Главная // Актуальные документы // ГОСТ Р (Государственный стандарт)СПРАВКА
Источник публикации
М.: Стандартинформ, 2011
Примечание к документу
Документ
введен в действие с 1 июля 2011 года.
Название документа
"ГОСТ Р 8.686-2009. Национальный стандарт Российской Федерации. Государственная система обеспечения единства измерений. Мосты переменного тока уравновешенные. Методика поверки"
(утв. и введен в действие Приказом Ростехрегулирования от 15.12.2009 N 1131-ст)
"ГОСТ Р 8.686-2009. Национальный стандарт Российской Федерации. Государственная система обеспечения единства измерений. Мосты переменного тока уравновешенные. Методика поверки"
(утв. и введен в действие Приказом Ростехрегулирования от 15.12.2009 N 1131-ст)
Утвержден и введен в действие
агентства по техническому
регулированию и метрологии
от 15 декабря 2009 г. N 1131-ст
НАЦИОНАЛЬНЫЙ СТАНДАРТ РОССИЙСКОЙ ФЕДЕРАЦИИ
ГОСУДАРСТВЕННАЯ СИСТЕМА ОБЕСПЕЧЕНИЯ ЕДИНСТВА ИЗМЕРЕНИЙ
МОСТЫ ПЕРЕМЕННОГО ТОКА УРАВНОВЕШЕННЫЕ
МЕТОДИКА ПОВЕРКИ
State system for ensuring the uniformity of measurements.
A.C. balanced bridges. Verification procedure
ГОСТ Р 8.686-2009
Группа Т88.8
Дата введения
1 июля 2011 года
Цели и принципы стандартизации в Российской Федерации установлены Федеральным
законом от 27 декабря 2002 г. N 184-ФЗ "О техническом регулировании", а правила применения национальных стандартов Российской Федерации -
ГОСТ Р 1.0-2004 "Стандартизация в Российской Федерации. Основные положения".
1. Разработан Федеральным государственным унитарным предприятием "Всероссийский научно-исследовательский институт метрологической службы" (ФГУП "ВНИИМС").
2. Внесен Управлением метрологии Федерального агентства по техническому регулированию и метрологии.
3. Утвержден и введен в действие
Приказом Федерального агентства по техническому регулированию и метрологии от 15 декабря 2009 г. N 1131-ст.
4. Введен впервые.
Информация об изменениях к настоящему стандарту публикуется в ежегодно издаваемом информационном указателе "Национальные стандарты", а текст изменений и поправок - в ежемесячно издаваемых информационных указателях "Национальные стандарты". В случае пересмотра (замены) или отмены настоящего стандарта соответствующее уведомление будет опубликовано в ежемесячно издаваемом информационном указателе "Национальные стандарты". Соответствующая информация, уведомление и тексты размещаются также в информационной системе общего пользования - на официальном сайте Федерального агентства по техническому регулированию и метрологии в сети Интернет.
Настоящий стандарт распространяется на уравновешенные измерительные мосты переменного тока по ГОСТ 9486 и автоматические цифровые мосты переменного тока по ГОСТ 25242 (далее - мосты), предназначенные для измерения электрической емкости C от

до

, индуктивности L от

до

, активного электрического сопротивления R от

до

, активной электрической проводимости G от

до

, тангенса угла потерь

от

до 2, добротности Q от

до 250, тангенса угла фазового сдвига

от

до 10, постоянной времени

от

до

с при синусоидальном напряжении на объекте измерения U до 200 В в диапазоне частот f от 40 до

.
Стандарт устанавливает методику первичной и периодической поверок мостов классов точности от 0,001 до 5 и периодической поверки мостов 2-го и 3-го разрядов.
По методике настоящего стандарта допускается поверять мосты в диапазоне частот 10 - 40 и

, измерительные установки (в том числе поверочные) на основе уравновешенных мостов переменного тока, а также измерители емкости, индуктивности, активного сопротивления, активной проводимости, тангенса угла потерь, добротности, собранные по схемам, отличным от мостовых, с метрологическими характеристиками, удовлетворяющими требованиям настоящего стандарта.
Настоящий стандарт не распространяется на мосты для специальных измерений (например, электрохимических и магнитных измерений, измерений неэлектрических величин и сопротивления изоляции) и на мосты-компараторы.
В настоящем стандарте использованы нормативные ссылки на следующие стандарты:
ГОСТ 8.028-86 Государственная система обеспечения единства измерений. Государственный первичный эталон и государственная поверочная схема для средств измерений электрического сопротивления
ГОСТ 8.237-2003 Государственная система обеспечения единства измерений. Меры электрического сопротивления однозначные. Методика поверки
ГОСТ 8.255-2003 Государственная система обеспечения единства измерений. Меры электрической емкости. Методика поверки
ГОСТ 8.314-78 Государственная система обеспечения единства измерений. Генераторы низкочастотные измерительные. Методы и средства поверки
ГОСТ 8.371-80 Государственная система обеспечения единства измерений. Государственный первичный эталон и общесоюзная поверочная схема для средств измерений электрической емкости
ГОСТ 12.1.030-81 Система стандартов безопасности труда. Электробезопасность. Защитное заземление, зануление
ГОСТ 12.2.007.0-75 Система стандартов безопасности труда. Изделия электротехнические. Общие требования безопасности
ГОСТ 12.2.007.3-75 Система стандартов безопасности труда. Электротехнические устройства на напряжение свыше 1000 В. Требования безопасности
ГОСТ 12.3.019-80 Система стандартов безопасности труда. Испытания и измерения электрические. Общие требования безопасности
ГОСТ 6746-94 Меры электрической емкости. Общие технические требования
ГОСТ 8711-93 (МЭК 51-2-84) Приборы аналоговые показывающие электроизмерительные прямого действия и вспомогательные части к ним. Часть 2. Особые требования к амперметрам и вольтметрам
ГОСТ 9486-79 Мосты переменного тока измерительные. Общие технические условия
ГОСТ 16863-71 Генераторы измерительные диапазона частот 0,1 - 35 МГц. Методы и средства поверки
ГОСТ 21175-75 Меры индуктивности. Общие технические условия
ГОСТ 22261-94 Средства измерений электрических и магнитных величин. Общие технические условия
ГОСТ 23737-79 Меры электрического сопротивления. Общие технические условия
ГОСТ 25242-93 Измерители параметров иммитанса цифровые. Общие технические требования и методы испытаний
Примечание. При пользовании настоящим стандартом целесообразно проверить действие ссылочных стандартов в информационной системе общего пользования - на официальном сайте Федерального агентства по техническому регулированию и метрологии в сети Интернет или по ежегодно издаваемому информационному указателю "Национальные стандарты", который опубликован по состоянию на 1 января текущего года, и по соответствующим ежемесячно издаваемым информационным указателям, опубликованным в текущем году. Если ссылочный стандарт заменен (изменен), то при пользовании настоящим стандартом следует руководствоваться заменяющим (измененным) стандартом. Если ссылочный стандарт отменен без замены, то положение, в котором дана ссылка на него, применяется в части, не затрагивающей эту ссылку.
В настоящем стандарте применены термины по рекомендациям
[1], а также следующие термины с соответствующими определениями:
3.1. Средства поверки: эталоны, калибраторы, эталонные приборы, поверочные установки и другие средства измерений, применяемые при поверке в соответствии с установленными правилами.
3.2. Эталонный прибор: прибор, используемый в качестве эталонного при проведении поверки.
3.3. Номинальное значение: значение, принятое в качестве номинального значения параметра.
3.4. Нормирующее значение: значение, к которому приведена погрешность.
Примечание. В качестве нормирующего значения могут быть приняты номинальное значение параметра, предел диапазона измерений, модуль разности пределов измерений.
3.5. Составная мера: мера, составленная из двух или более эталонных мер сопротивления, емкости, индуктивности или прецизионных элементов электрических цепей (резисторов, конденсаторов, катушек индуктивности).
3.6. Основной диапазон: диапазон измерений, имеющий наименьшую нормированную погрешность.
Примечание. Если наименьшая погрешность нормирована для нескольких диапазонов измерений, за основной диапазон принимают любой из них.
3.7. Нормальные условия проведения поверки: условия проведения поверки, характеризуемые совокупностью значений или областей значений влияющих величин, при которых изменением результата поверки допускается пренебречь.
4.1. При проведении поверки должны быть выполнены операции, указанные в таблице 1.
Таблица 1
┌──────────────────────────┬───────────┬──────────────────────────────────┐
│ Наименование операции │ Номер │Обязательность проведения операции│
│ │подраздела,├───────────┬───────┬──────────────┤
│ │ пункта │при выпуске│ при │ при │
│ │настоящего │из произ- │ремонте│эксплуатации и│
│ │ стандарта │водства │ │ хранении │
├──────────────────────────┼───────────┼───────────┼───────┼──────────────┤
│ Внешний осмотр │
9.1 │ Да │ Да │ Да │
├──────────────────────────┼───────────┼───────────┼───────┼──────────────┤
│ Проверка электрической │
9.2 │ Да │ Да │ Нет │
│прочности изоляции │ │ │ │ │
├──────────────────────────┼───────────┼───────────┼───────┼──────────────┤
│ Определение сопротивления│
9.3 │ Да │ Да │ Нет │
│изоляции │ │ │ │ │
├──────────────────────────┼───────────┼───────────┼───────┼──────────────┤
│ Опробование │
9.4 │ Да │ Да │ Да │
├──────────────────────────┼───────────┼───────────┼───────┼──────────────┤
│ Определение │
9.5 │ Да │ Да │ Нет │
│чувствительности моста │ │ │ │ │
│(для мостов по ГОСТ 9486) │ │ │ │ │
├──────────────────────────┼───────────┼───────────┼───────┼──────────────┤
│ Определение погрешности │
9.6 │ Да │ Да │В соответствии│
│установки частоты │ │ │ │с нормативной │
│питающего генератора │ │ │ │и технической │
│ │ │ │ │документацией │
├──────────────────────────┼───────────┼───────────┼───────┼──────────────┤
│ Определение основной │
9.7 │ Да │ Да │ Да │
│погрешности моста: │ │ │ │ │
│ - при комплектной поверке│
9.7.1 │ │ │ │
│ - при поэлементной │
9.7.2 │ │ │ │
│поверке │ │ │ │ │
├──────────────────────────┼───────────┼───────────┼───────┼──────────────┤
│ Определение вариации │
9.8 │ Да │ Да │ Да │
│показаний (для мостов по │ │ │ │ │
│ГОСТ 25242) │ │ │ │ │
├──────────────────────────┼───────────┼───────────┼───────┼──────────────┤
│ Проверка выходных │
9.9 │ Да │ Да │ Нет │
│сигналов, поступающих на │ │ │ │ │
│цифропечатающее устройство│ │ │ │ │
│(для мостов по ГОСТ 25242)│ │ │ │ │
└──────────────────────────┴───────────┴───────────┴───────┴──────────────┘
5.1. Основные средства измерений
Основные средства измерений, рекомендуемые для проведения поверки, указаны в таблице 2.
Таблица 2
Номер подраздела, пункта требований настоящего стандарта по поверке | Средства поверки. Основные метрологические характеристики |
| Пробойная универсальная установка с погрешностью по вольтметр по ГОСТ 8711 с погрешностью не более 5%; секундомер |
| Мегомметр с верхним пределом измерения не ниже минимального допускаемого значения сопротивления изоляции электрических |
| Многозначные меры C, L, R, магазины или конденсаторы переменной емкости по ГОСТ 6746, магазины индуктивности по ГОСТ 21175, магазины активного сопротивления по ГОСТ 23737 диапазонов измерения моста |
| Меры C, L, R по ГОСТ 6746, ГОСТ 21175 и ГОСТ 23737 тау, tg фи с верхним пределом измерения, соответствующим |
| Частотомер с погрешностью, не превышающей 1/3 предела допускаемой основной погрешности установки частоты питающего |
| Рабочие эталоны и образцовые меры 1, 2 и 3-го разрядов емкости, индуктивности, активного сопротивления, тангенса угла потерь, добротности; составные меры L, Q, tg дельта, R, G, тау, tg фи |
| Средства поверки по 9.7.1; компараторы, мосты и измерители; технические характеристики для R и G - по ГОСТ 8.237, для C и tg дельта - по ГОСТ 8.255, для L - по настоящему стандарту |
| |
| Средства поверки по 9.4; цифропечатающее устройство, предназначенное для работы с поверяемым мостом; вольтметр или амперметр, позволяющий измерять выходные сигналы с погрешностью не более 1/3 допуска на амплитуду напряжения |
5.2. Вспомогательные средства измерений
Условия поверки контролируют, используя следующие средства измерений:
- измеритель нелинейных искажений в цепи питания, диапазон измерений напряжения 154 - 286 В, пределы допускаемой приведенной погрешности +/- 0,5%; диапазон измерений частоты от 45 до 55 Гц, пределы абсолютной погрешности +/- 0,1 Гц; диапазон измерений коэффициента искажения синусоидальности кривой напряжения от 0,1% до 25%, пределы относительной погрешности +/- 10,0%;
- термометр, диапазон измерений температуры от 15 °C до 40 °C, пределы допускаемой погрешности +/- 0,5 °C;
- психрометрический гигрометр, диапазон измерений относительной влажности воздуха от 20% до 90%, пределы допускаемой погрешности +/- 5%;
- барометр, диапазон измерений давления от 80 до 106 кПа, пределы допускаемой погрешности +/- 1 кПа.
5.3. При проведении поверки предел допускаемой основной погрешности эталонных средств измерений должен быть в 3 и более раза меньше предела допускаемой основной погрешности поверяемого моста.
5.4. Разрешается использовать вновь разработанные или другие находящиеся в применении средства поверки, удовлетворяющие требованиям настоящего стандарта.
5.5. Применение средств поверки - по соответствующим нормативным и техническим документам (далее - НД и ТД).
5.6. Все средства поверки должны иметь действующие документы об их поверке или аттестации.
5.7. При выпуске из ремонта, не связанного с заменой изоляторов, операции по
9.2 и
9.3 не проводят.
5.8. При комплектной поверке соотношение погрешностей между эталонными средствами поверки и поверяемыми мостами, применяемыми для измерений C, L, R, G, не должно быть более указанного в таблице 3.
Таблица 3
┌────────────────┬──────────────────────┬────────────────────────┐
│Поверяемые мосты│Класс точности, разряд│Соотношение погрешностей│
├────────────────┼──────────────────────┼────────────────────────┤
│ Рабочие │ 0,001...0,025 │ 1:2 │
│ │ 0,04...0,05 │ 1:2,5 │
│ │ 0,1...5 │ 1:3 │
├────────────────┼──────────────────────┼────────────────────────┤
│ Эталонные │ 2 │ 1:2 │
│ │ 3 │ 1:2,5 │
└────────────────┴──────────────────────┴────────────────────────┘
5.9. При комплектной поверке соотношение погрешностей между эталонными средствами поверки и поверяемыми мостами, применяемыми для измерений

