33 | 33 | 33 | 32 | 32 | 31 |
, соответствующиеФактическое удлинение, %, на длине базы 80 мм | Соответствующее удлинение, %, на длине базы , если площадь поперечного сечения, мм2, равна | |||||||||||||||||||||
5 | 10 | 20 | 40 | 60 | 80 | 100 | 150 | 200 | 250 | 300 | 400 | 500 | 600 | 700 | 800 | 900 | 1000 | 1200 | 1500 | 2000 | 2500 | |
10 | 13 | 12 | 12 | 11 | 11 | 11 | 10 | 10 | 10 | 10 | 10 | 10 | 9 | 9 | 9 | 9 | 9 | 9 | 9 | 9 | 9 | 8 |
11 | 14 | 13 | 13 | 12 | 12 | 12 | 12 | 11 | 11 | 11 | 11 | 10 | 10 | 10 | 10 | 10 | 10 | 10 | 10 | 10 | 9 | 9 |
12 | 15 | 14 | 14 | 13 | 13 | 13 | 13 | 12 | 12 | 12 | 12 | 11 | 11 | 11 | 11 | 11 | 11 | 11 | 11 | 11 | 10 | 10 |
13 | 16 | 16 | 15 | 14 | 14 | 14 | 14 | 13 | 13 | 13 | 13 | 12 | 12 | 12 | 12 | 12 | 12 | 12 | 12 | 11 | 11 | 11 |
14 | 18 | 17 | 16 | 15 | 15 | 15 | 15 | 14 | 14 | 14 | 14 | 13 | 13 | 13 | 13 | 13 | 13 | 13 | 12 | 12 | 12 | 12 |
15 | 19 | 18 | 17 | 17 | 16 | 16 | 16 | 15 | 15 | 15 | 15 | 14 | 14 | 14 | 14 | 14 | 14 | 14 | 13 | 13 | 13 | 13 |
16 | 20 | 19 | 18 | 18 | 17 | 17 | 17 | 16 | 16 | 16 | 16 | 15 | 15 | 15 | 15 | 15 | 14 | 14 | 14 | 14 | 14 | 14 |
17 | 21 | 20 | 20 | 19 | 18 | 18 | 18 | 17 | 17 | 17 | 17 | 16 | 16 | 16 | 16 | 16 | 15 | 15 | 15 | 15 | 15 | 14 |
18 | 23 | 22 | 21 | 20 | 19 | 19 | 19 | 18 | 18 | 18 | 17 | 17 | 17 | 17 | 17 | 16 | 16 | 16 | 16 | 16 | 16 | 15 |
19 | 24 | 23 | 22 | 21 | 20 | 20 | 20 | 19 | 19 | 19 | 18 | 18 | 18 | 18 | 17 | 17 | 17 | 17 | 17 | 17 | 16 | 16 |
20 | 25 | 24 | 23 | 22 | 22 | 21 | 21 | 20 | 20 | 20 | 19 | 19 | 19 | 19 | 18 | 18 | 18 | 18 | 18 | 18 | 17 | 17 |
21 | 26 | 25 | 24 | 23 | 23 | 22 | 22 | 21 | 21 | 21 | 20 | 20 | 20 | 20 | 19 | 19 | 19 | 19 | 19 | 18 | 18 | 18 |
22 | 28 | 27 | 25 | 24 | 24 | 23 | 23 | 22 | 22 | 22 | 21 | 21 | 21 | 20 | 20 | 20 | 20 | 20 | 20 | 19 | 19 | 19 |
23 | 29 | 28 | 27 | 25 | 25 | 24 | 24 | 23 | 23 | 23 | 22 | 22 | 22 | 21 | 21 | 21 | 21 | 21 | 20 | 20 | 20 | 20 |
24 | 30 | 29 | 28 | 27 | 26 | 25 | 25 | 24 | 24 | 24 | 23 | 23 | 23 | 22 | 22 | 22 | 22 | 22 | 21 | 21 | 21 | 20 |
25 | 32 | 30 | 29 | 28 | 27 | 26 | 26 | 25 | 25 | 25 | 24 | 24 | 24 | 23 | 23 | 23 | 23 | 23 | 22 | 22 | 22 | 21 |
26 | 33 | 31 | 30 | 29 | 28 | 27 | 27 | 26 | 26 | 26 | 25 | 25 | 24 | 24 | 24 | 24 | 24 | 23 | 23 | 23 | 22 | 22 |
27 | 34 | 33 | 31 | 30 | 29 | 29 | 28 | 27 | 27 | 27 | 26 | 26 | 25 | 25 | 25 | 25 | 24 | 24 | 24 | 24 | 23 | 23 |
28 | 35 | 34 | 32 | 31 | 30 | 30 | 29 | 28 | 28 | 28 | 27 | 27 | 26 | 26 | 26 | 26 | 25 | 25 | 25 | 25 | 24 | 24 |
29 | 37 | 35 | 33 | 32 | 31 | 31 | 30 | 29 | 29 | 29 | 28 | 28 | 27 | 27 | 27 | 26 | 26 | 26 | 26 | 25 | 25 | 25 |
30 | 38 | 36 | 35 | 33 | 32 | 32 | 31 | 30 | 30 | 29 | 29 | 29 | 28 | 28 | 28 | 27 | 27 | 27 | 27 | 26 | 26 | 25 |
31 | 39 | 37 | 36 | 34 | 33 | 33 | 32 | 31 | 31 | 30 | 30 | 30 | 29 | 29 | 29 | 28 | 28 | 28 | 28 | 27 | 27 | 26 |
32 | 40 | 39 | 37 | 35 | 34 | 34 | 33 | 32 | 32 | 31 | 31 | 31 | 30 | 30 | 29 | 29 | 29 | 29 | 28 | 28 | 28 | 27 |
33 | 42 | 40 | 38 | 36 | 36 | 35 | 34 | 34 | 33 | 32 | 32 | 31 | 31 | 31 | 30 | 30 | 30 | 30 | 29 | 29 | 28 | 28 |
34 | 43 | 41 | 39 | 38 | 37 | 36 | 35 | 35 | 34 | 33 | 33 | 32 | 32 | 32 | 31 | 31 | 31 | 31 | 30 | 30 | 29 | 29 |
35 | 44 | 42 | 40 | 39 | 38 | 37 | 36 | 36 | 35 | 34 | 34 | 33 | 33 | 33 | 32 | 32 | 32 | 32 | 31 | 31 | 30 | 30 |
36 | 45 | 43 | 42 | 40 | 39 | 38 | 38 | 37 | 36 | 35 | 35 | 34 | 34 | 33 | 33 | 33 | 33 | 32 | 32 | 32 | 31 | 31 |
37 | 47 | 45 | 43 | 41 | 40 | 39 | 39 | 38 | 37 | 36 | 36 | 35 | 35 | 34 | 34 | 34 | 34 | 33 | 33 | 32 | 32 | 31 |
38 | 48 | 46 | 44 | 42 | 41 | 40 | 40 | 39 | 38 | 37 | 37 | 36 | 36 | 35 | 35 | 35 | 34 | 34 | 34 | 33 | 33 | 32 |
39 | 49 | 47 | 45 | 43 | 42 | 41 | 41 | 40 | 39 | 38 | 38 | 37 | 37 | 36 | 36 | 36 | 35 | 35 | 35 | 34 | 34 | 33 |
40 | 50 | 48 | 46 | 44 | 43 | 42 | 42 | 41 | 40 | 39 | 39 | 38 | 38 | 37 | 37 | 37 | 36 | 36 | 36 | 35 | 34 | 34 |
41 | 52 | 49 | 47 | 45 | 44 | 43 | 43 | 42 | 41 | 40 | 40 | 39 | 39 | 38 | 38 | 37 | 37 | 37 | 36 | 36 | 35 | 35 |
42 | 53 | 51 | 48 | 46 | 45 | 44 | 44 | 43 | 42 | 41 | 41 | 40 | 40 | 39 | 39 | 38 | 38 | 38 | 37 | 37 | 36 | 36 |
43 | 54 | 52 | 50 | 47 | 46 | 45 | 45 | 44 | 43 | 42 | 42 | 41 | 40 | 40 | 40 | 39 | 39 | 39 | 38 | 38 | 37 | 37 |
44 | 55 | 53 | 51 | 49 | 47 | 46 | 46 | 45 | 44 | 43 | 43 | 42 | 41 | 41 | 41 | 40 | 40 | 40 | 39 | 39 | 38 | 37 |
45 | 57 | 54 | 52 | 50 | 48 | 47 | 47 | 46 | 45 | 44 | 44 | 43 | 42 | 42 | 41 | 41 | 41 | 41 | 40 | 39 | 39 | 38 |
46 | 58 | 55 | 53 | 51 | 50 | 48 | 48 | 47 | 46 | 45 | 45 | 44 | 43 | 43 | 42 | 42 | 42 | 41 | 41 | 40 | 40 | 39 |
47 | 59 | 57 | 54 | 52 | 51 | 49 | 49 | 48 | 47 | 46 | 46 | 45 | 44 | 44 | 43 | 43 | 43 | 42 | 42 | 41 | 40 | 40 |
, соответствующиеФактическое удлинение, %, на длине базы 100 мм | Соответствующее удлинение, %, на длине базы , если площадь поперечного сечения, мм2, равна | |||||||||||||||||||||
5 | 10 | 20 | 40 | 60 | 80 | 100 | 150 | 200 | 250 | 300 | 400 | 500 | 600 | 700 | 800 | 900 | 1000 | 1200 | 1500 | 2000 | 2500 | |
10 | 13 | 12 | 12 | 11 | 11 | 11 | 11 | 10 | 10 | 10 | 10 | 10 | 10 | 10 | 9 | 9 | 9 | 9 | 9 | 9 | 9 | 9 |
11 | 14 | 14 | 13 | 12 | 12 | 12 | 12 | 11 | 11 | 11 | 11 | 11 | 11 | 11 | 10 | 10 | 10 | 10 | 10 | 10 | 10 | 10 |
12 | 16 | 15 | 14 | 14 | 13 | 13 | 13 | 13 | 12 | 12 | 12 | 12 | 12 | 11 | 11 | 11 | 11 | 11 | 11 | 11 | 11 | 10 |
13 | 17 | 16 | 15 | 15 | 14 | 14 | 14 | 14 | 13 | 13 | 13 | 13 | 13 | 12 | 12 | 12 | 12 | 12 | 12 | 12 | 12 | 11 |
14 | 18 | 17 | 17 | 16 | 15 | 15 | 15 | 15 | 14 | 14 | 14 | 14 | 14 | 13 | 13 | 13 | 13 | 13 | 13 | 13 | 12 | 12 |
15 | 19 | 19 | 18 | 17 | 17 | 16 | 16 | 16 | 15 | 15 | 15 | 15 | 15 | 14 | 14 | 14 | 14 | 14 | 14 | 14 | 13 | 13 |
16 | 21 | 20 | 19 | 18 | 18 | 17 | 17 | 17 | 16 | 16 | 16 | 16 | 15 | 15 | 15 | 15 | 15 | 15 | 15 | 14 | 14 | 14 |
17 | 22 | 21 | 20 | 19 | 19 | 18 | 18 | 18 | 17 | 17 | 17 | 17 | 16 | 16 | 16 | 16 | 16 | 16 | 16 | 15 | 15 | 15 |
18 | 23 | 22 | 21 | 20 | 20 | 20 | 19 | 19 | 18 | 18 | 18 | 18 | 17 | 17 | 17 | 17 | 17 | 17 | 16 | 16 | 16 | 16 |
19 | 25 | 24 | 23 | 22 | 21 | 21 | 20 | 20 | 19 | 19 | 19 | 19 | 18 | 18 | 18 | 18 | 18 | 18 | 17 | 17 | 17 | 17 |
20 | 26 | 25 | 24 | 23 | 22 | 22 | 21 | 21 | 21 | 20 | 20 | 20 | 19 | 19 | 19 | 19 | 19 | 19 | 18 | 18 | 18 | 17 |
21 | 27 | 26 | 25 | 24 | 23 | 23 | 23 | 22 | 22 | 21 | 21 | 21 | 20 | 20 | 20 | 20 | 20 | 19 | 19 | 19 | 19 | 18 |
22 | 29 | 27 | 26 | 25 | 24 | 24 | 24 | 23 | 23 | 22 | 22 | 22 | 21 | 21 | 21 | 21 | 21 | 20 | 20 | 20 | 19 | 19 |
23 | 30 | 29 | 27 | 26 | 25 | 25 | 25 | 24 | 24 | 23 | 23 | 23 | 22 | 22 | 22 | 22 | 21 | 21 | 21 | 21 | 20 | 20 |
24 | 31 | 30 | 28 | 27 | 27 | 26 | 26 | 25 | 25 | 24 | 24 | 24 | 23 | 23 | 23 | 23 | 22 | 22 | 22 | 22 | 21 | 21 |
25 | 32 | 31 | 30 | 28 | 28 | 27 | 27 | 26 | 26 | 25 | 25 | 25 | 24 | 24 | 24 | 23 | 23 | 23 | 23 | 23 | 22 | 22 |
26 | 34 | 32 | 31 | 30 | 29 | 28 | 28 | 27 | 27 | 26 | 26 | 25 | 25 | 25 | 25 | 24 | 24 | 24 | 24 | 23 | 23 | 23 |
27 | 35 | 33 | 32 | 31 | 30 | 29 | 29 | 28 | 28 | 27 | 27 | 26 | 26 | 26 | 26 | 25 | 25 | 25 | 25 | 24 | 24 | 24 |
28 | 36 | 35 | 33 | 32 | 31 | 30 | 30 | 29 | 29 | 28 | 28 | 27 | 27 | 27 | 27 | 26 | 26 | 26 | 26 | 25 | 25 | 24 |
29 | 38 | 36 | 34 | 33 | 32 | 32 | 31 | 30 | 30 | 29 | 29 | 28 | 28 | 28 | 27 | 27 | 27 | 27 | 27 | 26 | 26 | 25 |
30 | 39 | 37 | 36 | 34 | 33 | 33 | 32 | 31 | 31 | 30 | 30 | 29 | 29 | 29 | 28 | 28 | 28 | 28 | 27 | 27 | 27 | 26 |
31 | 40 | 38 | 37 | 35 | 34 | 34 | 33 | 32 | 32 | 31 | 31 | 30 | 30 | 30 | 29 | 29 | 29 | 29 | 28 | 28 | 27 | 27 |
32 | 41 | 40 | 38 | 36 | 35 | 35 | 34 | 33 | 33 | 32 | 32 | 31 | 31 | 31 | 30 | 30 | 30 | 30 | 29 | 29 | 28 | 28 |
33 | 43 | 41 | 39 | 37 | 37 | 36 | 35 | 34 | 34 | 33 | 33 | 32 | 32 | 32 | 31 | 31 | 31 | 31 | 30 | 30 | 29 | 29 |
34 | 44 | 42 | 40 | 39 | 38 | 37 | 36 | 36 | 35 | 34 | 34 | 33 | 33 | 33 | 32 | 32 | 32 | 31 | 31 | 31 | 30 | 30 |
35 | 45 | 43 | 42 | 40 | 39 | 38 | 38 | 37 | 36 | 35 | 35 | 34 | 34 | 33 | 33 | 33 | 33 | 32 | 32 | 32 | 31 | 31 |
36 | 47 | 45 | 43 | 41 | 40 | 39 | 39 | 38 | 37 | 36 | 36 | 35 | 35 | 34 | 34 | 34 | 34 | 33 | 33 | 32 | 32 | 31 |
37 | 48 | 46 | 44 | 42 | 41 | 40 | 40 | 39 | 38 | 37 | 37 | 36 | 36 | 35 | 35 | 35 | 34 | 34 | 34 | 33 | 33 | 32 |
38 | 49 | 47 | 45 | 43 | 42 | 41 | 41 | 40 | 39 | 38 | 38 | 37 | 37 | 36 | 36 | 36 | 35 | 35 | 35 | 34 | 34 | 33 |
39 | 51 | 48 | 46 | 44 | 43 | 42 | 42 | 41 | 40 | 39 | 39 | 38 | 38 | 37 | 37 | 37 | 36 | 36 | 36 | 35 | 35 | 34 |
40 | 52 | 50 | 47 | 45 | 44 | 43 | 43 | 42 | 41 | 40 | 40 | 39 | 39 | 38 | 38 | 38 | 37 | 37 | 37 | 36 | 35 | 35 |
41 | 53 | 51 | 49 | 47 | 45 | 45 | 44 | 43 | 42 | 41 | 41 | 40 | 40 | 39 | 39 | 39 | 38 | 38 | 38 | 37 | 36 | 36 |
