Главная // Актуальные документы // ГОСТ Р (Государственный стандарт)СПРАВКА
Источник публикации
М.: Стандартинформ, 2018
Примечание к документу
Текст данного документа приведен с учетом
поправки, опубликованной в "ИУС", N 9, 2018.
Документ
введен в действие с 1 января 2014 года.
Название документа
"ГОСТ Р 55076-2012. Национальный стандарт Российской Федерации. Трубы и детали трубопроводов из реактопластов, армированных стекловолокном. Методы определения наработки до отказа под действием постоянного внутреннего давления"
(утв. и введен в действие Приказом Росстандарта от 14.11.2012 N 774-ст)
(ред. от 29.09.2017)
"ГОСТ Р 55076-2012. Национальный стандарт Российской Федерации. Трубы и детали трубопроводов из реактопластов, армированных стекловолокном. Методы определения наработки до отказа под действием постоянного внутреннего давления"
(утв. и введен в действие Приказом Росстандарта от 14.11.2012 N 774-ст)
(ред. от 29.09.2017)
Утвержден и введен в действие
агентства по техническому
регулированию и метрологии
от 14 ноября 2012 г. N 774-ст
НАЦИОНАЛЬНЫЙ СТАНДАРТ РОССИЙСКОЙ ФЕДЕРАЦИИ
ТРУБЫ И ДЕТАЛИ ТРУБОПРОВОДОВ ИЗ РЕАКТОПЛАСТОВ,
АРМИРОВАННЫХ СТЕКЛОВОЛОКНОМ
МЕТОДЫ ОПРЕДЕЛЕНИЯ НАРАБОТКИ ДО ОТКАЗА
ПОД ДЕЙСТВИЕМ ПОСТОЯННОГО ВНУТРЕННЕГО ДАВЛЕНИЯ
Fiberglass reinforced thermosetting plastic pipes
and part of pipelines. Methods for determination
of time to failure under sustained internal pressure
(ISO 7509:2015, NEQ)
ГОСТ Р 55076-2012
| | Список изменяющих документов (в ред. Изменения N 1, утв. Приказом Росстандарта от 29.09.2017 N 1279-ст) | |
Дата введения
1 января 2014 года
1 РАЗРАБОТАН Автономной некоммерческой организацией "Центр нормирования, стандартизации и классификации композитов" совместно с Акционерным обществом "НПО Стеклопластик" при участии Объединения юридических лиц "Союз производителей композитов"
2 ВНЕСЕН Техническим комитетом по стандартизации ТК 497 "Композиты, конструкции и изделия из них
3 УТВЕРЖДЕН И ВВЕДЕН В ДЕЙСТВИЕ
Приказом Федерального агентства по техническому регулированию и метрологии от 14 ноября 2012 г. N 774-ст
4 Настоящий стандарт разработан с учетом основных нормативных положений международного стандарта ИСО 7509:2015 "Системы пластмассовых трубопроводов. Трубы из термореактивных стеклопластиков (GRP). Определение времени до разрушения под воздействием постоянного внутреннего давления" (ISO 7509:2015 "Plastics piping systems - Glass-reinforced thermosetting plastics (GRP) pipes - Determination of time to failure under sustained internal pressure", NEQ)
5 ВВЕДЕН ВПЕРВЫЕ
6 ИЗДАНИЕ (апрель 2018 г.) с Изменением N 1 (ИУС 1-2018)
Изменение N 1 утверждено и введено в действие
Приказом Федерального агентства по техническому регулированию и метрологии от 29 сентября 2017 г. N 1279-ст
Правила применения настоящего стандарта установлены в
статье 26 Федерального закона от 29 июня 2015 г. N 162-ФЗ "О стандартизации в Российской Федерации". Информация об изменениях к настоящему стандарту публикуется в ежегодном (по состоянию на 1 января текущего года) информационном указателе "Национальные стандарты", а официальный текст изменений и поправок - в ежемесячном информационном указателе "Национальные стандарты". В случае пересмотра (замены) или отмены настоящего стандарта соответствующее уведомление будет опубликовано в ближайшем выпуске ежемесячного информационного указателя "Национальные стандарты". Соответствующая информация, уведомление и тексты размещаются также в информационной системе общего пользования - на официальном сайте Федерального агентства по техническому регулированию и метрологии в сети Интернет (www.gost.ru).
Настоящий стандарт устанавливает метод определения времени до отказа труб и деталей трубопроводов из реактопластов, армированных стекловолокном, при воздействии внутреннего давления.
Установлены два метода испытаний (А и Б).
При испытании по методу А в качестве внешней среды применяют воздух.
При испытании по методу Б в качестве внешней среды применяют жидкость для испытаний.
Раздел 1. (Измененная редакция, Изм. N 1).
