Главная // Актуальные документы // ГОСТ Р (Государственный стандарт)СПРАВКА
Источник публикации
М.: Стандартинформ, 2019
Примечание к документу
Документ
введен в действие с 01.12.2010.
Название документа
"ГОСТ Р 8.675-2009. Национальный стандарт Российской Федерации. Государственная система обеспечения единства измерений. Расходомеры электромагнитные. Методика поверки"
(утв. и введен в действие Приказом Ростехрегулирования от 15.12.2009 N 1112-ст)
"ГОСТ Р 8.675-2009. Национальный стандарт Российской Федерации. Государственная система обеспечения единства измерений. Расходомеры электромагнитные. Методика поверки"
(утв. и введен в действие Приказом Ростехрегулирования от 15.12.2009 N 1112-ст)
Утвержден и введен в действие
агентства по техническому
регулированию и метрологии
от 15 декабря 2009 г. N 1112-ст
НАЦИОНАЛЬНЫЙ СТАНДАРТ РОССИЙСКОЙ ФЕДЕРАЦИИ
ГОСУДАРСТВЕННАЯ СИСТЕМА ОБЕСПЕЧЕНИЯ ЕДИНСТВА ИЗМЕРЕНИЙ
РАСХОДОМЕРЫ ЭЛЕКТРОМАГНИТНЫЕ
МЕТОДИКА ПОВЕРКИ
State system for ensuring the uniformity of measurements.
Electromagnetic flowmeters. Calibration methods
ГОСТ Р 8.675-2009
Дата введения
1 декабря 2010 года
1 РАЗРАБОТАН Федеральным государственным унитарным предприятием "Всероссийский научно-исследовательский институт расходометрии" (ФГУП "ВНИИР")
2 ВНЕСЕН Управлением метрологии Федерального агентства по техническому регулированию и метрологии
3 УТВЕРЖДЕН И ВВЕДЕН В ДЕЙСТВИЕ
Приказом Федерального агентства по техническому регулированию и метрологии от 15 декабря 2009 г. N 1112-ст
4 ВВЕДЕН ВПЕРВЫЕ
5 ПЕРЕИЗДАНИЕ. Март 2019 г.
Правила применения настоящего стандарта установлены в статье 26 Федерального закона от 29 июня 2015 г. N 162-ФЗ "О стандартизации в Российской Федерации". Информация об изменениях к настоящему стандарту публикуется в ежегодном (по состоянию на 1 января текущего года) информационном указателе "Национальные стандарты", а официальный текст изменений и поправок - в ежемесячном информационном указателе "Национальные стандарты". В случае пересмотра (замены) или отмены настоящего стандарта соответствующее уведомление будет опубликовано в ближайшем выпуске ежемесячного информационного указателя "Национальные стандарты". Соответствующая информация, уведомление и тексты размещаются также в информационной системе общего пользования - на официальном сайте Федерального агентства по техническому регулированию и метрологии в сети Интернет (www.gost.ru)
Настоящий стандарт распространяется на электромагнитные расходомеры-счетчики, преобразователи расхода по ГОСТ 8.407,
ГОСТ 28723 (далее - расходомеры) с относительной погрешностью от +/- 0,15% до +/- 3,0% и устанавливает методику их первичной и периодической поверок.
Расходомеры предназначены для измерения расхода и объема жидкости с удельной электропроводностью более 5·10-3 См/м.
Преобразователи расхода применяют в составе теплосчетчиков по
ГОСТ Р 51649 различной модификации, а также в составе информационно-измерительных систем и систем автоматического регулирования.
Межповерочный интервал для расходомеров каждого типа устанавливают при испытаниях в целях утверждения типа.
