Главная // Актуальные документы // ГОСТ Р (Государственный стандарт)СПРАВКА
Источник публикации
М.: Стандартинформ, 2019
Примечание к документу
Документ
введен в действие с 01.09.2010.
Название документа
"ГОСТ Р 8.697-2010. Национальный стандарт Российской Федерации. Государственная система обеспечения единства измерений. Межплоскостные расстояния в кристаллах. Методика выполнения измерений с помощью просвечивающего электронного микроскопа"
(утв. и введен в действие Приказом Ростехрегулирования от 10.02.2010 N 11-ст)
"ГОСТ Р 8.697-2010. Национальный стандарт Российской Федерации. Государственная система обеспечения единства измерений. Межплоскостные расстояния в кристаллах. Методика выполнения измерений с помощью просвечивающего электронного микроскопа"
(утв. и введен в действие Приказом Ростехрегулирования от 10.02.2010 N 11-ст)
Утвержден и введен в действие
агентства по техническому
регулированию и метрологии
от 10 февраля 2010 г. N 11-ст
НАЦИОНАЛЬНЫЙ СТАНДАРТ РОССИЙСКОЙ ФЕДЕРАЦИИ
ГОСУДАРСТВЕННАЯ СИСТЕМА ОБЕСПЕЧЕНИЯ ЕДИНСТВА ИЗМЕРЕНИЙ
МЕЖПЛОСКОСТНЫЕ РАССТОЯНИЯ В КРИСТАЛЛАХ
МЕТОДИКА ВЫПОЛНЕНИЯ ИЗМЕРЕНИЙ С ПОМОЩЬЮ ПРОСВЕЧИВАЮЩЕГО
ЭЛЕКТРОННОГО МИКРОСКОПА
State system for ensuring the uniformity of measurements.
Interpenar spacings in crystals. Methods for measurement
by means of a transmission electron microscope
ГОСТ Р 8.697-2010
Группа Т86.1
Дата введения
1 сентября 2010 года
1 РАЗРАБОТАН Открытым акционерным обществом "Научно-исследовательский центр по изучению свойств поверхности и вакуума", Федеральным государственным учреждением "Российский научный центр "Курчатовский институт", Государственным учреждением Российской академии наук "Институт кристаллографии им. А.В. Шубникова" и Государственным образовательным учреждением высшего профессионального образования "Московский физико-технический институт (государственный университет)"
2 ВНЕСЕН Техническим комитетом по стандартизации ТК 441 "Нанотехнологии и наноматериалы"
3 УТВЕРЖДЕН И ВВЕДЕН В ДЕЙСТВИЕ
Приказом Федерального агентства по техническому регулированию и метрологии от 10 февраля 2010 г. N 11-ст
4 ВВЕДЕН ВПЕРВЫЕ
5 ПЕРЕИЗДАНИЕ. Март 2019 г.
Правила применения настоящего стандарта установлены в статье 26 Федерального закона от 29 июня 2015 г. N 162-ФЗ "О стандартизации в Российской Федерации". Информация об изменениях к настоящему стандарту публикуется в ежегодном (по состоянию на 1 января текущего года) информационном указателе "Национальные стандарты", а официальный текст изменений и поправок - в ежемесячном информационном указателе "Национальные стандарты". В случае пересмотра (замены) или отмены настоящего стандарта соответствующее уведомление будет опубликовано в ближайшем выпуске ежемесячного информационного указателя "Национальные стандарты". Соответствующая информация, уведомление и тексты размещаются также в информационной системе общего пользования - на официальном сайте Федерального агентства по техническому регулированию и метрологии в сети Интернет (www.gost.ru)
Настоящий стандарт устанавливает методику выполнения измерений межплоскостных расстояний в кристаллах, кристаллических тонких пленках и покрытиях, нанокристаллах и иных образцах (далее - кристаллы) толщиной не более 200 нм с помощью просвечивающего электронного микроскопа.
Настоящий стандарт применяют для определения межплоскостных расстояний в кристаллах в диапазоне линейных размеров от 0,08 до 10,00 нм в режиме дифракции и в диапазоне линейных размеров от 0,2 до 10,0 нм в режиме изображения.
В настоящем стандарте использованы нормативные ссылки на следующие стандарты:
ГОСТ 12.1.005 Система стандартов безопасности труда. Общие санитарно-гигиенические требования к воздуху рабочей зоны
ГОСТ 12.1.045 Система стандартов безопасности труда. Электростатические поля. Допустимые уровни на рабочих местах и требования к проведению контроля