В настоящем стандарте использованы нормативные ссылки на следующие стандарты:
ГОСТ Р ИСО 3126 Трубопроводы из пластмасс. Пластмассовые элементы трубопровода. Определение размеров
ГОСТ Р 54559 Трубы и детали трубопроводов из реактопластов, армированных волокном. Термины и определения
Примечание - При пользовании настоящим стандартом целесообразно проверить действие ссылочных стандартов в информационной системе общего пользования - на официальном сайте Федерального агентства по техническому регулированию и метрологии в сети Интернет или по ежегодному информационному указателю "Национальные стандарты", который опубликован по состоянию на 1 января текущего года, и по выпускам ежемесячного информационного указателя "Национальные стандарты" за текущий год. Если заменен ссылочный стандарт, на который дана недатированная ссылка, то рекомендуется использовать действующую версию этого стандарта с учетом всех внесенных в данную версию изменений. Если заменен ссылочный стандарт, на который дана датированная ссылка, то рекомендуется использовать версию этого стандарта с указанным выше годом утверждения (принятия). Если после утверждения настоящего стандарта в ссылочный стандарт, на который дана датированная ссылка, внесено изменение, затрагивающее положение, на которое дана ссылка, то это положение рекомендуется применять без учета данного изменения. Если ссылочный стандарт отменен без замены, то положение, в котором дана ссылка на него, рекомендуется применять в части, не затрагивающей эту ссылку.
Раздел 2. (Измененная редакция, Изм. N 1).
| | ИС МЕГАНОРМ: примечание. В официальном тексте документа, видимо, допущена опечатка: имеется в виду ГОСТ Р 54559-2011, а не ГОСТ Р 54599. | |
В настоящем стандарте применены термины по
ГОСТ Р 54599, а также следующие термины с соответствующими определениями:
3.1 отказ: Разрыв, течь, просачивание на поверхности трубы.
3.2 разрыв: Отказ стенки трубы, сопровождаемый незамедлительной утечкой жидкости для испытаний и потерей давления.
3.3 течь: Визуально обнаруживаемое протекание нагнетаемой жидкости для испытаний через стенку трубы и (или) посредством непрерывной потери давления.
3.4 просачивание: Визуально обнаруживаемая проходимость нагнетаемой жидкости для испытаний через стенку трубы и (или) посредством электронных средств.
3.5 заглушка: Устройство, закрепляемое на концевой части трубы, используемое для торцевого уплотнения трубы с целью предотвращения протечки рабочей среды и потери внутреннего давления.
Примечания
1 В случае если заглушки, установленные на обоих концах образца, жестко фиксируются на стенке трубы, при создании внутреннего давления на стенку трубы действуют радиальная и осевая нагрузки.
2 В случае если заглушки, установленные на обоих концах образца, жестко не фиксируются на стенке трубы (их неподвижность относительно трубы обеспечивается стяжками, стержнями или внешними опорами), при создании внутреннего давления на стенку трубы действует только радиальная нагрузка.
Раздел 3. (Измененная редакция, Изм. N 1).
4.1 В образце создают внутреннее давление, вызывающее напряжение в стенке трубы, которое зависит от условий нагружения, т.е. зависит от наличия или отсутствия осевой нагрузки, передающейся на стенку трубы, и определяют наработку до отказа.
Результаты анализируют методами регрессионного анализа, один из которых приведен в
приложении А.
Примечание - Полученную линейную регрессию применяют при установлении нормативных требований к напорным трубам на основе расчетных давлений на разрыв при различных временах эксплуатации.
4.2 (Исключен, Изм. N 1).
5.1 Средства измерения линейных размеров образца (длина, диаметр, толщина стенки трубы) с точностью измерения +/- 1%.
5.2 Заглушки, размеры которых выбирают в соответствии с размерами труб.
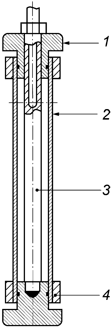
При испытаниях с осевой нагрузкой заглушки устанавливают в соответствии с рисунком 1.
1 - заглушка, жестко закрепляемая на стенке трубы
При испытаниях без осевой нагрузки образец устанавливают в соответствии с рисунком 2 или
рисунком 3.
Рисунок 2
