Главная // Актуальные документы // ГОСТ Р (Государственный стандарт)СПРАВКА
Источник публикации
М.: Стандартинформ, 2007
Примечание к документу
Документ включен в
Перечень национальных стандартов, содержащих правила и методы исследований (испытаний) и измерений, в том числе правила отбора образцов, необходимые для применения и исполнения технического
регламента о безопасности объектов внутреннего водного транспорта и осуществления оценки соответствия (
Распоряжение Правительства Российской Федерации от 29 июня 2011 г. N 1100-р).
Документ
введен в действие с 1 октября 2007 года.
Название документа
"ГОСТ Р 52731-2007. Национальный стандарт Российской Федерации. Контроль неразрушающий. Акустический метод контроля механических напряжений. Общие требования"
(утв. и введен в действие Приказом Ростехрегулирования от 28.06.2007 N 153-ст)
"ГОСТ Р 52731-2007. Национальный стандарт Российской Федерации. Контроль неразрушающий. Акустический метод контроля механических напряжений. Общие требования"
(утв. и введен в действие Приказом Ростехрегулирования от 28.06.2007 N 153-ст)
Утвержден и введен в действие
Приказом Федерального агентства
по техническому регулированию
и метрологии
от 28 июня 2007 г. N 153-ст
НАЦИОНАЛЬНЫЙ СТАНДАРТ РОССИЙСКОЙ ФЕДЕРАЦИИ
КОНТРОЛЬ НЕРАЗРУШАЮЩИЙ
АКУСТИЧЕСКИЙ МЕТОД КОНТРОЛЯ МЕХАНИЧЕСКИХ НАПРЯЖЕНИЙ
ОБЩИЕ ТРЕБОВАНИЯ
Non-destructive testing. Stress evaluation by ultrasound.
General requirements
ГОСТ Р 52731-2007
Группа Т59
Дата введения
1 октября 2007 года
Цели и принципы стандартизации в Российской Федерации установлены Федеральным
законом от 27 декабря 2002 г. N 184-ФЗ "О техническом регулировании", а правила применения национальных стандартов Российской Федерации -
ГОСТ Р 1.0-2004 "Стандартизация в Российской Федерации. Основные положения".
1. Разработан Нижегородским филиалом института машиноведения Академии наук Российской Федерации (Нф ИМАШ РАН) и Открытым акционерным обществом "Научно-исследовательский центр контроля и диагностики технических систем" (ОАО "НИЦ КД").
2. Внесен Техническим комитетом по стандартизации ТК 132 "Техническая диагностика".
3. Утвержден и введен в действие Приказом Федерального агентства по техническому регулированию и метрологии от 28 июня 2007 г. N 153-ст.
4. Введен впервые.
Информация об изменениях к настоящему стандарту публикуется в ежегодно издаваемом указателе "Национальные стандарты", а текст изменений и поправок - в ежемесячно издаваемых информационных указателях "Национальные стандарты". В случае пересмотра (замены) или отмены настоящего стандарта соответствующее уведомление будет опубликовано в ежемесячно издаваемом информационном указателе "Национальные стандарты". Соответствующая информация, уведомление и тексты размещаются также в информационной системе общего пользования - на официальном сайте Федерального агентства по техническому регулированию и метрологии в сети Интернет.
Объективная оценка работоспособности и безопасности эксплуатирующегося ответственного технического объекта в большинстве практически важных случаев невозможна без оценки напряженного состояния, в котором находится его материал.
Среди современных неразрушающих методов измерения механических напряжений акустические методы относятся к числу наиболее перспективных и все шире применяемых в мировой практике.
В основе акустических методов определения напряженного состояния лежит упругоакустический эффект - линейная зависимость скорости упругих волн от напряжений, надежное экспериментальное определение которой стало возможным с появлением современной ультразвуковой и радиоэлектронной измерительной техники.
Настоящий стандарт послужит методической основой применения метода акустической тензометрии при решении широкого класса инженерных задач, требующих оперативной оценки напряженного состояния материала в составе ответственных технических объектов.
Настоящий стандарт распространяется на акустический эхо-метод определения одно- и двухосных напряжений, действующих в плоскости, перпендикулярной к направлению распространения волн для изотропных и анизотропных материалов, направления главных напряжений в которых совпадают с осями симметрии (в том числе листового проката, где напряжения действуют вдоль и поперек проката).
Стандарт не распространяется на определение остаточных напряжений, возникающих при необратимых изменениях материала вследствие термообработки, пластической деформации, накопления усталостных повреждений и т.п.
Настоящий стандарт устанавливает основные требования к порядку определения механических напряжений, усредненных по толщине материала и площади ультразвукового пучка, в материале технических объектов с использованием метода акустической тензометрии как в лабораторных, так и в натурных условиях, при пуско-наладочных работах и в процессе эксплуатации.
В настоящем стандарте использованы нормативные ссылки на следующие стандарты:
ГОСТ 12.1.001-89 Система стандартов безопасности труда. Ультразвук. Общие требования безопасности
ГОСТ 12.1.004-91 Система стандартов безопасности труда. Пожарная безопасность. Общие требования
ГОСТ 12.2.003-91 Система стандартов безопасности труда. Оборудование производственное. Общие требования безопасности
ГОСТ 12.3.002-75 Система стандартов безопасности труда. Процессы производственные. Общие требования безопасности
Примечание. При пользовании настоящим стандартом целесообразно проверить действие ссылочных стандартов в информационной системе общего пользования - на официальном сайте Федерального агентства по техническому регулированию и метрологии в сети Интернет или по ежегодно издаваемому информационному указателю "Национальные стандарты", который опубликован по состоянию на 1 января текущего года, и по соответствующим ежемесячно издаваемым информационным указателям, опубликованным в текущем году. Если ссылочный стандарт заменен (изменен), то при пользовании настоящим стандартом следует руководствоваться заменяющим (измененным) стандартом. Если ссылочный стандарт отменен без замены, то положение, в котором дана ссылка на него, применяется в части, не затрагивающей эту ссылку.
3. ОБОЗНАЧЕНИЯ И СОКРАЩЕНИЯ
3.1. В настоящем стандарте применены следующие обозначения:

