Главная // Актуальные документы // ГОСТ Р (Государственный стандарт)СПРАВКА
Источник публикации
М.: Стандартинформ, 2013
Примечание к документу
Документ
введен в действие с 1 января 2013 года.
Название документа
"ГОСТ Р ЕН 14705-2011. Национальный стандарт Российской Федерации. Теплообменники. Методы измерения и оценки тепловых характеристик испарительных градирен"
(утв. и введен в действие Приказом Росстандарта от 28.09.2011 N 362-ст)
"ГОСТ Р ЕН 14705-2011. Национальный стандарт Российской Федерации. Теплообменники. Методы измерения и оценки тепловых характеристик испарительных градирен"
(утв. и введен в действие Приказом Росстандарта от 28.09.2011 N 362-ст)
Утвержден и введен в действие
по техническому регулированию
и метрологии
от 28 сентября 2011 г. N 362-ст
НАЦИОНАЛЬНЫЙ СТАНДАРТ РОССИЙСКОЙ ФЕДЕРАЦИИ
ТЕПЛООБМЕННИКИ
МЕТОДЫ ИЗМЕРЕНИЯ И ОЦЕНКИ ТЕПЛОВЫХ ХАРАКТЕРИСТИК
ИСПАРИТЕЛЬНЫХ ГРАДИРЕН
Heat exchangers. Methods of measurement and evaluation
of thermal performances of wet cooling towers
EN 14705:2005
Heat exchangers - Methods of measurement and evaluation
of thermal performances of wet cooling towers
(IDT)
ГОСТ Р ЕН 14705-2011
Дата введения
1 января 2013 года
Цели и принципы стандартизации в Российской Федерации установлены Федеральным
законом от 27 декабря 2002 г. N 184-ФЗ "О техническом регулировании", а правила применения национальных стандартов Российской Федерации -
ГОСТ Р 1.0-2004 "Стандартизация в Российской Федерации. Основные положения".
1. Подготовлен Некоммерческим партнерством "Инновации в электроэнергетике" (НП "ИНВЭЛ"), Федеральным государственным унитарным предприятием "Всероссийский научно-исследовательский институт стандартизации и сертификации в машиностроении" (ВНИИНМАШ) на основе собственного аутентичного перевода на русский язык стандарта, указанного в пункте 4.
2. Внесен ТК 039 "Энергосбережение, энергетическая эффективность, энергоменеджмент".
3. Утвержден и введен в действие
Приказом Федерального агентства по техническому регулированию и метрологии от 28 сентября 2011 г. N 362-ст.
4. Настоящий стандарт идентичен европейскому региональному стандарту ЕН 14705:2005 "Теплообменники. Методы измерения и оценки тепловых характеристик испарительных градирен" (EN 14705:2005 "Heat exchangers - Methods of measurement and evaluation of thermal performances of wet cooling towers").
Наименование настоящего стандарта изменено относительно наименования указанного европейского регионального стандарта для приведения в соответствие с ГОСТ Р 1.5-2004
(подраздел 3.5).
При применении настоящего стандарта рекомендуется использовать вместо ссылочных международных стандартов соответствующие им национальные стандарты Российской Федерации и межгосударственные стандарты, сведения о которых приведены в
Приложении ДА.
5. Введен впервые.
Информация об изменениях к настоящему стандарту публикуется в ежегодно издаваемом информационном указателе "Национальные стандарты", а текст изменений и поправок - в ежемесячно издаваемых информационных указателях "Национальные стандарты". В случае пересмотра (замены) или отмены настоящего стандарта соответствующее уведомление будет опубликовано в ежемесячно издаваемом информационном указателе "Национальные стандарты". Соответствующая информация, уведомление и тексты размещаются также в информационной системе общего пользования - на официальном сайте Федерального агентства по техническому регулированию и метрологии в сети Интернет.
Настоящий стандарт устанавливает специальные требования, методы испытаний, приемочные испытания для основных исследований (изменений) рабочих характеристик испарительных градирен и уменьшения шлейфа мокрых/сухих градирен.
Требования настоящего стандарта применяются к испарительным градирням с естественной тягой, усиленной установкой вентилятора (см.
3.1.2.4), мокрым/сухим градирням (см.
3.1.2.4) и градирням с принудительной вентиляцией, кроме серийных образцов. Настоящий стандарт определяет методы испытаний, требуемую аппаратуру, пределы погрешностей и методы оценки результатов.
Приемочные испытания предназначены для проверки соответствия рабочих характеристик и допустимых отклонений, оговоренных в договоре между поставщиком и покупателем. Если такие испытания необходимы, то они должны быть проведены как дополнительные во время действия договора и быть использованы при подготовке к основному исследованию.
Отклонения от правил, сформулированные ниже, и дополнения оформляют специальным соглашением между покупателем и поставщиком, которое должно быть зарегистрировано и оформлено в соответствии с установленными юридическими нормами.
Настоящий стандарт не применяется к серийным испарительным градирням с принудительной циркуляцией, требования к которым определены ЕН 13741.
Примечание. Термины, такие как "конструкция", "значения", "гарантия", используемые в настоящем стандарте, понимаются в техническом, а не в юридическом или коммерческом смысле.
Следующие нормативные документы, на которые даны ссылки, обязательны при использовании настоящего стандарта. Для датированных ссылок применяют только указанное издание. Для недатированных ссылок применяют последнее издание указанного документа (со всеми поправками).
ЕН 306 Теплообменники. Методы и точность измерения параметров, необходимых для установления эксплуатационных характеристик (EN 306, Heat exchangers - Methods of measuring the parameters necessary for establishing the performance)
ЕН 872 Качество воды. Определение взвешенных твердых частиц. Метод с фильтрацией сквозь стекловолоконное сито (EN 872, Water quality - Determination of suspended solids - Method by filtration through glass fibre filters)
ЕН 60751 Термометры сопротивления промышленные платиновые (МЭК 60751:1983 + A1:1986) (EN 60751, Industrial platinum resistance thermometers and platinum temperature sensors)
ЕН ИСО 5167-1 Измерение потока текучей среды с помощью устройств для измерения перепада давления, помещенных в заполненные трубопроводы круглого сечения. Часть 1. Общие принципы и требования (ИСО 5167-1:2003) (EN 15167-1, Ground granulated blast furnace slag for use in concrete, mortar and grout - Part 1: Definitions, specifications and conformity criteria)
ИСО 1438-1 Измерение потока воды в открытых каналах с помощью водосливов и лотков Вентури. Часть 1. Тонкостенные водосливы (ISO 1438-1, Water flow measurement in open channels using weirs and Venturi flumes; Part 1: Thin-plate weirs)
ИСО 2975-3 Измерение потока воды в закрытых каналах. Индикаторные методы. Часть 3. Метод впрыска при постоянном расходе с применением радиоактивных индикаторов (ISO 2975-3, Measurement of water flow in closed conduits; Tracer methods; Part III: Constant rate injection method using radioactive tracers)
ИСО/ТО 3313 Измерение потока текучей среды в закрытых каналах. Руководящие указания по воздействию пульсаций потока на приборы, измеряющие расход (ISO/TR 3313, Measurement of fluid flow in closed conduits - Guidelines on the effects of flow pulsations on flow-measurement instruments)
3. ТЕРМИНЫ, ОПРЕДЕЛЕНИЯ И ОБОЗНАЧЕНИЯ
3.1. Термины и определения
В настоящем стандарте применены следующие термины с соответствующими определениями:
3.1.1. Градирня (cooling tower): теплообменное сооружение, предназначенное для охлаждения воды за счет теплообмена с потоком воздуха.
3.1.2. Испарительная градирня (wet cooling tower): теплообменное сооружение, в котором теплообмен между водой и воздухом осуществляется прямым контактом.
3.1.2.1. Испарительная градирня с принудительной тягой (mechanical draught wet cooling tower): теплообменное сооружение, в котором циркуляция воздуха осуществляется вентилятором.
- Серийный тип испарительной градирни с принудительной тягой (series type mechanical draught wet cooling tower): теплообменное сооружение с принудительной тягой, конструкция которого представлена в каталоге изготовителя, эксплуатационные данные которого известны и позволяют осуществлять исследования показателей по определенному ряду рабочих состояний.
- Несерийный тип испарительной градирни с принудительной тягой (non series type mechanical draught wet cooling tower): испарительное теплообменное сооружение с принудительной тягой, конструкция которого определяется проектом, а рабочие данные и тестовая оценка в условиях эксплуатации определяются договором.
3.1.2.2. Градирня с естественной тягой (natural draught cooling tower): испарительное теплообменное сооружение, в котором движение воздуха происходит за счет разности плотностей холодного воздуха вне градирни и теплого воздуха внутри.
3.1.2.3. Градирня с естественной тягой, усиленной вентилятором (fanassisted natural draught cooling tower): теплообменное сооружение с естественной тягой и вспомогательным вентилятором, увеличивающим тягу.
3.1.2.4. Испарительная/сухая градирня [градирня с уменьшенным шлейфом] [wet/dry cooling tower (reduced plume cooling tower)]: теплообменное сооружение, состоящее из двух частей. В первой части теплообмен между водой и воздухом происходит за счет прямого контакта, а во второй части - через разделяющую их поверхность.
- Испарительная/сухая градирня, спроектированная для уменьшения шлейфа (reduced plume wet/dry cooling tower): испарительное/сухое теплообменное сооружение, спроектированное для уменьшения шлейфа.
- Испарительная/сухая градирня с пониженным уносом воды (water conservation wet/dry cooling tower): испарительное/сухое теплообменное сооружение, спроектированное для снижения уноса воды.
3.1.3. Воздушный поток (airflow): количество воздуха, включая водяной пар, протекающего через тяговую башню.
3.1.3.1. Противоток (counter flow): движение воды и воздуха в противоположном направлении.
3.1.3.2. Перекрестный ток (cross flow): движение воды и воздуха в перпендикулярном направлении.
3.1.4. Температура окружающей среды по мокрому (сухому) термометру [ambient wet (dry) bulb temperature]: температура воздуха по мокрому (сухому) термометру, измеряемая с наружной стороны вытяжной башни и независимая от влияния башни.
3.1.5. Предельная разность температур (approach): разность температур охлажденной воды и критичного воздуха по мокрому термометру.
3.1.6. Расход воды на входе (inlet water flow): количество горячей воды, поступающей в вытяжную башню.
3.1.7. Бассейны холодной воды (cold water basin): водоем под вытяжной башней, куда поступает охлажденная вода и откуда она направляется в выходной трубопровод или отстойник.
3.1.8. Диапазон охлаждения (coolin grange): разность температур охлажденной и горячей воды.
Примечание. Термин "диапазон" также используется в данном контексте, но не является часто употребляемым.
3.1.9. Унос влаги (drift loss): вода в виде капель, уносимая из градирни потоком воздуха.
3.1.10. Тепловая нагрузка (heat load): тепло, отобранное от воды в градирне.
3.1.11. Температура горячей воды на входе (hot water temperature): температура горячей воды, поступающей в градирню.
3.1.12. Температура воздуха на входе [inletair wet (dry) bulb temperature]: средняя температура проточного воздуха, включая рециркуляционные эффекты.
3.1.13. Подпитка (make-up): вода, добавляемая к воде циркуляционного контура для компенсации потерь воды из системы за счет испарения, уноса, отборов и протечек.
3.1.14. Отбор [purge (blow down)]: отбор воды из системы для контроля концентрации солей и других примесей в циркуляционной воде.
3.1.15. Температура охлажденной воды (recooled water temperature): средняя температура воды при отводе из бассейна, исключая случаи каких-либо добавок воды в бассейн или откачки для замены.
3.1.16. Рециркуляция (recirculation): часть выходящего воздуха, повторно всасываемого в градирню.
3.1.17. Взаимовлияние (interference): взаимовлияние потоков уходящего воздуха в смежных градирнях.
3.1.18. Напор для прокачки воды через градирню (tower pumping head): общий напор воды на входе в градирню, необходимый для подачи воды в распределительную систему.
3.1.19. Плотность потока (плотность дождя) (surfacic flow): расход подаваемой воды через единицу свободного поперечного сечения оросителя.
3.1.20. Температура мокрого/сухого термометра (wet (dry) bulb temperature): температура, показанная термометром в нормальных условиях вентилирования, увлажнения (неувлажнения) при экранировании (в зависимости от места применения), защищенным от воздействия радиации.
3.1.21. Атмосферный градиент (atmospheric gradient): изменение температуры сухого воздуха с высотой, выраженное в градусах Цельсия на каждые 100 м высоты.
3.2. Обозначения
В настоящем стандарте использованы обозначения и сокращения, приведенные в таблице 1.
| | ИС МЕГАНОРМ: примечание. В официальном тексте документа, видимо, допущена опечатка: одна и та же строка таблицы повторяется дважды. | |
Таблица 1
Обозначения, используемые в настоящем стандарте
Обозначение | Наименование параметра | Единица измерения |
A | Площадь орошения на единицу объема | |
a | Угол наклона | градус |
ap | Разность температур  | K |
C | Тепловой коэффициент | - |
CEV | Коэффициент испарения, отнесенный к объему воды | |
| Коэффициент потери нагрузки | - |
CEV | Коэффициент испарения, отнесенный к объему воды | |
| Удельное потребление воды | |
| Теплоемкость воздуха при постоянном давлении | |
| Теплоемкость воды | |
| Теплоемкость пара при постоянном давлении | |
| Направление ветра относительно севера | градус |
d | Гидравлический диаметр | м |
| Мощность привода вентилятора | кВт |
| Гарантированная мощность привода вентилятора | кВт |
g | Ускорение свободного падения | |
H | Высота напора | м |
h | Энтальпия (теплосодержание) воздуха | |
| Энтальпия воздуха на входе, рассчитанная при  ,  и  | |
| Энтальпия насыщенного нагретого воздуха, выходящего через нижние окна | |
| Энтальпия испаренной влаги воздуха при температуре воды | |
 ,  | Энтальпия испаренной влаги воздуха при температуре воды при 1 - вход, 2 - выход | |
k | Число испытаний | - |
| Критерий Меркеля | - |
| Теплота испарения воды при температуре t | |
m | Объемный расход циркулирующей воды на входе в градирню | |
| Расчетный объемный расход продувочной воды | |
| Измеренный объемный расход продувочной воды | |
| Объемный расход испаряемой воды | |
| Объемный расход добавочной воды | |
| Число классов скорости ветра | - |
| Объемный расход воды, теряемой от уноса влаги | |
N | Характерный признак номинальной пробы | - |
n | Показатели степени в управлении массообменника | - |
| Число испытаний для класса  | - |
| Число рассмотренных значений в каждом испытании | - |
P | Тепловая нагрузка | кВт |
| Атмосферное давление | Па |
| Давление насыщенного пара | Па |
| Статическое давление | Па |
| Парциальное давление пара в воздухе | Па |
| Массовый расход сухого воздуха | |
| Массовый расход циркулирующей воды | |
| Объемный расход воды в виде капель системы рекуперации охлажденной воды | |
| Местный объемный расход | |
| Объемный расход через циркуляционные насосы | |
| Сечение потока в точке измерения i | м2 |
 ,  | Поперечные сечения, перпендикулярные регулирующим клапанам водяного контура | м2 |
| Фронтальная поверхность оросителя | м2 |
T | Время начала | ч, мин |
t | Температура | °C |
| Температура окружающего воздуха по мокрому термометру | °C |
| Температура продувочной воды | °C |
| Средняя температура охлажденной воды непосредственно над поверхностью воды в бассейне холодной воды | °C |
| Значение температуры охлажденной воды при i-ом замере | °C |
| Гарантированное значение температуры охлажденной воды для i-го испытания | °C |
| Температура холодной воды на входе в градирню (смесь холодной и добавочной воды) | °C |
| Средняя температура охлажденной воды на входе в градирню | °C |
| Средние температуры горячей воды внутри потока | °C |
| Локальная температура | °C |
| Температура добавочной воды | °C |
| Температура воздуха по мокрому термометру на входе | °C |
| Температура наружного воздуха по мокрому термометру | °C |
| Температура сухого термометра (средняя температура воздуха на входе) | °C |
| Время заполнения холодной водой бассейна | мин |
V | Общий объем оросителя | м3 |
| Средняя фронтальная скорость воздуха на входе в ороситель | |
| Локальная скорость потока | |
| Скорость воды в перпендикулярном сечении | |
| Справочная скорость на высоте 10 м и выше уровня земли | |
x | Разность уровней между впрыскивающими соплами и уровнем воды в бассейне | м |
| Корректирующий коэффициент в интеграле Меркеля | - |
| Критерий Стьюдента | - |
| Абсолютная влажность наружного воздуха | кг воды/кг сухого воздуха |
| Абсолютная влажность воздуха на входе | кг воды/кг сухого воздуха |
| Абсолютная влажность воздуха на выходе из градирни | кг воды/кг сухого воздуха |
| Относительная влажность наружного воздуха | % |
| Относительная влажность наружного воздуха на входе | % |
| Относительная влажность наружного воздуха на выходе из градирни | % |
Ф | Фактор влияния мощности насоса | % |
| Плотность воздуха | |
| Плотность воды в циркуляционном контуре при постоянной температуре | |
| Плотность воздуха, поступающего в градирню | |
| Плотность нагретого воздуха на выходе | |
| Нормативное отклонение скорости ветра на высоте 10 м  во время испытания | |
| Весовой коэффициент скорости ветра класса r | - |
| Потери циркулирующей воды | - |
| Разность статистических напоров в водяном контуре между сечениями | Па |
| Средневзвешенная разность температуры охлажденной воды | K |
z | Разность температуры воды между входом и выходом из градирни | K |
| Разность между гарантированной температурой охлажденной воды и температурой воды при испытании | K |
| Разность температуры охлажденной воды для класса r в зависимости от скорости ветра | K |
| Мгновенная температура охлажденной воды | °C |
| Универсальный коэффициент потери нагрузки в водяных патрубках | - |
| Коэффициент  | - |
v | Коэффициент  | - |
4. ИССЛЕДОВАНИЕ ЭКСПЛУАТАЦИОННЫХ ХАРАКТЕРИСТИК.
ОБЩИЕ ПОЛОЖЕНИЯ
Эксплуатационные испытания, описываемые данным стандартом, должны осуществляться, если не указано другое, в рамках договора как минимум спустя три месяца непрерывной работы оборудования и только после ввода оборудования в эксплуатацию. В ходе испытания осуществляется контроль следующих показателей:
- напор для прокачки - расходы и потери давления (см.
6.4.5);
- тепловые характеристики - определение температуры охлажденной воды в условиях, при которых проводятся испытания (см.
6.4.4.4);
- характеристика выбросов (потери с уносом);
- характеристики факела на выходе (только для испарительных/сухих градирен).
Методы, описанные в настоящем стандарте, используемые для оценки тепловых характеристик, применяются для всех градирен, указанных в
разделе 1.
5.1. Общие положения
Перед подписанием договора поставщик должен предоставить имеющуюся в наличии эксплуатационную документацию с указанием значений гарантийных параметров, в зависимости от допустимых параметров воздействия, для того чтобы документально закрепить гарантируемые характеристики поставляемой градирни.
5.2. Гарантийные документы
5.2.1. Поставщик градирни должен гарантировать:
a) напор насоса градирни;
b) среднюю температуру охлажденной воды

