Главная // Актуальные документы // ГОСТ Р (Государственный стандарт)СПРАВКА
Источник публикации
М.: Стандартинформ, 2013
Примечание к документу
Документ
введен в действие с 1 июля 2013 года.
Название документа
"ГОСТ Р ИСО 16634-1-2011. Национальный стандарт Российской Федерации. Продукты пищевые. Определение общего содержания азота путем сжигания по методу Дюма и расчет содержания сырого протеина. Часть 1. Масличные культуры и корма для животных"
(утв. и введен в действие Приказом Росстандарта от 30.08.2011 N 249-ст)
"ГОСТ Р ИСО 16634-1-2011. Национальный стандарт Российской Федерации. Продукты пищевые. Определение общего содержания азота путем сжигания по методу Дюма и расчет содержания сырого протеина. Часть 1. Масличные культуры и корма для животных"
(утв. и введен в действие Приказом Росстандарта от 30.08.2011 N 249-ст)
Утвержден и введен в действие
по техническому регулированию
и метрологии
от 30 августа 2011 N 249-ст
НАЦИОНАЛЬНЫЙ СТАНДАРТ РОССИЙСКОЙ ФЕДЕРАЦИИ
ПРОДУКТЫ ПИЩЕВЫЕ
ОПРЕДЕЛЕНИЕ ОБЩЕГО СОДЕРЖАНИЯ АЗОТА ПУТЕМ СЖИГАНИЯ
ПО МЕТОДУ ДЮМА И РАСЧЕТ СОДЕРЖАНИЯ СЫРОГО ПРОТЕИНА
ЧАСТЬ 1
МАСЛИЧНЫЕ КУЛЬТУРЫ И КОРМА ДЛЯ ЖИВОТНЫХ
Food products. Determination of the total nitrogen content
by combustion according to the Dumas principle
and calculation of the crude protein content. Part 1.
Oilseeds and animal feeding stuffs
ISO 16634-1:2008
Food products - Determination of the total nitrogen
content by combustion according to the Dumas principle
and calculation of the crude protein content - Part 1:
Oilseeds and animal feeding stuffs
(IDT)
ГОСТ Р ИСО 16634-1-2011
Дата введения
1 июля 2013 года
Цели и принципы стандартизации в Российской Федерации установлены Федеральным
законом от 27 декабря 2002 г. N 184-ФЗ "О техническом регулировании", а правила применения национальных стандартов Российской Федерации -
ГОСТ Р 1.0-2004 "Стандартизация в Российской Федерации. Основные положения".
1. Подготовлен ОАО "Всероссийский научно-исследовательский институт сертификации" (ОАО "ВНИИС") на основе аутентичного перевода на русский язык международного стандарта, указанного в пункте 4.
2. Внесен Техническим комитетом по стандартизации ТК 335 "Методы испытаний агропромышленной продукции на безопасность".
3. Утвержден и введен в действие
Приказом Федерального агентства по техническому регулированию и метрологии от 30 августа 2011 г. N 249-ст.
4. Настоящий стандарт является идентичным по отношению к международному стандарту ИСО 16634-1:2008 "Продукты пищевые. Определение общего содержания азота путем сжигания по методу Дюма и расчет содержания сырого протеина. Часть 1. Масличные культуры и корма для животных" (ISO 16634-1:2008 "Food products - Determination of the total nitrogen content by combustion according to the Dumas principle and calculation of the crude protein content - Part 1: Oilseeds and animal feeding stuffs").
Сведения о соответствии ссылочных международных стандартов ссылочным национальным стандартам Российской Федерации приведены в дополнительном
Приложении ДА.
5. Введен впервые.
Информация об изменениях к настоящему стандарту публикуется в ежегодно издаваемом информационном указателе "Национальные стандарты", а текст изменений и поправок - в ежемесячно издаваемых информационных указателях "Национальные стандарты". В случае пересмотра (замены) или отмены настоящего стандарта соответствующее уведомление будет опубликовано в ежемесячно издаваемом информационном указателе "Национальные стандарты". Соответствующая информация, уведомление и тексты размещаются также в информационной системе общего пользования - на официальном сайте Федерального агентства по техническому регулированию и метрологии в сети Интернет.
Долгое время метод Кьельдаля был самым широко используемым методом определения содержания белка в пищевых продуктах. Однако в последние годы метод Кьельдаля все чаще заменяют методом Дюма, который является более быстрым методом и не использует опасные химические вещества. Хотя принципы этих двух методов различны, оба они предназначены для измерения содержания азота в пищевых продуктах. Содержание азота можно пересчитать в содержание белка, используя подходящий коэффициент. Значение этого коэффициента изменяется в зависимости от относительного содержания различных белков и их аминокислотного состава в данном продукте.
Метод Дюма и метод Кьельдаля не делают различий между протеиновым и непротеиновым азотом. В большинстве случаев результаты, полученные методом Дюма, немного точнее результатов, полученных методом Кьельдаля (см.
Приложение F). Это происходит потому, что метод Дюма измеряет почти весь непротеиновый азот, тогда как метод Кьельдаля измеряет только его часть.
Принимая во внимание тот факт, что содержание белка в продукте, рассчитанное обоими методами, только приближено к истинному значению, выбор метода дается на усмотрение заинтересованных сторон. Наиболее подходящим решением должно быть использование второго коэффициента для устранения систематической погрешности, вызываемой содержанием непротеинового азота в различных продуктах. Однако этот второй коэффициент необходимо определять для каждого продукта, как существующие коэффициенты, которые показывают отношение содержания сырого протеина к содержанию азота.
Настоящая часть стандарта устанавливает метод определения общего содержания азота и расчет содержания сырого протеина в масличных культурах и кормах для животных.
Настоящий метод, как и метод Кьельдаля, не делает различий между протеиновым азотом и непротеиновым азотом. Для расчета содержания сырого протеина используются различные коэффициенты пересчета (см.
Приложение D).
Настоящий метод неприменим к молоку и молочной продукции, для которых метод установлен в ИСО 14891
[10].
Следующие ссылочные документы обязательны для применения данного документа. Для датированных ссылок применяется только указанное издание. Для недатированных ссылок применяется самое последнее издание указанного документа (включая все изменения).
ИСО 664 Семена масличных культур. Разделение лабораторных образцов на пробы для испытаний
ИСО 665 Семена масличных культур. Определение содержания влаги и летучих веществ
ИСО 771 Жмыхи. Определение содержания влаги и летучих веществ
ИСО 6496 Корма для животных. Определение содержания влаги и летучих веществ
ИСО 6498 Корма для животных. Подготовка проб для испытания
Применительно к данному документу используются следующие термины и определения:
3.1. Содержание азота (nitrogen content): массовая доля общего азота, определенного по методике, установленной в данной части стандарта.
Примечание. Массовая доля выражается в процентах.
3.2. Содержание сырого протеина (crude protein content): содержание азота (3.1), умноженное на коэффициент, составляющий обычно 6,25.
Примечание 1. Перечень других коэффициентов для возможного использования в случае различных продуктов приведен в
Приложении D.
Примечание 2. Коэффициенты для расчета сырого протеина по общему содержанию азота выводятся из метода Кьельдаля, который является стандартным (арбитражным) методом для определения общего содержания азота. Поскольку метод, установленный в данной части стандарта, использует такие же коэффициенты, что и метод Кьельдаля, достоверность этих коэффициентов необходимо проверить ввиду небольшого различия в результатах, полученных методом Кьельдаля и методом Дюма.
Пробы превращают в газы нагреванием в трубке для сжигания. Мешающие компоненты удаляют из полученной газовой смеси. Соединения азота в газовой смеси или репрезентативную их часть преобразуют в молекулярный азот, который определяют количественно с помощью детектора теплопроводности. Содержание азота затем рассчитывают с помощью микропроцессора.
Используют только реактивы признанной аналитической чистоты или равноценные, установленные изготовителями прибора. За исключением стандартных образцов (см.
5.12), все реактивы должны быть свободны от азота.
5.1. Газ(ы)-носитель(и): используют 5.1.1 или 5.1.2.
5.1.1. Диоксид углерода, максимально чистый, минимальная чистота

