Главная // Актуальные документы // ГОСТ Р (Государственный стандарт)СПРАВКА
Источник публикации
М.: Стандартинформ, 2019
Примечание к документу
Документ
введен в действие с 01.09.2010.
Название документа
"ГОСТ Р 8.698-2010. Национальный стандарт Российской Федерации. Государственная система обеспечения единства измерений. Размерные параметры наночастиц и тонких пленок. Методика выполнения измерений с помощью малоуглового рентгеновского дифрактометра"
(утв. и введен в действие Приказом Ростехрегулирования от 10.02.2010 N 12-ст)
"ГОСТ Р 8.698-2010. Национальный стандарт Российской Федерации. Государственная система обеспечения единства измерений. Размерные параметры наночастиц и тонких пленок. Методика выполнения измерений с помощью малоуглового рентгеновского дифрактометра"
(утв. и введен в действие Приказом Ростехрегулирования от 10.02.2010 N 12-ст)
Утвержден и введен в действие
агентства по техническому
регулированию и метрологии
от 10 февраля 2010 г. N 12-ст
НАЦИОНАЛЬНЫЙ СТАНДАРТ РОССИЙСКОЙ ФЕДЕРАЦИИ
ГОСУДАРСТВЕННАЯ СИСТЕМА ОБЕСПЕЧЕНИЯ ЕДИНСТВА ИЗМЕРЕНИЙ
РАЗМЕРНЫЕ ПАРАМЕТРЫ НАНОЧАСТИЦ И ТОНКИХ ПЛЕНОК
МЕТОДИКА
ВЫПОЛНЕНИЯ ИЗМЕРЕНИЙ С ПОМОЩЬЮ МАЛОУГЛОВОГО
РЕНТГЕНОВСКОГО ДИФРАКТОМЕТРА
State system for ensuring the uniformity of measurements.
Dimensional parameters of nanoparticles and thin films.
Methods for measurement by means of a small angle
X-ray scattering difractometer
ГОСТ Р 8.698-2010
Дата введения
1 сентября 2010 года
1 РАЗРАБОТАН Открытым акционерным обществом "Научно-исследовательский центр по изучению свойств поверхности и вакуума", Федеральным государственным учреждением "Российский научный центр "Курчатовский институт", Государственным учреждением Российской академии наук "Институт кристаллографии им. А.В. Шубникова" и Государственным образовательным учреждением высшего профессионального образования "Московский физико-технический институт (государственный университет)"
2 ВНЕСЕН Техническим комитетом по стандартизации ТК 441 "Нанотехнологии и наноматериалы"
3 УТВЕРЖДЕН И ВВЕДЕН В ДЕЙСТВИЕ
Приказом Федерального агентства по техническому регулированию и метрологии от 10 февраля 2010 г. N 12-ст
4 ВВЕДЕН ВПЕРВЫЕ
5 ПЕРЕИЗДАНИЕ. Март 2019 г.
Правила применения настоящего стандарта установлены в статье 26 Федерального закона от 29 июня 2015 г. N 162-ФЗ "О стандартизации в Российской Федерации". Информация об изменениях к настоящему стандарту публикуется в ежегодном (по состоянию на 1 января текущего года) информационном указателе "Национальные стандарты", а официальный текст изменений и поправок -
в ежемесячном информационном указателе "Национальные стандарты". В случае пересмотра (замены) или отмены настоящего стандарта соответствующее уведомление будет опубликовано в ближайшем выпуске ежемесячного информационного указателя "Национальные стандарты". Соответствующая информация, уведомление и тексты размещаются также в информационной системе общего пользования -
на официальном сайте Федерального агентства по техническому регулированию и метрологии в сети Интернет (www.gost.ru)
Настоящий стандарт устанавливает методику выполнения следующих измерений с помощью автоматического рентгеновского малоуглового дифрактометра:
- максимальных размеров и электронных радиусов инерции наночастиц в монодисперсных системах в диапазоне от 1 до 100 нм;
- распределения наночастиц по размерам в полидисперсных системах в диапазоне от 1 до 100 нм;
- общей толщины и размера периода повторения слоев в многослойных пленках толщиной от 1 до 100 нм.
Настоящий стандарт распространяется на:
- материалы, содержащие системы наночастиц со среднеарифметическим расстоянием между ними не менее 10 максимальных линейных размеров (далее - разбавленные системы наночастиц), с однородной электронной плотностью, большей или меньшей электронной плотности окружающей их среды;
- многослойные пленки с известным числом одинаковых групп слоев, изготовленные на твердых плоских подложках.
В настоящем стандарте использованы нормативные ссылки на следующие стандарты:
ГОСТ 12.1.005-88 Система стандартов безопасности труда. Общие санитарно-гигиенические требования к воздуху рабочей зоны
ГОСТ 12.1.045-84 Система стандартов безопасности труда. Электростатические поля. Допустимые уровни на рабочих местах и требования к проведению контроля
Примечание - При пользовании настоящим стандартом целесообразно проверить действие ссылочных стандартов в информационной системе общего пользования - на официальном сайте Федерального агентства по техническому регулированию и метрологии в сети Интернет или по ежегодному информационному указателю "Национальные стандарты", который опубликован по состоянию на 1 января текущего года, и по выпускам ежемесячного информационного указателя "Национальные стандарты" за текущий год. Если заменен ссылочный стандарт, на который дана недатированная ссылка, то рекомендуется использовать действующую версию этого стандарта с учетом всех внесенных в данную версию изменений. Если заменен ссылочный стандарт, на который дана датированная ссылка, то рекомендуется использовать версию этого стандарта с указанным выше годом утверждения (принятия). Если после утверждения настоящего стандарта в ссылочный стандарт, на который дана датированная ссылка, внесено изменение, затрагивающее положение, на которое дана ссылка, то это положение рекомендуется применять без учета данного изменения. Если ссылочный стандарт отменен без замены, то положение, в котором дана ссылка на него, рекомендуется применять в части, не затрагивающей эту ссылку.
В настоящем стандарте применены термины по
РМГ 29 [1], а также следующие термины с соответствующими определениями:
3.1 наночастица: Частица, линейные размеры которой по каждому из трех измерений более 1 и менее 100 нм.
3.2 монодисперсная система (наночастиц): Система, содержащая наночастицы с примерно одинаковыми эффективными радиусами.
Примечание - Характерный разброс значений эффективных радиусов наночастиц в монодисперсной системе не более 10% их среднеарифметического значения.
3.3 полидисперсная система (наночастиц): Система, содержащая наночастицы с разными эффективными радиусами.
3.4 электронный радиус инерции наночастиц: Величина с размерностью длины, характеризующая распределение электронной плотности в наночастице и усредненная по системе наночастиц.
3.5 эффективный радиус наночастицы: Радиус сферической частицы, объем которой равен объему наночастицы.
3.6 толщина пленки: Кратчайшее расстояние между нижней и верхней поверхностями плоскопараллельной пленки.
3.7 период повторения (слоев в многослойных пленках): Расстояние между периодически повторяющимися одинаковыми группами слоев вдоль направления, перпендикулярного к поверхности пленки.
Примечание - Группа слоев в многослойных пленках представляет собой совокупность последовательных слоев одинаковой или различной толщины, соседние из которых различаются по химическому составу (электронной плотности). Периодическое повторение групп слоев образует пленку. Характерный диапазон значений периода повторяемости, измеряемого с помощью малоуглового дифрактометра, составляет от 0,5 до 100 нм.
3.8 электронная плотность (вещества): Число электронов в единице объема вещества.
Примечание - Упругое рассеяние рентгеновских лучей происходит на всех электронах вещества. Таким образом, электронная плотность представляет собой плотность центров рассеяния рентгеновских лучей.
3.9 малоугловой рентгеновский дифрактометр (дифрактометр): Прибор, предназначенный для измерения интенсивности рассеянного рентгеновского излучения, проходящего через образец, при малых значениях углов рассеяния.
Примечание - Рекомендуемый диапазон углов рассеяния для длины волны рентгеновского излучения 0,154 нм составляет от 0,1° до 3,5° и соответствует возможности определения размеров рассеивающих неоднородностей в диапазоне от 44,0 до 1,3 нм. В общем случае пределы углов рассеяния устанавливают с учетом особенности конструкции дифрактометра, длины волны используемого рентгеновского излучения и требуемых границ определяемых размеров неоднородностей в образце.
3.10 линейный позиционно-чувствительный детектор: Электронное устройство, выходной сигнал которого пропорционален интенсивности излучения, рассеянного или отраженного от образца в определенный угол рассеяния, и регистрируется одновременно для всех значений углов рассеяния в установленном диапазоне.
3.11 первичный пучок (рентгеновского излучения): Пучок рентгеновского излучения, падающий на образец после прохождения монохроматора и коллиматора.
3.12
блок монохромации рентгеновского дифрактометра (монохроматор): Устройство, ограничивающее частотный спектр рентгеновского излучения так, что доля выбранной компоненты излучения с длинами волн от

до

(

- рабочая длина волны) составляет не менее 95% регистрируемой детектором суммарной интенсивности рентгеновского излучения.
3.13 коллиматор: Устройство, предназначенное для пространственного ограничения и задания геометрических параметров пучка рентгеновского излучения с помощью системы щелей, формирующее нерасходящийся первичный пучок с малым поперечным сечением.
Примечание - В лабораторных малоугловых дифрактометрах, как правило, применяют коллиматоры, формирующие первичный пучок высотой не более 0,2 мм и шириной не более 10 мм. При этом регистрация рассеянного рентгеновского излучения осуществляется в вертикальной плоскости. Согласно принятой в оптических схемах терминологии "высота" пучка соответствует большему размеру, а "ширина" - меньшему.
3.14 кривая (интенсивности) рассеяния: Зависимость отношения интенсивности упруго рассеянного излучения от образца или отражения от поверхности пленки к интенсивности падающего излучения, представленная в виде графика зависимости данного отношения от угла рассеяния или модуля вектора рассеяния.
Примечание - Интенсивность зеркального отражения измеряется в направлении отражения под тем же углом к плоскости образца, что и угол падения рентгеновского пучка на плоскость образца.
3.15 угол рассеяния: Угол между направлением распространения рассеянного образцом рентгеновского излучения и направлением первичного пучка.
3.16 вектор рассеяния: Разность между волновыми векторами первичного и рассеянного излучения.
Примечание - Модуль вектора рассеяния определяют по формуле
где

- половина угла рассеяния;

- длина волны рентгеновского излучения.
3.17 волновой вектор: Вектор, направление которого совпадает с направлением распространения бегущей волны, при этом модуль волнового вектора равен волновому числу.
3.18
волновое число: Число, связанное с длиной волны

соотношением

(число волн на длине -

).
Примечание - Значение числа

(3,1415926535...) выбирают с точностью как минимум до пятого знака после запятой для исключения необходимости учета погрешности, связанной с точностью его округления.
3.19 угол скольжения: Угол между направлением распространения падающего на поверхность рентгеновского излучения и его проекцией на эту поверхность.
Примечание - Для зеркального отражения от поверхности образца угол скольжения равен половине угла рассеяния.
3.20 шум (интенсивности рассеяния): Беспорядочные колебания интенсивности рентгеновского излучения, вызванные шумами регистрирующего устройства и статистикой счета квантов рентгеновского излучения.
3.21 отношение сигнал - шум: Отношение интенсивности полезного сигнала к интенсивности беспорядочных колебаний интенсивности излучения, вызванных шумами регистрирующего устройства и случайной погрешностью счета квантов рентгеновского излучения.
3.22 угловое разрешение детектора: Минимальное угловое расстояние между отсчетами линейного позиционно-чувствительного детектора, на которых сигналы рентгеновского излучения могут быть зафиксированы как независимые.
3.23 измерение в режиме "на прохождение": Способ регистрации детектором угловой зависимости интенсивности рассеянного рентгеновского излучения после его прохождения сквозь образец.
3.24 измерение в режиме "на отражение от поверхности": Способ регистрации детектором угловой зависимости интенсивности рентгеновского излучения, отраженного от поверхности образца тонкой пленки под углом, равным углу скольжения, и лежащего в плоскости отражения.
3.25 когерентное рассеяние: Рассеяние электромагнитных волн без изменения длины волны и фазы.
Примечание - Фаза упруго рассеянной рентгеновской волны меняется на 180° относительно падающей волны.
3.26 форм-фактор наночастицы: Интенсивность (или амплитуда) рассеяния рентгеновского излучения частицей заданной формы.
3.27 межчастичная интерференция: Результат сложения амплитуд рентгеновского излучения, рассеянного на разных частицах.
Примечание - Межчастичная интерференция проявляет себя в виде визуально заметного "провала" при малых углах на кривой рассеяния рентгеновского излучения. Нежелательный вклад в рассеяние межчастичной интерференции нейтрализуют путем уменьшения концентрации наночастиц, то есть приготовлением разбавленной системы наночастиц.
3.28 брегговские пики: Интерференционные максимумы на кривой интенсивности отражения при когерентном рассеянии рентгеновских лучей от межслоевых границ в поперечном сечении пленки.
Примечание - Угловое положение