42 | 54 | 52 | 50 | 48 | 46 | 46 | 45 | 44 | 43 | 42 | 42 | 41 | 41 | 40 | 40 | 39 | 39 | 39 | 38 | 38 | 37 | 37 |
43 | 56 | 53 | 51 | 49 | 48 | 47 | 46 | 45 | 44 | 43 | 43 | 42 | 42 | 41 | 41 | 40 | 40 | 40 | 39 | 39 | 38 | 38 |
44 | 57 | 55 | 52 | 50 | 49 | 48 | 47 | 46 | 45 | 44 | 44 | 43 | 43 | 42 | 42 | 41 | 41 | 41 | 40 | 40 | 39 | 38 |
45 | 58 | 56 | 53 | 51 | 50 | 49 | 48 | 47 | 46 | 46 | 45 | 44 | 44 | 43 | 43 | 42 | 42 | 42 | 41 | 41 | 40 | 39 |
46 | 60 | 57 | 55 | 52 | 51 | 50 | 49 | 48 | 47 | 47 | 46 | 45 | 45 | 44 | 44 | 43 | 43 | 43 | 42 | 42 | 41 | 40 |
47 | 61 | 58 | 56 | 53 | 52 | 51 | 50 | 49 | 48 | 48 | 47 | 46 | 45 | 45 | 45 | 44 | 44 | 44 | 43 | 42 | 42 | 41 |
Фактическое удлинение, %, на длине базы 200 мм | Соответствующее удлинение, %, на длине базы , если площадь поперечного сечения, мм2, равна | |||||||||||||||||||||
5 | 10 | 20 | 40 | 60 | 80 | 100 | 150 | 200 | 250 | 300 | 400 | 500 | 600 | 700 | 800 | 900 | 1000 | 1200 | 1500 | 2000 | 2500 | |
10 | 14 | 14 | 13 | 12 | 12 | 12 | 12 | 11 | 11 | 11 | 11 | 11 | 11 | 10 | 10 | 10 | 10 | 10 | 10 | 10 | 10 | 10 |
11 | 16 | 15 | 14 | 14 | 13 | 13 | 13 | 13 | 12 | 12 | 12 | 12 | 12 | 11 | 11 | 11 | 11 | 11 | 11 | 11 | 11 | 10 |
12 | 17 | 16 | 16 | 15 | 15 | 14 | 14 | 14 | 13 | 13 | 13 | 13 | 13 | 13 | 12 | 12 | 12 | 12 | 12 | 12 | 12 | 11 |
13 | 18 | 18 | 17 | 16 | 16 | 15 | 15 | 15 | 15 | 14 | 14 | 14 | 14 | 14 | 13 | 13 | 13 | 13 | 13 | 13 | 13 | 12 |
14 | 20 | 19 | 18 | 17 | 17 | 17 | 16 | 16 | 16 | 15 | 15 | 15 | 15 | 15 | 14 | 14 | 14 | 14 | 14 | 14 | 14 | 13 |
15 | 21 | 21 | 19 | 19 | 18 | 18 | 18 | 17 | 17 | 17 | 16 | 16 | 16 | 16 | 16 | 15 | 15 | 15 | 15 | 15 | 15 | 14 |
16 | 23 | 22 | 21 | 20 | 19 | 19 | 19 | 18 | 18 | 18 | 17 | 17 | 17 | 17 | 17 | 16 | 16 | 16 | 16 | 16 | 15 | 15 |
17 | 24 | 23 | 22 | 21 | 21 | 20 | 20 | 19 | 19 | 19 | 19 | 18 | 18 | 18 | 18 | 17 | 17 | 17 | 17 | 17 | 16 | 16 |
18 | 25 | 24 | 23 | 22 | 22 | 21 | 21 | 21 | 20 | 20 | 20 | 19 | 19 | 19 | 19 | 18 | 18 | 18 | 18 | 18 | 17 | 17 |
19 | 27 | 26 | 25 | 24 | 23 | 23 | 22 | 22 | 21 | 21 | 21 | 20 | 20 | 20 | 20 | 19 | 19 | 19 | 19 | 19 | 18 | 18 |
20 | 28 | 27 | 26 | 25 | 24 | 24 | 23 | 23 | 22 | 22 | 22 | 21 | 21 | 21 | 21 | 21 | 20 | 20 | 20 | 20 | 19 | 19 |
21 | 30 | 28 | 27 | 26 | 25 | 25 | 25 | 24 | 24 | 23 | 23 | 23 | 22 | 22 | 22 | 22 | 21 | 21 | 21 | 21 | 20 | 20 |
22 | 31 | 30 | 29 | 27 | 27 | 26 | 26 | 25 | 25 | 24 | 24 | 24 | 23 | 23 | 23 | 23 | 22 | 22 | 22 | 22 | 21 | 21 |
23 | 33 | 31 | 30 | 29 | 28 | 27 | 27 | 26 | 26 | 25 | 25 | 25 | 24 | 24 | 24 | 24 | 23 | 23 | 23 | 23 | 22 | 22 |
24 | 34 | 33 | 31 | 30 | 29 | 28 | 28 | 27 | 27 | 27 | 26 | 26 | 25 | 25 | 25 | 25 | 24 | 24 | 24 | 24 | 23 | 23 |
25 | 35 | 34 | 32 | 31 | 30 | 30 | 29 | 29 | 28 | 28 | 27 | 27 | 26 | 26 | 26 | 26 | 25 | 25 | 25 | 25 | 24 | 24 |
26 | 37 | 35 | 34 | 32 | 31 | 31 | 30 | 30 | 29 | 29 | 28 | 28 | 27 | 27 | 27 | 27 | 26 | 26 | 26 | 26 | 25 | 25 |
27 | 38 | 37 | 35 | 33 | 33 | 32 | 32 | 31 | 30 | 30 | 29 | 29 | 29 | 28 | 28 | 28 | 27 | 27 | 27 | 27 | 26 | 26 |
28 | 40 | 38 | 36 | 35 | 34 | 33 | 33 | 32 | 31 | 31 | 31 | 30 | 30 | 29 | 29 | 29 | 29 | 28 | 28 | 28 | 27 | 27 |
29 | 41 | 39 | 38 | 36 | 35 | 34 | 34 | 33 | 32 | 32 | 32 | 31 | 31 | 30 | 30 | 30 | 30 | 29 | 29 | 29 | 28 | 28 |
30 | 42 | 41 | 39 | 37 | 36 | 36 | 35 | 34 | 34 | 33 | 33 | 32 | 32 | 31 | 31 | 31 | 31 | 30 | 30 | 30 | 29 | 29 |
31 | 44 | 42 | 40 | 38 | 37 | 37 | 36 | 35 | 35 | 34 | 34 | 33 | 33 | 32 | 32 | 32 | 32 | 31 | 31 | 31 | 30 | 30 |
32 | 45 | 43 | 41 | 40 | 39 | 38 | 37 | 36 | 36 | 35 | 35 | 34 | 34 | 33 | 33 | 33 | 33 | 32 | 32 | 32 | 31 | 31 |
33 | 47 | 45 | 43 | 41 | 40 | 39 | 39 | 38 | 37 | 36 | 36 | 35 | 35 | 34 | 34 | 34 | 34 | 33 | 33 | 33 | 32 | 31 |
34 | 48 | 46 | 44 | 42 | 41 | 40 | 40 | 39 | 38 | 38 | 37 | 36 | 36 | 36 | 35 | 35 | 35 | 34 | 34 | 34 | 33 | 32 |
35 | 50 | 47 | 45 | 43 | 42 | 42 | 41 | 40 | 39 | 39 | 38 | 38 | 37 | 37 | 36 | 36 | 36 | 35 | 35 | 34 | 34 | 33 |
36 | 51 | 49 | 47 | 45 | 44 | 43 | 42 | 41 | 40 | 40 | 39 | 39 | 38 | 38 | 37 | 37 | 37 | 36 | 36 | 35 | 35 | 34 |
37 | 52 | 50 | 48 | 46 | 45 | 44 | 43 | 42 | 41 | 41 | 40 | 40 | 39 | 39 | 38 | 38 | 38 | 37 | 37 | 36 | 36 | 35 |
38 | 54 | 51 | 49 | 47 | 46 | 45 | 44 | 43 | 43 | 42 | 41 | 41 | 40 | 40 | 39 | 39 | 39 | 38 | 38 | 37 | 37 | 36 |
39 | 55 | 53 | 51 | 48 | 47 | 46 | 46 | 44 | 44 | 43 | 43 | 42 | 41 | 41 | 40 | 40 | 40 | 39 | 39 | 38 | 38 | 37 |
40 | 57 | 54 | 52 | 50 | 48 | 47 | 47 | 46 | 45 | 44 | 44 | 43 | 42 | 42 | 41 | 41 | 41 | 40 | 40 | 39 | 39 | 38 |
41 | 58 | 56 | 53 | 51 | 50 | 49 | 48 | 47 | 46 | 45 | 45 | 44 | 43 | 43 | 42 | 42 | 42 | 41 | 41 | 40 | 40 | 39 |
42 | 59 | 57 | 54 | 52 | 51 | 50 | 49 | 48 | 47 | 46 | 46 | 45 | 44 | 44 | 43 | 43 | 43 | 42 | 42 | 41 | 41 | 40 |
43 | 61 | 58 | 56 | 53 | 52 | 51 | 50 | 49 | 48 | 47 | 47 | 46 | 45 | 45 | 44 | 44 | 44 | 43 | 43 | 42 | 42 | 41 |
44 | 62 | 60 | 57 | 55 | 53 | 52 | 51 | 50 | 49 | 49 | 48 | 47 | 46 | 46 | 46 | 45 | 45 | 44 | 44 | 43 | 43 | 42 |
45 | 64 | 61 | 58 | 56 | 54 | 53 | 53 | 51 | 50 | 50 | 49 | 48 | 48 | 47 | 47 | 46 | 46 | 46 | 45 | 44 | 44 | 43 |
46 | 65 | 62 | 60 | 57 | 55 | 55 | 54 | 52 | 52 | 51 | 50 | 49 | 49 | 48 | 48 | 47 | 47 | 47 | 46 | 45 | 45 | 44 |
47 | 67 | 64 | 61 | 58 | 57 | 56 | 55 | 54 | 53 | 52 | 51 | 50 | 50 | 49 | 49 | 48 | 48 | 48 | 47 | 46 | 45 | 45 |
Фактическое удлинение, %, на длине базы 50 мм | Соответствующее удлинение, %, на длине базы | |||||||||||||||||||||
5 | 10 | 20 | 40 | 60 | 80 | 100 | 150 | 200 | 250 | 300 | 400 | 500 | 600 | 700 | 800 | 900 | 1000 | 1200 | 1500 | 2000 | 2500 | |
10 | 12 | 12 | 11 | 11 | 11 | 10 | 10 | 10 | 10 | 10 | 10 | 9 | 9 | 9 | 9 | 9 | 9 | 9 | 9 | 9 | 9 | 8 |
11 | 14 | 13 | 13 | 12 | 12 | 11 | 11 | 11 | 11 | 11 | 11 | 10 | 10 | 10 | 10 | 10 | 10 | 10 | 10 | 10 | 9 | 9 |
12 | 15 | 14 | 14 | 13 | 13 | 13 | 12 | 12 | 12 | 12 | 12 | 11 | 11 | 11 | 11 | 11 | 11 | 11 | 11 | 10 | 10 | 10 |
13 | 16 | 16 | 15 | 14 | 14 | 14 | 13 | 13 | 13 | 13 | 12 | 12 | 12 | 12 | 12 | 12 | 12 | 12 | 11 | 11 | 11 | 11 |
14 | 17 | 17 | 16 | 15 | 15 | 15 | 14 | 14 | 14 | 14 | 13 | 13 | 13 | 13 | 13 | 13 | 13 | 12 | 12 | 12 | 12 | 12 |
15 | 19 | 18 | 17 | 16 | 16 | 16 | 15 | 15 | 15 | 15 | 14 | 14 | 14 | 14 | 14 | 14 | 13 | 13 | 13 | 13 | 13 | 13 |
16 | 20 | 19 | 18 | 17 | 17 | 17 | 16 | 16 | 16 | 16 | 15 | 15 | 15 | 15 | 15 | 14 | 14 | 14 | 14 | 14 | 14 | 13 |
17 | 21 | 20 | 19 | 19 | 18 | 18 | 18 | 17 | 17 | 17 | 16 | 16 | 16 | 16 | 15 | 15 | 15 | 15 | 15 | 15 | 14 | 14 |
18 | 22 | 21 | 21 | 20 | 19 | 19 | 19 | 18 | 18 | 18 | 17 | 17 | 17 | 17 | 16 | 16 | 16 | 16 | 16 | 16 | 15 | 15 |
19 | 24 | 23 | 22 | 21 | 20 | 20 | 20 | 19 | 19 | 18 | 18 | 18 | 18 | 17 | 17 | 17 | 17 | 17 | 17 | 16 | 16 | 16 |
20 | 25 | 24 | 23 | 22 | 21 | 21 | 21 | 20 | 20 | 19 | 19 | 19 | 19 | 18 | 18 | 18 | 18 | 18 | 18 | 17 | 17 | 17 |
21 | 26 | 25 | 24 | 23 | 22 | 22 | 22 | 21 | 21 | 20 | 20 | 20 | 20 | 19 | 19 | 19 | 19 | 19 | 18 | 18 | 18 | 18 |
22 | 27 | 26 | 25 | 24 | 23 | 23 | 23 | 22 | 22 | 21 | 21 | 21 | 20 | 20 | 20 | 20 | 20 | 20 | 19 | 19 | 19 | 18 |
23 | 29 | 27 | 26 | 25 | 24 | 24 | 24 | 23 | 23 | 22 | 22 | 22 | 21 | 21 | 21 | 21 | 21 | 20 | 20 | 20 | 20 | 19 |
24 | 30 | 29 | 27 | 26 | 26 | 25 | 25 | 24 | 24 | 23 | 23 | 23 | 22 | 22 | 22 | 22 | 22 | 21 | 21 | 21 | 20 | 20 |
25 | 31 | 30 | 29 | 27 | 27 | 26 | 26 | 25 | 25 | 24 | 24 | 24 | 23 | 23 | 23 | 23 | 22 | 22 | 22 | 22 | 21 | 21 |
26 | 32 | 31 | 30 | 28 | 28 | 27 | 27 | 26 | 26 | 25 | 25 | 25 | 24 | 24 | 24 | 23 | 23 | 23 | 23 | 23 | 22 | 22 |
27 | 34 | 32 | 31 | 29 | 29 | 28 | 28 | 27 | 27 | 26 | 26 | 25 | 25 | 25 | 25 | 24 | 24 | 24 | 24 | 23 | 23 | 23 |
28 | 35 | 33 | 32 | 31 | 30 | 29 | 29 | 28 | 28 | 27 | 27 | 26 | 26 | 26 | 26 | 25 | 25 | 25 | 25 | 24 | 24 | 24 |
29 | 36 | 35 | 33 | 32 | 31 | 30 | 30 | 29 | 29 | 28 | 28 | 27 | 27 | 27 | 26 | 26 | 26 | 26 | 26 | 25 | 25 | 24 |
30 | 37 | 36 | 34 | 33 | 32 | 31 | 31 | 30 | 30 | 29 | 29 | 28 | 28 | 28 | 27 | 27 | 27 | 27 | 26 | 26 | 26 | 25 |
31 | 39 | 37 | 35 | 34 | 33 | 32 | 32 | 31 | 31 | 30 | 30 | 29 | 29 | 29 | 28 | 28 | 28 | 28 | 27 | 27 | 26 | 26 |
32 | 40 | 38 | 37 | 35 | 34 | 33 | 33 | 32 | 32 | 31 | 31 | 30 | 30 | 29 | 29 | 29 | 29 | 28 | 28 | 28 | 27 | 27 |
33 | 41 | 39 | 38 | 36 | 35 | 34 | 34 | 33 | 33 | 32 | 32 | 31 | 31 | 30 | 30 | 30 | 30 | 29 | 29 | 29 | 28 | 28 |
34 | 42 | 41 | 39 | 37 | 36 | 36 | 35 | 34 | 34 | 33 | 33 | 32 | 32 | 31 | 31 | 31 | 30 | 30 | 30 | 30 | 29 | 29 |
35 | 44 | 42 | 40 | 38 | 37 | 37 | 36 | 35 | 35 | 34 | 34 | 33 | 33 | 32 | 32 | 32 | 31 | 31 | 31 | 30 | 30 | 29 |
36 | 45 | 43 | 41 | 39 | 38 | 38 | 37 | 36 | 36 | 35 | 35 | 34 | 33 | 33 | 33 | 33 | 32 | 32 | 32 | 31 | 31 | 30 |
37 | 46 | 44 | 42 | 40 | 39 | 39 | 38 | 37 | 36 | 36 | 36 | 35 | 34 | 34 | 34 | 33 | 33 | 33 | 33 | 32 | 32 | 31 |