, Q,

,

, не должно быть более указанного в таблице 4.
Таблица 4
┌────────────────┬───────────────────────────────────────────────┬────────┐
│Предел допускае-│ Измеряемая величина A │Соотно- │
│мой погрешности ├───────────────┬──────┬───────────┬────────────┤шение │
│поверяемого │ -4│ │ -4│ -8 │погреш- │
│моста │tg дельта, 10 │ Q │tg фи, 10 │тау, 10 , с│ностей │
├────────────────┼───────────────┼──────┼───────────┼────────────┼────────┤
│(0,005...0,015)A│ < 1 │ - │ - │ - │ 1:1,2 │
│ ├───────────────┼──────┼───────────┼────────────┼────────┤
│ │ 1...2 │>= 100│ 1...2 │ <= 2 │ 1:1,5 │
│ ├───────────────┼──────┼───────────┼────────────┼────────┤
│ │ > 2 │< 100 │ > 2 │ > 2 │ 1:2 │
├────────────────┼───────────────┼──────┼───────────┼────────────┼────────┤
│ (0,02...0,1)A │ > 2 │< 100 │ > 2 │ > 2 │ 1:3 │
└────────────────┴───────────────┴──────┴───────────┴────────────┴────────┘
5.10. При поэлементной поверке соотношение погрешностей между эталонными средствами поверки и поверяемыми элементами мостов не должно быть более:
- указанного в ГОСТ 8.237, настоящем стандарте и ГОСТ 8.255 - при поверке элементов (R, L, C), образующих плечи моста;
- указанного в НД и ТД на мост конкретного типа - при поверке элементов, образующих отношения плеч моста.
6. Требования к квалификации поверителей
К проведению поверки допускают лиц, аттестованных в соответствии с правилами
[2] в качестве поверителей средств измерений электрических величин, имеющих квалификационную группу по технике безопасности не ниже III.
7. Требования безопасности
7.1. Помещение для проведения поверки должно быть оборудовано в соответствии с требованиями техники безопасности.
7.3. Перед проведением операций поверки средства измерений, подлежащие заземлению, должны быть надежно заземлены. Подсоединение зажимов защитного заземления к контуру заземления должно быть проведено ранее других соединений, а отсоединение - после всех отсоединений.
8. Условия проведения поверки и подготовка к ней
8.1. При проведении поверки должны быть соблюдены следующие условия:
- температура окружающей среды:
(20 +/- 0,5) °C (по ГОСТ 25242) для мостов классов точности 0,002...0,01 (при этом температуру следует измерять с погрешностью не более 0,1 °C);
(20 +/- 1) °C (по ГОСТ 9486) для мостов класса точности 0,01 и мостов классов точности 0,015...0,05, а также мостов 2-го и 3-го разрядов;
(20 +/- 2) °C для мостов классов точности 0,1...0,5;
(20 +/- 5) °C для мостов классов точности 1...5;
температура воздуха в помещении при поверке мостов классов точности 0,001 и 0,0015 по ГОСТ 25242 должна соответствовать требованиям ТД на мосты;
- относительная влажность воздуха (65 +/- 15)%;
- атмосферное давление (100 +/- 4) кПа;
- напряжение питающей сети (220 +/- 4,4) В;
- частота питающей сети (50 +/- 0,5) Гц.
8.2. Перед проведением поверки необходимо выполнить следующие подготовительные работы:
- заземлить средства измерений перед включением в сеть питания;
- установить средства измерений в рабочее положение, включить в сеть питания и выдержать в течение времени установления рабочего режима, указанного в ТД.
8.3. Перед поверкой мосты классов точности 0,01; 0,02 и 0,05 по ГОСТ 9486 необходимо выдержать в условиях, указанных в
8.1, не менее 24 ч, мосты менее точные - не менее 8 ч.
8.4. Перед опробованием мост необходимо выдержать во включенном состоянии в течение времени, указанного в НД и ТД на него, а если это время не указано, то не менее 0,5 ч.
8.5. Если условия, при которых нормирована основная погрешность поверяемого моста, отличаются от указанных в
8.1, то для него должны быть созданы условия по ТД на мост конкретного типа, а образцовые средства поверки должны работать в условиях, указанных в
8.1.
Допускается использовать эталонные средства поверки при температурных условиях для поверяемых мостов, отличных от указанных в
8.1, при введении температурных поправок к показаниям (значениям) эталонных средств.
9.1.1. При внешнем осмотре должно быть установлено соответствие моста следующим требованиям.
Мост должен быть представлен на поверку с паспортом и техническим описанием для мостов, выпущенных из производства и после ремонта, или со свидетельством о предыдущей поверке (аттестации) и техническим описанием для остальных мостов.
Комплектность моста (за исключением запасных частей, инструментов и принадлежностей - ЗИП) должна соответствовать требованиям технического описания на мост конкретного типа.
Эталонный мост должен иметь неповрежденное клеймо поверяющей организации. В случае повреждения клейма эталонный мост должен быть принят как рабочий.
Мост не должен иметь внешних дефектов, которые могут привести к ошибкам при измерениях (неисправности рукояток, повреждения корпуса моста, выводов, присоединительных проводов, встроенных в мост приборов, повреждения и загрязненности шкал и т.п.).
9.2. Проверка электрической прочности изоляции
При проверке электрической прочности изоляции штырьки вилки шнура питания соединяют между собой и подключают к незаземленному выводу источника высокого напряжения. Заземленный вывод источника высокого напряжения соединяют с выводом защитного заземления поверяемого моста (при его отсутствии - с корпусом моста).
Переключатель питания поверяемого моста должен быть во включенном положении.
Значение напряжения на выходе источника высокого напряжения плавно повышают от нуля до значения испытательного напряжения, указанного в НД и ТД на мост конкретного типа, в течение 5 - 10 с.
Изоляция должна выдерживать полное испытательное напряжение в течение 1 мин. Внезапное возрастание тока в низковольтной цепи источника напряжения указывает на неудовлетворительное состояние изоляции.
9.3. Определение сопротивления изоляции
При определении сопротивления изоляции изолированные от корпуса выводы моста, служащие для подключения измеряемого объекта, соединяют между собой и подключают к одному из выводов мегомметра. Вывод защитного заземления поверяемого моста (при его отсутствии - корпус моста) соединяют со вторым выводом мегомметра и записывают показания мегомметра. При этом напряжение на выводах мегомметра не должно быть ниже максимального рабочего и выше испытательного.
Сопротивление изоляции должно быть не менее указанного в НД и ТД на мост конкретного типа.
9.4.1. Перед включением моста несколько раз прокручивают переключатели и органы плавной регулировки, нажимают кнопки, подключают присоединительные устройства (кабели).
Не допускаются следующие дефекты:
- нечеткая фиксация положений переключателей, невозможность установки переключателей хотя бы в одно из предусмотренных положений;
- неисправность, отсутствие или несоответствие деталей электрических соединителей;
- неплавный ход и заедание органов плавной регулировки, невозможность поворота органов плавной регулировки на предусмотренный угол;
- ненадежность креплений переключателей, элементов плавной регулировки или их рукояток;
- повреждение гнезд, нечеткость фиксации кнопок.
9.4.2. Мост включают и подготавливают к работе в соответствии с указаниями НД и ТД на мост конкретного типа. Ко входу моста подключают одну из многозначных мер (магазин или меру переменного значения) C, L, R,

, Q,

,

в зависимости от измеряемой величины с пределами измерений, соответствующими одному из диапазонов измерений моста.
Допускается использовать многозначные меры с более узким частотным диапазоном измерений по сравнению с частотным диапазоном поверяемого моста.
Изменяя значения многозначной меры, проводят уравновешивание при всех положениях отсчетного устройства каждой декады моста (для мостов по ГОСТ 9486) или убеждаются в том, что в каждом из разрядов отсчетного устройства моста (для цифровых автоматических мостов) может быть включен любой из предусмотренных знаков. Проверку последних проводят в любом из установленных в НД и ТД на мост конкретного типа режиме работы.
В цифровых автоматических мостах дополнительно проверяют устройство автоматического запуска:
- при ступенчатой регулировке времени индикации (частоты запуска) - при всех положениях переключателя времени индикации;
- при плавной регулировке времени индикации (частоты запуска) - при двух крайних положениях ручки регулировки времени индикации.
Не допускаются следующие дефекты:
- невозможность включения хотя бы одного из знаков на отсчетном устройстве;
- одновременное включение более чем одного знака в одном разряде (в цифровых автоматических мостах).
Кроме того, в цифровых автоматических мостах не допускается скачок показаний через одно или несколько значений хотя бы в одной из проверяемых точек при значениях измеряемой величины, большей четверти верхнего предела проверяемого диапазона, за исключением случаев, указанных в НД и ТД на мост конкретного типа.
9.4.3. Опробование проводят на каждом из отсчетных устройств моста (например, C и