1 - заглушка; 2 - образец; 3 - соединительный стержень,
воспринимающий осевую нагрузку; 4 - эластомерный уплотнитель
(Измененная редакция, Изм. N 1).
5.3 Для минимизации деформации образца, которая может быть вызвана его весом, используют поддерживающую оснастку. Поддерживающая оснастка не должна препятствовать нагружению образца при испытании ни в осевом направлении, ни в направлении вдоль окружности.
5.4 При проведении испытаний по методу Б применяют термостатируемую систему, представляющую собой резервуар с водой (при использовании воды в качестве внешней среды), в котором должна поддерживаться постоянная температура по всему объему.
При проведении испытаний по методу А применяют устройства циркуляции воздуха для обеспечения, при необходимости, постоянной температуры окружающей среды.
5.5 Нагнетательная установка, создающая и поддерживающая гидростатическое давление в образце с точностью +/- 2%.
Примечания
1 Рекомендуется проводить испытание индивидуально для каждого образца. Допускается также использовать оборудование, позволяющее проводить испытания одновременно на нескольких образцах, если это оборудование позволяет проводить испытания независимо от отказа каких-либо образцов.
2 Допускается применять автоматическую систему, поддерживающую давление в заданных границах.
5.6 Средства измерения давления, имеющие точность измерения +/- 1%.
5.4 - 5.6. (Измененная редакция, Изм. N 1).
5.7 При необходимости применяют устройства измерения деформации, обеспечивающие точность измерения +/- 2%.
5.8 При необходимости применяют омметр со связанным контуром, регистрирующий изменение электрического сопротивления на уровне 3 МОм между жидкостью для испытаний с достаточной проводимостью и проводящим слоем.
(Измененная редакция, Изм. N 1).
6.1 Образец изготавливают в виде отрезка трубы, длина которого установлена в нормативном или техническом документе на изделие.
6.2 Длину образцов между заглушками
L (см.
рисунки 1 -
3) устанавливают в нормативном или техническом документе на изделие. При отсутствии указаний длина образцов между заглушками должна соответствовать значениям, указанным в таблице 1.
Таблица 1
Зависимость длины образца между заглушками
от номинального диаметра
Наименование параметра | Номинальный диаметр (DN) | |
 300 | > 300 |
Длина образца, мм | (4 DN) + 300 | DN + 1000 |
Примечание - Допускается использовать образцы меньшей длины при условии, что защемления концов не оказывают какого-либо влияния на результат. |
6.3 Торцевые срезы образцов должны быть ровными и перпендикулярными к оси трубы.
6.4 Количество образцов для испытаний устанавливают в нормативном или в техническом документе на изделие. При отсутствии указаний используют не менее 18 образцов.
6.5 При отсутствии в нормативном или в техническом документе на изделие специальных указаний время от окончания изготовления изделия до испытания должно составлять не менее 16 ч, включая и время кондиционирования образцов.
6.6 Если условия кондиционирования образцов не указаны в нормативном или техническом документе на изделие, образцы перед испытанием должны быть выдержаны при температуре, соответствующей температуре проведения испытаний, в течение 24 ч.
6.7 Температура проведения испытаний и ее предельные отклонения устанавливают в нормативном или техническом документе на изделие.
7.1 Диаметр, толщину стенки и длину образца измеряют в соответствии с
ГОСТ Р ИСО 3126.
При испытаниях по методу А на образце устанавливают заглушки (см.
5.2), подключают к нагнетательной установке (см.
5.5), заполняют его жидкостью для испытаний, избегая попадания воздуха в образец. Отказ регистрируют, если наблюдается разрыв, течь или просачивание. Разрыв или течь определяют при видимой потере жидкости для испытаний через стенку трубы. При необходимости просачивание обнаруживают при падении электрического сопротивления до 3 МОм (см.
5.8) между жидкостью для испытания и проводящим слоем по внешнему диаметру образца.
Примечания
1 Просачивание определяют только при проведении испытаний по методу А.