38 | 47 | 45 | 43 | 42 | 40 | 40 | 39 | 38 | 37 | 37 | 37 | 36 | 35 | 35 | 35 | 34 | 34 | 34 | 33 | 33 | 32 | 32 |
39 | 49 | 47 | 45 | 43 | 42 | 41 | 40 | 39 | 38 | 38 | 37 | 37 | 36 | 36 | 36 | 35 | 35 | 35 | 34 | 34 | 33 | 33 |
40 | 50 | 48 | 46 | 44 | 43 | 42 | 41 | 40 | 39 | 39 | 38 | 38 | 37 | 37 | 36 | 36 | 36 | 36 | 35 | 35 | 34 | 34 |
41 | 51 | 49 | 47 | 45 | 44 | 43 | 42 | 41 | 40 | 40 | 39 | 39 | 38 | 38 | 37 | 37 | 37 | 37 | 36 | 36 | 35 | 34 |
42 | 52 | 50 | 48 | 46 | 45 | 44 | 43 | 42 | 41 | 41 | 40 | 40 | 39 | 39 | 38 | 38 | 38 | 37 | 37 | 36 | 36 | 35 |
43 | 54 | 51 | 49 | 47 | 46 | 45 | 44 | 43 | 42 | 42 | 41 | 41 | 40 | 40 | 39 | 39 | 39 | 38 | 38 | 37 | 37 | 36 |
44 | 55 | 52 | 50 | 48 | 47 | 46 | 45 | 44 | 43 | 43 | 42 | 42 | 41 | 40 | 40 | 40 | 39 | 39 | 39 | 38 | 37 | 37 |
45 | 56 | 54 | 51 | 49 | 48 | 47 | 46 | 45 | 44 | 44 | 43 | 42 | 42 | 41 | 41 | 41 | 40 | 40 | 40 | 39 | 38 | 38 |
46 | 57 | 55 | 53 | 50 | 49 | 48 | 47 | 46 | 45 | 45 | 44 | 43 | 43 | 42 | 42 | 42 | 41 | 41 | 40 | 40 | 39 | 39 |
47 | 59 | 56 | 54 | 51 | 50 | 49 | 48 | 47 | 46 | 46 | 45 | 44 | 44 | 43 | 43 | 42 | 42 | 42 | 41 | 41 | 40 | 39 |
Фактическое удлинение, %, на длине базы 80 мм | Соответствующее удлинение, %, на длине базы | |||||||||||||||||||||
5 | 10 | 20 | 40 | 60 | 80 | 100 | 150 | 200 | 250 | 300 | 400 | 500 | 600 | 700 | 800 | 900 | 1000 | 1200 | 1500 | 2000 | 2500 | |
10 | 13 | 13 | 12 | 12 | 11 | 11 | 11 | 11 | 10 | 10 | 10 | 10 | 10 | 10 | 10 | 10 | 10 | 9 | 9 | 9 | 9 | 9 |
11 | 15 | 14 | 13 | 13 | 12 | 12 | 12 | 12 | 12 | 11 | 11 | 11 | 11 | 11 | 11 | 11 | 10 | 10 | 10 | 10 | 10 | 10 |
12 | 16 | 15 | 15 | 14 | 14 | 13 | 13 | 13 | 13 | 12 | 12 | 12 | 12 | 12 | 12 | 12 | 11 | 11 | 11 | 11 | 11 | 11 |
13 | 17 | 16 | 16 | 15 | 15 | 14 | 14 | 14 | 14 | 13 | 13 | 13 | 13 | 13 | 13 | 12 | 12 | 12 | 12 | 12 | 12 | 12 |
14 | 19 | 18 | 17 | 16 | 16 | 16 | 15 | 15 | 15 | 14 | 14 | 14 | 14 | 14 | 14 | 13 | 13 | 13 | 13 | 13 | 13 | 12 |
15 | 20 | 19 | 18 | 17 | 17 | 17 | 16 | 16 | 16 | 15 | 15 | 15 | 15 | 15 | 15 | 14 | 14 | 14 | 14 | 14 | 14 | 13 |
16 | 21 | 20 | 19 | 19 | 18 | 18 | 18 | 17 | 17 | 17 | 16 | 16 | 16 | 16 | 15 | 15 | 15 | 15 | 15 | 15 | 14 | 14 |
17 | 22 | 22 | 21 | 20 | 19 | 19 | 19 | 18 | 18 | 18 | 17 | 17 | 17 | 17 | 16 | 16 | 16 | 16 | 16 | 16 | 15 | 15 |
18 | 24 | 23 | 22 | 21 | 20 | 20 | 20 | 19 | 19 | 19 | 18 | 18 | 18 | 18 | 17 | 17 | 17 | 17 | 17 | 17 | 16 | 16 |
19 | 25 | 24 | 23 | 22 | 21 | 21 | 21 | 20 | 20 | 20 | 19 | 19 | 19 | 19 | 18 | 18 | 18 | 18 | 18 | 18 | 17 | 17 |
20 | 26 | 25 | 24 | 23 | 23 | 22 | 22 | 21 | 21 | 21 | 20 | 20 | 20 | 20 | 19 | 19 | 19 | 19 | 19 | 18 | 18 | 18 |
21 | 28 | 27 | 25 | 24 | 24 | 23 | 23 | 22 | 22 | 22 | 21 | 21 | 21 | 21 | 20 | 20 | 20 | 20 | 20 | 19 | 19 | 19 |
22 | 29 | 28 | 27 | 26 | 25 | 24 | 24 | 23 | 23 | 23 | 22 | 22 | 22 | 21 | 21 | 21 | 21 | 21 | 21 | 20 | 20 | 20 |
23 | 30 | 29 | 28 | 27 | 26 | 26 | 25 | 25 | 24 | 24 | 23 | 23 | 23 | 22 | 22 | 22 | 22 | 22 | 21 | 21 | 21 | 21 |
24 | 32 | 30 | 29 | 28 | 27 | 27 | 26 | 26 | 25 | 25 | 24 | 24 | 24 | 23 | 23 | 23 | 23 | 23 | 22 | 22 | 22 | 21 |
25 | 33 | 32 | 30 | 29 | 28 | 28 | 27 | 27 | 26 | 26 | 26 | 25 | 25 | 24 | 24 | 24 | 24 | 24 | 23 | 23 | 23 | 22 |
26 | 34 | 33 | 32 | 30 | 29 | 29 | 28 | 28 | 27 | 27 | 27 | 26 | 26 | 25 | 25 | 25 | 25 | 25 | 24 | 24 | 24 | 23 |
27 | 36 | 34 | 33 | 31 | 31 | 30 | 30 | 29 | 28 | 28 | 28 | 27 | 27 | 26 | 26 | 26 | 26 | 26 | 25 | 25 | 24 | 24 |
28 | 37 | 35 | 34 | 32 | 32 | 31 | 31 | 30 | 29 | 29 | 29 | 28 | 28 | 27 | 27 | 27 | 27 | 26 | 26 | 26 | 25 | 25 |
29 | 38 | 37 | 35 | 34 | 33 | 32 | 32 | 31 | 30 | 30 | 30 | 29 | 29 | 28 | 28 | 28 | 28 | 27 | 27 | 27 | 26 | 26 |
30 | 40 | 38 | 36 | 35 | 34 | 33 | 33 | 32 | 31 | 31 | 31 | 30 | 30 | 29 | 29 | 29 | 29 | 28 | 28 | 28 | 27 | 27 |
31 | 41 | 39 | 38 | 36 | 35 | 34 | 34 | 33 | 32 | 32 | 32 | 31 | 31 | 30 | 30 | 30 | 29 | 29 | 29 | 29 | 28 | 28 |
32 | 42 | 41 | 39 | 37 | 36 | 36 | 35 | 34 | 33 | 33 | 33 | 32 | 32 | 31 | 31 | 31 | 30 | 30 | 30 | 29 | 29 | 29 |
33 | 44 | 42 | 40 | 38 | 37 | 37 | 36 | 35 | 35 | 34 | 34 | 33 | 33 | 32 | 32 | 32 | 31 | 31 | 31 | 30 | 30 | 29 |
34 | 45 | 43 | 41 | 39 | 38 | 38 | 37 | 36 | 36 | 35 | 35 | 34 | 34 | 33 | 33 | 33 | 32 | 32 | 32 | 31 | 31 | 30 |
35 | 46 | 44 | 42 | 41 | 40 | 39 | 38 | 37 | 37 | 36 | 36 | 35 | 35 | 34 | 34 | 34 | 33 | 33 | 33 | 32 | 32 | 31 |
36 | 48 | 46 | 44 | 42 | 41 | 40 | 39 | 38 | 38 | 37 | 37 | 36 | 36 | 35 | 35 | 35 | 34 | 34 | 34 | 33 | 33 | 32 |
37 | 49 | 47 | 45 | 43 | 42 | 41 | 40 | 39 | 39 | 38 | 38 | 37 | 37 | 36 | 36 | 35 | 35 | 35 | 35 | 34 | 33 | 33 |
38 | 50 | 48 | 46 | 44 | 43 | 42 | 42 | 41 | 40 | 39 | 39 | 38 | 38 | 37 | 37 | 36 | 36 | 36 | 35 | 35 | 34 | 34 |
39 | 52 | 49 | 47 | 45 | 44 | 43 | 43 | 42 | 41 | 40 | 40 | 39 | 39 | 38 | 39 | 37 | 37 | 37 | 36 | 36 | 35 | 35 |
40 | 53 | 51 | 48 | 46 | 45 | 44 | 44 | 43 | 42 | 41 | 41 | 40 | 40 | 39 | 39 | 38 | 38 | 38 | 37 | 37 | 36 | 36 |
41 | 54 | 52 | 50 | 48 | 46 | 45 | 45 | 44 | 43 | 42 | 42 | 41 | 40 | 40 | 40 | 39 | 39 | 39 | 38 | 38 | 37 | 37 |
42 | 56 | 53 | 51 | 49 | 47 | 47 | 46 | 45 | 44 | 43 | 43 | 42 | 41 | 41 | 41 | 40 | 40 | 40 | 39 | 39 | 38 | 37 |
43 | 57 | 54 | 52 | 50 | 49 | 48 | 47 | 46 | 45 | 44 | 44 | 43 | 42 | 42 | 42 | 41 | 41 | 41 | 40 | 40 | 39 | 38 |
44 | 58 | 56 | 53 | 51 | 50 | 49 | 48 | 47 | 46 | 45 | 45 | 44 | 43 | 43 | 43 | 42 | 42 | 42 | 41 | 41 | 40 | 39 |
45 | 60 | 57 | 55 | 52 | 51 | 50 | 49 | 48 | 47 | 46 | 46 | 45 | 44 | 44 | 44 | 43 | 43 | 43 | 42 | 41 | 41 | 40 |
46 | 61 | 58 | 56 | 53 | 52 | 51 | 50 | 49 | 48 | 47 | 47 | 46 | 45 | 45 | 44 | 44 | 44 | 43 | 43 | 42 | 42 | 41 |
47 | 62 | 60 | 57 | 54 | 53 | 52 | 51 | 50 | 49 | 49 | 48 | 47 | 46 | 46 | 45 | 45 | 45 | 44 | 44 | 43 | 43 | 42 |
Фактическое удлинение, %, на длине базы 100 мм | Соответствующее удлинение, %, на длине базы | |||||||||||||||||||||
5 | 10 | 20 | 40 | 60 | 80 | 100 | 150 | 200 | 250 | 300 | 400 | 500 | 600 | 700 | 800 | 900 | 1000 | 1200 | 1500 | 2000 | 2500 | |
10 | 14 | 13 | 12 | 12 | 12 | 11 | 11 | 11 | 11 | 11 | 10 | 10 | 10 | 10 | 10 | 10 | 10 | 10 | 10 | 9 | 9 | 9 |
11 | 15 | 14 | 14 | 13 | 13 | 13 | 12 | 12 | 12 | 12 | 12 | 11 | 11 | 11 | 11 | 11 | 11 | 11 | 11 | 10 | 10 | 10 |
12 | 16 | 16 | 15 | 14 | 14 | 14 | 14 | 13 | 13 | 13 | 13 | 12 | 12 | 12 | 12 | 12 | 12 | 12 | 12 | 11 | 11 | 11 |
13 | 18 | 17 | 16 | 16 | 15 | 15 | 15 | 14 | 14 | 14 | 14 | 13 | 13 | 13 | 13 | 13 | 13 | 13 | 12 | 12 | 12 | 12 |
14 | 19 | 18 | 17 | 17 | 16 | 16 | 16 | 15 | 15 | 15 | 15 | 14 | 14 | 14 | 14 | 14 | 14 | 14 | 13 | 13 | 13 | 13 |
15 | 20 | 20 | 19 | 18 | 17 | 17 | 17 | 16 | 16 | 16 | 16 | 15 | 15 | 15 | 15 | 15 | 15 | 15 | 14 | 14 | 14 | 14 |
16 | 22 | 21 | 20 | 19 | 19 | 18 | 18 | 18 | 17 | 17 | 17 | 16 | 16 | 16 | 16 | 16 | 16 | 16 | 15 | 15 | 15 | 15 |
17 | 23 | 22 | 21 | 20 | 20 | 19 | 19 | 19 | 18 | 18 | 18 | 18 | 17 | 17 | 17 | 17 | 17 | 17 | 16 | 16 | 16 | 16 |
18 | 25 | 23 | 22 | 21 | 21 | 21 | 20 | 20 | 19 | 19 | 19 | 19 | 18 | 18 | 18 | 18 | 18 | 18 | 17 | 17 | 17 | 17 |
19 | 26 | 25 | 24 | 23 | 22 | 22 | 21 | 21 | 20 | 20 | 20 | 20 | 19 | 19 | 19 | 19 | 19 | 18 | 18 | 18 | 18 | 17 |
20 | 27 | 26 | 25 | 24 | 23 | 23 | 23 | 22 | 22 | 21 | 21 | 21 | 20 | 20 | 20 | 20 | 20 | 19 | 19 | 19 | 19 | 18 |
21 | 29 | 27 | 26 | 25 | 24 | 24 | 24 | 23 | 23 | 22 | 22 | 22 | 21 | 21 | 21 | 21 | 21 | 20 | 20 | 20 | 20 | 19 |
22 | 30 | 29 | 27 | 26 | 26 | 25 | 25 | 24 | 24 | 23 | 23 | 23 | 22 | 22 | 22 | 22 | 22 | 21 | 21 | 21 | 20 | 20 |
23 | 31 | 30 | 29 | 27 | 27 | 26 | 26 | 25 | 25 | 24 | 24 | 24 | 23 | 23 | 23 | 23 | 23 | 22 | 22 | 22 | 21 | 21 |
24 | 33 | 31 | 30 | 29 | 28 | 27 | 27 | 26 | 26 | 25 | 25 | 25 | 24 | 24 | 24 | 24 | 23 | 23 | 23 | 23 | 22 | 22 |
25 | 34 | 33 | 31 | 30 | 29 | 29 | 28 | 27 | 27 | 27 | 26 | 26 | 25 | 25 | 25 | 25 | 24 | 24 | 24 | 24 | 23 | 23 |
26 | 35 | 34 | 32 | 31 | 30 | 30 | 29 | 29 | 28 | 28 | 27 | 27 | 26 | 26 | 26 | 26 | 25 | 25 | 25 | 25 | 24 | 24 |
27 | 37 | 35 | 34 | 32 | 31 | 31 | 30 | 30 | 29 | 29 | 28 | 28 | 27 | 27 | 27 | 27 | 26 | 26 | 26 | 26 | 25 | 25 |
28 | 38 | 36 | 35 | 33 | 33 | 32 | 32 | 31 | 30 | 30 | 29 | 29 | 28 | 28 | 28 | 28 | 27 | 27 | 27 | 27 | 26 | 26 |
29 | 39 | 38 | 36 | 35 | 34 | 33 | 33 | 32 | 31 | 31 | 30 | 30 | 29 | 29 | 29 | 29 | 28 | 28 | 28 | 27 | 27 | 27 |
30 | 41 | 39 | 37 | 36 | 35 | 34 | 34 | 33 | 32 | 32 | 31 | 31 | 30 | 30 | 30 | 30 | 29 | 29 | 29 | 28 | 28 | 28 |
31 | 42 | 40 | 39 | 37 | 36 | 35 | 35 | 34 | 33 | 33 | 33 | 32 | 31 | 31 | 31 | 31 | 30 | 30 | 30 | 29 | 29 | 28 |
32 | 44 | 42 | 40 | 38 | 37 | 37 | 36 | 35 | 34 | 34 | 34 | 33 | 33 | 32 | 32 | 32 | 31 | 31 | 31 | 30 | 30 | 29 |
33 | 45 | 43 | 41 | 39 | 38 | 38 | 37 | 36 | 36 | 35 | 35 | 34 | 34 | 33 | 33 | 33 | 32 | 32 | 32 | 31 | 31 | 30 |