должна составлять >= 99,99% по объему.
5.1.2. Гелий, максимально чистый, минимальная чистота

должна составлять >= 99,99% по объему.
5.2. Кислород, максимально чистый, минимальная чистота

должна составлять >= 99,99% по объему.
5.3. Абсорбент диоксида серы и галогенов для удаления серы из пробы [например, хромат свинца

или стальная вата].
5.4. Катализатор оксид меди/платина (наполнитель для трубки дожигания).
Платиновый катализатор [5% Pt на оксиде алюминия

] смешивают с CuO в соотношении 1:7 или 1:8 в соответствии с рекомендациями изготовителя.
Чтобы предотвратить разделение как результат различной насыпной плотности двух материалов, рекомендуется не готовить смесь перед наполнением трубки, а засыпать платиновый катализатор и оксид меди одновременно в трубку дожигания через подходящую воронку.
5.5. Вата серебряная или медная. Перед помещением в трубку дожигания или восстановительную трубку вату необходимо распушить.
5.6. Диоксид кремния (кварц), стекловата или хлопковая вата в соответствии с рекомендациями изготовителя прибора.
5.7. Медь (проволока, стружка, опилки или порошок) или вольфрам, для восстановительной трубки.
Применение медной проволоки может повысить прецизионность аналитических результатов для проб с низким содержанием азота (порядка 1% по массе).
5.8. Пентаоксид фосфора

или гранулированный перхлорат магния

, или другое подходящее осушающее вещество для наполнения сушильных трубок.
5.9. Шары корундовые полые или гранулы оксида алюминия для трубки сжигания.
5.10. Оксид меди (CuO) как наполнитель для трубки сжигания.
5.11. Гидроксид натрия (NaOH) на подложке.
5.12. Кислота аспарагиновая

