Главная // Актуальные документы // ГОСТ Р (Государственный стандарт)СПРАВКА
Источник публикации
М.: Стандартинформ, 2020
Примечание к документу
Документ
введен в действие с 01.01.2012.
Название документа
"ГОСТ Р МЭК 60793-1-31-2010. Национальный стандарт Российской Федерации. Волокна оптические. Часть 1-31. Методы измерений и проведение испытаний. Прочность при разрыве"
(утв. и введен в действие Приказом Росстандарта от 21.12.2010 N 850-ст)
"ГОСТ Р МЭК 60793-1-31-2010. Национальный стандарт Российской Федерации. Волокна оптические. Часть 1-31. Методы измерений и проведение испытаний. Прочность при разрыве"
(утв. и введен в действие Приказом Росстандарта от 21.12.2010 N 850-ст)
Утвержден и введен в действие
агентства по техническому
регулированию и метрологии
от 21 декабря 2010 г. N 850-ст
НАЦИОНАЛЬНЫЙ СТАНДАРТ РОССИЙСКОЙ ФЕДЕРАЦИИ
ВОЛОКНА ОПТИЧЕСКИЕ
ЧАСТЬ 1-31
МЕТОДЫ ИЗМЕРЕНИЙ И ПРОВЕДЕНИЕ ИСПЫТАНИЙ.
ПРОЧНОСТЬ ПРИ РАЗРЫВЕ
Optical fibres. Part 1-31. Measurement methods
and test procedures. Tensile strength
(IEC 60793-1-31:2010, Optical fibres - Part 1-31:
Measurement methods and test procedures - Tensile strength,
IDT)
ГОСТ Р МЭК 60793-1-31-2010
Дата введения
1 января 2012 года
1 ПОДГОТОВЛЕН Открытым акционерным обществом "Всероссийский научно-исследовательский, проектно-конструкторский и технологический институт кабельной промышленности" (ОАО "ВНИИКП") на основе собственного перевода на русский язык англоязычной версии стандарта, указанного в
пункте 4
2 ВНЕСЕН Техническим комитетом по стандартизации ТК 46 "Кабельные изделия"
3 УТВЕРЖДЕН И ВВЕДЕН В ДЕЙСТВИЕ
Приказом Федерального агентства по техническому регулированию и метрологии от 21 декабря 2010 г. N 850-ст
4 Настоящий стандарт идентичен международному стандарту МЭК 60793-1-31:2010 "Волокна оптические. Часть 1-31. Методы измерений и проведение испытаний. Прочность при разрыве" (IEC 60793-1-31:2010 "Optical fibres - Part 1-31: Measurement methods and test procedures - Tensile strength", IDT).
При применении настоящего стандарта рекомендуется использовать вместо ссылочных международных стандартов соответствующие им национальные стандарты, сведения о которых приведены в дополнительном
приложении ДА
5 ВВЕДЕН ВПЕРВЫЕ
6 ПЕРЕИЗДАНИЕ. Апрель 2020 г.
Правила применения настоящего стандарта установлены в статье 26 Федерального закона от 29 июня 2015 г. N 162-ФЗ "О стандартизации в Российской Федерации". Информация об изменениях к настоящему стандарту публикуется в ежегодном (по состоянию на 1 января текущего года) информационном указателе "Национальные стандарты", а официальный текст изменений и поправок - в ежемесячном информационном указателе "Национальные стандарты". В случае пересмотра (замены) или отмены настоящего стандарта соответствующее уведомление будет опубликовано в ближайшем выпуске ежемесячного информационного указателя "Национальные стандарты". Соответствующая информация, уведомление и тексты размещаются также в информационной системе общего пользования - на официальном сайте Федерального агентства по техническому регулированию и метрологии в сети Интернет (www.gost.ru)
Распределения значений разрушающего напряжения могут быть использованы для прогнозирования надежности оптического волокна в различных условиях. В МЭК/ТО 62048 на основе математических расчетов показано, как это может быть реализовано. Для установления прогноза по надежности при испытаниях, проводимых для измерения характеристик распределения, контролируют:
- параметры оптического волокна, например наличие защитного покрытия, стадию производства волокна, диаметр;
- измерительную базу образца, т.е. длину испытуемой части волокна;
- значения приложенного напряжения или установленной скорости растяжения;
- внешние факторы;
- условия предварительного кондиционирования образцов или старения;
- объем выборки образцов.
Данным методом измеряют прочность оптического волокна при определенной постоянной скорости растяжения. Это испытание проводят с разрушением оптического волокна и не считают альтернативным испытанию по определению прочности волокна при перемотке под натяжением.
Данным методом испытывают типовые оптические волокна, для которых медианное значение разрушающего напряжения составляет более 3,1 ГПа для образцов с измерительной базой 0,5 м при наибольшей установленной скорости растяжения в 25%/мин. Для оптических волокон с меньшим медианным значением разрушающего напряжения условия, указанные в настоящем стандарте, не позволяют получить достаточную точность.
Типовые испытания проводят на "коротких отрезках" длиной до 1 м или на "длинных отрезках" от 10 до 20 м при числе образцов в выборке от 15 до 30.
