Главная // Актуальные документы // ГОСТ Р (Государственный стандарт)СПРАВКА
Источник публикации
В данном виде документ опубликован не был.
Первоначальный текст документа опубликован в издании
М.: ИПК Издательство стандартов, 2002.
Информацию о публикации документов, создающих данную редакцию, см. в справке к этим документам.
Примечание к документу
Отдельные положения данного документа включены в
Перечень международных и региональных (межгосударственных) стандартов, а в случае их отсутствия - национальных (государственных) стандартов, в результате применения которых на добровольной основе обеспечивается соблюдение требований технического
регламента Евразийского экономического союза "О безопасности продукции, предназначенной для гражданской обороны и защиты от чрезвычайных ситуаций природного и техногенного характера" (ТР ЕАЭС 050/2021) (
Решение Коллегии Евразийской экономической комиссии от 30.05.2023 N 78).
Документ включен в
Перечень стандартов, в результате применения которых на добровольной основе обеспечивается соблюдение требований технического
регламента Таможенного союза "О безопасности колесных транспортных средств" (ТР ТС 018/2011), и в
Перечень стандартов, содержащих правила и методы исследований (испытаний) и измерений, в том числе правила отбора образцов, необходимые для применения и исполнения требований технического
регламента Таможенного союза "О безопасности колесных транспортных средств" (ТР ТС 018/2011) и осуществления оценки соответствия объектов технического регулирования (
Решение Комиссии Таможенного союза от 09.12.2011 N 877).
Документ включен в
Перечень национальных стандартов, содержащих правила и методы исследований (испытаний) и измерений, в том числе правила отбора образцов, необходимые для применения и исполнения технического
регламента о безопасности колесных транспортных средств, а также для осуществления оценки соответствия (
Распоряжение Правительства РФ от 12.10.2010 N 1750-р).
Изменение N 1, утв. Постановлением Госстандарта России от 09.03.2004 N 114-ст, введено в действие с 1 июля 2004 года.
Название документа
"ГОСТ Р 51832-2001. Государственный стандарт Российской Федерации. Двигатели внутреннего сгорания с принудительным зажиганием, работающие на бензине, и автотранспортные средства полной массой более 3,5 т, оснащенные этими двигателями. Выбросы вредных веществ. Технические требования и методы испытаний"
(принят и введен в действие Постановлением Госстандарта России от 07.12.2001 N 513-ст)
(ред. от 09.03.2004)
"ГОСТ Р 51832-2001. Государственный стандарт Российской Федерации. Двигатели внутреннего сгорания с принудительным зажиганием, работающие на бензине, и автотранспортные средства полной массой более 3,5 т, оснащенные этими двигателями. Выбросы вредных веществ. Технические требования и методы испытаний"
(принят и введен в действие Постановлением Госстандарта России от 07.12.2001 N 513-ст)
(ред. от 09.03.2004)
Принят и введен в действие
от 7 декабря 2001 г. N 513-ст
ГОСУДАРСТВЕННЫЙ СТАНДАРТ РОССИЙСКОЙ ФЕДЕРАЦИИ
ДВИГАТЕЛИ ВНУТРЕННЕГО СГОРАНИЯ С ПРИНУДИТЕЛЬНЫМ ЗАЖИГАНИЕМ,
РАБОТАЮЩИЕ НА БЕНЗИНЕ, И АВТОТРАНСПОРТНЫЕ СРЕДСТВА ПОЛНОЙ
МАССОЙ БОЛЕЕ 3,5 т, ОСНАЩЕННЫЕ ЭТИМИ ДВИГАТЕЛЯМИ
ВЫБРОСЫ ВРЕДНЫХ ВЕЩЕСТВ
ТЕХНИЧЕСКИЕ ТРЕБОВАНИЯ И МЕТОДЫ ИСПЫТАНИЙ
Internal combustion direct ignition petrol engines
and road vehicles of total mass exceeding 3,5 t completed
with those engines. Emission of pollutants. Technical
requirements and test methods
ГОСТ Р 51832-2001
| | Список изменяющих документов Госстандарта России от 09.03.2004 N 114-ст) | |
Дата введения
1 января 2003 года
1. Разработан Федеральным государственным унитарным предприятием "Центральный ордена трудового красного знамени научно-исследовательский автомобильный и автомоторный институт" (ФГУП "НАМИ").
Внесен Техническим комитетом по стандартизации ТК 56 "Дорожный транспорт".
2. Принят и введен в действие
Постановлением Госстандарта России от 7 декабря 2001 г. N 513-ст.
3. Стандарт соответствует требованиям Правил ЕЭК ООН N 49 в отношении двигателей с принудительным зажиганием, работающих на бензине.
4. Введен впервые.
1.1. Настоящий стандарт устанавливает требования к выбросам вредных веществ, выделяемых двигателями с принудительным зажиганием, работающими на бензине, и установленными на автотранспортных средствах, расчетная скорость которых превышает 25 км/ч, относящихся к категориям <2>

полной массой более 3,5 т и категориям

,

,

и

по
ГОСТ Р 52051.
(в ред.
Изменения N 1, утв. Постановлением Госстандарта России от 09.03.2004 N 114-ст)
--------------------------------
<1> Сноска исключена с 1 июля 2004 года. -
Изменение N 1, утв. Постановлением Госстандарта России от 09.03.2004 N 114-ст.
<2> Двигатели, используемые на автотранспортных средствах категорий