или кислота этилендиаминтетрауксусная

, или кислота глутаминовая

, или кислота гиппуровая

как стандартный образец, или другие подходящие стандартные образцы с известным постоянным аттестованным содержанием азота. Полнота обнаружения азота должна быть > 99% по массе.
5.13. Эфир петролейный с температурой кипения от 30 °C до 60 °C, ацетон или этиловый спирт.
Обычное лабораторное оборудование и, в частности, нижеприведенное.
6.1. Весы аналитические, обеспечивающие взвешивание с точностью до 0,0001 г.
6.2. Измельчитель в соответствии с характером пробы.
6.3. Сито с номинальным размером отверстий 800 мкм или 1 мм, изготовленное из материалов, кроме черных металлов.
6.4. Тигли (например, из нержавеющей стали, кварца, керамики или платины) или капсулы оловянные, или не содержащая азот бумага фильтровальная для прессования таблеток, подходящая для используемого аппарата Дюма.
Примечание 1. В продаже имеются приборы, оснащенные автоматическим пробоотборником.
Примечание 2. Некоторые твердые пробы (например, порошки) можно прессовать в таблетки.
6.5. Аппарат Дюма <*>, оснащенный печкой, в которой можно поддерживать температуру, равную или выше 850 °C, с детектором теплопроводности и подходящим устройством для интегрирования сигнала.
--------------------------------
<*> Компании Elementar Analysensysteme, Sumika Chemical Analysis Service и LECO Instruments выпускают коммерчески доступное подходящее оборудование. Эта информация дается для удобства пользователя настоящего стандарта и не указывает на поддержку, оказываемую ИСО этому оборудованию. Можно использовать аналогичную продукцию при условии получения аналогичных результатов.
Подходящий аппарат Дюма работает в соответствии с общей диаграммой, представленной в
Приложении A, хотя могут быть использованы разные компоненты.
Примечание. Схематические диаграммы трех имеющихся в продаже приборов приведены в качестве примеров в Приложении B на
рисунках B.1,
B.2 и
B.3.
Во избежание утечек необходимо слегка смазать уплотнительные кольца высоковакуумной смазкой перед установкой.
Опыт показывает, что большое значение имеет тщательная очистка всех частей кварцевой и стеклянной посуды и удаление всех следов пальцев с трубок с помощью подходящего растворителя (например, ацетона), прежде чем поместить их в печь.
Рекомендуется направлять в лабораторию представительную пробу. Она не должна быть повреждена или изменена во время транспортирования и хранения.
Отбор проб не является частью данного метода, установленного в настоящей части стандарта. Рекомендованные методы отбора проб приведены в ИСО 542
[1] для масличных культур, в ИСО 5500
[3] - для жмыха и в
ИСО 6498 - для кормов для животных.
8. ПОДГОТОВКА ПРОБ ДЛЯ АНАЛИЗА
Лабораторную пробу следует приготовить таким образом, чтобы была получена однородная проба для анализа, представительная для масличных культур (см. ИСО 664) и кормов для животных (см.
ИСО 6498).
Используя подходящий измельчитель
(6.2), измельчают лабораторную пробу. Обычно пропускают измельченный материал через сито
(6.3) с номинальным размером отверстий 800 мкм для проб небольшого объема (до 300 мг) или сито с номинальным размером отверстий 1 мм - для проб большего объема (300 мг и выше)
[15]. Мельницы, которые дают продукт заданного размера, удовлетворяющий условиям, приведенным в таблице 1, дают приемлемые результаты.
Таблица 1
Требуемый размер частиц
Номинальный размер отверстий сита, мкм | Проход через сито, % по массе |
710 | 100 |
500 | От 95 до 100 |
200 | Не более 85 |
Измельчение может сопровождаться потерей влаги, поэтому содержание влаги в измельченной пробе подлежит также определению перед расчетом содержания азота или сырого протеина на основе определения сухого вещества или постоянного содержания влаги. Определение влагосодержания должно осуществляться в соответствии с ИСО 665, ИСО 771 или ИСО 6496.
Эффективность измельчителя можно проверить повторным приготовлением измельченных проб смеси 2 + 1 зерен кукурузы и сои. Ожидаемый коэффициент вариации должен быть не более 2% по массе.
9.1. Общие положения
Строго следуют инструкциям изготовителя при установке параметров прибора, оптимизации, градуировке и эксплуатации. Включают прибор и дают стабилизироваться в соответствии с принятыми в лаборатории процедурами.
Проверку рабочих характеристик прибора рекомендуется выполнять ежедневно, используя стандартный образец
(5.12). Полнота обнаружения азота должна быть > 99,0% по массе.
9.2. Проба для анализа
Взвешивают с точностью до 0,0001 г не менее 0,1 г анализируемой пробы в тигле, оловянной капсуле или не содержащей азота фильтровальной бумаге для прессования таблеток
(6.4). Для проб с низким содержанием протеина (< 1% по массе) размер пробы для анализа можно увеличить до 3,5 г в зависимости от типа прибора Дюма и характеристик пробы.
В зависимости от типа используемого оборудования, если проба содержит более 17% по массе влаги, может потребоваться сушка пробы перед анализом.
Могут потребоваться меньшие массы для проб с очень высоким содержанием сырого протеина или в случае наличия очень малого количества материала для испытания. Если масса пробы менее 0,1 г, то проводят второе определение (валидацию).
9.3. Контроль подачи кислорода
Контроль подачи кислорода, в частности скорость потока, должен осуществляться в соответствии с инструкциями поставщика материала.
С целью моделирования испытаний пробы на каждую серию определений содержания азота или сырого протеина проводят максимальное количество контрольных опытов, чтобы стабилизировать оборудование, используя для каждой серии эквивалентную массу сахарозы вместо пробы. Контрольный опыт с сахарозой дает количество азота, вводимого в форме атмосферного воздуха, захватываемого органическим порошкообразным материалом. Среднее значение контрольных определений используют в качестве поправки при расчете содержания азота или сырого протеина в каждой анализируемой пробе.
9.4. Градуировка
Для длительной градуировки прибора используют чистые соединения с известным постоянным содержанием азота, например, аспарагиновую кислоту (см.
5.12), в качестве стандартного образца. Анализируют три чистых соединения в двух параллельных определениях, каждое соединение берут в трех вариантах по концентрации, выбранных в соответствии с диапазоном измерения для реальных проб.
Для построения градуировочной кривой для определения выбирают соединение и его количество, используемое для обеспечения абсолютного количества азота применительно к анализируемым матрицам. Для целей градуировки используют не менее пяти стандартных проб в соответствии с диапазоном анализируемых матриц.
Если анализируемая проба содержит более 200 мг азота, градуировочная кривая скорее всего будет нелинейной. На нелинейном участке можно использовать для градуировки некоторые короткие сегменты. Чтобы обеспечить надежность градуировочной кривой на этих сегментах, количество стандартного образца необходимо увеличить поэтапно от 1 до 5 мг азота.
Градуировку можно также выполнить с помощью стандартных водных растворов.
Проверяют градуировку не менее трех раз в начале серии анализов и после каждых 15 - 25 проб, анализируя либо один из стандартных образцов, либо пробу с известным значением. Значение, полученное для массовой доли азота, должно отличаться менее чем на 0,05% от ожидаемого значения. В противном случае повторяют проверку градуировки после проверки рабочих характеристик прибора.
9.5. Определение
После приведения прибора в рабочее состояние вводят пробу для анализа в соответствии с инструкциями изготовителя.
В ходе анализа в приборе происходят следующие процессы (см. Приложение B,
рисунки B.1,
B.2 или
B.3).
Анализируемую пробу количественно сжигают в стандартных условиях при температуре не менее 850 °C в зависимости от прибора и анализируемого материала.
Летучие продукты разложения (главным образом, молекулярный азот, оксиды азота, диоксид углерода и водяной пар) транспортируются газом-носителем (см.
5.1) внутри прибора.
Оксиды азота восстанавливаются до молекулярного азота, а избыток кислорода связывается медью или вольфрамом
(5.7) в восстановительной колонне.
Вода удаляется осушительными трубками, наполненными перхлоратом магния, пентаоксидом фосфора или другим осушающим веществом
(5.8). Если в качестве газа-носителя используется диоксид углерода
(5.1.1), он удаляется посредством пропускания над соответствующим абсорбентом, например, гидроксидом натрия
(5.11) на подложке.
Мешающие соединения (например, летучие соединения галогенов и серы) удаляются абсорбентами
(5.3) или контактными материалами [например, серебряной ватой
(5.5) или гидроксидом натрия
(5.11) на подходящей подложке].
Азот в оставшейся газовой смеси, состоящей из азота и газа-носителя, проходит через детектор теплопроводности.
9.6. Обнаружение и интегрирование
Для количественного определения азота в приборе используется чувствительный элемент для определения теплопроводности, оптимизированный для используемого газа-носителя, который может оснащаться автоматической настройкой нуля между измерениями серии проб. После усиления и аналого-цифрового преобразования сигнала детектора полученные данные обрабатываются периферийной микропроцессорной аппаратурой.
10. РАСЧЕТ И ОБРАБОТКА РЕЗУЛЬТАТОВ
10.1. Расчет
10.1.1. Содержание азота
Результаты по общему содержанию азота

, выраженные в процентах по массе, прибор обычно выводит на печатающее устройство.
10.1.2. Содержание сырого протеина
Поправочный коэффициент

вычисляют по формуле
где

- массовая доля влаги, выраженная в процентах, до измельчения;

- массовая доля влаги, выраженная в процентах, после измельчения.
Содержание сырого протеина,

, выраженное в процентах по массе, вычисляют по формуле
где

- содержание азота, выраженное в процентах по массе, в пробе при фактическом содержании в ней влаги;
F - обычно согласованный коэффициент пересчета для анализируемого продукта, равный 6,25 для кормов для животных (см.
Приложение D).
Если требуется, можно рассчитать содержание сырого протеина, выраженное в процентах по массе от сухого вещества,

, по формуле
где

- содержание влаги, выраженное в процентах по массе, определенное в соответствии с ИСО 665, ИСО 771 или ИСО 6496.
10.2. Выражение результатов
Результат выражают до трех значащих цифр (например, 9,53% или 20,5%, или 35,4%).
11.1. Межлабораторные испытания
Подробная информация, касающаяся межлабораторных испытаний, выполненных для определения прецизионности метода, приводится в
Приложении E.
Значения, полученные по результатам межлабораторных испытаний, могут оказаться непригодными для диапазонов концентраций и матриц, отличающихся от приведенных.
11.2. Повторяемость
Абсолютная разность между двумя отдельными независимыми результатами анализа, полученными одним и тем же методом на идентичном анализируемом материале, в одной и той же лаборатории, одним и тем же оператором, использующим одно и то же оборудование, в течение короткого интервала времени, должна не более чем в 5% случаев превышать:
a) 0,1% по массе в случае, если проба содержит не более 4% азота по массе; и
b) 2% азота по массе в случае, если проба содержит 4% азота по массе или более.
11.3. Воспроизводимость
Абсолютная разность между двумя отдельными результатами анализа, полученными одним и тем же методом на идентичном анализируемом материале, в разных лабораториях, разными операторами, на разном оборудовании, должна не более чем в 5% случаев превышать:
a) 0,17% по массе в случае, если проба содержит не более 4% азота по массе; и
b) 4% азота по массе в случае, если проба содержит 4% азота по массе или более.
Протокол испытания должен включать, по меньшей мере, следующую информацию:
a) все сведения, необходимые для полной идентификации пробы;
b) использованный метод отбора проб, если он известен;
c) использованный метод анализа со ссылкой на данную часть стандарта;
d) подробное описание операций, не установленных в данной части стандарта или считающихся необязательными, наряду с описанием всех случайностей, которые могли повлиять на результат(ы) анализа;
e) полученный результат(ы) анализа, использованный коэффициент пересчета и содержание влаги в пробе для анализа или контрольное содержание влаги;
f) окончательный полученный результат, если проверялась повторяемость.
(справочное)
ПОСЛЕДОВАТЕЛЬНОСТЬ ОПЕРАЦИЙ НА АППАРАТЕ ДЮМА
Рисунок A.1
(справочное)
СХЕМАТИЧЕСКИЕ ДИАГРАММЫ ПОДХОДЯЩИХ ТИПОВ АППАРАТОВ ДЮМА