, C и G, R и L, R и

). Если отсчетное устройство моста предназначено для представления результатов измерения нескольких величин, опробование проводят по одной из них.
При периодической поверке допускается объединять опробование с определением основной погрешности моста
(9.7).
9.5. Определение чувствительности моста (для мостов по ГОСТ 9486)
9.5.1. Чувствительность моста определяют при одном значении каждой из измеряемых величин, близком к верхнему пределу измерения.
9.5.2. После уравновешивания моста изменяют показание регулирующего устройства по соответствующей величине на несколько делений последнего знака (в случае отсчетного устройства моста в виде шкалы) или на несколько числовых отметок последней декады (в случае многодекадного отсчетного устройства) и фиксируют чувствительность моста.
9.5.3. Чувствительность метода должна быть такой, чтобы изменение показания моста относительно уравновешенного состояния на значение, равное 1/2 предела допускаемой основной погрешности, вызвало отклонение луча указателя равновесия не менее чем на 1 мм или конца стрелки указателя равновесия не менее чем на 0,5 мм.
9.6. Определение погрешности установки частоты питающего генератора
Погрешность установки частоты питающего генератора моста определяют в случае, если это указано в НД и ТД на мост конкретного типа. Погрешность определяют по методике
ГОСТ 8.314 (до 0,1 МГц) и ГОСТ 16863 (до 10 МГц).
Погрешность установки частоты не должна превышать указанной в НД и ТД на мост конкретного типа.
9.7. Определение основной погрешности моста
Основную погрешность моста, имеющего одну частоту, определяют для каждой из величин, измеряемых с помощью поверяемого моста. Для мостов, имеющих нормальную область частот или дискретные нормальные частоты, основную погрешность определяют:
- на частоте 1000 Гц - для мостов, измеряющих индуктивность от

до 100 Гн, емкость от

до

, активное сопротивление от

до

, активную проводимость от

до

,

, Q,

,

, - в диапазонах, указанных в
разделе 1;
- на одной из частот диапазона от 40 до 100 Гц (в соответствии с ТД на мост конкретного типа) - для мостов, измеряющих индуктивность от 10 до

, емкость более

, тангенс угла потерь от

до 2, добротность от

до 50.
Основную погрешность мостов на указанных частотах определяют по
9.7.1 и
9.7.2.
Дополнительно основную погрешность определяют на числовых отметках отсчетных устройств, указанных в НД и ТД на мост конкретного типа:
- для мостов, имеющих нормальную область частот, - на наименьшей и наибольшей частотах области;
- для мостов, имеющих дискретные нормальные частоты, - на остальных дискретных частотах.
Основную погрешность мостов на наименьшей и наибольшей частотах или на остальных дискретных частотах диапазона также определяют по методике
9.7.1 и
9.7.2 (если другая методика не указана в НД и ТД на мост конкретного типа).
Примечания.
1. В зависимости от особенностей применения мостов по просьбе потребителя основную погрешность мостов, имеющих нормальную область частот, определяют на частотах, выбранных из нормальной области и отличающихся от вышеуказанных (при наличии соответствующих средств поверки).
2. По просьбе потребителя основную погрешность моста при периодической поверке определяют не для всех измеряемых величин, диапазонов измерений и не на всех частотах (частичная поверка моста).
3. Основную погрешность моста определяют при комплектной или поэлементной поверке.
9.7.1. Комплектная поверка
При комплектной поверке с помощью поверяемого моста измеряют значения образцовых или составных мер соответствующих величин и вычисляют основную погрешность моста.
В мостах по ГОСТ 9486 на шкале отсчетного устройства моста устанавливают значение измеряемой величины и уравновешивают мост с помощью подключенной многозначной меры. При использовании однозначных мер для определения основной погрешности моста уравновешивание проводят с помощью регулирующих устройств моста. Значения дополнительных величин (например,

при измерении C или C при измерении

) уравновешивают с помощью соответствующих регулирующих устройств моста.
В цифровых автоматических мостах основную погрешность определяют в режиме работы, указанном в НД и ТД на мост конкретного типа. При отсутствии указаний основную погрешность определяют в автоматическом режиме работы моста.
Показания отсчетных устройств моста записывают в протокол поверки.
9.7.1.1. Определение основной погрешности моста при измерении емкости, индуктивности, активного сопротивления и активной проводимости
Основную погрешность однодиапазонного моста с отсчетным устройством в виде шкалы определяют на всех числовых отметках отсчетного устройства моста.
Основную погрешность однодиапазонного моста с многодекадным (для цифровых автоматических мостов - многоразрядным) отсчетным устройством определяют для всех числовых отметок первой (старшей) декады (разряда <*>) и набора отметок, составленного из наименьшего значения первой декады и числовых отметок остальных декад.
--------------------------------
<*> Далее вместо термина "разряд" употребляется термин "декада".
Числовые отметки остальных декад выбирают в соответствии с НД и ТД на мост конкретного типа. При отсутствии указаний основную погрешность определяют для набора отметок, составленного из наименьшего значения первой декады и всех числовых отметок остальных декад (1111..., 1222..., 1333..., 1444..., 1999...). Числовые отметки последней декады могут быть произвольными.
В однодиапазонных многодекадных рабочих мостах классов точности 0,2 и более точных для измерений C, L, R, рабочих мостах всех классов точности для измерений G, эталонных мостах 2-го и 3-го разрядов, а также рабочих и эталонных мостах с нормальной областью частот или дискретными нормальными частотами свыше

допускается определять основную погрешность при значениях величин, близких к начальному ("1" - "3"), среднему ("4" - "6") и конечному ("7" - "10") положениям каждой декады при установке отсчетных устройств остальных декад в нулевое положение.
В однодиапазонных трансформаторных мостах, в которых уравновешивание осуществляется переключением только витков обмоток трансформатора, допускается определять основную погрешность при значениях величин, близких к начальному, среднему и конечному положениям старшей декады. В мостах, в которых уравновешивание осуществляется переключением витков обмоток трансформатора и встроенных мер, дополнительно определяют основную погрешность при значениях величин, близких к начальному положению второй декады при установке отсчетных устройств остальных декад в нулевые положения.
Аналогичные измерения проводят для третьей и последующих декад.
При определении основной погрешности по C, L, R, G отсчеты по

, Q,

,

могут быть произвольными.
Основную погрешность многодиапазонного моста в основном диапазоне определяют аналогично определению основной погрешности однодиапазонного моста (со шкалой или многодекадного).
Основную погрешность многодиапазонного моста в остальных диапазонах определяют при двух значениях величин, близких к начальному и к среднему или конечному значениям измеряемой величины в каждом из диапазонов измерений.
Основную погрешность многодиапазонных трансформаторных мостов в неосновных диапазонах определяют при одном значении величины, близком к начальному положению отсчетного устройства старшей декады.
9.7.1.2. Определение основной погрешности моста при измерении тангенса угла потерь, добротности, тангенса угла фазового сдвига и постоянной времени
Основную погрешность однодиапазонного моста с однодекадным отсчетным устройством или с отсчетным устройством в виде шкалы в зависимости от наличия средств поверки определяют двумя способами:
- на всех числовых отметках отсчетного устройства при любом одном значении емкости (индуктивности, активного сопротивления) в любом из диапазонов измерения C (L, R). Дополнительно погрешность определяют на одной (произвольной) числовой отметке

, Q,

,

для одного любого значения емкости (индуктивности, активного сопротивления) в каждом из остальных диапазонов измерения C (L, R);
- на числовых отметках

(Q,

,

), близких к начальному, среднему и конечному положениям отсчетного устройства моста по этим величинам при одном значении емкости (индуктивности, активного сопротивления) в каждом диапазоне измерения C (L, R).
Основную погрешность однодиапазонного моста с многодекадным отсчетным устройством определяют для каждой декады при установке отсчетных устройств остальных декад в нулевое положение при одном любом значении емкости (индуктивности, активного сопротивления) в любом из диапазонов измерения C (L, R). При этом основную погрешность для каждой декады определяют не менее чем на трех числовых отметках

(Q,

,

), близких к начальному, среднему и конечному положениям отсчетных устройств.
Дополнительно основную погрешность определяют на двух числовых отметках

(Q,

,

), близких к началу и концу диапазона измерения при одном значении емкости (индуктивности, активного сопротивления) в каждом из остальных диапазонов измерения C (L, R).
Для однодиапазонных трансформаторных мостов основную погрешность измерения C (L, R) допускается определять на одной (произвольной) числовой отметке

(Q,

,

).
9.7.1.3. Основную погрешность многодиапазонного моста определяют в каждом из диапазонов измерения

(Q,

,

). При этом в одном любом диапазоне проводят измерения аналогично измерениям для однодиапазонного моста (однодекадного, со шкалой, многодекадного). В остальных диапазонах измерений погрешность определяют при двух значениях

(Q,

,

), близких к начальному и конечному значениям диапазона, при одном любом значении емкости (индуктивности, активного сопротивления) в любом из диапазонов измерения C (L, R).
9.7.1.4. При определении основной погрешности мостов, измеряющих добротность Q > 10, тангенс угла потерь

и постоянную времени

, допускается заменять определение основной погрешности в конце диапазона измерения Q и в начале диапазона измерения

,

определением основной погрешности на числовых отметках, соответствующих меньшему значению Q или большим значениям

,

.
9.7.1.5. При определении основной погрешности допускается уменьшать число величин, по которым определяют основную погрешность моста, число диапазонов измерений и проверяемых точек при наличии соответствующих указаний в НД и ТД на мост конкретного типа.
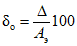
Основную абсолютную погрешность моста

при комплектной поверке определяют по формуле

, (1)
где

- показание отсчетного устройства моста при измерении соответствующей величины;

- значение эталонной меры.
Основную относительную погрешность моста

, %, определяют по формуле

. (2)
Для многодекадных мостов классов точности 0,2 и более точных, каждую декаду которых проверяют в отдельности, дополнительно определяют наибольшие основные погрешности моста в целом по формулам:
- абсолютную погрешность

; (3)
- относительную погрешность, %,

, (4)
где

- основная абсолютная погрешность моста на i-й декаде;

- номинальное значение измеряемой величины на i-й декаде моста, соответствующее погрешности

;
n - общее число декад моста.
В
формулу (3) следует подставлять значения основных абсолютных погрешностей, соответствующих:
- наибольшей основной относительной погрешности (без учета знака)

- для первой декады;
- наибольшим основным абсолютным погрешностям, если знаки погрешностей