Внешние факторы при проведении испытания и предварительное кондиционирование или старение имеют решающее значение для результатов данного испытания. Не существует единого мнения относительно модели экстраполяции результатов, полученных при одних внешних факторах, на другие внешние факторы. Однако для разрушающего напряжения при заданном напряжении или скорости растяжения по мере повышения относительной влажности значение разрушающего напряжения уменьшается. Увеличение или уменьшение значений наблюдают в измеренных параметрах распределения прочности в результате предварительного кондиционирования при повышенной температуре и влажности в течение одного или двух дней.
Данное испытание основано на теории механики разрушения хрупких материалов и принципе разрастания дефекта постепенному закону (см. МЭК/ТО 62048). Несмотря на то, что другие теории также применимы, теория механики разрушения/степенного закона наиболее распространена.
Типовым представителем считают оптическое волокно, которое специально не было повреждено или не было подвергнуто старению под воздействием внешних факторов. Типовое оптическое волокно имеет номинальный диаметр 125 мкм и защитное покрытие из акрилата номинальным диаметром 250 мкм или менее. Для таких типовых представителей не применяют кондиционирование. К нетиповым представителям может быть отнесено волокно с альтернативным защитным покрытием, волокно, подвергнутое старению под воздействием внешних факторов, или специально поврежденное волокно, или волокно без защитного покрытия. Указания для нетиповых представителей также приведены.
Настоящий стандарт содержит описание метода определения прочности при разрыве образцов оптических волокон (далее - волокно) и устанавливает единые требования к механической характеристике волокна - его прочности при разрыве. Данным методом испытывают отдельные отрезки вне состава кабеля и нескрученных стеклянных волокон. Отрезки волокна разрывают, прилагая управляемое нарастающее напряжение или усилие, равномерно распределенное по всей длине волокна и поперечному сечению. Напряжение или усилие увеличивают с установленной постоянной скоростью до разрыва волокна.
Распределение значения прочности при разрыве данного волокна строго зависит от длины образца, скорости увеличения нагрузки и условий окружающей среды. Настоящее испытание может быть использовано для контроля качества, если требуются статистические данные о прочности волокна. Результаты фиксируют в виде статистического распределения контроля качества.
Как правило, испытание проводят после кондиционирования образца при установленной температуре и влажности. Однако в некоторых случаях может быть достаточным измерение значений в условиях температуры и влажности окружающей среды.
Настоящий метод распространяется на волокна категорий A1, A2, A3, B и C.
Примечание - Данное испытание предусматривает растяжение отрезков волокна до разрыва. После разрыва стеклянные фрагменты могут разлетаться по участку проведения испытания. Рекомендуется использовать защитные экраны. Защитные очки следует носить все время пребывания в зоне проведения испытания.
В настоящем стандарте использованы нормативные ссылки на следующие стандарты. Для датированных ссылок применяют только указанное издание ссылочного стандарта, для недатированных - последнее издание (включая все его изменения):
IEC 60793-1-20, Optical fibres - Part 1-20: Measurement methods and test procedures - Fibre geometry (Волокна оптические. Часть 1-20. Методы измерений и проведение испытаний. Геометрия волокна)
IEC 60793-1-21, Optical fibres - Part 1-21: Measurement methods and test procedures - Coating geometry (Волокна оптические. Часть 1-21. Методы измерений и проведение испытаний. Геометрия покрытия)
3 Испытательное устройство
В настоящем разделе рассмотрены основные требования к оборудованию для испытания волокна на динамическую прочность.
Существует много устройств, удовлетворяющих данным требованиям. Схематические изображения некоторых устройств приведены в
приложении A. Выбор определенного устройства зависит от следующих факторов:
- измерительной базы образца;
- диапазона прилагаемого напряжения или скорости растяжения;
- внешних факторов;
- прочности образца.
3.2 Закрепление концов волокна
Закрепляют оба конца испытуемого волокна и растягивают его до разрушения в области измерительной базы. Крепление не должно допускать проскальзывания волокна до разрушения и должно минимизировать возможность разрушения в области крепления.