,

- главные напряжения в плоскости, МПа;

- задержка импульса упругой сдвиговой волны с вектором поляризации, параллельным напряжению

, в нагруженном материале, мкс;

- задержка импульса упругой сдвиговой волны с вектором поляризации, параллельным напряжению

, в ненагруженном материале;

- задержка импульса упругой сдвиговой волны с вектором поляризации, параллельным напряжению

, в нагруженном материале, мкс;

- задержка импульса упругой сдвиговой волны с вектором поляризации, параллельным напряжению

, в ненагруженном материале;

- задержка импульса упругой продольной волны в нагруженном материале, мкс;

- задержка импульса упругой продольной волны в ненагруженном материале;

- собственная акустическая анизотропия материала, вычисляемая по формуле

;

,

,

- коэффициенты акустоупругой связи, 1/МПа:

- относительное изменение задержки импульса сдвиговой волны, поляризованной вдоль направления действия одноосного напряжения, при его изменении на 1 МПа;

- относительное изменение задержки импульса сдвиговой волны, поляризованной поперек направления действия одноосного напряжения, при его изменении на 1 МПа;

- относительное изменение задержки импульса продольной волны при изменении напряжения на 1 МПа;

,

- коэффициенты упругоакустической связи, связывающие напряжение с изменением акустических параметров для волн, поляризованных вдоль и поперек его действия (соответственно), и продольной волны, МПа;

- температура объекта контроля в ненагруженном состоянии, °C;
T - температура объекта контроля в нагруженном состоянии, °C;

,

- термоакустические коэффициенты, 1/град:

- относительное изменение задержки импульса сдвиговой волны при изменении температуры на 1 °C,