,

и

, не являются объектом настоящего стандарта при условии, что эти транспортные средства утверждают в соответствии с
ГОСТ Р 41.83.
В настоящем стандарте использованы ссылки на следующие стандарты:
Ссылка исключена с 1 июля 2004 года. -
Изменение N 1, утв. Постановлением Госстандарта России от 09.03.2004 N 114-ст.
ГОСТ 14846-81 Двигатели автомобильные. Методы стендовых испытаний
| | ИС МЕГАНОРМ: примечание. Взамен ГОСТ Р 41.49-99 Постановлением Госстандарта России от 10.12.2003 N 362-ст с 1 июля 2004 года введен в действие ГОСТ Р 41.49-2003. | |
ГОСТ Р 41.49-99 (Правила ЕЭК ООН N 49) Единообразные предписания, касающиеся официального утверждения двигателей с воспламенением от сжатия и двигателей, работающих на природном газе, а также двигателей с принудительным зажиганием, работающих на сжиженном нефтяном газе (СНГ), и транспортных средств, оснащенных двигателями с воспламенением от сжатия и двигателями, работающими на природном газе, и двигателями с принудительным зажиганием, работающими на СНГ, в отношении выделяемых ими загрязняющих веществ
ГОСТ Р 41.83-2004 (Правила ЕЭК ООН N 83) Единообразные предписания, касающиеся официального утверждения транспортных средств в отношении выбросов загрязняющих веществ в зависимости от топлива, необходимого для двигателей
(в ред.
Изменения N 1, утв. Постановлением Госстандарта России от 09.03.2004 N 114-ст)
ГОСТ Р 41.85-99 (Правила ЕЭК ООН N 85) Единообразные предписания, касающиеся официального утверждения двигателей внутреннего сгорания или систем электротяги, предназначенных для приведения в движение механических транспортных средств категорий М и N, в отношении измерения полезной мощности и максимальной 30-минутной мощности систем электротяги
ГОСТ Р 52051-2003 Механические транспортные средства и прицепы. Классификация и определения
(ссылка введена
Изменением N 1, утв. Постановлением Госстандарта России от 09.03.2004 N 114-ст)
В настоящем стандарте применяют следующие термины с соответствующими определениями.
3.1. Двигатель с принудительным зажиганием: двигатель, в котором воспламенение рабочей смеси в цилиндре осуществляется электрической искрой.
3.2. Тип двигателя: двигатели, не имеющие между собой существенных различий в отношении технических характеристик, приведенных в
Приложении А.
3.3. Тип транспортного средства: транспортные средства, не имеющие между собой различий в отношении технических характеристик, приведенных в
Приложении А.
3.4. Семейство двигателей: объединенная предприятием-изготовителем группа двигателей с одинаковыми характеристиками, конструкция которых обеспечивает соответствие предельно допустимым нормам выбросов вредных веществ, установленным настоящим стандартом.
3.5. Испытательный цикл: последовательная серия испытательных операций, производимых при указанных в стандарте нагрузках и частотах вращения.
3.6. Вредные вещества: оксид углерода CO, углеводороды CH (выраженные в эквиваленте