Разрыв, который происходит в области крепления, регистрируют, но не используют его в последующих расчетах. Из-за того, что во время испытания увеличивается растяжение волокна, в местах крепления происходит некоторое проскальзывание волокна. При более высоких уровнях напряжения, связанных с короткими измерительными базами, проскальзывание может вызывать повреждение и разрушение волокна в области крепления, которое трудно установить. Частота таких разрушений изменяется в зависимости от значения приложенного напряжения или скорости растяжения. Требуется тщательный осмотр или другой способ контроля мест разрыва волокна для предотвращения возможности включить в анализ разрушение волокна в области крепления.
Для закрепления волокна используют натяжной барабан, как правило покрытый оболочкой из эластомера [см.
рисунок A.1 (приложение A)]. Часть волокна, которую не будут подвергать испытанию, наматывают на барабан несколькими витками и фиксируют волокно на концах, например эластичной лентой. Волокно наматывают без перехлестов. Поверхность барабана должна быть достаточно твердой, чтобы при полной нагрузке волокно не врезалось в нее. Степень проскальзывания волокна и степень повреждения барабана зависят от взаимодействия оболочки волокна и материала поверхности барабана, и его толщины, а также от числа витков. Требуется провести тщательное предварительное испытание для подтверждения правильности выбора покрытия барабана.
Диаметры барабана и шкива выбирают такими, чтобы волокно не разламывалось на барабане вследствие напряжения изгиба. Для типового волокна с кварцевым покрытием значение напряжения изгиба не должно превышать 0,175 ГПа. (Для типового кварцевого волокна размерами 125/250 мкм минимальный диаметр барабана равен 50 мм.) Конкретный способ закрепления волокна приведен в
приложении B.
Образец подсоединяют к двум захватам. Измерительная база - это длина волокна между осями натяжных барабанов, к которым крепят волокно до его растяжения. Для уменьшения зоны, требуемой для проведения испытания на образцах с длинной измерительной базой, допускается использовать один или более шкив для поддержки образца [см.
рисунок A.4 (приложение A)]. Шкивы должны быть соответствующей конструкции и иметь чистую поверхность, чтобы не повреждать волокно. Остальная часть волокна, вне шкивов и натяжных барабанов, не должна ни с чем соприкасаться.
Если несколько волокон испытывают одновременно, как показано на
рисунке A.5 (приложение A), требуется разделительное устройство для предотвращения перехлеста или иного взаимодействия оборвавшегося волокна с другими испытуемыми волокнами.
Волокно растягивают при фиксированной скорости растяжения до его обрыва. Номинальную скорость растяжения выражают как процентное увеличение длины относительно измерительной базы за минуту.
Существует два основных альтернативных метода растяжения волокна:
- метод A. Увеличивают расстояние между натяжными барабанами с захватами путем их разведения с фиксированной скоростью при начальном расстоянии, равном измерительной базе [
рисунок A.2 (приложение A)];
- метод B. Вращают натяжной барабан с фиксированной скоростью, наматывая волокно и растягивая участок волокна между барабанами [
рисунки A.3 -
A.5 (приложение A)]. Вращение не должно приводить к перехлесту витков волокна на барабане.
Скорость растяжения калибруют в пределах +/- 10% номинальной скорости растяжения. Оборудование некоторых типов управляется компьютером, поэтому допускается динамическое управление движением натяжного барабана для достижения постоянной скорости изменения напряжения. Примеры практической реализации этого оборудования приведены в
приложении C.
Скорость растяжения должна быть согласована между потребителем и изготовителем. Как правило, используют скорость растяжения от 2,5% до 5% или от 15% до 25%.
3.5 Измерение усилия при разрушении
Измеряют растягивающую нагрузку (силу при растяжении) в момент разрушения для каждого образца с помощью калиброванного динамометрического датчика с погрешностью не более +/- 1% значения действительной нагрузки. Это может быть выполнено разными методами:
- с помощью регистратора с записью диаграммы на ленте;
- с помощью прибора, измеряющего и фиксирующего значения растягивающей силы;
- методом компьютерной дискретизации.
Представляют средние значения измеренной растягивающей нагрузки как функцию времени для определения скорости изменения напряжения. Этого не требуется для каждого отдельного испытания, но это следует выполнять с определенным интервалом времени.
