Главная // Актуальные документы // ГОСТ Р (Государственный стандарт)СПРАВКА
Источник публикации
М.: Стандартинформ, 2012
Примечание к документу
Документ
введен в действие с 1 июля 2011 года.
Название документа
"ГОСТ Р 8.683-2009. Национальный стандарт Российской Федерации. Государственная система обеспечения единства измерений. Вольтметры электронные селективные. Методика поверки"
(утв. и введен в действие Приказом Ростехрегулирования от 15.12.2009 N 1128-ст)
"ГОСТ Р 8.683-2009. Национальный стандарт Российской Федерации. Государственная система обеспечения единства измерений. Вольтметры электронные селективные. Методика поверки"
(утв. и введен в действие Приказом Ростехрегулирования от 15.12.2009 N 1128-ст)
Утвержден и введен в действие
по техническому регулированию
и метрологии
от 15 декабря 2009 г. N 1128-ст
НАЦИОНАЛЬНЫЙ СТАНДАРТ РОССИЙСКОЙ ФЕДЕРАЦИИ
ГОСУДАРСТВЕННАЯ СИСТЕМА ОБЕСПЕЧЕНИЯ ЕДИНСТВА ИЗМЕРЕНИЙ
ВОЛЬТМЕТРЫ ЭЛЕКТРОННЫЕ СЕЛЕКТИВНЫЕ
МЕТОДИКА ПОВЕРКИ
State system for ensuring the uniformity of measurements.
Selective electronic voltmeters. Verification methods
ГОСТ Р 8.683-2009
Группа Т88.7
Дата введения
1 июля 2011 года
Цели и принципы стандартизации в Российской Федерации установлены Федеральным
законом от 27 декабря 2002 г. N 184-ФЗ "О техническом регулировании", а правила применения национальных стандартов Российской Федерации -
ГОСТ Р 1.0-2004 "Стандартизация в Российской Федерации. Основные положения".
1. Разработан Федеральным государственным унитарным предприятием "Всероссийский научно-исследовательский институт метрологической службы" (ФГУП "ВНИИМС").
2. Внесен Управлением метрологии Федерального агентства по техническому регулированию и метрологии.
3. Утвержден и введен в действие
Приказом Федерального агентства по техническому регулированию и метрологии от 15 декабря 2009 г. N 1128-ст.
4. Введен впервые.
5. Переиздание. Февраль 2012 г.
Информация об изменениях к настоящему стандарту публикуется в ежегодно издаваемом информационном указателе "Национальные стандарты", а текст изменений и поправок - в ежемесячно издаваемых информационных указателях "Национальные стандарты". В случае пересмотра (замены) или отмены настоящего стандарта соответствующее уведомление будет опубликовано в ежемесячно издаваемом информационном указателе "Национальные стандарты". Соответствующая информация, уведомление и тексты размещаются также в информационной системе общего пользования - на официальном сайте Федерального агентства по техническому регулированию и метрологии в сети Интернет.
Настоящий стандарт распространяется на электронные селективные вольтметры (далее - вольтметры), предназначенные для измерения переменного напряжения в диапазоне частот от 20 Гц до 35 МГц, и устанавливает методы их первичной и периодической поверок.
Стандарт распространяется на вольтметры, представленные в
Приложении А, а также на другие вольтметры, метрологические характеристики которых аналогичны метрологическим характеристикам данных вольтметров.
Передача единицы переменного напряжения осуществляется в соответствии с рекомендациями
[1].
В настоящем стандарте использованы нормативные ссылки на следующий стандарт:
ГОСТ 12.3.019-80 Система стандартов безопасности труда. Испытания и измерения электрические. Общие требования безопасности
Примечание. При пользовании настоящим стандартом целесообразно проверить действие ссылочного стандарта в информационной системе общего пользования - на официальном сайте Федерального агентства по техническому регулированию и метрологии в сети Интернет или по ежегодно издаваемому информационному указателю "Национальные стандарты", который опубликован по состоянию на 1 января текущего года, и по соответствующим ежемесячно издаваемым информационным указателям, опубликованным в текущем году. Если ссылочный стандарт заменен (изменен), то при пользовании настоящим стандартом следует руководствоваться заменяющим (измененным) стандартом. Если ссылочный стандарт отменен без замены, то положение, в котором дана ссылка на него, применяется в части, не затрагивающей эту ссылку.
