Главная // Актуальные документы // ГОСТ Р (Государственный стандарт)СПРАВКА
Источник публикации
М.: Стандартинформ, 2017
Примечание к документу
В соответствии с
Приказом Росстандарта от 16.11.2017 N 1755-ст данный документ
вводился в действие с 01.01.2020. В соответствии с изменением, внесенным
Приказом Росстандарта от 14.01.2020 N 1-ст, срок введения в действие данного документа перенесен на 01.01.2022.
Название документа
"ГОСТ Р ИСО 22476-3-2017. Национальный стандарт Российской Федерации. Геотехнические исследования и испытания. Испытания полевые. Часть 3. Динамическое зондирование пробоотборником"
(утв. и введен в действие Приказом Росстандарта от 16.11.2017 N 1755-ст)
"ГОСТ Р ИСО 22476-3-2017. Национальный стандарт Российской Федерации. Геотехнические исследования и испытания. Испытания полевые. Часть 3. Динамическое зондирование пробоотборником"
(утв. и введен в действие Приказом Росстандарта от 16.11.2017 N 1755-ст)
Утвержден и введен в действие
агентства по техническому
регулированию и метрологии
от 16 ноября 2017 г. N 1755-ст
НАЦИОНАЛЬНЫЙ СТАНДАРТ РОССИЙСКОЙ ФЕДЕРАЦИИ
ГЕОТЕХНИЧЕСКИЕ ИССЛЕДОВАНИЯ И ИСПЫТАНИЯ
ИСПЫТАНИЯ ПОЛЕВЫЕ
ЧАСТЬ 3
ДИНАМИЧЕСКОЕ ЗОНДИРОВАНИЕ ПРОБООТБОРНИКОМ
Geotechnical investigation and testing. Field testing.
Part 3. Dynamic penetration by a sampler
(ISO 22476-3:2005,
Geotechnical investigation and testing - Field testing -
Part 3: Standard penetration test,
IDT)
ГОСТ Р ИСО 22476-3-2017
| | Приказом Росстандарта от 14.01.2020 N 1-ст дата введения в действие перенесена на 01.01.2022. | |
Дата введения
1 января 2020 года
1 ПОДГОТОВЛЕН Акционерным обществом "Научно-исследовательский центр "Строительство" (АО "НИЦ "Строительство") - Научно-исследовательский, проектно-изыскательский и конструкторско-технологический институт оснований и подземных сооружений им. Н.М. Герсеванова" (НИИОСП им. Н.М. Герсеванова) на основе официального перевода на русский язык англоязычной версии указанного в пункте 4 международного стандарта, который выполнен Федеральным государственным унитарным предприятием "Российский научно-технический центр информации по стандартизации, метрологии и оценке соответствия" (ФГУП "СТАНДАРТИНФОРМ")
2 ВНЕСЕН Техническим комитетом по стандартизации ТК 465 "Строительство"
3 УТВЕРЖДЕН И ВВЕДЕН В ДЕЙСТВИЕ
Приказом Федерального агентства по техническому регулированию и метрологии от 16 ноября 2017 г. N 1755-ст
4 Настоящий стандарт идентичен международному стандарту ИСО 22476-3:2005 "Геотехнические исследования и испытания. Полевые испытания. Часть 3. Стандартное испытание проникающей способности" (ISO 22476-3:2005 "Geotechnical investigation and testing - Field testing - Part 3: Standard penetration test", IDT).
Наименование настоящего стандарта изменено относительно наименования указанного международного стандарта для приведения в соответствие с ГОСТ Р 1.5-2012
(пункт 3.5).
При применении настоящего стандарта рекомендуется использовать вместо ссылочного европейского стандарта соответствующий ему национальный стандарт, сведения о котором приведены в дополнительном
приложении ДА
5 ВВЕДЕН ВПЕРВЫЕ
Правила применения настоящего стандарта установлены в
статье 26 Федерального закона от 29 июня 2015 г. N 162-ФЗ "О стандартизации в Российской Федерации". Информация об изменениях к настоящему стандарту публикуется в ежегодном (по состоянию на 1 января текущего года) информационном указателе "Национальные стандарты", а официальный текст изменений и поправок - в ежемесячном информационном указателе "Национальные стандарты". В случае пересмотра (замены) или отмены настоящего стандарта соответствующее уведомление будет опубликовано в ближайшем выпуске ежемесячного информационного указателя "Национальные стандарты". Соответствующая информация, уведомление и тексты размещаются также в информационной системе общего пользования - на официальном сайте Федерального агентства по техническому регулированию и метрологии в сети Интернет (www.gost.ru)
Настоящий стандарт устанавливает требования к косвенному методу исследования грунтов - динамическому зондированию пробоотборником, являющемуся частью геотехнических исследований и испытаний согласно ЕН 1997-1 и ЕН 1997-2, выполняемому дополнительно к прямым методам исследования грунтов (например, отбор образцов или проб в соответствии с prЕН 22475-1).
Динамическое зондирование пробоотборником (SPT) ставит целью определение сопротивления грунтов в основании скважины, пройденной для забивки пробоотборника, с последующей выемкой образцов грунта нарушенного сложения для их идентификации. В гравелистых грунтах и слабых скальных породах допускается также использовать сплошной конус [SPT(C)].
Динамическое зондирование пробоотборником используют главным образом для оценки параметров прочности и деформируемости несвязных грунтов, но некоторые полезные данные могут быть также получены и для других типов грунтов.