Примечание - При пользовании настоящим стандартом целесообразно проверить действие ссылочных стандартов в информационной системе общего пользования - на официальном сайте Федерального агентства по техническому регулированию и метрологии в сети Интернет или по (ежегодному) информационному указателю "Национальные стандарты", который опубликован по состоянию на 1 января текущего года, и по выпускам ежемесячного информационного указателя "Национальные стандарты" за текущий год. Если заменен ссылочный стандарт, на который дана недатированная ссылка, то рекомендуется использовать действующую версию этого стандарта с учетом всех внесенных в данную версию изменений. Если заменен ссылочный стандарт, на который дана датированная ссылка, то рекомендуется использовать версию этого стандарта с указанным выше годом утверждения (принятия). Если после утверждения настоящего стандарта в ссылочный стандарт, на который дана датированная ссылка, внесено изменение, затрагивающее положение, на которое дана ссылка, то это положение рекомендуется применять без учета данного изменения. Если ссылочный стандарт отменен без замены, то положение, в котором дана ссылка на него, рекомендуется применять в части, не затрагивающей эту ссылку.
В настоящем стандарте применены термины по
РМГ 29 [1], а также следующие термины с соответствующими определениями.
3.1 межплоскостное расстояние в кристалле: Минимальное расстояние между кристаллографическими плоскостями в кристалле, характеризующимися определенным набором значений индексов Миллера.
Примечание - Индексы Миллера - набор из трех целых чисел, характеризующий пространственно-угловую ориентацию кристаллографических плоскостей в кристалле так, что определенный набор их значений соответствует некоторой совокупности параллельных плоскостей в кристалле.
3.2 токовый рефлекс: Обособленная область на электронограмме, локально отличающаяся от окружающих ее областей большей яркостью (на мониторе электронно-вычислительного устройства регистрирующей системы) и образующаяся в результате попадания на детектор электронного пучка при выполнении условий дифракции.
Примечание - Множество токовых рефлексов формирует дифракционную картину.
3.3 электрометрическая электронограмма (электронограмма): Дифракционная картина от кристалла, зарегистрированная с помощью электрического детектора путем измерения электронного тока в каждой точке исследуемого участка дифракционной картины.
3.4 дифракционное кольцо (токовых рефлексов): Совокупность токовых рефлексов на электронограмме, находящихся на одном расстоянии от ее центра.
3.5 интенсивность (токового рефлекса): Яркость токового рефлекса на электрометрической электронограмме.
Примечание - Интенсивность токового рефлекса измеряют силой тока электронного пучка, падающего на детектор и формирующего данный рефлекс.
3.6 постоянная (просвечивающего электронного) микроскопа: Числовая величина, зависящая от геометрических параметров и режима работы микроскопа и определяющая взаимосвязь между линейными расстояниями на получаемой электронограмме и межплоскостными расстояниями в кристалле.
Примечание - Постоянная микроскопа равна удвоенному произведению длины волны падающих на кристалл электронов на расстояние от точки вхождения пучка в кристалл до детектора или фотографической пластинки (фотопленки).
3.7
погрешность (результата) измерения: Отклонение результата измерения от истинного (действительного) значения измеряемой величины
[1].
3.8
абсолютная погрешность измерения: Погрешность измерения, выраженная в единицах измеряемой величины
[1].
3.9
относительная погрешность измерения: Погрешность измерения, выраженная отношением абсолютной погрешности измерения к действительному или измеренному значению измеряемой величины
[1].
3.10 статистическая погрешность измерения интенсивности (токового рефлекса): Относительная погрешность измерения интенсивности токового рефлекса на каждом отдельном шаге сканирования дифракционной картины в режиме счета токовых рефлексов на детекторе.
Примечание - Статистическая погрешность измерения интенсивности равна отношению единицы к корню квадратному от заданного количества токовых импульсов на детекторе при накоплении сигнала на каждом отдельном шаге сканирования дифракционной картины.
3.11
среднеквадратическая погрешность результата измерений среднеарифметического: Оценка