В настоящем стандарте применены термины по рекомендации
[2], а также следующие термины с соответствующими определениями:
3.1. Средства поверки: эталоны, калибраторы, эталонные приборы, поверочные установки и другие средства измерений, применяемые при поверке в соответствии с установленными правилами.
3.2. Эталонный прибор: прибор, используемый в качестве эталонного при проведении поверки.
3.3. Номинальное значение: значение, принятое в качестве номинального значения параметра.
3.4. Нормирующее значение: значение, к которому приведена погрешность.
Примечание. В качестве нормирующего значения могут быть использованы номинальное значение параметра, предел диапазона измерений, модуль разности пределов измерений.
3.5. Нормальные условия проведения поверки: условия измерений, характеризуемые совокупностью значений или областей значений влияющих величин, при которых изменением результата поверки допускается пренебречь.
4.1. При проведении поверки должны быть выполнены операции, указанные в таблице 1.
Таблица 1
Наименование операции | Номер подраздела, пункта настоящего стандарта | Обязательность проведения операции |
при выпуске из производства | при ремонте | при эксплуатации и хранении |
Внешний осмотр | | Да | Да | Да |
Опробование | | Да | Да | Да |
Определение метрологических характеристик | | Да | Да | Да |
Определение уровня внутренних комбинационных сигналов и уровня собственных шумов (уровень внутренних помех) | | Да | Да | Нет |
Определение основной погрешности и погрешности в рабочей области частот при измерении напряжения | | Да | Да | Да |
Определение погрешности установки частоты настройки | | Да | Да | Да |
Определение ширины полосы пропускания и коэффициента прямоугольности резонансной характеристики | | Да | Да | Да |
5.1. При проведении поверки должны быть применены средства поверки, указанные в таблице 2.
Таблица 2
Наименование средства поверки | Требуемые нормативные и технические характеристики |
Установка для поверки (электронных) вольтметров | Диапазон напряжений 100 мкВ - 3 В, диапазон частот 10 - 50 Гц, коэффициент гармоник 0,1% - 0,5%, пределы допускаемой основной погрешности +/- (0,2% - 3%) |
Диапазон напряжений 100 мкВ - 100 В, диапазон частот 20 Гц - 100 кГц, коэффициент гармоник не более 0,06%, пределы допускаемой основной погрешности +/- (0,02% - 0,1%) |
Диапазон напряжений 10 мкВ - 300 В, частота 45, 400 и 1000 Гц, коэффициент гармоник не более 0,2, пределы допускаемой основной погрешности  , где  - номинальное значение напряжения |
Вольтметр переменного тока | Диапазон напряжений 0,01 - 100 В, диапазон частот 20 Гц - 1000 МГц, пределы допускаемой основной погрешности +/- (0,2% - 2,8%) |
Диапазон напряжений 0,3 мВ - 300 В, диапазон частот 10 Гц - 50 МГц, пределы допускаемой основной погрешности +/- (2,5% - 10%) |
Диапазон напряжений 0,01 мВ - 300 В, диапазон частот 5 Гц - 5 МГц, пределы допускаемой основной погрешности +/- (1% - 4%) |
Делитель напряжения | Диапазон ослабления 0 - 90 дБ, диапазон частот 0 - 6,5 (35) МГц, пределы допускаемой основной погрешности +/- (0,01 - 0,3) дБ или +/- (0,12% - 3,5%) |
Диапазон ослабления 0 - 90 дБ, диапазон частот 0 - 30 МГц, предел допускаемой основной погрешности +/- (0,004 - 1,26) дБ или +/- (0,05% - 15%) |
Электронно-счетный частотомер | Диапазон частот 0,1 Гц - 120 МГц, диапазон входных напряжений 100 мВ - 100 В |
5.2. Для определения основной погрешности и погрешности в рабочей области частот применяют эталонные средства измерений, позволяющие измерять или воспроизводить на входе вольтметра переменное напряжение с погрешностью, не превышающей одной трети соответствующего предела допускаемой погрешности вольтметра во всем его поверяемом диапазоне напряжений и частот.