и

,

и

,... одинаковы, и наименьшим абсолютным погрешностям, если эти знаки противоположны для второй и последующих декад.
9.7.2. Поэлементная поверка
Поэлементную поверку применяют для мостов, в НД и ТД на которые она допускается.
Поэлементная поверка заключается в определении погрешностей мер, образующих элементы плеч моста.
Погрешности определяют во всем диапазоне значений элементов. Поэлементную поверку завершают контрольным определением основной погрешности моста и комплектной поверкой в основном диапазоне при значениях величин, близких к начальному, среднему и конечному значениям диапазона.
9.7.2.1. Погрешности элементов, составляющих отдельные плечи моста, определяют по ГОСТ 8.237 (меры сопротивления и проводимости), настоящему стандарту (меры индуктивности) и ГОСТ 8.255 (меры емкости).
Погрешности элементов, составляющих плечи отношений, определяют по методике, изложенной в НД и ТД на мост конкретного типа.
9.7.2.2. Основную погрешность моста вычисляют по формулам, приведенным в НД и ТД на мост конкретного типа. В формулы следует подставлять значения погрешностей элементов плеч, которые при алгебраическом суммировании дают наибольший результат.
В
Приложении Г приведены примеры определения основных погрешностей при поэлементной поверке наиболее распространенных четырех- и шестиплечих мостов.
9.7.3. Оценка результатов поверки
9.7.3.1. Погрешности рабочих мостов, определенные по
9.7.1 (при комплектной поверке) и
9.7.2.2 (при поэлементной поверке), не должны превышать пределов допускаемых основных погрешностей, указанных в НД и ТД на мост конкретного типа.
9.7.3.2. Пределы допускаемых основных погрешностей эталонных мостов (после внесения поправок) приведены в таблицах 5,
6,
7.
┌───────┬─────────────┬──────┬──────────────────────────────────────────────┐
│Измеря-│ Номинальное │Разряд│ Предел допускаемой основной относительной │
│емая │ значение │моста │ n │
│величи-│ измеряемой │ │ погрешности, %, при частотах 1 x 10 , Гц │
│на │ величины │ ├─────────┬─────────┬────────┬────────┬────────┤
│ │ │ │ │ 3 │ 4 │ 5 │ 6 │
│ │ │ │40...100 │ 1 x 10 │1 x 10 │1 x 10 │1 x 10 │
├───────┼─────────────┼──────┼─────────┼─────────┼────────┼────────┼────────┤
│ │ -3 │ │ │ -1 │ -1│ │ │
│ C, пФ │ 10 │ 2 │ - │3 x 10 │4 x 10 │ - │ - │
│ │ -2 │ │ │ -2 │ -1│ │ │
│ │ 10 │ │ - │5 x 10 │1 x 10 │ - │ - │
│ │ -1 │ │ │ -2 │ -2│ │ │
│ │ 10 │ │ - │2 x 10 │5 x 10 │ - │ - │
│ │ │ │ │ -2 │ -2│ -2│ -1│
│ │ 1 │ │ - │2 x 10 │4 x 10 │4 x 10 │1 x 10 │
│ │ │ │ │ -2 │ -2│ -2│ -1│
│ │ 10 │ │ - │2 x 10 │2 x 10 │4 x 10 │1 x 10 │
│ │ 2 │ │ -2 │ -2 │ -2│ -2│ -1│
│ │ 10 │ │2 x 10 │2 x 10 │2 x 10 │5 x 10 │1 x 10 │
│ │ 3 │ │ -2 │ -2 │ -2│ -2│ -1│
│ │ 10 │ │2 x 10 │2 x 10 │2 x 10 │5 x 10 │2 x 10 │
│ │ 4 │ │ -2 │ -2 │ -2│ -2│ -1│
│ │ 10 │ │2 x 10 │2 x 10 │3 x 10 │5 x 10 │2 x 10 │
│ │ 5 │ │ -2 │ -2 │ -2│ -1│ │
│ │ 10 │ │2 x 10 │2 x 10 │5 x 10 │1 x 10 │ - │
│ │ 6 │ │ -2 │ -2 │ -2│ │ │
│ │ 10 │ │5 x 10 │5 x 10 │5 x 10 │ - │ - │
│ │ 7 │ │ -2 │ -2 │ │ │ │
│ │ 10 │ │5 x 10 │5 x 10 │ - │ - │ - │
│ │ 8 │ │ -2 │ -2 │ │ │ │
│ │ 10 │ │5 x 10 │5 x 10 │ - │ - │ - │
├───────┼─────────────┼──────┼─────────┼─────────┼────────┼────────┼────────┤
│ │ -3 │ │ │ -1 │ │ │ │
│ C, пФ │ 10 │ 3 │ - │6 x 10 │ 1,0 │ - │ - │
│ │ -2 │ │ │ -1 │ -1│ │ │
│ │ 10 │ │ - │2 x 10 │4 x 10 │ - │ - │
│ │ -1 │ │ │ -2 │ -1│ │ │
│ │ 10 │ │ - │5 x 10 │1 x 10 │ - │ - │
│ │ │ │ │ -2 │ -1│ -1│ -1│
│ │ 1 │ │ - │5 x 10 │1 x 10 │1 x 10 │3 x 10 │
│ │ │ │ │ -2 │ -2│ -1│ -1│
│ │ 10 │ │ - │5 x 10 │5 x 10 │1 x 10 │3 x 10 │
│ │ 2 │ │ -2 │ -2 │ -2│ -1│ -1│
│ │ 10 │ │5 x 10 │5 x 10 │5 x 10 │1 x 10 │3 x 10 │
│ │ 3 │ │ -2 │ -2 │ -2│ -1│ -1│
│ │ 10 │ │5 x 10 │5 x 10 │5 x 10 │2 x 10 │5 x 10 │
│ │ 4 │ │ -2 │ -2 │ -1│ -1│ -1│
│ │ 10 │ │5 x 10 │5 x 10 │1 x 10 │3 x 10 │2 x 10 │
│ │ 5 │ │ -2 │ -2 │ -1│ -1│ │
│ │ 10 │ │5 x 10 │5 x 10 │2 x 10 │3 x 10 │ - │
│ │ 6 │ │ -2│ -1 │ -1│ │ │
│ │ 10 │ │15 x 10 │1 x 10 │2 x 10 │ - │ - │
│ │ 7 │ │ -2│ -2│ │ │ │
│ │ 10 │ │15 x 10 │15 x 10 │ - │ - │ - │
│ │ 8 │ │ -2│ -1 │ │ │ │
│ │ 10 │ │15 x 10 │2 x 10 │ - │ - │ - │
│ │ 9 │ │ -1 │ -1 │ │ │ │
│ │ 10 │ │2 x 10 │2 x 10 │ - │ - │ - │
├───────┼─────────────┼──────┼─────────┼─────────┼────────┼────────┼────────┤
│ │ -7 │ │ │ -1 │ -1│ -1│ -1│
│ L, Гн │ 10 │ 2 │ - │2 x 10 │2 x 10 │2 x 10 │3 x 10 │
│ │ -6 │ │ │ -2 │ -1│ -1│ -1│
│ │ 10 │ │ - │5 x 10 │1 x 10 │1 x 10 │3 x 10 │
│ │ -5 │ │ │ -2 │ -2│ -1│ -1│
│ │ 10 │ │ - │3 x 10 │5 x 10 │1 x 10 │1 x 10 │
│ │ -4 │ │ │ -2 │ -2│ -1│ -1│
│ │ 10 │ │ - │3 x 10 │5 x 10 │1 x 10 │1 x 10 │
│ │ -3 │ │ │ -2 │ │ │ │
│ │ 10 │ │ - │3 x 10 │ - │ - │ - │
│ │ -2 │ │ │ -2 │ │ │ │
│ │ 10 │ │ - │3 x 10 │ - │ - │ - │
│ │ -1 │ │ │ -2 │ │ │ │
│ │ 10 │ │ - │3 x 10 │ - │ - │ - │
│ │ │ │ │ -2 │ │ │ │
│ │ 1 │ │ - │3 x 10 │ - │ - │ - │
│ ├─────────────┼──────┼─────────┼─────────┼────────┼────────┼────────┤
│ │ -8 │ │ │ │ │ │ │
│ │ 10 │ 3 │ - │ 2,5 │ 2,5 │ 2,5 │ 2,5 │
│ │ -7 │ │ │ │ │ │ │
│ │ 10 │ │ - │ 1,5 │ 1,5 │ 1,5 │ 1,5 │
│ │ -6 │ │ │ -1│ -1│ -1│ │
│ │ 10 │ │ - │15 x 10 │5 x 10 │5 x 10 │ 1,0 │
│ │ -5 │ │ │ -1 │ -1│ -1│ -1│
│ │ 10 │ │ - │2 x 10 │5 x 10 │5 x 10 │5 x 10 │
│ │ -4 │ │ │ -1 │ -1│ -1│ -1│
│ │ 10 │ │ - │1 x 10 │2 x 10 │3 x 10 │3 x 10 │
│ │ -3 │ │ │ -1 │ -1│ -1│ │
│ │ 10 │ │ - │1 x 10 │2 x 10 │3 x 10 │ - │
│ │ -2 │ │ │ -1 │ │ │ │
│ │ 10 │ │ - │1 x 10 │ - │ - │ - │
│ │ -1 │ │ │ -1 │ │ │ │
│ │ 10 │ │ - │1 x 10 │ - │ - │ - │
│ │ │ │ │ -1 │ │ │ │
│ │ 1 │ │ - │1 x 10 │ - │ - │ - │
│ │ │ │ │ -1 │ │ │ │
│ │ 10 │ │ - │2 x 10 │ - │ - │ - │
│ │ 2 │ │ │ -1 │ │ │ │
│ │ 10 │ │ - │5 x 10 │ - │ - │ - │
│ │ 3 │ │ │ │ │ │ │
│ │ 10 │ │ - │ 1,0 │ - │ - │ - │
├───────┼─────────────┼──────┼─────────┼─────────┼────────┼────────┼────────┤
│ │ -1 │ │ -2 │ -2 │ -2│ -1│ │
│ R, Ом │ 10 ...1 │ 2 │5 x 10 │5 x 10 │5 x 10 │1 x 10 │ - │
│(G, См)│ (10...1) │ │ │ │ │ │ │
│ │ 2 │ │ -2 │ -2 │ -2│ -1│ │
│ │ 1...10 │ │5 x 10 │2 x 10 │5 x 10 │1 x 10 │ - │
│ │ -2 │ │ │ │ │ │ │
│ │ (1...10 ) │ │ │ │ │ │ │
│ │ 2 4 │ │ -2 │ -2 │ -2│ -2│ │
│ │ 10 ...10 │ │2 x 10 │2 x 10 │2 x 10 │5 x 10 │ - │
│ │ -2 -4 │ │ │ │ │ │ │
│ │(10 ...10 )│ │ │ │ │ │ │
│ │ 4 6 │ │ -2 │ -2 │ -2│ -2│ │
│ │ 10 ...10 │ │2 x 10 │2 x 10 │5 x 10 │5 x 10 │ - │
│ │ -4 -6 │ │ │ │ │ │ │
│ │(10 ...10 )│ │ │ │ │ │ │
│ │ 6 7 │ │ -2 │ -2 │ -2│ │ │
│ │ 10 ...10 │ │5 x 10 │5 x 10 │5 x 10 │ - │ - │
│ │ -6 -7 │ │ │ │ │ │ │
│ │(10 ...10 )│ │ │ │ │ │ │
│ ├─────────────┼──────┼─────────┼─────────┼────────┼────────┼────────┤
│ │ -1 │ │ -1 │ -1 │ -1│ -1│ │
│ │ 10 ...1 │ 3 │1 x 10 │1 x 10 │1 x 10 │2 x 10 │ - │
│ │ (10...1) │ │ │ │ │ │ │
│ │ 2 │ │ -1 │ -2 │ -1│ -1│ -1│
│ │ 1...10 │ │1 x 10 │5 x 10 │1 x 10 │2 x 10 │3 x 10 │
│ │ -2 │ │ │ │ │ │ │
│ │ (1...10 ) │ │ │ │ │ │ │
│ │ 2 4 │ │ -2 │ -2 │ -2│ -1│ -1│
│ │ 10 ...10 │ │5 x 10 │5 x 10 │5 x 10 │1 x 10 │3 x 10 │
│ │ -2 -4 │ │ │ │ │ │ │
│ │(10 ...10 )│ │ │ │ │ │ │
│ │ 4 6 │ │ -2 │ -2 │ -1│ -1│ │
│ │ 10 ...10 │ │5 x 10 │5 x 10 │1 x 10 │3 x 10 │ - │
│ │ -4 -6 │ │ │ │ │ │ │
│ │(10 ...10 )│ │ │ │ │ │ │
│ │ 6 8 │ │ -1 │ -1 │ -1│ -1│ │
│ │ 10 ...10 │ │1 x 10 │1 x 10 │1 x 10 │5 x 10 │ - │
│ │ -6 -8 │ │ │ │ │ │ │
│ │(10 ...10 )│ │ │ │ │ │ │
└───────┴─────────────┴──────┴─────────┴─────────┴────────┴────────┴────────┘
┌──────────┬─────┬─────────────────────────────────────────────────────────────────────────┐
│Измеряемая│Раз- │ Предел допускаемой основной абсолютной погрешности при частотах, Гц │
│ величина │ряд- ├───────────────────┬──────────────────────────┬──────────────────────────┤
│ │ность│ 8 │ 4 5│ 8 │
│ │моста│ 1 x 10 │40...100, 1 x 10 , 1 x 10 │ 1 x 10 │
├──────────┼─────┼───────────────────┼──────────────────────────┼──────────────────────────┤
│tg дельта │ 2 │ 0,002tg дельта + │(0,002...0,007)tg дельта +│(0,003...0,008)tg дельта +│
│ │ │ -4 │ -4 │ -4 │
│ │ │(0,2...0,5) x 10 │ (0,3... 1,0) x 10 │ (0,3...1,6) x 10 │
│ ├─────┼───────────────────┼──────────────────────────┼──────────────────────────┤
│ │ 3 │ (0,005tg дельта + │(0,005...0,015)tg дельта +│(0,01...0,025)tg дельта + │
│ │ │ -4│ -4 │ -4 │
│ │ │(0,5...1,01) x 10 │ (0,5...1,5) x 10 │ (0,7...2,0) x 10 │
└──────────┴─────┴───────────────────┴──────────────────────────┴──────────────────────────┘
┌────────────────────┬────────────┬──────────────────────────────┐
│Измеряемая величина │ Разряд │Предел допускаемой погрешности│
│ │ моста │ │
├────────────────────┼────────────┼──────────────────────────────┤
│ │ │ -2 │
│ Q │ 2 │ (1 + 1 x 10 Q)% │
├────────────────────┤ ├──────────────────────────────┤
│ │ │ -2 -4 │
│ tg дельта │ │1 x 10 tg дельта + 1 x 10 │
│ L │ │ L │
└────────────────────┴────────────┴──────────────────────────────┘
Примечание. Тангенс угла потерь катушек индуктивности