- относительное изменение задержки импульса продольной волны при изменении температуры на 1 °C.
3.2. В настоящем стандарте применены следующие сокращения:
НС - напряженное состояние;
ОК - объект контроля;
СИ - средство измерений;
ЭАП - электроакустический преобразователь.
4. ТРЕБОВАНИЯ К БЕЗОПАСНОСТИ РАБОТ
4.1. К выполнению измерений и обработке их результатов допускают операторов, обладающих навыками эксплуатации оборудования ультразвукового неразрушающего контроля, умеющих пользоваться общероссийскими и отраслевыми нормативными и техническими документами по акустическим методам контроля, прошедших обучение работе с применяемыми СИ и аттестованных на знание правил безопасности в соответствующей отрасли промышленности.
4.2. При проведении работ по определению механических напряжений акустическим методом оператор должен руководствоваться
ГОСТ 12.1.001,
ГОСТ 12.2.003,
ГОСТ 12.3.002 и правилами технической безопасности при эксплуатации электроустановок потребителей, утвержденными Госэнергонадзором.
4.3. Работу следует проводить в соответствии с требованиями безопасности, изложенными в инструкции по эксплуатации аппаратуры, входящей в состав используемых средств измерений.
4.4. В методике проведения акустических измерений на конкретном ОК должны быть указаны требования, соблюдение которых обязательно при работе на данном предприятии.
4.5. При организации работ по контролю должны соблюдаться требования пожарной безопасности по
ГОСТ 12.1.004.
5. ТРЕБОВАНИЯ К СРЕДСТВАМ ИЗМЕРЕНИЙ
5.1. В качестве СИ могут быть использованы установки, собранные из серийной аппаратуры, и специализированные приборы для определения напряжений, сертифицированные и поверяемые в установленном порядке.
5.2. СИ должны содержать комплект ЭАП, обеспечивающих излучение и прием сдвиговых и продольных упругих волн.
5.3. Требования к допустимой погрешности СИ
На основании сведений о значении коэффициента акустоупругой связи

материала ОК применяют СИ, для которых допустимая абсолютная погрешность измерения задержки удовлетворяет условию
где

- метрологический запас;

- максимальное значение абсолютной погрешности измерения задержки t, вычисляемое по формуле
где

- абсолютная погрешность определения коэффициента акустоупругой связи

,

- допустимая абсолютная погрешность измерения напряжения;

- предел текучести материала.
5.4. Требования к программному обеспечению средств измерений
5.4.1. Алгоритмическая часть программного обеспечения должна обеспечивать вычисление акустических параметров с погрешностью в соответствии с
5.2.
5.4.2. Программное обеспечение должно учитывать условия проведения акустических измерений на ОК, в частности температурный режим.
5.4.3. Первичная акустическая информация для каждой зоны контроля должна постоянно храниться на внешних носителях, защищенных от несанкционированного доступа.
5.5. Требования к методическому обеспечению средств измерений
5.5.1. Методическое обеспечение СИ должно содержать методику выполнения измерений, а также документы, устанавливающие:
- назначение и область применения СИ;
- состав и основные характеристики средств аппаратного и программного обеспечения, включающие нормы на погрешность измерения задержек импульсов;
- методы и средства достижения совместимости СИ, в том числе информационной, электрической, энергетической, программной, конструкторской, эксплуатационной;
- правила агрегатирования средств аппаратного и программного обеспечения и организации их взаимодействия.
5.5.2. Описание функциональных возможностей СИ в эксплуатационных, конструкторских и программных документах ОК и СИ должно отражать характеристики аппаратного и программного обеспечения.
6. ТРЕБОВАНИЯ К ОБЪЕКТУ КОНТРОЛЯ
6.1. ОК в зонах измерений не должен содержать макродефектов, обнаруженных методами неразрушающего контроля.
6.2. Состояние поверхности в зонах измерений должно обеспечить необходимую чувствительность и стабильность измерения задержек акустических импульсов.
6.3. Минимальная толщина материала в зонах измерений определяется длительностью импульсов, а максимальная - затуханием упругих волн и состоянием отражающей поверхности.
6.4. Минимальный радиус кривизны и степень непараллельности поверхностей элемента конструкции в зоне измерений определяют в зависимости от максимально допустимой погрешности измерения значений задержек.
6.5. При обследовании ОК с криволинейными поверхностями более предпочтительными для измерений являются поверхности выпуклого типа.
7. ПОРЯДОК ПОДГОТОВКИ К ПРОВЕДЕНИЮ КОНТРОЛЯ
7.1. Подготовка к контролю содержит следующие основные этапы:
- анализ технических документов на объект и составление карты обследования;
- подготовка зон измерений.
7.2. Порядок анализа технических документов и составление карты обследования
7.2.1. На основании изучения технических документов на объект устанавливают:
- толщину материала ОК в зонах измерений напряжений;
- возможность возникновения в ответственных узлах или элементах конструкции нежелательных напряжений, влияющих на их работоспособность;
- расчетные значения нагрузок, которым конструкция подвергается специально (балансировка, смещение одних частей относительно других и т.п.);
- другие сведения, обусловливающие необходимость контроля напряжений;
- марку материала, режим термообработки, предел текучести;
- возможность изменения температуры элемента конструкции более чем на 10 °C - 20 °C одновременно с изменением напряжений.
Примечание. При отсутствии сведений о материале ОК допускается идентифицировать его механические характеристики по результатам специально проведенного химического анализа. При наличии возможности следует экспериментально оценить предел текучести материала ОК.
7.2.2. На основании анализа, проведенного в соответствии с
7.2.1, и с учетом требований
раздела 5 составляют карту акустического контроля объекта.
7.3. Подготовка объекта к акустическим измерениям
7.3.1. В зонах контроля должны быть подготовлены плоские участки размерами, превышающими соответствующие геометрические размеры используемых ЭАП.
7.3.2. Поверхность подготовленных участков в зонах измерений механической обработкой доводят до степени шероховатости и волнистости, обеспечивающих значение случайной погрешности измерения задержек