Арифметическая сумма погрешностей эталонного вольтметра и эталонного делителя напряжения в каждой поверяемой отметке не должна превышать одной трети погрешности поверяемого вольтметра.
5.3. Нестабильность уровня за время измерений и коэффициент гармоник воспроизводимого на входе вольтметра переменного напряжения не должны превышать 0,1 соответствующего предела допускаемой погрешности вольтметра во всем его поверяемом диапазоне напряжений и частот.
5.4. Для определения полосы пропускания и погрешности установки частоты настройки применяют эталонные средства измерений, позволяющие воспроизводить или измерять частоту переменного напряжения с погрешностью, не превышающей 0,1 соответствующего предела допускаемой погрешности установки частоты настройки вольтметра во всем его поверяемом диапазоне частот.
5.5. Средства поверки выбирают в зависимости от диапазона частот, напряжения и пределов допускаемой погрешности поверяемого вольтметра.
5.6. Вспомогательные средства измерений
5.6.1. Регулируемый источник переменного напряжения (измерительный генератор), обеспечивающий поверку вольтметра во всем диапазоне напряжений и частот (например, типов Г3-109, Г3-118, Г4-154).
5.6.2. Фильтры с диапазоном частот 20 Гц - 35 МГц (например, типа ФРФ-1 с диапазоном частот 1-50000 кГц и коэффициентом подавления гармоник более 5; типа ФНЧ-25-1 с диапазоном частот 0,05 - 25 МГц и коэффициентом подавления гармоник более 1000).
5.6.3. Коаксиальные измерительные электрические соединители (далее - коаксиальные соединители) из комплектов, применяемые при поверке средств измерений.
5.6.4. Условия поверки контролируют, используя следующие средства измерений:
- измеритель нелинейных искажений в цепи питания. Диапазон измерений напряжения 154 - 286 В, пределы допускаемой приведенной погрешности +/- 0,5%; диапазон измерений частоты 45 - 55 Гц, пределы абсолютной погрешности +/- 0,1 Гц; диапазон измерений коэффициента искажения синусоидальности кривой напряжения 0,1% - 25%, пределы относительной погрешности +/- 10,0%;
- термометр. Диапазон измерений температуры от 15 °C до 40 °C, пределы допускаемой погрешности +/- 0,5 °C;
- психрометрический гигрометр. Диапазон измерений относительной влажности воздуха 20% - 90%, пределы допускаемой погрешности +/- 5%;
- барометр. Диапазон измерений давления 80 - 106 кПа, пределы допускаемой погрешности +/- 1,0 кПа.
5.7. Допускается применение других средств измерений, удовлетворяющих по метрологическим характеристикам требованиям настоящего стандарта.
5.8. Все средства измерений, используемые при поверке, должны быть исправны и иметь свидетельства о поверке или отметки о поверке в формулярах (паспортах).
6. ТРЕБОВАНИЯ К КВАЛИФИКАЦИИ ПОВЕРИТЕЛЕЙ
К проведению поверки допускают лиц, аттестованных в соответствии с правилами
[3] в качестве поверителей средств измерений электрических величин, имеющих квалификационную группу по технике безопасности не ниже III.
7. ТРЕБОВАНИЯ БЕЗОПАСНОСТИ
7.1. Помещение для проведения поверки должно соответствовать правилам техники безопасности.
7.2. При проведении поверки должны быть соблюдены требования безопасности
ГОСТ 12.3.019, правил
[4] и
[5], а также меры безопасности, изложенные в руководстве по эксплуатации средств измерений показателей качества электрической энергии и в эксплуатационной документации на средства поверки.
7.3. Перед проведением операций поверки средства измерений, которые подлежат заземлению, должны быть надежно заземлены. Подсоединение зажимов защитного заземления к контуру заземления следует проводить ранее других соединений, а отсоединение - после всех отсоединений.
8. УСЛОВИЯ ПРОВЕДЕНИЯ ПОВЕРКИ И ПОДГОТОВКА К НЕЙ
8.1. При проведении поверки должны быть соблюдены следующие условия:
- температура окружающей среды (20 +/- 5) °C;
- атмосферное давление (100,0 +/- 4) кПа; (750 +/- 30) мм рт. ст.;
- относительная влажность воздуха (65 +/- 15)%;
- напряжение питания сети переменного тока частотой 50 Гц (220 +/- 4,4) В;