Основной принцип испытания заключается в забивке пробоотборника стандартным молотом массой 63,5 кг, падающим на наковальню или наголовник с высоты 760 мм. Число ударов N, необходимое для забивки пробоотборника на 300 мм (после его погружения ниже опорной поверхности), является показателем сопротивления зондированию.
Для применения настоящего стандарта необходимы следующие ссылочные стандарты. Для датированных ссылок применяют только указанное издание, для недатированных - последнее издание (включая все изменения к нему).
prEN ISO 22475-1, Geotechnical investigation and testing - Sampling methods and ground water measurements - Part 1: Technical principles for execution [Геотехнические исследования и испытания. Отбор образцов с помощью методов бурения, выемки грунта и измерений грунтовой воды. Часть 1. Технические принципы исполнения]
В настоящем стандарте применены следующие термины с соответствующими определениями.
3.1 наковальня или наголовник (anvil or drive head): Часть ударного устройства, по которой ударяет молот и через которую энергия удара молота передается на забивные штанги.
3.2 молот (hammer): Часть ударного устройства, имеющая массу 63,5 кг, последовательно поднимающаяся и падающая для создания энергии, под действием которой осуществляется погружение в грунт пробоотборника (с последующим отбором образцов грунта) или конуса.
3.3 высота падения (height of fall): Свободное падение молота после его сбрасывания.
3.4 ударное устройство (drive-weight assembly): Устройство, состоящее из молота, направляющего приспособления для падения молота, наголовника (наковальни) и системы обеспечения падения молота.
3.5 забивные штанги (drive rods): Штанги, которые передают энергию удара от ударного устройства на пробоотборник.
3.6 фактическая энергия удара (actual energy) Emeas: Измеренная энергия, сообщенная ударным устройством забивной штанге через наголовник.
3.7 теоретическая энергия удара (theoretic energy) Etheor: Вычисленная энергия ударного устройства
Etheor = mgh,
где m - масса молота;
g - ускорение свободного падения;
h - высота падения молота.
3.8 коэффициент энергии (energy ratio) Er: Отношение фактической энергии Emeas к теоретической энергии Etheor молота, выраженное в процентах.
3.9 N = значение (N = value): Число ударов, необходимое для того, чтобы забить пробоотборник на глубину 300 мм, если измерять от опорной поверхности забивки.
4.1 Забивное устройство
Забивное устройство должно обеспечивать проходку чистой скважины для гарантии того, что динамическое зондирование выполняется преимущественно в грунте ненарушенного сложения.
Забой скважины, подготовленной до проведения испытания, может влиять на результаты испытания, поэтому диаметр скважины должен быть всегда указан в протоколе испытания. При значении диаметра скважины 150 мм или больше влияние на результат испытания может быть значимым.
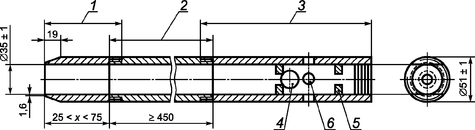
Стальной разъемный цилиндрический пробоотборник должен иметь размеры, показанные на рисунке 1. Он должен быть оснащен обратным клапаном с достаточным зазором, обеспечивающим свободный отток воды или шлама в процессе забивки.
Внутренний диаметр пробоотборника должен быть больше на значение до 3 мм, чем внутренний диаметр режущего башмака, для обеспечения вставки гильзы для приема грунта. В гравелистых песках вместо стандартного ножевого башмака допускается использовать цельный конус 60°. В этом случае испытание обозначают как SPT(C).
1 - забивной режущий башмак; 2 - разъемный цилиндр;
3 - соединительная муфта; 4 - обратный клапан
(рекомендуется: шар диаметром 25 мм и посадочное место
для шара диаметром 22 мм); 5 - удерживающие штифты
для шара; 6 - четыре отверстия (минимальный диаметр 12 мм);
x - длина забивного режущего башмака
Рисунок 1 - Разрез пробоотборника для SPT,
в котором не предусматривается установка гильзы
4.3 Забивные штанги
Забивные штанги должны иметь жесткость, которая предотвращает продольный изгиб во время забивки. Не допускается применять штанги линейной плотностью больше 10,0 кг/м. Необходимо использовать только прямые штанги. На месте проведения испытания следует осуществлять периодические проверки штанг, в том числе необходимо проверять соединения между штангами. При измерении длины каждой штанги ее относительный прогиб не должен быть больше 1/1200.
4.4 Ударное устройство
Ударное устройство должно быть общей массой не больше 115 кг и включать в себя следующее:
- стальной молот массой 63,5 +/- 0,5 кг, удобно направляемый для обеспечения минимального сопротивления во время сброса;
- автоматический расцепляющий механизм, который должен обеспечивать свободное постоянное падение на (760 +/- 10) мм, пренебрежимо малое значение скорости молота при его освобождении и полное отсутствие наведенных мешающих движений в забивных штангах;
- стальной наголовник или наковальню, жестко соединенную с верхней частью забивных штанг. Это может быть внутренняя часть агрегата, оснащенного молотом согласно технике безопасности.
4.5 Необязательное дополнительное оборудование
4.5.1 Счетчик ударов