) и оксиды азота

(выраженные в эквиваленте

).
3.7. Коэффициент весомости режима: коэффициент, учитывающий относительную долю заданного режима в испытательном цикле.
3.8. Подготовленный двигатель: двигатель, прошедший подготовку для проведения испытаний в объеме мероприятий, не изменяющих его конструкцию и регулировку, указанные в технических условиях на двигатель.
3.9. Серийный двигатель: двигатель из серии или партии, в котором перед испытаниями не должна производиться замена деталей и регулировка, за исключением операций, периодичность которых регламентируется инструкцией по эксплуатации.
3.10. Полезная мощность: эффективная мощность в киловаттах, полученная на испытательном стенде на хвостовике коленчатого вала или измеренная методом по
ГОСТ Р 41.85.
3.11. Максимальная мощность: установленная предприятием-изготовителем мощность при полной нагрузке и указанной частоте вращения коленчатого вала двигателя, изготовленного, отрегулированного и обкатанного в соответствии с технической документацией при укомплектованности двигателя серийным оборудованием в соответствии с
ГОСТ Р 41.85.
3.12. Номинальная мощность: установленная предприятием-изготовителем мощность при полной нагрузке и номинальной частоте вращения коленчатого вала двигателя, изготовленного, отрегулированного и обкатанного в соответствии с технической документацией.
3.13. Максимальный крутящий момент: установленный предприятием-изготовителем крутящий момент при полной нагрузке и указанной частоте вращения коленчатого вала двигателя, изготовленного, отрегулированного и обкатанного в соответствии с технической документацией при укомплектованности двигателя серийным оборудованием в соответствии с
ГОСТ Р 41.85. Максимальный крутящий момент определяют по скоростной характеристике.
3.14. Номинальная частота вращения: установленная предприятием-изготовителем частота вращения, при которой достигается номинальная мощность.
3.15. Минимальная частота вращения холостого хода: минимальная частота вращения коленчатого вала на холостом ходу, установленная в технических условиях на двигатель и обеспечивающая устойчивую работу двигателя на холостом ходу не менее 10 мин.
3.16. Номинальная скорость: максимальная скорость транспортного средства с полной нагрузкой, допускаемая регулятором, как указано предприятием-изготовителем в рекламных публикациях и руководстве по эксплуатации, или, если такой регулятор отсутствует, скорость, на которой двигатель развивает максимальную мощность, указанную предприятием-изготовителем в его рекламных публикациях и руководстве по эксплуатации.
3.17. Нагрузка, %: часть максимального крутящего момента при определенной частоте вращения коленчатого вала двигателя.
3.18. Промежуточная скорость: скорость, соответствующая максимальному значению крутящего момента, если такая скорость находится в пределах 60 - 75% номинальной скорости; в других случаях под ней подразумевается скорость, равная 60% номинальной скорости.
3.19. ESC (European Stationary Cycle): испытательный цикл, состоящий из 13 режимов устойчивой работы двигателя, применяемых в соответствии с
6.6 настоящего стандарта, и последующей проверки выбросов оксидов азота на трех произвольных режимах.
(п. 3.19 введен
Изменением N 1, утв. Постановлением Госстандарта России от 09.03.2004 N 114-ст)
| | Применение на добровольной основе раздела 4 обеспечивает соблюдение требований технического регламента "О безопасности колесных транспортных средств" (Приказ Росстандарта от 14.03.2014 N 335). | |
| | Применение на добровольной основе раздела 4 обеспечивает соблюдение требований технического регламента "О безопасности колесных транспортных средств", утв. Постановлением Правительства Российской Федерации от 10.09.2009 N 720 (Приказ Росстандарта от 20.08.2010 N 3109). | |
4. Предельно допустимые выбросы вредных веществ
в отработавших газах
4.1. При проведении испытаний типа I предельно допустимые выбросы вредных веществ с отработавшими газами не должны превышать значений, указанных в таблице 1.
Госстандарта России от 09.03.2004 N 114-ст)
Дата введения требований | Экологический класс | Предельно допустимые выбросы вредных веществ, г/(кВт x ч) | Цикл |
CO | CH | |
01.07.2004 | 2 | 55,0 | 2,40 | 10,0 | ESC <1> 13-режимный |
01.07.2006 | 3 | 20,0 | 1,10 | 7,0 | ESC <2> 13-режимный |
01.01.2008 | 4 | 5,45 | 2,38 | 5,0 | ETC |
<2> Испытания проводят по 6.6б - 6.6д (испытания проводят на двигателях, впервые предъявленных на сертификационные испытания). |
4.1.1. Испытания двигателя должны проводиться три раза. Заключение о соответствии нормам настоящего стандарта дается по среднеарифметическому значению для каждого компонента вредных выбросов.
4.1.2. Для каждого из нормируемых компонентов вредных выбросов в одном из трех испытаний допускается превышение норм не более чем на 10% при условии, что среднеарифметическое значение по трем испытаниям ниже установленной нормы.
4.1.3. Если полученные при первом испытании значения нормируемых компонентов не превышают 70% установленной нормы, то допускается проводить испытания один раз.
4.1.4. Если полученные при первом и втором испытаниях значения нормируемых компонентов не превышают 95% установленной нормы, то допускается проводить испытания два раза.
4.2. С 01.01.2008 определение удельных выбросов оксида углерода, углеводородов и оксидов азота должны проводиться по испытательному циклу ETC (European Transient Cycle). Это - цикл с ежесекундным изменением нагрузки и частоты вращения двигателя.
4.3. При проведении испытаний типа II содержание оксида углерода и углеводородов (объемные доли) должно быть в пределах значений, установленных предприятием-изготовителем, но не более значений, указанных в таблице 1а.
Таблица 1а
Комплектация автомобиля | Частота вращения коленчатого вала | Оксид углерода, объемная доля, % | Углеводороды, объемная доля,  |
Автомобили категорий  ,  ,  ,  , оборудованные двухкомпонентной системой нейтрализации отработавших газов | | 1,0 | 600 |
| 0,6 | 300 |
Автомобили категорий  ,  ,  ,  , оборудованные трехкомпонентной системой нейтрализации отработавших газов, и те же автомобили, оборудованные встроенной (бортовой) системой диагностики <1> | | 0,5 | 200 |
| 0,3 | 200 |
<1> Дополнительные требования для автомобилей этой группы установлены в 4.3.2. |
(п. 4.3 в ред.
Изменения N 1, утв. Постановлением Госстандарта России от 09.03.2004 N 114-ст)
4.3.1. Содержание оксида углерода и углеводородов в отработавших газах определяют при работе двигателя в режиме холостого хода на минимальной

и повышенной

частотах вращения коленчатого вала двигателя, установленных предприятием-изготовителем автомобиля.
При отсутствии данных, установленных предприятием-изготовителем автомобиля:
- значение

не должно превышать

;
- значение

устанавливают в пределах

.
(п. 4.3.1 введен
Изменением N 1, утв. Постановлением Госстандарта России от 09.03.2004 N 114-ст)
4.3.2 Значения коэффициента избытка воздуха

в режиме холостого хода на

у двигателей, оборудованных трехкомпонентной системой нейтрализации отработавших газов, должно быть в пределах данных, установленных предприятием-изготовителем. Если данные предприятия-изготовителя отсутствуют или не указаны, значение коэффициента избытка воздуха