в единицах модуля волнового вектора, нм
-1, брегговского пика определяют по формуле
где n - порядковый номер брегговского пика (n = 0, 1, 2, ...);
d - межслоевой период пленки, нм.
Номера пикам присваивают в порядке возрастания значений

на кривой рассеяния, считая, что
n = 0 соответствует

. Угловые расстояния между максимумами на кривой рассеяния, соответствующими данному слоевому периоду, равны между собой.
3.29 осцилляции Киссига: Совокупность интерференционных максимумов на кривой интенсивности отражения при когерентном рассеянии рентгеновских лучей от верхней и нижней границ пленки.
Примечание - Осцилляции Киссига представляют собой совокупность эквидистантных максимумов небольшой интенсивности, расположенных между высокоинтенсивными брегговскими пиками.
3.30 функция распределения по расстояниям (внутри однородной наночастицы): Функциональная зависимость p(r) от расстояния r, значение которой пропорционально относительному числу всех отрезков длины r, соединяющих два произвольных элемента объема внутри однородной частицы.
Примечание - При вычислении функции распределения для большого числа (системы) однородных частиц считают, что система монодисперсна.
3.31 функция распределения (наночастиц) по размерам: Такая функциональная зависимость Ф(R) от радиусов R, что произведение ее значения на бесконечно малое приращение радиуса Ф(R)dR пропорционально относительному числу наночастиц с эффективными радиусами от R до (R + dR) в полидисперсной системе наночастиц.
3.32 генератор псевдослучайных чисел со стандартным нормальным распределением: Компьютерная программа, с помощью определенного алгоритма вычисляющая последовательность действительных чисел, значения элементов которой зависят друг от друга, но проявляют свойства непредсказуемости на длине последовательности не менее 231 членов, и подчиняются стандартному нормальному распределению.
Примечание - Стандартное нормальное распределение случайной величины

устанавливают с помощью функции плотности вероятности

так, что
N(
x)
dx определяет вероятность случайной величине

принимать значение в интервале от
x до (
x +
dx), где
x - любое действительное число;
dx - бесконечно малое приращение к числу
x.
3.33
погрешность (результата) измерения: Отклонение результата измерения от истинного действительного значения измеряемой величины
[1].
3.34
абсолютная погрешность измерения: Погрешность измерения, выраженная в единицах измеряемой величины
[1].
3.35
относительная погрешность измерения: Погрешность измерения, выраженная отношением абсолютной погрешности измерения к действительному или измеренному значению измеряемой величины
[1].
3.36
среднеквадратическая погрешность результата измерения: Оценка

случайной погрешности среднеарифметического значения результата измерений одной и той же величины в данном ряду измерений, вычисляемая по формуле
где xi - результат i-го единичного измерения;

- среднеарифметическое значение измеряемой величины из
n единичных результатов;
n - число единичных измерений
[1].
3.37
доверительные границы погрешности (результата измерений): Наибольшее и наименьшее значения погрешности измерений, ограничивающие интервал, внутри которого с заданной вероятностью находится искомое (истинное) значение погрешности результата измерений
[1].
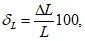
4 Требования к погрешности измерений
4.1 Пределы допускаемой относительной погрешности измерений максимальных размеров наночастиц в монодисперсной системе не должны быть более +/- 10% при доверительной вероятности P = 0,95.
4.2 Пределы допускаемой относительной погрешности измерений электронных радиусов инерции наночастиц в монодисперсной системе не должны быть более +/- 10% при доверительной вероятности P = 0,95.
4.3 Пределы допускаемой относительной погрешности измерений значений функции распределения по размерам наночастиц в полидисперсной системе не должны быть более +/- 15% при доверительной вероятности P = 0,95.
4.4 Пределы допускаемой относительной погрешности измерений межслоевого периода и толщины пленки не должны быть более +/- 4% при доверительной вероятности P = 0,95.
5 Средства измерений и вспомогательные устройства
При проведении измерений применяют следующие средства измерений и вспомогательные устройства.
5.1 Автоматический малоугловой рентгеновский дифрактометр
Автоматический малоугловой рентгеновский дифрактометр (далее - дифрактометр) должен включать в себя следующие устройства:
- источник рентгеновского излучения с длиной волны от 0,07 до 0,25 нм;
- блок монохроматизации пучка рентгеновского излучения;
- блок коллимации рентгеновского пучка (далее - коллиматор), размещенный перед держателем образца;
- сменные держатели образца, конструкция которых обеспечивает закрепление образца в рентгеновском пучке для двух типов измерений:
а) измерение в режиме "на прохождение",
б) измерение в режиме "на отражение от поверхности";
- ловушка первичного пучка, расположенная непосредственно перед детектором, изготовленная из материала, существенно поглощающего рентгеновское излучение (например, вольфрам, тантал и др.), и управляемая по высоте вручную или с помощью программного обеспечения дифрактометра;
- вакуумная камера с входным окном, расположенным непосредственно перед образцом (относительно направления распространения пучка рентгеновского излучения), и выходным окном, расположенным вплотную к плоскости детектора. Входное и выходное окна должны быть герметизированы пленкой из полиэтилентерефталата толщиной (0,03 +/- 0,01) мм или бериллиевой пластиной толщиной от 0,5 до 2 мм. Камера должна быть оснащена вакуумным насосом для создания давления не более 100 Па.
Примечание - Вакуумная камера и детектор могут быть выполнены в виде единого блока. В этом случае разделяющее их окно отсутствует. Держатель образца может быть размещен внутри вакуумной камеры, в этом случае коллиматор также должен быть размещен внутри вакуумной камеры перед держателем;
- линейный позиционно-чувствительный детектор (далее - детектор), позволяющий регистрировать число квантов рассеянного излучения за определенный период времени в зависимости от угла рассеяния.
Примечания
1 Входное окно детектора должно быть расположено так, чтобы рассеянное или отраженное рентгеновское излучение регистрировалось в вертикальной плоскости.
2 Допускается использовать также другие типы позиционно-чувствительных детекторов (например, двумерных) с соответствующим программным обеспечением, позволяющим рассчитывать кривые малоуглового рентгеновского рассеяния по результатам измерений;
- система автоматизации счета импульсов, предназначенная для автоматического управления детектором и сбора данных, обеспечивающая возможность проведения экспериментальных измерений в автоматическом режиме;
- электронно-вычислительное устройство, позволяющее с помощью соответствующего программного обеспечения управлять держателем образца и осуществлять обработку и хранение результатов на устройствах долговременного хранения информации.
5.2 Программное обеспечение дифрактометра
Программное обеспечение дифрактометра (далее - программное обеспечение) должно обеспечивать:
- накопление данных измерений в автоматическом режиме;
- хранение результатов на устройстве хранения информации для последующей обработки;
- введение поправки, обусловленной конечным размером сечения первичного пучка, в измеренные в режиме "на прохождение" данные (далее - коллимационная поправка).
Примечание - Конечные размеры профиля поперечного сечения пучка приводят к завышенной регистрируемой интенсивности в области малых углов из-за того, что при каждом значении угла в данную точку детектора вносит вклад интенсивность рассеяния от больших углов тем больше, чем больше размер сечения пучка. В итоге процедура приведения к точечной коллимации должна с учетом этого эффекта, а также с учетом влияния конечного размера регистрирующего элемента детектора установить интенсивность рассеяния, соответствующую нерасходящемуся первичному пучку с размером сечения, стремящимся к нулю;
- управление поворотом образца в режиме "на отражение от поверхности", синхронизированное с началом и концом измерений;
- визуальный контроль интенсивности рассеяния на экране монитора электронно-вычислительного устройства;
- вывод рассчитанных зависимостей в виде графика на экран монитора электронно-вычислительного устройства с возможностью изменения масштаба графика для обеспечения визуального определения координат точек графически построенной зависимости.
5.3 Держатель образца
Держатель образца должен обеспечивать возможность проведения следующих операций.
5.3.1 При измерениях в режиме "на прохождение" держатель должен обеспечивать:
- ручную юстировку положения образца в вертикальном направлении;
- горизонтальное закрепление стеклянных или кварцевых капилляров диаметром от 0,5 до 2 мм, со стенками толщиной не более 0,01 мм для жидких образцов;
- закрепление плоских кювет толщиной не более 2 мм, со стенками из полиэтилентерефталата толщиной не более 0,02 мм для сыпучих сухих образцов.
5.3.2 При измерениях в режиме "на отражение от поверхности" держатель должен обеспечивать:
- автоматический поворот плоскости образца вокруг горизонтальной оси, проходящей перпендикулярно к рентгеновскому пучку параллельно большей стороне его поперечного сечения. Держатель должен обеспечивать поворот образца в диапазоне углов от нуля до половины максимального угла рассеяния, допустимого на данном типе дифрактометра;
- равномерное изменение наклона в указанном диапазоне углов в автоматическом режиме, синхронизированное с моментами начала и окончания измерений;
- ручную юстировку положения образца в вертикальном направлении (далее - положение по высоте).
5.4 Средства для контроля состояния окружающей среды
Для контроля состояния окружающей среды и иных условий проведения измерений должны применяться средства измерения с относительными погрешностями не более 30% значений допусков к параметрам, установленным в
разделе 9.
6.1 Метод измерений максимального размера частиц и радиуса инерции в монодисперсных системах и распределения по размерам частиц в полидисперсных системах основан на измерении зависимости рассеянного образцом рентгеновского излучения от угла рассеяния при прохождении излучения через образец с последующей математической обработкой результатов данных измерений.
Картина малоуглового рассеяния, как и дифракционная картина, является результатом интерференции лучей, когерентно рассеянных на образце. При типичных длинах волн излучения в диапазоне от 0,05 до 0,5 нм малоугловое рассеяние позволяет исследовать структуры размерами от нескольких единиц до нескольких сотен нанометров. Интерференционная картина рассеяния формируется путем сложения множества вторичных когерентно рассеянных волн, которые отличаются друг от друга по фазе. Фазовые отличия и амплитуды слагаемых зависят от пространственного распределения электронной плотности, то есть от структуры объекта, и определяют форму экспериментальной кривой рассеяния, анализ которой позволяет определить электронный радиус инерции и максимальный размер наночастиц в монодисперсных системах и их распределение по размерам в полидисперсных образцах.
6.2 Толщину и период повторения слоев в тонких многослойных пленках определяют по положению максимумов на измеренных кривых интенсивности, полученных в режиме "на отражение от поверхности". Необходимым условием для определения периода повторения слоев является наличие на рентгенограмме брегговских рефлексов, возникающих вследствие сложения рентгеновских пучков, отраженных от пар параллельных плоскостей, представляющих собой межслоевые границы в пленке. Для определения толщины пленки необходимо наличие на рефлектограмме осцилляций Киссига, возникающих вследствие сложения рентгеновских пучков, отраженных от пар параллельных плоскостей, представляющих собой верхнюю и нижнюю границы пленки. Толщину периода повторения и толщину пленки вычисляют по результатам измерений угловых расстояний между максимумами брегговских пиков и пиков Киссига соответственно.
7 Требования безопасности
При проведении измерений на дифрактометре необходимо соблюдать правила электробезопасности по
[2],
[3], требования по обеспечению безопасности на рабочих местах по
ГОСТ 12.1.005,
ГОСТ 12.1.045,
[4],
[5] и
[6], а также требования, установленные в эксплуатационной документации на используемый дифрактометр.
Рабочие места операторов, проводящих измерения на дифрактометре, должны быть аттестованы по условиям труда в соответствии с требованиями национального трудового законодательства.
8 Требования к квалификации операторов
Измерения должны проводить штатные сотрудники предприятия, имеющие высшее или среднее специальное образование, соответствующую профессиональную подготовку, опыт самостоятельной работы на дифрактометре не менее одного года, прошедшие инструктаж по электро- и радиационной безопасности и изучившие требования настоящего стандарта.
Обработку экспериментальных данных должны проводить штатные сотрудники предприятия, имеющие высшее образование и необходимые знания в области линейной алгебры и математического анализа.
Измерения должны проводиться в следующих условиях:
- температура окружающей среды .................... (20 +/- 5) °C;
- относительная влажность воздуха ................. (60 +/- 15)%;
- атмосферное давление ............................ (101 +/- 10) кПа;
- напряжение питания в сети ....................... (220 +/- 22) В;
- частота питающей сети ........................... (50 +/- 0,4) Гц.
Остальные условия должны соответствовать требованиям, указанным в паспорте (формуляре) на используемый дифрактометр.
10 Подготовка и проведение измерений
10.1 При подготовке к проведению измерений на дифрактометре для определения интегральных структурных параметров наночастиц и кластеров в моно- и полидисперсных системах, толщины и периода повторения групп слоев в тонких пленках должны быть проведены следующие операции.
10.1.1 Проводят измерения параметров окружающей среды, температуры охлаждающей воды и показателей качества питающей электрической сети и проверяют выполнение условий, указанных в
разделе 9.
10.1.2 Проводят внешний осмотр дифрактометра, при котором должно быть установлено:
- соответствие комплекта поставки дифрактометра указанным в паспорте (формуляре) на данный дифрактометр;
- отсутствие механических повреждений функциональных элементов дифрактометра;
- отсутствие повреждений соединительных кабелей и разъемов.
10.1.3 Включают дифрактометр в соответствии с инструкцией по его эксплуатации.
10.1.4 Прогревают блок питания рентгеновской трубки согласно инструкции по ее эксплуатации, управляющий компьютер и систему управления детектором в течение 1 ч.
10.1.5 Включают программное обеспечение компьютера.
10.2 Измерения интенсивности малоуглового рассеяния в режиме "на прохождение" для определения интегральных структурных параметров наночастиц и кластеров в моно- и полидисперсных системах проводят следующим образом.
10.2.1 Измерения значений суммарных интенсивностей пучка рентгеновского излучения, необходимых для вычисления коэффициентов поглощения исследуемого образца в кювете и пустой кюветы или кюветы с чистым растворителем, использовавшимся при изготовлении образца (далее - кювета без образца), проводят в следующей последовательности.
10.2.1.1 Откачивают воздух из вакуумной камеры для минимизации "паразитного" рассеяния рентгеновского излучения.
Примечание - Далее в тексте стандарта эта операция не указывается, однако ее необходимо проводить перед каждым измерением интенсивности рентгеновского излучения.
10.2.1.2 Включают рентгеновский пучок и опускают заглушку первичного пучка таким образом, чтобы ее край не касался пучка рентгеновского излучения, обеспечивая его беспрепятственное прохождение к детектору.
Примечание - В случае слишком высокой для используемого детектора интенсивности первичный пучок рентгеновского излучения ослабляют до начала измерений, помещая перед коллиматором соответствующий длине волны исследуемого рентгеновского излучения ослабляющий фильтр, входящий в комплект поставки дифрактометра. Материал ослабляющего фильтра не должен обладать люминесцентным свечением, которое искажает результаты измерений.
10.2.1.3 Измеряют значение суммарной интенсивности