, равный 1/Q, нормируют для мостов, в которых вместо Q измеряют

.
Пределы допускаемых основных погрешностей эталонных мостов при номинальных значениях измеряемых величин, больших

и меньших

, не должны превышать погрешности, указанной для значения

в
таблице 5.
Нестабильность показаний эталонных мостов определяют как разность поправок к показанию моста при измерении величины одного и того же номинального значения при данной и предыдущей поверках. Нестабильность определяют для тех же значений измеряемых величин, для которых была определена основная погрешность моста (см.
9.7.1.1 и
9.7.1.2).
Нестабильность показаний эталонных мостов всех разрядов за год не должна превышать 0,7 пределов их допускаемых основных погрешностей.
Порядок определения метрологических характеристик мостов при аттестации их в качестве эталонных приведен в
Приложении Д.
9.8. Определение вариации показаний (для мостов по ГОСТ 25242)
Вариацию показаний определяют для мостов, в НД и ТД на которые она нормирована.
Вариацию показаний определяют в одном (любом) диапазоне измерений для одного значения измеряемой величины на каждом из отсчетных устройств моста.
Ко входу моста подключают одну из многозначных или составных мер C, L, R,

, Q,

,

. Вариацию определяют как разность двух показаний моста при одном и том же значении измеряемой величины, при медленных изменениях ее в двух направлениях - со стороны меньших и со стороны больших значений.
Вариацию определяют три раза. Ни одно из полученных значений не должно превышать предельного значения, указанного в НД и ТД на мост конкретного типа.
9.9. Проверка выходных сигналов, поступающих на цифропечатающее устройство (для мостов по ГОСТ 25242)
К выходу поверяемого моста подключают цифропечатающее устройство. Ко входу моста подключают одну из многозначных или составных мер (в зависимости от измеряемой величины). Изменяя показание меры, проверяют соответствие показаний отсчетного устройства моста и результатов, полученных с помощью цифропечатающего устройства. Выполнение этой операции может быть совмещено с включением и подготовкой к работе моста по
9.4.2.
При отсутствии цифропечатающего устройства измеряют значения сигналов на выходе поверяемого моста. Сигналы по амплитуде и фазе должны соответствовать требованиям, указанным в НД и ТД на мост конкретного типа.
10. Оформление результатов поверки
10.1. Результаты первичной поверки рабочих мостов оформляют отметкой в паспорте и нанесением поверительного клейма.
10.2. Положительные результаты периодической поверки оформляют нанесением на мост поверительного клейма.
На эталонные мосты дополнительно выдают свидетельство по установленной форме.
Форма записи результатов поверки эталонных мостов на оборотной стороне свидетельства приведена в Приложении Ж.
Поправки к показаниям эталонных мостов, приведенные на оборотной стороне свидетельства, определяют для значений измеряемых величин, установленных в
9.7.1.1 и
9.7.1.2.
По желанию потребителя вместо нанесения поверительного клейма (или наряду с нанесением клейма) допускается выдавать свидетельство о поверке на рабочие мосты.
10.3. При проведении частичной поверки мостов выдают свидетельство о поверке с указанием величин, диапазонов и частот, на которых была проведена поверка. При этом на мосты поверительное клеймо не ставят.
10.4. Мосты, эксплуатируемые без цифропечатающих устройств, поверенные после ремонта и имеющие отрицательные результаты поверки по
9.9, не допускают к применению, что должно быть отмечено в свидетельстве.
10.5. Мосты, не удовлетворяющие требованиям настоящего стандарта, к выпуску и применению не допускают, поверительное клеймо гасят, свидетельство о поверке аннулируют. На такие мосты выдают извещение о непригодности.
(справочное)
ТИПЫ И ТЕХНИЧЕСКИЕ ХАРАКТЕРИСТИКИ
ВСПОМОГАТЕЛЬНЫХ СРЕДСТВ ПОВЕРКИ
Таблица А.1
┌────────────────────────┬─────────────┬───────────────────────┬──────────┐
│ Наименование средства │ Обозначение │ Диапазон измерений │Предел до-│
│ поверки │ типов │ │пускаемой │
│ │ │ │основной │
│ │ │ │погрешно- │
│ │ │ │сти, цена │
│ │ │ │деления │
├────────────────────────┼─────────────┼───────────────────────┼──────────┤
│ Термометр │ТЛ-4, ТЛ-18, │ 0 °C...50 °C │ 0,1 °C │
│ │ ТЛ-19 │ 8 °C...38 °C │ 0,5 °C │
├────────────────────────┼─────────────┼───────────────────────┼──────────┤
│ Психрометр │ МВ-4М │ 10%...100% │ - │
├────────────────────────┼─────────────┼───────────────────────┼──────────┤
│ Барометр │ БАММ-1 │ 80...107 кПа │ 2% │
│ │ │(600...800 мм рт. ст.) │ │
├────────────────────────┼─────────────┼───────────────────────┼──────────┤
│Вольтметр │ Д566; Д567; │ 200...300 В │ 0,5% │
│ │ Д574; С53 │ │ │
├────────────────────────┼─────────────┼───────────────────────┼──────────┤
│ Пробойная универсальная│ УПУ-1М │ 0...10 кВ; 50 Гц; │ - │
│установка │ │ 0,25 кВ x А │ │
├────────────────────────┼─────────────┼───────────────────────┼──────────┤
│ │ │ 9 17 │ │
│ Мегомметр │Е6-13; Е6-14;│1 x 10 ...1 x 10 Ом; │2,5%...10%│
│ │ЕК6-7; ЕК6-11│ 3 │ -3 │
│ │ │ 1...1 x 10 В │5 x 10 % │
├────────────────────────┼─────────────┼───────────────────────┼──────────┤
│ │ │ 7 │ │
│ Электронно-счетный │Ч3-33; Ч3-36;│ 10...5 x 10 Гц │ - │
│частотомер │ Ч3-38 │ │ │
└────────────────────────┴─────────────┴───────────────────────┴──────────┘
(справочное)
ТИПЫ И ОСНОВНЫЕ ХАРАКТЕРИСТИКИ ОСНОВНЫХ СРЕДСТВ ПОВЕРКИ
(ЗА ИСКЛЮЧЕНИЕМ СОСТАВНЫХ МЕР)
Меры емкости и тангенса угла потерь
┌──────────┬────────┬─────────────────────┬─────────────────┬───────────────────┬───────────────────┬────────────────────────┬───────┬─────────┐
│Наименова-│ Тип │Номинальное значение │ Нормальная │Тангенс угла потерь│Предел допускаемой │Погрешность определения │Разряд │Примеча- │
│ние │ │ (диапазон), пФ │ частота │ │ погрешности, % │ действительного │эталон-│ние │
│ │ │ │ (диапазон), Гц │ │ │ значения, % │ного │ │
│ │ │ │ │ │ │ │средст-│ │
│ │ │ │ │ │ │ │ва │ │
│ │ │ │ │ │ │ │поверки│ │
├──────────┼────────┼─────────────────────┼─────────────────┼───────────────────┼───────────────────┼────────────────────────┼───────┼─────────┤
│ │ │ 6 │ 3 │ -6 │ │ │ │ │
│Рабочий │ - │ 1...1 x 10 │ 1 x 10 │(1...7) x 10 при │ - │Средняя квадратическая │Рабочий│ - │
│эталон │ │ │ │ 3 │ │погрешность: │эталон │ │
│ │ │ │ │C = 1...1 x 10 пФ,│ │ -4 │ │ │
│ │ │ │ │ -4 │ │S = 2 x 10 ...1 x│ │ │
│ │ │ │ │(1...2) x 10 при │ │ Сигма │ │ │
│ │ │ │ │ 4 │ │ 0 │ │ │
│ │ │ │ │C = 1 x 10 ...1 x │ │ -3 │ │ │
│ │ │ │ │ 5 │ │10 . │ │ │
│ │ │ │ │ 10 пФ │ │Относительная │ │ │
│ │ │ │ │ │ │нестабильность: │ │ │
│ │ │ │ │ │ │ -4 -3 │ │ │
│ │ │ │ │ │ │v = 2 x 10 ...5 x 10 │ │ │
│ │ │ │ │ │ │ │ │ │
├──────────┼────────┼─────────────────────┼─────────────────┼───────────────────┼───────────────────┼────────────────────────┼───────┼─────────┤
│ │ │ 2 │ 5 │ -5 │ │ │ │ │
│Меры │ Р5050 │ 1, 10, 1 x 10 , │ 40...1 x 10 │ 5 x 10 │ 0,02 │ 0,01 │1, 2 и │Серийный │
│емкости │ │ 3 │ │ │ │ │ 3 │ выпуск │
│ │ │ 1 x 10 │ │ │ │ │ │ │
│ ├────────┼─────────────────────┼─────────────────┼───────────────────┼───────────────────┼────────────────────────┼───────┤ │
│ │ │ n │ 5 │ -5 -3│ │ │ │ │
│ │ Р597 │ (1, 2, 3, 4) x 10 , │ 40...1 x 10 │5 x 10 ...2 x 10 │ 0,05 │ 0,01...0,03 │ 2 и 3 │ │
│ │ │ где n = 0...5 │ │ │ │ │ │ │
│ ├────────┼─────────────────────┼─────────────────┼───────────────────┼───────────────────┼────────────────────────┼───────┤ │
│ │ │ -3 │ 3 5│ -5 │ │ │ │ │
│ │ КМЕ-11 │ 1 x 10 ...1 │1 x 10 ...1 x 10 │ 5 x 10 │ - │ 0,02...0,6 │ 2 и 3 │ │
│ ├────────┼─────────────────────┼─────────────────┼───────────────────┼───────────────────┼────────────────────────┼───────┤ │
│ │ │ │ 3 5│ -5 │ │ │ │ │
│ │КМЕ-101 │ 10 │1 x 10 ...1 x 10 │ 5 x 10 │ - │ 0,02...0,05 │ 2 и 3 │ │
│ ├────────┼─────────────────────┼─────────────────┼───────────────────┼───────────────────┼────────────────────────┼───────┤ │
│ │ │ 2 3 │ 6 │ │ │ │ │ │
│ │ Е1-3 │ 1 x 10 ...1 x 10 │ 1 x 10 │ - │ 0,1 │ - │ 2 │ │
│ ├────────┼─────────────────────┼─────────────────┼───────────────────┼───────────────────┼────────────────────────┼───────┼─────────┤
│ │ │ 3 │ 4 │ -4 │ │ │ │ │
│ │ Р533 │ 50...4 x 10 │ 40...1 x 10 │ 1 x 10 │ 0,05 │ - │ 3 │ В │
│ │ │ │ │ │ │ │ │обращении│
├──────────┼────────┼─────────────────────┼─────────────────┼───────────────────┼───────────────────┼────────────────────────┼───────┼─────────┤
│ │ │ 2 6│ 4 │ │ │ │ │ │
│Магазин │ Р544 │1 x 10 ...1,111 x 10 │ 40...1 x 10 │ - │ 0,2 │ - │ 3 │Серийный │
│емкости ├────────┼─────────────────────┼─────────────────┼───────────────────┼───────────────────┼────────────────────────┼───────┤ выпуск │
│ │ │ 4 6│ 4 │ -3 -2│ 0,2 │ │ │ │
│ │ Р583 │1 x 10 ...111,1 x 10 │ 40...2 x 10 │1 x 10 ...1 x 10 │ │ - │ 3 │ │
│ ├────────┼─────────────────────┼─────────────────┼───────────────────┼───────────────────┼────────────────────────┼───────┤ │
│ │ │ 2 8 │ 4 │ -3 -3│ │ │ │ │
│ │ Р5025 │1 x 10 ...1,11 x 10 │ 40...3 x 10 │1 x 10 ...5 x 10 │ 0,1...0,5 │ - │ 3 │ │
│ ├────────┼─────────────────────┼─────────────────┼───────────────────┼───────────────────┼────────────────────────┼───────┤ │
│ │ │ 8 9 │ 3 │ -2 │ │ │ │ │
│ │ М1000 │ 1 x 10 ...1 x 10 │ 50...1 x 10 │ <= 1 x 10 │ 0,2 │ 0,05 │ 2 и 3 │ │
│ ├────────┼─────────────────────┼─────────────────┼───────────────────┼───────────────────┼────────────────────────┼───────┼─────────┤
│ │ │ 9 10 │ │ -2 │ │ │ │ │
│ │ М10000 │ 1 x 10 ...1 x 10 │ 50 │ <= 5 x 10 │ 0,5 │ 0,1 │ 3 │ Малая │
├──────────┼────────┼─────────────────────┼─────────────────┼───────────────────┼───────────────────┼────────────────────────┼───────┤ серия │
│ │ │ 10 │ 4 │ -4 │ │ │ │ │
│Магазин │ Р5086 │ 1...1 x 10 │ 40...1 x 10 │ 1 x 10 ...1 │ 0,1...1 │ 0,05...0,2 │ 3 │ │
│емкости │ │ │ │ │ │ │ │ │
│кодоуправ-│ │ │ │ │ │ │ │ │
│ляемый │ │ │ │ │ │ │ │ │
├──────────┼────────┼─────────────────────┼─────────────────┼───────────────────┼───────────────────┼────────────────────────┼───────┼─────────┤
│ │ │ -1 7 │ 6 │ -5 │ │ │ │ │
│Магазин │ Р5096 │ 1 x 10 ...8 x 10 │ 1 x 10 │ 5 x 10 ...1 │ 0,02...0,2 │ 0,01...0,05 │1, 2 и │ Малая │
│емкости │ │ │ │ │ │ │ 3 │ серия │