должно быть от 0,97 до 1,03.
(п. 4.3.2 введен
Изменением N 1, утв. Постановлением Госстандарта России от 09.03.2004 N 114-ст)
4.4. Выброс в атмосферу кратерных газов не допускается.
5. Типы и условия проведения испытаний
5.1. Устанавливают три типа испытаний, указанные в 5.1.1 -
5.1.3.
5.1.1. Испытание типа I - определяют удельные выбросы оксида углерода, углеводородов и оксидов азота с отработавшими газами двигателями при его работе на режимах, указанных в таблице 2.
Номер режима | Частота вращения коленчатого вала двигателя,  | Нагрузка, % <1> максимальной на данном режиме | Коэффициент весомости режима, WF |
1 | | - | 0,083 |
2 | | 10 | 0,080 |
3 | " | 25 | 0,080 |
4 | " | 50 | 0,080 |
5 | " | 75 | 0,080 |
6 | " | 100 | 0,250 |
7 | | - | 0,083 |
8 | | 100 | 0,100 |
9 | " | 75 | 0,020 |
10 | " | 50 | 0,020 |
11 | " | 25 | 0,020 |
12 | " | 10 | 0,020 |
13 | | - | 0,083 |
<1> Нагрузку устанавливают с точностью +/- 2%. Примечания. 1.  - минимальная частота вращения холостого хода;  - частота вращения, соответствующая максимальному крутящему моменту двигателя;  - номинальная частота вращения. 2. Отклонение от установленных частот вращения допускается не более  , отклонение от установленного крутящего момента - не более 2% максимального крутящего момента при данной частоте вращения. 3. Если  находится вне пределов диапазона  , то принимают частоту вращения  . |
5.1.2. Испытание типа II - определяют содержание оксида углерода и углеводородов в отработавших газах двигателя при его работе на режимах холостого хода по
4.3.
(в ред.
Изменения N 1, утв. Постановлением Госстандарта России от 09.03.2004 N 114-ст)
5.1.3. Испытание типа III - проверяют отсутствие выбросов картерных газов в атмосферу при работе двигателя на режимах, указанных в
6.8.
5.2. Подготовленные и серийные двигатели перед испытаниями должны быть обкатаны в объеме, установленном технической документацией предприятия-изготовителя. Двигатели, демонтированные с автотранспортных средств, имеющих пробег более 3000 км или проработавших более 50 ч, обкатке не подвергают.
5.3. Двигатели, прошедшие только технологическую обкатку на производстве, контролируют по технологическим нормам и соответствующей методике, предусмотренным в технической документации предприятия-изготовителя, на соответствие всей продукции нормам, установленным в
таблице 1.
5.4. Двигатель представляют на испытания с паспортом и технической характеристикой
(Приложение А).
5.5. Двигатель, представленный на испытания, должен соответствовать техническим условиям на двигатель конкретного типа. Для определения полезной мощности двигатель должен быть укомплектован серийным оборудованием и устройствами по
ГОСТ Р 41.85.
5.6. При проведении приемочных и сертификационных испытаний следует применять эталонное топливо, характеристика которого приведена в
Приложении Б.
Система смазки двигателя должна быть заправлена маслом, указанным в технических условиях.
5.7. Требования к газоанализаторам, применяемым при испытаниях, приведены в
Приложении В; требования к поверочным и калибровочным газам - в
Приложении Г. Калибровка анализаторов - по
Приложению Д.
6.1. Испытания двигателя проводят на испытательном стенде (динамометр входит в состав стенда).
6.2. Перед проведением испытаний определяют внешнюю скоростную характеристику двигателя и соответствие измеренных максимальной полезной мощности и максимально крутящего момента значениям, установленным предприятием-изготовителем.
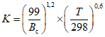
6.3. Полезную мощность и максимальный крутящий момент, измеренные при определении внешней скоростной характеристики, приводят к стандартным условиям:
Атмосферное давление, B .......................... 100 кПа (750 мм рт. ст.)
Температура воздуха, T ........................... 298 К (+25 °C)
Относительная влажность воздуха,

............... 36%
Давление водяных паров ........................... 1,2 кПа (9 мм рт. ст.).
6.3.1. Для приведения к стандартным условиям измеренные при испытаниях значения полезной мощности N и максимального крутящего момента

умножают на поправочный коэффициент K
(в ред.
Изменения N 1, утв. Постановлением Госстандарта России от 09.03.2004 N 114-ст)

;

. (1)
Госстандарта России от 09.03.2004 N 114-ст)
6.3.2. Поправочный коэффициент K определяют по формулам:
для двигателей с обычной подачей воздуха и с механическим нагнетателем

; (2)
для двигателей с турбонаддувом или без охлаждения подаваемого воздуха

, (3)
где

- сухое атмосферное давление, кПа.
6.3.3. Значение поправочного коэффициента K должно находиться в пределах
0,96 <= K <= 1,06. (4)
6.4. Полезная мощность и максимальный крутящий момент, измеренные на двигателе, представленном на испытания, считают достоверными, если они не отличаются от значений, указанных предприятием-изготовителем для данного типа двигателя более чем на +/- 2% для полезной мощности и на +/- 4% - для максимального крутящего момента.
6.5. Удельные выбросы оксида углерода, диоксида углерода, углеводородов и оксидов азота (испытания типа I) определяют по 13-режимному циклу.
Для цикла ESC
<1> испытания проводят в соответствии с
таблицей 2.
(п. 6.5 в ред.
Изменения N 1, утв. Постановлением Госстандарта России от 09.03.2004 N 114-ст)
6.5.1. На каждом режиме двигатель должен работать 6 мин, причем частоту вращения и нагрузку устанавливают в течение 1-й минуты. Показания анализаторов регистрируют в течение 6 мин. Отработавшие газы должны проходить через анализаторы в течение последних 3 мин. В течение последних 60 с каждого режима частота вращения и нагрузка должны соответствовать требованиям
таблицы 2.
6.5.2. Исключен с 1 июля 2004 года. -
Изменение N 1, утв. Постановлением Госстандарта России от 09.03.2004 N 114-ст.
6.6. Немедленно после окончания испытаний пробоотборную линию необходимо продуть азотом. Если при этом показания газоанализатора для анализа углеводородов в течение 10 с продувки не снизятся ниже