, зависящую от:
- температуры сухого термометра

;
- относительной влажности

или температуры мокрого термометра

;
- диапазона охлаждения z или температуры горячей воды

;
- расхода воды m или

.
Также поставщик должен гарантировать, где необходимо, такие параметры, как:
- мощность вентилятора

;
- коэффициент влияния;
- коэффициент рециркуляции;
- давление (атмосферное)

;
- атмосферный температурный градиент G.
Однако для градирен с естественной тягой по договору должны выполняться расширенные испытания для определения влияния ветра на площадке на характеристики градирни. В данном случае поставщик гарантирует, что средняя температура охлажденной воды

будет зависеть от:
- скорости ветра

;
- направления ветра

.
Гарантийные документы могут быть представлены в виде сравнительных таблиц эксплуатационных характеристик, графиков, аналитических выражений, компьютерных программ и т.п.
Кривые эксплуатационных характеристик должны быть представлены в формате, указанном в
Приложении A, однако допускаются и другие форматы или соответствующие формулы при условии, что они предоставляют ту же информацию.
Кривые должны иметь точность показаний 0,1 K. Зона, в которой разрешено проводить приемные испытания, должна быть указана согласно
5.3.2.
Если для учета влияния других параметров предусмотрены корректировочные кривые (например, скорость ветра, атмосферный градиент, ослабление факела, атмосферное давление, коэффициент влияния, коэффициент рециркуляции), они должны применяться в соответствии с условиями договора.
c) Для градирен смешанного типа состояние воздуха на выходе должно определяться по каждому из указанных граничных условий:
- температуре сухого термометра

;
- относительной влажности

или температуре мокрого термометра

;
Контроль других показателей устанавливается договором.
5.3. Условия проведения испытаний
5.3.1. Общие условия
Результаты измерений, полученные во время проведения испытаний, учитываются только в случае соблюдения указанных выше требований.
5.3.2. Допустимые условия работы
5.3.2.1. Во время испытаний значения представленных показателей могут отличаться от проектных значений в пределах:
- объемный расход циркулирующей воды m в пределах +/- 10% проектного объемного расхода

,
- диапазон охлаждения

-

в пределах +/- 20% проектного значения

,
- тепловая нагрузка P в пределах +/- 20% от проектной тепловой нагрузки

.
5.3.2.2. В течение последнего часа, завершающего период испытаний, необходимо соблюдать следующие условия по отклонениям:
- расход воды - не более +/- 2% в час;
- тепловая нагрузка - не более +/- 2% в час;
- наружная температура по мокрому термометру - не более 1 K/ч.
5.3.3. Характеристики воды
Качество циркуляционной воды, а также воды для пополнения должно находиться в диапазоне характеристик, указанных в договоре.
В частности, необходимо проверить содержание растворенных и нерастворенных твердых веществ, масел и органических составляющих.
Общее содержание растворенных твердых веществ не должно превышать следующих показателей:
- 5000 мг/м3;
- более чем в 1,1 раза проектное содержание таких веществ.
Содержание масляных, смоляных и жировых веществ в циркуляционной воде не должно превышать 10 мг/м3.
Методы определения содержания твердых веществ указаны в ЕН 872.
5.3.4. Прочие условия
5.3.4.1. Требования, связанные с оборудованием
Градирня полностью должна находиться в рабочем состоянии. В частности, система распределения воды, каплеотбойники и сам корпус теплообменника не должны содержать такого количества инородных тел, которое могло бы препятствовать нормальному течению воды или воздуха.
Для того чтобы удостовериться в надлежащей работе градирни, перед началом испытаний обе стороны договора должны провести осмотр оборудования.
5.3.4.2. Требования, связанные с климатическими условиями
Климатические условия должны находиться в пределах нормальных условий работы, эти показатели определяются путем согласования между заказчиком и производителем.
Если условия по ветровой нагрузке согласованы в договоре, значения средней и максимальной скоростей ветра должны находиться в пределах проектных граничных значений, установленных договором. В таком случае влияние ветровых нагрузок учитывается производителем градирни, как указано в
9.3.2 или в
Приложении A.
Если в договоре предельные значения не установлены, средняя скорость ветра не должна превышать

. Стабильность скорости ветра должна характеризоваться сохранением стандартного отклонения скорости ветра

(м/с) от справочного значения в пределах граничных значений в течение получаса (30 мин) перед проведением замера и во время него независимо от продолжительности периода испытания.