He
1 - регулятор потока кислорода; 2 - ввод пробы
для анализа; 3 - электропечь сопротивления с тиглем;
4 - (термоэлектрический) кулер; 5 - контейнер
для смешивания (колонка с балластом); 6 - дозатор;
7 - гидроксид натрия на подложке; 8 - перхлорат магния;
9 - медный катализатор (восстанавливает

и

);
10 - детектор теплопроводности; a - другие газообразные
продукты горения; b - измерительный поток;
c - контрольный поток
Рисунок B.1. Аппарат Дюма, пример 1 (газ-носитель: гелий)

11

12

13

14

15
1 - тигель для анализа; 2 - колонка для сжигания; 3 - печь
для сжигания (подвижная); 4 - держатель тигля; 5 - трубка
для поглощения

; 6 - трубка дожигания;
7 - восстановительная колонка; 8 - сушильная трубка;
9 - детектор теплопроводности; 10 - интегратор;
11 - осушающее вещество; 12 - серебряная вата; 13 - медная
проволока; 14 - медная проволока с платиновым
катализатором; 15 - хромат свинца
Рисунок B.2. Аппарат Дюма, пример 2 (газ-носитель: диоксид
углерода)
1 - баллон с гелием; 2 - клапан; 3 - восстановительная
трубка; 4 - восстановительная печь; 5 - газоабсорбционная
трубка; 6 - колонка для разделения газов; 7 - детектор
теплопроводности; 8 - баллон с кислородом; 9 - регулятор
потока кислорода; 10 - расходомер; 11 - клапан; 12 - ввод
пробы для анализа; 13 - стержень для ввода пробы
для анализа; 14 - трубка-реактор; 15 - печь для нагрева
трубки-реактора; 16 - трубка для проверки полноты
сгорания; 17 - конденсатор для удаления водяного пара;
18 - трубка для смешивания газов; 19 - фильтр N 1;
20 - измерительная трубка; 21 - фильтр N 2;
22 - циркуляционный насос; 23 - устройство для обработки
данных; 24 - устройство для ввода проб для анализа;
25 - лоток для пробы; 26 - подъемное устройство для лотка
с пробой; 27 - насос для подачи охлаждающего воздуха
Рисунок B.3. Аппарат Дюма, пример 3 (газ-носитель: гелий)
(справочное)
C.1. Вещества для градуировки
Некоторые из имеющихся приборов требуют ввода информации об ожидаемой потребности в кислороде.
Расчеты по
C.2 необходимы для некоторых типов приборов (приборов, использующих молекулярный кислород в умеренном избытке в присутствии диоксида углерода в качестве газа-носителя). Все расчеты основаны на допущении, что проба включает в себя только элементы C, N, O и H.
Таблица C.1
Потребность в кислороде чистых веществ, пригодных
для градуировки оборудования
Наименование вещества | Содержание азота, % по массе | Максимальная теоретическая потребность в кислороде, см3/г | Экспериментальная потребность в кислороде, см3/г |
Мочевина | 46,65 | 1305 | 560 |
Кислота аспарагиновая | 10,53 | 800 | 631 |
Тирозин | 7,73 | 1391 | 1267 |
Кислота глутаминовая | 9,52 | 952 | 800 |
Фенилаланин | 8,48 | 1593 | 1458 |
Кислота этилендиаминтетрауксусная | 9,59 | 920 | 767 |
Кислота гиппуровая | 7,82 | 1344 | 1219 |
C.2. Примеры расчета для оценки потребности в кислороде
C.2.1. Пример 1
Мочевина

: 1 моль соответствует 60,06 г; масса пробы для анализа 1000 мг.
Проба мочевины массой 1000 мг, соответственно, содержит:
- 199,8 мг C;
- 66,6 мг H;
- 466,5 мг N;
- 266,4 мг O.
Количество кислорода, требующегося для полного сжигания пробы до диоксида углерода и воды, рассчитывают с учетом содержания кислорода в рассматриваемом веществе и следующих фактов:
a) молярный объем идеального газа составляет 22,4 дм3 (при T = 0 °C и p = 0,1 МПа);
b) 1 моль C составляет 12 г (12 000 мг);
c) 1 моль

составляет 2 г (2 000 мг);
d) 1 моль

составляет 28 г (28 000 мг);
e) 1 моль

составляет 32 г (32 000 мг).
В результате для сжигания 1 г мочевины требуется 1305 см3 кислорода.
C.2.2. Пример 2
Аспарагиновая кислота

: 1 моль соответствует 133,10 г, масса пробы для анализа 1 000 мг.
Проба для анализа массой 1 000 мг аспарагиновой кислоты содержит:
- 360,6 мг C;
- 52,6 мг H;
- 105,2 мг N;
- 480,8 мг O.
Количество кислорода, требующегося для полного сжигания пробы до диоксида углерода и воды, рассчитывают с учетом содержания кислорода в рассматриваемом веществе и следующих фактов:
a) молярный объем идеального газа составляет 22,4 дм3 (при T = 0 °C и p = 0,1 МПа);
b) 1 моль C составляет 12 г (12 000 мг);
c) 1 моль