На оборудовании может быть установлено устройство для подсчета числа ударов молота путем измерения механических или электрических импульсов.
4.5.2 Устройство для измерения длины зондирования
Длину зондирования измеряют либо подсчетом по шкале, установленной на штангах, либо с помощью регистрирующих датчиков. В последнем случае разрешение должно быть лучше, чем 1/100 длины измерения.
5.1 Проверки и калибровка оборудования
| | ИС МЕГАНОРМ: примечание. В официальном тексте документа, видимо, допущена опечатка: таблица 1 отсутствует. Возможно, имеется в виду таблица A.1. | |
Перед каждым испытанием следует проводить проверку размеров на предмет определения их нахождения в пределах значений, указанных в
таблице 1. Прямолинейность штанг следует проверять на каждой новой площадке в начале испытания и не реже чем через каждые 20 испытаний на площадке. После каждого испытания следует проводить визуальную проверку прямолинейности штанг.
На площадке испытания, в целях нормальной эксплуатации, которая должна быть гарантирована в ходе всей серии испытаний, следует проверять скорость ударов, высоту падения, трение свободно падающего молота, состояние наковальни и устройства механического сбрасывания. Кроме того, в случае использования автоматического регистрационного оборудования подлежит проверке надлежащее функционирование регистрирующего устройства.
Средства измерений (при использовании) должны поверяться после любого повреждения, перегрузки или ремонта и не реже одного раза каждые 6 мес, если руководство пользователя не устанавливает более короткие интервалы времени. Дефектные детали должны быть заменены. Документацию на калибровку следует хранить вместе с оборудованием.
Энергетические потери могут иметь место, например, вследствие трения молота (потеря скорости по сравнению со свободным падением) или энергетических потерь при ударе молота по наковальне. Поэтому для используемого оборудования должен быть известен коэффициент энергии Er, если планируется использовать N-значения для количественной оценки грунтовых оснований или сравнения с результатами других испытаний. Должен быть в наличии сертификат калибровки значения Er, измеренного непосредственно ниже наголовника или наковальни.
| | ИС МЕГАНОРМ: примечание. В официальном тексте документа, видимо, допущена опечатка: приложение C отсутствует. Возможно, имеется в виду приложение B. | |
Примечание - Рекомендуемый метод определения фактической энергии приведен в
приложении C.
5.2 Подготовка скважины
Скважина должна быть пройдена для заданной глубины испытания. Забой скважины должен быть чистым, с грунтом ненарушенного сложения и без напорных подземных вод в забое.
Если для подготовки скважины используют буровое долото, оно должно быть оснащено боковой, а не донной выгрузкой грунта, которая должна осуществляться с безопасной для места испытания высоты.
При испытании ниже уровня грунтовых вод необходимо принимать особые меры, чтобы исключить какое-либо попадание воды через забой скважины, так как это ведет к разуплотнению или даже гидравлическому разрушению грунта. С этой целью уровень воды или бурового раствора в скважине должен все время поддерживаться на достаточном уровне выше уровня грунтовых вод в слое наибольшего (потенциального) давления, даже при извлечении бурового инструмента. Извлечение следует осуществлять медленно, сохраняя достаточный просвет с буровым инструментом, чтобы предотвратить эффекты всасывания грунта с забоя.
В случае применения обсадной трубы она должна быть погружена ниже уровня начала испытания.
5.3 Выполнение испытания
Пробоотборник и забивные штанги должны быть опущены на дно скважины, затем установлено ударное устройство. Должно быть зарегистрировано первоначальное задавливание пробоотборника. Пробоотборник следует забить на исходную или опорную величину 150 мм с применением молота массой 63,5 кг, свободно падающего с высоты 760 мм, с регистрацией числа ударов N0. Затем пробоотборник забивают аналогичным образом на испытательные 300 мм по меньшей мере двумя приращениями по 150 мм. В ходе каждого из этих приращений Nn должно быть зарегистрировано необходимое число ударов. Если испытательная забивка достигается за 50 ударов (N = 50), то испытание может быть завершено. В слабых горных породах число ударов может быть увеличено до 100 (N = 100). Общее число ударов, необходимое для погружения на 300 мм, считая от опорной поверхности забивки, называется сопротивлением зондирования данного слоя грунта (N = Nn + Nn + 1).
В твердых грунтах или слабых горных породах, где сопротивление зондированию является очень высоким, можно регистрировать погружение пробоотборника за определенное число ударов.
Если пробоотборник продвигается ниже дна скважины под действием статического веса забивных штанг и ударного устройства сверху, то соответствующее задавливание не учитывают, а данную информацию и забивку до опорной поверхности указывают в протоколе испытания. В любом случае проникновение пробоотборника не должно достигать уровня обратного клапана.
