Главная // Актуальные документы // ГОСТ Р (Государственный стандарт)СПРАВКА
Источник публикации
М.: Стандартинформ, 2019
Примечание к документу
Документ
введен в действие с 7 июня 2019 года.
Название документа
"ГОСТ Р 58401.11-2019. Национальный стандарт Российской Федерации. Дороги автомобильные общего пользования. Смеси асфальтобетонные дорожные и асфальтобетон. Метод определения усталостной прочности при многократном изгибе"
(утв. и введен в действие Приказом Росстандарта от 06.06.2019 N 286-ст)
"ГОСТ Р 58401.11-2019. Национальный стандарт Российской Федерации. Дороги автомобильные общего пользования. Смеси асфальтобетонные дорожные и асфальтобетон. Метод определения усталостной прочности при многократном изгибе"
(утв. и введен в действие Приказом Росстандарта от 06.06.2019 N 286-ст)
Утвержден и введен в действие
агентства по техническому
регулированию и метрологии
от 6 июня 2019 г. N 286-ст
НАЦИОНАЛЬНЫЙ СТАНДАРТ РОССИЙСКОЙ ФЕДЕРАЦИИ
ДОРОГИ АВТОМОБИЛЬНЫЕ ОБЩЕГО ПОЛЬЗОВАНИЯ
СМЕСИ АСФАЛЬТОБЕТОННЫЕ ДОРОЖНЫЕ И АСФАЛЬТОБЕТОН
МЕТОД ОПРЕДЕЛЕНИЯ УСТАЛОСТНОЙ ПРОЧНОСТИ
ПРИ МНОГОКРАТНОМ ИЗГИБЕ
Automobile roads of general use.
Asphalt mixtures and asphalt concrete for road pavement.
Method for determining the fatigue strength under
repeated bending
ГОСТ Р 58401.11-2019
Дата введения
7 июня 2019 года
1 РАЗРАБОТАН Обществом с ограниченной ответственностью "Центр метрологии испытаний и стандартизации" (ООО "ЦМИиС") совместно с Автономной некоммерческой организацией "Научно-исследовательский институт транспортно-строительного комплекса" (АНО "НИИ ТСК")
2 ВНЕСЕН Техническим комитетом по стандартизации ТК 418 "Дорожное хозяйство"
3 УТВЕРЖДЕН И ВВЕДЕН В ДЕЙСТВИЕ
Приказом Федерального агентства по техническому регулированию и метрологии от 6 июня 2019 г. N 286-ст
4 ВВЕДЕН ВПЕРВЫЕ
Правила применения настоящего стандарта установлены в статье 26 Федерального закона от 29 июня 2015 г. N 162-ФЗ "О стандартизации в Российской Федерации". Информация об изменениях к настоящему стандарту публикуется в ежегодном (по состоянию на 1 января текущего года) информационном указателе "Национальные стандарты", а официальный текст изменений и поправок - в ежемесячном информационном указателе "Национальные стандарты". В случае пересмотра (замены) или отмены настоящего стандарта соответствующее уведомление будет опубликовано в ближайшем выпуске ежемесячного информационного указателя "Национальные стандарты". Соответствующая информация, уведомление и тексты размещаются также в информационной системе общего пользования - на официальном сайте Федерального агентства по техническому регулированию и метрологии в сети Интернет (www.gost.ru)
Настоящий стандарт распространяется на асфальтобетонные дорожные смеси и асфальтобетон и устанавливает метод определения усталостной прочности асфальтобетонных образцов прямоугольного сечения при многократном изгибе.
В настоящем стандарте использованы нормативные ссылки на следующие стандарты:
ГОСТ 12.1.019 Система стандартов безопасности труда. Электробезопасность. Общие требования и номенклатура видов защиты
ГОСТ 12.4.252 Система стандартов безопасности труда. Средства индивидуальной защиты рук. Перчатки. Общие технические требования. Методы испытаний
ГОСТ 166 (ИСО 3599-76) Штангенциркули. Технические условия
ГОСТ Р 58401.16 Дороги автомобильные общего пользования. Смеси асфальтобетонные дорожные и асфальтобетон. Методы определения максимальной плотности