- для всех случаев.
Кроме того, при проведении испытаний атмосферные условия должны отвечать указанным ниже условиям:
- отсутствие дождя, снега или града;
- отсутствие тумана, разница между показаниями сухого термометра

и мокрого термометра

должна быть более 0,1 K;
- при наличии объектов, представляющих собой препятствия (другая градирня, машинный зал и т.п.) и находящихся по соседству с градирней, во внимание принимаются только те результаты, которые получены в то время, когда ветер не дул со стороны данных объектов;
- усредненная температура окружающего воздуха по влажному термометру

на входе воздуха должна составлять не менее 2 °C

.
Главным образом для градирен с естественной тягой большое значение имеет контроль атмосферного градиента во время проведения испытания, поскольку он влияет на плотность входящего воздуха, которая является одной из составляющих тяги, заставляющей работать градирню. В том случае, когда значение атмосферного градиента было согласовано в договоре, значение среднего градиента, измеренного на высоте, равной двойной высоте градирни, должно находиться в пределах, указанных в технических требованиях. В случае если атмосферный градиент не был установлен договором, среднее значение градиента должно быть отрицательным и превышать минус 1 K на 100 м.
Показателем градиента является абсолютная разность между средней температурой по сухому термометру

на входе воздуха в градирню и температурой окружающего воздуха по сухому термометру

. Температура в пределах от минус 1 K до 0 K в большинстве случаев соответствует атмосферному градиенту в пределах от 0 K на 100 м до минус 1 K на 100 м.
Разница между значением температуры окружающего воздуха

по сухому термометру и значением средней температуры на входе воздуха в градирню

по сухому термометру должна удовлетворять следующему условию:
Другим показателем градирни является вертикальный градиент температуры по сухому термометру, представляющий собой разницу температур по сухому термометру между уровнем земли и верхней отметкой ввода воздуха. На время приемочных испытаний среднее значение температуры по сухому термометру в верхней точке или на верху ввода воздуха должно быть как минимум на 0,15 °C ниже среднего значения температуры по сухому термометру, измеренного на высоте 1,5 м над уровнем земли.
В случае нарушения требований (положительный атмосферный градиент), независимо от показателя, эксплуатационные испытания могут продолжаться только при условии согласия всех участвующих сторон.
5.3.4.3. Требования по рабочей конфигурации
Во время испытаний градирня должна иметь свою нормальную конфигурацию, система предотвращения намерзания должна быть отключена, обходные контуры закрыты.
5.3.4.4. Условия использования приборов
Перед началом испытания, в случае применения непрямого метода определения расхода, необходимо выполнить калибровку используемых измерительных датчиков и приборов.
6. МЕТОДИКА ПРОВЕДЕНИЯ ИСПЫТАНИЙ
6.1. Исследуемые параметры
В таблице 2 приведены параметры, влияющие на тепловые испытания для каждого типа градирен, представленных в
разделе 1.
Таблица 2
Параметры, влияющие на тепловые испытания
для каждого типа градирен
Тип градирни | Температура воздуха | Атмосферный градиент | Эффект ветра | Тяга вентилятора | Другое |
Естественная тяга | Сухой термометр (вход) | X | X | - | |
Мокрый термометр (наружная температура) |
Естественная тяга, усиленная вентилятором | Сухой термометр (вход) | X | X | X | |
Мокрый термометр (наружная температура) |
Принудительная тяга (кроме серийных) | Мокрый термометр (наружная температура или температура на входе) | - | X | | X |
Испарительная/сухая с уменьшенным факелом | | | | | |
Естественная тяга | Мокрый термометр (наружная температура или температура на входе) | X | X | - | Дополнительная проверка факела |
Принудительная тяга | Мокрый термометр (наружная температура или температура на входе) | | X | X | |
<a> Рециркуляция не является гарантийным случаем. |
6.2. Количество измерений
Показатели, которые должны измеряться для каждой из следующих характеристик:
a) Тепловые характеристики:
- скорость ветра на высоте 10 м над уровнем земли;
- направление ветра на высоте 10 м над уровнем земли (только если учитываются определенные сектора);
- плювиометрия (при необходимости);
- атмосферное давление

;
- температура наружного воздуха по влажному термометру на выходе

, измеряемая на высоте 10 м над уровнем земли или альтернативно, - относительная влажность наружного воздуха

;
- температура окружающей среды по сухому термометру на входе

, измеряемая на высоте 10 м над уровнем земли;
- температура воздуха по сухому термометру на входе в испарительную градирню

;
- температура воздуха по влажному термометру на выходе из испарительной градирни

или альтернативно - влажность воздуха на входе воздуха в испарительную градирню

;
- температура холодной воды

;
- температура горячей циркулирующей воды (если применимо)

;
- температура добавочной воды

(при необходимости)
<*>;
- температура отбираемой воды

(при необходимости)
<*>;
- объемный расход циркулирующей воды в испарительной градирне m;
- объемный расход полученной воды

(при необходимости)
<*>;
- объем расхода отбираемой воды

(при необходимости)
<*>.
--------------------------------
<*> Указанные температуры и расход необходимы, только если соответствующий уровень потока дополнительной воды входит или выходит между сечениями измерения температуры горячей и холодной воды.
b) Напор для покачивания воды по градирне:
- давление в водозаборе охладительного ввода (или лимит подачи).
c) Характеристики уноса воды:
- объем расхода воды с такими же химическими характеристиками, что и вода, теряемая из-за уноса влаги

.
d) Уменьшение шлейфа:
- температура по мокрому термометру на выходе из градирни

или относительной влажности

;
- температура по сухому термометру на выходе из градирни

.
e) Атмосферный вертикальный градиент G.
f) Мощность, потребляемая вентилятором.
6.3. Показатели, которые должны быть определены
Следующие показатели должны быть определены при помощи расчетов:
- массовый расход воды на входе в градирню;
- степень охлаждения

-

;
- средняя температура охлажденной воды

.
6.4. Измерения и расчет средних значений
6.4.1. Измерения атмосферных параметров
6.4.1.1. Измерения скорости и направления ветра
Измерения скорости

и направления ветра

должны быть проведены анемометрами чашечного типа и флюгерами или при помощи узлов анемометр/флюгер.
При выполнении расширенных испытаний, определяющих влияние ветра на площадке на работу градирни, рекомендуется использование трех измерительных приборов, при этом одного измерительного прибора достаточно.
Для открытого пространства прибор должен быть размещен на высоте 10 м над уровнем земли, при этом измерительные приборы должны располагаться на разных сторонах, если это возможно, на минимальной дистанции 300 м от любого крупного предмета (градирни, техники, находящейся на площадке, и т.п.). Данные условия должны быть указаны в соглашении между заказчиком и исполнителем.
6.4.1.2. Измерения температуры наружного воздуха по сухому и мокрому термометру или относительной влажности и атмосферного давления
Если требуется, температура наружного воздуха по сухому и мокрому термометру или относительная влажность и атмосферное давление воздуха должны измеряться на высоте 10 м над уровнем земли на месте, где проводились измерения скорости и направления ветра, посредством термометра и барометра.
Где необходимо, средний температурный вертикальный градиент окружающего воздуха по сухому термометру должен измеряться в непосредственной близости от градирни, между отметкой центра и верха входа воздуха, и на высоте, в два раза превышающей высоту испарительной градирни.
Зонды должны быть защищены от солнечных лучей и дождя.
6.4.1.3. Определение дождя
Определение дождя может быть выполнено ковшеобразным плювиометром или например, индикатором дождя, или визуальным способом.
6.4.1.4. Измерения температуры воздуха на входе по сухому и мокрому термометру или относительной влажности
Для среды, не связанной с испарительной градирней, температура воздуха на входе по сухому термометру

и мокрому термометру

(или относительная влажность) должна измеряться близко от входа воздуха на максимальной дистанции 1,5 м.
Минимальное количество датчиков должно быть

, где

- количество датчиков по окружности;

- количество проб по высоте входа воздуха (см.
таблицу 4).
При использовании нескольких датчиков они должны быть распределены с определенными интервалами как по окружности, так и по вертикали.
Если пробы сняты только на одном уровне, предпочтительно они должны проводиться в центре приточного воздуха.
Пробы должны быть защищены от влияния воды и прямых солнечных лучей.
Для среды, не связанной с испарительной градирней, пробы берутся там, где нет конструкций и выдающихся наружу предметов, в радиусе 45°, как показано на рисунке 1.
1 - верхний уровень выхода воздуха;
2 - зона без мешающих элементов
Рисунок 1. Зона без мешающих элементов на входе воздуха
Если указанные условия не соблюдаются, необходимо дополнительное соглашение между сторонами. Там, где используются дополнительные точки измерения, результаты должны учитывать влияние тех поверхностей, которые они представляют.
6.4.2 Измерения и расчет абсолютной и относительной влажности наружного воздуха (

и

)
Измерения наружной влажности должны быть произведены с использованием трехсекционного психрометра или трех гидрометров (например, точки росы). Эти приборы должны быть защищены от прямых солнечных лучей и дождя. Приборы размещаются на высоте 10 м над землей вблизи места измерения скорости и направления ветра.
Измерения психрометром сухой и влажной температуры позволяют определить относительную влажность окружающего воздуха, а также абсолютную влажность, для чего можно использовать метод расчета, указанный в
8.2.3.
В случае использования гидрометров комбинированные измерения относительной влажности и температуры по сухому термометру позволяют рассчитать температуру по мокрому термометру, при этом значение абсолютной влажности окружающего воздуха рассчитывается по этой же формуле.
6.4.3. Измерения атмосферного давления

Атмосферное давление может быть измерено с использованием датчика абсолютного давления, защищенного от воздействия ветра.
6.4.4. Температура воды
6.4.4.1. Определение температуры горячей воды

Если возможно, испытания должны проводиться при помощи отключения контуров воды на пополнение и промывочной воды. Если нет возможности, температура должна быть измерена в соответствии с
6.4.4.2 и
6.4.4.3.
a) измерения температуры циркулирующей воды при достижении градирни:
- температура горячей воды должна быть измерена в стояке или на водораспределительном участке градирни;
- в случае двух входов для воды температура должна быть измерена на каждом стояке или на водораспределительном участке;
- измерительное устройство должно включать в себя три зонда на каждый стояк или водораспределительный участок.
b) расчет средней температуры горячей воды:
- один вход для горячей воды - средняя температура

равна среднеарифметической температуре, измеренной в каждой точке;
- два входа для горячей воды - средняя температура горячей воды должна быть рассчитана исходя из температур по соответствующим потокам.
6.4.4.2. Определение температуры воды на пополнение

Температура воды на пополнение должна измеряться на входе в охлаждающий водяной контур. Измерительное устройство включает в себя три зонда.
Средняя температура воды на пополнение равна среднеарифметическому значению всех измеренных температур.
6.4.4.3. Определение температуры продувочной воды

Температура продувочной воды должна быть измерена в месте сброса продувочной воды, на границе градирни.
Измерительное устройство должно включать в себя три зонда.
Средняя температура продувочной воды определяется как среднеарифметическое значение измеренных температур.
6.4.4.4. Определение температуры охлажденной воды