├──────────┼────────┼─────────────────────┼─────────────────┼───────────────────┼───────────────────┼────────────────────────┼───────┤ │
│ │ │ │ 5 │ -4 │ │ │ │ │
│Конденса- │Р5092 - │ 0...16, │ 40...1 x 10 │ 1 x 10 │ 0,2...0,5 │ 0,1 │ - │ │
│торы │ Р5094 │ 0...160 и │ │ │ │ │ │ │
│переменной│ │ 0...510 │ │ │ │ │ │ │
│емкости │ │ │ │ │ │ │ │ │
├──────────┼────────┼─────────────────────┼─────────────────┼───────────────────┼───────────────────┼────────────────────────┼───────┼─────────┤
│ │ │ 6 │ 5 │ -4 │ │ │ │ │
│Резисторы │ Р5064 │ 1...1 x 10 │ 40...1 x 10 │ 1 x 10 ...1 │ 0,05tg дельта + │ 0,007tg дельта + │ 2 │Серийный │
│составных │ │ │ │ │ -4 │ -4 │ │ выпуск │
│мер (с │ │ │ │ │ (0,5...3) x 10 │ (0,5...1) x 10 │ │ │
│мерами │ │ │ │ │ 3 │ 3 │ │ │
│Р597) │ │ │ │ │при f = 1 x 10 Гц,│ при f = 1 x 10 Гц, │ │ │
│ │ │ │ │ │ 0,1tg дельта + │ -4│ │ │
│ │ │ │ │ │ -4 │0,01tg дельта + 1 x 10 │ │ │
│ │ │ │ │ │ (0,7...4) x 10 │ при других частотах │ │ │
│ │ │ │ │ │при других частотах│ │ │ │
├──────────┼────────┼─────────────────────┼─────────────────┼───────────────────┼───────────────────┼────────────────────────┼───────┼─────────┤
│ │ │ 2 3 │ 3 4 │ -5 -1│ │ │ │ │
│Вариометр │ВТУП-1А,│ 1 x 10 и 1 x 10 │1 x 10 , 1 x 10 │5 x 10 ...1 x 10 │ 0,005tg дельта + │ (0,0015...0,005) x │ 1, 2 │ Малая │
│потерь │ВТУП-2А │ │ 5 │ (плавно) │ -4 │ -5 │ │ серия │
│ │ │ │ и 1 x 10 │ │ 1 x 10 при f = │ tg дельта + 5 x 10 │ │ │
│ │ │ │ │ │ 3 │ 3 │ │ │
│ │ │ │ │ │ 1 x 10 Гц, │ при f = 1 x 10 Гц, │ │ │
│ │ │ │ │ │0,01tg дельта + 2 x│ -4│ │ │
│ │ │ │ │ │ -4 │0,01tg дельта + 1 x 10 │ │ │
│ │ │ │ │ │ 10 при других │ при других частотах │ │ │
│ │ │ │ │ │ частотах │ │ │ │
└──────────┴────────┴─────────────────────┴─────────────────┴───────────────────┴───────────────────┴────────────────────────┴───────┴─────────┘
Меры индуктивности и добротности
┌──────────┬───────┬───────────────────┬─────────────────┬────────────────┬────────┬──────────────────────────┬───────┬─────────┐
│Наименова-│ Тип │ Номинальное │ Нормальная │ Добротность │Предел │ Погрешность определения │Разряд │Примеча- │
│ние │ │ значение │ частота │ │допус- │действительного значения, │эталон-│ние │
│ │ │ (диапазон), Гн │ (диапазон), Гц │ │каемой │ % │ного │ │
│ │ │ │ │ │погреш- │ │средст-│ │
│ │ │ │ │ │ности, %│ │ва │ │
│ │ │ │ │ │ │ │поверки│ │
├──────────┼───────┼───────────────────┼─────────────────┼────────────────┼────────┼──────────────────────────┼───────┼─────────┤
│ │ │ -6 │ 3 │ │ │ │ │ │
│Рабочий │ - │ 1 x 10 ...1 │ 1 x 10 │ 0,1...100 │ - │Средняя квадратическая │Рабочий│ - │
│эталон │ │ │ │ │ │погрешность: │эталон │ │
│ │ │ │ │ │ │ -3 │ │ │
│ │ │ │ │ │ │S = 1 x 10 ...3 x │ │ │
│ │ │ │ │ │ │ Сигма │ │ │
│ │ │ │ │ │ │ 0 │ │ │
│ │ │ │ │ │ │ -2 │ │ │
│ │ │ │ │ │ │10 . │ │ │
│ │ │ │ │ │ │Относительная │ │ │
│ │ │ │ │ │ │нестабильность: │ │ │
│ │ │ │ │ │ │ -3 -2 │ │ │
│ │ │ │ │ │ │v = 3 x 10 ...9 x 10 │ │ │
├──────────┼───────┼───────────────────┼─────────────────┼────────────────┼────────┼──────────────────────────┼───────┼─────────┤
│ │ │ -6 │ 5 │ │ │ 1 │ │ │
│Меры │ Р596 │ 1 x 10 ...1 │ 80...1 x 10 │ 0,1...80 │0,05...2│(0,02 + -) при │ 2, 3 │Серийный │
│индуктив- │ │ │ │ │ │ L │ │ выпуск │
│ности │ │ │ │ │ │f = 1...10 кГц, │ │ │
│ │ │ │ │ │ │ 1 │ │ │
│ │ │ │ │ │ │(0,05 + -) при f = 50 кГц,│ │ │
│ │ │ │ │ │ │ L │ │ │
│ │ │ │ │ │ │ 1 │ │ │
│ │ │ │ │ │ │(0,1 + -) при f = 100 кГц │ │ │
│ │ │ │ │ │ │ L │ │ │
├──────────┼───────┼───────────────────┼─────────────────┼────────────────┼────────┼──────────────────────────┼───────┼─────────┤
│ │ │ -8 -1│ 3 7│ │ │ │ │ │
│Меры │ Р593 │1 x 10 ...1 x 10 │1 x 10 ...1 x 10 │ 0,1... 250 │ 0,2 │0,2 при f = 1...10 кГц, │ 3 │Серийный │
│индуктив- │ │ │ │ │ │0,3 при f = 0,03...1 МГц, │ │ выпуск │
│ности │ │ │ │ │ │1 при f = 3...10 МГц │ │ │
│ ├───────┼───────────────────┼─────────────────┼────────────────┼────────┼──────────────────────────┼───────┼─────────┤
│ │ │ -4 │ 4 │ │ │ │ │ │
│ │ Р547 │ 1 x 10 ...1 │ 50...2 x 10 │ 0,1...150 │ 0,1 │ 0,1...0,02 │ 2, 3 │ В │
│ ├───────┼───────────────────┼─────────────────┼────────────────┼────────┼──────────────────────────┼───────┤обращении│
│ │ │ -4 │ 4 │ │ │ │ │ │
│ │ КИ-5 │ 1 x 10 ...1 │ 50...2 x 10 │ 0,1...150 │ 0,1 │ 0,1...0,01 │1, 2 и │ │
│ │ │ │ │ │ │ │ 3 │ │
│ ├───────┼───────────────────┼─────────────────┼────────────────┼────────┼──────────────────────────┼───────┤ │
│ │ │ -7 -4│ 6 8│ │ │ │ │ │
│ │ Е1-10 │1 x 10 ...1 x 10 │1 x 10 ...1 x 10 │ - │ - │ 0,3...2 │ 2 и 3 │ │
│ ├───────┼───────────────────┼─────────────────┼────────────────┼────────┼──────────────────────────┼───────┤ │
│ │ │ -7 -4│ 6 8│ │ │ │ │ │
│ │L-0672 │1 x 10 ...1 x 10 │1 x 10 ...1 x 10 │ - │ - │ 0,1...0,7 │ 1 и 2 │ │
│ ├───────┼───────────────────┼─────────────────┼────────────────┼────────┼──────────────────────────┼───────┤ │
│ │ │ -7 -1│ 4 7│ │ │ │ │ │
│ │L-1279 │1 x 10 ...2 x 10 │1 x 10 ...3 x 10 │ - │ - │ 0,08...0,5 │ 1 и 2 │ │
├──────────┼───────┼───────────────────┼─────────────────┼────────────────┼────────┼──────────────────────────┼───────┼─────────┤
│ │ │ -6 3 │ 3 │ │ │ │ │ │
│Магазин │ Р5085 │2 x 10 ...2 x 10 │ 50, 1 x 10 , │tg дельта = 1 x │0,1...1 │ 0,05...0,2 │ 2 и 3 │Серийный │
│индуктив- │ │ │ 4 │ -3 │ │ │ │ выпуск │
│ности │ │ │ 1 x 10 │ 10 ...1 │ │ │ │ │
│кодоуправ-│ │ │ │ │ │ │ │ │
│ляемый │ │ │ │ │ │ │ │ │
├──────────┼───────┼───────────────────┼─────────────────┼────────────────┼────────┼──────────────────────────┼───────┼─────────┤
│ │ │ -6 │ 5 │ │ │ │ │ │
│Меры │Р5101 -│ 1 x 10 ...1 │ 80...1 x 10 │> 2 при f >= 1 x│0,02...2│ 0,01...0,4 │1, 2 и │ Малая │
│индуктив- │ 5115 │ │ │ 3 │ │ │ 3 │ серия │
│ности │ │ │ │ 10 Гц │ │ │ │ │
├──────────┼───────┼───────────────────┼─────────────────┼────────────────┼────────┼──────────────────────────┼───────┼─────────┤
│ │ │ │ 4 7│ │ │ │ │ │
│Меры доб- │Q272-2 │ - │5 x 10 ...3 x 10 │ 15...600 │ - │ 1...3 │ 2 │Серийный │
│ротности │ │ │ │ │ │ │ │ выпуск │
│ ├───────┼───────────────────┼─────────────────┼────────────────┼────────┼──────────────────────────┼───────┼─────────┤
│ │ │ -6 -4│ 3 5│ │ │ │ │ │
│ │Е1-7 и │1 x 10 ...5 x 10 │1 x 10 ...1 x 10 │ 5, 40, 150 │ 3 │ 0,005Q + (0,4...1) │ 1 и 2 │ Малая │
│ │ Е1-13 │ │ │ │ │ изм │ │ серия │
└──────────┴───────┴───────────────────┴─────────────────┴────────────────┴────────┴──────────────────────────┴───────┴─────────┘
Меры активного сопротивления
┌────────┬───────┬──────────────────────┬──────────────┬───────────────────────┬───────┬────────────────────────┬───────┬─────────┐
│Наимено-│ Тип │ Номинальное значение │ Нормальная │ Постоянная времени, с │Предел │Погрешность определения │Разряд │Примеча- │
│вание │ │ (диапазон), Ом │ частота │ │допус- │ действительного │эталон-│ние │
│ │ │ │(диапазон), Гц│ │каемой │ значения, % │ного │ │
│ │ │ │ │ │погреш-│ │средст-│ │
│ │ │ │ │ │ности, │ │ва │ │
│ │ │ │ │ │% │ │поверки│ │
├────────┼───────┼──────────────────────┼──────────────┼───────────────────────┼───────┼────────────────────────┼───────┼─────────┤
│ │ │ -1 7 │ 3 │ -9 -7 │ │Средняя квадратическая │ │ │
│Рабочий │ - │ 1 x 10 ...1 x 10 │ 1 x 10 │ 5 x 10 ...3 x 10 │ - │погрешность: │Рабочий│ - │
│эталон │ │ │ │ │ │ -5 │эталон │ │
│ │ │ │ │ │ │S = 3 x 10 ...1,5│ │ │
│ │ │ │ │ │ │ Сигма │ │ │
│ │ │ │ │ │ │ 0 │ │ │
│ │ │ │ │ │ │ -4 │ │ │
│ │ │ │ │ │ │x 10 . │ │ │
│ │ │ │ │ │ │Относительная │ │ │
│ │ │ │ │ │ │нестабильность: │ │ │
│ │ │ │ │ │ │ -4 -3 │ │ │
│ │ │ │ │ │ │v = 3 x 10 ...1 x 10 │ │ │
├────────┼───────┼──────────────────────┼──────────────┼───────────────────────┼───────┼────────────────────────┼───────┼─────────┤
│ │ │ 4 │ 5 │ -9 -8 │ │ │ │ │
│Меры │ Р3030 │ 1...1 x 10 │ 0...1 x 10 │ 5 x 10 ...5 x 10 │0,002; │ 0,005...0,02 │1, 2 и │Серийный │
│сопро- │ │ │(в зависимости│ │0,005; │ │ 3 │ выпуск │
│тивления│ │ │ от номинала) │ │ 0,01 │ │ │ │
│ ├───────┼──────────────────────┼──────────────┼───────────────────────┼───────┼────────────────────────┼───────┤ │
│ │ │ 5 │ 5 │ -8 -5 │ │ │ │ │
│ │Р4015 -│ 1...1 x 10 │ 0...1 x 10 │ 2 x 10 ...2 x 10 │ 0,005 │ 0,005...0,2 │1, 2 и │ │
│ │ Р4018 │ 8 │(в зависимости│ │ │ │ 3 │ │
│ │ │ 1...1 x 10 │ от номинала) │ │ │ │ │ │
│ ├───────┼──────────────────────┼──────────────┼───────────────────────┼───────┼────────────────────────┼───────┼─────────┤
│ │ │ 5 │ 4 │ -8 -7 │ │ │ │ │
│ │ Р361 │ 1...1 x 10 │ 0...2 x 10 │ 2 x 10 ...5 x 10 │ 0,02 │ 0,005...0,05 │ 2 и 3 │ В │
│ ├───────┼──────────────────────┼──────────────┼───────────────────────┼───────┼────────────────────────┼───────┤обращении│
│ │ │ 6 7 │ 4 │ -8 -6 │ │ │ │ │
│ │Р4012, │ 1 x 10 , 1 x 10 │ 0...2 x 10 │ 1 x 10 ...1 x 10 │ 0,02 │ 0,01...0,1 │1, 2 и │ │
│ │ Р4022 │ │ │ │ │ │ 3 │ │
│ ├───────┼──────────────────────┼──────────────┼───────────────────────┼───────┼────────────────────────┼───────┼─────────┤
│ │ │ 4 │ 6 │ -9 -8 │ │ │ │Серийный │
│ │ Е1-5 │ 1...1 x 10 │ 0...1 x 10 │ 1 x 10 ...1 x 10 │ - │ 0,1 │ 2 и 3 │ выпуск │
├────────┼───────┼──────────────────────┼──────────────┼───────────────────────┼───────┼────────────────────────┼───────┤ │
│ │ │ -2 6 │ 4 │ -7 -5 │ │ │ │ │
│Магазин │Р4830/1│ 1 x 10 ...1 x 10 │ 0...2 x 10 │ 3 x 10 ...3 x 10 │ 0,05 │ 0,02 │ 3 │ │
│сопро- │Р4830/2│ │ │ │ │ │ │ │
│тивления│Р4830/3│ │ │ │ │ │ │ │
│ ├───────┼──────────────────────┼──────────────┼───────────────────────┼───────┼────────────────────────┼───────┤ │
│ │ │ 4 7 │ 4 │ -7 -5 │ │ │ │ │
│ │ Р4001 │ 1 x 10 ...1,11 x 10 │ 0...7 x 10 │ 3 x 10 ...3 x 10 │ 0,1 │ 0,05 │ 3 │ │
│ ├───────┼──────────────────────┼──────────────┼───────────────────────┼───────┼────────────────────────┼───────┼─────────┤
│ │ │ -2 4│ 3 │ -7 -6│ │ │ │ │
│ │ Р517М │2 x 10 ...1,222 x 10 │ 0...5 x 10 │1,5 x 10 ...1,5 x 10 │ 0,05 │ - │ 3 │ В │
│ ├───────┼──────────────────────┼──────────────┼───────────────────────┼───────┼────────────────────────┼───────┤обращении│
│ │ │ -2 5│ 3 │ -7 -6 │ │ │ │ │
│ │ Р58 │2 x 10 ...1,111 x 10 │ 0...5 x 10 │ 2 x 10 ...4 x 10 │ 0,1 │ 0,05 │ 3 │ │
└────────┴───────┴──────────────────────┴──────────────┴───────────────────────┴───────┴────────────────────────┴───────┴─────────┘

