Главная // Актуальные документы // ГОСТ Р (Государственный стандарт)СПРАВКА
Источник публикации
М.: Стандартинформ, 2010
Примечание к документу
Документ
введен в действие с 01.06.2011.
Название документа
"ГОСТ Р 8.701-2010. Национальный стандарт Российской Федерации. Государственная система обеспечения единства измерений. Приборы для контроля чистоты жидкости. Методика поверки"
(утв. и введен в действие Приказом Росстандарта от 22.06.2010 N 100-ст)
"ГОСТ Р 8.701-2010. Национальный стандарт Российской Федерации. Государственная система обеспечения единства измерений. Приборы для контроля чистоты жидкости. Методика поверки"
(утв. и введен в действие Приказом Росстандарта от 22.06.2010 N 100-ст)
Утвержден и введен в действие
по техническому регулированию
и метрологии
от 22 июня 2010 г. N 100-ст
НАЦИОНАЛЬНЫЙ СТАНДАРТ РОССИЙСКОЙ ФЕДЕРАЦИИ
ГОСУДАРСТВЕННАЯ СИСТЕМА ОБЕСПЕЧЕНИЯ ЕДИНСТВА ИЗМЕРЕНИЙ
ПРИБОРЫ ДЛЯ КОНТРОЛЯ ЧИСТОТЫ ЖИДКОСТИ
МЕТОДИКА ПОВЕРКИ
State system for ensuring the uniformity of measurements.
Liquid purity measuring instruments. Verification procedure
ГОСТ Р 8.701-2010
Группа Т88.5
Дата введения
1 июня 2011 года
Цели и принципы стандартизации в Российской Федерации установлены Федеральным
законом от 27 декабря 2002 г. N 184-ФЗ "О техническом регулировании", а правила применения национальных стандартов Российской Федерации -
ГОСТ Р 1.0-2004 "Стандартизация в Российской Федерации. Основные положения"
1 РАЗРАБОТАН Федеральным государственным унитарным предприятием "Всероссийский научно-исследовательский институт физико-технических и радиотехнических измерений" (ФГУП ВНИИФТРИ) Федерального агентства по техническому регулированию и метрологии
2 ВНЕСЕН Управлением метрологии Федерального агентства по техническому регулированию и метрологии
3 УТВЕРЖДЕН И ВВЕДЕН В ДЕЙСТВИЕ
Приказом Федерального агентства по техническому регулированию и метрологии от 22 июня 2010 г. N 100-ст
4 ВВЕДЕН ВПЕРВЫЕ
Информация об изменениях к настоящему стандарту публикуется в ежегодно издаваемом информационном указателе "Национальные стандарты", а текст изменений и поправок - в ежемесячно издаваемых информационных указателях "Национальные стандарты". В случае пересмотра (замены) или отмены настоящего стандарта соответствующее уведомление будет опубликовано в ежемесячно издаваемом информационном указателе "Национальные стандарты". Соответствующая информация, уведомление и тексты размещаются также в информационной системе общего пользования - на официальном сайте Федерального агентства по техническому регулированию и метрологии в сети Интернет
Настоящий стандарт устанавливает методы и средства поверки приборов для контроля чистоты жидкости.
Настоящий стандарт распространяется на приборы для контроля чистоты жидкости ПКЖ-902 и другие с аналогичными техническими и метрологическими характеристиками (далее - приборы).
Примечание - К основным техническим и метрологическим характеристикам приборов относятся:
- пределы относительной погрешности измерения концентрации частиц в жидкости от 1,5·103 до 1,5·106 1/л;
- пределы относительной погрешности измерения концентрации частиц при расходе жидкости не более 0,4 л/мин.
В настоящем стандарте использованы нормативные ссылки на следующие стандарты:
ГОСТ 12.2.007.0-75 Система стандартов безопасности труда. Изделия электротехнические. Общие требования безопасности
ГОСТ 18300-87 Спирт этиловый ректификованный технический. Технические условия
Примечание - При пользовании настоящим стандартом целесообразно проверить действие ссылочных стандартов в информационной системе общего пользования - на официальном сайте Федерального агентства по техническому регулированию и метрологии в сети Интернет или по ежегодно издаваемому информационному указателю "Национальные стандарты", который опубликован по состоянию на 1 января текущего года, и по соответствующим ежемесячно издаваемым информационным указателям, опубликованным в текущем году. Если ссылочный стандарт заменен (изменен), то при пользовании настоящим стандартом следует руководствоваться заменяющим (измененным) стандартом. Если ссылочный стандарт отменен без замены, то положение, в котором дана ссылка на него, применяется в части, не затрагивающей эту ссылку.
При проведении поверки должны быть выполнены операции, указанные в
таблице 1.
Наименование операции | Номер подраздела настоящего стандарта | Обязательность проведения операций |
при выпуске из производства | при ремонте | при эксплуатации и хранении |
Проверка комплектности | | Да | Нет | Да |
Внешний осмотр | | Да |
Общее функционирование | |
Проверка объема анализируемой жидкости | |
Определение основной относительной погрешности измерения счетной концентрации взвешенных в жидкости частиц | |
При проведении поверки должны быть применены следующие средства поверки:
- термометр. Диапазон измерения от 0 °C до 100 °C; цена деления шкалы 1 °C;
- барометр. Диапазон измерения от 79,8 до 106,4 кПа;
- психрометр аспирационный. Относительная влажность воздуха от 10% до 100%;
- колбы мерные. Исполнение 2 - 100 - 2 или 2 - 250 - 2;
- весы SARTORIUS AC211S или аналогичные. Разрешение не менее 1 мг;
- рабочий эталон счетной концентрации частиц в жидкости. Пределы основной относительной погрешности измерения