составляет 2 г (2 000 мг);
d) 1 моль

составляет 28 г (28 000 мг);
e) 1 моль

составляет 32 г (32 000 мг).
В результате для сжигания 1 г аспарагиновой кислоты требуется 800 см3 кислорода.
(справочное)
ПРИМЕРЫ КОЭФФИЦИЕНТОВ ПЕРЕСЧЕТА СОДЕРЖАНИЯ АЗОТА
В СОДЕРЖАНИЕ СЫРОГО ПРОТЕИНА <*>
--------------------------------
<*> Коэффициенты для расчета содержания сырого протеина по общему содержанию азота выводятся из метода Кьельдаля, который является стандартным методом для определения общего содержания азота. Поскольку метод, установленный в данной части стандарта, использует такие же коэффициенты, что и метод Кьельдаля, достоверность этих коэффициентов необходимо проверить ввиду небольшого различия в результатах, полученных методом Кьельдаля и методом Дюма.
Общепринятый коэффициент пересчета для кормов для животных составляет 6,25. Для других продуктов могут быть использованы другие коэффициенты.
Наименование продукта | Коэффициент пересчета содержания азота в содержание сырого протеина |
| | |
Ячмень | - | 5,68 | 5,83 |
Гречиха | - | 5,53 | - |
Мякоть кокоса (сырая) | 5,3 | - | 5,30 |
Кукуруза, мука | 6,25 | - | - |
Семя хлопчатника (жареное), мука | 5,3 | - | - |
Льняная мука | - | 5,41 | - |
Просо (сырое) | 5,83 | 5,68 | - |
Горчичная мука | - | 5,4 | - |
Овес | - | 5,5 | - |
Овес (овсяная мука, овсяные хлопья) | - | - | 5,83 |
Арахис (высушенный), мука | 5,46 | - | - |
Мука из семян рапса | - | 5,53 | - |
Рис (коричневый, длиннозерный) | 5,95 | - | - |
Рис домашнего помола, недошлифованный, пропаренный | - | - | 5,95 |
Рис шелушеный или коричневый (удалена только шелуха) | - | - | 5,95 |
Рис дробленый, белый | - | - | 5,95 |
Рожь, темная мука | - | 5,64 | 5,83 |
Мука сафлора | 5,3 | - | - |
Семена сафлора (высушенные) | 5,3 | - | 5,3 |
Кунжут (высушенный) | 5,3 | - | 5,3 |
Соевые бобы (жареные), мука | 5,71 | - | - |
Соевые бобы: зерна, мука и продукты из них | - | - | 5,71 |
Мука из семян подсолнечника | 5,3 | - | - |
Семена подсолнечника (высушенные) | 5,3 | - | 5,3 |
Тритикале | - | 5,76 | - |
Пшеница стекловидная краснозерная | 5,83 | 5,61 | - |
Пшеничные отруби | - | 5,26 | 6,31 |
Проростки пшеницы | - | 5,45 | - |
Пшеничная непросеянная мука, пшеничная мука, вареная и высушенная пшеничная крупа | - | - | 5,83 |
(справочное)
РЕЗУЛЬТАТЫ СОВМЕСТНЫХ ИСПЫТАНИЙ
Результаты приведены в таблице E.1. Значения предела повторяемости и предела воспроизводимости были выведены по результатам межлабораторных исследований, выполненных в соответствии с
ИСО 5725-1 [4] и
ИСО 5725-2 [5].
Таблица E.1
Корма для животных
Наименование параметра | Рацион для свиней | Корм для крупного рогатого скота | Заключительный рацион для свиней | Корм для поросят | Ростовой рацион для свиней | Корм для цыплят | Смесь кукурузы и соевых бобов |
Количество лабораторий | 9 | 10 | 9 | 10 | 9 | 9 | 9 |
Количество результатов | 9 | 20 | 9 | 20 | 9 | 18 | 9 |
Среднее содержание общего азота, % по массе | 1,74 | 1,87 | 2,15 | 2,43 | 2,51 | 3,22 | 3,26 |
Стандартное отклонение повторяемости  | 0,023 | 0,021 | 0,022 | 0,023 | 0,029 | 0,027 | 0,041 |
Коэффициент вариации повторяемости CV(r), % | 1,296 | 1,103 | 1,025 | 0,927 | 1,139 | 0,830 | 1,256 |
Предел повторяемости  | 0,063 | 0,058 | 0,062 | 0,064 | 0,080 | 0,076 | 0,115 |
Стандартное отклонение воспроизводимости  | 0,058 | 0,039 | 0,051 | 0,040 | 0,066 | 0,022 | 0,057 |
Коэффициент вариации воспроизводимости CV(R), % | 3,311 | 2,083 | 2,357 | 1,652 | 2,628 | 0,694 | 1,734 |
Предел воспроизводимости  | 0,161 | 0,111 | 0,142 | 0,114 | 0,184 | 0,063 | 0,158 |
Ссылка | | | | | | | |
Продолжение таблицы E.1
Наименование параметра | Корм для индейки | Корм для собак | Белковый концентрат | Смешанный корм для животных | Рацион для домашней птицы | Заключительный рацион для мясного скота, высокое содержание непротеинового азота |
Количество лабораторий | 10 | 10 | 10 | 30 | 9 | 9 |
Количество результатов | 20 | 20 | 20 | 150 | 9 | 9 |
Среднее содержание общего азота, % по массе | 4,18 | 4,64 | 6,73 | 9,05 | 9,8 | 13,1 |
Стандартное отклонение повторяемости  | 0,035 | 0,030 | 0,022 | 0,73 | 0,43 | 0,37 |
Коэффициент вариации повторяемости CV(r), % | 0,846 | 0,638 | 0,333 | 8,07 | 4,39 | 2,82 |
Предел повторяемости  | 0,100 | 0,084 | 0,063 | 2,07 | 1,22 | 1,05 |
Стандартное отклонение воспроизводимости  | 0,043 | 0,036 | 0,049 | 0,97 | 0,90 | 0,15 |
Коэффициент вариации воспроизводимости CV(R), % | 1,019 | 0,765 | 0,732 | 10,72 | 9,18 | 1,15 |
Предел воспроизводимости  | 0,120 | 0,100 | 0,140 | 2,75 | 2,55 | 0,43 |
Ссылка | | | | | | |
<а> Совместные исследования проводились на национальном уровне в 1991 г. под руководством АФНОР. |
Таблица E.2
Корма для животных - кормовая мука
Наименование параметра | Мясо-костная мука | Рыбная мука | Глютеновая мука | Мясная мука | Перьевая мука | Кровяная мука |
Количество лабораторий | 9 | 30 | 10 | 10 | 9 | 9 |
Количество результатов | 9 | 150 | 20 | 20 | 9 | 9 |
Среднее содержание общего азота, % по массе | 8,6 | 9,2 | 10,38 | 13,55 | 13,67 | 14,07 |
Стандартное отклонение повторяемости  | 0,38 | 0,088 | 0,046 | 0,050 | 0,047 | 0,026 |
Коэффициент вариации повторяемости CV(r), % | 4,42 | 0,914 | 0,444 | 0,370 | 0,340 | 0,186 |
Предел повторяемости  | 1,08 | 0,246 | 0,130 | 0,142 | 0,130 | 0,073 |
Стандартное отклонение воспроизводимости  | 0,75 | 0,332 | 0,100 | 0,116 | 0,080 | 0,112 |
Коэффициент вариации воспроизводимости, CV(R) | 8,72 | 3,609 | 0,958 | 0,856 | 0,583 | 0,798 |
Предел воспроизводимости  | 2,13 | 0,930 | 0,282 | 0,328 | 0,223 | 0,314 |
Ссылка | | | | | | |
<а> Совместные исследования проводились на национальном уровне в 1991 г. под руководством АФНОР. |
Таблица E.3
Масличные культуры
Наименование параметра | | Канола | Соевые бобы | Соевые бобы | Соевые бобы | Соевая мука | Соевая мука | Соевая мука | Соевая мука | Соевая мука | Соевая мука | Соевая мука | Подсолнечник |
Количество лабораторий | 9 | 9 | 9 | 9 | 9 | 12 | 13 | 13 | 13 | 14 | 14 | 13 | 9 |
Количество результатов | 18 | 18 | 18 | 18 | 18 | 24 | 26 | 26 | 26 | 28 | 28 | 26 | 18 |
Среднее содержание общего азота, % по массе | 3,34 | 3,73 | 5,58 | 5,65 | 6,56 | 7,91 | 7,95 | 7,97 | 8,01 | 8,04 | 8,04 | 8,09 | 2,96 |
Стандартное отклонение повторяемости  | 0,032 | 0,034 | 0,087 | 0,041 | 0,063 | 0,024 | 0,018 | 0,038 | 0,026 | 0,024 | 0,035 | 0,024 | 0,113 |
Коэффициент вариации повторяемости CV(r), % | 0,945 | 0,922 | 1,567 | 0,726 | 0,956 | 0,310 | 0,230 | 0,470 | 0,310 | 0,290 | 0,440 | 0,290 | 3,810 |
Предел повторяемости  | 0,088, | 0,096 | 0,245 | 0,115 | 0,176 | 0,069 | 0,051 | 0,106 | 0,070 | 0,066 | 0,099 | 0,067 | 0,315 |
Стандартное отклонение воспроизводимости  | 0,046 | 0,080 | 0,092 | 0,076 | 0,094 | 0,040 | 0,066 | 0,040 | 0,074 | 0,058 | 0,072 | 0,058 | 0,110 |
Коэффициент вариации воспроизводимости CV(R), % | 1,367 | 2,147 | 1,655 | 1,346 | 1,427 | 0,510 | 0,830 | 0,500 | 0,930 | 0,720 | 0,900 | 0,700 | 3,704 |
Предел воспроизводимости  | 0,128 | 0,224 | 0,258 | 0,213 | 0,262 | 0,112 | 0,186 | 0,112 | 0,208 | 0,162 | 0,202 | 0,160 | 0,307 |
Ссылка | | | | | | | | | | | | | |
|
Таблица E.4
Мука из масличных культур
Наименование параметра | Сафлоровая мука | Сафлоровая мука | Рапсовая мука | Мука из семян хлопчатника | Соевая мука | Мука из канолы | Соевая мука | Соевая мука | Соевая мука | Арахисовая мука |
Количество лабораторий | 23 | 24 | 10 | 24 | 24 | 23 | 9 | 10 | 24 | 24 |
Количество результатов | 45 | 47 | 20 | 92 | 47 | 45 | 9 | 20 | 91 | 91 |
Среднее содержание общего азота, % по массе | 3,32 | 3,34 | 5,41 | 6,62 | 7,13 | 7,21 | 7,30 | 7,42 | 7,88 | 8,25 |
Стандартное отклонение повторяемости  | 0,050 | 0,040 | 0,052 | 0,060 | 0,040 | 0,030 | 0,039 | 0,071 | 0,050 | 0,030 |
Коэффициент вариации повторяемости CV(r), % | 1,506 | 1,198 | 0,961 | 0,906 | 0,561 | 0,416 | 0,540 | 0,953 | 0,635 | 0,364 |
Предел повторяемости  | 0,140 | 0,112 | 0,147 | 0,168 | 0,112 | 0,084 | 0,110 | 0,200 | 0,140 | 0,084 |
Стандартное отклонение воспроизводимости  | 0,060 | 0,110 | 0,070 | 0,070 | 0,080 | 0,040 | 0,075 | 0,088 | 0,060 | 0,070 |
Коэффициент вариации воспроизводимости CV(R), % | 1,807 | 3,293 | 1,297 | 1,057 | 1,122 | 0,555 | 1,031 | 1,182 | 0,761 | 0,848 |
Предел воспроизводимости  | 0,168 | 0,308 | 0,199 | 0,196 | 0,224 | 0,112 | 0,211 | 0,248 | 0,168 | 0,196 |
Ссылка | | | | | | | | | | |
<а> Совместные исследования проводились на национальном уровне в 1991 г. под руководством АФНОР. |