Калибруют динамометрический датчик с погрешностью не более 0,5% значения разрушающей или максимальной нагрузки для каждого диапазона разрушающих нагрузок, настраивая его таким же образом, как и при испытании волокна. Данную процедуру проводят с использованием троса, к которому присоединен груз известной массы для испытуемого образца. Для метода B вместо натяжного барабана может быть использован легкий шкив, имеющий низкое трение и неприсоединенный к динамометрическому датчику. Трос, один конец которого присоединен к барабану динамометрического датчика, а другой - к грузу известной массы, должен дублировать направление испытуемого образца и иметь диаметр, сравнимый с диаметром испытуемого образца. Рекомендуется применять минимальный из трех калиброванных грузов, обеспечивающий типовые разрушения волокна.
3.6 Оборудование контроля внешних воздействующих факторов
Известно, что измеряемые разрушающее напряжение и характеристики усталости изменяются при изменении температуры и влажности волокна, которые следует контролировать как при предварительной подготовке образцов, так и при их испытании. Требуемый контроль может быть обеспечен использованием оборудования многих видов, включая контроль во всем помещении, в котором проводят испытания.
Типовые требования для контроля:
- температура: | (23 +/- 2) °C; |
- относительная влажность: | (50 +/- 5)%. |
Воздействие других внешних факторов, таких как высокая влажность при неконденсированной влаге, может быть достигнуто заключением испытуемого образца в изолированную камеру с инжекцией водных паров. На
рисунке A.5 (приложение A) показано комплектное испытательное устройство с ограждением поверх ванны с циркулирующей водой.
Выборка представляет собой одно волокно или более для данной категории волокна. Требуемый результат испытаний каждой выборки обеспечивают разделением ее на меньшие отрезки, называемые образцами. Результаты испытаний на этих образцах суммируют с целью получить общий результат для выборки. Термин "объем выборки" используют для обозначения числа образцов, испытуемых в соответствии с настоящим стандартом.
Для ленточного волокна выбирают образцы, имеющие однородную в поперечном сечении структуру ленты. Следует осторожно извлекать волокна из ленты во избежание случайного уменьшения прочности.
4.2 Объем выборки и измерительная база образца
Результат испытания представляет собой статистическое распределение значений разрушающего напряжения. Следовательно, все регистрируемые параметры относятся к статистическим с присущей им изменчивостью как функцией от объема выборки и изменения размера дефекта в пределах выборки. В слабейшем месте или при наибольшем дефекте в пределах образца происходит разрушение, а типовое значение разрушающего напряжения при этом уменьшается по мере увеличения измерительной базы.
Испытуемое волокно может иметь дефекты, порождаемые многими причинами. В качестве примера на графике Вейбулла на рисунке 1, а также в
6.2 показано бимодальное комплексное распределение, полученное для испытуемого волокна с измерительной базой 20 м. Узкую область вертикального распределения в правой части (около 5 ГПа) называют внутренней областью; более широкую область для значений ниже 5 ГПа называют внешней областью.
Рисунок 1 - График бимодального распределения Вейбулла
для прочности при разрыве испытуемого волокна
с измерительной базой 20 м при скорости растяжения 5%/мин
Испытания на образцах с измерительными базами 0,5 м, как правило, не позволяют получить типичных результатов измерения дефектов во внешней области. Иногда, однако, разрушающее напряжение для области внешнего дефекта фиксируют и классифицируют при этом как "выпадающее значение". Если выпадающее значение включают в анализ данных, в параметрах будут появляться ошибки. Для типовых испытаний рекомендуется единая методика исключения выпадающих значений.
Для испытаний, которые предназначены для измерения характеристик во внешней области, рекомендуются большие объемы выборок (сотни образцов) и большие измерительные базы (20 м). Для того чтобы охарактеризовать внутреннюю область согласно настоящему стандарту, как правило используют измерительную базу 0,5 м. Для динамической прочности часто используют объем выборки, равный 30. Любое отклонение от этих значений должно быть указано в технических условиях.
С целью подтвердить получение требуемой точности может быть проведен статистический анализ.
4.3 Дополнительные измерения
Вычисления разрушающего напряжения требуют преобразования растягивающей нагрузки в напряжение в поперечном сечении стеклянной части волокна. Диаметр покрытия, измеренный по МЭК 60793-1-20, используют в этих вычислениях для расчета площади поперечного сечения. Защитное покрытие также принимает на себя часть растягивающей нагрузки, что уменьшает напряжение в стеклянной части поперечного сечения. В