2 Электрическая проводимость жидкости для испытаний и электрическое сопротивление образца должны быть достаточно высокими.
При испытаниях по методу Б образец с установленными заглушками (см.
5.2), подключенный к нагнетательной установке (см.
5.5) и заполненный жидкостью для испытаний, помещают в резервуар (см.
5.4) таким образом, чтобы он полностью был погружен в жидкость для испытаний. Отказ регистрируют, если наблюдается разрыв или течь. Разрыв или течь определяют при видимой потере жидкости для испытания через стенку трубы.
Метод испытания (метод А или метод Б), схему установки заглушек (см.
рисунки 1 -
3) устанавливают в нормативном или техническом документе на изделие.
Примечание - В случае если регистрируют течь или просачивание вне допустимой зоны отказа, образец допускается восстановить по мере необходимости для продолжения испытания. Данный факт заносят в протокол испытаний.
7.2 Давление поднимают до значения, указанного в нормативном или техническом документе, в течение 5 мин и поддерживают его с точностью +/- 2% до тех пор, пока не произойдет отказ.
Записывают интервал времени, в течение которого образец подвергался давлению, с точностью +/- 2%, в часах, но не более 24 ч.
Примечания
1 По практическим причинам продолжительность испытания допускается увеличить для труб с номинальным диаметром DN > 500.
2 В случае, если испытание было прервано из-за непредвиденных обстоятельств, например из-за отключения электроснабжения, его допускается продолжить, если перерыв составил менее 100 ч. Продолжительность перерыва вычитают из общего времени испытания и указывают в протоколе испытаний.
7.1, 7.2. (Измененная редакция, Изм. N 1).
7.3 Результаты испытания не учитывают, если отказ произошел на расстоянии l, мм, от концевых уплотняющих устройств, вычисляемом по формуле
l 
3,3·(DN·
e)
0,5, (1)
где DN - номинальный диаметр, мм;
e - толщина стенки трубы, мм.
Учтенные результаты испытаний для каждого образца: время до отказа, в течение которого образец подвергался давлению, и соответствующее значение давления - обрабатывают методами регрессионного анализа (см.
приложение А), результаты обработки представляют в текстовой, табличной и графической формах в произвольном виде.
Протокол испытания должен содержать следующую информацию:
- ссылку на настоящий стандарт;
- ссылку на нормативный или технический документ на изделие;
- все необходимые детали для полной идентификации испытуемого изделия;
- линейные размеры каждого образца;
- количество образцов;
- эксплуатационные характеристики нагнетательной установки (см.
5.5);
- измеренную деформацию, при необходимости;
- диапазон температуры при проведении испытаний;
- используемую внешнюю среду (метод А или метод В);
- напряженное состояние (т.е. воздействует или нет осевое давление - см.
5.2);
- длину допустимой зоны отказа;
- способ установки используемых заглушек (см.
рисунки 1 -
3);
| | ИС МЕГАНОРМ: примечание. В официальном тексте документа, видимо, допущена опечатка: имеется в виду пункт 5.3, а не пункт 53. | |
- описание поддерживающей оснастки (см.
53), если используется;
- испытательное давление для каждого образца;
- для каждого образца наработку до отказа или время проведения испытания (см.
7.2);
- для каждого образца рисунок (эскиз или фотографию), отображающий природу и позицию точек отказа;
- вид отказа для каждого образца;
- результаты наблюдений, проведенных во время испытания и после него;
- любые факторы, которые могли повлиять на результаты испытания, такие как случайный отказ оборудования или функциональные детали, которые не описаны в настоящем стандарте;
- дату испытания или даты, между которыми проводились испытания;
- исключенные точки отказа, зарегистрированные вне допустимой зоны отказа.
Раздел 9. (Измененная редакция, Изм. N 1).
(рекомендуемое)
РЕГРЕССИОННЫЙ АНАЛИЗ. ЛИНЕЙНЫЙ МЕТОД
А.1 Для построения прямой [см. формулу (А.1)] используют формулы, приведенные в
А.2 -
А.5.
где y - десятичный логарифм исследуемого значения;
a - пересечение с осью Y;
b - угол наклона;
x - десятичный логарифм времени, ч.
А.2 Линейный коэффициент корреляции
r вычисляют по формуле