- стандартное отклонение повторяемости;

- массовая
доля азота;

Коэффициент корреляции:

Рисунок E.1. Зависимость между стандартным отклонением
повторяемости и массовой долей азота (в процентах)
для определения по методу Дюма (обобщение данных
в этом Приложении)

- стандартное отклонение воспроизводимости;

- массовая доля азота;

Коэффициент корреляции:

Рисунок E.2. Зависимость между стандартным отклонением
воспроизводимости и массовой долей азота (в процентах)
для определения по методу Дюма (обобщение данных
в этом Приложении)
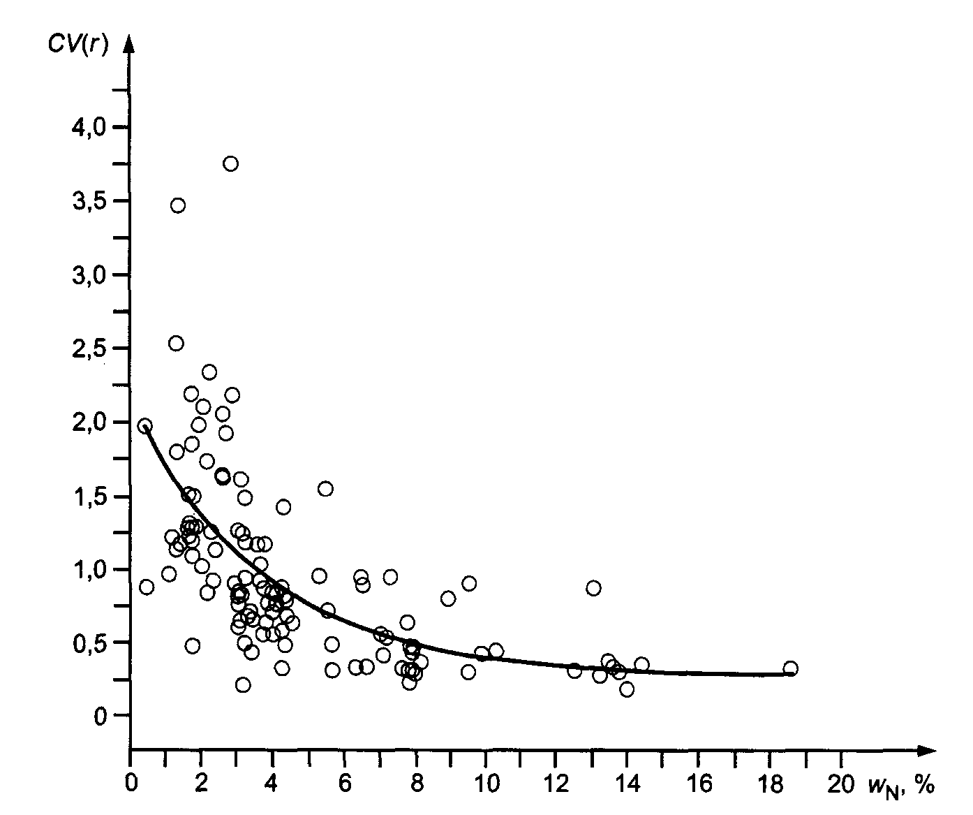
CV(r) - коэффициент вариации повторяемости;

- массовая доля азота
Рисунок E.3. Зависимость между коэффициентом вариации
повторяемости и массовой долей азота (в процентах)
для определения по методу Дюма (обобщение данных
в этом Приложении)
CV(R) - коэффициент вариации воспроизводимости;