6.1 приведены формулы для вычисления напряжения.
Поправочный коэффициент для защитного покрытия зависит от толщины покрытия, измеренной по МЭК 60793-1-21, и модуля Юнга каждого слоя покрытия, и модуля стекла.
Модуль Юнга термообработанного покрытия, как правило, указывает изготовитель. Для типового волокна покрытием воспринимается менее 5% общей нагрузки, и компенсация (следовательно, и измерение) для покрытия не требуется (см.
6.1). Если это учтено, зарегистрированное разрушающее напряжение больше действительного на определенный процент. При компенсации влияния покрытия для всех образцов могут быть использованы средние и номинальные значения. Степень влияния модуля Юнга покрытия на разрушающее напряжение может изменяться с изменением напряжения или скорости растяжения. Если степень влияния при любых значениях напряжения или скорости растяжения более 5% общей нагрузки, тогда влияние покрытия учитывают в расчетах.
4.4 Внешние воздействующие факторы
Рассмотрены две основные группы учитываемых внешних воздействующих факторов: внешние факторы, способствующие старению волокна, и внешние факторы, при которых проводят испытания.
Иногда требуется провести старение волокна. Даже короткое ускоренное старение может привести к увеличению или уменьшению измеряемой прочности волокон некоторых типов. Причины этих явлений не всегда ясны. Как следствие, методы экстраполяции воздействия внешних факторов, способствующих ускоренному старению, на другие внешние воздействующие факторы находятся в стадии рассмотрения.
После интенсивного старения коэффициент трения поверхности защитного покрытия может измениться. После любого старения и перед любыми испытаниями образцы волокна должны быть подвергнуты предварительному кондиционированию в условиях окружающей среды, в которых будет проведено испытание, в течение не менее 12 ч.
Типовые условия проведения испытания: температура (23 +/- 2) °C и относительная влажность (50 +/- 5)%. Воздействие других внешних факторов, таких как высокая относительная влажность при неконденсированной влаге, может привести к существенно различающимся значениям разрушающего напряжения.
5.1 Предварительные условия
a) При необходимости образцы подвергают старению.
b) Образцы подвергают предварительному кондиционированию.
5.2 Порядок проведения испытания для одного образца
a) Закрепляют образец на натяжных барабанах, не допуская перекрещивания витков волокна и повреждения волокна при монтаже в пределах измерительной базы.
b) Проверяют настройку оборудования для требуемой номинальной скорости растяжения.
c) Возвращают в исходное состояние индикатор, регистрирующий натяжение.
d) Приводят в движение натяжной барабан. Для номинальных скоростей растяжения 0,03%/мин и менее образец может быть предварительно растянут со скоростью 0,3%/мин приблизительно до половины ожидаемого значения разрушающего напряжения при более низкой скорости. Ожидаемое разрушающее напряжение может быть спрогнозировано по результатам, полученным при более высоких скоростях растяжения. Если при испытании волокно может быть повреждено, то предварительное растяжение волокна не рекомендуется, если только ожидаемое время до разрыва превышает 4 ч.
e) При разрыве останавливают натяжной барабан, регистрируют значение разрушающей нагрузки и, при необходимости, скорости изменения напряжения.
f) Констатируют, что разрыв волокна не произошел на натяжном барабане. В противном случае отмечают это измерение для того, чтобы его результаты не были использованы в расчетах.
g) Удаляют остатки волокна с натяжных барабанов и при необходимости выполняют любое из дополнительных измерений, указанных в
4.3.
5.3 Порядок установления для всех образцов требуемой номинальной скорости растяжения
a) Фиксируют номинальную скорость растяжения и обозначения каждой выборки испытуемых волокон.
b) Определяют, будет ли компенсировано влияние покрытия. Если будет, то фиксируют соответствующие параметры покрытия (см.
6.1). Фиксируют номинальный диаметр покрытия, если его используют для расчета напряжения.
c) Выполняют операции по
5.2 для каждого образца.
d) Используя преобразования по
6.1, рассчитывают разрушающее напряжение для каждого образца и располагают полученные значения в порядке возрастания.
e) Если требуется, строят график Вейбулла (см.
рисунок 1), используя указания по
6.2. Если требуется, рассчитывают параметры Вейбулла
md и
S0, используя указания по
6.3.
f) Если требуется для удобства управления данными, рассчитывают медианное значение разрушающего напряжения