счетной концентрации частиц в жидкости в диапазоне от 1,5·10
3 до 1,5·10
6 1/л +/- 10%;
- секундомер. Цена деления шкалы: секундной - 0,2 с; счетчика минут - 1,0 мин. Максимальная погрешность за 60 мин +/- 0,3 с;
- алюминиевый порошок типа АСД-4 или порошок FRITSCH - тест S220. Диапазон размеров частиц от 2 до 200 мкм;
- спирт этиловый ректификованный технический по
ГОСТ 18300;
- фильтр ФМВП-0,001.
Примечание - Допускается применение средств поверки других типов, по техническим и метрологическим характеристикам не уступающих указанным.
5 Требования безопасности
5.1 Вся аппаратура должна быть заземлена.
5.2 К работе должны быть допущены лица, прошедшие инструктаж в соответствии с требованиями
ГОСТ 12.2.007.0, изучившие правила работы с пожароопасными веществами и имеющие 2-ю квалификационную группу по эксплуатации электроустановок.
5.3 При проведении измерений должны быть соблюдены требования безопасности, приведенные в
Правилах технической эксплуатации электроустановок потребителей
[1] и
Правилах техники безопасности при эксплуатации электроустановок
[2].
5.4 Помещение должно быть оборудовано общеобменной и местной приточно-вытяжной вентиляцией, средствами пожаротушения.
5.5 Применяемый при работе порошок алюминия - это токсичное вещество. С целью избежать вредного воздействия порошка алюминия рекомендуется пользоваться биологическими перчатками или другими средствами индивидуальной защиты. В случае попадания порошка алюминия на руки необходимо тщательно вымыть их теплой водой с мылом.
При проведении поверки должны быть соблюдены следующие условия:
- температура окружающего воздуха (20 +/- 5) °C;
- напряжение сети переменного тока (220 +/- 4,4) В, частотой (50 +/- 0,5) Гц;
- расход жидкости через прибор не более 0,4 л/мин;
- температура жидкости (25 +/- 5) °C;
- атмосферное давление от 84 до 106,7 кПа;
- относительная влажность воздуха не более 80%.
7.1 Средства измерений и оборудование, применяемые в процессе поверки, должны быть исправны, иметь техническую документацию (ТД) и свидетельства по
ПР 50.2.006 [3].
7.2 Перед поверкой необходимо выполнить подготовительные работы по установке и подготовке средств измерений, содержание и порядок проведения которых изложены в соответствующих руководствах.
8 Требования к квалификации поверителя
К проведению поверки допускают лиц, имеющих высшее или среднетехническое образование, опыт работы в электрорадиоизмерительной или физической лаборатории не менее одного года, владеющих техникой измерений параметров взвесей и аттестованных в качестве поверителя.
9.1 Проверка комплектности
В комплект прибора должны входить: прибор контроля чистоты жидкости ПКЖ-902 (или иной), а также паспорт, формуляр технического обслуживания и руководство по эксплуатации.
При проведении внешнего осмотра должно быть установлено соответствие прибора контроля чистоты жидкости следующим требованиям:
9.2.1 Отсутствие на наружных поверхностях прибора вмятин, вздутий, коррозии, трещин.
9.2.2 Наличие маркировки прибора с указанием заводского номера, года выпуска, а также надписей на передней части панели в соответствии с руководством по эксплуатации.
9.3 Общее функционирование
Для проверки общего функционирования проводят следующие операции:
9.3.1 Снимают воронку с камеры прибора, закрывают кран прибора, заливают в камеру этиловый спирт, выдерживают его в камере 30 с и, открыв кран, сливают жидкость. Операцию промывки повторяют, залив в камеру чистую порцию спирта.
9.3.2 В соответствии с руководством по эксплуатации включают прибор.
9.3.3 Заливают в камеру прибора этиловый спирт.
9.3.4 В соответствии с руководством по эксплуатации проводят измерение; убеждаются в том, что происходит изменение показаний цифрового табло или сигнала.
9.4 Проверка объема анализируемой жидкости
9.4.1 Для проверки объема анализируемой жидкости, прошедшей через прибор, вносят в наливное устройство прибора жидкость согласно руководству по эксплуатации.
9.4.2 В качестве сливного устройства используют мерную колбу.
9.4.3 Открывают кран и сливают жидкость в мерную колбу.
9.4.4 Измеряют количество жидкости в мерной колбе W.
9.4.5 Вычисляют погрешность объема анализируемой жидкости