, не превышающей допустимой погрешности, вычисляемой по
формуле (2).
7.3.3. Зоны измерений нумеруют и вносят в карту акустического контроля.
8. ПОРЯДОК ПРОВЕДЕНИЯ КОНТРОЛЯ
8.1. Измерения на ненагруженном объекте
8.1.1. В случае двухосного НС материала ОК измеряют и вносят в журнал акустического контроля температуру ОК в зонах контроля

.
8.1.2. В зависимости от вида НС в зонах контроля проводят измерения задержек

,

(одноосное НС) или задержек

,

,

(двухосное НС).
8.1.3. Измерения по 8.1.2 повторяют 3 - 5 раз.
8.1.4. Оценивают случайную погрешность определения задержек и сравнивают ее с допустимой погрешностью, обеспечивающей требуемую точность определения напряжений.
8.1.5. При необходимости увеличивают число повторных измерений до тех пор, пока случайная погрешность определения задержек не станет сопоставимой с допустимой погрешностью.
Примечание. При невозможности уменьшения погрешности измерения задержек до предельно допустимого значения решается вопрос о прекращении измерений или их проведении с фактически полученной погрешностью.
8.1.6. Усредненные результаты измерения задержек

и определения собственной анизотропии вносят в журнал контроля, приведенный в
Приложении А.
8.2. Измерения на нагруженном объекте
8.2.1. В случае двухосного НС измеряют и вносят в журнал акустического контроля температуру ОК в зонах контроля T.
8.2.2. В зависимости от вида НС в зонах контроля проводят измерения задержек

,

(одноосное НС) или задержек

,

,

(двухосное НС).
8.2.3. Измерения проводят в соответствии с
8.1.3 -
8.1.5.
8.2.4. Усредненные результаты измерения задержек

вносят в журнал контроля.
9. ПРАВИЛА ОБРАБОТКИ РЕЗУЛЬТАТОВ КОНТРОЛЯ
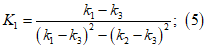
9.1. Значения напряжений, действующих во взаимно перпендикулярных направлениях 1 и 2 элемента конструкции, вычисляют по формулам:
где

,

- коэффициенты упругоакустической связи материала конструкции, рассчитываемые на основе известных или экспериментально измеренных

,

,

:
9.2. Если по предварительным данным известно, что элемент конструкции может испытывать только одноосное напряжение в плоскости, перпендикулярной к направлению распространения волн, то его можно рассчитать по упрощенным формулам:
либо
где