и 15-й квантиль разрушающего напряжения

согласно
6.2.
6.1 Преобразование растягивающей нагрузки в разрушающее напряжение
Используют следующие обозначения и единицы измерения:
- размеры волокна | мкм; |
- измерительная база | м; |
- напряжение  и разрушающее напряжение  | ГПа; |
- растягивающая сила T и разрушающая растягивающая сила Tf | Н; |
- скорость изменения напряжения  | ГПа/с. |
Метод A
В случае, когда нагрузка приблизительно равна растягивающей силе T, уравнение (1) определяет напряжение без компенсации влияния покрытия

, (1)
где Dg - диаметр покрытия.
Метод B
При введении компенсации влияния покрытия используют следующее уравнение. Рассчитывают дробь

(2a)
где E0 - модуль Юнга для стекла; как правило, для кремниевого стекла - 70,3 ГПа;
A0 - площадь поперечного сечения стеклянной части волокна.
Для N слоев покрытия с индексом, j, Ej и Aj - это модуль Юнга и площадь поперечного сечения каждого слоя соответственно.
Значение напряжения с компенсацией влияния покрытия

определяют по формуле

. (2b)
6.2 Подготовка графика Вейбулла
На
рисунке 1 показан типовой график Вейбулла, где линия проведена через точки, отражающие идеальное распределение Вейбулла. В то время как графики Вейбулла используют для отображения данных для принятой номинальной скорости растяжения, действительное распределение может не быть распределением Вейбулла.
a) Располагают значения разрушающего напряжения в порядке возрастания.
b) Принимают, что
k представляет собой ряд значений указанного разрушающего напряжения, например
k = 1, 2, 3, ...,
N, и