В настоящем стандарте использованы нормативные ссылки на следующие стандарты:
ГОСТ Р 8.608 Государственная система обеспечения единства измерений. Установки для поверки средств измерений расхода и объема воды сличением с преобразователями (счетчиками) расхода и (или) объема воды. Основные метрологические и технические требования
ГОСТ Р 8.736 Государственная система обеспечения единства измерений. Измерения прямые многократные. Методы обработки результатов измерений. Основные положения
ГОСТ Р 51649 Теплосчетчики для водяных систем теплоснабжения. Общие технические условия
ГОСТ 8.400 Государственная система обеспечения единства измерений. Мерники металлические эталонные. Методика поверки
ГОСТ 8.407 Государственная система обеспечения единства измерений. Расходомеры несжимаемых жидкостей. Нормируемые метрологические характеристики
ГОСТ 8.633 Государственная система обеспечения единства измерений. Мерники металлические технические. Методика поверки
ГОСТ 26.203 Комплексы измерительно-вычислительные. Признаки классификации. Общие требования
ГОСТ 8711-93 (МЭК 51-2-84) Приборы аналоговые показывающие электроизмерительные прямого действия и вспомогательные части к ним. Часть 2. Особые требования к амперметрам и вольтметрам
ГОСТ 22261 Средства измерений электрических и магнитных величин. Общие технические условия
ГОСТ 28723 Расходомеры скоростные, электромагнитные и вихревые. Общие технические требования и методы испытаний
Примечание - При пользовании настоящим стандартом целесообразно проверить действие ссылочных стандартов в информационной системе общего пользования - на официальном сайте Федерального агентства по техническому регулированию и метрологии в сети Интернет или по ежегодному информационному указателю "Национальные стандарты" за текущий год. Если заменен ссылочный стандарт, на который дана недатированная ссылка, то рекомендуется использовать действующую версию этого стандарта с учетом всех внесенных в данную версию изменений. Если заменен ссылочный стандарт, на который дана датированная ссылка, то рекомендуется использовать версию этого стандарта с указанным выше годом утверждения (принятия). Если после утверждения настоящего стандарта в ссылочный стандарт, на который дана датированная ссылка, внесено изменение, затрагивающее положение, на которое дана ссылка, то это положение рекомендуется применять без учета данного изменения. Если ссылочный стандарт отменен без замены, то положение, в котором дана ссылка на него, рекомендуется применять в части, не затрагивающей эту ссылку.
В настоящем стандарте использованы следующие сокращения:
ЭИР - эталон измерения расхода (поверочная установка);
МХ - метрологические характеристики;
ППР - первичный преобразователь расхода;
ИП - измерительный преобразователь;
ЭД - эксплуатационная документация;
ИВК - измерительно-вычислительный комплекс;
ЭР - эталонный расходомер-счетчик;
Ду - внутренний диаметр ППР.
При проведении поверки должны быть выполнены следующие операции:
- внешний осмотр (по
9.1);
- проверка герметичности и прочности преобразователя расхода (по
9.3);
- проверка сопротивления изоляции электродов преобразователя расхода (по
9.4);
- проверка сопротивления изоляции цепей питания расходомера (по
9.5);
- определение метрологических характеристик расходомера (по
9.6).
5.1 При проведении поверки расходомеров применяют следующие средства поверки и вспомогательное оборудование:
- эталоны измерения расхода с весоизмерительным устройством и с пределами допускаемой относительной погрешности в режиме измерения объема и объемного расхода от +/- 0,05% до +/- 0,10%;
- эталоны измерения расхода с эталонными мерниками 2-го разряда и техническими мерниками 1-го и 2-го классов с пределами допускаемой относительной погрешности +/- 0,5%;
- эталоны измерения расхода с эталонными расходомерами с пределами допускаемой относительной погрешности +/- 0,2%.