34 | 46 | 44 | 42 | 41 | 40 | 39 | 38 | 37 | 37 | 36 | 36 | 35 | 35 | 34 | 34 | 34 | 33 | 33 | 33 | 32 | 32 | 31 |
35 | 48 | 46 | 44 | 42 | 41 | 40 | 39 | 38 | 38 | 37 | 37 | 36 | 36 | 35 | 35 | 35 | 34 | 34 | 34 | 33 | 33 | 32 |
36 | 49 | 47 | 45 | 43 | 42 | 41 | 41 | 39 | 39 | 38 | 38 | 37 | 37 | 36 | 36 | 36 | 35 | 35 | 35 | 34 | 33 | 33 |
37 | 50 | 48 | 46 | 44 | 43 | 42 | 42 | 41 | 40 | 39 | 39 | 38 | 38 | 37 | 37 | 36 | 36 | 36 | 36 | 35 | 34 | 34 |
38 | 52 | 49 | 47 | 45 | 44 | 43 | 43 | 42 | 41 | 40 | 40 | 39 | 39 | 38 | 38 | 37 | 37 | 37 | 37 | 36 | 35 | 35 |
39 | 53 | 51 | 49 | 47 | 45 | 45 | 44 | 43 | 42 | 41 | 41 | 40 | 40 | 39 | 39 | 38 | 38 | 38 | 37 | 37 | 36 | 36 |
40 | 54 | 52 | 50 | 48 | 46 | 46 | 45 | 44 | 43 | 42 | 42 | 41 | 41 | 40 | 40 | 39 | 39 | 39 | 38 | 38 | 37 | 37 |
41 | 56 | 53 | 51 | 49 | 48 | 47 | 46 | 45 | 44 | 44 | 43 | 42 | 42 | 41 | 41 | 40 | 40 | 40 | 39 | 39 | 38 | 38 |
42 | 57 | 55 | 52 | 50 | 49 | 48 | 47 | 46 | 45 | 45 | 44 | 43 | 43 | 42 | 42 | 41 | 41 | 41 | 40 | 40 | 39 | 39 |
43 | 59 | 56 | 54 | 51 | 50 | 49 | 48 | 47 | 46 | 46 | 45 | 44 | 44 | 43 | 43 | 42 | 42 | 42 | 41 | 41 | 40 | 39 |
44 | 60 | 57 | 55 | 52 | 51 | 50 | 50 | 48 | 47 | 47 | 46 | 45 | 45 | 44 | 44 | 43 | 43 | 43 | 42 | 42 | 41 | 40 |
45 | 61 | 59 | 56 | 54 | 52 | 51 | 51 | 49 | 48 | 48 | 47 | 46 | 46 | 45 | 45 | 44 | 44 | 44 | 43 | 43 | 42 | 41 |
46 | 63 | 60 | 57 | 55 | 53 | 53 | 52 | 50 | 50 | 49 | 48 | 47 | 47 | 46 | 46 | 45 | 45 | 45 | 44 | 44 | 43 | 42 |
47 | 64 | 61 | 59 | 56 | 55 | 54 | 53 | 52 | 51 | 50 | 49 | 48 | 48 | 47 | 47 | 46 | 46 | 46 | 45 | 45 | 44 | 43 |
Фактическое удлинение, %, на длине базы 200 мм | Соответствующее удлинение, %, на длине базы | |||||||||||||||||||||
5 | 10 | 20 | 40 | 60 | 80 | 100 | 150 | 200 | 250 | 300 | 400 | 500 | 600 | 700 | 800 | 900 | 1000 | 1200 | 1500 | 2000 | 2500 | |
10 | 15 | 14 | 14 | 13 | 13 | 12 | 12 | 12 | 12 | 12 | 11 | 11 | 11 | 11 | 11 | 11 | 11 | 11 | 10 | 10 | 10 | 10 |
11 | 16 | 16 | 15 | 14 | 14 | 13 | 14 | 13 | 13 | 13 | 13 | 12 | 12 | 12 | 12 | 12 | 12 | 12 | 12 | 11 | 11 | 11 |
12 | 18 | 17 | 16 | 16 | 15 | 15 | 15 | 14 | 14 | 14 | 14 | 14 | 13 | 13 | 13 | 13 | 13 | 13 | 13 | 12 | 12 | 12 |
13 | 19 | 18 | 18 | 17 | 17 | 16 | 16 | 16 | 15 | 15 | 15 | 15 | 14 | 14 | 14 | 14 | 14 | 14 | 14 | 13 | 13 | 13 |
14 | 21 | 20 | 19 | 18 | 18 | 17 | 17 | 17 | 16 | 16 | 16 | 16 | 16 | 15 | 15 | 15 | 15 | 15 | 15 | 14 | 14 | 14 |
15 | 22 | 21 | 20 | 20 | 19 | 19 | 18 | 18 | 18 | 17 | 17 | 17 | 17 | 16 | 16 | 16 | 16 | 16 | 16 | 16 | 15 | 15 |
16 | 24 | 23 | 22 | 21 | 20 | 20 | 20 | 19 | 19 | 19 | 18 | 18 | 18 | 18 | 17 | 17 | 17 | 17 | 17 | 17 | 16 | 16 |
17 | 25 | 24 | 23 | 22 | 22 | 21 | 21 | 20 | 20 | 20 | 19 | 19 | 19 | 19 | 18 | 18 | 18 | 18 | 18 | 18 | 17 | 17 |
18 | 27 | 26 | 25 | 23 | 23 | 22 | 22 | 22 | 21 | 21 | 21 | 20 | 20 | 20 | 20 | 19 | 19 | 19 | 19 | 19 | 18 | 18 |
19 | 28 | 27 | 26 | 25 | 24 | 24 | 23 | 23 | 22 | 22 | 22 | 21 | 21 | 21 | 21 | 20 | 20 | 20 | 20 | 20 | 19 | 19 |
20 | 30 | 28 | 27 | 26 | 25 | 25 | 25 | 24 | 24 | 23 | 23 | 23 | 22 | 22 | 22 | 22 | 21 | 21 | 21 | 21 | 20 | 20 |
21 | 31 | 30 | 29 | 27 | 27 | 26 | 26 | 25 | 25 | 24 | 24 | 24 | 23 | 23 | 23 | 23 | 22 | 22 | 22 | 22 | 21 | 21 |
22 | 33 | 31 | 30 | 29 | 28 | 27 | 27 | 26 | 26 | 26 | 25 | 25 | 24 | 24 | 24 | 24 | 24 | 23 | 23 | 23 | 22 | 22 |
23 | 34 | 33 | 31 | 30 | 29 | 29 | 28 | 28 | 27 | 27 | 26 | 26 | 26 | 25 | 25 | 25 | 25 | 24 | 24 | 24 | 23 | 23 |
24 | 36 | 34 | 33 | 31 | 30 | 30 | 29 | 29 | 28 | 28 | 28 | 27 | 27 | 26 | 26 | 26 | 26 | 25 | 25 | 25 | 24 | 24 |
25 | 37 | 36 | 34 | 33 | 32 | 31 | 31 | 30 | 29 | 29 | 29 | 28 | 28 | 27 | 27 | 27 | 27 | 27 | 26 | 26 | 25 | 25 |
26 | 39 | 37 | 35 | 34 | 33 | 32 | 32 | 31 | 31 | 30 | 30 | 29 | 29 | 29 | 28 | 28 | 28 | 28 | 27 | 27 | 26 | 26 |
27 | 40 | 38 | 37 | 35 | 34 | 34 | 33 | 32 | 32 | 31 | 31 | 30 | 30 | 30 | 29 | 29 | 29 | 29 | 28 | 28 | 27 | 27 |
28 | 42 | 40 | 38 | 36 | 36 | 35 | 34 | 34 | 33 | 32 | 32 | 32 | 31 | 31 | 30 | 30 | 30 | 30 | 29 | 29 | 28 | 28 |
29 | 43 | 41 | 39 | 38 | 37 | 36 | 36 | 35 | 34 | 34 | 33 | 33 | 32 | 32 | 31 | 31 | 31 | 31 | 30 | 30 | 29 | 29 |
30 | 45 | 43 | 41 | 39 | 38 | 37 | 37 | 36 | 35 | 35 | 34 | 34 | 33 | 33 | 33 | 32 | 32 | 32 | 31 | 31 | 30 | 30 |
31 | 46 | 44 | 42 | 40 | 39 | 39 | 38 | 37 | 36 | 36 | 36 | 35 | 34 | 34 | 34 | 33 | 33 | 33 | 33 | 32 | 31 | 31 |
32 | 48 | 46 | 44 | 42 | 41 | 40 | 39 | 38 | 38 | 37 | 37 | 36 | 36 | 35 | 35 | 34 | 34 | 34 | 34 | 33 | 33 | 32 |
33 | 49 | 47 | 45 | 43 | 42 | 41 | 41 | 40 | 39 | 38 | 38 | 37 | 37 | 36 | 36 | 36 | 35 | 35 | 35 | 34 | 34 | 33 |
34 | 51 | 48 | 46 | 44 | 43 | 42 | 42 | 41 | 40 | 39 | 39 | 38 | 38 | 37 | 37 | 37 | 36 | 36 | 36 | 35 | 35 | 34 |
35 | 52 | 50 | 48 | 46 | 44 | 44 | 43 | 42 | 41 | 41 | 40 | 39 | 39 | 38 | 38 | 38 | 37 | 37 | 37 | 36 | 36 | 35 |
36 | 54 | 51 | 49 | 47 | 46 | 45 | 44 | 43 | 42 | 42 | 41 | 41 | 40 | 39 | 39 | 39 | 38 | 38 | 38 | 37 | 37 | 36 |
37 | 55 | 53 | 50 | 48 | 47 | 46 | 45 | 44 | 44 | 43 | 42 | 42 | 41 | 41 | 40 | 40 | 40 | 39 | 39 | 38 | 38 | 37 |
38 | 56 | 54 | 52 | 49 | 48 | 47 | 47 | 46 | 45 | 44 | 44 | 43 | 42 | 42 | 41 | 41 | 41 | 40 | 40 | 39 | 39 | 38 |
39 | 58 | 55 | 53 | 51 | 50 | 49 | 48 | 47 | 46 | 45 | 45 | 44 | 43 | 43 | 42 | 42 | 42 | 41 | 41 | 40 | 40 | 39 |
40 | 59 | 57 | 54 | 52 | 51 | 50 | 49 | 48 | 47 | 46 | 46 | 45 | 44 | 44 | 43 | 43 | 43 | 42 | 42 | 41 | 41 | 40 |
41 | 61 | 58 | 56 | 53 | 52 | 51 | 50 | 49 | 48 | 48 | 47 | 46 | 45 | 45 | 45 | 44 | 44 | 44 | 43 | 42 | 42 | 41 |
42 | 62 | 60 | 57 | 55 | 53 | 52 | 52 | 50 | 49 | 49 | 48 | 47 | 47 | 46 | 46 | 45 | 45 | 45 | 44 | 43 | 43 | 42 |
43 | 64 | 61 | 59 | 56 | 55 | 54 | 53 | 51 | 51 | 50 | 49 | 48 | 48 | 47 | 47 | 46 | 46 | 46 | 45 | 44 | 44 | 43 |
44 | 65 | 63 | 60 | 57 | 56 | 55 | 54 | 53 | 52 | 51 | 50 | 50 | 49 | 48 | 48 | 47 | 47 | 47 | 46 | 46 | 45 | 44 |
45 | 67 | 64 | 61 | 59 | 57 | 56 | 55 | 54 | 53 | 52 | 52 | 51 | 50 | 49 | 49 | 48 | 48 | 48 | 47 | 47 | 46 | 45 |
46 | 68 | 65 | 63 | 60 | 58 | 57 | 57 | 55 | 54 | 53 | 53 | 52 | 51 | 50 | 50 | 50 | 49 | 49 | 48 | 48 | 47 | 46 |
47 | 70 | 67 | 64 | 61 | 60 | 59 | 58 | 56 | 55 | 54 | 54 | 53 | 52 | 52 | 51 | 51 | 50 | 50 | 49 | 49 | 48 | 47 |

Фактическое удлинение, %, на длине базы ![]() | Соответствующее удлинение, %, на длине базы 50 мм, если площадь поперечного сечения, мм2, равна | |||||||||||||||||||||
5 | 10 | 20 | 40 | 60 | 80 | 100 | 150 | 200 | 250 | 300 | 400 | 500 | 600 | 700 | 800 | 900 | 1000 | 1200 | 1500 | 2000 | 2500 | |
10 | 8 | 9 | 9 | 10 | 10 | 10 | 10 | 10 | 11 | 11 | 11 | 11 | 11 | 11 | 12 | 12 | 12 | 12 | 12 | 12 | 12 | 13 |
11 | 9 | 10 | 10 | 11 | 11 | 11 | 11 | 12 | 12 | 12 | 12 | 12 | 12 | 13 | 13 | 13 | 13 | 13 | 13 | 13 | 14 | 14 |
12 | 10 | 11 | 11 | 12 | 12 | 12 | 12 | 13 | 13 | 13 | 13 | 13 | 14 | 14 | 14 | 14 | 14 | 14 | 14 | 15 | 15 | 15 |
13 | 11 | 11 | 12 | 12 | 13 | 13 | 13 | 14 | 14 | 14 | 14 | 14 | 15 | 15 | 15 | 15 | 15 | 15 | 16 | 16 | 16 | 16 |
14 | 12 | 12 | 13 | 13 | 14 | 14 | 14 | 15 | 15 | 15 | 15 | 16 | 16 | 16 | 16 | 16 | 16 | 17 | 17 | 17 | 17 | 18 |
15 | 13 | 13 | 14 | 14 | 15 | 15 | 15 | 16 | 16 | 16 | 16 | 17 | 17 | 17 | 17 | 17 | 18 | 18 | 18 | 18 | 18 | 19 |
16 | 13 | 14 | 15 | 15 | 16 | 16 | 16 | 17 | 17 | 17 | 17 | 18 | 18 | 18 | 18 | 19 | 19 | 19 | 19 | 19 | 20 | 20 |
17 | 14 | 15 | 16 | 16 | 17 | 17 | 17 | 18 | 18 | 18 | 19 | 19 | 19 | 19 | 20 | 20 | 20 | 20 | 20 | 21 | 21 | 21 |
18 | 15 | 16 | 17 | 17 | 18 | 18 | 18 | 19 | 19 | 19 | 20 | 20 | 20 | 21 | 21 | 21 | 21 | 21 | 21 | 22 | 22 | 23 |
19 | 16 | 17 | 17 | 18 | 19 | 19 | 19 | 20 | 20 | 21 | 21 | 21 | 21 | 22 | 22 | 22 | 22 | 22 | 23 | 23 | 23 | 24 |
20 | 17 | 18 | 18 | 19 | 20 | 20 | 20 | 21 | 21 | 22 | 22 | 22 | 23 | 23 | 23 | 23 | 23 | 24 | 24 | 24 | 25 | 25 |
21 | 18 | 18 | 19 | 20 | 21 | 21 | 21 | 22 | 22 | 23 | 23 | 23 | 24 | 24 | 24 | 24 | 25 | 25 | 25 | 25 | 26 | 26 |
22 | 19 | 19 | 20 | 21 | 22 | 22 | 22 | 23 | 23 | 24 | 24 | 24 | 25 | 25 | 25 | 26 | 26 | 26 | 26 | 27 | 27 | 28 |
23 | 19 | 20 | 21 | 22 | 23 | 23 | 23 | 24 | 24 | 25 | 25 | 26 | 26 | 26 | 27 | 27 | 27 | 27 | 27 | 28 | 28 | 29 |
24 | 20 | 21 | 22 | 23 | 24 | 24 | 24 | 25 | 26 | 26 | 26 | 27 | 27 | 27 | 28 | 28 | 28 | 28 | 29 | 29 | 30 | 30 |
25 | 21 | 22 | 23 | 24 | 25 | 25 | 25 | 26 | 27 | 27 | 27 | 28 | 28 | 29 | 29 | 29 | 29 | 29 | 30 | 30 | 31 | 31 |
26 | 22 | 23 | 24 | 25 | 26 | 26 | 26 | 27 | 28 | 28 | 28 | 29 | 29 | 30 | 30 | 30 | 30 | 31 | 31 | 31 | 32 | 33 |
27 | 23 | 24 | 25 | 26 | 27 | 27 | 28 | 28 | 29 | 29 | 29 | 30 | 30 | 31 | 31 | 31 | 32 | 32 | 32 | 33 | 33 | 34 |
28 | 24 | 25 | 26 | 27 | 28 | 28 | 29 | 29 | 30 | 30 | 31 | 31 | 32 | 32 | 32 | 33 | 33 | 33 | 33 | 34 | 35 | 35 |