Примечание - При пользовании настоящим стандартом целесообразно проверить действие ссылочных стандартов в информационной системе общего пользования - на официальном сайте Федерального агентства по техническому регулированию и метрологии в сети Интернет или по ежегодному информационному указателю "Национальные стандарты", который опубликован по состоянию на 1 января текущего года, и по выпускам ежемесячного информационного указателя "Национальные стандарты" за текущий год. Если заменен ссылочный стандарт, на который дана недатированная ссылка, то рекомендуется использовать действующую версию этого стандарта с учетом всех внесенных в данную версию изменений. Если заменен ссылочный стандарт, на который дана датированная ссылка, то рекомендуется использовать версию этого стандарта с указанным выше годом утверждения (принятия). Если после утверждения национального стандарта в ссылочный стандарт, на который дана датированная ссылка, внесено изменение, затрагивающее положение, на которое дана ссылка, то это положение рекомендуется применять без учета данного изменения. Если ссылочный стандарт отменен без замены, то положение, в котором дана ссылка на него, рекомендуется применять в части, не затрагивающей эту ссылку.
В настоящем стандарте применены следующие термины с соответствующими определениями:
3.1 образец-плита: Уплотненная асфальтобетонная смесь в специальной установке путем уплотнения секторным вальцом или отобранная из асфальтобетонного покрытия.
3.2 испытуемый образец: Балка прямоугольного сечения, выпиленная из образца-плиты.
3.3 момент разрушения: Цикл нагрузки, при котором жесткость испытуемого образца снижается на 50% по отношению к начальной жесткости.
3.4 начальная жесткость: Жесткость асфальтобетона, определенная в начале испытания (после 50 циклов приложения нагрузки).
3.5 жесткость: Способность материала сопротивляться деформации при внешнем воздействии.
3.6 усталостная прочность: Свойство материала не разрушаться стечением времени под действием изменяющихся нагрузок.
4 Требования к средствам измерений, вспомогательным устройствам, материалам, реактивам
При выполнении испытаний применяют следующие средства измерений, вспомогательные устройства, материалы и реактивы.
4.1 Установка для приготовления асфальтобетонных образцов-плит, состоящая из металлического корпуса, гладкого секторного вальца и металлической формы для асфальтобетонной смеси, размещенной на столике. Валец должен двигаться возвратно-поступательно по асфальтобетонной смеси внутри формы и создавать статическую нагрузку, необходимую для уплотнения смеси в форме. Допускается возвратно-поступательное движение столика с формой под вращающимся вальцом. Также испытательная установка может быть оборудована системой нагрева и контроля температуры вальца и формы. Установка должна создавать статическую нагрузку, достаточную для уплотнения образца-плиты с требуемым количеством пустот.
Внутренние размеры формы для асфальтобетонной смеси должны быть достаточными для получения испытуемого образца требуемого размера.
4.2 Установка для распила образцов плит.
4.3 Установка испытательная на изгиб. Испытательная установка на изгиб должна включать в себя нагрузочное устройство, систему управления и сбора данных. Испытательная установка на изгиб должна соответствовать требованиям, указанным в таблице 1.
Таблица 1