Основные метрологические характеристики ЭИР приведены в
приложении А;
- имитационные поверочные установки для поверки расходомеров (метрологические характеристики приведены в
приложении Б);
- частотомер ЧЗ-49А с диапазоном измеряемых частот от 0,001 до 12 МГц и относительной погрешностью не более +/- 0,01%;
- электронный счетчик импульсов амплитудой до 50 В и частотой от 0 до 10 кГц;
- миллиамперметр постоянного тока для измерений в диапазонах от 4 до 20 мА, класса точности 0,05, по
ГОСТ 8711;
- вольтметр универсальный Щ31, класса точности 0,005/0,0001;
- источник постоянного тока напряжением 30 В;
- измеритель температуры и относительной влажности ИВТМ-7, в диапазоне измерения влажности от 0% до 98% с пределами абсолютной погрешности +/- 2,0%, в диапазоне измерения температуры от 0 °C до 100 °C с пределами абсолютной погрешности +/- 0,2 °C;
- барометр М67 с пределами измерения давления от 600 до 810 мм рт. ст. и пределами абсолютной погрешности +/- 1,0 мм рт. ст.;
- магазин сопротивлений Р 4831 с пределами допускаемого отклонения сопротивления +/- 0,02%;
- ареометры общего назначения - рабочие эталоны 1-го разряда с диапазоном измерения от 930 до 1070 кг/м3 и абсолютной погрешностью +/- 0,1 кг/м3.
Примечания
1 Погрешности ЭИР с весоизмерительным устройством нормированы с учетом составляющих погрешностей определения коэффициентов выталкивающей силы воздуха и измерения плотности воды в трубопроводе.
2 Соотношение погрешностей эталонного средства измерений и поверяемого расходомера по каждому параметру должно быть не более 1:3.
3 Диапазоны расхода ЭИР должны обеспечивать поверку всех моделей расходомеров.
4 Состав, перечень МХ ЭИР должны соответствовать
ГОСТ Р 8.608.
5.2 Все средства поверки должны иметь действующие свидетельства о поверке.
5.3 Допускается применять аналогичные средства поверки с метрологическими характеристиками не хуже указанных в
5.1.
5.4 Метрологические характеристики расходомеров различных типов российских и зарубежных производителей приведены в
приложении В.
6 Требования безопасности
6.1 При проведении поверки должны быть соблюдены следующие требования безопасности:
6.1.1 К проведению измерений при поверке и обработке результатов измерений допускают лиц, изучивших эксплуатационную документацию на расходомеры и средства их поверки, имеющих опыт поверки средств измерений расхода и объема жидкости, а также прошедших инструктаж по технике безопасности в установленном порядке.
6.1.2 При проведении поверки должны быть соблюдены правила безопасности по
[1] и
[2].
6.1.3 При работе с измерительными приборами и вспомогательным оборудованием должны быть соблюдены требования безопасности, обусловленные в соответствующих технических описаниях и инструкциях по эксплуатации применяемых приборов.
6.1.4 Должна быть проверена исправность заземления, разъемных соединений, кабелей связи и питания.
7 Условия проведения поверки
7.1 При проведении поверки должны быть соблюдены следующие условия с учетом положений
2.2 ГОСТ 28723:
7.1.1 Окружающая среда - воздух со следующими параметрами:
- температура - от плюс 15 °C до плюс 25 °C;
- относительная влажность - от 30% до 80%;
- атмосферное давление - от 84 до 106,7 кПа.
7.1.2 Поверочная жидкость - водопроводная вода очищенная (вода) со следующими параметрами:
- температура - от плюс 10 °C до плюс 30 °C;
- давление в трубопроводе - не более 1,0 МПа.
7.1.3 Изменение температуры поверочной жидкости в процессе поверки - не более +/- 2 °C.
7.1.4 Конструкция поверочной установки и условия поверки расходомера должны исключать возможность попадания воздуха в трубопровод.
7.1.5 Расходомер должен быть установлен на прямом участке трубопровода. Перед ППР расходомера прямой участок должен быть длиной 3 Ду, а за ним - не менее 2 Ду.
7.1.6 Режим движения потока поверочной среды должен быть стационарным. Изменение среднего значения расхода в процессе поверки не должно превышать +/- 1,5% установившегося значения.
7.1.7 Диапазон изменения расхода ЭИР должен соответствовать пределам диапазона поверочного расхода поверяемого расходомера.
7.1.8 ППР расходомера должен быть строго сориентирован с направлением потока жидкости, фланцы ППР и измерительного участка ЭИР не должны создавать помех истечению потока жидкости.
7.1.9 Поверку расходомеров проводят с применением частотного и/или аналогового выходного сигнала.