Извлеченные образцы грунтов должны быть зарегистрированы и обработаны в соответствии с требованиями prЕН ИСО 22475-1.
5.4 Требования техники безопасности
Необходимо соблюдать правила техники безопасности, действующие на национальном уровне, например в отношении следующего:
- охраны труда и оборудования, обеспечивающего безопасность работ;
- чистого воздуха, если работа ведется в замкнутом объеме;
- обеспечения безопасности оборудования.
Результаты испытаний следует регистрировать и интерпретировать как N-значения или испытательный забивной удар.
N-значения могут изменяться в зависимости от испытательного оборудования и режима работы, а также геотехнических условий (см.
приложение A). Необходимо принимать во внимание коррекции, приведенные в
приложении A.
7.1.1 Общие положения
При выполнении испытаний следует составлять полевой отчет. По возможности этот отчет должен включать в себя следующее:
a) сводный журнал согласно prЕН ИСО 22475-1;
b) запись измеренных значений и результаты испытаний.
Все полевые исследования должны быть отражены в документах таким образом, чтобы специалисты третьей стороны могли проверить и понять эти результаты.
7.1.2 Регистрация измеренных величин и результатов испытаний
На площадке для каждого испытания необходимо регистрировать следующую информацию:
a) общая информация:
1) фамилия клиента,
2) фамилия подрядчика,
3) номер задания или проекта,
4) наименование и место проекта,
5) фамилия и подпись ответственного оператора испытательного оборудования;
b) информация о месте проведения испытания:
1) дата и номер испытания,
2) полевой чертеж (в масштабе или не в масштабе),
3) высотная отметка по отношению к фиксированной точке,
4) x, y, z координаты скважины,
5) среда испытания (испытание выполнялось на земле или воде);
c) информация об используемом испытательном оборудовании:
1) метод бурения и диаметр скважины на отметке испытания,
2) изготовитель, модель и номер испытательного оборудования,
3) тип и размеры забивной штанги,
4) тип и размер молота, механизм освобождения молота, масса наголовника,
5) разъемный пробоотборник с вкладной гильзой (для приема грунта) или без нее,
6) сплошной конус [SPT(C)], если применяется,
7) коэффициент энергии Er и отчет о поверке;
d) информация о методике испытания:
1) дата и номер испытания,
2) документация о проверке и калибровке оборудования согласно
5.1,
3) регистрация результатов испытаний:
- некорректированные N-значения для каждого испытания, соответствующий интервал глубины зондирования,
- значения Nn, Nn - 1, если требуются,
- соответствующее погружение пробоотборника, если забивка прекращена после 50 ударов (или 100 ударов в слабых горных породах),
- погружение пробоотборника за один удар в трудных грунтовых условиях, если требуется,
- погружение пробоотборника под статическим весом,
4) отчет по извлеченным образцам грунта,
5) грунтовые и напорные воды, если известны,
6) уровень воды или бурового раствора во время подготовки и выполнения каждого испытания,
7) глубина испытания и обсадки,
8) погодные условия,
9) все необычные события или наблюдения в ходе работы (например, низкое число ударов, зондирование без ударов, временные препятствия, нарушения нормальной работы оборудования),
10) осмотры извлеченного пробоотборника и/или штанг,
11) все перерывы в работе с их продолжительностью и сменой штанги,
12) причины раннего прекращения испытания,
13) тампонаж зондировочной скважины SPT в соответствии с требованиями prЕН 22475-1 (при необходимости).
7.2 Протокол испытания
Для проверки качества данных, в дополнение к информации, приведенной в
7.1, протокол испытания должен содержать следующее:
a) полевой отчет (в оригинале и/или компьютеризированной форме);
b) графическое представление результатов испытания;
c) примененные корректировки и откорректированные N-значения;
d) графическое представление глубины зондирования в зависимости от числа ударов N и откорректированное значение N в зависимости от обстановки;
e) любые ограничения данных (например, ненужные, недостаточные, неточные и противоречивые результаты испытаний);
f) фамилию и подпись руководителя полевых испытаний.
Результаты испытаний должны быть представлены в таком виде, чтобы специалисты третьей стороны могли их понять и проверить.
(справочное)
A.1 Энергия, передаваемая на забивные штанги
Энергетические потери вызываются забивным устройством вследствие трения и других мешающих эффектов, которые уменьшают фактическую скорость падения молота при ударе по сравнению со скоростью при свободном падении. Дальнейшие потери энергии возникают при ударе наковальни в зависимости от ее массы и других характеристик. На энергию, передаваемую на забивные штанги, могут также влиять тип ударного устройства, квалификация оператора и другие факторы.
В песках подсчитанное число ударов N обратно пропорционально коэффициенту энергии
Для большинства проектов и при сравнении результатов SPT в песках N-значения следует подгонять под опорный коэффициент энергии 60% по формуле

