Главная // Актуальные документы // ГОСТ Р (Государственный стандарт)СПРАВКА
Источник публикации
М.: Стандартинформ, 2020
Примечание к документу
Текст данного документа приведен с учетом
поправки, опубликованной в "ИУС", N 6, 2021.
Документ
введен в действие с 01.06.2020.
Название документа
"ГОСТ Р 58406.6-2020. Национальный стандарт Российской Федерации. Дороги автомобильные общего пользования. Смеси асфальтобетонные дорожные и асфальтобетон. Метод определения предела прочности на растяжение при изгибе и предельной относительной деформации растяжения"
(утв. и введен в действие Приказом Росстандарта от 15.05.2020 N 196-ст)
"ГОСТ Р 58406.6-2020. Национальный стандарт Российской Федерации. Дороги автомобильные общего пользования. Смеси асфальтобетонные дорожные и асфальтобетон. Метод определения предела прочности на растяжение при изгибе и предельной относительной деформации растяжения"
(утв. и введен в действие Приказом Росстандарта от 15.05.2020 N 196-ст)
Утвержден и введен в действие
агентства по техническому
регулированию и метрологии
от 15 мая 2020 г. N 196-ст
НАЦИОНАЛЬНЫЙ СТАНДАРТ РОССИЙСКОЙ ФЕДЕРАЦИИ
ДОРОГИ АВТОМОБИЛЬНЫЕ ОБЩЕГО ПОЛЬЗОВАНИЯ
СМЕСИ АСФАЛЬТОБЕТОННЫЕ ДОРОЖНЫЕ И АСФАЛЬТОБЕТОН
МЕТОД ОПРЕДЕЛЕНИЯ ПРЕДЕЛА ПРОЧНОСТИ НА РАСТЯЖЕНИЕ
ПРИ ИЗГИБЕ И ПРЕДЕЛЬНОЙ ОТНОСИТЕЛЬНОЙ ДЕФОРМАЦИИ РАСТЯЖЕНИЯ
Automobile roads of general use.
Asphalt mixtures and asphalt concrete for road pavement.
Method for determination of tensile strength
and limit of relative tensile strain
ГОСТ Р 58406.6-2020
Дата введения
1 июня 2020 года
1 РАЗРАБОТАН Автономной некоммерческой организацией "Научно-исследовательский институт транспортно-строительного комплекса" (АНО "НИИ ТСК") и Обществом с ограниченной ответственностью "Инновационный технический центр" (ООО "ИТЦ")
2 ВНЕСЕН Техническим комитетом по стандартизации ТК 418 "Дорожное хозяйство"
3 УТВЕРЖДЕН И ВВЕДЕН В ДЕЙСТВИЕ
Приказом Федерального агентства по техническому регулированию и метрологии от 15 мая 2020 г. N 196-ст
4 ВВЕДЕН ВПЕРВЫЕ
Правила применения настоящего стандарта установлены в статье 26 Федерального закона от 29 июня 2015 г. N 162-ФЗ "О стандартизации в Российской Федерации". Информация об изменениях к настоящему стандарту публикуется в ежегодном (по состоянию на 1 января текущего года) информационном указателе "Национальные стандарты", а официальный текст изменений и поправок - в ежемесячном информационном указателе "Национальные стандарты". В случае пересмотра (замены) или отмены настоящего стандарта соответствующее уведомление будет опубликовано в ближайшем выпуске ежемесячного информационного указателя "Национальные стандарты". Соответствующая информация, уведомление и тексты размещаются также в информационной системе общего пользования - на официальном сайте Федерального агентства по техническому регулированию и метрологии в сети Интернет (www.gost.ru)
Настоящий стандарт распространяется на асфальтобетонные смеси и асфальтобетон и устанавливает метод определения предела прочности на растяжение при изгибе и предельной относительной деформации растяжения.