, (А.2)
где Qxy - сумма квадратов регрессионных остатков, перпендикулярных к линии, разделенная на n;
Qx - сумма квадратов регрессионных остатков, параллельных оси X, разделенная на n;
Qy - сумма квадратов регрессионных остатков, параллельных оси Y, разделенная на n.
Qxy вычисляют по формуле:
| | ИС МЕГАНОРМ: примечание. Формула дана в соответствии с официальным текстом документа. | |

(А.3)
где xi - отдельное измеренное значение;
X - среднеарифметическое значение, рассчитанное по всем xi;
yi - отдельное измеренное значение;
Y - среднеарифметическое значение, рассчитанное по всем yi;
n - общее количество результатов (соответствующие пары xi, yi).
Примечание - Если значение Qxy больше нуля, угол наклона линии b положительный, если значение Qxy меньше нуля, угол наклона линии b отрицательный.
Qx вычисляют по формуле:

. (А.4)
Qy вычисляют по формуле:

, (А.5)
X вычисляют по формуле:

. (А.6)
Y вычисляют по формуле:

. (А.7)
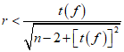
Если выполняется неравенство (А.8), данные не пригодны для анализа.

, (А.8)
где t(f) - t-распределение Стьюдента.
В таблице А.1 приведены минимальные допустимые значения линейного коэффициента корреляции r в зависимости от количества переменных n. Значения t-распределения Стьюдента основаны на двухстороннем уровне значимости 0,01.
Таблица А.1
Минимальные допустимые значения
линейного коэффициента корреляции r
Количество переменных n | Степени свободы n - 2 | t-распределение Стьюдента t(0,01) | Значение r |
13 | 11 | 3,106 | 0,6835 |
14 | 12 | 3,055 | 0,6614 |
15 | 13 | 3,012 | 0,6411 |
16 | 14 | 2,977 | 0,6226 |
17 | 15 | 2,947 | 0,6055 |
18 | 16 | 2,921 | 0,5897 |
19 | 17 | 2,898 | 0,5751 |
20 | 18 | 2,878 | 0,5614 |
21 | 19 | 2,861 | 0,5487 |
22 | 20 | 2,845 | 0,5368 |
23 | 21 | 2,831 | 0,5256 |
24 | 22 | 2,819 | 0,5151 |
25 | 23 | 2,807 | 0,5052 |
26 | 24 | 2,797 | 0,4958 |
27 | 25 | 2,787 | 0,4869 |
32 | 30 | 2,750 | 0,4487 |
37 | 35 | 2,724 | 0,4182 |
42 | 40 | 2,704 | 0,3932 |
47 | 45 | 2,690 | 0,3721 |
52 | 50 | 2,678 | 0,3542 |
62 | 60 | 2,660 | 0,3248 |
72 | 70 | 2,648 | 0,3017 |
82 | 80 | 2,639 | 0,2830 |
92 | 90 | 2,632 | 0,2673 |
102 | 100 | 2,626 | 0,2540 |
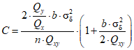
А.3 Угол наклона прямой
b [см.
формулу (А.1)] вычисляют по формуле