, а в течение 3 мин - ниже

, испытание повторяют.
После продувки следует проверить тарировку газоанализаторов. Если при этом хотя бы на одном из газоанализаторов будет отмечено отклонение показаний, превышающее 2% значения, полученного при использовании калибровочного газа, испытание повторяют.
6.6а. Для цикла ESC
<2> испытания проводят в соответствии с таблицей 2а.
Таблица 2а
Номер режима | Частота вращения коленчатого вала двигателя,  | Нагрузка, % | Коэффициент весомости режима, % | Продолжительность режима, мин |
1 | Холостой ход | - | 0,15 | 4 |
2 | A | 100 | 0,08 | 2 |
3 | B | 50 | 0,10 | 2 |
4 | B | 75 | 0,10 | 2 |
5 | A | 50 | 0,05 | 2 |
6 | A | 75 | 0,05 | 2 |
7 | A | 25 | 0,05 | 2 |
8 | B | 100 | 0,09 | 2 |
9 | B | 25 | 0,10 | 2 |
10 | C | 100 | 0,08 | 2 |
11 | C | 25 | 0,05 | 2 |
12 | C | 75 | 0,05 | 2 |
13 | C | 50 | 0,05 | 2 |
Примечание. Частоты вращения A, B, и C определяют в соответствии с Приложением Е. |
(п. 6.6а введен
Изменением N 1, утв. Постановлением Госстандарта России от 09.03.2004 N 114-ст)
6.6б. Двигатель должен работать в течение предписанного периода времени в каждом режиме, причем частота вращения и нагрузка двигателя должны быть достигнуты в течение первых 20 с. Отклонение от установленных частот вращения допускается не более +/- 2% от максимального крутящего момента при данной частоте вращения.
(п. 6.6б введен
Изменением N 1, утв. Постановлением Госстандарта России от 09.03.2004 N 114-ст)
6.6в. Показания газоанализаторов регистрируются с помощью ленточного самописца или измеряются с помощью эквивалентной системы регистрации данных, причем выхлопные газы должны проходить через газоанализаторы на протяжении всего цикла испытаний.
(п. 6.6в введен
Изменением N 1, утв. Постановлением Госстандарта России от 09.03.2004 N 114-ст)
6.6г. Частота вращения двигателя, нагрузка, температура, давление, влажность всасываемого (подаваемого) воздуха, температура и противодавление выхлопных газов, расход топлива и расход всасываемого воздуха или выхлопных газов должны регистрироваться в ходе каждого режима, причем частота вращения и нагрузка - в течение последней минуты каждого режима.
(п. 6.6г введен
Изменением N 1, утв. Постановлением Госстандарта России от 09.03.2004 N 114-ст)
6.6д. Проверку выбросов оксидов азота на трех режимах следует проводить сразу по завершении режима 13. До начала измерений двигатель должен проработать в режиме 13 в течение трех минут. Производятся три измерения в пределах контрольной зоны в соответствии с приложением Е. Продолжительность каждого измерения - 2 мин.
(п. 6.6д введен
Изменением N 1, утв. Постановлением Госстандарта России от 09.03.2004 N 114-ст)
6.7. Определение оксида углерода и углеводородов в отработавших газах при работе двигателя на холостом ходу (испытания типа II) проводят по
4.3.
(в ред.
Изменения N 1, утв. Постановлением Госстандарта России от 09.03.2004 N 114-ст)
6.7.1. Содержание оксида углерода и углеводородов в отработавших газах при работе двигателя с минимальной частотой вращения холостого хода определяют во время последнего режима холостого хода при испытании по
6.5.
6.7.2. Если испытания проводят только по
6.7, то объемную долю оксида углерода и углеводородов определяют непосредственно на автомобиле. Двигатель перед испытанием прогревают до нормальной рабочей температуры, указанной в инструкции предприятия-изготовителя. Минимальную частоту вращения холостого хода устанавливают в соответствии с инструкцией предприятия-изготовителя. При отсутствии такой инструкции минимальную частоту вращения холостого хода устанавливают по
4.3.
(в ред.
Изменения N 1, утв. Постановлением Госстандарта России от 09.03.2004 N 114-ст)
6.8. Проверка отсутствия выбросов картерных газов в атмосферу при работе двигателя (испытания типа III)
6.8.1. Двигатели соответствуют требованиям настоящего стандарта, если при испытаниях давление в картере двигателя не превышает атмосферное на следующих режимах:
- минимальная частота вращения на режиме холостого хода;
- нагрузка 75% максимальной при частоте вращения, соответствующей максимальному крутящему моменту;
- нагрузка 50% максимальной при номинальной частоте вращения.
6.8.2. При проведении испытаний к отверстию для щупа уровня масла подсоединяют микроманометр или непроницаемую для картерных газов эластичную камеру вместимостью около 5 л.
Если конструкция двигателя исключает возможность подсоединения эластичной камеры к отверстию для щупа уровня масла, то эластичную камеру подсоединяют к картеру двигателя через другое отверстие. Остальные отверстия, соединяющие картер двигателя с атмосферой, должны быть перекрыты.
Перед каждым измерением камера должна быть очищена от газов и разъединена с картером. Камеру соединяют с картером на 5 мин в каждом режиме измерений.
7. Расчет выбросов вредных веществ
7.1. Результаты испытаний, проводимых для определения содержания вредных веществ в отработавших газах, оформляют протоколом и рассчитывают по указанным ниже формулам.
7.1.1. Расход отработавших газов для каждого режима работы двигателя определяют одним из методов, указанных в 7.1.1.1,
7.1.1.2.
7.1.1.1. Непосредственное измерение расхода отработавших газов при помощи расходомерного сопла или другой эквивалентной системы.
7.1.1.2. Измерение расхода воздуха и расхода топлива соответствующими системами.
Расход отработавших газов

(с учетом влажности окружающего воздуха), кг/ч, вычисляют по формулам:

, (5)
где

- расход воздуха с учетом влажности, кг/ч;

- расход топлива, кг/ч
или

, (6)
или

, (7)
где

- объем отработавших газов без учета влажности;

- объем отработавших газов с учетом влажности;

- объем воздуха с учетом влажности.
7.1.2. Устройства для измерения расходов воздуха, топлива и отработавших газов не должны оказывать существенного влияния на показатели работы двигателя.
7.1.3. Погрешность измерения расхода отработавших газов не должна превышать +/- 2,5%.
7.1.4. При расчете объема отработавших газов с учетом влажности по
уравнению (7) измеряемые концентрации вредных веществ следует указывать во влажном состоянии. Если эти концентрации измерены без учета влажности, то их следует преобразовать с помощью следующего уравнения

, (8)
где G - расход вредного вещества, кг/ч;

- расход топлива, кг/ч;

- расход воздуха без учета влажности, кг/ч.
Концентрацию оксидов азота умножают на коэффициент поправки на атмосферную влажность


, (9)
где

;

;
T - температура воздуха, К;
H - абсолютная влажность, выраженная в граммах воды на 1 кг сухого воздуха

, (10)
где

- относительная влажность окружающего воздуха, %;

- упругость насыщенного водяного пара при температуре окружающего воздуха, кПа;

- атмосферное давление, кПа.
7.1.5. Выбросы вредных веществ с учетом влажности

;

;

, г/ч, для каждого режима вычисляют по формулам:

; (11)

; (12)

, (13)
где

- расход отработавших газов во влажном состоянии по массе, кг/ч;

,

,

- концентрации CO, CH и

,

на объем.
7.1.6. Удельные выбросы CO и CH, в г/кВт.ч) вычисляют по формулам:

; (14)

; (15)

, (16)
где P - измеренная мощность двигателя на каждом режиме, кВт;
WF - коэффициент весомости режима, указанный в
таблице 2.
7.2. Значения массы оксида углерода, углеводородов и оксидов азота не должны превышать значений, указанных в
таблице 1 для серийного двигателя.
7.3. Если двигатель серийного производства не удовлетворяет нормам, установленным в
таблице 1, то по заявке предприятия-изготовителя могут быть проведены дополнительные испытания нескольких двигателей той же партии. Число двигателей устанавливает предприятие-изготовитель по согласованию с компетентным органом, проводящим контроль. Испытаниям подвергают все отобранные двигатели, за исключением испытанного первоначально.
7.4. Для каждого загрязняющего газа подсчитывают среднее арифметическое по всей партии испытанных двигателей. Двигатели серийного производства считают соответствующими официально утвержденному типу, если соблюдено следующее условие:
x + kS <= L, (17)
где L - предельно допустимые выбросы, указанные в
4.1 для оксида углерода или для суммы углеводородов и оксидов азота;
(в ред.
Изменения N 1, утв. Постановлением Госстандарта России от 09.03.2004 N 114-ст)
x - среднеарифметическое значение выбросов, измеренных при проведении испытаний всей партии двигателей;
k - статистический коэффициент, выбранный по
таблице 3 в зависимости от числа двигателей в партии, n;