- отсутствие вибраций и сильных электромагнитных полей, о чем должно свидетельствовать отсутствие колебаний нуль-индикатора (далее - индикатор) поверяемого вольтметра.
8.2. Перед проведением поверки должны быть выполнены следующие подготовительные работы:
- поверяемый вольтметр и средства поверки должны быть установлены так, чтобы были исключены их нагревание от внешних источников тепла, а также толчки и удары;
- поверяемый вольтметр и средства поверки перед включением в сеть должны быть надежно заземлены;
- поверяемый вольтметр и средства поверки должны быть включены в сеть и выдержаны в течение времени установления рабочего режима, указанного в технической документации (далее - ТД);
- работу с поверяемым средством измерений и средствами поверки следует проводить в соответствии с требованиями ТД на них.
8.3. Средства поверки подготавливают к работе в соответствии с ТД на них.
При внешнем осмотре должны быть установлены:
- соответствие комплектности поверяемых вольтметров технической документации (кроме запасных частей и запасных принадлежностей);
- отсутствие механических повреждений или неисправностей регулировочных и соединительных элементов, влияющих на их нормальную работу.
9.2.1. При опробовании вольтметра должны быть выполнены операции, указанные в ТД на него.
9.2.2. После включения вольтметра в сеть питания и прогрева в течение времени, указанного в ТД, проверяют возможность его градуировки (калибровки).
9.2.3. При подаче на вход вольтметра переменного напряжения (от установки для поверки вольтметров или измерительного генератора) проверяют возможность измерения напряжения и возможность настройки частоты по соответствующим отсчетным устройствам на всех поддиапазонах вольтметра.
9.3. Определение метрологических характеристик
9.3.1. Определение уровня внутренних комбинационных сигналов и уровня собственных шумов (уровня внутренних помех)
9.3.1.1. Уровень внутренних помех определяют, если он нормирован в ТД на вольтметр.
9.3.1.2. Перед измерением уровня внутренних помех проводят градуировку (калибровку) вольтметра по методике, указанной в ТД на него.
9.3.1.3. Уровень внутренних помех определяют по показаниям отсчетного устройства напряжения поверяемого вольтметра без подачи сигнала на его накоротко замкнутый вход или при подключенной к входу нагрузке из комплекта вольтметра, значение которой указано в ТД на вольтметр.
9.3.1.4. Уровень внутренних помех измеряют на поддиапазонах (пределах) измерений напряжения, соответствующих нормированному значению уровня внутренних помех поверяемого вольтметра, при полосах пропускания и частотах, указанных в ТД на поверяемый вольтметр.
9.3.1.5. Уровень внутренних помех не должен превышать значений, указанных в ТД на поверяемый вольтметр.
9.3.2. Определение основной погрешности и погрешности в рабочей области частот при измерении напряжения
9.3.2.1. Погрешность вольтметра определяют методом прямых измерений напряжения, воспроизводимого установкой для поверки вольтметров, по схеме, приведенной на рисунке 1, или методом непосредственного сличения показаний поверяемого (ПВ) и эталонного (ЭВ) вольтметров с применением эталонного делителя напряжения (ЭД) или без него по схемам, приведенным на
рисунках 2,
3.
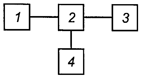
1 - установка для поверки вольтметров;
2 - коаксиальный соединитель; 3 - поверяемый вольтметр
Рисунок 1
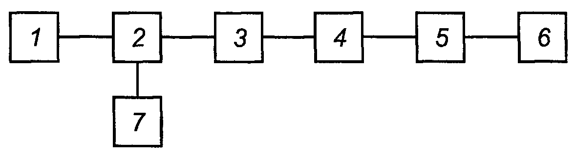
1 - измерительный генератор; 2 - фильтр;
3 - коаксиальный соединитель; 4 - поверяемый вольтметр;
5 - эталонный вольтметр
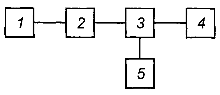
1 - измерительный генератор; 2 - фильтр;
3, 5 - коаксиальные соединители;
4 - эталонный делитель напряжения;
6 - поверяемый вольтметр; 7 - эталонный вольтметр
Метод прямых измерений обеспечивает более высокую производительность измерений.
9.3.2.2. Структурные схемы соединения приборов, приведенные на
рисунках 2,
3, выбирают в зависимости от соотношения диапазонов измерений напряжения ПВ и ЭВ.
Значение активного выходного сопротивления ЭД