первичного пучка рентгеновского излучения, накопленного за определенный период времени. Измерения повторяют
K(e) >= 5 раз при
k = 1, 2, ...,
K(e).
Результаты измерений

для
k = 1, 2, ...,
K(e) в рентгеновских квантах в секунду (далее - с
-1) записывают в рабочий журнал оператора.
10.2.1.4 Устанавливают кювету или капилляр с образцом в держатель в положение, при котором интенсивность прошедшего пучка рентгеновского излучения будет минимальной.
10.2.1.5 Измеряют значение суммарной интенсивности

, с
-1, первичного пучка рентгеновского излучения, прошедшего сквозь образец в кювете. Измерения повторяют
K(sa) >= 5 раз при
k = 1, 2, ...,
K(sa).
Результаты измерений

для
k = 1, 2, ...,
K(sa) записывают в рабочий журнал оператора.
10.2.1.6 Устанавливают кювету без образца в держатель в положение, при котором интенсивность прошедшего пучка рентгеновского излучения будет минимальной.
10.2.1.7 Измеряют значение суммарной интенсивности

, с
-1, прошедшего сквозь кювету без образца пучка рентгеновского излучения. Измерения повторяют
K(a) >
= 5 раз при
k = 1, 2, ...,
K(a).
Результаты измерений

для
k = 1, 2, ...,
K(a) записывают в рабочий журнал оператора.
10.2.2 Измерения кривых рассеяния рентгеновского излучения от кюветы с образцом и от кюветы без образца проводят в следующей последовательности.
10.2.2.1 С помощью ловушки первичного пучка закрывают первичный пучок рентгеновского излучения.
Примечание - Оптимальное положение ловушки соответствует малому показанию интенсивности излучения, регистрируемой детектором при включенном источнике рентгеновского излучения, которое незначительно изменяется при поднятии ловушки и существенно увеличивается при ее опускании из данного положения.
10.2.2.2 С помощью управляющей программы устанавливают время измерения кривой рассеяния во всем угловом диапазоне.
Примечание - Время измерения определяют экспериментально путем оценивания отношения сигнал - шум в пробных измерениях или продолжают накопление сигнала при каждом значении угла рассеяния до момента достижения требуемого отношения. Рекомендуемое значение времени измерений должно быть не менее 1000 с для большинства типов лабораторных дифрактометров с острофокусной рентгеновской трубкой. Установленное время измерения должно обеспечивать отношение сигнал - шум при максимальном угле измерений не менее 20.
10.2.2.3 Устанавливают кювету или капилляр с образцом в держатель в положение, указанное в
10.2.1.4.
10.2.2.4 С помощью управляющей программы измеряют значения интенсивности рассеянного от кюветы с образцом рентгеновского излучения

, с
-1, для всех значений углов с порядковыми номерами
i = 1, 2, ...,
M' в установленном угловом диапазоне. Число повторных измерений кривой рассеяния принимают равным
K(sa) при
k = 1, 2, ...,
K(sa) согласно
10.2.1.5.
Результаты измерений интенсивности рентгеновского излучения

в зависимости от угла рассеяния в единицах модуля вектора рассеяния
qi, нм
-1, записывают на электронное устройство хранения информации.
10.2.2.5 Устанавливают кювету без образца в держатель в положение, указанное в
10.2.1.6.
10.2.2.6 С помощью программного обеспечения измеряют значения интенсивности рассеянного от кюветы без образца рентгеновского излучения

, с
-1, для значений углов, установленных по
10.2.2.4. Число повторных измерений кривой рассеяния принимают равным
K(a) при
k = 1, 2, ...,
K(a) согласно
10.2.1.7.
Результаты измерений интенсивности

, с
-1, в зависимости от угла рассеяния в единицах модуля вектора рассеяния
qi, нм
-1, записывают на электронное устройство хранения информации.
10.3 Измерение интенсивности малоуглового рассеяния в режиме "на отражение от поверхности" для определения толщины и периода повторяемости слоев в тонких пленках проводят следующим образом.
10.3.1 Устанавливают образец в поворотный держатель образца дифрактометра в горизонтальном положении.
10.3.2 Проводят юстировку положения образца следующим образом.
10.3.2.1 С помощью юстировочных винтов методом последовательных приближений осуществляют повороты и вертикальные перемещения блока держателя с целью установки образца в такое положение, в котором его поверхность будет параллельна направлению распространения первичного пучка рентгеновского излучения, а сам образец будет перекрывать собой половину пучка.
Примечание - Каждое перемещение образца контролируют по показаниям интенсивности рентгеновского излучения, регистрируемого детектором.
10.3.2.2 Юстировку прекращают тогда, когда регистрируемое детектором значение интенсивности будет равно половине полной интенсивности первичного пучка, а любое изменение положения образца приведет к уменьшению значения интенсивности.
Примечание - В случае слишком высокой для используемого детектора интенсивности первичный пучок рентгеновского излучения ослабляют до начала измерений, помещая перед коллиматором соответствующий длине волны используемого рентгеновского излучения ослабляющий фильтр, входящий в комплект поставки дифрактометра. Материал ослабляющего фильтра не должен обладать люминесцентным свечением, которое искажает результаты измерений.
10.3.3 С помощью ловушки первичного пучка закрывают первичный пучок рентгеновского излучения.
Примечание - Оптимальное положение ловушки соответствует малому показанию интенсивности, регистрируемой детектором при включенном источнике рентгеновского излучения, которое незначительно меняется при поднятии ловушки и существенно увеличивается при ее опускании из данного положения.
10.3.4 С помощью управляющей программы устанавливают требуемые предельные значения угла поворота образца.
Примечание - Минимальный угол должен быть равен значению половины плоского угла, перекрываемого ловушкой первичного пучка. Значение максимального угла должно быть не более половины максимального угла рассеяния рентгеновского излучения, регистрируемого детектором.
10.3.5 С помощью программного обеспечения устанавливают время измерения, равное времени одного полного поворота образца в угловых пределах, установленных в
10.3.4.
Примечания
1 Повторное измерение допускается проводить при повороте образца в направлении от максимального до минимального угла.
2 Время измерения определяют экспериментально путем оценивания отношения сигнал - шум в пробных измерениях или продолжают накопление сигнала при каждом значении угла рассеяния до момента достижения требуемого отношения. Рекомендуемое значение времени измерений должно быть не менее 1000 с для большинства лабораторных дифрактометров, оснащенных острофокусной рентгеновской трубкой. Установленное время измерения должно обеспечивать при максимальном угле измерений отношение сигнал - шум не менее 20.
10.3.6 С помощью управляющей программы включают механизм вращения образца с одновременным проведением измерений значений интенсивности рассеянного от образца рентгеновского излучения
Iik, с
-1, для всех значений углов с порядковыми номерами
i = 1, 2, ...,
M" в установленном диапазоне углов.
Измерения кривой рассеяния повторяют K >= 5 раз при k = 1, 2, ..., K.
Результаты измерений интенсивностей в режиме "на отражение" Iik, с-1, в зависимости от угла рассеяния в единицах модуля вектора рассеяния qi, нм-1, записывают на электронное устройство хранения информации.
11 Обработка результатов измерений
11.1 Обработка результатов измерений в режиме "на прохождение"
11.1.1 Предварительная обработка результатов измерений, полученных в режиме "на прохождение"
11.1.1.1 Коэффициент поглощения рентгеновского излучения кюветой с образцом вычисляют следующим образом:
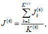
- вычисляют среднеарифметическое значение суммарной интенсивности первичного пучка рентгеновского излучения J(e), с-1, по формуле
где

- интенсивность первичного пучка рентгеновского излучения, измеренная по
10.2.1, с
-1;
K(e) - число повторных измерений интенсивности первичного пучка по
10.2.1.3;
- вычисляют среднеарифметическое значение суммарной интенсивности первичного пучка J(sa), с-1, прошедшего сквозь образец в кювете, по формуле
где