29 | 24 | 26 | 27 | 28 | 29 | 29 | 30 | 30 | 31 | 31 | 32 | 32 | 33 | 33 | 33 | 34 | 34 | 34 | 35 | 35 | 36 | 36 |
30 | 25 | 26 | 28 | 29 | 30 | 30 | 31 | 31 | 32 | 32 | 33 | 33 | 34 | 34 | 34 | 35 | 35 | 35 | 36 | 36 | 37 | 38 |
31 | 26 | 27 | 29 | 30 | 31 | 31 | 32 | 32 | 33 | 33 | 34 | 34 | 35 | 35 | 36 | 36 | 36 | 37 | 37 | 38 | 38 | 39 |
32 | 27 | 28 | 29 | 31 | 32 | 32 | 33 | 33 | 34 | 35 | 35 | 36 | 36 | 37 | 37 | 37 | 37 | 38 | 38 | 39 | 39 | 40 |
33 | 28 | 29 | 30 | 32 | 33 | 33 | 34 | 35 | 35 | 36 | 36 | 37 | 37 | 38 | 38 | 38 | 39 | 39 | 39 | 40 | 41 | 41 |
34 | 29 | 30 | 31 | 33 | 34 | 34 | 35 | 36 | 36 | 37 | 37 | 38 | 38 | 39 | 39 | 40 | 40 | 40 | 41 | 41 | 42 | 43 |
35 | 29 | 31 | 32 | 34 | 35 | 35 | 36 | 37 | 37 | 38 | 38 | 39 | 39 | 40 | 40 | 41 | 41 | 41 | 42 | 42 | 43 | 44 |
36 | 30 | 32 | 33 | 35 | 36 | 36 | 37 | 38 | 38 | 39 | 39 | 40 | 41 | 41 | 42 | 42 | 42 | 42 | 43 | 44 | 44 | 45 |
37 | 31 | 33 | 34 | 36 | 36 | 37 | 38 | 39 | 39 | 40 | 40 | 41 | 42 | 42 | 43 | 43 | 43 | 44 | 44 | 45 | 46 | 46 |
38 | 32 | 33 | 35 | 37 | 37 | 38 | 39 | 40 | 40 | 41 | 42 | 42 | 43 | 43 | 44 | 44 | 45 | 45 | 45 | 46 | 47 | 48 |
39 | 33 | 34 | 36 | 37 | 38 | 39 | 40 | 41 | 42 | 42 | 43 | 43 | 44 | 45 | 45 | 45 | 46 | 46 | 47 | 47 | 48 | 49 |
40 | 34 | 35 | 37 | 38 | 39 | 40 | 41 | 42 | 43 | 43 | 44 | 45 | 45 | 46 | 46 | 47 | 47 | 47 | 48 | 48 | 49 | 50 |
41 | 35 | 36 | 38 | 39 | 40 | 41 | 42 | 43 | 44 | 44 | 45 | 46 | 46 | 47 | 47 | 48 | 48 | 48 | 49 | 50 | 51 | 51 |
42 | 35 | 37 | 39 | 40 | 41 | 42 | 43 | 44 | 45 | 45 | 46 | 47 | 47 | 48 | 48 | 49 | 49 | 50 | 50 | 51 | 52 | 53 |
43 | 36 | 38 | 40 | 41 | 42 | 43 | 44 | 45 | 46 | 46 | 47 | 48 | 49 | 49 | 50 | 50 | 50 | 51 | 51 | 52 | 53 | 54 |
44 | 37 | 39 | 40 | 42 | 43 | 44 | 45 | 46 | 47 | 48 | 48 | 49 | 50 | 50 | 51 | 51 | 52 | 52 | 52 | 53 | 54 | 55 |
45 | 38 | 40 | 41 | 43 | 44 | 45 | 46 | 47 | 48 | 49 | 49 | 50 | 51 | 51 | 52 | 52 | 53 | 53 | 54 | 54 | 55 | 56 |
46 | 39 | 40 | 42 | 44 | 45 | 46 | 47 | 48 | 49 | 50 | 50 | 51 | 52 | 53 | 53 | 53 | 54 | 54 | 55 | 56 | 57 | 58 |
47 | 40 | 41 | 43 | 45 | 46 | 47 | 48 | 49 | 50 | 51 | 51 | 52 | 53 | 54 | 54 | 55 | 55 | 55 | 56 | 57 | 58 | 59 |

Фактическое удлинение, %, на длине базы ![]() | Соответствующее удлинение, %, на длине базы 80 мм, если площадь поперечного сечения, мм2, равна | |||||||||||||||||||||
5 | 10 | 20 | 40 | 60 | 80 | 100 | 150 | 200 | 250 | 300 | 400 | 500 | 600 | 700 | 800 | 900 | 1000 | 1200 | 1500 | 2000 | 2500 | |
10 | 8 | 8 | 9 | 9 | 9 | 9 | 10 | 10 | 10 | 10 | 10 | 10 | 11 | 11 | 11 | 11 | 11 | 11 | 11 | 11 | 12 | 12 |
11 | 9 | 9 | 10 | 10 | 10 | 10 | 11 | 11 | 11 | 11 | 11 | 12 | 12 | 12 | 12 | 12 | 12 | 12 | 12 | 13 | 13 | 13 |
12 | 10 | 10 | 10 | 11 | 11 | 11 | 12 | 12 | 12 | 12 | 12 | 13 | 13 | 13 | 13 | 13 | 13 | 13 | 13 | 14 | 14 | 14 |
13 | 10 | 11 | 11 | 12 | 12 | 12 | 12 | 13 | 13 | 13 | 13 | 14 | 14 | 14 | 14 | 14 | 14 | 14 | 15 | 15 | 15 | 15 |
14 | 11 | 12 | 12 | 13 | 13 | 13 | 13 | 14 | 14 | 14 | 14 | 15 | 15 | 15 | 15 | 15 | 15 | 16 | 16 | 16 | 16 | 16 |
15 | 12 | 12 | 13 | 14 | 14 | 14 | 14 | 15 | 15 | 15 | 15 | 16 | 16 | 16 | 16 | 16 | 17 | 17 | 17 | 17 | 17 | 18 |
16 | 13 | 13 | 14 | 14 | 15 | 15 | 15 | 16 | 16 | 16 | 16 | 17 | 17 | 17 | 17 | 18 | 18 | 18 | 18 | 18 | 19 | 19 |
17 | 13 | 14 | 15 | 15 | 16 | 16 | 16 | 17 | 17 | 17 | 17 | 18 | 18 | 18 | 18 | 19 | 19 | 19 | 19 | 19 | 20 | 20 |
18 | 14 | 15 | 16 | 16 | 17 | 17 | 17 | 18 | 18 | 18 | 19 | 19 | 19 | 19 | 20 | 20 | 20 | 20 | 20 | 21 | 21 | 21 |
19 | 15 | 16 | 16 | 17 | 18 | 18 | 18 | 19 | 19 | 19 | 20 | 20 | 20 | 20 | 21 | 21 | 21 | 21 | 21 | 22 | 22 | 22 |
20 | 16 | 17 | 17 | 18 | 19 | 19 | 19 | 20 | 20 | 20 | 21 | 21 | 21 | 22 | 22 | 22 | 22 | 22 | 22 | 23 | 23 | 24 |
21 | 17 | 17 | 18 | 19 | 20 | 20 | 20 | 21 | 21 | 21 | 22 | 22 | 22 | 23 | 23 | 23 | 23 | 23 | 24 | 24 | 24 | 25 |
22 | 17 | 18 | 19 | 20 | 20 | 21 | 21 | 22 | 22 | 22 | 23 | 23 | 23 | 24 | 24 | 24 | 24 | 24 | 25 | 25 | 26 | 26 |
23 | 18 | 19 | 20 | 21 | 21 | 22 | 22 | 23 | 23 | 23 | 24 | 24 | 24 | 25 | 25 | 25 | 25 | 26 | 26 | 26 | 27 | 27 |
24 | 19 | 20 | 21 | 22 | 22 | 23 | 23 | 24 | 24 | 24 | 25 | 25 | 26 | 26 | 26 | 26 | 26 | 27 | 27 | 27 | 28 | 28 |
25 | 20 | 21 | 22 | 23 | 23 | 24 | 24 | 25 | 25 | 25 | 26 | 26 | 27 | 27 | 27 | 27 | 28 | 28 | 28 | 28 | 29 | 29 |
26 | 21 | 22 | 23 | 24 | 24 | 25 | 25 | 26 | 26 | 26 | 27 | 27 | 28 | 28 | 28 | 28 | 29 | 29 | 29 | 30 | 30 | 31 |
27 | 21 | 22 | 23 | 24 | 25 | 26 | 26 | 27 | 27 | 27 | 28 | 28 | 29 | 29 | 29 | 30 | 30 | 30 | 30 | 31 | 31 | 32 |
28 | 22 | 23 | 24 | 25 | 26 | 26 | 27 | 28 | 28 | 28 | 29 | 29 | 30 | 30 | 30 | 31 | 31 | 31 | 31 | 32 | 33 | 33 |
29 | 23 | 24 | 25 | 26 | 27 | 27 | 28 | 29 | 29 | 30 | 30 | 30 | 31 | 31 | 31 | 32 | 32 | 32 | 33 | 33 | 34 | 34 |
30 | 24 | 25 | 26 | 27 | 28 | 28 | 29 | 30 | 30 | 31 | 31 | 31 | 32 | 32 | 33 | 33 | 33 | 33 | 34 | 34 | 35 | 35 |
31 | 25 | 26 | 27 | 28 | 29 | 29 | 30 | 31 | 31 | 32 | 32 | 32 | 33 | 33 | 34 | 34 | 34 | 34 | 35 | 35 | 36 | 37 |
32 | 25 | 27 | 28 | 29 | 30 | 30 | 31 | 32 | 32 | 33 | 33 | 34 | 34 | 34 | 35 | 35 | 35 | 36 | 36 | 36 | 37 | 38 |
33 | 26 | 27 | 29 | 30 | 31 | 31 | 32 | 33 | 33 | 34 | 34 | 35 | 35 | 35 | 36 | 36 | 36 | 37 | 37 | 38 | 38 | 39 |
34 | 27 | 28 | 29 | 31 | 32 | 32 | 33 | 33 | 34 | 35 | 35 | 36 | 36 | 37 | 37 | 37 | 38 | 38 | 38 | 39 | 39 | 40 |
35 | 28 | 29 | 30 | 32 | 33 | 33 | 34 | 34 | 35 | 36 | 36 | 37 | 37 | 38 | 38 | 38 | 39 | 39 | 39 | 40 | 41 | 41 |
36 | 29 | 30 | 31 | 33 | 33 | 34 | 35 | 35 | 36 | 37 | 37 | 38 | 38 | 39 | 39 | 39 | 40 | 40 | 40 | 41 | 42 | 42 |
37 | 29 | 31 | 32 | 34 | 34 | 35 | 36 | 36 | 37 | 38 | 38 | 39 | 39 | 40 | 40 | 41 | 41 | 41 | 42 | 42 | 43 | 44 |
38 | 30 | 32 | 33 | 34 | 35 | 36 | 36 | 37 | 38 | 39 | 39 | 40 | 40 | 41 | 41 | 42 | 42 | 43 | 43 | 43 | 44 | 45 |
39 | 31 | 32 | 34 | 35 | 36 | 37 | 37 | 38 | 39 | 40 | 40 | 41 | 41 | 42 | 42 | 43 | 43 | 44 | 44 | 44 | 45 | 46 |
40 | 32 | 33 | 35 | 36 | 37 | 38 | 38 | 39 | 40 | 41 | 41 | 42 | 43 | 43 | 43 | 44 | 44 | 45 | 45 | 46 | 46 | 47 |
41 | 33 | 34 | 36 | 37 | 38 | 39 | 39 | 40 | 41 | 42 | 42 | 43 | 44 | 44 | 45 | 45 | 45 | 46 | 46 | 47 | 48 | 48 |
42 | 33 | 35 | 36 | 38 | 39 | 40 | 40 | 41 | 42 | 43 | 43 | 44 | 45 | 45 | 46 | 46 | 46 | 47 | 47 | 48 | 49 | 49 |
43 | 34 | 36 | 37 | 39 | 40 | 41 | 41 | 42 | 43 | 44 | 44 | 45 | 46 | 46 | 47 | 47 | 47 | 48 | 48 | 49 | 50 | 51 |
44 | 35 | 36 | 38 | 40 | 41 | 42 | 42 | 43 | 44 | 45 | 45 | 46 | 47 | 47 | 48 | 48 | 49 | 49 | 49 | 50 | 51 | 52 |
45 | 36 | 37 | 39 | 41 | 42 | 43 | 43 | 44 | 45 | 46 | 46 | 47 | 48 | 48 | 49 | 49 | 50 | 50 | 51 | 51 | 52 | 53 |
46 | 37 | 38 | 40 | 42 | 43 | 44 | 44 | 45 | 46 | 47 | 47 | 48 | 49 | 49 | 50 | 50 | 51 | 51 | 52 | 52 | 53 | 54 |
47 | 37 | 39 | 41 | 43 | 44 | 44 | 45 | 46 | 47 | 48 | 48 | 49 | 40 | 51 | 51 | 51 | 52 | 52 | 53 | 54 | 55 | 55 |

Фактическое удлинение, %, на длине базы ![]() | Соответствующее удлинение, %, на длине базы 100 мм, если площадь поперечного сечения, мм2, равна | |||||||||||||||||||||
5 | 10 | 20 | 40 | 60 | 80 | 100 | 150 | 200 | 250 | 300 | 400 | 500 | 600 | 700 | 800 | 900 | 1000 | 1200 | 1500 | 2000 | 2500 | |
10 | 8 | 8 | 8 | 9 | 9 | 9 | 9 | 10 | 10 | 10 | 10 | 10 | 10 | 10 | 11 | 11 | 11 | 11 | 11 | 11 | 11 | 11 |
11 | 8 | 9 | 9 | 10 | 10 | 10 | 10 | 11 | 11 | 11 | 11 | 11 | 11 | 12 | 12 | 12 | 12 | 12 | 12 | 12 | 12 | 13 |
12 | 9 | 10 | 10 | 11 | 11 | 11 | 11 | 11 | 12 | 12 | 12 | 12 | 12 | 13 | 13 | 13 | 13 | 13 | 13 | 13 | 14 | 14 |
13 | 10 | 10 | 11 | 11 | 12 | 12 | 12 | 12 | 13 | 13 | 13 | 13 | 13 | 14 | 14 | 14 | 14 | 14 | 14 | 14 | 15 | 15 |
14 | 11 | 11 | 12 | 12 | 13 | 13 | 13 | 13 | 14 | 14 | 14 | 14 | 14 | 15 | 15 | 15 | 15 | 15 | 15 | 16 | 16 | 16 |
15 | 12 | 12 | 13 | 13 | 14 | 14 | 14 | 14 | 15 | 15 | 15 | 15 | 16 | 16 | 16 | 16 | 16 | 16 | 16 | 17 | 17 | 17 |
16 | 12 | 13 | 13 | 14 | 14 | 15 | 15 | 15 | 16 | 16 | 16 | 16 | 17 | 17 | 17 | 17 | 17 | 17 | 17 | 18 | 18 | 18 |
17 | 13 | 14 | 14 | 15 | 15 | 16 | 16 | 16 | 17 | 17 | 17 | 17 | 18 | 18 | 18 | 18 | 18 | 18 | 19 | 19 | 19 | 19 |
18 | 14 | 15 | 15 | 16 | 16 | 17 | 17 | 17 | 18 | 18 | 18 | 18 | 19 | 19 | 19 | 19 | 19 | 19 | 20 | 20 | 20 | 21 |
19 | 15 | 15 | 16 | 17 | 17 | 17 | 18 | 18 | 19 | 19 | 19 | 19 | 20 | 20 | 20 | 20 | 20 | 21 | 21 | 22 | 21 | 22 |
20 | 15 | 16 | 17 | 18 | 18 | 18 | 19 | 19 | 20 | 20 | 20 | 20 | 21 | 21 | 21 | 21 | 21 | 22 | 22 | 22 | 23 | 23 |
21 | 16 | 17 | 18 | 18 | 19 | 19 | 20 | 20 | 20 | 21 | 21 | 21 | 22 | 22 | 22 | 22 | 23 | 23 | 23 | 23 | 24 | 24 |
22 | 17 | 18 | 19 | 19 | 20 | 20 | 21 | 21 | 21 | 22 | 22 | 22 | 23 | 23 | 23 | 23 | 24 | 24 | 24 | 24 | 25 | 25 |
23 | 18 | 19 | 19 | 20 | 21 | 21 | 21 | 22 | 22 | 23 | 23 | 23 | 24 | 24 | 24 | 24 | 25 | 25 | 25 | 25 | 26 | 26 |