- массовая доля азота
Рисунок E.4. Зависимость между коэффициентом вариации
воспроизводимости и массовой долей азота (в процентах)
для определения по методу Дюма (обобщение данных
в этом Приложении)
(справочное)
ЗАВИСИМОСТЬ МЕЖДУ АЗОТОМ ПО ДЮМА И АЗОТОМ ПО КЬЕЛЬДАЛЮ
Таблица F.1
Массовая доля азота, измеренная по методу Дюма
и методу Кьельдаля
Наименование продукции | Детали метода Кьельдаля | Используемый прибор Дюма <a> | Диапазон азота | Соотношение значений сырого протеина по Кьельдалю/Дюма | Примечание | | Ссылки |
Соевые продукты | Микро-Кьельдаль: медь-сульфат калия | Elementar RapidN III | 0,08 - 14,1 | 0,66 - 1,03 | - | | |
Корма для животных и сырье | Кьель-Фосс | Foss-Heraeus MacroN | 0,7 - 12,9 | 0,93-1,02 | По сравнению с Кьель-Фосс | | |
Пробы корма | Меди (II) сульфат | LECO CNS 2000 | 0,13 - 10,2 | - | - | | |
Молочные продукты и эталоны | Меди (II) сульфат | LECO и Foss-Heraeus | 0,5 - 14,5 | 0,979 - 1,029 | - | | |
Корма для животных и сырье | Меди (II) сульфат | LECO FP228 | 2,6 - 14 | 0,927 - 1,000 | Ежа сборная с высоким содержанием нитратов | | |
Корма для животных и сырье | Ртутный катализатор | LECO FP428/CHN 600 | 1,6 - 15 | 0,975 - 1,010 | Коэффициент никотиновой кислоты 0,8713 | | |
Зерновые и масличные культуры | Р | LECO Perkin Elmer Heraeus | 1,92 - 5,6 | 0,97 - 1,010 | Коэффициент никотиновой кислоты 0,95 | | |
Ртутный катализатор |
Ячмень и солод | Различные катализаторы, в том числе ртути (II) оксид | LECO и Foss- Heraeus | 1,145 - 2,03 | 0,978 - 0,997 | Везде Кьельдаль | | |
0,967 - 0,989 | Меньше Кьель-Фосс | |
Пшеница и пшеничная мука | - | - | - | - | Отклонение около 2% белка | - | |
Зерновые, масличные культуры, зерна | - | Некоммерческий | - | - | Прибор определяет на 1,2% - 2,5% больше белка в масличных культурах, одинаково для масличных культур | Прибор определяет на 1,2% - 2,5% больше белка в масличных культурах, одинаково для масличных культур | |
Дрожжи, солодовая дробина | - | - | - | - | Прибор определяет на 0,1% - 0,4% больше белка, что не представляет собой существенную статистическую разницу | Прибор определяет на 0,1% - 0,4% больше белка, что не представляет собой существенную статистическую разницу | |
Масличные культуры (канола, соевые бобы, семена подсолнечника, горчица) | Оксид титана, оптимизированный для пшеницы | LECO FP228 | 3,7 - 7,5 | - | Разница в  для семян подсолнечника рассматривается как проблема | - | |
Широкий диапазон материалов | Меди (II) сульфат | LECO FP228 | 0,07 - 37,4 | 0,33 - 1,40 | Заметные колебания во фруктах и овощах и сильные колебания в рыбе | | |
Корма | Кьель-Фосс | LECO FP228 | 0,5 - 14 | Малое: | Сравнивают малую пробу (100 мг) в методе AOAC с 1 г прессованной пробы. Метод с использованием большой пробы имеет гораздо лучшую повторяемость, коэффициент никотиновой кислоты, 0,98, но ЭДТА - 0,83; возможна погрешность при записях | Для малых проб: | |
0,98 - 1,84 | |
большое: | |
0,93 - 1,87 | |
для больших проб: |
|
|
|
Продукты детского питания | Меди (II) сульфат | CE Model 1500 | 1,01 - 9,26 | 0,95 - 1,01 | | | |
<a> Данная информация приводится только для удобства пользователей настоящего стандарта и не содержит обязательств со стороны ИСО в отношении данной продукции. |
<b>  - содержание азота по Кьельдалю, выраженное как массовая доля в процентах;  - содержание азота по Дюма, выраженное как массовая доля в процентах. |


- массовая доля азота, определяемого по методу Дюма;

- массовая доля азота, определяемого
по методу Кьельдаля
Рисунок F.1. Зависимость между массовой долей азота,
измеренной по методу Дюма и методу Кьельдаля для проб,
использованных в исследованиях, приведенных в
таблице F.1

разница между массовой долей азота, определяемого
по методу Дюма и по методу Кьельдаля;

- массовая доля азота, определяемого по методу Дюма;

по массе;