:
a) измерение температуры циркулирующей воды на выходе из бассейна холодной воды
Общая часть
Температура циркулирующей воды предпочтительно должна измеряться внутри труб, на выходе из градирни и перед насосом (холодной воды) или непосредственно в водостоке. Также измерения могут быть проведены и после насоса, но в случае коррекции температуры охлажденной воды, за счет тепла, переданного при работе насоса, при этом требуется принять меры для предотвращения поломок (например, поломки термометра);
b) измерения внутри труб
В случае нескольких выходящих потоков температура должна измеряться в каждом из них.
Минимальное количество образцов на одном выходящем потоке должно быть

, где

выражено в

. Образцы должны быть расположены, как указано в ЕН 306;
c) измерения в структуре отводящей воды
Минимальное число проб должно быть

, где

выражено в

.
При глубине воды свыше 1,5 м должны быть взяты пробы с двух уровней.
Примечание. Если температура на одной или более измерительных точек отличается более чем на 1 K от средней, первым шагом к устранению неточности должно быть увеличение количества датчиков в два раза.
Если неточности неприемлемы, то необходимо определить температуру по локальной скорости (путем измерения).
В этом случае необходимо составить графики скорости для воды перпендикулярно к секции измерения, если средняя температура в одной или более измерительных точках отличается более чем на 1 K на один выход в течение измерительного периода. Эти графики, с одной стороны, дают возможность определить минимальное количество устанавливаемых датчиков и их месторасположения и выяснить, если это необходимо, исходя из описанных условий, взвешенное значение температур с учетом скоростей.
Там, где цикл пополнения не отключен, необходимо принять меры предосторожности, например, выполнить измерение поля скоростей, чтобы исключить, что однородные потоки не будут обнаружены.
6.4.5.1. Общие положения
Существуют два типа расхода воды, которые входят в градирню и выходят из нее:
- расход воды, неизменный во времени (расходы, создаваемые насосами, без регулирующих механизмов системы).
Примечание. Следует принять меры предосторожности для обеспечения падения давления неизменным во время испытаний (чистые трубопроводы).
- уровни расхода воды, которые изменяются в зависимости от обстоятельств (уровень воды, клапан, порог и т.д.).
Примечание. Измерения расходов такого типа проводятся на постоянной основе во время рабочих испытаний.
6.4.5.2. Измерение объемного расхода циркулирующей воды на входе в градирню m
В зависимости от типа охлаждающего контура потери воды могут быть постоянными или изменяющимися.
В первом случае измерения следует проводить для каждого типа насосов, проверяемых в эксплуатации при помощи метода зоны скоростей, метода постоянного впрыска потока, с использованием радиоактивных индикаторов (МЭК 2975-3) либо любым другим равнозначным способом.
Во время проведения испытаний температурных характеристик конфигурация работающих насосов должна быть проверена для определения общего уровня расхода.
Во втором случае должны использоваться стандартные методы и устройства определения перепада давления (ЕН ИСО 5167-1 и ИСО/ТО 3313) или с использованием перелива (МЭК 1438-1), либо непрямой метод, который требует предварительной калибровки.
6.4.5.3. Измерения объемного расхода добавочной воды

Если подачу добавочной воды не отключают во время определения

, то измерения проводятся стандартизированными методами и приборами определения абсолютного снижения давления (ЕН ИСО 5167-1 и ИСО/ТО 3313), перепада давления (ИСО 1438-1) или косвенным методом, который требует предварительной калибровки.
6.4.5.4. Измерение объемного расхода продувочной воды

Если во время измерений

невозможно отключить коллектор нисходящего потока воды, то измерения должны быть проведены стандартными методами и приборами определения абсолютного снижения давления (ЕН/ИСО 5167-1 и ИСО/ТО 3313), перепада давления (ИСО 1438-1) или косвенным методом, который потребует предварительной калибровки.
6.4.5.5. Объемный расход воды в виде капель системы рекуперации охлажденной воды

Объемный расход воды в виде капель системы рекуперации охлажденной воды определяется во время исследования тепловых характеристик.
Величина расхода при утечках должна быть установлена с помощью измеренных или предварительно определенных величин расходов

и

и рассчитанных величин расхода

и

.
Погрешности, присущие этому методу, позволяют определить только, что уровень расхода при утечках находится ниже установленного договором значения.
6.4.5.6. Гидравлические потери в контуре циркулирующей воды

Во время гидравлических испытаний гидравлические потери должны оставаться ниже значений, определенных на момент заказа.
Гидравлические потери можно определить следующими измерениями:
- разности статических напоров

с использованием двух проб;
- двух относительных величин напоров, используя два датчика.
Датчики должны быть подсоединены к двум постоянным точкам измерений. Одна должна находиться на входной трубе горячей воды, а вторая - на выходной трубе холодной воды.
Для вычисления гидравлических потерь дополнительно используются следующие исходные данные:
- площади поперечных сечений труб в точках отбора давления приходящего и уходящего потоков воды;
- разница между выходом воды из распылительных форсунок и поверхностью воды в бассейне холодной воды.
Для исключения слишком большой интерференции в скоростном поле точки измерения давления должны находиться на достаточном удалении от неравномерностей восходящих и нисходящих потоков. Сечения должны быть расположены внутри или снаружи сооружения.
Уровень воды в бассейне холодной воды на протяжении всего испытания должен поддерживаться на номинальном уровне.
| | ИС МЕГАНОРМ: примечание. В официальном тексте документа, видимо, допущена опечатка: пункт 4.5.2 в тексте документа отсутствует. | |
Измерение объемных расходов в циркуляционных насосах

(см. 4.5.2).
6.4.5.7. Измерение объемного расхода добавочной воды

Измерения должны быть выполнены так, как указано в
6.4.5.3.
6.4.6. Анализ циркулирующей воды
Концентрация взвешенных или растворенных веществ, масел, смол и жировых субстанций в циркулирующей воде должна быть измерена в соответствии с ЕН 872.
6.4.7. Высота напора градирни
Высоту напора градирни вычисляют по формуле
где p - измеренное статическое давление, Па;
H - высота относительно уровня бассейна, м.
6.4.8. Потребляемая мощность вентилятором
Измерению подлежит только электрическая энергия, потребляемая двигателями вентиляторов.
Потребляемая электроэнергия должна быть определена по измеренным напряжению, силе тока и коэффициенту мощности либо измерена непосредственно. При проведении измерений в какой-либо точке, удаленной от двигателя вентилятора, следует учитывать потери электроэнергии между измерительной точкой и двигателем.
Если эксплуатационная гарантия относится к выходной мощности привода, то можно использовать КПД, установленный производителем привода.
Прибор, применяемый для измерения мощности, должен быть откалиброван перед проведением испытаний признанной независимой лабораторией. Точность может колебаться не более чем на +/- 1,5% (см. таблицу 3).
Таблица 3
Стандартные допуски различных приборов
для измерений мощности
Измерение мощности вентилятора | Стандартный диапазон мощности вентилятора, % |
Ваттметр | 1 - 5 |
Вольтамперметр | 3 - 8 |
6.4.9. Проверка потери воды в результате уноса влаги
6.4.9.1. Условия потери воды в результате уноса влаги
Объемный расход воды, связанный с уносом влаги

, должен оставаться ниже пороговой величины, определенной во время заказа.
6.4.9.2. Метод измерения
Количество воды, унесенное потоками воздуха, должно быть измерено в 16 точках, распределенных таким образом, чтобы каждая из них отслеживала примерно 1/16 уровня потока воздуха:
- градирня с противотоком - измерение должно быть проведено на высоте 1,5 м над каплеотражателем;
- градирня с поперечным потоком - измерение должно проводиться на расстоянии ниже 3 м от каплеотражателя или вытяжного вентилятора.
Объем расхода воды, унесенной в каплях, должен быть измерен изокинетическим датчиком, где объем собранной воды вычитается из объема собранных солей, либо другим равнозначным методом.
6.4.10. Проверка шлейфа
6.4.10.1. Общие положения
Для градирен, разработанных с уменьшенным шлейфом, незримый шлейф может быть исследован, если измерены параметры выходящего воздуха и его прогнозированное состояние находится в допустимых границах, например, по диаграмме Мольера.
6.4.10.2. Измерения
Параметры выходящего воздуха измеряют на воображаемой плоскости на уровне примерно 1 м над выходом такого же диаметра, как и конструкция. Измерения проводят вдоль основной оси выхода воздуха.
Рисунок 2. Пример секционирования измеряемой зоны
(круговая зона)
Зона выхода подразделяется на одинаковые секции, равные по площади.
По линии гравитации этих секций, а также в центральной точке устанавливают по одному психрометру. Температура окружающей среды по сухому термометру

и по мокрому термометру

определяется данными, измеренными для соответствующего сегмента.
Все последующие данные о выходящем воздухе и, в частности, относительная влажность