Минимальные требования к испытательной установке на изгиб
Параметр | Диапазон | Цена деления | Предельное отклонение |
Нагрузка, Н | 0 - 5000 | 2 | +/- 5 |
Перемещение, мм | 0 - 5 | 0,002 | +/- 0,005 |
Частота, Гц | 5 - 10 | 0,005 | +/- 0,01 |
Температура, °C | От минус 10 до плюс 25 | 0,25 | +/- 0,5 |
4.3.1 Устройство нагрузочное. Нагрузочное устройство замкнутого цикла с компьютерным управлением в ходе каждого цикла приложения нагрузки должно иметь возможность регулировать прилагаемую нагрузку таким образом, чтобы уровень деформации образца оставался постоянным.
Нагрузочное устройство должно иметь возможность прикладывать на испытуемый образец многократную синусоидальную нагрузку в диапазоне частот от 5 до 10 Гц, подвергать образец четырехточечному изгибу при свободном вращении и горизонтальном поступательном движении во всех точках приложения нагрузки и приложения реакции, а также возвращать образец в исходное положение (т.е. с нулевым отклонением) в конце каждого цикла приложения нагрузки. Схема нагружения приведена на
рисунке 1.
1 - образец; 2 - зажим образца
Рисунок 1 - Схема приложения нагрузки
Для нагрузочного устройства требуются винт, гайка (рекомендуемый размер М8 x 1) и блок установки с линейно регулируемым дифференциальным датчиком.
4.3.2 Система управления и сбора данных. Система управления и сбора данных должна быть способна при каждом цикле приложения нагрузки:
- измерять деформацию образца;
- регулировать нагрузку, прикладываемую на образец нагрузочным устройством, так чтобы при каждом цикле приложения нагрузки уровень деформации образца оставался постоянным;
- фиксировать число циклов приложения нагрузки и величину прилагаемых нагрузок;
- рассчитывать и фиксировать максимальное растягивающее усилие, максимальную деформацию растяжения, сдвиг фаз, жесткость, рассеянную энергию и суммарную рассеянную энергию при периодичности циклов приложения нагрузки, заданной пользователем оборудования.
4.4 Камера климатическая. Климатическая камера должна быть достаточного размера для размещения в ней образца и должна позволять поддерживать температуру образца (20,0 +/- 0,5) °C в течение всего времени испытания.
4.5 Клей эпоксидный.
Сущность метода заключается в определении усталостной прочности асфальтобетонного образца после приложения многократной синусоидальной нагрузки с постоянной деформацией.
6 Требования безопасности, охраны окружающей среды
При выполнении измерений соблюдают правила по электробезопасности по
ГОСТ 12.1.019 и инструкции по эксплуатации оборудования.
7 Требования к условиям испытаний
При выполнении испытаний соблюдают следующие условия для помещений, в которых испытывают образцы:
- температура (22 +/- 3) °C;
- относительная влажность не более 80%.
8 Подготовка к выполнению испытаний
8.1 При подготовке к выполнению испытаний проводят следующие работы:
- приготовление образцов-плит;
- приготовление испытуемых образцов;
- подготовка к испытаниям.
8.2 Приготовление образцов-плит
8.2.1 Приготовление образцов-плит из асфальтобетонной смеси
Для проведения испытаний необходимо использовать не менее трех испытуемых образцов.
Из асфальтобетонной смеси приготавливают образец-плиту требуемой толщины или с необходимым содержанием воздушных пустот.
Для получения образцов-плит требуемой толщины и с требуемым содержанием воздушных пустот вычисляют массу навески асфальтобетонной смеси m, г, по формуле