- среднее квадратическое отклонение результата измерений;
v - относительная нестабильность рабочего эталона за год.
(справочное)
СОСТАВНЫЕ МЕРЫ L, Q,

, R, G,

,

В.1. В качестве составных мер индуктивности, добротности, тангенса угла потерь, активного сопротивления (проводимости) и постоянной времени могут быть использованы электрические цепи, составленные из мер емкости, индуктивности, активного сопротивления (см.
Приложение Б) или прецизионных резисторов и конденсаторов.
Составные меры должны быть поверены комплектно или поэлементно в органах государственной или ведомственных метрологических служб. При комплектной поверке погрешности поверки составных мер индуктивности, активного сопротивления (проводимости) и тангенса угла потерь должны удовлетворять требованиям
ГОСТ 8.371 и ГОСТ 8.028, а погрешности поверки составных мер добротности и постоянной времени - требованиям
5.9 настоящего стандарта. При поэлементной поверке относительные погрешности поверки элементов составных мер (C, L, R, прецизионных резисторов и конденсаторов) в отдельности не должны превышать 0,2 предела основной относительной погрешности поверяемого моста.
В.2. В качестве составной меры индуктивности при поверке мостов, предназначенных для измерения объектов по трех- или пятизажимной схеме включения, может быть использована Т-образная цепь, составленная из мер активного сопротивления и меры емкости (рисунок В.1).
1, 2, 3 и 4 - клеммы для подключения меры;

и

- меры
активного сопротивления;

- мера электрической емкости
Рисунок В.1. Составная мера активного
сопротивления и емкости
Эквивалентную индуктивность составной меры

, Гн, вычисляют по формулам:
- при последовательной схеме замещения

; (В.1)
- при параллельной схеме замещения

, (В.2)
где

и

- сопротивления мер активного сопротивления

и

, Ом;

- емкость меры емкости

, Ф;
f - частота, Гц.
Составные меры индуктивности применяют в диапазоне значений от 1 до

и частот до 1 кГц.
Погрешность составной меры индуктивности, значение которой определяют по
формулам (В.1) и
(В.2), в указанных диапазонах не превышает 0,1%.
В.3. В качестве составной меры добротности может быть использована цепь из последовательно соединенных мер индуктивности, аттестованных по индуктивности и добротности, и добавочного резистора (рисунок В.2).
1 и 2 - клеммы для подключения меры;

- активное добавочное электрическое сопротивление;

- мера электрической индуктивности
Рисунок В.2. Составная мера добротности
Добротность составной меры

вычисляют по формуле

, (В.3)
где

- добротность меры индуктивности

;

- индуктивность меры индуктивности

, Гн;

- сопротивление добавочного резистора

, Ом.
В качестве добавочного резистора могут быть использованы прецизионные резисторы (металлодиэлектрические, фольговые, микропроволочные) типов ОМЛТ, С2-29, С5-5, МВСГ, МРХ, С5-17, С5-60, С5-61 номинальными значениями от 1 до

и мощностью рассеяния не менее 0,125 Вт.
Добавочные резисторы должны быть снабжены упругими контактами или зажимами (в зависимости от типа меры индуктивности) и использованы без экранов.
Составные меры добротности применяют в диапазоне значений от 2 до 200 при частотах до 1 МГц.
Погрешность меры добротности

, значение которой определяют по
формуле (В.3), в указанных диапазонах не превышает

. (В.4)
В.4. В качестве составных мер тангенса угла потерь могут быть использованы цепи из последовательно соединенных мер емкости, аттестованных по емкости и тангенсу угла потерь, и добавочного резистора (рисунок В.3, а, б) или из параллельно соединенных вышеуказанных элементов (рисунок В.3, в).
1, 2, 3 и 4 - клеммы для подключения меры;

- мера активного электрического сопротивления;

и

- меры электрической емкости
Рисунок В.3. Составные меры тангенса угла потерь
Тангенс угла потерь составной меры

вычисляют по формулам:
- при последовательном включении элементов и двухзажимной (
рисунок В.3, а) или трехзажимной (
рисунок В.3, б) схеме включения

; (В.5)
- при параллельном включении элементов и двух- или трехзажимной схеме включения (
рисунок В.3, в)

, (В.6)
где

- тангенс угла потерь меры емкости

;

- емкость меры емкости

, Ф;

- дополнительная емкость монтажа в схемах (
рисунок В.3, а, в) или емкость между точкой 4 и экраном в схеме (
рисунок В.3, б), Ф;