, не должно превышать значения, определяемого по формуле

, (1)
где

- предел допускаемой относительной погрешности ПВ, %;

- полное входное сопротивление ПВ, определяемое по формуле

, (2)
где f - значение частоты измеряемого напряжения, на которой определяют погрешность ПВ, Гц;
C - входная емкость ПВ, Ф;
R - активное входное сопротивление ПВ, Ом.
9.3.2.3. Погрешность вольтметра определяют при полосе пропускания, указанной в ТД на вольтметр.
9.3.2.4. Перед проведением каждого измерения проверяют электрическую установку указателя шкалы на нулевую или условную отметку и правильность градуировки, если эти операции предусмотрены в ТД на вольтметр.
9.3.2.5. Основную погрешность определяют на частоте градуировки, указанной в ТД на вольтметр; при отсутствии нормирования основной погрешности на частоте градуировки ее определяют при предельных значениях частот (наименьшей и наибольшей) первой рабочей (нормальной) области диапазона частот вольтметра.
Основную погрешность определяют в конечных числовых отметках шкал всех поддиапазонов измерений напряжения.
При первичной поверке основную погрешность определяют дополнительно в каждой числовой отметке шкал основных поддиапазонов измерений напряжения при тех же частотах. При периодической поверке основную погрешность определяют в двух числовых отметках (начальной, для которой нормирована погрешность, и средней) шкал основных поддиапазонов измерений напряжения на частоте градуировки или на одной из предельных частот первой рабочей (нормальной) области диапазона частот вольтметра.
Если в ТД на вольтметры нет специального указания, за основные принимают поддиапазоны измерений с наименьшим пределом допускаемой основной погрешности, включая поддиапазон измерений, на котором проводят градуировку вольтметра.
9.3.2.6. Погрешность в других рабочих (расширенных) областях диапазона частот вольтметра определяют в конечных числовых отметках шкал всех поддиапазонов измерений напряжения в каждой области при предельных частотах, при которых не была определена погрешность в смежной области частот с меньшим пределом допускаемой погрешности.
Допускаемые изменения показаний в рабочих областях частот относительно показаний на частоте градуировки, если они нормированы в ТД на вольтметр, определяют в процентах по результатам измерений по
9.3.2.5 и
9.3.2.6.
Примечания
1. Допускается определять погрешность вольтметра на отдельных поддиапазонах измерений напряжения и частотах рабочего диапазона расчетом по результатам определения основной погрешности на всех поддиапазонах измерений напряжения на частоте градуировки (или на одной из частот нормальной области) и погрешности на одном поддиапазоне измерений напряжения во всем рабочем диапазоне частот по методике, приведенной в ТД на вольтметр.
2. При ведомственной периодической поверке вольтметра допускается определять его погрешность только в применяемых на данном предприятии (учреждении) ограниченных диапазонах уровней напряжения и частот с обязательным указанием на лицевой или боковой панели прибора этих диапазонов.
9.3.2.7. Значение абсолютной погрешности

в единицах измеряемого напряжения рассчитывают:
- по схеме, приведенной на
рисунке 2, и по формуле

; (3)
- по схеме, приведенной на
рисунке 3, и по формуле

, (4)
где U - показание поверяемого вольтметра;

- показание эталонного вольтметра;

- масштабный коэффициент передачи эталонного делителя напряжения, равный

(где

- коэффициент деления).
9.3.2.8. В зависимости от способа нормирования погрешности вольтметра рассчитывают:
- относительную номинальную погрешность