, (18)
где

- фактическое значение выбросов, измеренное у каждого двигателя из партии.
n | 2 | 3 | 4 | 5 | 6 | 7 | 8 | 9 | 10 |
k | 0,973 | 0,613 | 0,489 | 0,421 | 0,376 | 0,342 | 0,317 | 0,298 | 0,279 |
n | 11 | 12 | 13 | 14 | 15 | 16 | 17 | 18 | 19 |
k | 0,265 | 0,253 | 0,242 | 0,233 | 0,224 | 0,216 | 0,210 | 0,203 | 0,198 |
Примечание. Если n более 20, то  . (19) |
8. Установка на транспортное средство
8.1. При установке двигателя на транспортное средство должны быть соблюдены следующие требования:
8.1.1. Противодавление на выпуске не должно превышать противодавления, обозначенного для официально утвержденного двигателя в
Приложении А.
8.1.2. Вспомогательное оборудование двигателя, необходимое только для работы транспортного средства (например, воздушный компрессор, система кондиционирования и т.п.), на время проведения испытания должно быть демонтировано. Если оборудование нельзя демонтировать, то определяют потребляемую им мощность и прибавляют ее к мощности двигателя, измеряемой на протяжении всего испытания.
(рекомендуемое)
ТЕХНИЧЕСКАЯ ХАРАКТЕРИСТИКА ДВИГАТЕЛЯ
А.1 | Модель двигателя |
| Год выпуска (год постановки на производство) |
| Предприятие-изготовитель |
А.2 | Тип двигателя |
А.3 | |
А.4 | |
А.5 | Число и расположение цилиндров, порядок зажигания (работы цилиндров) |
А.6 | Рабочий объем, см3 |
А.7 | Степень сжатия |
А.8 | Номинальная мощность брутто и нетто по ГОСТ 14846, кВт |
А.9 | Максимальный крутящий момент брутто и нетто по ГОСТ 14846, Н x м |
А.10 | Частота вращения коленчатого вала,  : |
| при номинальной мощности; |
| при максимальном моменте крутящем; |
| минимальная на холостом ходу |
А.11 | Система охлаждения: |
| жидкостная - максимальная температура на выходе, К; |
| воздушная - максимальная температура в контрольной точке, К |
А.12 | Турбокомпрессор, марка, тип <2> |
А.13 | Подача топлива: |
| карбюратор (марка, модель, число) |
| система впрыскивания топлива: |
| топливный насос (марка, модель) |
| форсунка (тип, модель) |
А.14 | Воздушный фильтр (марка, модель, число) |
А.15 | Газораспределительный механизм: |
| фазы газораспределения; |
| регулировочные зазоры |
А.16 | Система зажигания: |
| свечи зажигания (марка, тип, зазор между электродами); |
| катушка зажигания (марка, тип); |
| конденсатор (марка, тип); |
| зазор в контактах прерывателя |
А.17 | Топливо (рекомендуемая марка) |
А.18 | Масло (рекомендуемая марка) |
А.19 | Система вентиляции картера |
А.20 | Устройство для уменьшения выброса вредных веществ (описание и схемы) <2>: |
| каталитический нейтрализатор: да/нет: |
| число нейтрализаторов; |
| размеры и форма нейтрализатора(ов) (объем); |
| общая масса применяемого драгметалла; |
| носитель катализатора (структура и материал); |
| тип корпуса нейтрализатора; |
| место расположения нейтрализатора(ов) (место установки в выпускной системе); |
| датчик содержания кислорода: марка: |
| расположение датчика; |
| диапазон регулирования; |
| впрыск топлива компрессором: да/нет; |
| способ подачи дополнительного воздуха; |
| рециркуляция отработавших газов (РОГ): да/нет; |
| другие системы (описание и принцип работы) |
А.21 | Максимальное противодавление, допускаемое при выпуске |
А.22 | Содержание оксида углерода и углеводородов по объему в отработавших газах на режимах холостого хода (по 4.3 настоящего стандарта). |
(в ред. Изменения N 1, утв. Постановлением Госстандарта России от 09.03.2004 N 114-ст) |
--------------------------------
<1> Значение должно округляться до 0,1 мм.
(обязательное)
ТЕХНИЧЕСКАЯ ХАРАКТЕРИСТИКА ЭТАЛОННОГО ТОПЛИВА,
ПРИМЕНЯЕМОГО ДЛЯ ИСПЫТАНИЯ ТРАНСПОРТНЫХ СРЕДСТВ,
ОСНАЩЕННЫХ ДВИГАТЕЛЕМ С ПРИНУДИТЕЛЬНЫМ ЗАЖИГАНИЕМ
Эталонное топливо: CEC RF-08-A-85
Тип: бензин высшего качества, неэтилированный
<1>. Кислородные добавки запрещены
Наименование показателя | | Метод ИСО | |
не менее | не более |
1. Октавное число по исследовательскому методу | 95,0 | - | ИСО 5164-77 | D 1699 |
2. Октановое число по моторному методу | 85,0 | - | ИСО 5163-77; ИСО 3675-76 | D 2700 |
3. Плотность при 15 °C, кг/см3 | 0,748 | 0,762 | ИСО 3007-86 | D 1298 |
4. Давление пара по Рейду, бар | 0,56 | 0,64 | - | D 323 |
5. Перегонка <4> °C, точка кипения: | | | ИСО 3405-75 | |
- начальная | 24 | 40 | | D 86 |
- 10% объема | 42 | 58 | | D 86 |
- 50% объема | 90 | 110 | | D 86 |
- 90% объема | 155 | 180 | | D 86 |
- конечная | 190 | 215 | | D 86 |
6. Остаток, % | - | 2 | | D 86 |
7. Состав углеводородов, % по объему: | | | ИСО 3837-76 | |
- олефины | | 20 | | D 1319 |
- ароматические углеводороды | (включая 5% максимального объема бензола) <1> | 45 | | D 3606/D 2267 |
- предельные углеводороды | | Остальное | | D 1319 |
8. Соотношение углерод/водород | Соотношение | Соотношение | | |
9. Стойкость против окисления <5>, мин | 480 | | DO 7536 | D 525 |
10. Концентрация растворенных смол, мг/100 мл | - | 4 | ИСО 6246-81 | D 381 |
11. Содержание серы, % (по массе) | - | 0,04 | ИСО 2192-84 | D 1266/D 2611/D 2785 |
12. Окисление меди при 50 °C | - | 1 | ИСО 2160-85 | D 130 |
13. Концентрация свинца, г/л | - | 0,005 | | D 3237 |
14. Концентрация фосфора, г/л | - | 0,0013 | ИСО 3830-81 | D 3231 |
<1> Для производства этого топлива следует использовать лишь основные продукты перегонки, обычно производимые на европейских нефтеперерабатывающих заводах. <2> Топливо может содержать присадки в концентрациях, обычно предлагаемых на рынках топлива. <3> Эквивалентные методы ИСО будут применяться для всех указанных характеристик после их публикации. <4> Указанные значения соответствуют общему, приведенному в парообразное состояние количеству. <5> Топливо может содержать антиокислители и дезактиваторы металлов, обычно используемые для стабилизации циркулирующих потоков бензина на нефтеперерабатывающих заводах, но не должно содержать никаких детергентов, диспергаторов или жидких смазок. |
(обязательное)
ТРЕБОВАНИЯ К ГАЗОАНАЛИЗАТОРАМ
| | ИС МЕГАНОРМ: примечание. Взамен ГОСТ Р 41.49-99 Постановлением Госстандарта России от 10.12.2003 N 362-ст с 1 июля 2004 года введен в действие ГОСТ Р 41.49-2003. | |
В.1. Испытания типа 1 проводят на динамометрическом стенде с характеристиками, позволяющими проводить испытательный цикл по режимам, указанным в
таблице 2. Оборудование стенда - по ГОСТ Р 41.49
В.2. Анализ отработавших газов
В.2.1. При испытании типа 1 анализ отработавших газов проводят при помощи газодинамических систем, в которых определяют концентрации CO, CH,

. Анализ CO проводят инфракрасным методом; CH - ионизационно-плазменным;