- сопротивление добавочного резистора

, Ом;
f - частота, Гц.
Типы добавочных резисторов, применяемых в составных мерах тангенса угла потерь, те же, что и по
В.3.
Резисторы, предназначенные для параллельного присоединения к мерам емкости типа Р597, должны быть снабжены двумя упругими контактами на расстоянии (26 +/- 0,2) мм друг от друга. Резисторы, предназначенные для последовательного соединения с мерой емкости, должны иметь один упругий контакт и один зажим.
При измерениях на частотах свыше 10 кГц резисторы должны быть помещены в электростатический экран диаметром от 30 до 40 мм и длиной от 50 до 70 мм.
Составную меру тангенса угла потерь присоединяют к мосту через конденсаторную подставку Р597/20 с помощью возможно более коротких медных неизолированных проводников. В составной мере тангенса угла потерь, выполненной по параллельной схеме, резистор вставляют обоими контактами в дополнительные гнезда подставки или непосредственно в верхние гнезда эталонной емкости.
В составной мере тангенса угла потерь, выполненной по последовательной схеме, упругий контакт резистора вставляют в одно из основных гнезд подставки, а зажим присоединяют к поверяемому мосту.
Для составной меры тангенса угла потерь, выполненной по параллельной схеме, сопротивления 1 МОм и выше могут быть получены путем использования резистивной Т-образной цепи (см.
В.5).
Составные меры тангенса угла потерь применяют в диапазоне значений от

до 2 на частотах до 1 МГц.
Погрешность мер тангенса угла потерь, значения которых определяют из
формул (В.5) и
(В.6), в указанных диапазонах не превышает

, где

- тангенс угла потерь составной меры.
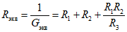
В.5. В качестве составной меры активного сопротивления (проводимости) может быть использована Т-образная цепь (рисунок В.4), в которую входят меры активного сопротивления или прецизионные резисторы.
1, 2, 3 и 4 - клеммы для подключения меры;

,

и

- меры активного электрического сопротивления
Рисунок В.4. Составная мера проводимости
Эквивалентное сопротивление

(или проводимость

) составной меры в омах (сименсах) при последовательной схеме замещения вычисляют по формуле

, (В.7)
где

,

и

- активное сопротивление мер (прецизионных резисторов)

,

и

соответственно, Ом.
Номинальные значения сопротивлений элементов Т-образной цепи, как правило, не превышают значений

,

.
Типы прецизионных резисторов те же, что в
В.3.
При использовании в качестве элементов составной меры мер активного сопротивления последние соединяют друг с другом и присоединяют к мосту (зажимы 1, 2 и 3 на
рисунке В.4) с помощью возможно более коротких экранированных проводников. При использовании прецизионных резисторов последние помещают в электростатический экран, корпус которого соединен с корпусом поверяемого моста. Расстояние от резисторов до экрана должно составлять от 40 до 50 мм. Для поэлементной поверки элементов Т-образной цепи точка соединения резисторов 4
(рисунок В.4) может быть выведена как отдельный зажим.
Составную меру проводимости применяют в диапазоне значений сопротивления (проводимости) от

до

(от

до

) и частот до 1 МГц.
На частотах до 100 кГц указанную составную меру поверяют комплектно или поэлементно. При поэлементной поверке погрешность меры активного сопротивления (проводимости), значение которой определяют из
формулы (В.7), не превышает 0,5%.
На частотах свыше 100 кГц указанную составную меру поверяют комплектно.
В.6. В качестве составной меры постоянной времени (при

) может быть использована цепь (рисунок В.5) из параллельно соединенных мер активного сопротивления (прецизионного резистора) и емкости (конденсатора).
1 и 2 - клеммы для подключения меры;

- мера активного электрического сопротивления;

- мера электрической емкости
Рисунок В.5. Составные меры постоянной времени
Эквивалентную постоянную времени

составной меры в секундах вычисляют по формуле

, (В.8)
где

- сопротивление меры активного сопротивления (резистора)

, Ом;

- емкость меры емкости (конденсатора)

, Ф.
В качестве составной меры постоянной времени (при

) может быть использована Т-образная цепь
(рисунок В.1), включающая в себя меры активного сопротивления (прецизионные резисторы) и емкости (конденсатор).
Эквивалентную постоянную времени составной меры

, с, вычисляют по формуле

, (В.9)
где

и

- сопротивление мер активного сопротивления (прецизионных резисторов)

и

соответственно, Ом;

- емкость меры емкости (конденсатора)

, Ф.
Типы прецизионных резисторов, используемых в составных мерах постоянной времени, те же, что по
В.3. В качестве емкостного элемента составных мер постоянной времени могут быть использованы прецизионные конденсаторы постоянной и переменной емкости (керамические, слюдяные, пленочные типов КГ, КСГ, СГМ, СГМ3, К50 и др.).
При использовании в составных мерах постоянной времени в качестве элементов прецизионных резисторов и конденсаторов последние помещают в электростатический экран, корпус которого соединен с корпусом поверяемого моста. Составные меры постоянной времени применяют при поверке мостов, предназначенных для измерения объектов по трех- или пятизажимной схеме включения в диапазоне значений времени от

до

и частот до 1 МГц. Погрешность мер постоянной времени

, значения которой определяют по
формулам (В.8) и
(В.9), в указанных диапазонах не превышает

.
В.7. В качестве составных мер тангенса фазового угла могут быть использованы цепи по
рисункам В.1 и
В.5. Тангенс фазового угла

определяют по формуле

, (В.10)
(справочное)
ПРИМЕРЫ ОПРЕДЕЛЕНИЯ ОСНОВНЫХ ПОГРЕШНОСТЕЙ
ПРИ ПОЭЛЕМЕНТНОЙ ПОВЕРКЕ НАИБОЛЕЕ РАСПРОСТРАНЕННЫХ
ЧЕТЫРЕХ- И ШЕСТИПЛЕЧИХ МОСТОВ
Г.1. Одинарные мосты "отношения" (рисунок Г.1)

. (Г.1)
Г.2. Одинарный мост "произведения" (рисунок Г.2)

. (Г.2)
Г.3. Шестиплечий мост "произведения" (рисунок Г.3)

. (Г.3)

,

и

- измеряемые емкость в фарадах, индуктивность
в генри и сопротивление в омах
соответственно;

,

- емкость в фарадах и сопротивление в омах
встроенной образцовой меры;

,

,

,

,

и

- сопротивление в омах и емкость в фарадах
уравновешивающих элементов моста (мер и
магазинов сопротивления и емкости
соответственно);

,

,

- погрешности моста при измерениях емкости

, индуктивности

, активного
сопротивления

;

- погрешность встроенной в мост меры емкости

;

,

,

и

- погрешности уравновешивающих элементов
моста (мер и магазинов сопротивления);

- погрешность встроенной меры емкости

при
равновесии моста с включенной
индуктивностью

(рабочее
уравновешивание);

- погрешность встроенной в мост меры емкости

при равновесии моста с включенной
индуктивностью l (начальное
уравновешивание);

и

- погрешности встроенной в мост меры
сопротивления

при равновесии моста с
включенной индуктивностью

и l
соответственно;

- погрешность моста при измерении
индуктивности

;

;

;

;

;
(справочное)
ОПРЕДЕЛЕНИЯ МЕТРОЛОГИЧЕСКИХ ХАРАКТЕРИСТИК МОСТОВ
ПРИ АТТЕСТАЦИИ ИХ В КАЧЕСТВЕ ЭТАЛОННЫХ
Мост, предназначенный для применения в качестве эталонного, должен быть подвергнут аттестации.
До проведения аттестации метрологические характеристики мостов определяют дважды в объеме поверки по настоящему стандарту с интервалом в год. На аттестацию мост представляют со свидетельством о результатах предыдущей поверки и неповрежденным клеймом поверяющей организации.
По результатам измерений определяют нестабильность показаний моста за год. В случае если нестабильность не превышает значений по
9.7.3, мосту присваивают соответствующий разряд.
Мостам, предназначенным для измерения двух или более величин, допускается присваивать два или более разряда в соответствии с требованиями настоящего стандарта.
Многодиапазонным мостам при измерении одной величины допускается присваивать для разных диапазонов разные разряды (не более двух).
(обязательное)
ПРОТОКОЛ N ______
поверки моста переменного тока типа ____________ N ________________________
изготовленного ____________________________________________________________
принадлежащего ____________________________________________________________
поверенного по эталонным средствам измерений ______________________________
___________________________________________________________________________
___________________________________________________________________________
___________________________________________________________________________
при температуре окружающей среды ____________ °C и
относительной влажности воздуха ____________%
Результаты наблюдений
┌──────┬──────┬────────────────┬───────┬────────┬────────┬─────────┬──────┐
│Часто-│Изме- │Показание моста │Значе- │Абсо- │Относи- │Предел │Приме-│
│та, Гц│ряемая├──────┬─────────┤ние │лютная │тельная │допус- │чание │
│ │вели- │Множи-│Отсчетное│эталон-│погреш- │погреш- │каемой │ │
│ │чина │тель │значение │ной │ность │ность │основной │ │
│ │ │диапа-│поверяе- │меры A │Дельта │дельта │погреш- │ │
│ │ │зона │мого │ э│
<*> │ о │ности, % │ │
│ │ │k │моста A │ │ │
<**>, % │ │ │
│ │ │ │ м │ │ │ │ │ │
├──────┼──────┼──────┼─────────┼───────┼────────┼────────┼─────────┼──────┤
├──────┴──────┴──────┴─────────┴───────┴────────┴────────┴─────────┴──────┤
│ <*> Дельта = kA - A ; │
│ м э │
│ <**> дельта = 100Дельта/A . │
│ о э │
└─────────────────────────────────────────────────────────────────────────┘
Для мостов переменного тока по ГОСТ 9486 и ГОСТ 25242 наибольшая (без учета
знака) основная погрешность моста при проверке каждой декады в отдельности
____________ при значении измеряемой величины
___________________________________________________________________________
Заключение по результатам поверки _________________________________________
Проверку проводил _____________________ ________________________________
подпись инициалы, фамилия
"__" __________ 20__ г.
(обязательное)
ФОРМА ЗАПИСИ РЕЗУЛЬТАТОВ ПОВЕРКИ ЭТАЛОННЫХ МОСТОВ
НА ОБОРОТНОЙ СТОРОНЕ СВИДЕТЕЛЬСТВА О ПОВЕРКЕ
┌──────────┬───────────────┬───────────────┬───────────────────┬──────────┐
│ Диапазон │ Значение │ Абсолютная │ Нестабильность │ Разряд │
│измерения │ измеряемой │ поправка к │показаний v (v , %)│ моста │
│ │ величины │ показанию │ 0 │ │
├──────────┼───────────────┼───────────────┼───────────────────┼──────────┤
└──────────┴───────────────┴───────────────┴───────────────────┴──────────┘
Измерения были проведены на частоте
<*> _______________________________ Гц,
при температуре окружающей среды ______________________________________ °C,
относительной влажности воздуха _________________________________________%,
2- (3-, 4-, 5-)
<**> - зажимном включении мер.
Проверку проводил _____________________ ________________________________
подпись инициалы, фамилия
"__" __________ 20__ г.
--------------------------------
<*> При проверке моста на нескольких частотах вводят отдельную графу "Частота, Гц", а слова "частота, Гц" исключают.
<**> Указывают вариант включения.
[1]
Рекомендации Государственная система обеспечения единства
по межгосударственной измерений. Метрология. Основные термины и
стандартизации определения
РМГ 29-99
[2]
Правила по метрологии Государственная система обеспечения единства
ПР 50.2.012-94 измерений. Порядок аттестации поверителей
средств измерений
[3]
Правила технической эксплуатации
электроустановок потребителей. Минэнерго РФ.
Приказ N 6 от 13.01.2003
[4] Межотраслевые
правила по охране труда.
Минтруда РФ. Постановление N 3 от 05.01.2001.
Минэнерго РФ. Приказ N 163 от 27.12.2000