. (А.9)
Пересечение с осью Y a вычисляют по формуле
a = Y - b·X. (А.10)
А.4 Выражают через десятичный логарифм время до отказа xu по формуле
xu = lgtu, (А.11)
где tu - время до отказа, ч.
Дисперсию ошибки

для
x вычисляют по формуле

, (А.12)
где

- ближайшее значение к истинному значению
yi при 1
i
n;

- ближайшее значение к истинному значению
xi при 1
i
n;

вычисляют по формуле

; (А.13)

вычисляют по формуле

. (А.14)
Дисперсию C угла наклона b вычисляют по формуле

. (А.15)
А.5 При необходимости экстраполировать прямую вычисляют величину
T по формуле

. (А.16)
Если абсолютное значение T, т.е. |T|, равно или больше, чем применяемое значение для t-распределения Стьюдента tv, приведенного в таблице А.2 для степеней свободы (n - 2), принимают решение о пригодности данных для экстраполяции.
Таблица А.2
Квантили распределения Стьюдента (двусторонний уровень
значимости - 5%; доверительная вероятность - 97,5%)
Степень свободы (n - 2) | Квантиль tv | Степень свободы (n - 2) | Квантиль tv | Степень свободы (n - 2) | Квантиль tv |
1 | 12,7062 | 35 | 2,0301 | 68 | 1,9955 |
2 | 4,3027 | 36 | 2,0281 | 69 | 1,9949 |
3 | 3,1824 | 37 | 2,0262 | 70 | 1,9944 |
4 | 2,7764 | 38 | 2,0244 | 71 | 1,9939 |
5 | 2,5706 | 39 | 2,0227 | 72 | 1,9935 |
6 | 2,4469 | 40 | 2,0211 | 73 | 1,9930 |
7 | 2,3646 | 41 | 2,0195 | 74 | 1,9925 |
8 | 2,3060 | 42 | 2,0181 | 75 | 1,9921 |
9 | 2,2622 | 43 | 2,0167 | 76 | 1,9917 |
10 | 2,2281 | 44 | 2,0154 | 77 | 1,9913 |
11 | 2,2010 | 45 | 2,0141 | 78 | 1,9908 |
12 | 2,1788 | 46 | 2,0129 | 79 | 1,9905 |
13 | 2,1604 | 47 | 2,0112 | 80 | 1,9901 |
14 | 2,1448 | 48 | 2,0106 | 81 | 1,9897 |
15 | 2,1315 | 49 | 2,0096 | 82 | 1,9893 |
16 | 2,1199 | 50 | 2,0086 | 83 | 1,9890 |
17 | 2,1098 | 51 | 2,0076 | 84 | 1,9886 |
18 | 2,1009 | 52 | 2,0066 | 85 | 1,9883 |
19 | 2,0930 | 53 | 2,0057 | 86 | 1,9879 |
20 | 2,0860 | 54 | 2,0049 | 87 | 1,9876 |
21 | 2,0796 | 55 | 2,0040 | 88 | 1,9873 |
22 | 2,0739 | 56 | 2,0032 | 89 | 1,9870 |
23 | 2,0687 | 57 | 2,0025 | 90 | 1,9867 |
24 | 2,0639 | 58 | 2,0017 | 91 | 1,9864 |
25 | 2,0595 | 59 | 2,0010 | 92 | 1,9861 |
26 | 2,0555 | 60 | 2,0003 | 93 | 1,9858 |
27 | 2,0518 | 61 | 1,9996 | 94 | 1,9855 |
28 | 2,0484 | 62 | 1,9990 | 95 | 1,9853 |
29 | 2,0452 | 63 | 1,9983 | 96 | 1,9850 |
30 | 2,0423 | 64 | 1,9977 | 97 | 1,9847 |
31 | 2,0395 | 65 | 1,9971 | 98 | 1,9845 |
32 | 2,0369 | 66 | 1,9966 | 99 | 1,9842 |