- это
k-е значение разрушающего напряжения.
c) Принимают

(3a)
и

. (3b)
d) Наносят на график значения yk, соответствующие значениям xk. Отмечают по осям связанные вероятностные уровни и значения разрушающего напряжения.
Примечание - Если требуется, рассчитывают медианное значение разрушающего напряжения

и 15-й квантиль разрушающего напряжения

.
Если 0,5
N + 0,5 представляет собой целое число, то

. В противном случае

определяют с помощью соответствующей интерполяции между

и

.
Если 0,15
N + 0,5 представляет собой целое число, то

. В противном случае

определяют с помощью соответствующей интерполяции между

и

, где квадратные скобки проставлены для обозначения наибольшей интегральной функции.
6.3 Расчет параметров Вейбулла
Распределение Вейбулла интегральной повторяющейся функции описывается уравнением

, (4a)

. (4b)
Метод A - Метод простого ряда
Для общепринятых объемов выборок (см.
4.1) может быть использован следующий метод. Определяют значения
k1 = 0,15N + 0,5;
k2 = 0,85N + 0,5; (5)
k3 = 0,5N + 0,5.
Рассчитывают

, (6a)
и

. (6b)
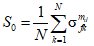
Метод B - Метод оценки максимальной вероятности
Логарифм функции вероятности

. (7)
Подбирают значения
md и
S0 для получения максимального значения по
уравнению (7). Для заданного значения
md, оптимальное значение
S0 определяют по формуле