(A.2)
где N - подсчет ударов;
Er - коэффициент энергии специфического испытательного оборудования.
Если задуманный метод испытания песков тщательно разработан для значения коэффициента энергии
Er, отличающегося от 60%, следует установить соответствующее исправленное значение
N на основе
равенства (A.1).
A.2 Энергетические потери из-за длины штанг
Если длина штанг меньше 10 м, то для подсчета ударов при испытании песков могут быть применены поправочные коэффициенты, показанные в таблице A.1. При длине штанг больше 10 м никакие коррекции не применяются.
Таблица A.1
Поправочные коэффициенты, используемые при SPT
испытаниях в песках с применением длинных штанг
Длина забивных штанг ниже наковальни, м | Поправочный коэффициент  |
Св. 10 | 1,00 |
От 6 до 10 | 0,95 |
От 4 до 6 | 0,85 |
От 3 до 4 | 0,75 |
A.3 Другие поправочные коэффициенты
Если при использовании вставной гильзы подходящей толщины, например, такой, что ее внутренний диаметр по всей длине пробоотборника фактически равен постоянному значению 35 мм, а внутренний диаметр пробоотборника на 3 мм больше внутреннего диаметра режущего башмака, то согласно
4.2 поправка не требуется. Тем не менее следует обращать внимание на случайное повреждение вставной гильзы во время забивки и ее влияние на соответствующий подсчет ударов. Если внутреннюю гильзу не вставляют, то дополнительный зазор внутри цилиндра для приема грунта по отношению к режущему башмаку ведет к
N-значениям, которые при SPT испытаниях в песчаных грунтах на 10% - 20% меньше.
A.4 Воздействие давления пригрузки в песках
Воздействие давления пригрузки в песках на N значение может быть учтено, например, путем применения к измеренному значению N поправочного коэффициента CN, приведенного в таблице A.2 в зависимости от типа консолидации и индекса плотности ID.
Таблица A.2
Поправочные коэффициенты
CN для вертикального напряжения