-
k-е значение суммарной интенсивности прошедшего сквозь образец в кювете первичного пучка рентгеновского излучения, измеренное по
10.2.1.5, с
-1;
K(sa) - число повторных измерений интенсивности первичного пучка, прошедшего сквозь образец в кювете по
10.2.1.5;
- вычисляют коэффициент поглощения T(sa) рентгеновского излучения кюветой с образцом по формуле
где J(sa) - суммарная интенсивность первичного пучка, прошедшего через образец в кювете, вычисленная по настоящему подпункту, с-1;
J(e) - суммарная интенсивность первичного пучка рентгеновского излучения, беспрепятственно прошедшего к детектору, вычисленная по настоящему подпункту, с-1.
11.1.1.2 Коэффициент поглощения рентгеновского излучения кюветой без образца вычисляют следующим образом:
- вычисляют среднеарифметическое значение суммарной интенсивности первичного пучка J(a), с-1, прошедшего сквозь кювету без образца, по формуле
где

-
k-е значение суммарной интенсивности прошедшего сквозь кювету без образца первичного пучка рентгеновского излучения, измеренное по
10.2.1.7, с
-1;
K(a) - число повторных измерений интенсивности первичного пучка, прошедшего сквозь кювету без образца по
10.2.1.7;
- вычисляют коэффициент поглощения T(a) рентгеновского излучения кюветой с образцом по формуле
где J(a) - суммарная интенсивность первичного пучка, прошедшего сквозь кювету без образца, вычисленная по настоящему подпункту, с-1;
J(e) - суммарная интенсивность первичного пучка рентгеновского излучения, беспрепятственно прошедшего к детектору, вычисленная по
11.1.1.1, с
-1.
11.1.1.3 Среднеарифметические значения

, с
-1, интенсивностей рассеянного от кюветы с образцом рентгеновского излучения, составляющих массив значений кривой рассеяния, для всех значений углов с порядковыми номерами
i = 1, 2, ...,
M' вычисляют по формуле
где

-
k-е значение интенсивности прошедшего сквозь образец в кювете пучка рентгеновского излучения, измеренное для
i-го значения угла по
10.2.2.4, с
-1;
K(sa) - число повторных измерений интенсивности пучка рентгеновского излучения, прошедшего сквозь образец в кювете, установленное по
10.2.2.4.
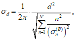
11.1.1.4 Среднеквадратические погрешности измерений

, с
-1, интенсивностей рассеянного от кюветы с образцом рентгеновского излучения для всех значений углов с порядковыми номерами
i = 1, 2, ...,
M' вычисляют по формуле
где

-
k-е значение интенсивности прошедшего сквозь образец в кювете пучка рентгеновского излучения, измеренное для
i-го значения угла по
10.2.2.4, с
-1;

- среднеарифметическое значение интенсивности, вычисленное по
11.1.1.3, с
-1;
K(sa) - число повторных измерений интенсивности пучка рентгеновского излучения, прошедшего сквозь образец в кювете, установленное по
10.2.2.4.
11.1.1.5 Вычисляют среднеарифметические значения

интенсивностей рассеянного от кюветы без образца рентгеновского излучения, составляющих массив значений кривой рассеяния, для всех значений углов с порядковыми номерами
i = 1, 2, ...,
M' по формуле
где

-
k-е значение интенсивности прошедшего сквозь кювету без образца пучка рентгеновского излучения, измеренное для
i-го значения угла по
10.2.2.6, с
-1;
K(a) - число повторных измерений интенсивности пучка рентгеновского излучения, прошедшего сквозь кювету без образца, установленное по
10.2.2.6.
11.1.1.6 Среднеквадратические погрешности измерений

, с
-1, интенсивностей рассеянного от кюветы без образца рентгеновского излучения для всех значений углов с порядковыми номерами
i = 1, 2, ...,
M' вычисляют по формуле
где

-
k-е значение интенсивности прошедшего сквозь кювету без образца пучка рентгеновского излучения, измеренное для
i-го значения угла по
10.2.2.6, с
-1;

- среднеарифметическое значение интенсивности, вычисленное по
11.1.1.5, с
-1;
K(a) - число повторных измерений интенсивности пучка рентгеновского излучения, прошедшего сквозь кювету без образца, установленное по
10.2.2.6.
11.1.1.7 Исключают из массивов данных, вычисленных по
11.1.1.3 -
11.1.1.6, значения интенсивностей

и

и их среднеквадратические погрешности результатов измерений, которые соответствуют значениям углов, закрытым при измерениях заслонкой первичного пучка. Для этого:
- осуществляют поиск, начиная с первого значения угла на кривой рассеяния, значения

с максимальной интенсивностью (
i = 1, 2, ...,
M')
. Соответствующий порядковый номер данного значения в массиве измеренных значений обозначают

;
- осуществляют поиск, начиная с первого значения угла на кривой рассеяния, значения

с максимальной интенсивностью (
i = 1, 2, ...,
M')
. Соответствующий порядковый номер данного значения в массиве измеренных значений обозначают

;
- выбирают максимальное из значений

и

и обозначают его
i0;
- исключают значения интенсивностей

и

, их среднеквадратические погрешности результатов измерений

и

и значения углов в единицах модуля вектора рассеяния
qi с индексами
i = 1, 2, ...,
i0 - 1 из соответствующих массивов данных и устанавливают новую нумерацию значений интенсивностей и значений углов, начиная с единицы:
i = 1, 2, ...,
M, где
M =
M' - i0 + 1 - новое число значений углов.
11.1.1.8 С помощью программного обеспечения в полученные по
11.1.1.7 значения интенсивностей рассеянного от образца в кювете рентгеновского излучения

, с
-1, вводят поправку на высоту рентгеновского пучка (далее - коллимационную поправку). Коллимационную поправку вводят в порядке, установленном в инструкции к программному обеспечению используемого дифрактометра, исходные данные и требования к разработке которого приведены в
разделе 5.
11.1.1.9 Значение интенсивности рассеянного от кюветы с образцом рентгеновского излучения без поглощения

, с
-1, вычисляют по формуле
где i - порядковый номер значения угла на кривой рассеяния (i = 1, 2, ..., M);

- значение интенсивности, вычисленное по
11.1.1.7, с
-1;
T(sa) - коэффициент поглощения образца в кювете, вычисленный по
11.1.1.1.
11.1.1.10 С помощью программного обеспечения в значения интенсивностей рассеянного от кюветы без образца рентгеновского излучения

, вычисленные по
11.1.1.7, вводят коллимационную поправку в порядке, установленном в инструкции к программному обеспечению используемого дифрактометра, исходные данные и требования к разработке которого приведены в
разделе 5.
11.1.1.11 Значение интенсивности рассеянного от кюветы без образца рентгеновского излучения без поглощения

, с
-1, вычисляют по формуле
где i - порядковый номер значения угла на кривой рассеяния (i = 1, 2, ..., M);

- значение интенсивности, вычисленное по
11.1.1.7, с
-1;
T(a) - коэффициент поглощения кюветы без образца, вычисленный по
11.1.1.2.
11.1.1.12 Значение интенсивности рассеянного от образца рентгеновского излучения без поглощения

, с
-1, вычисляют по формуле
где i - порядковый номер значения угла на кривой рассеяния (i = 1, 2, ..., M);

- значение интенсивности рассеянного от кюветы с образцом рентгеновского излучения без поглощения, вычисленное по
11.1.1.9, с
-1;

- значение интенсивности рассеянного от кюветы без образца рентгеновского излучения без поглощения, вычисленное по
11.1.1.11, с
-1.
11.1.1.13 Значение интенсивности рассеянного от образца рентгеновского излучения
Ii вычисляют по формуле
где i - порядковый номер значения угла на кривой рассеяния (i = 1, 2, ..., M);

- значение интенсивности рассеянного от образца рентгеновского излучения без поглощения, вычисленное по
11.1.1.12, с
-1;

- максимальное значение интенсивности рассеянного от образца рентгеновского излучения без поглощения, соответствующее с учетом требования
11.1.1.7 первому значению угла и вычисленное по
11.1.1.12, с
-1.
11.1.1.14 Суммарную погрешность

измерения нормированного значения интенсивности рассеянного от образца рентгеновского излучения
Ii вычисляют по формуле
где i - порядковый номер значения угла на кривой рассеяния (i = 1, 2, ..., M);

- среднеквадратическая погрешность измерения интенсивности рассеянного от кюветы с образцом рентгеновского излучения (
i = 1, 2, ...,
M), вычисленная по
11.1.1.4, с
-1;

- среднеквадратическая погрешность измерения интенсивности рассеянного от кюветы без образца рентгеновского излучения (
i = 1, 2, ...,
M), вычисленная по
11.1.1.6, с
-1;
T(sa) - коэффициент поглощения образца в кювете, вычисленный по
11.1.1.1;
T(a) - коэффициент поглощения кюветы без образца, вычисленный по
11.1.1.2;

- максимальное значение интенсивности рассеянного от образца рентгеновского излучения без поглощения, соответствующее с учетом требования
11.1.1.7 первому значению угла и вычисленное по
11.1.1.12, с
-1.
11.1.2 Определение максимального размера наночастиц в монодисперсных системах
11.1.2.1 Нулевое приближение максимального расстояния
rmax 0, нм, ограничивающего диапазон изменения расстояний в произвольно выбранной сферической системе координат, вычисляют по формуле
rmax 0 = 2Dmax 0,
где Dmax 0 - априорно заданное оператором нулевое приближение максимального размера наночастиц с монодисперсным распределением по размерам, нм.
11.1.2.2 Разбивают диапазон изменения расстояний
r в выбранной по
11.1.2.1 сферической системе координат на
N расстояний
rj, нм (
j = 1, 2, ...,
N), значение каждого из которых вычисляют по формуле
где rmax 0 - нулевое приближение максимального расстояния, нм;
(N - 1) - число интервалов, на которое разбит диапазон расстояний.
Примечание - Число расстояний дискретного диапазона
N должно быть не менее 100, но не более числа
M значений углов, при которых измеряют интенсивность рентгеновского излучения, определенного по
11.1.1.7. Рекомендуемое значение
N = 100.
11.1.2.3 Значения элементов
Sij (
i = 1, 2, ...,
M,
j = 2, 3, ...,
N - 1) вспомогательной матрицы
S размером
M x (
N - 2) (далее - матрица ядра) вычисляют по формуле
где
qi -
i-е значение угла рассеяния в единицах модуля вектора рассеяния (
i = 1, 2, ...,
M), полученное по
11.1.1.7, нм
-1;
rj - j-е значение расстояния (
j = 2, 3, ...,
N - 1), вычисленное по
11.1.2.2, нм;

- коэффициент, равный 0,5 для
j = 2,
N - 1 и 1 для
j = 3, 4, ...,
N - 2;
M - число значений углов измерений интенсивности рентгеновского излучения, определенное по
11.1.1.7;
N - число дискретных значений, на которые разбит диапазон расстояний.
11.1.2.4 Составляют вспомогательную трехдиагональную матрицу стабилизации
C размером (
N - 2) x (
N - 2) так, чтобы крайние элементы на главной диагонали (
C22 и
C(N - 1)(N - 1)) были равны одному и тому же положительному числу

, остальные элементы на главной диагонали матрицы регуляризации (
Cjj,
j = 3, 4, ...,
N - 2) были равны одному и тому же числу

, а все элементы над - (
Cj(j + 1),
j = 2, 4, ...,
N - 2) и по диагонали (
Cj(j + 1),
j = 3, 4, ...,
N - 1) - одному и тому же отрицательному числу

, где нормированный шаг
hr дискретизации расстояния вычисляют по формуле
где N - число дискретных значений, на которые разбит диапазон расстояний.
Матрица стабилизации должна иметь следующий вид
11.1.2.5 Центральные значения
K = 30 функций распределения по расстояниям

(
j = 2, 3, ...,
N - 1;
k = 1, 2, ...,
K), составляющих центральные векторы

длины (
N - 2), вычисляют по формуле
где
S - матрица ядра, значения коэффициентов которой вычислены по
11.1.2.3;
C - матрица стабилизации, значения элементов которой вычислены по
11.1.2.4;

- вектор, составленный из нормированных значений интенсивности рентгеновского излучения

(
i = 1, 2, ...,
M), соответствующих угловым координатам
qi и вычисленных по
11.1.1.14;