случайной погрешности среднеарифметического значения результата измерений одной и той же величины в данном ряду измерений, вычисляемая по формуле

(3.1)
где xi - результат i-го единичного измерения;
| | ИС МЕГАНОРМ: примечание. Текст дан в соответствии с официальным текстом документа. | |
x - среднеарифметическое значение измеряемой величины из n единичных результатов;
n - число единичных измерений в ряду
[1].
3.12
доверительные границы погрешности (результата измерений): Наибольшее и наименьшее значения погрешности измерений, ограничивающие интервал, внутри которого с заданной вероятностью находится искомое (истинное) значение погрешности результата измерений
[1].
4 Требования к погрешности измерений
Пределы допускаемой относительной погрешности результатов измерений межплоскостных расстояний в кристаллах должны быть не более +/- 5% при доверительной вероятности P = 0,95.
5 Средства измерений и вспомогательные устройства
5.1 Просвечивающий электронный микроскоп (далее - микроскоп) должен иметь следующие технические характеристики:
- разрешающая способность микроскопа по межплоскостным расстояниям кристаллической решетки должна быть не менее 0,2 нм;
- ускоряющее напряжение должно быть в диапазоне от 80 до 400 кВ;
- относительное отклонение ускоряющего напряжения высоковольтного источника электронов должно быть не более 10-3% в течение 30 мин его работы.
Микроскоп должен быть оснащен системой регистрации электронограмм и изображений, включающей в себя:
- устройство для фоторегистрации на фотопленку (фотопластинки);
- двумерное матричное электронное устройство регистрации (например, CCD камера) или растровое устройство регистрации.
Микроскоп должен быть оснащен электронно-вычислительным устройством, позволяющим:
- осуществлять визуальный контроль дифракционной картины и изображения на экране монитора;
- производить запись электронограмм и изображений в память электронно-вычислительного устройства;
- измерять расстояния между рефлексами на электронограмме или между линиями на изображении.
Микроскоп должен быть оснащен системой замкнутого водяного охлаждения.
5.2 Кристаллодержатель, обеспечивающий:
- возможность наклона образца относительно двух взаимно перпендикулярных осей, лежащих в плоскости, параллельной плоскости флуоресцентного экрана и перпендикулярной к оптической оси колонны микроскопа;
- перемещение образца в двух взаимно перпендикулярных направлениях в азимутальной плоскости.
5.3 Образец кристаллической структуры (далее - калибровочный образец), в формуляре которого должны быть приведены следующие данные:
- наименование вещества;
- тип кристаллической структуры;
- значения межплоскостных расстояний не менее чем для трех кристаллографических плоскостей с различными наборами индексов Миллера;
- относительная погрешность измерения межплоскостных расстояний не более 5%, вычисленная при выполнении условий окружающей среды, приведенных в
разделе 9.
5.4 Средства контроля состояния окружающей среды и иных условий проведения измерений с относительными погрешностями не более 30% значений допусков, установленных в
разделе 9.
Основными методами измерений межплоскостных расстояний являются следующие:
- межплоскостные расстояния определяют по данным, полученным после анализа электронограмм, при дифракции электронного пучка на исследуемом образце с кристаллической структурой;
- межплоскостные расстояния определяют по результатам обработки фотоизображений объекта, полученных в режиме изображения.
Дифракция возникает в результате сложения электронных пучков, отраженных от пар определенных параллельных кристаллографических плоскостей. Каждый рефлекс на электронограмме соответствует кристаллографическим плоскостям с определенными значениями индексов Миллера, определяющими ориентацию этих плоскостей относительно кристалла. По результатам измерения расстояний между центрально-симметричными рефлексами на электронограмме вычисляют расстояние между ближайшими друг к другу параллельными плоскостями, характеризующимися определенными значениями индексов Миллера.
7 Требования безопасности
При проведении измерений необходимо соблюдать правила электробезопасности по
[2],
[3], требования по обеспечению безопасности на рабочих местах по
ГОСТ 12.1.005,
ГОСТ 12.1.045,
[4],
[5] и
[6], а также требования, установленные в эксплуатационной документации на используемый микроскоп.
Рабочие места операторов, проводящих измерения, должны быть аттестованы по условиям труда в соответствии с требованиями трудового законодательства.
8 Требования к квалификации операторов
Измерения должны проводить штатные сотрудники предприятия, имеющие высшее или среднее специальное образование, соответствующую профессиональную подготовку, опыт самостоятельной работы с микроскопом не менее одного года, прошедшие инструктаж по электро- и радиационной безопасности и изучившие требования настоящего стандарта.
Измерения должны проводиться в следующих условиях:
- температура окружающей среды ..................... (20 +/- 5) °C;
- относительная влажность воздуха .................. (60 +/- 15)%;
- атмосферное давление ............................. (101 +/- 5) кПа;
- температура охлаждающей воды ..................... (20 +/- 5) °C;
- напряжение питания в сети ........................ (220 +/- 22) В;
- частота питающей сети ............................ (50,0 +/- 0,4) Гц.