В настоящем стандарте использованы нормативные ссылки на следующие стандарты:
ГОСТ 12.1.019 Система стандартов безопасности труда. Электробезопасность. Общие требования и номенклатура видов защиты
ГОСТ 166 (ИСО 3599) Штангенциркули. Технические условия
ГОСТ Р 58406.2 Дороги автомобильные общего пользования. Смеси горячие асфальтобетонные и асфальтобетон. Технические условия
ГОСТ Р 58406.4-2020 Дороги автомобильные общего пользования. Смеси асфальтобетонные дорожные и асфальтобетон. Приготовление образцов-плит вальцовым уплотнителем
ГОСТ Р 58407.5 Дороги автомобильные общего пользования. Асфальтобетон дорожный. Методы отбора проб из уплотненных слоев дорожной одежды
Примечание - При пользовании настоящим стандартом целесообразно проверить действие ссылочных стандартов в информационной системе общего пользования - на официальном сайте Федерального агентства по техническому регулированию и метрологии в сети Интернет или по ежегодному информационному указателю "Национальные стандарты", который опубликован по состоянию на 1 января текущего года, и по выпускам ежемесячного информационного указателя "Национальные стандарты" за текущий год. Если заменен ссылочный стандарт, на который дана недатированная ссылка, то рекомендуется использовать действующую версию этого стандарта с учетом всех внесенных в данную версию изменений. Если заменен ссылочный стандарт, на который дана датированная ссылка, то рекомендуется использовать версию этого стандарта с указанным выше годом утверждения (принятия). Если после утверждения национального стандарта в ссылочный стандарт, на который дана датированная ссылка, внесено изменение, затрагивающее положение, на которое дана ссылка, то это положение рекомендуется применять без учета данного изменения. Если ссылочный стандарт отменен без замены, то положение, в котором дана ссылка на него, рекомендуется применять в части, не затрагивающей эту ссылку.
4 Требования к средствам измерений и вспомогательным устройствам
При проведении испытаний применяют следующие средства измерений и вспомогательные устройства:
- испытательный пресс с наибольшим пределом измерений не менее 50 кН с пределами допускаемой относительной погрешности 1% со скоростью нагружения (10 +/- 1) мм/мин и возможностью измерения прогиба с пределом измерения не более 10 мм с ценой деления 0,01 мм и пределами допускаемой абсолютной погрешности не более 0,05 мм;
- установка для распила асфальтобетона;
- климатическая камера или аналогичное устройство, способные создавать и поддерживать температуру минус (18 +/- 2) °C;
- опорное устройство, состоящее из основания, двух опор, установленных на расстоянии (20,0 +/- 0,5) см друг от друга. Расстояние между нижней гранью образца до испытания и основанием опорного устройства должно составлять не менее 10 мм. Схема опорного устройства представлена на рисунке 1.
h - высота испытуемого образца, см; L - расстояние
между опорами, см; D - диаметр металлического стержня, мм;
P - разрушающая нагрузка, Н
Рисунок 1 - Схема опорного устройства
- металлический стержень диаметром (15,0 +/- 2,0) мм. Длина стержня должна быть не менее ширины испытуемого образца.
Примечание - Металлический стержень может быть жестко закреплен на плите пресса;
- весы, обеспечивающие измерение массы пробы с относительной погрешностью 0,1% от определяемой величины.
Сущность метода заключается в определении предела прочности на растяжение при изгибе и максимальной величины прогиба испытуемого образца в момент разрушения после выдерживания при температуре минус (18 +/- 2) °C.
6 Требования безопасности и охраны окружающей среды
При работе с асфальтобетонами используют специальную защитную одежду и перчатки.
При проведении испытаний соблюдают правила по электробезопасности по
ГОСТ 12.1.019 и инструкции по эксплуатации оборудования.
Испытанный асфальтобетон утилизируют в соответствии с рекомендациями предприятия-изготовителя, указанными в стандарте организации на материал.
7 Требования к условиям испытания
При проведении испытания соблюдают следующие условия для тех помещений, в которых проходят испытания образцов:
- температура (22 +/- 3) °C;
- относительная влажность не более 80%.
8 Подготовка к выполнению испытания
8.1 При подготовке к проведению испытания проводят следующие работы:
- изготовление образцов-плит;
- отбор образцов из слоя асфальтобетона;
- подготовка испытуемых образцов.
8.2 Изготовление образцов-плит в лаборатории
8.3 Отбор образцов из слоя асфальтобетона
Отбор проб проводят в соответствии с
ГОСТ Р 58407.5. Отбор образцов из покрытия необходимо осуществлять таким образом, чтобы не допустить деформации образцов. Допускается извлекать образцы размерами больше, чем указано в 8.4, с их последующим опиливанием в лаборатории.
8.4 Подготовка испытуемых образцов
8.4.1 Подготовка испытуемых образцов, выпиленных из образца-плиты
При подготовке испытуемых образцов необходимо осуществить следующие операции:
- из образца-плиты, выдержанной на воздухе при температуре (22 +/- 3) °C в течение не менее 24 ч с момента уплотнения, выпиливают на установке для распила асфальтобетона три испытуемых образца (балочки) длиной не менее 220 мм. Сечение балочек должно быть квадратным, размеры граней образца по ширине и высоте не должны отличаться более чем на 2 мм. Допускается выпиливание образцов из плитки в любом направлении относительно хода движения секторного вальца при уплотнении.