- положительное число (далее - параметр регуляризации), соответствующее
k-й функции распределения по размерам, вычисляемое по формуле
где k = 1, 2, ..., K; K определено в соответствии с требованием настоящего подпункта.
Примечание - Верхний индекс "T" обозначает операцию транспонирования матрицы; возведение в минус первую степень означает вычисление обратной матрицы.
11.1.2.6 Центральные векторы

длины
N - 2, значения элементов которых

(
j = 2, 3, ...,
N - 1;
k = 1, 2, ...,
K) вычислены по
11.1.2.5, дополняют нулевыми граничными значениями

и

. Результирующие векторы длины
N значений
K функций распределения по расстояниям

(
j = 1, 2, ...,
N) обозначают

(
k = 1, 2, ...,
K), где
K определено по
11.1.2.5.
11.1.2.7 Суммарный критерий качества

для каждой из
K функций распределения
p(k)(
rj) (
j = 1, 2, ...,
N;
k = 1, 2, ...,
K), составляющих векторы

и вычисленных по
11.1.2.5 -
11.1.2.6, вычисляют в соответствии с требованиями
приложения А.
11.1.2.8 Определяют максимальное

из вычисленных по
11.1.2.7 значений критериев качества

(
k = 1, 2, ...,
K). Соответствующее найденному максимальному критерию качества значение параметра регуляризации обозначают

. Значения соседних левого (с индексом на 1 меньше, чем у

) и правого (с индексом на 1 больше, чем у

) значений параметров регуляризации обозначают

и

соответственно.
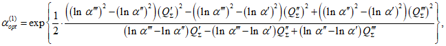
Значение оптимального параметра регуляризации

вычисляют по формуле
где

,

,

- значения суммарных критериев качества, вычисленные по
11.1.2.7 для значений параметров регуляризации

,

,

соответственно.
Соответствующий вычисленному значению оптимального параметра регуляризации

вектор значений оптимальной функции распределения по расстояниям вычисляют по формуле, приведенной в
11.1.2.5, заменяя

на

и в соответствии с требованием
11.1.2.6. Результирующий вектор обозначают

.
11.1.2.9 С помощью программного обеспечения строят график зависимости значений оптимальной функции распределения

от расстояния
rj (
j = 1, 2, 3, ...,
N), при этом последовательные точки данной зависимости соединяют отрезками прямых линий. Построенную непрерывную функцию обозначают
. Визуально или с помощью программного обеспечения [при необходимости изменяя масштаб изображения графика

] находят наименьшее значение расстояния

в нанометрах, при котором функция

достигает нулевого значения, то есть пересечения с осью абсцисс (кроме нулевого значения при
r = 0).
Примечание - Если график

не достигает нулевого значения ординаты при максимальных значениях расстояний
r, то значение
rmax 0 увеличивают и процедуру повторяют, начиная с
11.1.2.1.
11.1.2.10 В качестве первого приближения максимального размера наночастиц
Dmax 1 в нанометрах и максимального расстояния
rmax 1 в нанометрах, ограничивающего диапазон расстояний в сферической системе координат, принимают вычисленное по
11.1.2.9 значение расстояния

в нанометрах.
11.1.2.11 Используя вместо нулевого
rmax 0 первое приближение максимального расстояния r
max 1 в нанометрах и последовательно повторяя операции по
11.1.2.2 -
11.1.2.9, находят более точно описывающую монодисперсную систему наночастиц оптимальную функцию распределения по расстояниям

при

и соответствующее ей наименьшее значение расстояния

в нанометрах, при котором функция

равна нулевому значению (кроме нулевого значения при
r = 0). Найденное значение

, так же как в
11.1.2.10, принимают за следующее более точное приближение максимального размера наночастиц
Dmax 2 в нанометрах и максимального расстояния
rmax 2 в нанометрах, ограничивающего диапазон изменения расстояний в сферической системе координат.
11.1.2.12 Вычисляют третье
Dmax 3 и последующие приближения максимального размера наночастиц в нанометрах, циклически повторяя операции по
11.1.2.11 до тех пор, пока соответствующая графическая зависимость оптимальной функции распределения по расстояниям, обозначаемой
popt(
r), не будет плавно, по касательной приближаться к нулевому значению в области наибольших значений
r, не пересекая ось абсцисс, то есть оставаясь все время неотрицательной. В этом случае точка касания функции
popt(
r) с осью абсцисс будет наиболее точным приближением максимального размера наночастиц
Dmax в нанометрах.
Примечания
1 Рекомендуемое число циклически повторяемых вычислений по
11.1.2.12 равно четырем, так как это обеспечивает необходимое приближение максимального размера наночастиц в монодисперсной системе
Dmax =
Dmax 4.
В случае заниженного значения Dmax график popt(r) при больших r пересекает ось абсцисс один раз под углом, отличающимся от нулевого (не по касательной). В случае завышенного значения Dmax график popt(r) при больших r осциллирует около оси абсцисс, пересекая ее несколько раз. Если система монодисперсна, то обычно после нескольких итераций удается найти реальное значение Dmax, при котором график popt(r) стремится к нулю при больших r по касательной.
2 Если исследуемая система наночастиц является полидисперсной, то график popt(r) даже после многих итераций при больших r может не достигать нулевого значения по касательной, а либо один раз пересекать ось абсцисс под углом, отличающимся от нулевого, либо осциллировать около оси абсцисс, пересекая ее несколько раз.
11.1.2.13 Если значение суммарного критерия качества, вычисленного в соответствии с
приложением А для оптимальной функции распределения по расстояниям
popt(
r), менее 0,5, то полученное приближение максимального размера наночастиц
Dmax не может быть принято. В этом случае увеличивают, если возможно, угловой диапазон измерений интенсивности рентгеновского излучения и повторяют операции по
10.2,
11.1.1 и
11.1.2. Если при этом значение суммарного критерия качества остается менее 0,5, то определяют распределение наночастиц по размерам по
11.1.4.
11.1.3 Определение электронного радиуса инерции наночастиц в монодисперсных системах
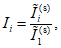
11.1.3.1 С помощью программного обеспечения строят график зависимости значений ln
Ii от

, где

- нормированное значение интенсивности рентгеновского излучения (
i = 1, 2, ...,
M), вычисленное по
11.1.1.13;
qi - значение угла рассеяния в единицах модуля вектора рассеяния, вычисленное по
11.1.1.7, нм
-1;
M - число значений углов, установленное по
11.1.1.7.
11.1.3.2 Визуально определяют приближенное максимальное значение (
qi)
max в нанометрах в минус первой степени, вплоть до которого, начиная от
q1, участок построенного по
11.1.3.1 графика зависимости можно считать линейной функцией. Порядковый индекс, соответствующий (
qi)
max, обозначают

.
11.1.3.3 Вычисляют экспериментальное значение электронного радиуса инерции

, нм, по формуле
где
i = 1, 2, ...,

;

- число значений углов, вычисленное по
11.1.3.2;
Ii - нормированное значение интенсивности рентгеновского излучения (
i = 1, 2, ...,

), вычисленное по
11.1.1.13;

- суммарная погрешность измерения нормированного значения интенсивности рассеянного от образца рентгеновского излучения (
i = 1, 2, ...,

), вычисленная по
11.1.1.14;
qi - значение угла рассеяния в единицах модуля вектора рассеяния (
i = 1, 2, ...,

), вычисленное по
11.1.1.7, нм
-1.
11.1.3.4 Вычисляют значение произведения
где

- экспериментальное значение электронного радиуса инерции, вычисленное по
11.1.3.3, нм;
(
qi)
max - приближенное максимальное значение угла, вплоть до которого, начиная от
q1, участок построенной по
11.1.3.1 графической зависимости можно считать линейной функцией, полученное по
11.1.3.2, нм
-1.
Если значение произведения

больше 1,3, то выполняют следующие вычисления:
- вычисляют уточненное значение (qi)max 1, нм-1, угла рассеяния по формуле
где

- экспериментальное значение электронного радиуса инерции, вычисленное по
11.1.3.3, нм;
- вычисляют уточненное значение экспериментального значения радиуса инерции в нанометрах по формуле, приведенной в
11.1.3.3, используя в качестве верхнего индекса суммирования

значение индекса, соответствующее (
qi)
max 1. Обозначение уточненного экспериментального значения электронного радиуса инерции

оставляют без изменений.
11.1.3.5 Вычисляют теоретическое значение
Rg, нм, электронного радиуса инерции по формуле
где
popt(
rj) - значение оптимальной функции распределения (
j = 1, 2, ...,
N), вычисленное по
11.1.2.12;
rj - значение расстояний (
j = 1, 2, ...,
N), на которые разбит диапазон расстояний [0,
Dmax] для определенной по
11.1.2.12 оптимальной функции распределения, нм.
Примечание - Значения интегралов в числителе и знаменателе формулы, приведенной в настоящем подпункте, могут быть вычислены по иной формуле численного интегрирования, дающей не менее точный результат, чем используемая формула "трапеции".
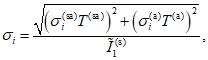
11.1.3.6 Вычисляют значение модуля разности

и
Rg в нанометрах, вычисленных по
11.1.3.3 -
11.1.3.5. Если значение вычисленной разности не более минимальной из суммарных погрешностей для

и
Rg, вычисленных соответственно по
12.1.6 и
12.1.5, то для монодисперсной системы наночастиц принимают оба значения радиуса инерции.
В ином случае система наночастиц не является монодисперсной, поэтому определяют распределение наночастиц по размерам по
11.1.4.
11.1.4 Определение распределения наночастиц по размерам в полидисперсных системах
11.1.4.1 Устанавливают значение минимального радиуса наночастиц
Rmin в нанометрах, ограничивающее снизу диапазон радиусов в полидисперсной системе наночастиц.
Примечание - Если значение минимального радиуса Rmin наночастиц неизвестно, то его устанавливают равным характерному межатомному расстоянию в веществе, из которого состоят наночастицы. Если состав наночастиц также неизвестен, то Rmin устанавливают равным 0,1 нм, что соответствует типичному межатомному расстоянию.
11.1.4.2 Вычисляют оценочное значение максимального радиуса инерции

, нм, по формуле
где
i = 1, 2, ...,

;

- число значений углов, которое определяют как порядковый номер значения угла

, при котором значение

наиболее близко к значению
I1/2;
Ii - нормированное значение интенсивности рентгеновского излучения (
i = 1, 2, ...,

), вычисленное по
11.1.1.13;

- суммарная погрешность измерения нормированного значения интенсивности рассеянного от образца рентгеновского излучения (
i = 1, 2, ...,

), вычисленная по
11.1.1.14;
qi - значение угла рассеяния в единицах модуля вектора рассеяния (
i = 1, 2, ...,

), определенное по
11.1.1.7, нм
-1.
11.1.4.3 Вычисляют нулевое приближение максимального радиуса наночастиц
Rmax 0, нм, ограничивающее сверху диапазон радиусов в полидисперсной системе наночастиц, по формуле
где

- оценочное значение максимального радиуса инерции, вычисленное по
11.1.4.2, нм.
11.1.4.4 Разбивают диапазон радиусов
R наночастиц в полидисперсной системе на
N значений
Rj (
j = 1, 2, ...,
N), нм, которые вычисляют по формуле
где
Rmax 0 - нулевое приближенное значение максимального радиуса наночастиц, вычисленное по
11.1.4.3, нм;
Rmin - значение минимального радиуса наночастиц, установленное по
11.1.4.1, нм;
(N - 1) - число интервалов, на которые разбит диапазон расстояний.
Примечание - Число значений расстояний дискретного диапазона
N должно быть не менее 100, но не более числа
M значений углов, при которых измеряют интенсивность рентгеновского излучения, определенного по
11.1.1.8. Рекомендуемое значение
N = 100.
11.1.4.5 Вычисляют значения нормированных форм-факторов