, по формуле

; (5)
- приведенную погрешность

, по формуле

, (6)
где

- значение конечного поддиапазона измерений, на котором определена погрешность вольтметра.
При использовании поверочных установок приведенную погрешность

рассчитывают по формуле

, (7)
а относительную погрешность

, по формуле

. (8)
9.3.2.9. Значение погрешности вольтметра при любом методе ее определения не должно превышать допускаемых значений, указанных в ТД на вольтметр.
9.3.3. Определение погрешности установки частоты настройки
9.3.3.1. Погрешность установки частоты настройки определяют методом сличения показаний отсчетных устройств частоты поверяемого вольтметра и измерительного генератора или эталонного частотомера. Структурные схемы соединения приборов приведены на рисунках 4 и
5.
1 - измерительный генератор; 2 - коаксиальный соединитель;
3 - поверяемый вольтметр
Рисунок 4
1 - измерительный генератор; 2 - коаксиальный соединитель;
3 - поверяемый вольтметр; 4 - эталонный частотомер
9.3.3.2. Погрешность установки частоты настройки определяют в трех (двух крайних и средней) отметках шкал каждого поддиапазона установки частоты настройки вольтметра при полосе пропускания, указанной в ТД на вольтметр.
На вход вольтметра подают напряжение от генератора, регулируя его частоту и уровень, добиваются максимального показания по отсчетному устройству шкалы напряжения вольтметра (вблизи конечной числовой отметки шкалы).
Действительное значение частоты определяют по показаниям отсчетного устройства генератора или образцового частотомера.
9.3.3.3. Погрешность установки частоты настройки в зависимости от указанного в ТД на вольтметр способа ее нормирования рассчитывают:
- абсолютную погрешность

по формуле

, (9)
- относительную номинальную погрешность

, по формуле

, (10)
где f - значение частоты, установленное на отсчетном устройстве поверяемого вольтметра, Гц;

- значение частоты, полученное при измерении эталонным средством измерений, Гц.
9.3.3.4. Значение погрешности установки частоты настройки вольтметра не должно превышать предела допускаемых значений, указанных в ТД на вольтметр.
9.3.4. Определение ширины полосы пропускания и коэффициента прямоугольности резонансной характеристики
9.3.4.1. Ширину полосы пропускания определяют в начале, середине и конце рабочего диапазона (или поддиапазона) частот (с учетом определяемой ширины полосы пропускания на крайних частотах рабочего диапазона) на основном поддиапазоне измерений напряжения по схеме, приведенной на
рисунке 6. Эту операцию проводят для всех нормированных в ТД на вольтметр полос пропускания.
Примечание. Для гетеродинных вольтметров ширину полосы пропускания определяют только при частотах вблизи начала каждого поддиапазона частот в соответствии с требованиями ТД на вольтметр.
1 - измерительный генератор;
2, 3 - коаксиальный соединитель;
4 - поверяемый вольтметр; 5 - эталонный вольтметр;
6 - эталонный частотомер
9.3.4.2. На вход вольтметра подают переменное напряжение и, регулируя частоту и уровень напряжения генератора, устанавливают максимальное показание, равное значению

, на отсчетном устройстве шкалы напряжения поверяемого вольтметра.
При постоянном уровне выходного напряжения генератора, контролируемого эталонным вольтметром, изменяя частоту генератора в сторону уменьшения и увеличения, добиваются показаний, равных значению