. (8)
Оптимальное значение md определяют методом итерации.
7.1 Протокол по каждому испытанию должен содержать следующую информацию:
- идентификацию волокна;
- дату и наименование испытания;
- значения прочности - регистрацию значения растяжения, при котором происходит обрыв волокна, как прочность волокна. (График Вейбулла и, если применяют, то и параметры Вейбулла md и S0).
7.2 Следующая информация должна быть представлена для каждого испытания:
- длина образца;
- скорость растяжения;
- тип зажимных устройств;
- относительная влажность и температура окружающей среды;
- любое специальное кондиционирование.
8 Информация, указываемая в технических условиях
В технических условиях должна быть указана следующая информация:
- любые отклонения от принятой методики проведения испытания;
- критерий приемки или отбраковки.
(справочное)
ТИПОВЫЕ ДИНАМИЧЕСКИЕ ИСПЫТАТЕЛЬНЫЕ УСТРОЙСТВА
Рисунок A.1 - Конструкция устройства с натяжными барабанами
Рисунок A.2 - Испытательное устройство
с перемещающимся натяжным барабаном
Рисунок A.3 - Испытательное устройство
с вращающимся натяжным барабаном
Рисунок A.4 - Испытательное устройство с вращающимися
натяжными барабанами для длинных отрезков
Рисунок A.5 - Комплектное испытательное устройство
с вращающимися натяжными барабанами
(справочное)
УКАЗАНИЯ ПО ЗАКРЕПЛЕНИЮ ВОЛОКНА
Равномерная передача усилия от натяжного барабана к волокну крайне важна для получения стабильных результатов измерений разрушающего напряжения. Как защитное покрытие, так и скорость изменения напряжения могут влиять на эту передаточную функцию в зависимости от состояния поверхности натяжного барабана и его механических характеристик. Анализ графика измеренной силы (напряжения) по отношению к приложенной нагрузке (времени нахождения под возрастающей нагрузкой) позволяет оценить качество этой передаточной функции. На
рисунках B.1 -
B.3 показаны неудовлетворительные результаты. На
рисунке B.4 показан удовлетворительный результат.
Примечание - Шкалы времени и силы (напряжения) не обозначены, так как эти рисунки представляют собой только качественные иллюстрации.
Рисунок B.1 - Постепенное проскальзывание
Рисунок B.2 - Неравномерное проскальзывание
Рисунок B.3 - Пилообразное проскальзывание
Рисунок B.4 - Удовлетворительная передаточная функция
Приведенные результаты зависят от поверхности натяжного барабана, его диаметра, числа витков вокруг натяжного барабана и способа крепления волокна. Для защитных покрытий некоторых видов типовой натяжной барабан, показанный на рисунке B.5, не обеспечивает получение удовлетворительных результатов. Альтернативные поверхности натяжного барабана, такие как силиконовое покрытие, могут улучшить результаты, но незначительные изменения свойств волокна в партии могут привести к результатам, показанным на
рисунке B.1.
Рисунок B.5 - Типовой натяжной барабан
Были опробованы также и другие методы. На рисунках B.6 и
B.7 показаны два устройства, использование которых приводит к лучшим результатам, но не позволяет обеспечить графики равномерно увеличивающейся во времени прилагаемой силы и малую вероятность разрушения волокна в зоне его крепления.
Рисунок B.6 - Изостатическое сжатие
Рисунок B.7 - Намотка в виде улитки
(справочное)
УКАЗАНИЯ ПО СКОРОСТИ ИЗМЕНЕНИЯ НАПРЯЖЕНИЯ
Проскальзывание волокна или приведение системы нагружения в соответствие может быть компенсировано путем использования системы сервоуправления, аналогичной показанной на рисунке C.1. Один конец волокна прикрепляют к натяжному барабану, смонтированному на столе поступательного перемещения, приводимом в движение шаговым электродвигателем, управляемым компьютером. Нагрузка, прилагаемая к волокну, отслеживается компьютером с использованием аналого-цифровой системы получения данных. Программное обеспечение компьютера может непрерывно изменять скорость шагового электродвигателя для достижения требуемой скорости изменения нагрузки.
Рисунок C.1 - Система управления
скоростью изменения напряжения
На рисунке C.2 приведено сравнение линии нагрузки и скорости стола поступательного перемещения для экспериментов, проводимых на постоянной скорости 2 мм/с и при сервоуправляемой постоянной скорости изменения напряжения 0,3 МПа/с. Эта скорость соответствует номинальной скорости изменения напряжения 0,29 МПа/с, однако измеренная скорость изменения напряжения равна только 0,18 МПа/с. В противоположность этому результат, полученный с использованием сервоуправления и представляющий собой скорость изменения приложенного напряжения, очень близок к требуемому значению. Для достижения этого скорость нагружения непрерывно изменяли, как показано в правой части рисунка.
Рисунок C.2 - Изменение времени нагружения
и скорости нагружения
(справочное)
СВЕДЕНИЯ О СООТВЕТСТВИИ ССЫЛОЧНЫХ МЕЖДУНАРОДНЫХ СТАНДАРТОВ
НАЦИОНАЛЬНЫМ СТАНДАРТАМ
Таблица ДА.1
Обозначение ссылочного международного стандарта | Степень соответствия | Обозначение и наименование соответствующего национального стандарта |
| | ИС МЕГАНОРМ: примечание. Взамен ГОСТ Р МЭК 60793-1-20-2012 Приказом Росстандарта от 10.06.2022 N 461-ст с 01.11.2022 введен в действие ГОСТ Р МЭК 60793-1-20-2022. | |
|
IEC 60793-1-20 | IDT | ГОСТ Р МЭК 60793-1-20-2012 "Волокна оптические. Часть 1-20. Методы измерений и проведение испытаний. Геометрия волокна" |
IEC 60793-1-21 | IDT | ГОСТ Р МЭК 60793-1-21-2012 "Волокна оптические. Часть 1-21. Методы измерений и проведение испытаний. Геометрия покрытия" |
<*> Примечание - В настоящей таблице использовано следующее условное обозначение степени соответствия стандартов: - IDT - идентичные стандарты. |
МЭК 61649 (IEC 61649) | Анализ Вейбулла (Weibull Analysis) |
МЭК/ТО 62048 (IEC/TR 62048) | Волокна оптические. Надежность. Теория степенного закона (Optical fibres - Reliability - Power law theory) |
УДК 681.7.068:006.354 | |
Ключевые слова: волокна оптические, прочность при растяжении, метод расчета, обработка результатов |