Испытуемые образцы выпиливают от края образца-плиты на расстоянии не менее 20 мм;
- в случае попадания на испытуемые образцы воды допускается их высушивание до постоянной массы при температуре не выше 50 °C;
- измеряют ширину и высоту образца с точностью до 1 мм;
- испытуемый образец помещают в климатическую камеру, в которой поддерживается температура минус (18 +/- 2) °C не менее чем на 7 ч.
8.4.2 Подготовка испытуемых образцов, выпиленных из конструктивного слоя
При подготовке испытуемых образцов необходимо осуществить следующие операции:
- из образца готовят испытуемые образцы (балочки) на установке для распила асфальтобетона длиной не менее 220 мм. Сечение балочек должно быть квадратным, размеры граней образца по ширине и высоте не должны отличаться более чем на 2 мм. Рекомендуемая высота образцов в зависимости от крупности заполнителя смеси должна выбираться в соответствии с
таблицей 1 ГОСТ Р 58406.4-2020. Должно быть изготовлено не менее трех испытуемых образцов;
- выполняют действия в соответствии с
8.4.1.
9 Порядок проведения испытания
При определении предела прочности на растяжение при изгибе и предельной относительной деформации растяжения осуществляют следующие операции:
- на нижнюю плиту пресса закрепляют опорное устройство, которое должно быть закреплено таким образом, чтобы не возникало его перемещения по плите пресса в процессе проведения испытаний. Расстояние между опорами должно составлять (20,0 +/- 0,5) см;
- вынимают испытуемый образец, подготовленный согласно
8.4, и устанавливают его на опорное устройство вверх гранью, которая была верхней при уплотнении. Поверхность образца должна плотно прилегать к опорам по всей ширине;
- если металлический стержень не жестко закреплен к плите пресса, его помещают на середину образца;
- опускают верхнюю плиту или поднимают нижнюю таким образом, чтобы расстояние между плитой и стержнем было не более 5 мм;
- нагружают испытуемый образец со скоростью 10 мм/мин;
- фиксируют максимальное значение нагрузки во время разрушения испытуемого образца, которое принимается за разрушающую нагрузку P, Н, и максимальное значение прогиба в момент разрушения lпр, см.
Затрачиваемое время на выполнение всех операций с момента извлечения испытуемого образца из климатической камеры не должно превышать 1 мин.
Примечание - Рекомендуется перед проведением термостатирования испытуемых образцов заранее отметить места установки образца на опорное устройство и при необходимости место установки металлического стержня.
10 Обработка результатов испытания
10.1 Предел прочности на растяжение при изгибе Rизг, МПа, вычисляют по формуле

, (1)
где P - разрушающая нагрузка, Н;
L - расстояние между опорами, см;
b - ширина образца, см;
h - высота образца, см;
10-2 - коэффициент пересчета, МПа.
Результат испытаний вычисляют с точностью до второго знака после запятой. За результат определения предела прочности и деформации принимают среднеарифметическое значение результатов не менее трех испытуемых образцов. Если расхождение между результатами параллельных определений превышает 20%, то испытание необходимо повторить.
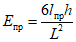
10.2 Предельную относительную деформацию растяжения Eпр, вычисляют по формуле

, (2)
где lпр - максимальное значение прогиба испытуемого образца в момент разрушения, см.
h - высота образца, см;
L - расстояние между опорами, см.
Результат испытаний вычисляют с точностью до четвертого знака после запятой. За результат определения предельной относительной деформации растяжения принимают среднеарифметическое значение результатов не менее трех испытуемых образцов.
11 Оформление результата испытания
Результат оформляют должным образом с указанием следующей информации:
- идентификацию асфальтобетона;
- дату проведения испытаний;
- название организации, проводившей испытания;
- ссылку на настоящий стандарт и отклонения от его требований;
- значение предела прочности на растяжение при изгибе;
- значение предельной относительной деформации растяжения при изгибе.
12 Обеспечение точности результата испытания
Точность результата испытания обеспечивается:
- соблюдением требований настоящего стандарта;
- проведением периодической оценки метрологических характеристик средств измерений;
- проведением периодической аттестации оборудования.
Специалисты, проводящие испытания, должны быть ознакомлены с требованиями настоящего стандарта.
УДК 625.7/.8:006.3/.8:006.354 | |
Ключевые слова: асфальтобетон, прочность на растяжение при изгибе, предельная относительная деформация растяжения при изгибе, испытуемый образец, отрицательная температура |