(1)
где L - внутренняя длина формы, см;
B - внутренняя ширина формы, см;
h - требуемая толщина образца, см;
Gmm - максимальная плотность асфальтобетонной смеси, определенная в соответствии с
ГОСТ Р 58401.16, г/см
3;
v - требуемое содержание воздушных пустот, %.
В разогретую форму помещают горячую асфальтобетонную смесь массой
m, рассчитанной по
формуле (1), равномерно распределяют в форме и проводят уплотнение.
После окончания уплотнения образец-плиту извлекают из формы таким образом, чтобы избежать его повреждения или деформации.
Затем образец-плиту кладут на ровную поверхность и дают остыть до температуры (22 +/- 3) °C.
При необходимости допустимо остужать образец-плиту в форме до ее остывания при температуре (22 +/- 3) °C.
8.2.2 Приготовление образцов-плит, полученных из дорожного покрытия
Из покрытия отбирают образцы-плиты длиной не менее 390 мм, высотой не менее 60 мм и шириной не менее 70 мм.
8.3 Приготовление испытуемых образцов
Из образца-плиты с помощью распиловочной установки отпиливают не менее 6 мм от каждой грани образца так, чтобы грани были параллельными, а конечные размеры испытуемого образца составляли:
- (380 +/- 6) мм - длина;
- (50 +/- 6) мм - высота;
- (63 +/- 6) мм - ширина.
В случае попадания на испытуемый образец воды, его высушивают при температуре (22 +/- 3) °C до постоянной массы.
8.4 Подготовка к испытаниям
8.4.1 Штангенциркулем измеряют высоту и ширину испытуемого образца с точностью до 0,1 мм в трех точках, равноудаленных друг от друга по длине испытуемого образца. Определяют среднее значение трех измерений каждого габарита и фиксируют это значение с точностью до 0,1 мм.
8.4.2 Перед испытанием закрепляют гайку на центральную ось испытуемого образца. Для этого определяют центральную точку боковой стороны образца. Наносят эпоксидный клей вокруг этой центральной точки и прикрепляют гайку на клеевой слой, так чтобы центр гайки приходился на центральную точку боковой стороны испытуемого образца (см.
рисунок 2). После этого необходимо дождаться схватывания эпоксидного клея.
Примечание - Время схватывания зависит от марки применяемого эпоксидного клея и указывается его производителем.
1 - Гайка М8
Рисунок 2 - Расположение гайки
Примечание - Допускается применение отличающихся по конструктивным особенностям решений для закрепления на образце-балочке датчика линейного перемещения, обеспечивающего измерение в деформации образца с заданной точностью.
9 Порядок выполнения испытаний
9.1 В климатической камере предварительно термостатируют испытуемый образец в течение не менее 2 ч при температуре (20,0 +/- 0,5) °C.
Примечание - По согласованию с заказчиком дополнительно допускается проведение испытаний при других температурах.
9.2 По окончании периода термостатирования открывают зажимы испытательной установки и устанавливают испытуемый образец таким образом, чтобы расстояние между центрами зажимов составляло (119 +/- 1) мм (см.
рисунок 3). Допускается применение специального шаблона при установке расстояний между центрами зажимов.
Рисунок 3 - Процедура размещения образца в зажимах