могут быть вычислены по температуре сухого и мокрого термометров.
6.5. Размещение измерительных приборов
Поставщик обязан в соответствии с договором или по соглашению с клиентом или его представителем разработать план проведения приемочных испытаний и осуществить выбор измерительных приборов путем выбора из всех располагаемых приборов, тех, которые он считает необходимыми (см.
Приложение B).
Последующие изменения в этом плане должны осуществляться по соглашению между сторонами.
Для определения количества точек измерения следует использовать данные, указанные в таблице 4. Количество точек измерения должно быть определено с учетом окончательных дополнительных местных условий.
Таблица 4
Минимальное число и расположение точек измерения
Параметр | Минимальное число | Примечания |
Объемный расход воды | 1 на каждую трубу | В трубе |
Температура горячей воды | 0,5 A/м2, | В центре потока |
где A - площадь сечения трубы в измеряемой точке |
Температура холодной воды | | Измеряется на выходе из бассейна. Определяется в ключевых точках разделением потока на количество сечений M равной площади. При глубине более 1,5 м требуются две измерительные линии (одна над другой) |
Температура на входе по сухому и мокрому термометру |  - | |
в горизонтальном направлении; |
 - |
в вертикальном направлении, |
где  - длина впуска воздуха, м; |
 - высота впуска воздуха, м |
Относительная влажность окружающего воздуха на входе |  - | Если температура воздуха на входе по мокрому термометру не измеряется |
в горизонтальном направлении; |
 - в вертикальном направлении |
Давление воздуха | 1 | |
Скорость ветра | 1 | |
Мощность вентилятора | 1 | На входе питания или возле электрического шкафа в случае нескольких входов питания |
Напор | 1 | |
| | ИС МЕГАНОРМ: примечание. В официальном тексте документа, видимо, допущена опечатка: одно и то же предложение повторяется дважды. | |
Измеряемые параметры и их обозначения должны соответствовать таблице 5.
Измеряемые параметры и их обозначения должны соответствовать таблице 5.
Таблица 5
Измеряемые параметры и их обозначения
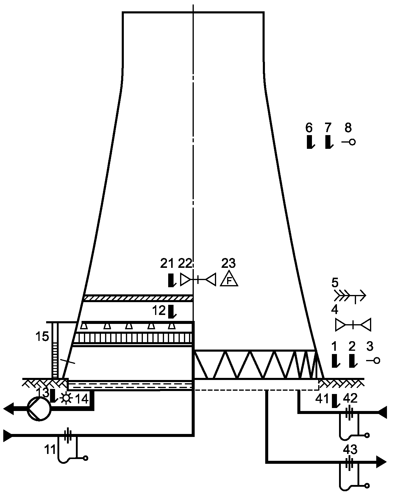
N | Измеряемые параметры | Обозначения |
1 | Температура воздуха на входе | |
2 | Температура на входе по мокрому термометру или относительная влажность |
3 | Атмосферное давление на высоте 10 м над уровнем земли | |
4 | Скорость ветра на высоте 10 м над уровнем земли | |
5 | Направление ветра на высоте 10 м над уровнем земли | |
6 | Наружная температура на высоте 10 м над уровнем земли | |
7 | Наружная температура по мокрому термометру на высоте 10 м над уровнем земли |
8 | Атмосферное давление | |
11 | Массовый расход потока горячей воды | |
12 | Температура горячей воды | |
13 | Температура холодной воды |
14 | Скорость потока холодной воды, если необходимо | |
15 | Напор | - |
21 | Температура шлейфа | |
22 | Скорость шлейфа | |
23 | Для больших градирен | |
31 | Мощность вентилятора | - |
41 | Температура добавочной воды | |
42 | Расход добавочной воды | |
43 | Расход продувочной воды |
Рисунок 3. Расположение точек измерения для градирни
с естественной тягой, усиленной вентилятором
Рисунок 4. Расположение точек измерений в вентиляторной
градирне
Рисунок 5. Расположение точек измерений в испарительной
градирне с естественной тягой
6.6. Измерительная аппаратура
6.6.1. Метод сбора данных
Измерение должно проводиться с использованием приборов сбора данных, которые позволяют в течение нескольких секунд записать показатели, полученные с помощью используемых измерительных устройств.
6.6.2. Датчики
Характеристики датчиков для измерения параметров, связанных с гидравлическими и тепловыми характеристиками, представлены в
Приложении B.
6.6.3. Проверки
Процедуры, которые должны быть выполнены в первую очередь перед проведением эксплуатационных испытаний:
- проверка готовности оборудования к работе;
- калибровка датчиков;
- предварительная калибровка измерительных устройств в случае использования непрямых методов определения расхода.
7. ОПРЕДЕЛЕНИЕ ЭКСПЛУАТАЦИОННЫХ ПОКАЗАТЕЛЕЙ
7.1. Вид испытания
7.1.1. Базовое испытание
В целом базовые испытания состоят из:
- периодов, продолжительностью в один час каждый. Полученные данные по каждому периоду усредняют за каждый период;
- каждый период состоит из интервалов продолжительностью максимум 10 мин. Все измеряемые показатели собирают минимум один раз в течение каждого интервала.
Собранные данные за каждый интервал времени усредняют по каждому показателю.
7.1.2. Длительное испытание
В случаях, когда согласовано проведение длительного испытания, оно должно состоять из:
- периодов продолжительностью в 10 мин каждый. Полученные данные по каждому измеренному показателю усредняют за каждый период;
- каждый период состоит из интервалов продолжительностью максимум 2 мин. Все измеряемые значения показателя собирают минимум один раз в течение каждого периода.
Более того, оценка влияния ветра на характеристики, обоснованная дополнительными условиями, должна быть выполнена:
- в течение часа, предшествующего окончанию периода, разница между максимальным и минимальным значениями температуры повторно не должна превышать 1 K;
- условия по скорости ветра (см.
5.3.4.2):
- в течение периода изменение температуры охлажденной воды не должно превышать 0,2 K.
7.1.3. Принцип проведения испытания
Принципом данного испытания является сравнение:
- измеренной температуры охлажденной воды с температурой охлажденной воды, гарантированной изготовителем градирни в условиях испытаний и с коррекцией на измеренную скорость ветра;
- результатов измерений, полученных в течение периода; результаты измерений должны учитываться только в том случае, если соблюдены требования
5.3. Результаты измерений за все соответствующие требованиям периоды должны быть сопоставлены.
Данный метод испытания может быть применим только при следующих условиях:
- если условия проведения испытаний находятся в рамках, предусмотренных изготовителем в соответствии с рабочими графиками;
- скорость ветра находится в рамках, предусмотренных изготовителем в соответствии с кривой влияния ветра (если такая информация предоставлена).
7.2. Продолжительность испытаний
7.2.1. Продолжительность приемочных испытаний - количество периодов
7.2.1.1. Базовое испытание
Продолжительность измерений при приемке выбирают в соответствии с изменениями во времени температуры воздуха, чтобы получить точное среднее значение, и выполняют в течение дня.
Если изменения температуры сухого воздуха во время рабочего испытания составляют больше 1 K/ч, то для оценки должны использоваться эквивалентные измерения с учетом графиков повышения и падения температуры сухого воздуха. Каждый отдельный период измерения должен длиться один час.
Для крупных градирен базовое испытание должно состоять из 10 периодов.
Если условия испытания практически неизменны, то допускается более короткий ряд испытательных периодов.
Для небольшой градирни удовлетворительным считается минимум два периода.
7.2.1.2. Длительное испытание
Для достижения достоверного среднего значения с учетом воздействия ветра тепловые приемочные испытания должны продолжаться как минимум 300 периодов.
Если период приемочного испытания включает в себя более широкие изменения параметров, время измерений должно продолжаться достаточно долго, не менее 300 периодов.
Приемочные измерения должны быть представлены за полный день. Количество периодов уменьшения и увеличения температуры воздуха должно быть равно.
7.2.2. Частота считывания
7.2.2.1. Общие положения
Интервал считывания должен составлять 10 мин (или 2 мин для максимально длительных испытаний). Интервал считывания начинается во время T и прекращается во время T + 10 (или 2 мин). Характерные значения интервала должны рассчитываться по среднему значению измерений, проведенных в течение указанных минут.
Для длительного испытания в зависимости от упомянутых в
7.1.2 условий первый интервал серии может считаться завершенным только через один час испытаний.
Если проведенные испытания согласуются с данными условиями, должны последовать следующие интервалы.
7.2.2.2. Получение данных
Каждый интервал продолжительностью 10 мин (или 2 мин для длительных испытаний) должен быть организован следующим способом:
- считыванием значений всех параметров как минимум в период T и T + 10 (или 2 мин), рассчитанных в минутах;
- считыванием как минимум пять раз в минуту скорости и направления ветра.
Скорость ветра измеряется непрерывно, что позволяет зафиксировать порыв ветра.
7.2.2.3. Расчет средних величин каждого измеренного параметра
a) Отчетная скорость ветра и его направление
Средние величины скорости ветра и его направления за заданный интервал времени рассчитываются как среднеарифметическое выполненных замеров, выполненных за заданный интервал времени.
b) Прочие замеры
1) Общие данные
Средние величины других измеренных величин за заданный интервал времени рассчитываются как среднеарифметическое выполненных замеров в промежуток времени между T и T + 10 (или 2 мин), включая ограничения.
Условия, при которых выполняются расчеты средних величин данных, относящихся к испытанию, описываются далее.
2) Расчет средней температуры холодной воды

Если измерения проводятся непосредственно в изменяемой структуре воды, то расчет средней холодной температуры может быть рассчитан в зависимости от двух вероятностей в каждом исходящем потоке:
- при максимальной разнице между измеренными температурами меньше 1,0 K среднюю температуру циркуляционной воды, покидающей бассейн, приравнивают к среднеарифметическому выполненных замеров;
- при максимальной разнице между измеренными температурами, превышающей 1,0 K, каждое измерение температуры

осуществляют с учетом скорости потока

в данной точке. Среднюю температуру циркуляционной воды, покидающей бассейн, вычисляют по формуле
при этом каждая измеренная точка относится к эквивалентной площади.
3) Расчет средней температуры холодной воды

Температура циркулирующей воды

определяется по температуре холодной воды

с учетом:
- тепловой инерции бассейна;
- атмосферного градиента;
- расхода добавочной воды, который воздействует на уровень воды в бассейне или выпуска воды до уровня, где выполняется замер холодной воды.
Пример. В случае отбора воды и добавления воды на пополнение, которые влияют на уровень бассейна холодной воды в бассейне, расчет

для учета:
- расхода добавочной воды вычисляют по формуле
Получаем значения q за интервал времени T и T + 10, рассчитанные при помощи заранее определенных значений m и

, как это описывается в
6.4.5.6,
8.2.7, и

,

,

, измеренных в эти же интервалы времени;
- тепловой инерции вычисляют по формуле
где

- время обновления водного бассейна, определяемое из объема водного бассейна и уровня объемной скорости потока воды;
- атмосферного градиента.
Пример влияния градиента на температуру холодной воды приведен на рисунке 6.
1 - влияние на холодную воду, K;
2 - атмосферный градиент, K на 100 м
Рисунок 6. Влияние градиента на температуру холодной воды
Среднее значение G составляет 0,65 K на каждые 100 м (понижения) высоты. Положительные значения означают инверсию.
4) Определение объемного расхода испаряемой воды

Объемная скорость испаряемой воды определяется либо по данным изготовителя, либо при помощи любого другого эквивалентного метода.
5) Определение объемного расхода продувочной воды

и

Определение расходов

и

осуществляется в соответствии с указанным ниже:
a) Независимо от типа градирни значение объемного расхода продувочной воды

, которое используется при корректировке температуры охлажденной воды, вычисляют как разницу между объемным расходом добавочной воды

(см.
6.4.5.3) и объемным расходом испаряемой воды

[см.
7.2.2.3 b), 4)]
b) Значение объемного расхода продувочной воды

, которое используется в расчете объемного расхода утечек воды рекуперативной системы

, определяется в соответствии с требованиями
6.4.5.4.
6) Определение объемного расхода воды, покидающего рекуперативную систему

.
Для градирни необходимо выполнить проверку того, что объемный расход утечек воды рекуперативной системы (см.
6.4.5.5) соответствует значениям, указанным в договоре.
Объемный расход утечек определяется при помощи замеренных или предварительно заданных расходов

и

и рассчитанных расходов

и

.
7) Расчет расхода добавочной воды
Потери воды в виде капель вычисляют как среднеарифметическое значение результатов, полученных в различных точках замеров.
8.1. Общие положения
Для плотности воды при соответствующей температуре горячей воды

(см.
8.2.7) дополнительно определяется относительная влажность как функции температур по сухому и мокрому термометрам при соответствующей плотности воздуха (см.
9.3.5.3).
8.2. Методы
8.2.1. Общие положения
Для расчета среднего значения в каждой точке измерений см.
7.2.2.3.
8.2.2. Расчет средней скорости ветра и его направления
Средняя скорость ветра

равна среднеарифметическому двух ближайших замеров скорости при отклонении величины этих замеров менее

.
Среднеарифметическое направление ветра

равно среднеарифметическому двух ближайших замеров направления, которые имеют между собой допустимое отклонение величин по углу менее 10°.
8.2.3. Расчет средних значений абсолютной и относительной влажности
Средние значения абсолютной

и относительной

влажности окружающего воздуха равны в обоих случаях среднеарифметическому двух ближайших величин за интервал времени, в котором последние имеют между собой относительную разницу менее 10%.
8.2.4. Расчет средней температуры окружающего воздуха по сухому термометру
Средняя температура окружающего воздуха по сухому термометру

равна среднеарифметическому двух ближайших замеров, которые имеют между собой допустимое отклонение менее 0,2 K.
8.2.5. Расчет средней температуры
Средняя температура равна среднему показателю различных замеров температуры, выполненных полным множеством датчиков для данного интервала:
8.2.6. Расчет гидравлических потерь
Исходя из расчета разницы статического давления

, гидравлические потери

, соответствующие объемному расходу потока m, получают путем выполнения следующих корректировок:
a) изменение кинетической энергии воды между сечениями

и

относительно измерения давления
b) если точки измерения давления не расположены в пределах системы, потери напора на единицу длины в участках трубопровода, размещенных между сечениями трубы и границами системы, должны рассчитываться по формуле Коулбрука с использованием следующего универсального коэффициента гидравлических потерь для водопроводных труб диаметра D:
Неместные потери напора, обусловленные коленами, вычисляют по формуле
c) если измерение потери давления выполняется для скорости объемного потока m, отличной от номинального уровня потока

, давление при номинальном потоке должно быть определено исходя из измеренной потери давления