однородных сферических частиц с радиусами
Rj(
i = 1, 2, ...,
M;
j = 2, 3, ...,
N - 1) по формуле
где
qi -
i-е значение угла рассеяния в единицах модуля вектора рассеяния (
i = 1, 2, ...,
M), вычисленное по
11.1.1.7, нм
-1;
Rj -
j-е значение радиуса (
j = 2, 3, ...,
N - 1), вычисленное по
11.1.4.4, нм;
C - нормировочная константа, вычисленная по формуле
Примечание - В настоящем стандарте используют выражения, установленные для форм-факторов сферических однородных по плотности частиц, поэтому вычисляемая по настоящему разделу функция распределения по размерам представляет собой зависимость доли наночастиц от их эффективного радиуса, определенного в
разделе 3 как радиус равной по объему сферической частицы. В случае несферических частиц в качестве эффективного радиуса можно принимать любой подходящий по физическому смыслу параметр, отражающий требуемую размерную характеристику частицы.
11.1.4.6 Вычисляют значения коэффициентов

(
i = 1, 2, ...,
M;
j = 2, 3, ...,
N - 1) вспомогательной матрицы

размером
M x (
N - 2) (далее - матрица ядра) по формуле
где
Wij - значение форм-фактора сферических частиц, вычисленное по
11.1.4.5;
Rj - j-е значение радиуса (
j = 2, 3, ...,
N - 1), вычисленное по
11.1.4.4, нм;

- коэффициент, равный 0,5 для
j = 2,
N - 1 и 1 - для
j = 3, 4, ...,
N - 2;
N - число значений радиусов в диапазоне их изменения, установленное по
11.1.4.4;
M - число значений углов измерений интенсивности рентгеновского излучения, определенное по
11.1.1.8.
11.1.4.7 Составляют вспомогательную трехдиагональную матрицу стабилизации

размером (
N - 2) x (
N - 2) так, чтобы крайние элементы на главной диагонали

и

были равны одному и тому же положительному числу

; остальные элементы на главной диагонали регуляризации

(
j = 3, 4, ...,
N - 2) должны быть равны

, а все элементы над -

(
j = 2, 4, ...,
N - 2) и по диагонали

(
j = 3, 4 ...,
N - 1) - одному и тому же отрицательному числу

, где нормированный шаг по расстоянию
hR вычисляют по формуле
где N - число дискретных значений, на которые разбит диапазон расстояний;
Rmax 0 - нулевое приближенное значение максимального радиуса наночастиц, вычисленное по
11.1.4.3, нм;
Rmin - значение минимального радиуса наночастиц, определенное по
11.1.4.1, нм.
Таким образом, матрица стабилизации имеет следующий вид
11.1.4.8 Вычисляют центральные значения
K = 30 функций распределения по размерам

(
j = 2, 3, ...,
N - 1;
k = 1, 2, 3, ...,
K), составляющих центральные векторы

, по формуле
где

- матрица ядра, значения коэффициентов которой вычислены по
11.1.4.6;

- матрица стабилизации, значения элементов которой вычислены по
11.1.2.4;

- вектор, составленный из нормированных значений интенсивности рентгеновского излучения

(
i = 1, 2, 3, ...,
M), соответствующих угловым координатам
qi и вычисленных по
11.1.1.14;

- положительное число (далее - параметр регуляризации), соответствующее
k-й функции распределения по размерам, вычисляемое по формуле
где k = 1, 2, ..., K; K определено в соответствии с требованиями настоящего пункта.
Примечание - Индекс "T" обозначает операцию транспонирования матрицы; возведение в минус первую степень означает вычисление обратной матрицы.
11.1.4.9 Центральные векторы

длины
N - 2, значения элементов которых

(
j = 2, 3, ...,
N - 1;
k = 1, 2, ...,
K), вычисленные по
11.1.4.8, дополняют нулевыми граничными значениями

и

. Результирующие векторы длины
N значений
K функций распределения по расстояниям

(
j = 1, 2, ...,
N) обозначают

(
k = 1, 2, ...,
K), где
K определено по
11.1.4.8.
11.1.4.10 В соответствии с
приложением А вычисляют суммарный критерий качества

для каждой из
K функций распределения Ф
(k)(
Rj) (
j = 1, 2, 3, ...,
N;
k = 1, 2, 3, ...,
K), составляющих векторы

и вычисленных по
11.1.4.8 -
11.1.4.9. При этом вместо функций распределения по расстояниям
p(k)(
rj) используют функции распределения по радиусам Ф
(k)(
Rj), а вместо матрицы
S - матрицу ядра

, значения элементов которой вычислены по
11.1.4.6.
| | ИС МЕГАНОРМ: примечание. Текст дан в соответствии с официальным текстом документа. | |
11.1.4.11 Находят максимальное

из вычисленных по
11.1.4.9 значений критериев качества

(
k = 1, 2, ...,
K). Соответствующее найденному максимальному критерию качества значение параметра регуляризации обозначают

. Значения соседних левого (с индексом на 1 меньше, чем у

) и правого (с индексом на 1 больше, чем у

) значений параметров регуляризации обозначают соответственно

и

.
Находят оптимальное значение параметра регуляризации

по формуле
где

,

,

- значения суммарных критериев качества, вычисленные по
11.1.4.10 для значений параметров регуляризации

,

,

соответственно.
Соответствующий вычисленному значению оптимального параметра регуляризации

вектор значений оптимальной функции распределения по размерам вычисляют по формуле, приведенной в
11.1.4.8, заменяя

на

, и обозначают

(
, где
j = 1, 2, ...,
N).
11.1.4.12 С помощью программного обеспечения строят график зависимости значений оптимальной функции распределения

от радиусов
Rj (
j = 1, 2, 3, ...,
N), при этом последовательные точки данной зависимости соединяют отрезками прямых линий. Построенную непрерывную функцию обозначают
. Визуально или с помощью программного обеспечения [при необходимости изменяя масштаб изображения графика

] находят наименьшее значение расстояния

в нанометрах, при котором функция

достигает нулевого значения, то есть пересечения с осью абсцисс (кроме нулевого значения при
R =
Rmin).
11.1.4.13 Первое приближение максимального расстояния
Rmax 1 в нанометрах, ограничивающего сверху диапазон радиусов в полидисперсной системе наночастиц, принимают равным значению

, определенному по
11.1.4.12.
| | ИС МЕГАНОРМ: примечание. Текст дан в соответствии с официальным текстом документа. | |
11.1.4.14 Используя вместо нулевого
Rmax 0 первое приближение максимального расстояния
Rmax 1 в нанометрах и последовательно повторяя операции по
11.1.4.4 -
11.1.4.12, находят описывающую нодисперсную систему наночастиц оптимальную функцию распределения по расстояниям

при

и соответствующее ей наименьшее значение расстояния

в нанометрах, при котором функция

достигает нулевого значения (кроме нулевого значения при
R =
Rmin). Найденное значение

, так же как в
11.1.4.13, отождествляют со следующими более точными приближениями максимального радиуса наночастиц
Rmax 2 в нанометрах, ограничивающего сверху диапазон радиусов в полидисперсной системе наночастиц.
11.1.4.15 Циклически повторяя операции, указанные в
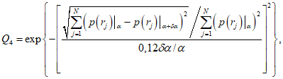
11.1.4.14, вычисляют третье
Rmax 3 и последующие приближения максимального радиуса наночастиц в нанометрах до тех пор, пока соответствующая графическая зависимость оптимальной функции распределения по расстояниям, обозначаемой Ф
opt(
R), не будет плавно по касательной приближаться к нулевому значению в области наибольших значений
R, не пересекая ось абсцисс, то есть постоянно оставаясь неотрицательной. В этом случае точка касания Ф
opt(
R) с осью абсцисс будет наиболее точным приближением максимального размера наночастиц
Rmax в нанометрах в полидисперсной системе.
Примечания
1 Рекомендуемое число циклических повторений описанного в настоящем пункте алгоритма равно четырем, а соответствующая оптимальная функция распределения по размерам наночастиц

.
В случае заниженного значения Rmax график Фopt(R) при больших R пересекает ось абсцисс один раз под углом, отличающимся от нулевого (не по касательной). В случае завышенного значения Rmax график Фopt(R) при больших R осциллирует около оси абсцисс, пересекая ее несколько раз.
11.1.4.16 Если значение суммарного критерия качества, вычисленного по
приложению А для оптимальной функции распределения по размерам Ф
opt(
R), менее 0,3, то полученное распределение по радиусам наночастиц Ф
opt(
R) не может быть принято.
В этом случае, если на кривой рассеяния, измеренной по
10.2, при малых углах рассеяния присутствует "провал" значений интенсивности, не связанный с перекрыванием заслонкой первичного пучка, то разбавляют, если возможно, систему наночастиц, уменьшая их концентрацию и нейтрализуя вклад в рассеяние межчастичной интерференции, и повторяют операции по
10.2,
11.1.1 и
11.1.4.
Если при этом значение суммарного критерия качества остается менее 0,3, то увеличивают, если возможно, угловой диапазон измерений интенсивности рентгеновского излучения и повторяют операции по
10.2,
11.1.1 и
11.1.4. Если и после этого значение суммарного критерия качества остается менее 0,3, то образец с системой наночастиц признают непригодным для проведения измерений по настоящему стандарту.
11.2 Обработка результатов измерений, полученных в режиме "на отражение от поверхности"
11.2.1 Период повторения слоев
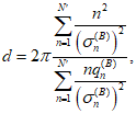
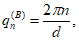
d в нанометрах в тонких пленках вычисляют по положению брегговских пиков на измеренных по
10.3 кривых интенсивности
Iik =
Kk(
qi), отраженного от образца с пленкой рентгеновского излучения (
i = 1, 2, ...,
M";
k = 1, 2, ...,
K), для чего выполняют следующие операции.
11.2.1.1 На
k-й кривой рассеяния
Ik(
qi), измеренной по
10.3.6 (
k = 1, 2, ...,
K), определяют значения угловых координат

в нанометрах в минус первой степени всех максимумов интенсивности, соответствующих брегговским пикам (
n = 1, 2, ...,
N'),
где
qi -
i-е значение угла рассеяния в единицах модуля вектора рассеяния (
i = 1, 2, ...,
M"), измеренное по
10.3.6, нм
-1;
K - число повторных измерений в режиме "на отражение от поверхности" кривой рассеянного рентгеновского излучения, установленное по
10.3.6;
N' - число брегговских пиков на кривой рассеяния, определенное по настоящему подпункту.
Примечание - Порядковый номер
n брегговского пика на кривой рассеяния отсчитывают, начиная с нуля, при

, который неинформативен для анализа и потому исключается из рассмотрения. Расстояния между соседними брегговскими пиками являются постоянными с погрешностью не более установленных для значений углов измерений.
Типичный вид кривой рассеяния рентгеновского излучения от поверхности многослойной пленки, полученной в режиме "на отражение от поверхности", изображен на рисунке 1.