10 Подготовка и проведение измерений
10.1 Подготовку к измерению межплоскостных расстояний в кристалле проводят в порядке, указанном в 10.1.1 -
10.1.4.
10.1.1 Измеряют параметры окружающей среды, температуру охлаждающей воды, показатели качества питающей электрической сети и проверяют соблюдение условий, указанных в
разделе 9.
10.1.2 Проводят внешний осмотр микроскопа, при котором должно быть установлено:
- соответствие комплекта поставки микроскопа данным, указанным в паспорте (формуляре);
- отсутствие механических повреждений функциональных элементов микроскопа.
10.1.3 Включают микроскоп в соответствии с инструкцией по его эксплуатации.
10.1.4 Устанавливают рабочий режим в соответствии с инструкцией по эксплуатации микроскопа.
10.2 Значение постоянной микроскопа определяют следующим образом.
10.2.1 Помещают калибровочный образец в кристаллодержатель.
10.2.2 Устанавливают кристаллодержатель в колонну микроскопа.
10.2.3 Устанавливают такое значение тока, которое позволяет перейти в режим насыщения. При этом изображение пучка электронов на флуоресцентном экране микроскопа должно представлять собой яркое равномерно светящееся пятно.
10.2.4 Устанавливают калибровочный образец в эвцентрическую позицию, при которой его размещение по высоте должно соответствовать положению, установленному в инструкции по эксплуатации микроскопа. Изображение, получаемое на мониторе электронно-вычислительного устройства, фокусируют.
Примечание - Эвцентрическая позиция - положение образца в микроскопе, при котором смещение изображения при наклоне, а также изменение фокуса являются минимальными.
10.2.5 Выбирают участок для сканирования на калибровочном образце путем перемещения образца с помощью кристаллодержателя. При этом электронограмма искомого участка, визуально наблюдаемая на экране монитора электронно-вычислительного устройства, должна обладать наиболее четко выраженной контрастностью, яркостью рефлексов и симметричностью их расположения.
10.2.6 В автоматическом режиме сканируют
n >= 5 раз выбранный участок и получают
i-ю (
i = 1, 2, ...,
n) дифракционную картину калибровочного образца.
10.2.7 Каждую оцифрованную электронограмму калибровочного образца идентифицируют и сохраняют в памяти электронно-вычислительного устройства в отдельном файле.
10.3 Измерения межплоскостных расстояний кристалла проводят в порядке, указанном в 10.3.1 -
10.3.5.
10.3.1 Помещают исследуемый кристалл в кристаллодержатель в том же положении, в котором устанавливался калибровочный образец.
10.3.2 Устанавливают кристаллодержатель с исследуемым кристаллом в колонну микроскопа в том же положении, в котором устанавливался калибровочный образец.
10.3.3 Выбирают участок кристалла для исследования путем его перемещения с помощью кристаллодержателя. При этом i-я (i = 1, 2, ..., l) электронограмма искомого участка кристалла, визуально наблюдаемая на экране монитора электронно-вычислительного устройства, должна обладать наиболее четко выраженной контрастностью, яркостью рефлексов и симметричностью их расположения.
10.3.4 В автоматическом режиме сканируют
l >= 5 раз выбранный участок исследуемого кристалла и получают
i-ю (
i = 1, 2, ...,
l) дифракционную картину.
10.3.5 Каждую оцифрованную электрометрическую электронограмму исследуемого кристалла идентифицируют и сохраняют в памяти электронно-вычислительного устройства в отдельном файле.
10.4 Измерения межплоскостных расстояний исследуемого кристалла по изображению на фотопластинке (фотопленке), получаемому в режиме изображения с высоким разрешением, проводят в порядке, указанном в 10.4.1 -
10.4.4.
10.4.1 Участок кристалла для исследования выбирают путем перемещения кристалла с помощью кристаллодержателя и анализа электронограмм. При этом электронограмма искомого участка кристалла, визуально наблюдаемая на экране монитора электронно-вычислительного устройства, должна содержать как центральный максимум, так и кольца, либо рефлексы, полученные в результате дифракции электронов на кристаллической решетке кристалла. Электронограмма искомого участка кристалла должна обладать наиболее четко выраженной контрастностью, яркостью рефлексов и симметричностью их расположения.
10.4.2 Устанавливают на микроскопе режим изображения, фокусируя его при не менее чем 350000-кратном увеличении.
10.4.3 Получают прямое изображение кристаллической решетки кристалла согласно инструкции по эксплуатации микроскопа.
10.4.4 Фиксируют полученное прямое изображение на фотопластинке (фотопленке) согласно инструкции по эксплуатации микроскопа.
11 Обработка результатов измерений
11.1 Дифракционную картину, полученную при взаимодействии электронного пучка с калибровочным образцом, обрабатывают в порядке, указанном в 11.1.1 -
11.1.4.
11.1.1 На
i-й электронограмме (
i = 1, 2, ...,
n), полученной по
10.2.7, выбирают
m >= 4 дифракционных колец, обладающих достаточно высокой яркостью и контрастностью рефлексов. В паспорте (формуляре) калибровочного образца должны быть указаны значения межплоскостных расстояний между кристаллографическими плоскостями рассматриваемых дифракционных колец.
11.1.2 С помощью программного обеспечения электронно-вычислительного устройства вычисляют диаметры 2
rij в миллиметрах выбранных дифракционных колец (
j = 1, 2, ...,
m).
11.1.3 Вычисляют
i-е значение постоянной микроскопа