Когда испытуемый образец и зажимы будут приведены в требуемое положение, сначала закрывают внешние зажимы, а потом закрывают внутренние зажимы.
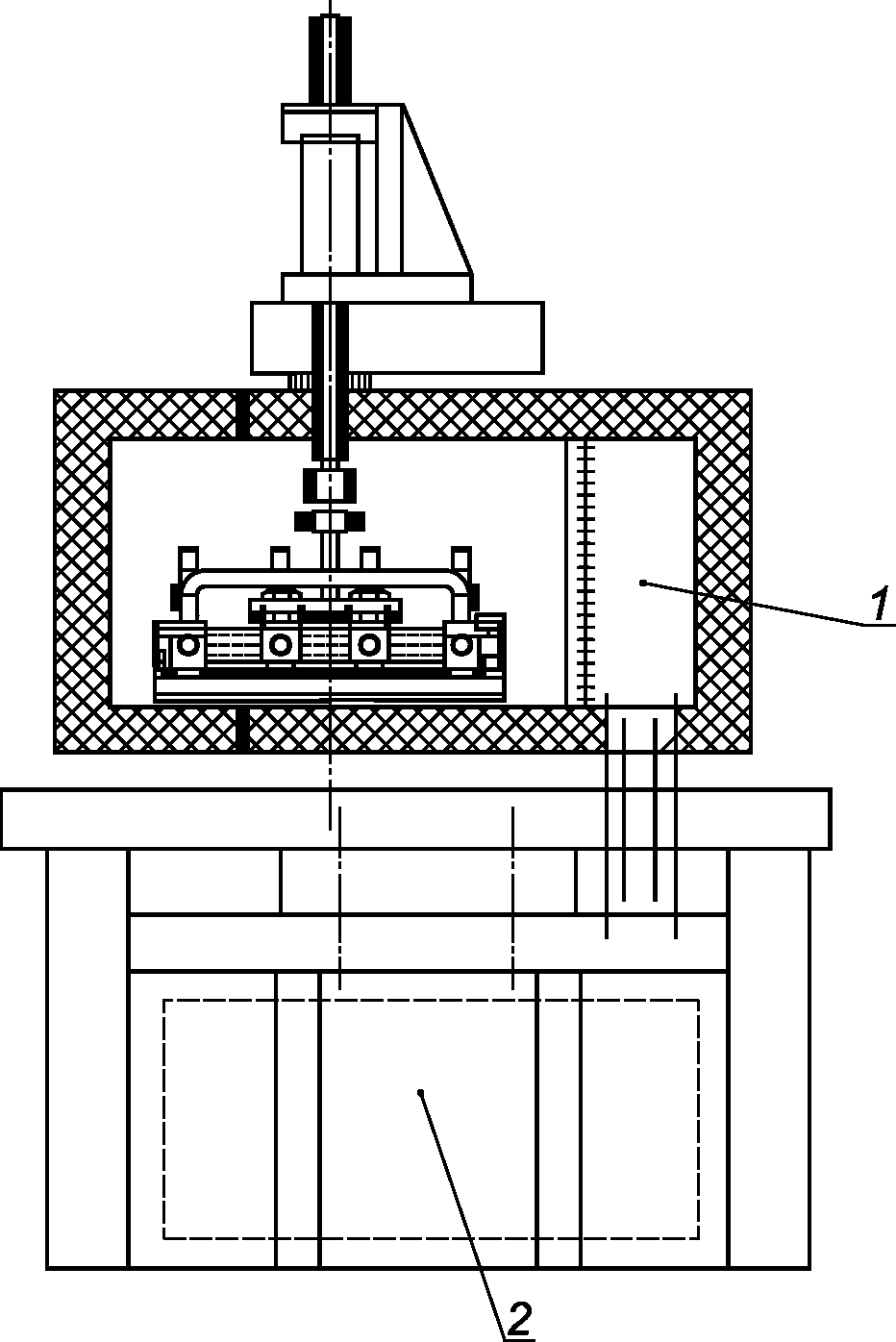
Схема устройства испытательного оборудования для проведения испытаний на усталость при изгибе (вид сбоку) представлена на
рисунке 4.
1 - воздушный короб; 2 - климатическая система
Рисунок 4 - Схема устройства испытательного оборудования
для проведения испытаний на усталость при изгибе, вид сбоку
9.3 После того как испытуемый образец размещен в зажимах, к нему прикрепляют блок установки с линейно регулируемым дифференциальным датчиком, ввинтив винт в гайку, приклеенную к образцу. Далее фиксируют дифференциальный датчик в требуемом положении так, чтобы щуп датчика находился наверху блока установки, а показание дифференциального датчика было приближено к нулю.
9.4 Выбирают необходимый исходный уровень деформации от 250 до 750 мкм/м и частоту приложения нагрузки от 5 до 10 Гц, а также периодичность циклов приложения нагрузки (см. таблицу 2), при которой записывают и обрабатывают результаты испытаний. Выбранные данные вводят в программу управления.
Таблица 2
Периодичность циклов приложения нагрузки
для фиксации результатов измерений
Количество циклов | Интервалы замеров | Циклы, включаемые в расчет среднего значения |
До 100 включ. | От 1 до 10 | 5 |
От 101 до 1000 включ. | 10 | 5 |
От 1001 до 10 000 включ. | 40 равномерно распределенных замеров | 5 |
От 10 001 до 100 000 включ. | Не менее 1 раза за 1000 | 5 |
Св. 100 000 | Не менее 1 раза за 10 000 | 5 |
9.5 Для определения начальной жесткости на испытуемый образец прикладывают 50 циклов приложения нагрузки при постоянном уровне деформации испытуемого образца в диапазоне от 250 до 750 мкм/м. Определяют жесткость испытуемого образца на 50 цикле приложения нагрузки. Это значение рассматривают как начальную жесткость испытуемого образца и используют как начальное значение при определении момента разрушения испытуемого образца.
9.6 После определения начальной жесткости испытуемого образца выбирают уровень деформации, которому будет подвергаться испытуемый образец в течение не менее 10 000 циклов до тех пор, пока его жесткость не снизится на 50% и более от начальной жесткости. Снижение жесткости на 50% и более считают моментом разрушения образца. До момента разрушения на образец прикладывают не менее 10 000 циклов приложения нагрузки, в противном случае падение жесткости образца считают слишком быстрым.
Примечание - В случае если снижение начальной жесткости образца на 50% и более произошло в течение первых 10 000 циклов, то образец необходимо отбраковать и откорректировать уровень деформации в установке для дальнейшего проведения испытаний.
9.7 После выбора соответствующих параметров тестирования начинают испытания. Включают испытательную установку, устанавливают необходимую периодичность записи результатов испытаний и начинают испытание. Испытания завершают, как только жесткость образца снизится на 50%.
10 Обработка результатов испытаний
10.1 Максимальное растягивающее давление