вследствие воздействия давления пригрузки в песках
Тип консолидации | Индекс плотности ID, % | Поправочный коэффициент CN |
Нормально уплотненные | От 40 до 60 | |
От 60 до 80 | |
Переуплотненные | - | |
Примечание -  в килопаскалях. |
В другом примере коррекции для нормально уплотненного песка используют коэффициент CN, заданный уравнением:

(A.3)
Не следует применять поправочный коэффициент CN выше 2 (рекомендуется не выше 1,5).
Число ударов, скорректированное по коэффициенту энергии
Er, равному 60%, и нормализованное по эффективному вертикальному напряжению

, вычисляют по формуле

(A.4)
A.5 Использование поправочных коэффициентов
В предыдущих разделах настоящего приложения были поправочные коэффициенты. Так как существующие методы проектирования грунтовых оснований, разработанные на основе испытаний SPT, являются эмпирическими по своей природе, следует применять только соответствующие поправочные коэффициенты, если иные коэффициенты должным образом не обоснованы.
Если все поправочные коэффициенты, соответствующие данной методике испытания, применяют для метода проектирования на основе коэффициента энергии, равного 60%, то значение для окончательного подсчета числа ударов может быть получено (без учета поправок, указанных в
A.3) по формуле

(A.5)
где

- поправочный коэффициент на энергетические потери вследствие длины штанги в песке;
CN - поправочный коэффициент на вертикальное напряжение из-за воздействия давления пригрузки в песках.
(справочное)
РЕКОМЕНДУЕМЫЙ МЕТОД ИЗМЕРЕНИЯ ФАКТИЧЕСКОЙ ЭНЕРГИИ
B.1 Принцип
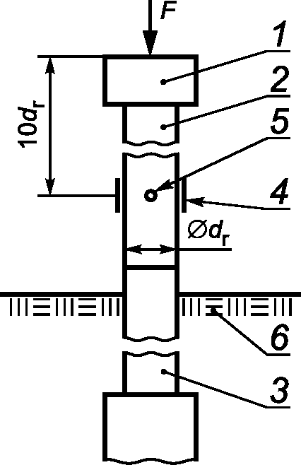
Измерение энергии, сообщенной забивным штангам, можно выполнить с помощью специально оборудованного участка штанг (измерительной штанги), расположенного на расстоянии, превышающем в 10 раз их диаметр, под точкой удара молота по наковальне (см. рисунок B.1).
По вопросу дополнительной информации см. библиографию с
[1] по
[6].
1 - наковальня; 2 - специально оборудованный участок
штанг (инструментальная штанга); 3 - забивная штанга;
4 - тензометр (измерительный преобразователь);
5 - акселерометр; 6 - грунт; F - усилие;
dr - диаметр штанги
Рисунок B.1 - Специально оборудованный участок штанг
(пример)
B.2 Оборудование
Измерительное устройство состоит из сменной измерительной штанги, установленной между наковальней и верхом забивных штанг. Оно включает:
- систему измерения вертикального ускорения, имеющего линейную характеристику до 5000g;
- систему измерения осевой деформации штанги;
- аппаратуру с разрешающей способностью выше 1 x 10-5 с для визуального наблюдения, регистрации и предварительной обработки сигналов;
- систему обработки данных (регистратор данных и компьютер).
Если используются тензодатчики для измерения осевой деформации, то их следует равномерно распределить вокруг штанги, оснащенной измерительной аппаратурой.
B.3 Измерения
При каждом ударе проверяют правильную работу измерительной аппаратуры и датчиков путем отображения результатов измерений.
Необходимо проверять, чтобы сигналы от акселерометров и измерительных приборов находились на нуле до и после удара.
Ускорение и деформацию следует измерять с точностью выше, чем 2% измеренного значения.
B.4 Вычисление
B.4.1 Сила F, переданная на штанги, вычисляется следующим образом:

(B.1)
где

- измеренные осевые деформации измерительной штанги в момент времени
t;
Aa - площадь поперечного сечения измерительной штанги;
Ea - модуль Юнга измерительной штанги.
B.4.2 Скорость измерительной секции
v(
t) вычисляют путем интегрирования ускорения

по времени
t.
B.4.3 Основное уравнение для энергии E, которая сообщается забивным штангам, имеет вид:

(B.2)
где E(t') - энергия забивки, которая передается забивным штангам за время t' после удара.
Разные методы вывода вышеуказанного уравнения и дополнительную информацию можно найти в
библиографии настоящего стандарта.
B.4.4 Учитываемая энергия молота - среднее значение, полученное по меньшей мере из пяти измерений:

(B.3)
B.4.5 Коэффициент энергии молота, который характеризует каждый динамический зонд, определяется следующим выражением

(B.4)
где Etheor = mgh;
здесь h - высота падения молота;
m - масса молота;
g - ускорение свободного падения.
| Отчет по измерению энергии молота |
Тип динамического зондирования | SPT |
Номер операции | |
Дата проведения испытания | |
Масса молота m | 63,5 кг |
Высота падения h | 0,76 м |
Etheor = m·g·h | 473 Дж |
Характеристики штанги, оснащенной приборами |
Диаметр dr | |
Длина штанги, оснащенной приборами | |
Площадь A | |
Модуль Ea | |
Сила | Скорость материальной точки |
Ускорение | Осевая деформация |
Наблюдения: | Дата |
Emeas | Etheor | Фамилия и подпись оператора оборудования |
Рисунок В.2 - Пример отчета об измерениях энергии молота
(справочное)
СВЕДЕНИЯ О СООТВЕТСТВИИ ССЫЛОЧНОГО ЕВРОПЕЙСКОГО СТАНДАРТА
НАЦИОНАЛЬНОМУ СТАНДАРТУ
Таблица ДА.1
Обозначение ссылочного европейского стандарта | Степень соответствия | Обозначение и наименование соответствующего национального стандарта |
PrEN ISO 22475-1 | - | <*> |
<*> Соответствующий национальный стандарт отсутствует. До его принятия рекомендуется использовать перевод на русский язык данного европейского стандарта. Официальный перевод данного европейского стандарта находится в Федеральном информационном фонде стандартов. |
| ASTM D 4633-86, Standard test method for stress wave energy measurements for dynamic penetrometer testing systems. - American Society for Testing and Materials, Philadelphia 1986 |
[2] | Butler, J.J., Caliendo, J.A., Goble, G.G. Comparison of SPT energy measurements methods - Proc. 1st Int. Conf. on Site Characterization, Atlanta 1998, Vol. 2, 901 - 905 |
[3] | Farrar, J.A. Summary of Standard Penetration Test (SPT) energy measurements experience - Proc. 1st Int. Conf. on Site Characterization, Atlanta 1998, Vol. 2, 919 - 926 |
[41 | Gonin, H. Du Penetrometre dynamique au battage des pieux. - Revue Francaise de Geotechnique No 76, 1996 |
[5] | Gonin, H. La formule des Hollandais ou le conformisme dans Tenseignement. - Revue Francaise de Geotechique No 87, 1999 |
| Matsumoto, T; Sekeguchi, H., Yoshida, H. & Kita, K. Significance of two-point strain measurements in SPT. - Soils and Foundations, JSSMFE, Vol. 32, 1992, No 2, pp. 67 - 82 |
[71 | EN 1997-1, Eurocode 7: Geotechnical design - Part 1: General rules |
[8] | EN 1997-2, Eurocode 7: Geotechnical design - Part 2: Ground investigation and testing |