, мм·нм, по данным
i-й электронограммы по формуле

(11.1)
где 2
rij - значение диаметра
j-го дифракционного кольца, вычисленное по
11.1.2, мм;

- значение межплоскостного расстояния для системы кристаллографических плоскостей, от которых формируется выбранное по
11.1.2 j-е дифракционное кольцо, приведенное в паспорте (формуляре) калибровочного образца, нм;

- суммарное среднеквадратическое отклонение межплоскостного расстояния

, указанное в паспорте (формуляре) или вычисленное на основе погрешности, приведенной в паспорте (формуляре) калибровочного образца, для условий окружающей среды, установленных в
разделе 9, нм;
m - число выбранных по
11.1.1 дифракционных колец на электронограмме калибровочного образца.
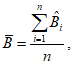
11.1.4 Определяют среднеарифметическое значение постоянной микроскопа

, мм·нм, по формуле

(11.2)
где

-
i-е значение постоянной микроскопа, вычисленное по
11.1.3 по данным
i-й электронограммы, мм·нм;
n - число повторных регистраций электронограммы от участка калибровочного образца по
10.2.5.
11.2 Дифракционную картину, полученную при взаимодействии электронного пучка с исследуемым кристаллом, обрабатывают в порядке, указанном в 11.2.1 -
11.2.3.
11.2.1 На
i-й электронограмме кристалла (
i = 1, 2, ...,
l), полученной по
10.3.5, присваивают порядковые номера дифракционным кольцам по мере увеличения их диаметра, начиная с наименьшего. С помощью программного обеспечения электронно-вычислительного устройства вычисляют расстояния

в миллиметрах между парами центрально-симметричных наиболее ярких и контрастных рефлексов, принадлежащих одному из дифракционных колец с номером
k.
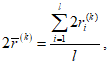
11.2.2 Вычисляют среднеарифметическое значение расстояния между рефлексами

, мм, по формуле

(11.3)
где

- расстояние между двумя рефлексами, принадлежащими дифракционному кольцу с номером
k на
i-й электронограмме, вычисленное по
11.2.1, мм;
l - число электронограмм участка кристалла по
10.3.5.
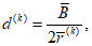
11.2.3 Вычисляют межплоскостное расстояние
d(k), нм, между параллельными плоскостями, формирующими дифракционное кольцо с номером
k, по формуле

(11.4)
где

- среднеарифметическое значение постоянной микроскопа, вычисленное по
11.1.4, мм·нм;