при

.
8.2.7. Расчет объемного расхода циркулирующей воды, поступающей в градирню m
Данный расход образован расходом циркуляционных насосов (неизменный) и скорректирован с учетом дополнительных потоков (подпитка, продувка), если такие имеются, когда последние подаются под напором или отбираются между выходом из насосов и входом в градирню.
| | ИС МЕГАНОРМ: примечание. В официальном тексте документа, видимо, допущена опечатка: подпункты в пункте 6.4.5.6 отсутствуют. | |
Объем m и масса

должны быть определены на входе в градирню, где m - результат замера [см.
6.4.5.6 в)]. Точность измерения m является важной для определения тепловых характеристик.
Расчет массового расхода определяют плотностью воды

при температуре горячей воды и вычисляют по формуле
Настоящая формула выведена на основании рекомендации Шестой Международной конференции по свойствам воды и пара. В пределах от 10 °C до 50 °C относительная погрешность по

составляет менее

.
8.2.8. Определение переданного тепла P
Значение переданного тепла определяется измерением для всей установки.
8.2.9. Проверка гарантии отсутствия шлейфа
8.2.9.1. Общие сведения
Проверка отсутствия шлейфа разделена на две части:
a) проверка точки смешения, предназначенная для того, чтобы достигнуть соответствия с предварительной оценкой по тепловым характеристикам;
b) проверка качества смешения двух потоков воздуха, то есть однородности смешения выше выхода воздуха.
8.2.9.2. Проверка гарантии точки смешения
Состояния воздуха на выходе

,

и

, которые были рассчитаны для текущего работоспособного состояния системы, вычисляют при помощи тепловых характеристик комбинированной градирни. Эти состояния воздуха на выходе получают при расчете теоретической точки смешения

(см. рисунок 7).
1 - массовая энтальпия воздуха h;
2 - абсолютная влажность окружающего воздуха

;
3 - диаграмма Мольера
Рисунок 7. Представление допустимых значений
для точки смешения
Средняя величина на единицу пространства и времени температуры

и влажности выходящего воздуха

рассчитаны на основе данных измерений.
Показатели точек смешения

на диаграмме Мольера определяют этими параметрами.
Гарантийные условия выполняются, если:
при

и

с допусками, которые должны быть согласованы.
Фактическая величина смешения

должна быть выше граничной линии

и с левой стороны ограничена кривой
(рисунок 7). Значения отклонений определяют допусками на

и

:
8.2.9.3. Проверка качества смешения
Качество смешения считается допустимым, если стандартное отклонение

абсолютной влажности x, которая была определена исходя из температуры по сухому термометру

и температуры по мокрому термометру

выходящего потока воздуха ниже, чем значение допустимого отклонения

:
где

- стандартное отклонение;

- среднее содержание воды выходящего воздуха из оросителя;

- влажность окружающего воздуха;

- влажность одной отдельной точки замера;

- среднее содержание по всем точкам замера.
9. ОЦЕНКА ОСНОВНЫХ ТЕПЛОВЫХ ХАРАКТЕРИСТИК
9.1. Общие положения
Тепловая характеристика градирни - способность производить гарантированное охлаждение воды при определенных условиях эксплуатации и показателях приточного воздуха.
Это может быть достигнуто при прямом сравнении результатов испытаний и исходных рабочих кривых или путем сравнения результатов испытаний с проектными данными.
Влияние погрешностей измерений должно учитываться при интерпретации результатов.
9.2. Определение основных тепловых характеристик
9.2.1. Проверка измеренных значений
Для каждого периода тестовых измерений прежде всего вычисляют среднеарифметическое значение каждого параметра за период и заносят в акт оценки. Затем, используя эти средние величины, гарантированное значение температуры охлажденной воды

получают из кривых рабочих характеристик для каждого периода испытаний.
9.2.2. Сравнение с гарантированными значениями
Разность между средней температурой охлажденной воды

и гарантированной температурой охлажденной воды

вычисляют для каждого измеренного результата испытания по формуле
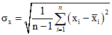
Из этих полученных средних арифметических значений вычисляют среднее значение всех результатов по формуле
если иное не оговорено договором, гарантированные параметры считаются достигнутыми при

.
Доказательство того, что гарантированные числовые значения были достигнуты, может быть получено путем расчета неопределенности, когда
| | ИС МЕГАНОРМ: примечание. В официальном тексте документа, видимо, допущена опечатка: пункт 9.4 в тексте документа отсутствует. | |
Отклонение

, которое определяется гарантийными условиями и должно быть рассчитано по 9.2.3, а неопределенность сравнения измеренной и гарантированной температурами охлажденной воды

определяется в соответствии с 9.4.
Значение неопределенности

определяется влиянием на работу градирни неизмеряемых факторов (погрешности, вызванные изменением направления ветра из-за находящихся рядом зданий; воздействия, вызванные изменением характеристик ветра на высоте, наличие примесей в охлаждаемой воде и прочее) и принимается равным 0,2 K.
9.2.3. Коррекция гарантийных условий при отклонениях
Гарантийное значение

может быть получено по кривым номограмм, полученных при приемочных испытаниях.
Для того чтобы оценки не зависели от точек измерения, разность температур

используется для каждого результата измерения согласно гарантийным условиям (

,

,

).
Поправку выполняют при помощи кривых номограммы.
Вместе с результатами измерений для

при испытаниях измеряют:
- температуру окружающего воздуха

,
- плотность воздуха (для искусственной тяги - градирня с вентилятором)

,
- относительную влажность окружающего воздуха

,
- температуру горячей воды

,
- температуру охлажденной воды

.
Фактический массовый расход воды

может быть определен по кривым номограммы, для которой гарантированная температура холодной воды может быть достигнута. С фиктивным массовым потоком и гарантийными условиями (

,

,

) фиктивная температура

охлажденной воды может быть определена по номограмме.
Следующая разница соответствует отклонению температуры холодной воды от гарантийной величины при гарантийных условиях
Таким образом,

является заданным значением. Оно получено по номограмме исходя из измеренного массового расхода воды

и гарантийных условий

,

,

. Отклонение

, которое применяется при гарантийных условиях, получают в качестве среднеарифметического всех результатов измерений:
Представленный метод коррекции может быть также использован для оценок, которые не зависят от точек измерения, невыполненных гарантий по температуре охлажденной воды, если, например, сторонами было оговорено дополнительное вознаграждение, полагающееся в этом случае.
9.2.4. Влияние плотности воздуха на мощность вентилятора
Плотность воздуха, соответствующая гарантированной мощности вентилятора

(электроэнергия, умноженная на КПД двигателя), предоставляется производителем

.
Плотность воздуха во время испытания равна

. Значение

, соответствующее гарантированной величине, с учетом поправки составляет
9.3. Определение расширенных тепловых характеристик
9.3.1. Метод определения тепловых характеристик
Для каждой действительной точки замера должна быть подсчитана разница между вычисленной температурой охлажденной воды (вычисленной по температуре холодной воды) и температурой охлажденной воды, гарантированной при заданных условиях испытаний. Вследствие этого необходимо определить гарантированную производителем температуру охлажденной воды на основании предоставленной им информации. Согласно этой информации значение средней разницы вычисляется для каждого типа ветровой нагрузки исходя из значений для этого типа.
9.3.2. Баланс характеристик градирни
Функционирование градирни определяется следующими уравнениями:
- эксплуатационное уравнение:
где

- число Меркеля;
- уравнение тяги:
Характеристики аппаратуры характеризуются тепловым коэффициентом C, экспонентой закона переноса n, коэффициентом потери гидравлического давления

, передней поверхностью

и высотой тяги H, информация о значениях которых предоставляется изготовителем во время подачи заявки.
Тепловой коэффициент C и коэффициент потери гидравлического давления

предоставляются изготовителем в виде функции зависимости скорости ветра на высоте 10 м и других влияющих параметров.
Изготовитель также может привести таблицу данных, между которыми проводится интерполяция.
Эти данные будут определены взаимным соглашением между сторонами договора.
Скорость потока

вычисляют по формуле
9.3.3. Приближенные оценки
Предполагается, что горячий воздух насыщен паром.
Изменением расхода воды, проходящего через градирню, можно пренебречь в уравнении энергетического баланса. Окончательный результат будет равен произведению

.
Энтальпию теплого воздуха вычисляют по формуле
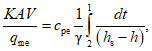
9.3.4. Расчет критерия Меркеля
9.3.4.1. Общие положения
Используя гипотезу Меркеля, критерий Меркеля применительно к оросителю вычисляют по формуле
где

- корректирующий фактор, значение которого зависит от типа устройства:
- для противотока -

;
- для устройств с перекрестным током значение

получаем из
таблицы 4 как функцию от двух коэффициентов

и v, полученных начального и конечного состояний для двух жидкостей.
9.3.4.2. Вычисление абсолютной влажности
a) Вычисление абсолютной влажности при насыщении паром
Абсолютная влажность воздуха

определяется давлением насыщенного пара

b) Вычисление психометрических данных
Психрометр измеряет температуру по сухому

и по мокрому термометру

где

- энтальпия компонента i при температуре t, определенная в соответствии с
9.3.4.2.
в) Вычисление гигрометрических данных
При помощи гигрометра измеряется относительная влажность

9.3.4.3. Энтальпия
Энтальпия для сухого воздуха, водяного пара и льда,

Для влажного воздуха энтальпию вычисляют по формуле
9.3.4.4. Плотность
Зная абсолютную влажность и температуру по сухому термометру влажного воздуха, плотность вычисляют по формуле
где

- плотность,

;
t - температура, °C;

- давление, Па.
9.3.4.5. Критерий Меркеля для противотока
Система уравнений для вычисления критерия Меркеля при противотоке приведена в таблице 6.
Таблица 6
Система уравнений
Критерий Меркеля вычисляют по формуле
где

- энтальпия насыщенного воздуха при температуре воды

;
h - энтальпия воздуха, которую при противотоке вычисляют по формуле
Поэтому и важен вопрос определения численного значения интеграла, в котором энтальпия воздуха определяется тепловым балансом как функция температуры воды и условий на входе градирни:
Для этого в некоторых случаях используется правило Симпсона. Функция

не может быть объяснена просто как переменная функция t и неизвестно, как вычислить цифровое значение f(t) для всех значений t, включенных в границы интеграла, используя расчетные таблицы, схемы и формулы.
Значение интеграла вычисляется, используя следующее выражение
где

Чем выше значение выбрано для 2k, тем выше точность расчета. На практике, вычисляя интеграл I, точность считается удовлетворительной для 2k = 8.
9.3.4.6. Критерий Меркеля для перекрестного тока
Система уравнений для вычисления критерия Меркеля при перекрестном токе приведена в таблице 7.
Таблица 7
Система уравнений
Эти уравнения должны быть интегрированы в двух направлениях (параллельно и перпендикулярно воздушному потоку), например, по методу Рунге-Кутта пересечения воздушного и водяного потоков на входе.
Для сокращения расчетов в обзоре тепловой генерации (Revue Generalede Thermique) опубликована таблица эквивалентности между расчетными значениями суммарного и противоточного потоков, с использованием фактора

, основанными на исследованиях Нюльсента (см. таблицу 8).
Таблица 8
Поправочный коэффициент