по массе;
ожидаемое значение

по массе
Рисунок F.2. Зависимость между массовой долей азота,
определяемого по методу Дюма и методу Кьельдаля, для проб,
использованных в исследованиях, приведенных в
таблице F.1
(справочное)
СВЕДЕНИЯ О СООТВЕТСТВИИ ССЫЛОЧНЫХ МЕЖДУНАРОДНЫХ СТАНДАРТОВ
ССЫЛОЧНЫМ НАЦИОНАЛЬНЫМ СТАНДАРТАМ РОССИЙСКОЙ ФЕДЕРАЦИИ
Таблица ДА.1
Обозначение ссылочного международного стандарта | Степень соответствия | Обозначение и наименование соответствующего национального стандарта |
ИСО 664:2008 | - | |
ИСО 665:2000 | - | |
ИСО 771:1977 | - | |
ИСО 6496:1999 | - | |
ИСО 6498:1998 | - | |
<*> Соответствующий национальный стандарт отсутствует. До его утверждения рекомендуется использовать перевод на русский язык данного международного стандарта. Перевод данного международного стандарта находится в Федеральном информационном фонде технических регламентов и стандартов. |
[1] ISO 542, Oilseeds - Sampling
[2] ISO 1871, Food products - General guidelines for the determination of nitrogen by the Kjeldahl method
[3] ISO 5500, Oilseed residues - Sampling
[4] ISO 5725-1, Accuracy (trueness and precision) of measurement methods and results - Part 1: General principles and definitions
[5] ISO 5725-2, Accuracy (trueness and precision) of measurement methods and results - Part 2: Basic method for the determination of repeatability and reproducibility of a standard measurement method
[6] ISO 5983-1, Animal feeding stuffs - Determination of nitrogen content and calculation of crude protein content - Part 1: Kjeldahl method
[7] ISO 5983-2, Animal feeding stuffs - Determination of nitrogen content and calculation of crude protein content - Part 2: Block digestion/steam distillation method
[8] ISO 6497, Animal feeding stuffs - Sampling
[9] ISO 13690, Cereals, pulses and milled products - Sampling of static batches
[10] ISO 14891 |IDF 185, Milk and milk products - Determination of nitrogen content - Routine method using combustion according to the Dumas principle
[11] ISO 20483, Cereals and pulses - Determination of the nitrogen content and calculation of the crude protein content - Kjeldahl method
[12] ICC Standard No. 167, Determination of crude protein in grain and grain products for food and feed by the Dumas combustion principle
[13] AACC approved method 46-30: Crude protein - Combustion method. In: AACC approved methods. American Association of Cereal Chemists, St. Paul, MN, 2002. Available (2008-04-08) from http://www.aaccnet.org
[14] AOAC official method 992.23: Crude protein in cereal grains and oilseeds. In: Official methods of analysis of AOAC International. AOAC International, Washington, DC, 2002. Available (2008-04-08) from http://eoma.aoac.org
[15] AOAC official method 997.09: Nitrogen in beer, wort, and brewing grains: Protein (total) by calculation - Combustion method. ASBC-AOAC Method. In: Official methods of analysis of AOAC International. AOAC International, Washington, DC, 2002. Available (2008-04-08) from http://eoma.aoac.org
[16] AOAC official method 990.03: Protein (crude) in animal feed. Combustion method. In: Official methods of analysis of AOAC International. AOAC International, Washington, DC, 2002. Available (2008-04-08) from http://eoma.aoac.org
[17] AOCS official method Ba 4f-00: Combustion method for determination of crude protein in soybean meal. In: Official methods and recommended practices of the AOCS, FIRESTONE, D.E., editor. AOCS Press, Champaign, IL, 1997. Available (2008-04-08) from http://www.aocs.org
[18] AOCS official method Ba 4e-93: Generic combustion method for determination of crude protein. In: Official methods and recommended practices of the AOCS, FIRESTONE, D.E., editor. AOCS Press, Champaign, IL, 1997. Available (2008-04-08) from http://www.aocs.org
[19] AOCS official method Be 4-91: Nitrogen-ammonia-protein modified Kjeldahl method titanium oxide + copper sulfate catalyst. In: Official methods and recommended practices of the AOCS, FIRESTONE, D.E., editor. AOCS Press, Champaign, IL, 1997. Available (2008-04-08) from http://www.aocs.org
[20] BERNER D.L., BROWN J. Protein nitrogen combustion method collaborative study: 1 - Comparison with Smalley total Kjeldahl nitrogen and combustion results. J. Am. Oil Chem. Soc. 1994, 71, p. 1291-1293
[21] BICSAK R.C. Comparison of Kjeldahl method for determination of crude protein in cereal grains and oilseeds with generic combustion method: Collaborative study. J. AOAC Int. 1993, 76, p. 780-786
[22] BUCKEE G.K. Determination of total nitrogen in barley, malt and beer by Kjeldahl procedures and the Dumas combustion method - Collaborative trial. J. Inst. Brew. 1994, 100, p. 57 - 64
[23] DAUN J.K., DECLERCQ D.R. Comparison of combustion and Kjeldahl methods for determination of nitrogen in oilseeds. J. Am. Oil Chem. Soc. 1994, 71, p. 1047 - 1078
[24] DONHAUSER S., GEIGER E., BRIEM F. Automatic nitrogen measurement using a combustion method. Brauwelt Int. 1993, (3), p. 219 - 221
[25] ELLEN G., MAHULETTE G.G. Stikstofbepaling in zuivelproducten: Dumas evenaart Kjeldahl [Nitrogen determination in dairy products: Dumas equals Kjeldahl]. Voedingsmiddelen-technol. 1997, 30 (3), p. 25 - 29
[26] ETHERIDGE R.D., PESTI G.M., FOSTER E.H.A. A comparison of nitrogen values obtained utilizing the Kjeldahl nitrogen and Dumas combustion methodologies (Leco CNS 2000) on samples typical of an animal nutrition analytical laboratory. Animal Feed Sci. Technol. 1998, 73, p. 21 - 28
[27] FOSTER A. Alternative method for analysis of total protein using the nitrogen determinator. J. Am. Soc. Brew. Chem. 1989, 47, p. 42 - 43
[28] FRISTER H., FEIER U., GOETSCH P.-H. Direct determination of nitrogen content by Dumas analysis: Interlaboratory study on precision characteristics. AOAC International - Europe Section, 4th International Symposium, Nyon, Switzerland, 1994
[29] JOHANSSON C.-G. Determination of total nitrogen in barley and malt by combustion method: Collaborative trial. Monatsschr. Brauwiss. 1996, 49, p. 326 - 330
[30] KINGBRINK М., SEBRANEK J.G. Combustion method for determination of crude protein in meat and meat products: Collaborative study. J. AOAC Int. 1993, 76, p. 787 - 793
[31] REVESZ R.N., AKER N. Automated determination of protein-nitrogen in cereals and grains. J. Assoc. Off. Anal. Chem. 1977, 60, p. 1238 - 1242
[32] SCHUSTER М., MORWARID М., SATTES, H. [The determination of the protein content in feedstuffs by the Dumas method]. In: 103. VDLUFA-Kongress, Ulm, Germany, 1991-09-16 to 21, p. 526 - 531. VDLUFA, Darmstadt
[33] SMITH I.D. Evaluation of the Foss-Heraeus macro N for the determination of nitrogen in a wide range of foodstuffs, ingredients and biological materials and comparison with the Kjelfoss. Anal. Proc. 1991, 28, p. 320 - 324
[34] SWEENEY R.A. Generic combustion method for determination of crude protein in feeds: Collaborative study. J. Assoc. Off. Anal. Chem. 1989, 72, p. 770 - 774
[35] TKACHUK R. Nitrogen-to-protein conversion factors for cereals and oilseed meals. Cereal Chem. 1969, 46, p. 419 - 423
[36] WINKLER R., BOTTERBRODT S., RABE E., LINDHAUER M.G. Stickstoff-/Proteinbestimmung mit der Dumas-Methode in Getreide und Getreideprodukten [Nitrogen/protein determination in wheat and wheat products (flour and meal) by the Dumas method]. Getreide Mehl Brot 2000, 54, p. 86 - 91
[37] JOINT FAO/WHO AD HOC EXPERT COMMITTEE ON ENERGY AND PROTEIN REQUIREMENTS. Energy and protein requirements: Report of a Joint FAO/WHO Ad Hoc Expert Committee, Rome, 22 March-2 April 1971. Rome, Food and Agriculture Organization, 1973. 118 p. (FAO Nutrition Meetings Report, No. 52; WHO Technical Report, No. 522.)
[38] BELLOMONTE G., COSTANTINI A., GIAMMARIOLI S. Comparison of modified automatic Dumas method and the traditional Kjeldahl method for nitrogen determination in infant food. J. Assoc. Off. Anal. Chem. 1987, 70, p. 227 - 229
[39] JUNG S., RICKERT D.A., DEAK N.A., ALDIN E.D., RECKNOR J., JOHNSON L.A., MURPHY PA. Comparison of Kjeldahl and Dumas methods for determining protein contents of soybean products. J. Am. Oil Chem. Soc. 2003, 80, p.1169-1173
[40] SCHMITTER B.M., RIHS T. Evaluation of a macrocombustion method for total nitrogen determination in feedstuffs. J. Agric. Food Chem. 1989, 37, p. 992 - 994
[41] SIMONNE A.H., SIMONNE E.H., EITENMILLER R.R., MILLS H.A., CRESMAN C.P. Could the Dumas method replace the Kjeldahl digestion for nitrogen and crude protein determinations in foods? J. Sci. Food Agric. 1997, 73, p. 39 - 45
[42] SWEENEY R.A., REXROAD P.R. Comparison of LECO FP-228 "nitrogen determinator" with AOAC copper catalyst Kjeldahl method for crude protein. J. Assoc. Off. Anal. Chem. 1987, 70, p. 1028 - 1030
[43] WILES P.G., GRAY I.K., KISSLING R.C. Routine analysis of proteins by Kjeldahl and Dumas methods: Review and interlaboratory study using dairy products. J. AOAC Int. 1998, 81, p. 620 - 632