- среднеарифметическое значение расстояния между рефлексами, принадлежащими дифракционному кольцу с номером
k, вычисленное по
11.2.2, мм.
11.3 Определение межплоскостных расстояний в кристалле по фотографическому изображению образца проводят в порядке, указанном в 11.3.1 -
11.3.4.
11.3.1 Закрепляют фотографическое изображение, полученное по
10.4.4 для проведения измерений.
11.3.2 С помощью линейки измеряют
z >= 5 раз

расстояние

в миллиметрах между 11 плоскостями кристаллической решетки. Для этого проводят линию, перпендикулярную к полосам контраста, соответствующим плоскостям кристаллической решетки с определенным набором значений индексов Миллера. Если изображение получено в виде точек, соответствующих полосам контраста, их соединяют прямыми линиями и перпендикулярно к ним проводят линию, на которой измеряют

.
11.3.3 Вычисляют межплоскостное расстояние

, нм, в кристалле по формуле

(11.5)
где

- расстояние между 11 плоскостями кристаллической решетки кристалла, определенное по
11.3.2, мм;
M - увеличение изображения, установленное в
10.4.2, мм·нм
-1.
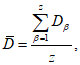
11.3.4 Вычисляют среднеарифметическое значение межплоскостного расстояния

, нм, по формуле

(11.6)
где

- межплоскостное расстояние в кристалле, вычисленное по
11.3.3, нм;
z - число вычислений значений расстояний между 11 плоскостями в кристаллической решетке, определенное по
11.3.2.
12 Контроль погрешности результатов измерений
12.1 Среднеквадратическое отклонение

, нм·мм,
i-го значения постоянной микроскопа, вычисленное по
11.1.3 по данным
i-й электронограммы, вычисляют по формуле

(12.1)
где 2
rij - значение диаметра
j-го дифракционного кольца на
i-й электронограмме калибровочного образца, вычисленное по
11.1.2, мм;

- погрешность измерения межплоскостного расстояния

, указанная в паспорте (формуляре) калибровочного образца при условиях окружающей среды, приведенных в
разделе 9, нм;
m - число выбранных по
11.1.1 дифракционных колец на электронограмме от калибровочного образца.
12.2 Среднеквадратическое отклонение

, мм·нм, среднеарифметического значения постоянной микроскопа

, определяемое для всех
n зарегистрированных электронограмм, вычисляют по формуле

(12.2)
где

- погрешность измерения
i-го значения постоянной микроскопа, вычисленная по
12.1 по данным
i-й электронограммы калибровочного образца, нм·мм;
n - число повторных регистраций электронограммы одного и того же участка калибровочного образца, определенное по
10.2.6.
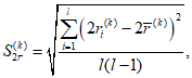
12.3 Среднеквадратическую погрешность

, мм, результата измерений среднеарифметического значения расстояния

между рефлексами на
k-м кольце дифракционной картины от исследуемого кристалла вычисляют по формуле

(12.3)
где

- расстояние между двумя рефлексами, принадлежащими дифракционному кольцу с номером
k на
i-й электронограмме, вычисленное по
11.2.1, мм;

- среднеарифметическое значение расстояния между рефлексами, принадлежащими дифракционному кольцу с номером
k, вычисленное по
11.2.2, мм;
l - число повторных регистрации электронограммы одного и того же участка калибровочного образца, определенное по
10.3.4.
12.4 Суммарную погрешность

, нм, измерения межплоскостного расстояния между параллельными плоскостями, формирующими дифракционное кольцо с номером
k, вычисляют по формуле

(12.4)
где
d(k) - межплоскостное расстояние между параллельными плоскостями в кристалле, формирующими дифракционное кольцо с номером
k, вычисленное по
11.2.3, нм;

- среднеарифметическое значение постоянной микроскопа, вычисленное по
11.1.4, мм·нм;

- суммарная погрешность измерения среднеарифметического значения постоянной микроскопа, вычисленная по
12.2, мм·нм;

- среднеарифметическое значение расстояния между рефлексами, принадлежащими дифракционному кольцу с номером
k, вычисленное по
11.2.2, мм;

- среднеквадратическая погрешность результата измерений среднеарифметического значения расстояния

между рефлексами на
k-м кольце дифракционной картины от исследуемого кристалла, вычисленная по
12.3, мм.
12.5 Доверительную границу суммарной погрешности