33 | 2,0345 | 67 | 1,9960 | 100 | 1,9840 |
34 | 2,0322 | - | - | - | - |
А.6 Пример расчета
В таблице А.3 приведены данные, которые необходимо обработать при помощи процедуры, приведенной в
А.1 -
А.5. В настоящем примере в качестве исследуемого значения оценивается безразмерная величина
V.
Таблица А.3
Исходные данные для примера расчета статистического анализа
n | V | Y, lgV | Время h, ч | X, lgh |
1 | 30,8 | 1,4886 | 5184 | 3,7147 |
2 | 30,8 | 1,4886 | 2230 | 3,3483 |
3 | 31,5 | 1,4983 | 2220 | 3,3464 |
4 | 31,5 | 1,4983 | 12340 | 4,0913 |
5 | 31,5 | 1,4983 | 10900 | 4,0374 |
6 | 31,5 | 1,4983 | 12340 | 4,0913 |
7 | 31,5 | 1,4983 | 10920 | 4,0382 |
8 | 32,2 | 1,5079 | 8900 | 3,9494 |
9 | 32,2 | 1,5079 | 4173 | 3,6204 |
10 | 32,2 | 1,5079 | 8900 | 3,9494 |
11 | 32,2 | 1,5079 | 878 | 2,9435 |
12 | 32,9 | 1,5172 | 4110 | 3,6138 |
13 | 32,9 | 1,5172 | 1301 | 3,1143 |
14 | 32,9 | 1,5172 | 3816 | 3,5816 |
15 | 32,9 | 1,5172 | 669 | 2,8254 |
16 | 33,6 | 1,5263 | 1430 | 3,1553 |
17 | 33,6 | 1,5263 | 2103 | 3,3228 |
18 | 33,6 | 1,5263 | 589 | 2,7701 |
19 | 33,6 | 1,5263 | 1710 | 3,2330 |
20 | 33,6 | 1,5263 | 1299 | 3,1136 |
21 | 35,0 | 1,5441 | 272 | 2,4346 |
22 | 35,0 | 1,5441 | 446 | 2,6493 |
23 | 35,0 | 1,5441 | 466 | 2,6684 |
24 | 35,0 | 1,5441 | 684 | 2,8351 |
25 | 36,4 | 1,5611 | 104 | 2,0170 |
26 | 36,4 | 1,5611 | 142 | 2,1523 |
27 | 36,4 | 1,5611 | 204 | 2,3096 |
28 | 36,4 | 1,5611 | 209 | 2,3201 |
29 | 38,5 | 1,5855 | 9 | 0,9542 |
30 | 38,5 | 1,5855 | 13 | 1,1139 |
31 | 38,5 | 1,5855 | 17 | 1,2304 |
32 | 38,5 | 1,5855 | 17 | 1,2304 |
Средние значения | Y = 1,5301 | - | X = 2,9305 |
Суммы квадратов:
Qx = 0,79812;
Qy = 0,00088;
Qxy = -0,02484.
Линейный коэффициент корреляции:
r = 0,93808.
Функциональные зависимости:
b = -0,03317;
a = 1,62731.
Дисперсии:

;
C = 5,0127·10-6.
Проверка на возможность экстраполяции:
n = 32;
tv = 2,0423

;
|T| = 14,8167 > 2,0423.
Расчетные средние значения
Vm в различные моменты времени приведены в таблице А.4 и показаны на
рисунке А.1.
Таблица А.4
Расчетные средние значения
Vm
Время h, ч | Vm |
0,1 | 45,76 |
1 | 42,39 |
10 | 39,28 |
100 | 36,39 |
1000 | 33,71 |
10 000 | 31,23 |
100 000 | 28,94 |
438 000 | 27,55 |
Ось X - логарифмическая шкала времени, ч;
Y - логарифмическая шкала исследуемого свойства;
1 - 438 000 ч (50 лет); 2 - линия регрессии,
Рисунок А.1 - Линия регрессии, построенная по
таблице А.4