- хемилюминесцентным методом.
В.2.2. Диапазоны измерений газоанализаторов должны быть в пределах, обеспечивающих измерение содержания определяемых компонентов. Погрешность измерений не должна превышать +/- 3% предела измерений для любого диапазона анализаторов всех измеряемых компонентов. При этом погрешность приготовления калибровочного газа в расчет не принимают.
В.2.3. При испытании типа II следует применять газоанализаторы непрерывного действия, предназначенные для контроля одного или нескольких компонентов одновременно, работающие на принципе инфракрасной спектроскопии, и тахометры с метрологическими характеристиками, указанными в В.2.3.1 и
В.2.3.2.
В.2.3.1. Погрешность газоанализаторов не должна превышать +/- 5% предела измерений для любого диапазона (без учета погрешностей пересчета показаний газоанализатора в пропане на гексан); постоянная времени газоанализатора должна быть не более 60 с.
В.2.3.2. Шкала газоанализатора оксида углерода должна быть градуирована по бинарной газовой смеси (оксида углерода в воздухе или азоте) в объемных долях, выраженных в процентах оксида углерода.
Шкала газоанализатора углеводородов должна быть градуирована по бинарной газовой смеси (пропан в азоте) в объемных долях, выраженных в частях на миллион по гексану

.
Диапазоны измерения газоанализаторов рекомендуются следующие:
CO: 0 - 5%; 0 - 10%.
В.2.4. Допускается применять газоанализаторы, работающие на других принципах действия с другими диапазонами измерения, соответствующие требованиям
В.2.2,
В.2.3 и дающие показания, идентичные показаниям принятых средств измерений.
(рекомендуемое)
РАБОЧИЕ И КАЛИБРОВОЧНЫЕ ГАЗЫ
Г.1. В качестве рабочих рекомендуется использовать следующие газы:
- чистый азот - содержание углерода менее

, CO менее

',

менее

,

менее

;
(в ред.
Изменения N 1, утв. Постановлением Госстандарта России от 09.03.2004 N 114-ст)
- чистый кислород - объемная доля кислорода не менее 99,5%;
- водородно-гелиевая смесь - содержание водорода (40 +/- 2)%, углерода

, CO менее

(допускается применять водородно-воздушные смеси, если доказана достоверность измерений);
- очищенный синтетический воздух - содержание углерода менее

, CO менее

, NO менее

. Объемная доля кислорода - от 3 до 21%.
Г.2. Калибровочные газы должны состоять из следующих смесей:
-

и чистый синтетический воздух;
- CO и чистый азот;
- NO и чистый азот (количество

, содержащегося в калибровочном газе, не должно превышать 5% содержания NO).
Реальная концентрация калибровочного газа не должна отличаться более чем на 2% от заявленной.
Г.3. Калибровочные газы необходимой концентрации могут быть получены с помощью дозатора путем разбавления чистым азотом или чистым синтетическим воздухом. Точность смешивающего устройства должна обеспечивать концентрацию калибровочного газа с погрешностью не более +/- 2%.
(рекомендуемое)
КАЛИБРОВКА ГАЗОАНАЛИЗАТОРОВ
Д.1. Перед калибровкой анализаторы необходимо прогреть в течение 2 ч.
Д.2. Расходы калибровочных газов и расходы проб отработавших газов должны быть одинаковыми.
Д.3. Перед калибровкой следует провести испытания на герметичность системы. Зонд должен быть отсоединен от выпускной системы, его конец заглушен. Включают насос анализатора. После начального периода стабилизации все расходомеры и манометры должны показывать ноль. Если это не соблюдается, необходимо проверить всю линию пробоотбора и устранить дефект.
Д.4. Все анализаторы должны быть подготовлены к работе в соответствии с инструкцией по эксплуатации, анализаторы с пламенно-ионизационными детекторами должны быть отрегулированы на оптимальное горение.
Д.5. Анализаторы CO, CH,

должны быть отрегулированы на ноль с использованием чистого синтетического воздуха или чистого азота (согласно инструкции по эксплуатации).
Д.6. Для каждого используемого рабочего диапазона анализатора должна быть построена калибровочная кривая.
Д.7. Калибровочную кривую строят с помощью не менее пяти калибровочных точек, расположенных как можно более равномерно. Номинальная концентрация калибровочного газа должна быть не менее 80% полной шкалы.
Д.8. Калибровочную кривую рассчитывают с помощью метода "наименьших квадратов". Если полученная в результате степень полинома больше 3, количество калибровочных точек должно быть по крайней мере равным степени полинома плюс 2.
Д.9. Для каждого калибровочного газа калибровочная кривая не должна отклоняться от номинального значения более чем на 2%.
(обязательное)
ОПРЕДЕЛЕНИЕ ЧАСТОТ ВРАЩЕНИЯ КОЛЕНЧАТОГО ВАЛА ДВИГАТЕЛЯ
A, B, C И

Госстандарта России от 09.03.2004 N 114-ст)
Частоты вращения двигателя A, B и C, а также

должны быть указаны предприятием-изготовителем в соответствии с Е.1 - Е.4 и рисунком Е.1.
Рисунок Е.1
Е.1. Минимальная частота вращения

- частота вращения двигателя, при которой достигается 50% от максимальной мощности по внешней скоростной характеристике.
Е.2. Максимальная частота вращения

- частота вращения двигателя, при которой достигается 70% от максимальной мощности по внешней скоростной характеристике.
Е.3. Частота вращения

- частота вращения двигателя при максимальной мощности (
3.8).
Е.4. Частоты вращения двигателя A, B и C определяют по формулам:

;

;

".