, нм, измерения межплоскостного расстояния между параллельными плоскостями, формирующими дифракционное кольцо с номером
k, вычисляют при доверительной вероятности
P = 0,95 по формуле

(12.5)
где

- суммарная погрешность измерения межплоскостного расстояния в кристалле, вычисленная по
12.4, нм.
12.6 Относительную погрешность измерения

, %, межплоскостного расстояния между параллельными плоскостями, формирующими дифракционное кольцо с номером
k, вычисляют по формуле

(12.6)
где

- доверительная граница суммарной погрешности измерения межплоскостного расстояния между параллельными плоскостями, формирующими дифракционное кольцо с номером
k, вычисленная по
12.5, нм;
d(k) - межплоскостное расстояние между параллельными плоскостями, формирующими дифракционное кольцо с номером
k, вычисленное по
11.2.3, нм.
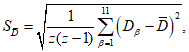
12.7 Среднеквадратическую погрешность

, нм, результата измерения среднеарифметического значения межплоскостного расстояния

в исследуемом кристалле по фотографическому изображению вычисляют по формуле

(12.7)
где

- среднеарифметическое значение межплоскостного расстояния, вычисленное по
11.3.4, нм;
z - число вычислений значений расстояний между одиннадцатью плоскостями в кристаллической решетке, вычисленное по
11.3.2;

- межплоскостное расстояние между одиннадцатью плоскостями кристаллической решетки кристалла, вычисленное по
11.3.3, нм.
12.8 Доверительную границу погрешности

, нм, результата измерения среднеарифметического значения межплоскостного расстояния в исследуемом кристалле вычисляют при доверительной вероятности
P = 0,95 по формуле

(12.8)
где

- среднеквадратическая погрешность результата измерения среднеарифметического значения межплоскостного расстояния в исследуемом кристалле, вычисленная по
12.7, нм.
12.9 Относительную погрешность

, %, результатов измерения межплоскостного расстояния в исследуемом кристалле по фотографическому изображению вычисляют по формуле

(12.9)
где

- доверительная граница погрешности результата измерения среднеарифметического значения межплоскостного расстояния, вычисленная по
12.8, нм;

- среднеарифметическое значение межплоскостного расстояния в исследуемом кристалле по фотографическому изображению, вычисленное по
11.3.4, нм.
12.10 Проводят сравнение значений относительных погрешностей измерений

и

, вычисленных по
12.6 и
12.9 соответственно, со значениями погрешностей измерений, приведенными в
разделе 4.
Если вычисленные по
12.6 и
12.9 значения погрешностей превышают предельные значения, приведенные в
разделе 4, то выясняют причины превышения, устраняют их и проводят повторные измерения в соответствии с требованиями настоящего стандарта.
13 Оформление результатов измерений
13.1 Результаты измерений межплоскостных расстояний в кристаллах оформляют в виде протокола по форме, принятой на предприятии, проводившем измерения.
13.2 В протоколе должны быть приведены следующие сведения:
- полное и сокращенное наименования предприятия, проводившего измерения;
- дата проведения измерений;
- основание и цель проведения измерений;
- тип и номер основных средств измерений и вспомогательных устройств;
- данные об условиях проведения измерений;
- идентификационные данные об исследуемых кристаллах, межплоскостные расстояния в которых подвергались измерениям;
- измеренные значения расстояний между кристаллографическими плоскостями;
- значения доверительных границ и относительных погрешностей измерений межплоскостных расстояний при доверительной вероятности P = 0,95;
- должности, фамилии, инициалы и подписи всех сотрудников, проводивших измерения и обработку результатов.
| | Государственная система обеспечения единства измерений. Метрология. Основные термины и определения |
| Правила технической эксплуатации электроустановок потребителей (утверждены приказом Минэнерго России от 13.01.2003 г. N 6; зарегистрированы Минюстом России 22.01.2003 г., рег. N 4145) |
| | Межотраслевые правила по охране труда (правила безопасности) при эксплуатации электроустановок |
| | Электромагнитные поля в производственных условиях |
| | Гигиенические требования к персональным электронно-вычислительным машинам и организации работы |
| | Основные санитарные правила обеспечения радиационной безопасности |
УДК 531.711.7.089:006.354 | | Т86.1 |
Ключевые слова: нанокристаллы, тонкие пленки, межплоскостные расстояния в кристаллах, просвечивающий электронный микроскоп, методика выполнения измерений |