24 | 19 | 19 | 20 | 21 | 22 | 22 | 22 | 23 | 23 | 24 | 24 | 24 | 25 | 25 | 25 | 26 | 26 | 26 | 26 | 27 | 27 | 27 |
25 | 19 | 20 | 21 | 22 | 23 | 23 | 23 | 24 | 24 | 25 | 25 | 25 | 26 | 26 | 26 | 27 | 27 | 27 | 27 | 28 | 28 | 29 |
26 | 20 | 21 | 22 | 23 | 23 | 24 | 24 | 25 | 25 | 26 | 26 | 26 | 27 | 27 | 27 | 28 | 28 | 28 | 28 | 29 | 29 | 30 |
27 | 21 | 22 | 23 | 24 | 24 | 25 | 25 | 26 | 26 | 27 | 27 | 28 | 28 | 28 | 29 | 29 | 29 | 29 | 29 | 30 | 30 | 31 |
28 | 22 | 23 | 24 | 25 | 25 | 26 | 26 | 27 | 27 | 28 | 28 | 29 | 29 | 29 | 30 | 30 | 30 | 30 | 31 | 31 | 32 | 32 |
29 | 22 | 23 | 24 | 26 | 26 | 27 | 27 | 28 | 28 | 29 | 29 | 30 | 30 | 30 | 31 | 31 | 31 | 31 | 32 | 32 | 33 | 33 |
30 | 23 | 24 | 25 | 26 | 27 | 28 | 28 | 29 | 29 | 30 | 30 | 31 | 31 | 31 | 32 | 32 | 32 | 32 | 33 | 33 | 34 | 34 |
31 | 24 | 25 | 26 | 27 | 28 | 29 | 29 | 30 | 30 | 31 | 31 | 32 | 32 | 32 | 33 | 33 | 33 | 33 | 34 | 34 | 35 | 35 |
32 | 25 | 26 | 27 | 28 | 29 | 29 | 30 | 31 | 31 | 32 | 32 | 33 | 33 | 33 | 34 | 34 | 34 | 35 | 35 | 35 | 36 | 37 |
33 | 25 | 27 | 28 | 29 | 30 | 30 | 31 | 32 | 32 | 33 | 33 | 34 | 34 | 35 | 35 | 35 | 35 | 36 | 36 | 37 | 37 | 38 |
34 | 26 | 27 | 29 | 30 | 31 | 31 | 32 | 33 | 33 | 34 | 34 | 35 | 35 | 36 | 36 | 36 | 36 | 37 | 37 | 38 | 38 | 39 |
35 | 27 | 28 | 29 | 31 | 32 | 32 | 33 | 34 | 34 | 35 | 35 | 36 | 36 | 37 | 37 | 37 | 38 | 38 | 38 | 39 | 39 | 40 |
36 | 28 | 29 | 30 | 32 | 33 | 33 | 34 | 34 | 35 | 36 | 36 | 37 | 37 | 38 | 38 | 38 | 39 | 39 | 39 | 40 | 41 | 41 |
37 | 29 | 30 | 31 | 33 | 33 | 34 | 35 | 35 | 36 | 37 | 37 | 38 | 38 | 39 | 39 | 39 | 40 | 40 | 40 | 41 | 42 | 42 |
38 | 29 | 31 | 32 | 33 | 34 | 35 | 35 | 36 | 37 | 38 | 38 | 39 | 39 | 40 | 40 | 40 | 41 | 41 | 42 | 42 | 43 | 43 |
39 | 30 | 31 | 33 | 34 | 35 | 36 | 36 | 37 | 38 | 39 | 39 | 40 | 40 | 41 | 41 | 42 | 42 | 42 | 43 | 43 | 44 | 45 |
40 | 31 | 32 | 34 | 35 | 36 | 37 | 37 | 38 | 39 | 40 | 40 | 41 | 41 | 42 | 42 | 43 | 43 | 43 | 44 | 44 | 45 | 46 |
41 | 32 | 33 | 35 | 36 | 37 | 38 | 38 | 39 | 40 | 41 | 41 | 42 | 42 | 43 | 43 | 44 | 44 | 44 | 45 | 45 | 46 | 47 |
42 | 32 | 34 | 35 | 37 | 38 | 39 | 39 | 40 | 41 | 42 | 42 | 43 | 43 | 44 | 44 | 45 | 45 | 45 | 46 | 47 | 47 | 48 |
43 | 33 | 35 | 36 | 38 | 39 | 40 | 40 | 41 | 42 | 43 | 43 | 44 | 44 | 45 | 45 | 46 | 46 | 46 | 47 | 48 | 49 | 49 |
44 | 34 | 35 | 37 | 39 | 40 | 40 | 41 | 42 | 43 | 44 | 44 | 45 | 45 | 46 | 46 | 47 | 47 | 48 | 48 | 49 | 50 | 50 |
45 | 35 | 36 | 38 | 40 | 41 | 41 | 42 | 43 | 44 | 45 | 45 | 46 | 47 | 47 | 48 | 48 | 48 | 49 | 49 | 50 | 51 | 52 |
46 | 35 | 37 | 39 | 40 | 42 | 42 | 43 | 44 | 45 | 45 | 46 | 47 | 48 | 48 | 49 | 49 | 49 | 50 | 50 | 51 | 52 | 53 |
47 | 36 | 38 | 40 | 41 | 42 | 43 | 44 | 45 | 46 | 46 | 47 | 48 | 49 | 49 | 50 | 50 | 50 | 51 | 51 | 52 | 53 | 54 |

Фактическое удлинение, %, на длине базы ![]() | Соответствующее удлинение, %, на длине базы 200 мм, если площадь поперечного сечения, мм2, равна | |||||||||||||||||||||
5 | 10 | 20 | 40 | 60 | 80 | 100 | 150 | 200 | 250 | 300 | 400 | 500 | 600 | 700 | 800 | 900 | 1000 | 1200 | 1500 | 2000 | 2500 | |
10 | 7 | 7 | 8 | 8 | 8 | 8 | 9 | 9 | 9 | 9 | 9 | 9 | 9 | 10 | 10 | 10 | 10 | 10 | 10 | 10 | 10 | 10 |
11 | 8 | 8 | 8 | 9 | 9 | 9 | 9 | 10 | 10 | 10 | 10 | 10 | 10 | 11 | 11 | 11 | 11 | 11 | 11 | 11 | 11 | 12 |
12 | 8 | 9 | 9 | 10 | 10 | 10 | 10 | 11 | 11 | 11 | 11 | 11 | 11 | 11 | 12 | 12 | 12 | 12 | 12 | 12 | 12 | 13 |
13 | 9 | 10 | 10 | 10 | 11 | 11 | 11 | 11 | 12 | 12 | 12 | 12 | 12 | 12 | 13 | 13 | 13 | 13 | 13 | 13 | 13 | 14 |
14 | 10 | 10 | 11 | 11 | 12 | 12 | 12 | 12 | 13 | 13 | 13 | 13 | 13 | 13 | 14 | 14 | 14 | 14 | 14 | 14 | 14 | 15 |
15 | 11 | 11 | 12 | 12 | 12 | 13 | 13 | 13 | 13 | 14 | 14 | 14 | 14 | 14 | 15 | 15 | 15 | 15 | 15 | 15 | 16 | 16 |
16 | 11 | 12 | 12 | 13 | 13 | 13 | 14 | 14 | 14 | 14 | 15 | 15 | 15 | 15 | 15 | 16 | 16 | 16 | 16 | 16 | 17 | 17 |
17 | 12 | 13 | 13 | 14 | 14 | 14 | 15 | 15 | 15 | 15 | 16 | 16 | 16 | 16 | 16 | 17 | 17 | 17 | 17 | 17 | 18 | 18 |
18 | 13 | 13 | 14 | 15 | 15 | 15 | 15 | 16 | 16 | 16 | 16 | 17 | 17 | 17 | 17 | 18 | 18 | 18 | 18 | 18 | 19 | 19 |
19 | 13 | 14 | 15 | 15 | 16 | 16 | 16 | 17 | 17 | 17 | 17 | 18 | 18 | 18 | 18 | 19 | 19 | 19 | 19 | 19 | 20 | 20 |
20 | 14 | 15 | 15 | 16 | 17 | 17 | 17 | 18 | 18 | 18 | 18 | 19 | 19 | 19 | 19 | 20 | 20 | 20 | 20 | 20 | 21 | 21 |
21 | 15 | 16 | 16 | 17 | 17 | 18 | 18 | 18 | 19 | 19 | 19 | 20 | 20 | 20 | 20 | 20 | 21 | 21 | 21 | 21 | 22 | 22 |
22 | 16 | 16 | 17 | 18 | 18 | 19 | 19 | 19 | 20 | 20 | 20 | 21 | 21 | 21 | 21 | 21 | 22 | 22 | 22 | 22 | 23 | 23 |
23 | 16 | 17 | 18 | 19 | 19 | 19 | 20 | 20 | 21 | 21 | 21 | 21 | 22 | 22 | 22 | 22 | 23 | 23 | 23 | 23 | 24 | 24 |
24 | 17 | 18 | 19 | 19 | 20 | 20 | 21 | 21 | 21 | 22 | 22 | 22 | 23 | 23 | 23 | 23 | 24 | 24 | 24 | 24 | 25 | 25 |
25 | 18 | 18 | 19 | 20 | 21 | 21 | 21 | 22 | 22 | 23 | 23 | 23 | 24 | 24 | 24 | 24 | 25 | 25 | 25 | 25 | 26 | 26 |
26 | 18 | 19 | 20 | 21 | 22 | 22 | 22 | 23 | 23 | 24 | 24 | 24 | 25 | 25 | 25 | 25 | 26 | 26 | 26 | 26 | 27 | 27 |
27 | 19 | 20 | 21 | 22 | 22 | 23 | 23 | 24 | 24 | 24 | 25 | 25 | 26 | 26 | 26 | 26 | 27 | 27 | 27 | 27 | 28 | 28 |
28 | 20 | 21 | 22 | 23 | 23 | 24 | 24 | 25 | 25 | 25 | 26 | 26 | 26 | 27 | 27 | 27 | 28 | 28 | 28 | 28 | 29 | 29 |
29 | 20 | 21 | 22 | 23 | 24 | 24 | 25 | 25 | 26 | 26 | 27 | 27 | 27 | 28 | 28 | 28 | 28 | 29 | 29 | 29 | 30 | 30 |
30 | 21 | 22 | 23 | 24 | 25 | 25 | 26 | 26 | 27 | 27 | 27 | 28 | 28 | 29 | 29 | 29 | 29 | 30 | 30 | 30 | 31 | 31 |
31 | 22 | 23 | 24 | 25 | 26 | 26 | 26 | 27 | 28 | 28 | 28 | 29 | 29 | 30 | 30 | 30 | 30 | 31 | 31 | 31 | 32 | 32 |
32 | 23 | 24 | 25 | 26 | 26 | 27 | 27 | 28 | 29 | 29 | 29 | 30 | 30 | 31 | 31 | 31 | 31 | 32 | 32 | 32 | 33 | 34 |
33 | 23 | 24 | 25 | 27 | 27 | 28 | 28 | 29 | 29 | 30 | 30 | 31 | 31 | 32 | 32 | 32 | 32 | 33 | 33 | 33 | 34 | 35 |
34 | 24 | 25 | 26 | 27 | 28 | 29 | 29 | 30 | 30 | 31 | 31 | 32 | 32 | 33 | 33 | 33 | 33 | 34 | 34 | 35 | 35 | 36 |
35 | 25 | 26 | 27 | 28 | 29 | 29 | 30 | 31 | 31 | 32 | 32 | 33 | 33 | 34 | 34 | 34 | 34 | 35 | 35 | 36 | 36 | 37 |
36 | 25 | 27 | 28 | 29 | 30 | 30 | 31 | 32 | 32 | 33 | 33 | 34 | 34 | 34 | 35 | 35 | 35 | 36 | 36 | 37 | 37 | 38 |
37 | 26 | 27 | 29 | 30 | 31 | 31 | 32 | 32 | 33 | 34 | 34 | 35 | 35 | 35 | 36 | 36 | 36 | 37 | 37 | 38 | 38 | 39 |
38 | 27 | 28 | 29 | 31 | 31 | 32 | 32 | 33 | 34 | 34 | 35 | 35 | 36 | 36 | 37 | 37 | 37 | 38 | 38 | 39 | 39 | 40 |
39 | 28 | 29 | 30 | 31 | 32 | 33 | 33 | 34 | 35 | 35 | 36 | 36 | 37 | 37 | 38 | 38 | 38 | 39 | 39 | 40 | 40 | 41 |
40 | 28 | 30 | 31 | 32 | 33 | 34 | 34 | 35 | 36 | 36 | 37 | 37 | 38 | 38 | 39 | 39 | 39 | 40 | 40 | 41 | 41 | 42 |
41 | 29 | 30 | 32 | 33 | 34 | 35 | 35 | 36 | 37 | 37 | 38 | 38 | 39 | 39 | 40 | 40 | 40 | 41 | 41 | 42 | 42 | 43 |
42 | 30 | 31 | 32 | 34 | 35 | 35 | 36 | 37 | 38 | 38 | 38 | 39 | 40 | 40 | 41 | 41 | 41 | 42 | 42 | 43 | 43 | 44 |
43 | 30 | 32 | 33 | 35 | 36 | 36 | 37 | 38 | 38 | 39 | 39 | 40 | 41 | 41 | 42 | 42 | 42 | 43 | 43 | 44 | 44 | 45 |
44 | 31 | 32 | 34 | 35 | 36 | 37 | 38 | 39 | 39 | 40 | 40 | 41 | 42 | 42 | 43 | 43 | 43 | 44 | 44 | 45 | 45 | 46 |
45 | 32 | 33 | 35 | 36 | 37 | 38 | 38 | 39 | 40 | 41 | 41 | 42 | 43 | 43 | 44 | 44 | 44 | 45 | 45 | 46 | 47 | 47 |
46 | 32 | 34 | 35 | 37 | 38 | 39 | 39 | 40 | 41 | 42 | 42 | 43 | 44 | 44 | 44 | 45 | 45 | 45 | 46 | 47 | 48 | 48 |
47 | 33 | 35 | 36 | 38 | 39 | 40 | 40 | 41 | 42 | 43 | 43 | 44 | 44 | 45 | 45 | 46 | 46 | 46 | 47 | 48 | 49 | 49 |
Фактическое удлинение, %, на длине базы | Соответствующее удлинение, %, на длине базы 50 мм, если площадь поперечного сечения, мм2, равна | |||||||||||||||||||||
5 | 10 | 20 | 40 | 60 | 80 | 100 | 150 | 200 | 250 | 300 | 400 | 500 | 600 | 700 | 800 | 900 | 1000 | 1200 | 1500 | 2000 | 2500 | |
10 | 8 | 8 | 9 | 9 | 9 | 10 | 10 | 10 | 10 | 10 | 10 | 11 | 11 | 11 | 11 | 11 | 11 | 11 | 11 | 12 | 12 | 12 |
11 | 9 | 9 | 10 | 10 | 10 | 11 | 11 | 11 | 11 | 11 | 11 | 12 | 12 | 12 | 12 | 12 | 12 | 12 | 12 | 13 | 13 | 13 |
12 | 10 | 10 | 11 | 11 | 11 | 11 | 12 | 12 | 12 | 12 | 12 | 13 | 13 | 13 | 13 | 13 | 13 | 13 | 14 | 14 | 14 | 14 |
13 | 10 | 11 | 11 | 12 | 12 | 12 | 13 | 13 | 13 | 13 | 14 | 14 | 14 | 14 | 14 | 14 | 14 | 15 | 15 | 15 | 15 | 15 |
14 | 11 | 12 | 12 | 13 | 13 | 13 | 14 | 14 | 14 | 14 | 15 | 15 | 15 | 15 | 15 | 15 | 16 | 16 | 16 | 16 | 16 | 17 |
15 | 12 | 13 | 13 | 14 | 14 | 14 | 15 | 15 | 15 | 15 | 16 | 16 | 16 | 16 | 16 | 17 | 17 | 17 | 17 | 17 | 18 | 18 |
16 | 13 | 13 | 14 | 15 | 15 | 15 | 16 | 16 | 16 | 16 | 17 | 17 | 17 | 17 | 18 | 18 | 18 | 18 | 18 | 18 | 19 | 19 |
17 | 14 | 14 | 15 | 16 | 16 | 16 | 16 | 17 | 17 | 17 | 18 | 18 | 18 | 18 | 19 | 19 | 19 | 19 | 19 | 20 | 20 | 20 |
18 | 14 | 15 | 16 | 16 | 17 | 17 | 17 | 18 | 18 | 19 | 19 | 19 | 19 | 20 | 20 | 20 | 20 | 20 | 20 | 21 | 21 | 21 |