для испарительных градирен
с поперечным током
v | Поправочный коэффициент  |
0,500 | 0,550 | 0,600 | 0,650 | 0,700 | 0,750 | 0,800 | 0,850 | 0,900 | 0,950 |
0,2 | 1,000 | 1,000 | 1,000 | 1,000 | 1,000 | 1,000 | 0,970 | 0,875 | 0,875 | 0,750 |
0,3 | 0,990 | 0,985 | 0,985 | 0,975 | 0,955 | 0,930 | 0,895 | 0,790 | 0,790 | 0,650 |
0,4 | 0,968 | 0,966 | 0,952 | 0,940 | 0,917 | 0,875 | 0,840 | 0,720 | 0,720 | 0,590 |
0,5 | 0,942 | 0,937 | 0,919 | 0,890 | 0,55 | 0,820 | 0,776 | 0,665 | 0,665 | 0,540 |
0,6 | 0,915 | 0,900 | 0,878 | 0,855 | 0,825 | 0,780 | 0,732 | 0,620 | 0,620 | 0,500 |
0,7 | 0,875 | 0,860 | 0,834 | 0,805 | 0,775 | 0,735 | 0,691 | 0,580 | 0,580 | 0,470 |
0,8 | 0,838 | 0,816 | 0,790 | 0,764 | 0,728 | 0,690 | 0,655 | 0,550 | 0,550 | 0,440 |
0,9 | 0,795 | 0,773 | 0,748 | 0,726 | 0,690 | 0,655 | 0,621 | 0,520 | 0,520 | 0,420 |
1,0 | 0,750 | 0,733 | 0,712 | 0,688 | 0,658 | 0,625 | 0,591 | 0,490 | 0,490 | 0,390 |
1,2 | 0,682 | 0,663 | 0,645 | 0,624 | 0,595 | 0,570 | 0,536 | 0,450 | 0,450 | 0,360 |
1,4 | 0,620 | 0,610 | 0,590 | 0,568 | 0,540 | 0,510 | 0,489 | 0,420 | 0,420 | 0,330 |
1,6 | 0,555 | 0,544 | 0,535 | 0,519 | 0,496 | 0,473 | 0,450 | 0,380 | 0,380 | 0,300 |
1,8 | 0,505 | 0,500 | 0,490 | 0,480 | 0,465 | 0,440 | 0,420 | 0,360 | 0,360 | 0,285 |
2,0 | 0,450 | 0,445 | 0,440 | 0,436 | 0,425 | 0,410 | 0,390 | 0,334 | 0,334 | 0,270 |
2,5 | 0,380 | 0,375 | 0,370 | 0,360 | 0,355 | 0,345 | 0,330 | 0,174 | 0,174 | 0,230 |
3,0 | 0,325 | 0,320 | 0,315 | 0,310 | 0,305 | 0,300 | 0,290 | 0,260 | 0,260 | 0,210 |
4,0 | 0,245 | 0,245 | 0,245 | 0,245 | 0,245 | 0,235 | 0,230 | 0,210 | 0,210 | 0,175 |
5,0 | 0,196 | 0,196 | 0,196 | 0,194 | 0,194 | 0,194 | 0,191 | 0,175 | 0,175 | 0,150 |
7,0 | 0,145 | 0,145 | 0,145 | 0,145 | 0,145 | 0,145 | 0,140 | 0,130 | 0,130 | 0,120 |
10,0 | 0,100 | 0,100 | 0,100 | 0,100 | 0,100 | 0,100 | 0,100 | 0,100 | 0,100 | 0,090 |
Примечание. Эта таблица определяет  как функции  и v. Значение параметров  и v определяется, как приведено ниже: |
|
|
|
1 - вода; 2 - воздух |
|
|
|
|
|
Предполагается, что воздух насыщенный. |
В этом случае критерий Меркеля составит:
что вытекает из решения следующих уравнений Меркеля:
9.3.5. Проведение испытаний
9.3.5.1. Расчет гарантированного отклонения для каждого испытания
Алгебраическая разница

между температурой охлажденной воды

, полученной путем измерений, проводимых на градирне, и гарантированной температурой

, полученной по кривым, уравнениям
Приложений B и
C, вычисляется по формуле
9.3.5.2. Классификация и количество испытаний
Испытания группируются в классы N в зависимости от скорости ветра на высоте 10 м над уровнем земли, например:
и т.д.
Количество рассматриваемых классов должно оговариваться договором, как и ограничения по каждому классу.
Рекомендуется, чтобы разброс классов не превышал

. Для каждого ветрового класса представительные испытания должны быть разделены на две группы, при условии, что количество испытаний в обеих группах превышает 30% от общего количества испытаний, проведенных при заданном классе ветра (если нет, все испытания по данному классу ветра должны объединяться в одну группу): на группу, где температура воздуха по мокрому термометру на входе растет в период испытания, и на группу, где температура падает в течение периода.
Весовые коэффициенты

, предоставляемые производителем во время консультации, подставляются в формулу:
Класс, включающий в себя менее четырех испытаний, считается неполным.
Только те классы, которые действительны (включающие в себя не менее четырех испытаний), должны приниматься во внимание. Весовые коэффициенты должны быть скорректированы так, чтобы их сумма составляла 100%, учитывая относительный первоначальный вес каждого рассчитанного класса.
Кроме того, все действующие периоды, записанные до получения этих условий, должны учитываться при оценке.
9.3.5.3. Расчет средневзвешенного отклонения
В обеих группах каждого класса рассчитывается средневзвешенное алгебраическое значение

от

, где

- число испытаний в первой группе испытаний в одном классе вычисляют по формулам:
где

- количество испытаний второй группы испытаний в том же классе.
Для каждого класса среднеалгебраическое значение

вычисляют по формуле
Если испытание не может быть разделено на две группы (см.
9.3.5.2), то расчет осуществляют по формуле
где

- количество испытаний в этом классе.
Средневзвешенное отклонение от гарантийных показателей градирни - это алгебраическая сумма среднего отклонения в каждом классе вместе с коэффициентом
9.3.5.4. Гарантии
Средневзвешенное отклонение температуры охлажденной воды

должно быть ниже указанного в договоре порогового уровня. Этот порог зависит от общей точности полученных результатов.
Примечание. Если имеется минимальное количество в 300 периодов, то для стандартных рабочих условий достижимая общая точность составляет около 0,4 K.
10. ДОПУСК ПРИ ИСПЫТАНИЯХ
10.1. Общие положения
Неопределенность

для сравнения между измеренной и гарантированной температурами охлажденной воды вычисляют по двум составляющим
Первая составляющая неопределенности

представляет неопределенность, связанную с погрешностями неизмеряемых систематических отклонений измеренных показателей, вторая составляющая - неопределенность из-за случайных отклонений в измеренных показателях и изменений параметров во времени.
10.2. Ошибки, созданные неизмеряемыми систематическими отклонениями рабочих параметров
10.2.1. Общие положения
Погрешности измерений отдельных параметров влияют на определение температуры холодной воды. Пример, приведенный в
Приложении A, показывает, как эти воздействия могут быть определены. Пример номограммы, используемой для цели определения воздействия, приведен в
Приложении A.
10.2.2. Влияние неопределенностей, измеренных по мокрому термометру

Фактор влияния

показывает изменение в температуре холодной воды

для данных отклонений температуры по мокрому термометру

при условии, что все другие влияющие параметры, расход воды, мощность вентилятора и диапазон находятся в соответствии с гарантийными условиями.
Изменение

должно быть выбрано так, чтобы соотношение между

и

было близко к линейному (см.
Приложение A).
10.2.3. Влияние неопределенностей измерения диапазона охлаждения

Фактор влияния

указывает на изменение температуры холодной воды

для данного изменения диапазона

при условии, что расход воды и мощность вентилятора находятся в соответствии с гарантийными условиями, а температура по мокрому термометру является средним измеренным значением. Отклонение

должно быть в пределах +/- 1 K (см.
Приложение A).
10.2.4. Влияние неопределенностей измерений мощности вентилятора

Фактор влияния

показывает изменение температуры холодной воды (в процентах) за счет отклонения мощности вентилятора

, обеспечивающего расход и диапазон воды при гарантийных условиях и температуре по мокрому термометру, которые являются средним измеренным значением. Отклонение

должно быть в пределах +/- 10%.
Если кривая не дает представления о влиянии вентилятора, то влияние на температуру выходной воды должно быть определено с использованием откорректированного потока (см.
Приложение A).
10.2.5. Влияние неопределенностей измерения расхода воды

Фактор влияния

указывает на изменение температуры холодной воды

для данного изменения уровня объемного расхода

(в процентах) при условии, что мощность вентилятора и диапазон находятся в пределах гарантийных условий, а температура по мокрому термометру является средним измеренным значением. Отклонение

должно быть в пределах +/- 10% (см.
Приложение A).
10.2.6. Определение погрешностей измерительных устройств
Погрешности измерений для различных инструментов приведены в
Приложении B. Значения, которые будут использоваться фактически и которые определяются сторонами договора до начала измерений, не должны превышать указанных в таблице 9.
Таблица 9
Отклонения измерительного оборудования, допустимые
для испытания
Величина | Допустимые отклонения измерительного оборудования |
Температура мокрого термометра | |
Температура воды | |
Массовый расход воды | | |
до 1000  ; | более 1000  |
Мощность вентилятора: | |
до 25 кВт | |
25 кВт <  < 200 кВт | |
более 200 кВт | |
Для отдельных приборов систематические погрешности

должны быть определены исходя из руководства по эксплуатации для используемых приборов или должны выбираться из
таблицы 9.
Применяемые допуски

в сочетании с факторами влияния Ф, описанными в
10.2, позволяют рассчитать погрешность, вызванную неизмеримыми систематическими отклонениями рабочих параметров.
10.2.7. Ошибка, вызванная неизмеримыми систематическими отклонениями рабочих параметров
Ошибки

, вызванные неизмеримыми систематическими отклонениями, вычисляют по формуле
Допуск по температуре холодной воды

применяется непосредственно к результату.
10.2.8. Определение погрешностей, вызванных случайным отклонением результатов испытаний и временными отклонениями рабочих параметров
Случайные события приводят к тому, что разница

между измеренной и гарантийной температурами холодной воды, рассчитанная в соответствии с
7.2, колеблется около среднего значения

, рассчитанного по всем периодам измерений.
Измерение этого колебания выполняют при помощи эмпирического стандартного отклонения и вычисляют по формуле
Отклонение измерения

, вызванное случайными погрешностями результатов измерений и временными колебаниями измеряемых величин с вероятностью 95%, вычисляют по формуле
Величины распределения по Стьюденту

приведены в таблице 10.
Таблица 10
Распределение величин по Стьюденту с вероятностью 95%
k | |
2 | 12,710 |
3 | 4,303 |
4 | 3,182 |
5 | 2,776 |
6 | 2,571 |
7 | 2,447 |
8 | 2,345 |
9 | 2,306 |
10 | 2,262 |
11 | 2,228 |
12 | 2,201 |
13 | 2,179 |
14 | 2,160 |
15 | 2,145 |
16 | 2,131 |
17 | 2,120 |
18 | 2,110 |
19 | 2,101 |
20 | 2,093 |
21 | 2,086 |
22 | 2,080 |
23 | 2,074 |
24 | 2,069 |
25 | 2,064 |
26 | 2,060 |
27 | 2,056 |
28 | 2,052 |
29 | 2,048 |
(справочное)
КРИВЫЕ ПРОИЗВОДИТЕЛЬНОСТИ
1 - диапазон охлаждения; 2 - температура охлажденной воды

, 3 - доля массового расхода горячей воды м/мг; 4 - относительная влажность окружающего воздуха

; 5 - температура окружающего воздуха по сухому термометру

, 6 - температура горячей воды

Рисунок A.1. Кривая производительности градирни
с естественной тягой
График с примером нахождения изменения температуры холодной воды

в зависимости от изменения влияющего фактора "температура мокрого термометра"

.
При

; z = 6 K;

; m = 100% константа получаем:
Рисунок A.2. Пример воздействия ветра на градирню
с противотоком и естественной тягой
1 - температура холодной воды

;
2 - температура мокрого термометра

Рисунок A.3. Испарительная вентиляторная градирня
График с примером для определения изменения температуры холодной воды