,

,

,

- значения в единицах модуля вектора
рассеяния угловых координат брегговских пиков кривой
рассеяния с порядковыми номерами 1, 2, 3 и 4 соответственно.
Стрелками указаны одинаковые угловые расстояния
между брегговскими пиками, равные

, где
d - значение
периода повторения слоев в пленке, нм. Между брегговскими
пиками расположены эквидистантные осцилляции Киссига
Рисунок 1 - Кривая рассеяния рентгеновского излучения
от поверхности многослойной пленки, полученная в режиме
"на отражение от поверхности"
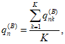
11.2.1.2 Вычисляют среднеарифметическое значение

, нм
-1, угловых координат брегговских пиков (
n = 1, 2, ...,
N'), используя данные, полученные путем обработки
K кривых рассеяния по
11.2.1.1, по формуле
где

- значение в единицах модуля вектора рассеяния угловой координаты
n-го брегговского пика на
k-й кривой рассеяния, определенное по
11.2.1.1, нм
-1;
K - число повторно измеренных кривых рассеяния в режиме "на отражение от поверхности", установленное по
10.3.6;
N' - число брегговских пиков на кривой рассеяния, определенное по
11.2.1.1.
11.2.1.3 Вычисляют среднеквадратическую погрешность

, нм
-1, среднеарифметического значения угловой координаты
n-го брегговского пика (
n = 1, 2, ...,
N'), по формуле
где

- значение угла в единицах модуля вектора рассеяния
n-го брегговского пика на
k-й кривой рассеяния, определенное по
11.2.1.1, нм
-1;

- среднеарифметическое значение угла, соответствующего положению брегговского пика с порядковым номером
n, вычисленное по
11.2.1.2, нм
-1;
K - число повторно измеренных кривых рассеяния в режиме "на отражение от поверхности", установленное по
10.3.6;
N' - число брегговских пиков на кривой рассеяния, определенное по
11.2.1.1.
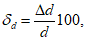
11.2.1.4 Вычисляют период повторения
d, нм, по формуле
где n - порядковый номер брегговского пика на кривой рассеяния (n = 1, 2, ..., N');
N' - число брегговских пиков на кривой рассеяния, определенное по
11.2.1.1;

- среднеарифметическое значение угла, соответствующего положению брегговского пика с порядковым номером
n, вычисленное по
11.2.1.2, нм
-1;

- среднеквадратическая погрешность среднеарифметического значения угла, соответствующего положению брегговского пика с порядковым номером
n, вычисленная по
11.2.1.3, нм
-1.
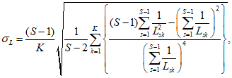
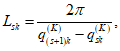
11.2.2 Толщину пленки оценивают одним из следующих способов.
11.2.2.1 При отсутствии осцилляций Киссига на кривых рассеяния, измеренных по
10.3.6, толщину пленки
L, нм, вычисляют на основании априорной информации о числе идентичных слоев пленки по формуле
L = Zd,
где Z - число идентичных слоев в исследуемой пленке;
d - значение периода повторения слоев, вычисленное по
11.2.1, нм.
Примечания
1 Отсутствие на кривых рассеяния осцилляций Киссига свидетельствует о невысоком качестве (ступенчатости, шероховатости, дефектности и т.п.) поверхности пленки или о ее предельно большой толщине.
2 Относительно реальной толщины пленки вычисленное значение L может оказаться как заниженным (в случае наличия в пленке кроме слоевых ячеек повторения дополнительных над- и подслоев), так и завышенным (из-за сокращения реального числа слоев в приготовленной пленке при переносе на подложку). В этом случае необходимо провести дополнительный анализ косвенных данных о структуре пленки для подтверждения адекватности полученного результата.
11.2.2.2 При наличии на кривых рассеяния осцилляций Киссига толщину пленки вычисляют по положениям на кривой рассеяния максимумов этих осцилляций, выполняя следующие операции:
- для каждой из кривых рассеяния выбирают группу из S >= 5 последовательных осцилляций Киссига, обладающих в среднем максимальной для данной кривой рассеяния амплитудой из всех групп по S осцилляций Киссига на данной кривой рассеяния;
- для каждой из
K кривых рассеяния определяют значения угловых координат

(
k = 1, 2, ...,
K) в нанометрах в минус первой степени максимумов интенсивности, соответствующих осцилляциям Киссига из выбранной по настоящему подпункту группы осцилляций Киссига (
s = 1, 2, ...,
S);
- вычисляют значения толщины пленки Lsk, нм, для k-й кривой рассеяния (k = 1, 2, ..., K) для каждой пары соседних осцилляций Киссига (s = 1, 2, ..., S - 1) по формуле
где

- значения угловых координат на
k-й кривой рассеяния (
k = 1, 2, ...,
K), нм
-1, максимумов интенсивности, соответствующих осцилляциям Киссига из выбранной по настоящему пункту группы осцилляций Киссига (
s = 1, 2, ...,
S);
S - число последовательных осцилляций Киссига, установленное по настоящему подпункту;
- вычисляют толщину пленки L, нм, как среднеарифметическое значение толщин пленки, вычисленных для K кривых рассеяния и для каждой пары соседних осцилляций Киссига на каждой из кривых рассеяния, по формуле
где Lsk - значение пленки для s-й пары (s = 1, 2, ..., S - 1) соседних осцилляций Киссига на k-й кривой рассеяния (k = 1, 2, ..., K), вычисленное по настоящему подпункту, нм;
S - число последовательных осцилляций Киссига, установленное по настоящему подпункту;
K - число повторно измеренных кривых рассеяния в режиме "на отражение от поверхности", установленное по
10.3.6.
12 Контроль погрешности результатов измерений
12.1 Расчет погрешности измерения значений максимального размера наночастиц и их электронного радиуса инерции в монодисперсных системах
12.1.1 С помощью программного обеспечения вычисляют значения для
H >= 10 кривых рассеяния
Iih =
Ih(
qi),
h = 1, 2, ...,
H, по формуле
где i - порядковый номер значения угла на кривой рассеяния (i = 1, 2, ..., M);
Ii - нормированное значение интенсивности рассеянного от образца рентгеновского излучения, вычисленное по
11.1.1.14;

- суммарная погрешность измерения нормированного значения интенсивности рассеянного от образца рентгеновского излучения, вычисленная по
11.1.1.14;

- псевдослучайное число, сгенерированное для
i-го значения угла на
h-й кривой рассеяния с помощью генератора псевдослучайных чисел со стандартным нормальным распределением, являющимся составной частью программного обеспечения дифрактометра по
5.2.
12.1.2 Используя вычисленные по
12.1.1 значения
Iih вместо
Ii, вычисляют по
11.1.2 H значений
Dmax h в нанометрах, определяющих максимальные размеры наночастиц, которые соответствуют каждой из
H сгенерированных по
12.1.1 кривых насыщения (
h = 1, 2, ...,
H).
12.1.3 Суммарную погрешность

, нм, максимального размера наночастиц в монодисперсной системе вычисляют по формуле
где
Dmax h - значение максимального размера наночастиц, которое соответствует
h-й из
H сгенерированных по
12.1.1 кривых рассеяния (
h =1, 2, ...,
H), вычисленное по
12.1.2, нм;
Dmax - наиболее точное приближение максимального размера наночастиц, соответствующее экспериментальной кривой рассеяния, вычисленное по
11.1.2.12, нм.
12.1.4 Доверительную границу

, нм, суммарной погрешности измерения максимального размера наночастиц в монодисперсной системе вычисляют при доверительной вероятности
P = 0,95 по формуле
где

- суммарная погрешность измерения максимального размера наночастиц в монодисперсной системе, вычисленная по
12.1.3, нм.
12.1.5 Относительную погрешность

, %, измерения максимального размера наночастиц в монодисперсной системе вычисляют при доверительной вероятности
P = 0,95 по формуле
где

- доверительная граница суммарной погрешности измерения максимального размера наночастиц в монодисперсной системе, вычисленная по
12.1.4, нм;
Dmax - наиболее точное приближение максимального размера наночастиц, соответствующее экспериментальной кривой рассеяния, вычисленное по
11.1.2.12, нм.
12.1.6 Используя вычисленные по
12.1.1 значения
Iih вместо
Ii, вычисляют по
11.1.3.5 H теоретических значений электронного радиуса инерции
Rg,h в нанометрах, которые соответствуют каждой из
H сгенерированных по
12.1.1 кривых рассеяния (
h = 1, 2, ...,
H).
12.1.7 Суммарную погрешность

, нм, теоретического значения электронного радиуса инерции вычисляют по формуле
где
Rg,h - теоретическое значение электронного радиуса инерции наночастиц, которое соответствует
h-й из
H сгенерированных по
12.1.1 кривых насыщения (
h = 1, 2, ...,
H), вычисленное по
12.1.5, нм;
Rg - вычисленное по
11.1.3.5 теоретическое значение электронного радиуса инерции наночастиц, соответствующее экспериментальной кривой рассеяния.
12.1.8 Доверительные границы

, нм, суммарной погрешности измерения теоретического значения электронного радиуса инерции в монодисперсной системе вычисляют при доверительной вероятности
P = 0,95 по формуле
где

- суммарная погрешность измерения теоретического значения электронного радиуса инерции, вычисленная по
12.1.7, нм.
12.1.9 Относительную погрешность

, %, измерения теоретического значения электронного радиуса инерции в монодисперсной системе вычисляют при доверительной вероятности
P = 0,95 по формуле
где

- доверительные границы суммарной погрешности измерения теоретического значения электронного радиуса инерции в монодисперсной системе, вычисленные по
12.1.8;
Rg - теоретическое значение электронного адреса инерции наночастиц, соответствующее экспериментальной кривой рассеяния, вычисленное по
11.1.3.5, нм.
12.1.10 Суммарную погрешность

, нм, экспериментального значения электронного радиуса инерции вычисляют по формуле
где
i = 1, 2, ...,

;

- число значений углов, вычисленное по
11.1.3.2;

- экспериментальное значение электронного радиуса инерции, вычисленное по
11.1.3.3, нм;
Ii - нормированное значение интенсивности рентгеновского излучения (
i = 1, 2, ...,

), вычисленное по
11.1.1.13;

- суммарная погрешность измерения нормированного значения интенсивности рассеянного от образца рентгеновского излучения (
i = 1, 2, ...,

), вычисленная по
11.1.1.14;
qi - значение угла рассеяния в единицах модуля вектора рассеяния (
i = 1, 2, ...,

), определенное по
11.1.1.7, нм
-1.
12.1.11 Доверительные границы

, нм, суммарной погрешности измерения экспериментального значения электронного радиуса инерции в монодисперсной системе вычисляют при доверительной вероятности
P = 0,95 по формуле
где

- суммарная погрешность измерения экспериментального значения электронного радиуса инерции, вычисленная по
12.1.10, нм.
12.1.12 Относительную погрешность

, %, измерения теоретического значения электронного радиуса инерции в монодисперсной системе вычисляют при доверительной вероятности
P = 0,95 по формуле
где

- доверительная граница суммарной погрешности измерения экспериментального значения электронного радиуса инерции в монодисперсной системе, вычисленная по
12.1.11, нм;
| | ИС МЕГАНОРМ: примечание. В официальном тексте документа, видимо, допущена опечатка: пункт 11.3.3 отсутствует. | |

- экспериментальное значение электронного радиуса инерции, вычисленное по 11.3.3, нм.
12.2 Расчет погрешности вычисления распределения наночастиц по размерам
12.2.1 С помощью программного обеспечения вычисляют значения для
H >= 50 кривых рассеяния

,
h = 1, 2, ...,
H, по формуле
где i - порядковый номер значений углов на кривой рассеяния (i = 1, 2, ..., M);
Ii - нормированное значение интенсивности рассеянного от образца рентгеновского излучения, вычисленное по
11.1.1.13;

- суммарная погрешность измерения нормированного значения интенсивности рассеянного от образца рентгеновского излучения, вычисленная по
11.1.1.14;

- псевдослучайное число, сгенерированное для
i-го значения угла на
h-й кривой рассеяния с помощью генератора псевдослучайных чисел со стандартным нормальным распределением, являющимся составной частью программного обеспечения дифрактометра по
5.2.
12.2.2 Используя вычисленные по
12.2.1 значения
Iih вместо
Ii, вычисляют по
11.1.4.15 значения
H функций Ф
opt,h(
R) распределения по размерам наночастиц, которые соответствуют каждой из
H сгенерированных по
12.1.1 кривых рассеяния (
h = 1, 2, ...,
H)
.
12.2.3 Суммарную погрешность

измерения значения оптимальной функции распределения по размерам, соответствующей экспериментальной кривой рассеяния, вычисляют по формуле
где Ф
opt,h(
R) - функция распределения по размерам наночастиц, которая соответствует
h-й из
H сгенерированных по
12.2.1 кривых рассеяния (
h = 1, 2, ...,
H), значения которой вычислены по
12.2.2;
Ф
opt(
R) - функция распределения по размерам наночастиц, соответствующая экспериментальным данным по рассеянному рентгеновскому излучению, значения которой вычислены по
11.1.4.15.
12.2.4 Доверительную границу

суммарной погрешности измерения значения оптимальной функции распределения по размерам, соответствующей экспериментальной кривой рассеяния, вычисляют при доверительной вероятности
P = 0,95 по формуле
где

- суммарная погрешность измерения значения оптимальной функции распределения по размерам, соответствующей экспериментальной кривой рассеяния, вычисленная по
12.2.3, нм.
12.2.5 Относительную погрешность