, %, по формуле

, (1)
где Wn - номинальный объем наливного устройства прибора, указанный в руководстве по эксплуатации.
Результат поверки считают удовлетворительным, если значение

не превышает значения, указанного в ТД на поверяемый прибор.
9.5 Определение основной относительной погрешности измерения счетной концентрации взвешенных в жидкости частиц
9.5.1 Выдерживают рабочий эталон счетной концентрации частиц в жидкости (далее - рабочий эталон) и поверяемый прибор при температуре окружающего воздуха (20 +/- 5) °C в течение 2 ч.
9.5.2 Подготавливают рабочий эталон и поверяемый прибор к работе согласно их руководствам по эксплуатации.
9.5.3 При отсутствии чистой анализируемой жидкости ее следует приготовить, пропустив 0,5 л имеющейся жидкости через фильтр ФМВП-0,001.
9.5.4 Приготавливают взвесь загрязнителя в составе 7,5 мг порошка алюминия АСД-4 или порошка FRITSCH - тест S220 на 0,5 л чистой анализируемой жидкости и перемешивают ее в течение 30 с.
9.5.5 Заполняют взвесью загрязнителя наливное устройство рабочего эталона и проводят согласно руководству по эксплуатации
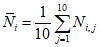
j = 10 измерений счетной концентрации частиц загрязнителя во всех диапазонах работы эталона -
Ni, j.
9.5.6 Вычисляют средние значения счетных концентраций в каждом i-м диапазоне по формуле

. (2)
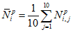
9.5.7 Проводят 10 измерений счетной концентрации

, той же самой взвеси с помощью поверяемого прибора. Вычисляют среднее значение по формуле

(3)
и среднее квадратичное отклонение по формуле

. (4)
9.5.8 Приготавливают взвесь загрязнителя в составе 15 мг порошка алюминия АСД-4 или порошка FRITSCH - тест S220 на 500 см3 чистой анализируемой жидкости и перемешивают ее в течение 30 с.
9.5.10 Вычисляют основную относительную погрешность измерения счетной концентрации

поверяемым прибором по формуле

, (5)
где

. (6)
Результат поверки считают удовлетворительным, если значение

не превышает значений, указанных в ТД на поверяемый прибор.
10 Оформление результатов поверки
10.1 При положительных результатах поверки выдают свидетельство о поверке.
10.2 При отрицательных результатах поверки выдают извещение о непригодности поверенного экземпляра прибора.
| Правила технической эксплуатации электроустановок потребителей |
| Правила техники безопасности при эксплуатации электроустановок |
| | Государственная система обеспечения единства измерений. Порядок проведения поверки средств измерений |
УДК 389.14.089.6:006.354 | | Т88.5 |
Ключевые слова: поверка, чистота жидкости, средство поверки, операции поверки, условия поверки |