, Па, вычисляют по формуле

(2)
где L - длина балки между внешними зажимами, 0,357 м;
P - нагрузка при испытании, Н;
b - средняя ширина образца, м;
h - средняя высота образца, м.
10.2 Максимальную деформацию при растяжении

, м/м, вычисляют по формуле

(3)
где

- максимальное отклонение в центре балки, м;
a - расстояние между внутренними зажимами, равное 0,119 м.
10.3 Жесткость на изгиб S, Па, вычисляют по формуле

(4)
10.4 Фазовый угол

, град, вычисляют по формуле

(5)
где f - частота приложения нагрузки, Гц;
s - время одного цикла до достижения
Pмакс и

, с.
10.5 Определение начальной жесткости A, Па
Начальную жесткость определяют путем построения графика жесткости S в зависимости от количества циклов приложения нагрузки n и аппроксимацией данных на кривой такой формы, которая указана в формуле
S = Aebn, (6)
где A - постоянная (начальная жесткость), Па;
e - натуральный логарифм;
b - постоянная;
n - количество циклов приложения нагрузки.
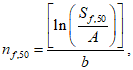
10.6 Определение числа циклов до разрушения nf,50
Разрушение определяют как точку, в которой жесткость образца снижается на 50% относительно начальной жесткости. Цикл приложения нагрузки n, за который происходит разрушение, вычисляют по формуле

(7)
где Sf,50 - жесткость, равная 50% от начальной жесткости, Па;

при жесткости, равной 50%.
10.7 Суммарную рассеянную энергию до разрушения

, Дж/м
3, вычисляют по формуле

(8)
где Di - рассеянная энергия на i цикле нагружения.
11 Оформление результатов испытаний
Результаты оформляют соответствующим образом с указанием следующей информации:
- обозначение настоящего стандарта;
- дата проведения испытания;
- наименование организации, проводившей испытание;
- тип вяжущего, содержание вяжущего, гранулометрический состав минеральных заполнителей и процентное содержание воздушных пустот;
- тип образцов (лабораторный образец или образец, выбуренный из дорожного полотна);
- длина образца, средняя высота образца и средняя ширина образца в метрах до четвертого знака после запятой;
- температура испытания с точностью до 0,2 °C;
- результаты испытаний согласно таблице 3 для каждой периодичности циклов приложения нагрузки, установленной оператором, до трех значащих цифр;
Таблица 3
Оформление результатов испытаний
Цикл нагружения | Приложенная нагрузка, Н | Отклонение балки, м | Растягивающее усилие, Па | Деформация при растяжении, м/м | Жесткость на изгиб, Па | Фазовый угол, град | Рассеянная энергия, Дж/м3 | Суммарная рассеянная энергия, Дж/м3 |
| | | | | | | | |
| | | | | | | | |
| | | | | | | | |
- начальная жесткость на изгиб, Па;
- число циклов до разрушения;
- график зависимости изгибной жесткости от циклов нагружения, как показано на
рисунке 5;
Рисунок 5 - Типовой график зависимости изгибной жесткости
от циклов нагружения
- график зависимости рассеянной энергии от циклов нагружения;
- график зависимости
Sn от нагрузки, как показано на
рисунке 6.
Рисунок 6 - Типовой график зависимости
Sn
от циклов нагружения
12 Контроль точности результатов испытаний
Точность результатов испытаний обеспечивается:
- соблюдением требований настоящего стандарта;
- проведением периодической оценки метрологических характеристик средств измерений;
- проведением периодической аттестации оборудования.
Лицо, проводящее измерения, должно быть ознакомлено с требованиями настоящего стандарта.