в зависимости от изменения влияющего фактора "мощность вентилятора"

.
При

;

; z = 6 K, m = 100% получаем:
1 - температура холодной воды

;
2 - температура мокрого термометра

Рисунок A.4. Испарительная вентиляторная градирня
График с примером для определения изменения температуры воды

в зависимости от изменений влияющего фактора "объемный расход воды" m.
При m = (100 +/- 10)%;

; z = 6 K,

получаем:
(обязательное)
ТРЕБОВАНИЯ К ИЗМЕРИТЕЛЬНЫМ ПРИБОРАМ, ИСПОЛЬЗУЕМЫМ
ДЛЯ ИСПЫТАНИЙ
Таблица B.1
Требования к измерительным приборам, используемым
для испытаний
Тип измерения | Тип приборов | Чувствительные элементы | Диапазон измерения | Точность | Временные константы | Примечания |
Измерение температуры воздуха или воды | Платиновый резистивный датчик РТ100 | Сопротивление платины  при 0 °C класса АЕН60751 | От -40 °C до +80 °C | +/- 0,1 °C | Воздух: 30 с | - |
Вода: 5 с |
Жидкостный термометр | | <= 100 °C | +/- 0,2 °C | | - |
Термопары | | <= 100 °C | +/- 0,2 °C | | - |
Кварцевый прибор | | От -40 °C до 100 °C | +/- 0,1 °C | | - |
Измерение влажности воздуха | Емкостный гигрометр | Емкостный элемент | От 30% до 95% | +/- 1,5% | 10 с | - |
Измерение скорости воздуха на выходе | Пропеллерный анемометр | Пропеллер, пропорционально связанный с генератором напряжения | От 0 м/с до 22 м/с | +/- 0,1  | Порог срабатывания 0,2 м/с | - |
Измерение скорости ветра | Анемометр чашечного типа | Три чашки на оси. Частота пропорциональна скорости | От 0,3 м/с до 40 м/с | +/- 0,2  | Порог срабатывания | Встроенный нагреватель помогает избежать обледенения зимой |
Измерение направления ветра | Чувствительный флюгер | Флюгер, связанный с потенциометром. Сопротивление пропорционально углу Север = 0° = 0 | 0° - 360° = 0 - 400 | +/- 2,5° | Тот же | - |
Измерение количества выпадающих осадков | Плювиометр блочного типа | Опрокидной ковш или положительный температурный коэффициент (ПТК) сопротивления | - | - | - | Тот же |
Измерение атмосферного давления или манометрического напора | Прибор для измерения абсолютного или относительного давления | Сенсорная ячейка переменной емкости | От 900 мбар до 1200 мбар (от 0 до 2,5 бар) | +/- 0,2% | - | - |
Измерение потребляемой мощности вентилятора | Ваттметр | - | - | От 1% до 2% | - | - |
Примечание. 1 мбар = 0,1 кПа. |
Таблица B.2
Справочные величины измерительных приборов для измерения
массового расхода воды
Измерение при помощи | Значение  |
a) Измерителей с периодом измерения | |
t => 50 с при использовании: | |
- прибора измерения объема в допустимом диапазоне измерения; | 2,0% |
- пропеллерного измерителя в допустимом диапазоне измерения | 1,5% |
b) Дроссельного измерительного прибора | От 1% до 1,5% |
c) Гидрометрического пропеллера в трубопроводе | |
с D => 1500 мм; | 1,2% |
800 мм =< D =< 1500 мм | 1,5% |
В открытых каналах с прямоугольным сечением | 2,0% |
d) Трубок Пито в трубопроводе с D => 800 мм и с изменением статического давления: | |
- меньше чем 1% полученного значения; | 1,5% |
- большим изменением давления | 2,0% |
e) Измерительного водослива с калиброванной заслонкой при помощи формулы для заслонки: | |
- для прямоугольной заслонки без уменьшения площади сторон; | 2,0% - 1,5% |
- для прямоугольной заслонки с уменьшением площади сторон | 2,5% |
f) Электромагнитного устройства: | |
скорость от 0,8 до  | 2,0% |
скорость больше чем  | 1,5% |
g) Ультразвукового устройства | От 3% до 5% |
(обязательное)
РАСЧЕТ РАСХОДА ИСПАРЯЕМОЙ ВОДЫ
C.1. Общие положения
Если объемный расход отбора воды не может быть измерен или поставщик не предоставил диаграммы или таблицы, тогда расчеты можно выполнить, следуя настоящему Приложению.
C.2. Введение
Необходимо знать объемный расход испаряемой воды

для расчета объемного расхода воды, теряемой с уносом

. Точная оценка этого расхода предполагает использование формулы Поупа для вычисления тепловых характеристик.
C.3. Удельное потребление воды

Использование формулы Поупа позволяет построить номограммы, по которым определяют удельное потребление воды

.
Из анализа результатов очевидно, что возможно пренебречь влиянием разности температур ap и влиянием соотношения массового расхода воздуха и воды

.
Более того, влияние диапазона охлаждения Z заметно только для изменений более чем на 20%.
Следовательно, если необходимо определить только расход испаряемой воды в соответствии с номинальной производительностью (в случае приемо-сдаточных испытаний), можно использовать удельный расход

как независящий от выбора градирни. Тогда можно использовать однолинейную номограмму (см.
рисунок C.1), которая показывает удельное потребление в зависимости от атмосферных условий

и

.

- средняя температура сухого термометра на воздухозаборнике, °C;

- относительная влажность окружающего воздуха, %;

- удельный расход воды,

Рисунок C.1. Удельное потребление воды
Данный рисунок был составлен с помощью численного интегрирования уравнений Поупа для диапазона охлаждения Z = 12,6 K, что является номинальным значением стандартного ряда 1300 МВт и ap = 12,5 K. Он может быть использован без изменений для градирен с различными характеристиками.
C.4. Объемный расход испаряемой воды

Зная температуру сухого термометра

и относительную влажность

воздуха на входе в градирню, можно определить удельный расход

и из него вывести уравнение объемного расхода испаряемой воды:
где

- разность температур.
В таблице C.1 приведено численное изменение

для различных условий температуры окружающей среды и относительной влажности. Это можно использовать в программе, которая рассчитывает

путем интерполяции между двумя значениями.
Таблица C.1
Удельное потребление воды

как функция
от климатических условий
| |
0 | 10 | 20 | 30 |
20 | 0,269 | 0,308 | 0,345 | 0,378 |
40 | 0,269 | 0,305 | 0,339 | 0,371 |
60 | 0,269 | 0,302 | 0,335 | 0,364 |
80 | 0,269 | 0,302 | 0,331 | 0,357 |
100 | 0,271 | 0,303 | 0,331 | 0,354 |
Примечание.  выражается в  . |
C.5. Изменение зависимости величины

от рабочих параметров
Изменения

, вызванные изменениями массового расхода потока сухого воздуха, проходящего через ороситель

, при разности температур ap или в диапазоне охлаждения Z были рассчитаны. Таблица C.2 отражает результаты, полученные для умеренных климатических условий (

;

). Следует обратить внимание на то, что удельный расход практически не зависит от этих параметров.
Таблица C.2
Изменение зависимости величины

от рабочих параметров
Характер изменений | Относительные изменения  |
+20% на  | -0,6% |
+20% на Z | -1,4% |
+20% на ap | +0,8% |
Таблица C.1 может применяться для всех типов градирен с большим диапазоном охлаждения.
(обязательное)
ЗАМЕЧАНИЯ ПО РАСЧЕТУ ПОГРЕШНОСТЕЙ
D.1. Среднее (среднеарифметическое)
Если установлен ряд отдельных независимых

величин, свободных от их систематических погрешностей,

(например, для степени влажности или массовой части), то среднеарифметическое отдельных

величин

вычисляют по формуле
D.2. Стандартное отклонение записи отдельных значений по отношению к средней
Совокупность случайных распределений отдельных величин по отношению к их средней характеризуется стандартным отклонением s:
D.3. Доверительный предел и интервал доверия средних значений
Средняя

в соответствии с
(D.1) не идентична записанной истинной величине, но возможно указать два предела, между которыми находится истинная величина с выбранной статистической вероятностью P и подчиняющаяся "нормальному распределению". Это относится к доверительному интервалу средней. Интервал между этими пределами называют интервалом доверия средних значений.
Доверительный предел средней вычисляют по формуле
Фактор

зависит от выбранной статической вероятности, а также от ряда отдельных значений.
Если не оговорено иное, то пределы доверия должны всегда указываться для статистической вероятности в 95%.
Величины для

и

со статической вероятностью в 95% представлены в таблице D.1.
Таблица D.1
Значение

и

| r | |
3 | 4,3 | 2,5 |
4 | 3,2 | 1,6 |
5 | 2,8 | 1,24 |
6 | 2,6 | 1,05 |
8 | 2,4 | 0,84 |
10 | 2,3 | 0,72 |
20 | 2,1 | 0,47 |
30 | 2,05 | 0,37 |
50 | 2,0 | 0,28 |
100 | 2,0 | 0,20 |
200 | 1,97 | 0,14 |
Свыше 200 | 1,96 | 0 |
(обязательное)
КОРРЕКЦИЯ ТЕМПЕРАТУРЫ ХОЛОДНОЙ ВОДЫ ЗА СЧЕТ ТЕПЛА,
ДОБАВЛЕННОГО НАСОСОМ
При измерении температуры холодной воды на дроссельном клапане нагнетательной стороны насоса на ее значение влияет тепло, передаваемое воде при регулировании насоса с высокого давления на низкое и при неэффективной работе насоса.
Расширение через дроссельный клапан - это адиабатический процесс, поэтому верно следующее:
На входе в дроссельный клапан при атмосферном давлении удельная внутренняя энергия, Дж/кг, равна
т.е. для воды с

, при эффективности насоса

и напором насоса

, изменение температуры, K, равно
(справочное)
СВЕДЕНИЯ О СООТВЕТСТВИИ ССЫЛОЧНЫХ МЕЖДУНАРОДНЫХ
СТАНДАРТОВ ССЫЛОЧНЫМ НАЦИОНАЛЬНЫМ СТАНДАРТАМ
РОССИЙСКОЙ ФЕДЕРАЦИИ (И ДЕЙСТВУЮЩИМ В ЭТОМ КАЧЕСТВЕ
МЕЖГОСУДАРСТВЕННЫМ СТАНДАРТАМ)
Таблица ДА.1
Обозначение ссылочного международного стандарта | Степень соответствия | Обозначение и наименование соответствующего национального стандарта |
ЕН 306:1997 | IDT | ГОСТ Р ЕН 306-2011 "Теплообменники. Измерения и точность измерений при определении мощности" |
ЕН 872:2005 | - | |
ЕН 60751:2009 | NEQ | |
ЕН/ИСО 5167-1:2004 | MOD | ГОСТ 8.586.1-2005 (ИСО 5167-1:2003) "Государственная система обеспечения единства измерений. Измерение расхода и количества жидкостей и газов с помощью стандартных сужающих устройств. Часть 1. Принцип метода измерений и общие требования" |
ИСО 1438-1:1980 | - | |
ИСО 2975-3:1976 | - | |
ИСО/ТО 3313:1998 | - | |
<*> Соответствующие национальные стандарты отсутствуют. До их утверждения рекомендуется использовать перевод на русский язык данных международных стандартов. Переводы данных международных стандартов находятся в Федеральном информационном фонде технических регламентов и стандартов. |
|
Примечание. В настоящей таблице использованы следующие условные обозначения степени соответствия стандартов: |
- IDT - идентичные стандарты; |
- MOD - модифицированные стандарты; |
- NEQ - неэквивалентные стандарты. |
[1] EN 13741 Thermal performance acceptance testing of mechanical draught series wet cooling towers