19 | 15 | 16 | 17 | 17 | 18 | 18 | 18 | 19 | 19 | 20 | 20 | 20 | 20 | 21 | 21 | 21 | 21 | 21 | 22 | 22 | 22 | 23 |
20 | 16 | 17 | 18 | 18 | 19 | 19 | 19 | 20 | 20 | 21 | 21 | 21 | 21 | 22 | 22 | 22 | 22 | 22 | 23 | 23 | 23 | 24 |
21 | 17 | 18 | 18 | 19 | 20 | 20 | 20 | 21 | 21 | 22 | 22 | 22 | 23 | 23 | 23 | 23 | 23 | 24 | 24 | 24 | 25 | 25 |
22 | 18 | 18 | 19 | 20 | 21 | 21 | 21 | 22 | 22 | 23 | 23 | 23 | 24 | 24 | 24 | 24 | 25 | 25 | 25 | 25 | 26 | 26 |
23 | 18 | 19 | 20 | 21 | 22 | 22 | 22 | 23 | 23 | 24 | 24 | 24 | 25 | 25 | 25 | 25 | 26 | 26 | 26 | 26 | 27 | 27 |
24 | 19 | 20 | 21 | 22 | 23 | 23 | 23 | 24 | 24 | 25 | 25 | 25 | 26 | 26 | 26 | 27 | 27 | 27 | 27 | 28 | 28 | 29 |
25 | 20 | 21 | 22 | 23 | 23 | 24 | 24 | 25 | 25 | 26 | 26 | 26 | 27 | 27 | 27 | 28 | 28 | 28 | 28 | 29 | 29 | 30 |
26 | 21 | 22 | 23 | 24 | 24 | 25 | 25 | 26 | 26 | 27 | 27 | 28 | 28 | 28 | 29 | 29 | 29 | 29 | 30 | 30 | 31 | 31 |
27 | 22 | 23 | 24 | 25 | 25 | 26 | 26 | 27 | 27 | 28 | 28 | 29 | 29 | 29 | 30 | 30 | 30 | 30 | 31 | 31 | 32 | 32 |
28 | 22 | 23 | 25 | 26 | 26 | 27 | 27 | 28 | 28 | 29 | 29 | 30 | 30 | 30 | 31 | 31 | 31 | 31 | 32 | 32 | 33 | 33 |
29 | 23 | 24 | 25 | 27 | 27 | 28 | 28 | 29 | 29 | 30 | 30 | 31 | 31 | 32 | 32 | 32 | 32 | 33 | 33 | 33 | 34 | 35 |
30 | 24 | 25 | 26 | 27 | 28 | 29 | 29 | 30 | 30 | 31 | 31 | 32 | 32 | 33 | 33 | 33 | 33 | 34 | 34 | 35 | 35 | 36 |
31 | 25 | 26 | 27 | 28 | 29 | 30 | 30 | 31 | 31 | 32 | 32 | 33 | 33 | 34 | 34 | 34 | 35 | 35 | 35 | 36 | 36 | 37 |
32 | 26 | 27 | 28 | 29 | 30 | 31 | 31 | 32 | 32 | 33 | 33 | 34 | 34 | 35 | 35 | 35 | 36 | 36 | 36 | 37 | 38 | 38 |
33 | 26 | 28 | 29 | 30 | 31 | 32 | 32 | 33 | 33 | 34 | 34 | 35 | 35 | 36 | 36 | 37 | 37 | 37 | 37 | 38 | 39 | 39 |
34 | 27 | 28 | 30 | 31 | 32 | 33 | 33 | 34 | 34 | 35 | 35 | 36 | 37 | 37 | 37 | 38 | 38 | 38 | 39 | 39 | 40 | 40 |
35 | 28 | 29 | 31 | 32 | 33 | 33 | 34 | 35 | 35 | 36 | 36 | 37 | 38 | 38 | 38 | 39 | 39 | 39 | 40 | 40 | 41 | 42 |
36 | 29 | 30 | 32 | 33 | 34 | 34 | 35 | 36 | 36 | 37 | 37 | 38 | 39 | 39 | 40 | 40 | 40 | 40 | 41 | 41 | 42 | 43 |
37 | 30 | 31 | 32 | 34 | 35 | 35 | 36 | 37 | 38 | 38 | 38 | 39 | 40 | 40 | 41 | 41 | 41 | 42 | 42 | 43 | 43 | 44 |
38 | 30 | 32 | 33 | 35 | 36 | 36 | 37 | 38 | 39 | 39 | 40 | 40 | 41 | 41 | 42 | 42 | 42 | 43 | 43 | 44 | 45 | 45 |
39 | 31 | 33 | 34 | 36 | 37 | 37 | 38 | 39 | 40 | 40 | 41 | 41 | 42 | 42 | 43 | 43 | 43 | 44 | 44 | 45 | 46 | 46 |
40 | 32 | 34 | 35 | 37 | 38 | 38 | 39 | 40 | 41 | 41 | 42 | 42 | 43 | 43 | 44 | 44 | 45 | 45 | 45 | 46 | 47 | 48 |
41 | 33 | 34 | 36 | 38 | 39 | 39 | 40 | 41 | 42 | 42 | 43 | 43 | 44 | 45 | 45 | 45 | 46 | 46 | 47 | 47 | 48 | 49 |
42 | 34 | 35 | 37 | 38 | 39 | 40 | 41 | 42 | 43 | 43 | 44 | 44 | 45 | 46 | 46 | 46 | 47 | 47 | 48 | 48 | 49 | 50 |
43 | 34 | 36 | 38 | 39 | 40 | 41 | 42 | 43 | 44 | 44 | 45 | 46 | 46 | 47 | 47 | 48 | 48 | 48 | 49 | 50 | 50 | 51 |
44 | 35 | 37 | 39 | 30 | 41 | 42 | 43 | 44 | 45 | 45 | 46 | 47 | 47 | 48 | 48 | 49 | 49 | 49 | 50 | 51 | 52 | 52 |
45 | 36 | 38 | 39 | 41 | 42 | 43 | 44 | 45 | 46 | 46 | 47 | 48 | 48 | 49 | 49 | 50 | 50 | 51 | 51 | 52 | 53 | 54 |
46 | 37 | 39 | 40 | 42 | 43 | 44 | 45 | 46 | 47 | 47 | 48 | 49 | 49 | 50 | 50 | 51 | 51 | 52 | 52 | 53 | 54 | 55 |
47 | 38 | 39 | 41 | 43 | 44 | 45 | 46 | 47 | 48 | 48 | 49 | 50 | 50 | 51 | 52 | 52 | 52 | 53 | 53 | 54 | 55 | 56 |
Фактическое удлинение, %, на длине базы | Соответствующее удлинение, %, на длине базы 80 мм, если площадь поперечного сечения, мм2, равна | |||||||||||||||||||||
5 | 10 | 20 | 40 | 60 | 80 | 100 | 150 | 200 | 250 | 300 | 400 | 500 | 600 | 700 | 800 | 900 | 1000 | 1200 | 1500 | 2000 | 2500 | |
10 | 8 | 8 | 8 | 9 | 9 | 9 | 9 | 9 | 10 | 10 | 10 | 10 | 10 | 10 | 10 | 10 | 11 | 11 | 11 | 11 | 11 | 11 |
11 | 8 | 9 | 9 | 9 | 10 | 10 | 10 | 10 | 11 | 11 | 11 | 11 | 11 | 11 | 11 | 11 | 12 | 12 | 12 | 12 | 12 | 12 |
12 | 9 | 9 | 10 | 10 | 11 | 11 | 11 | 11 | 11 | 12 | 12 | 12 | 12 | 12 | 12 | 13 | 13 | 13 | 13 | 13 | 13 | 13 |
13 | 10 | 10 | 11 | 11 | 12 | 12 | 12 | 12 | 12 | 13 | 13 | 13 | 13 | 13 | 13 | 14 | 14 | 14 | 14 | 14 | 14 | 15 |
14 | 11 | 11 | 12 | 12 | 12 | 13 | 13 | 13 | 13 | 14 | 14 | 14 | 14 | 14 | 14 | 15 | 15 | 15 | 15 | 15 | 15 | 16 |
15 | 11 | 12 | 12 | 13 | 13 | 14 | 14 | 14 | 14 | 15 | 15 | 15 | 15 | 15 | 16 | 16 | 16 | 16 | 16 | 16 | 17 | 17 |
16 | 12 | 13 | 13 | 14 | 14 | 14 | 15 | 15 | 15 | 15 | 16 | 16 | 16 | 16 | 17 | 17 | 17 | 17 | 17 | 17 | 18 | 18 |
17 | 13 | 13 | 14 | 15 | 15 | 15 | 16 | 16 | 16 | 16 | 17 | 17 | 17 | 17 | 18 | 18 | 18 | 18 | 18 | 18 | 19 | 19 |
18 | 14 | 14 | 15 | 16 | 16 | 16 | 16 | 17 | 17 | 17 | 18 | 18 | 18 | 18 | 19 | 19 | 19 | 19 | 19 | 20 | 20 | 20 |
19 | 14 | 15 | 16 | 16 | 17 | 17 | 17 | 18 | 18 | 18 | 19 | 19 | 19 | 19 | 20 | 20 | 20 | 20 | 20 | 21 | 21 | 21 |
20 | 15 | 16 | 17 | 17 | 18 | 18 | 18 | 19 | 19 | 19 | 20 | 20 | 20 | 20 | 21 | 21 | 21 | 21 | 21 | 22 | 22 | 22 |
21 | 16 | 17 | 17 | 18 | 19 | 19 | 19 | 20 | 20 | 20 | 21 | 21 | 21 | 22 | 22 | 22 | 22 | 22 | 22 | 23 | 23 | 24 |
22 | 17 | 17 | 18 | 19 | 19 | 20 | 20 | 21 | 21 | 21 | 22 | 22 | 22 | 23 | 23 | 23 | 23 | 23 | 23 | 24 | 24 | 25 |
23 | 17 | 18 | 19 | 20 | 20 | 21 | 21 | 22 | 22 | 22 | 23 | 23 | 23 | 24 | 24 | 24 | 24 | 24 | 25 | 25 | 25 | 26 |
24 | 18 | 19 | 20 | 21 | 21 | 22 | 22 | 23 | 23 | 23 | 24 | 24 | 24 | 25 | 25 | 25 | 25 | 25 | 26 | 26 | 27 | 27 |
25 | 19 | 20 | 21 | 22 | 22 | 23 | 23 | 23 | 24 | 24 | 24 | 25 | 25 | 26 | 26 | 26 | 26 | 26 | 27 | 27 | 28 | 28 |
26 | 20 | 21 | 21 | 22 | 23 | 23 | 24 | 24 | 25 | 25 | 25 | 26 | 26 | 27 | 27 | 27 | 27 | 27 | 28 | 28 | 29 | 29 |
27 | 20 | 21 | 22 | 23 | 24 | 24 | 25 | 25 | 26 | 26 | 26 | 27 | 27 | 28 | 28 | 28 | 28 | 29 | 29 | 29 | 30 | 30 |
28 | 21 | 22 | 23 | 24 | 25 | 25 | 26 | 26 | 27 | 27 | 27 | 28 | 28 | 29 | 29 | 29 | 29 | 30 | 30 | 30 | 31 | 31 |
29 | 22 | 23 | 24 | 25 | 26 | 26 | 27 | 27 | 28 | 28 | 28 | 29 | 29 | 30 | 30 | 30 | 30 | 31 | 31 | 31 | 32 | 33 |
30 | 23 | 24 | 25 | 26 | 27 | 27 | 27 | 28 | 29 | 29 | 29 | 30 | 30 | 31 | 31 | 31 | 32 | 32 | 32 | 33 | 33 | 34 |
31 | 23 | 24 | 26 | 27 | 27 | 28 | 28 | 29 | 30 | 30 | 30 | 31 | 31 | 32 | 32 | 32 | 33 | 33 | 33 | 34 | 34 | 35 |
32 | 24 | 25 | 26 | 28 | 28 | 29 | 29 | 30 | 31 | 31 | 31 | 32 | 32 | 33 | 33 | 33 | 34 | 34 | 34 | 35 | 35 | 36 |
33 | 25 | 26 | 27 | 28 | 29 | 30 | 30 | 31 | 32 | 32 | 32 | 33 | 33 | 34 | 34 | 34 | 35 | 35 | 35 | 36 | 36 | 37 |
34 | 26 | 27 | 28 | 29 | 30 | 31 | 31 | 32 | 32 | 33 | 33 | 34 | 34 | 35 | 35 | 35 | 36 | 36 | 36 | 37 | 38 | 38 |
35 | 26 | 28 | 29 | 30 | 31 | 32 | 32 | 33 | 33 | 34 | 34 | 35 | 35 | 36 | 36 | 36 | 37 | 37 | 37 | 38 | 39 | 39 |
36 | 27 | 28 | 30 | 31 | 32 | 32 | 33 | 34 | 34 | 35 | 35 | 36 | 36 | 37 | 37 | 38 | 38 | 38 | 39 | 39 | 40 | 40 |
37 | 28 | 29 | 31 | 32 | 33 | 33 | 34 | 35 | 35 | 36 | 36 | 37 | 37 | 38 | 38 | 39 | 39 | 39 | 40 | 40 | 41 | 41 |
38 | 29 | 30 | 31 | 33 | 34 | 34 | 35 | 36 | 36 | 37 | 37 | 38 | 38 | 39 | 39 | 40 | 40 | 40 | 41 | 41 | 42 | 43 |
39 | 29 | 31 | 32 | 34 | 35 | 35 | 36 | 37 | 37 | 38 | 38 | 39 | 39 | 40 | 40 | 41 | 41 | 41 | 42 | 42 | 43 | 44 |
40 | 30 | 32 | 33 | 34 | 35 | 36 | 37 | 38 | 38 | 39 | 39 | 40 | 40 | 41 | 41 | 42 | 42 | 42 | 43 | 43 | 44 | 45 |
41 | 31 | 32 | 34 | 35 | 36 | 37 | 37 | 38 | 39 | 40 | 40 | 41 | 41 | 42 | 42 | 43 | 43 | 43 | 44 | 44 | 45 | 46 |
42 | 32 | 33 | 35 | 36 | 37 | 38 | 38 | 39 | 40 | 41 | 41 | 42 | 43 | 43 | 43 | 44 | 44 | 44 | 45 | 46 | 46 | 47 |
43 | 32 | 34 | 35 | 37 | 38 | 39 | 39 | 40 | 41 | 42 | 42 | 43 | 44 | 44 | 44 | 45 | 45 | 45 | 46 | 47 | 48 | 48 |
44 | 33 | 35 | 36 | 38 | 39 | 40 | 40 | 41 | 42 | 43 | 43 | 44 | 45 | 45 | 45 | 46 | 46 | 47 | 47 | 48 | 49 | 49 |
45 | 34 | 36 | 37 | 39 | 40 | 41 | 41 | 42 | 43 | 44 | 44 | 45 | 46 | 46 | 47 | 47 | 47 | 48 | 48 | 49 | 50 | 50 |
46 | 35 | 36 | 38 | 40 | 41 | 41 | 42 | 43 | 44 | 45 | 45 | 46 | 47 | 47 | 48 | 48 | 48 | 49 | 49 | 50 | 51 | 52 |
47 | 36 | 37 | 39 | 41 | 42 | 42 | 43 | 44 | 45 | 46 | 46 | 47 | 48 | 48 | 49 | 49 | 49 | 50 | 50 | 51 | 52 | 53 |
Фактическое удлинение, %, на длине базы | Соответствующее удлинение, %, на длине базы 100 мм, если площадь поперечного сечения, мм2, равна | |||||||||||||||||||||
5 | 10 | 20 | 40 | 60 | 80 | 100 | 150 | 200 | 250 | 300 | 400 | 500 | 600 | 700 | 800 | 900 | 1000 | 1200 | 1500 | 2000 | 2500 | |
10 | 7 | 8 | 8 | 8 | 9 | 9 | 9 | 9 | 9 | 9 | 10 | 10 | 10 | 10 | 10 | 10 | 10 | 10 | 10 | 11 | 11 | 11 |
11 | 8 | 8 | 9 | 9 | 9 | 10 | 10 | 10 | 10 | 10 | 10 | 11 | 11 | 11 | 11 | 11 | 11 | 11 | 11 | 12 | 12 | 12 |
12 | 9 | 9 | 10 | 10 | 10 | 11 | 11 | 11 | 11 | 11 | 11 | 12 | 12 | 12 | 12 | 12 | 12 | 12 | 12 | 13 | 13 | 13 |
13 | 10 | 10 | 10 | 11 | 11 | 11 | 12 | 12 | 12 | 12 | 12 | 13 | 13 | 13 | 13 | 13 | 13 | 13 | 14 | 14 | 14 | 14 |