- коэффициент упругоакустической связи для одноосного напряженного состояния.
9.3. В том случае, когда

,

отличаются мало (для основных конструкционных материалов это означает отличие менее чем на 1,5% - 2%),
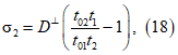
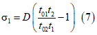
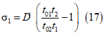
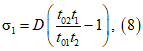
формулы (7), (8) можно записать в виде:
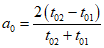
где a - параметр акустической анизотропии напряженного материала, вычисляемый по формуле
Примечание. Величина

определяет степень акустической анизотропии, наведенной одноосным напряжением.
Если начальное состояние характеризуется отсутствием каких-либо нагрузок, приложенных к контролируемому объему материала, то

можно считать характеристикой материала, а именно - параметром его собственной акустической анизотропии, связанной в основном с технологией изготовления. Параметр

связан с упругопластическими, структурными (текстурными) и, возможно, другими физико-механическими характеристиками. Например, материалы, изготовленные штамповкой, акустически почти изотропны для волн, распространяющихся в том направлении, вдоль которого проведена штамповка. Для листового проката величина

обычно положительна, если направление 1 выбрать вдоль направления проката, и может достигать нескольких процентов.
9.4. В том случае, когда

,

отличаются существенно (более чем на 1,5% - 2%), двухосное НС вычисляют по формулам:
где

,

- коэффициенты упругоакустической связи для напряжений, действующих вдоль и поперек, направления проката соответственно:
Примечание. Коэффициенты

,

,

вычисляют на основе известных или экспериментально измеренных

,

,

,

. Коэффициент

- поправочный, его значение в несколько раз меньше

, поэтому его зависимостью от направления приложения нагрузки можно пренебречь (

,

следует взять средними для направлений вдоль и поперек направления проката).
9.5. Одноосное напряжение в таком материале вычисляют по формулам:
либо
где

,

- коэффициенты упругоакустической связи для одноосного напряжения, действующего вдоль и поперек направления проката, соответственно, которые вычисляют на основе известных или экспериментально измеренных

,

,

,

:
9.6. При изменении температуры материала на 10 °C и более в
формулах (3),
(4),
(12),
(13) следует заменить

на

, где

- термоакустический коэффициент, зависящий от разницы температурных коэффициентов времени распространения продольной и сдвиговой волны в материале, а

- разница его температур при проведении акустических измерений в нагруженном и ненагруженном состояниях.
10. ПРАВИЛА ОФОРМЛЕНИЯ РЕЗУЛЬТАТОВ КОНТРОЛЯ
10.1. Результаты контроля фиксируют в журнале, форма которого приведена в
Приложении А.
Дополнительные сведения, подлежащие записи, порядок оформления и хранения журнала (или заключения) следует устанавливать в технических документах на контроль.
10.2. Если измерения напряжений являются частью научно-исследовательских работ, результаты измерений следует оформлять в соответствии с общими требованиями и правилами оформления отчетов о научно-исследовательских работах.
10.3. Результаты обследования следует сохранять до следующего контроля ОК.
(рекомендуемое)
ФОРМА ЖУРНАЛА ОПРЕДЕЛЕНИЯ МЕХАНИЧЕСКИХ НАПРЯЖЕНИЙ
В МАТЕРИАЛЕ ОК АКУСТИЧЕСКИМ МЕТОДОМ
Наименование ОК | |
Номер (или код) контролируемого участка | |
Марка материала | |
Коэффициенты акустоупругой связи |
| |
| |
| |
Коэффициенты упругоакустической связи |
| |
| |
Термоакустический коэффициент |
| |
Тип используемой аппаратуры | |
Температура разгруженного ОК  | |
Температура нагруженного ОК T, °C | |
Тип НС | |
Значения задержек для разгруженного ОК |
| |
| |
| |
Значение собственной анизотропии |
| |
Значения задержек для нагруженного ОК |
| |
| |
| |
Значения напряжений |
| |
| |
Дата контроля | |
Фамилия оператора | |
Примечание | |