, %, измерения значения оптимальной функции распределения по размерам, соответствующей экспериментальной кривой рассеяния, вычисляют при доверительной вероятности
P = 0,95 по формуле
где

- доверительная граница суммарной погрешности измерения значения оптимальной функции распределения по размерам, соответствующей экспериментальной кривой рассеяния, вычисленная по
12.2.4;
Ф(
R) - функция распределения по размерам наночастиц, соответствующая экспериментальным данным по рассеянному рентгеновскому излучению, значения которой вычислены по
11.1.4.15.
12.3 Расчет погрешности измерения периода повторения слоев и толщины пленки
12.3.1 Вычисляют суммарную погрешность

, нм, измерения периода повторения слоев в пленке по формуле
где n - порядковый номер брегговского пика на кривой рассеяния, n = 1, 2, ..., N';
d - значение периода повторения, вычисленное по
11.2.1.4, нм;

- среднеквадратическая погрешность среднеарифметического значения угла

, нм
-1, соответствующего положению брегговского пика с порядковым номером
n, вычисленная по
11.2.1.3, нм
-1.
12.3.2 Доверительную границу

, нм, суммарной погрешности измерения периода повторения в пленке вычисляют при доверительной вероятности
P = 0,95 по формуле
где

- суммарная погрешность измерения межслоевого периода в пленке, вычисленная по
12.3.1, нм.
12.3.3 Относительную погрешность

, %, измерения периода повторения слоев в пленке вычисляют при доверительной вероятности
P = 0,95 по формуле
где

- значение доверительной границы суммарной погрешности измерения периода повторения в пленке, вычисленное по
12.3.2, нм;
d - значение периода повторения, вычисленное по
11.2.1.4.
12.3.4 При наличии на кривых рассеяния, измеренных по
10.3.6, осцилляций Киссига суммарную погрешность

, нм, измерения толщины пленки вычисляют по формуле
где
Lsk - значение толщины пленки для
s-й пары (
s = 1, 2, ...,
S - 1) соседних осцилляций Киссига на
k-й кривой рассеяния (
k = 1, 2, ...,
K), вычисленное по
11.2.2.2, нм;
S - число выбранных по
11.2.2.2 последовательных осцилляций Киссига;
K - число повторно измеренных кривых рассеяния в режиме "на отражение от поверхности", установленное по
10.3.6.
12.3.5 При отсутствии на кривых рассеяния, измеренных по
10.3.6, осцилляций Киссига можно вычислить только нижнюю границу суммарной погрешности

, нм, измерения толщины пленки по формуле
где Z - число идентичных слоев в исследуемой пленке, известное априори;

- суммарная погрешность измерения периода повторения, вычисленная по
12.3.1, нм.
При этом в последующих вычислениях по настоящему разделу вместо величины

используют величину

.
12.3.6 Доверительную границу

, нм, суммарной погрешности измерения толщины пленки вычисляют при доверительной вероятности
P = 0,95 по формуле
где

- суммарная погрешность измерения толщины пленки, вычисленная по
12.3.4, нм.
12.3.7 Относительную погрешность

, %, измерения толщины пленки вычисляют при доверительной вероятности
P = 0,95 по формуле
где

- значение доверительной границы суммарной погрешности измерения толщины пленки, вычисленное по
12.3.6;
L - значение толщины пленки, вычисленное по
11.2.2.2, нм.
13 Оформление результатов измерений
13.1 Результаты измерений оформляют в виде протокола по форме, принятой на предприятии, проводившем измерения.
13.2 В протоколе должны быть приведены следующие сведения:
- полное и сокращенное наименование предприятия, проводившего измерения;
- дата проведения измерений;
- основание и цель проведения измерений;
- тип и номер основных средств измерений и вспомогательных устройств;
- данные об условиях проведения измерений (параметрах окружающей среды, показателях качества питающей электрической сети);
- идентификационные данные образцов, характеристики которых подвергались измерениям.
При измерении малоуглового рассеяния в протоколе должны быть приведены следующие записи:
- для монодисперсных систем - два значения электронного радиуса инерции и максимальный размер наночастиц со значениями их доверительных границ суммарных погрешностей и значениями относительных погрешностей;
- для полидисперсных систем - график функции распределения по размерам со значениями доверительных границ суммарных погрешностей, а также график относительной погрешности значений функции распределения в зависимости от размера наночастиц.
При измерениях интенсивности отражения от поверхности пленок в протоколе должны быть приведены следующие записи:
- таблица положений максимумов Брегга;
- таблица положений максимумов Киссига (в случае их наличия на кривой рассеяния);
- значения периода повторения слоев и общей толщины пленки;
- доверительные границы суммарных погрешностей результатов измерений;
- значения относительных погрешностей.
В конце протокола должны быть указаны должности, фамилии, инициалы, а также должны быть подписи всех сотрудников, проводивших измерения и обработку их результатов.
(обязательное)
ВЫЧИСЛЕНИЕ СУММАРНОГО КРИТЕРИЯ КАЧЕСТВА ФУНКЦИИ
РАСПРЕДЕЛЕНИЯ ПО РАССТОЯНИЯМ
А.1 Вычисление критерия гладкости функции распределения по расстояниям
А.1.1 С помощью управляющей программы строят график зависимости значений функции распределения
pj =
p(
rj) от расстояний
rj (
j = 1, 2, ...,
N), при этом последовательные точки данной зависимости соединяют отрезками прямых линий. Построенную непрерывную функцию обозначают
p(
r)
. Визуально или с помощью программного обеспечения [при необходимости изменяя масштаб изображения графика
p(
r)] находят наименьшее значение расстояния
rnull в нанометрах, при котором функция
p(
r) равна нулевому значению, то есть пересекает ось абсцисс (кроме нулевого значения при
r = 0).
А.1.2 Вычисляют критерий гладкости Q1 функции распределения по расстояниям по формуле
где rj - j-е значение расстояния (j = 1, 2, 3, ..., N), нм;
p(rj) - j-е значение функции распределения, вычисленное при значении расстояния, равном rj;
rnull - наименьшее значение расстояния, при котором построенная по
А.1.1 функция
p(
r) равна нулевому значению (кроме нулевого значения при
r = 0), вычисленному по
А.1.1, нм;
N - число дискретных значений, на которые разбит диапазон расстояний.
А.2 Вычисление критерия систематического отклонения теоретической кривой рассеяния от экспериментальной
А.2.1 Вычисляют значения теоретической кривой рассеяния
Itheor(
qi),
i = 1, 2, ...,
M, по формуле
где
qi -
i-е значение угла рассеяния в единицах модуля вектора рассеяния, вычисленное по
11.1.1.7, нм
-1;
rj - j-е значение расстояния (j = 2, 3, ..., N - 1), на которые разбит диапазон расстояний, нм;
p(rj) - j-е значение функции распределения, вычисленное при расстоянии, равном rj;
Sij - значение элемента матрицы ядра (
i = 1, 2, ...,
M;
j = 2, 3, ...,
N - 1), вычисленное по
11.1.2.3;
N - число дискретных значений, на которые разбит диапазон расстояний;
M - число значений угла, при которых измеряют интенсивность рентгеновского излучения, определенное по
11.1.1.7.
А.2.2 Вычисляют значение критерия систематического отклонения Q2 экспериментальной кривой рассеяния от теоретической по формуле
где
Ms - число разностей, вычисленных по
11.1.1.13 экспериментальных и по
А.2.1 теоретических значений интенсивности рентгеновского излучения (
I(
qi)
- Itheor(
qj)), которые имеют знак, противоположный знаку разности в предыдущей точке (
I(
qi-1)
- Itheor(
qi-1)),
i = 2, 3, 4, ...,
M;
M - число значений угла, при которых измеряют интенсивность рентгеновского излучения, определенное по
11.1.1.7.
А.3 Вычисление критерия невязки между экспериментальной и теоретической кривыми рассеяния
А.3.1 Вычисляют функционал

при значении параметра регуляризации

по формуле
где
I(
qi) - нормированное значение интенсивности рентгеновского излучения, вычисленное по
11.1.1.13;

- значение интенсивности рентгеновского излучения, вычисленное по
А.2.1 с использованием функции распределения по расстояниям

, значение которой вычислено по
11.1.2.5 -
11.1.2.6 при значении параметра регуляризации, равном

;

- суммарная погрешность измерения
i-го нормированного значения
I(
qi) интенсивности рентгеновского излучения, вычисленная по
11.1.1.14;
M - число значений угла, при которых измеряют интенсивность рентгеновского излучения, определенное по
11.1.1.7.
А.3.2 Вычисляют критерий невязки Q3 кривой рассеяния по формуле
где

- значение функционала, вычисленное по
А.3.1 при параметре регуляризации

, соответствующем используемой функции распределения по расстояниям, для которой вычисляют суммарный критерий качества согласно настоящему приложению.
А.4 Вычисление критерия устойчивости функции распределения по расстояниям
А.4.1 Вычисляют вариацию

параметра регуляризации по формуле
где

- текущее значение параметра регуляризации, соответствующее используемой функции распределения по расстояниям, для которой вычисляют суммарный критерий качества согласно настоящему приложению.
А.4.2 Вычисляют критерий устойчивости Q4 функции распределения по расстояниям по формуле
| | ИС МЕГАНОРМ: примечание. В официальном тексте документа, видимо, допущена опечатка: пункт 1.1.2.5 отсутствует. Возможно, имеется в виду пункт 11.1.2.5. | |
где

- функция распределения по расстояниям, значение которой вычислено по
1.1.2.5 -
11.1.2.6 при параметре регуляризации

, соответствующем используемой функции распределения по расстояниям, для которой вычисляют суммарный критерий качества согласно настоящему приложению;

- функция распределения по расстояниям, значение которой вычислено по
11.1.2.5 -
11.1.2.6 при параметре регуляризации

;

- параметр регуляризации;

- вариация значения параметра регуляризации, вычисленная по
А.4.1.
А.5 Вычисление критерия неотрицательности функции распределения по расстояниям
Критерий неотрицательности Q5 функции распределения по расстояниям вычисляют по формуле
где p(rj) - j-е значение функции распределения, вычисленное при значении расстояния, равном rj;
p+(rj) - j-е неотрицательное значение функции распределения по расстояниям;
N - число всех значений функции распределения по расстояниям, равное числу дискретных значений, на которые разбит диапазон расстояний;
N+ - число неотрицательных значений функции распределения по расстояниям.
А.6 Вычисление суммарного критерия качества функции распределения по расстояниям
Суммарный критерий качества

функции распределения по расстояниям вычисляют по формуле
где
Q1 - критерий гладкости функции распределения по расстояниям, вычисленный по
А.1;
Q2 - критерий систематического отклонения теоретической кривой рассеяния от экспериментальной, вычисленный по
А.2;
Q3 - критерий невязки между экспериментальной и теоретической кривыми рассеяния, вычисленный по
А.3;
Q4 - критерий устойчивости функции распределения по расстояниям, вычисленный по
А.4;
Q5 - критерий неотрицательности функции распределения по расстояниям, вычисленный по
А.5.
Примечание - Суммарный критерий качества функции распределения по расстояниям сформулирован таким образом, чтобы он стремился к единице для оптимальной функции распределения по расстояниям, вычисленной по
11.1.2.12 для идеальной системы однородных сферических наночастиц одного радиуса.
| | Государственная система обеспечения единства измерений. Метрология. Основные термины и определения |
| Правила технической эксплуатации электроустановок потребителей (утверждены Приказом Минэнерго России от 13 января 2003 г. N 6; зарегистрированы Минюстом России 22 января 2003 г., рег. N 4145) |
| | Межотраслевые правила по охране труда (правила безопасности) при эксплуатации электроустановок |
| | Электромагнитные поля в производственных условиях |
| | Гигиенические требования к персональным электронно-вычислительным машинам и организации работы |
| | Основные санитарные правила обеспечения радиационной безопасности |
УДК 531.711.7.089:006.354 | |
Ключевые слова: наночастицы, моно- и полидисперсные системы наночастиц, электронный радиус инерции, тонкие многослойные пленки, период повторения, рентгеновский малоугловой дифрактометр, методика выполнения измерений |