14 | 10 | 11 | 11 | 12 | 12 | 12 | 12 | 13 | 13 | 13 | 13 | 14 | 14 | 14 | 14 | 14 | 14 | 14 | 15 | 15 | 15 | 15 |
15 | 11 | 12 | 12 | 13 | 13 | 13 | 13 | 14 | 14 | 14 | 14 | 15 | 15 | 15 | 15 | 15 | 15 | 15 | 16 | 16 | 16 | 16 |
16 | 12 | 12 | 13 | 13 | 14 | 14 | 14 | 15 | 15 | 15 | 15 | 16 | 16 | 16 | 16 | 16 | 16 | 16 | 17 | 17 | 17 | 17 |
17 | 12 | 13 | 14 | 14 | 15 | 15 | 15 | 15 | 16 | 16 | 16 | 16 | 17 | 17 | 17 | 17 | 17 | 17 | 18 | 18 | 18 | 19 |
18 | 13 | 14 | 14 | 15 | 15 | 16 | 16 | 16 | 17 | 17 | 17 | 17 | 18 | 18 | 18 | 18 | 18 | 19 | 19 | 19 | 19 | 20 |
19 | 14 | 15 | 15 | 16 | 16 | 17 | 17 | 17 | 18 | 18 | 18 | 18 | 19 | 19 | 19 | 19 | 19 | 20 | 20 | 20 | 20 | 21 |
20 | 15 | 15 | 16 | 17 | 17 | 18 | 18 | 18 | 19 | 19 | 19 | 19 | 20 | 20 | 20 | 20 | 20 | 21 | 21 | 21 | 21 | 22 |
21 | 15 | 16 | 17 | 18 | 18 | 18 | 19 | 19 | 19 | 20 | 20 | 20 | 21 | 21 | 21 | 21 | 21 | 22 | 22 | 22 | 23 | 23 |
22 | 16 | 17 | 18 | 18 | 19 | 19 | 20 | 20 | 20 | 21 | 21 | 21 | 22 | 22 | 22 | 22 | 22 | 23 | 23 | 23 | 24 | 24 |
23 | 17 | 18 | 18 | 19 | 20 | 20 | 20 | 21 | 21 | 22 | 22 | 22 | 23 | 23 | 23 | 23 | 23 | 24 | 24 | 24 | 25 | 25 |
24 | 18 | 18 | 19 | 20 | 21 | 21 | 21 | 22 | 22 | 23 | 23 | 23 | 24 | 24 | 24 | 24 | 25 | 25 | 25 | 25 | 26 | 26 |
25 | 18 | 19 | 20 | 21 | 21 | 22 | 22 | 23 | 23 | 24 | 24 | 24 | 25 | 25 | 25 | 25 | 26 | 26 | 26 | 26 | 27 | 27 |
26 | 19 | 20 | 21 | 22 | 22 | 23 | 23 | 24 | 24 | 24 | 25 | 25 | 26 | 26 | 26 | 26 | 27 | 27 | 27 | 27 | 28 | 28 |
27 | 20 | 21 | 22 | 23 | 23 | 24 | 24 | 25 | 25 | 25 | 26 | 26 | 27 | 27 | 27 | 27 | 28 | 28 | 28 | 28 | 29 | 29 |
28 | 21 | 21 | 22 | 23 | 24 | 25 | 25 | 26 | 26 | 26 | 27 | 27 | 28 | 28 | 28 | 28 | 29 | 29 | 29 | 30 | 30 | 31 |
29 | 21 | 22 | 23 | 24 | 25 | 25 | 26 | 26 | 27 | 27 | 28 | 28 | 29 | 29 | 29 | 29 | 30 | 30 | 30 | 31 | 31 | 32 |
30 | 22 | 23 | 24 | 25 | 26 | 26 | 27 | 27 | 28 | 28 | 29 | 29 | 30 | 30 | 30 | 30 | 31 | 31 | 31 | 32 | 32 | 33 |
31 | 23 | 24 | 25 | 26 | 27 | 27 | 28 | 28 | 29 | 29 | 30 | 30 | 30 | 31 | 31 | 31 | 32 | 32 | 32 | 33 | 33 | 34 |
32 | 24 | 25 | 26 | 27 | 28 | 28 | 28 | 29 | 30 | 30 | 30 | 31 | 31 | 32 | 32 | 32 | 33 | 33 | 33 | 34 | 34 | 35 |
33 | 24 | 25 | 26 | 28 | 28 | 29 | 29 | 30 | 31 | 31 | 31 | 32 | 32 | 33 | 33 | 33 | 34 | 34 | 34 | 35 | 35 | 36 |
34 | 25 | 26 | 27 | 28 | 29 | 30 | 30 | 31 | 32 | 32 | 32 | 33 | 33 | 34 | 34 | 34 | 35 | 35 | 35 | 36 | 37 | 37 |
35 | 26 | 27 | 28 | 29 | 30 | 31 | 31 | 32 | 32 | 33 | 33 | 34 | 34 | 35 | 35 | 35 | 36 | 36 | 36 | 37 | 38 | 38 |
36 | 26 | 28 | 29 | 30 | 31 | 32 | 32 | 33 | 33 | 34 | 34 | 35 | 35 | 36 | 36 | 36 | 37 | 37 | 37 | 38 | 39 | 39 |
37 | 27 | 28 | 30 | 31 | 32 | 32 | 33 | 34 | 34 | 35 | 35 | 36 | 36 | 37 | 37 | 38 | 38 | 38 | 38 | 39 | 40 | 40 |
38 | 28 | 29 | 30 | 32 | 33 | 33 | 34 | 35 | 35 | 36 | 36 | 37 | 37 | 38 | 38 | 39 | 39 | 39 | 40 | 40 | 41 | 41 |
39 | 29 | 30 | 31 | 33 | 34 | 34 | 35 | 36 | 36 | 37 | 37 | 38 | 38 | 39 | 39 | 40 | 40 | 40 | 41 | 41 | 42 | 42 |
40 | 29 | 31 | 32 | 34 | 34 | 35 | 36 | 36 | 37 | 38 | 38 | 39 | 39 | 40 | 40 | 41 | 41 | 41 | 42 | 42 | 43 | 44 |
41 | 30 | 31 | 33 | 34 | 35 | 36 | 36 | 37 | 38 | 39 | 39 | 40 | 40 | 41 | 41 | 42 | 42 | 42 | 43 | 43 | 44 | 45 |
42 | 31 | 32 | 34 | 35 | 36 | 37 | 37 | 38 | 39 | 40 | 40 | 41 | 41 | 42 | 42 | 43 | 43 | 43 | 44 | 44 | 45 | 46 |
43 | 32 | 33 | 34 | 36 | 37 | 38 | 38 | 39 | 40 | 40 | 41 | 42 | 42 | 43 | 43 | 44 | 44 | 44 | 45 | 45 | 46 | 47 |
44 | 32 | 34 | 35 | 37 | 38 | 39 | 39 | 40 | 41 | 41 | 42 | 43 | 43 | 44 | 44 | 45 | 45 | 45 | 46 | 46 | 47 | 48 |
45 | 33 | 35 | 36 | 38 | 39 | 39 | 40 | 41 | 42 | 42 | 43 | 44 | 44 | 45 | 45 | 46 | 46 | 46 | 47 | 47 | 48 | 49 |
46 | 34 | 35 | 37 | 39 | 40 | 40 | 41 | 42 | 43 | 43 | 44 | 45 | 45 | 46 | 46 | 47 | 47 | 47 | 48 | 49 | 49 | 50 |
47 | 35 | 36 | 38 | 39 | 40 | 41 | 42 | 43 | 44 | 44 | 45 | 46 | 46 | 47 | 47 | 48 | 48 | 48 | 49 | 50 | 50 | 51 |
Фактическое удлинение, %, на длине базы | Соответствующее удлинение, %, на длине базы 200 мм, если площадь поперечного сечения, мм2, равна | |||||||||||||||||||||
5 | 10 | 20 | 40 | 60 | 80 | 100 | 150 | 200 | 250 | 300 | 400 | 500 | 600 | 700 | 800 | 900 | 1000 | 1200 | 1500 | 2000 | 2500 | |
10 | 7 | 7 | 7 | 8 | 8 | 8 | 8 | 8 | 9 | 9 | 9 | 9 | 9 | 9 | 9 | 9 | 9 | 9 | 10 | 10 | 10 | 10 |
11 | 7 | 8 | 8 | 8 | 9 | 9 | 9 | 9 | 9 | 9 | 10 | 10 | 10 | 10 | 10 | 10 | 10 | 10 | 10 | 11 | 11 | 11 |
12 | 8 | 8 | 9 | 9 | 9 | 10 | 10 | 10 | 10 | 10 | 10 | 11 | 11 | 11 | 11 | 11 | 11 | 11 | 11 | 12 | 12 | 12 |
13 | 9 | 9 | 10 | 10 | 10 | 10 | 11 | 11 | 11 | 11 | 11 | 12 | 12 | 12 | 12 | 12 | 12 | 12 | 12 | 13 | 13 | 13 |
14 | 9 | 10 | 10 | 11 | 11 | 11 | 11 | 12 | 12 | 12 | 12 | 12 | 13 | 13 | 13 | 13 | 13 | 13 | 13 | 14 | 14 | 14 |
15 | 10 | 11 | 11 | 12 | 12 | 12 | 12 | 13 | 13 | 13 | 13 | 13 | 14 | 14 | 14 | 14 | 14 | 14 | 14 | 14 | 15 | 15 |
16 | 11 | 11 | 12 | 12 | 13 | 13 | 13 | 13 | 14 | 14 | 14 | 14 | 14 | 15 | 15 | 15 | 15 | 15 | 15 | 15 | 16 | 16 |
17 | 11 | 12 | 12 | 13 | 13 | 14 | 14 | 14 | 14 | 15 | 15 | 15 | 15 | 15 | 16 | 16 | 16 | 16 | 16 | 16 | 17 | 17 |
18 | 12 | 13 | 13 | 14 | 14 | 14 | 15 | 15 | 15 | 16 | 16 | 16 | 16 | 16 | 17 | 17 | 17 | 17 | 17 | 17 | 18 | 18 |
19 | 13 | 13 | 14 | 15 | 15 | 15 | 15 | 16 | 16 | 16 | 17 | 17 | 17 | 17 | 17 | 18 | 18 | 18 | 18 | 18 | 19 | 19 |
20 | 13 | 14 | 15 | 15 | 16 | 16 | 16 | 17 | 17 | 17 | 17 | 18 | 18 | 18 | 18 | 19 | 19 | 19 | 19 | 19 | 20 | 20 |
21 | 14 | 15 | 15 | 16 | 17 | 17 | 17 | 18 | 18 | 18 | 18 | 19 | 19 | 19 | 19 | 19 | 20 | 20 | 20 | 20 | 21 | 21 |
22 | 15 | 15 | 16 | 17 | 17 | 18 | 18 | 18 | 19 | 19 | 19 | 20 | 20 | 20 | 20 | 20 | 21 | 21 | 21 | 21 | 22 | 22 |
23 | 15 | 16 | 17 | 18 | 18 | 18 | 19 | 19 | 20 | 20 | 20 | 20 | 21 | 21 | 21 | 21 | 22 | 22 | 22 | 22 | 23 | 23 |
24 | 16 | 17 | 18 | 18 | 19 | 19 | 20 | 20 | 20 | 21 | 21 | 21 | 22 | 22 | 22 | 22 | 22 | 23 | 23 | 23 | 24 | 24 |
25 | 17 | 18 | 18 | 19 | 20 | 20 | 20 | 21 | 21 | 22 | 22 | 22 | 23 | 23 | 23 | 23 | 23 | 24 | 24 | 24 | 25 | 25 |
26 | 17 | 18 | 19 | 20 | 20 | 21 | 21 | 22 | 22 | 22 | 23 | 23 | 23 | 24 | 24 | 24 | 24 | 24 | 25 | 25 | 26 | 26 |
27 | 18 | 19 | 20 | 21 | 21 | 22 | 22 | 23 | 23 | 23 | 24 | 24 | 24 | 25 | 25 | 25 | 25 | 25 | 26 | 26 | 27 | 27 |
28 | 19 | 20 | 21 | 21 | 22 | 22 | 23 | 23 | 24 | 24 | 24 | 25 | 25 | 26 | 26 | 26 | 26 | 26 | 27 | 27 | 28 | 28 |
29 | 20 | 20 | 21 | 22 | 23 | 23 | 24 | 24 | 25 | 25 | 25 | 26 | 26 | 26 | 27 | 27 | 27 | 27 | 28 | 28 | 29 | 29 |
30 | 20 | 21 | 22 | 23 | 24 | 24 | 24 | 25 | 26 | 26 | 26 | 27 | 27 | 27 | 28 | 28 | 28 | 28 | 29 | 29 | 30 | 30 |
31 | 21 | 22 | 23 | 24 | 24 | 25 | 25 | 26 | 26 | 27 | 27 | 28 | 28 | 28 | 29 | 29 | 29 | 29 | 30 | 30 | 30 | 31 |
32 | 22 | 22 | 24 | 25 | 25 | 26 | 26 | 27 | 27 | 28 | 28 | 28 | 29 | 29 | 29 | 30 | 30 | 30 | 30 | 31 | 31 | 32 |
33 | 22 | 23 | 24 | 25 | 26 | 26 | 27 | 28 | 28 | 28 | 29 | 29 | 30 | 30 | 30 | 31 | 31 | 31 | 31 | 32 | 32 | 33 |
34 | 23 | 24 | 25 | 26 | 27 | 27 | 28 | 28 | 29 | 29 | 30 | 30 | 31 | 31 | 31 | 32 | 32 | 32 | 32 | 33 | 33 | 34 |
35 | 24 | 25 | 26 | 27 | 28 | 28 | 28 | 29 | 30 | 30 | 31 | 31 | 32 | 32 | 32 | 32 | 33 | 33 | 33 | 34 | 34 | 35 |
36 | 24 | 25 | 26 | 28 | 28 | 29 | 29 | 30 | 31 | 31 | 31 | 32 | 32 | 33 | 33 | 33 | 34 | 34 | 34 | 35 | 35 | 36 |
37 | 25 | 26 | 27 | 28 | 29 | 30 | 30 | 31 | 31 | 32 | 32 | 33 | 33 | 34 | 34 | 34 | 35 | 35 | 35 | 36 | 36 | 37 |
38 | 26 | 27 | 28 | 29 | 30 | 30 | 31 | 32 | 32 | 33 | 33 | 34 | 34 | 35 | 35 | 35 | 36 | 36 | 36 | 37 | 37 | 38 |
39 | 26 | 27 | 29 | 30 | 31 | 31 | 32 | 33 | 33 | 34 | 34 | 35 | 35 | 36 | 36 | 36 | 36 | 37 | 37 | 38 | 38 | 39 |
40 | 27 | 28 | 29 | 31 | 31 | 32 | 33 | 33 | 34 | 34 | 35 | 36 | 36 | 36 | 37 | 37 | 37 | 38 | 38 | 39 | 39 | 40 |
41 | 28 | 29 | 30 | 31 | 32 | 33 | 33 | 34 | 35 | 35 | 36 | 36 | 37 | 37 | 38 | 38 | 38 | 39 | 39 | 40 | 40 | 41 |
42 | 28 | 30 | 31 | 32 | 33 | 34 | 34 | 35 | 36 | 36 | 37 | 37 | 38 | 38 | 39 | 39 | 39 | 40 | 40 | 41 | 41 | 42 |
43 | 29 | 30 | 32 | 33 | 34 | 34 | 35 | 36 | 37 | 37 | 38 | 38 | 39 | 39 | 40 | 40 | 40 | 40 | 41 | 42 | 42 | 43 |
44 | 30 | 31 | 32 | 34 | 35 | 35 | 36 | 37 | 37 | 38 | 38 | 39 | 40 | 40 | 40 | 41 | 41 | 41 | 42 | 43 | 43 | 44 |
45 | 30 | 32 | 33 | 35 | 35 | 36 | 37 | 38 | 38 | 39 | 39 | 40 | 41 | 41 | 41 | 42 | 42 | 42 | 43 | 43 | 44 | 45 |
46 | 31 | 32 | 34 | 35 | 36 | 37 | 37 | 38 | 39 | 40 | 40 | 41 | 41 | 42 | 42 | 43 | 43 | 43 | 44 | 44 | 45 | 46 |
47 | 32 | 33 | 35 | 36 | 37 | 38 | 38 | 39 | 40 | 41 | 41 | 42 | 42 | 43 | 43 | 44 | 44 | 44 | 45 | 45 | 46 | 47 |

и длиной базы 50 мм
и длиной базы 200 мм


УДК 669.14:620:006.354 | ОКС 77.040.10 | ОКСТУ 0709 | |
Ключевые слова: углеродистая сталь, низколегированная сталь, относительное удлинение | |||