(минус 3 дБ относительного значения

); эталонным частотомером измеряют частоты, соответствующие приведенному выше показанию вольтметра; значение ширины полосы пропускания определяют как разность измеренных значений частот.
Значение ширины полосы пропускания вольтметра не должно превышать значений, указанных в ТД на вольтметр.
9.3.4.3. Коэффициент прямоугольности резонансной характеристики вольтметра определяют при первичной поверке, если этот параметр указан в ТД на вольтметр.
При этом дополнительно по
9.3.4.2 определяют ширину полосы пропускания на уровне минус 40 дБ по методике, указанной в ТД на поверяемый вольтметр. Коэффициент прямоугольности резонансной характеристики (далее - коэффициент прямоугольности) рассчитывают как отношение ширины полосы пропускания на уровне минус 40 дБ к ширине полосы пропускания на уровне минус 3 дБ. Значение коэффициента прямоугольности не должно превышать значения, приведенного в ТД на поверяемый вольтметр.
9.3.5. Если при поверке вольтметра значение любой из метрологических характеристик будет превышать допускаемое значение, его определяют не менее трех раз, чтобы исключить грубую погрешность измерения (промах).
10. ОФОРМЛЕНИЕ РЕЗУЛЬТАТОВ ПОВЕРКИ
10.1. Положительные результаты первичной поверки вольтметров оформляют отметкой в паспорте с нанесением оттиска поверительного клейма, удостоверенного подписью поверителя.
10.2. Положительные результаты периодической поверки вольтметров оформляют выдачей свидетельства установленной формы.
10.3. Вольтметры, не удовлетворяющие требованиям настоящего стандарта, к выпуску в обращение и применению не допускают, на них выдают извещение о непригодности с указанием причин.
(обязательное)
ОСНОВНЫЕ МЕТРОЛОГИЧЕСКИЕ ХАРАКТЕРИСТИКИ СЕЛЕКТИВНЫХ
ВОЛЬТМЕТРОВ, ПОДЛЕЖАЩИХ ПОВЕРКЕ ПО НАСТОЯЩЕМУ СТАНДАРТУ
Наименование нормируемого параметра | Допускаемые значения параметров для приборов |
В6-1 | В6-2 | В6-4 | В6-6 | В6-9 | В6-10 |
Диапазон частот, кГц | 150 - 35000 | 0,02 - 200 | 0,02 - 30 | 0,02 - 200 | 0,02 - 100 | 100 - 30000 |
Пределы допускаемой погрешности установки частоты, % | +/- (2,5 - 12,5) | +/- 10 | +/- 6 | +/- 6 | - | +/- (5 - 10) |
Диапазон измеряемых напряжений | 2 мкВ - 10 мВ до 1 В (с делителем) | 1 мкВ - 300 В | 3 мкВ - 300 мВ (селективный режим); 30 мкВ - 3 В (широкополосный режим) | 3 мкВ - 300 В | 1 мкВ - 1 В (селективный режим); 30 мкВ - 10 В (широкополосный режим) | 1 мкВ - 10 мВ до 1 В (с делителем) |
Пределы допускаемых приведенных погрешностей при измерении напряжений, % | +/- (12 - 15); +/- 25 (3 мкВ) | +/- (10 - 15) | +/- 6 | +/- (6 - 10) +/- 15 (3 мкВ) | +/- (6 - 10) +/- 15 (3 мкВ) (селективный режим) +/- 6 (широкополосный режим) | +/- (10 - 15) |
Уровень внутренних помех, мкВ | <= 0,5(1 кГц) <= 1,5 (10 кГц) | <= 8 | <= 0,7 (селективный режим) <= 6 (широкополосный режим) | 0,35 - 2 | <= 0,7 (селективный режим) | <= 0,7 (1 кГц) <= 2 (9 кГц) |
Ширина полосы пропускания (на уровне - 3 дБ) | 1; 10 кГц | Не более +/- 15% частоты настройки | 8% - 15% частоты настройки | Не более +/- 15% частоты настройки | (5 +/- 3)% частоты настройки | 1; 9 кГц |
| | Государственная система обеспечения единства измерений. Государственная поверочная схема для средств измерений электрического напряжения до 1000 В в диапазоне частот  |
| | Государственная система обеспечения единства измерений. Метрология. Основные термины и определения |
| Правила по метрологии ПР 50.2.012-94 | Государственная система обеспечения единства измерений. Порядок аттестации поверителей средств измерений |
| | Правила технической эксплуатации электроустановок потребителей. Минэнерго РФ, Приказ N 6 от 13.01.2003 |
| | Межотраслевые правила по охране труда. Минтруда РФ, Постановление N 3 от 05.01.2001. Минэнерго РФ, Приказ N 163 от 27.12.2000 |