8.1 При проведении поверки должны быть выполнены следующие подготовительные работы:
8.1.1 Проверка наличия действующих свидетельств (отметок) о поверке используемых средств поверки.
8.1.2 Проверка соблюдения требований
разделов 4,
5,
6 и
7 настоящего стандарта.
8.1.3 Подготовка к работе поверочного оборудования, поверяемого расходомера и средств измерений в соответствии с их эксплуатационной документацией.
8.1.4 Ввод в память ИП программируемых расходомеров настроечных параметров поверочной жидкости, расходомера, его ППР в соответствии с указаниями эксплуатационной документации.
8.1.5 Сборка поверочных схем в зависимости от применяемых методов поверки, выходного сигнала расходомера, типа конкретного ЭИР и применяемых в составе поверочной установки средств измерений.
8.1.6 Проверка герметичности фланцевых соединений и узлов системы рабочим давлением.
Систему считают герметичной, если при рабочем давлении в течение 5 мин не наблюдают течи и появления капель поверочной жидкости, а также отсутствует падение давления по контрольному манометру.
8.1.7 Проверка стабильности показаний ИП при нулевой скорости потока воды (если нормирована).
При закрытых задвижках измерительной линии ЭИР с двух сторон ППР расходомера в течение 100 с наблюдают показания дисплея в режиме индикации расхода или показания частотомера, подключенного к частотному выходу ИП.
8.1.8 Подключение расходомера к имитационному ЭИР согласно руководству по эксплуатации, если метрологические характеристики расходомера позволят провести его поверку с использованием имитационного ЭИР (см.
приложение Б).
При внешнем осмотре должно быть установлено наличие:
- паспорта у поверяемого расходомера, выпущенного из производства или после ремонта;
- свидетельства о предыдущей поверке расходомера, находящегося в эксплуатации.
При внешнем осмотре расходомера также устанавливают соответствие поверяемого расходомера требованиям технической документации в части маркировки, упаковки, транспортирования и хранения, отсутствие повреждений и дефектов, ухудшающих внешний вид расходомера и препятствующих проведению поверки.
При опробовании расходомера, установленного на измерительной линии поверочной установки и включенного при номинальном напряжении питания, проверяют:
- действие органов управления и регулирования расходомера;
- установку показания расходомера на нуль при включении и выключении питания и при подаче и отключении подачи жидкости через расходомер;
- плавное изменение показаний расходомера при плавном изменении расхода жидкости через канал расходомера.
9.3 Проверка герметичности и прочности преобразователя расхода
Проверку проводят при заполненном водой преобразователе расхода и давлении в нем, в 1,5 раза превышающем рабочее давление для расходомера.
Результаты проверки считают нормальными, если в течение 15 мин не наблюдают снижения давления в трубе преобразователя расхода по контрольному манометру.
9.4 Проверка сопротивления изоляции электродов преобразователя расхода
Сопротивление изоляции электродов преобразователя расхода относительно корпуса проверяют мегомметром при напряжении (500 +/- 50) В. На внутренней поверхности канала и фланцах преобразователя расхода не должно быть следов влаги или электропроводящего поверхностного налета. Перед измерением необходимо убедиться в отсутствии напряжения в электрических цепях. Преобразователь расхода должен быть отключен от измерительного устройства.
Один зажим мегомметра с обозначением "земля" соединяют с корпусом, а другой - с каждым из электродов преобразователя расхода.
Расходомер считают выдержавшим испытание, если сопротивление изоляции электродов преобразователя расхода относительно корпуса составляет не менее 100 МОм.
9.5 Проверка сопротивления изоляции цепей питания расходомера
Сопротивление изоляции цепей питания расходомера относительно корпуса проверяют по методике
9.4 измерением сопротивления между корпусом и цепью питания преобразователя расхода и измерительного устройства. Сопротивление изоляции должно быть не менее 40 МОм.
9.6 Определение метрологических характеристик расходомера
9.6.1 Определение погрешности расходомера с применением ЭИР на потоке
В зависимости от принятого нормирования в ЭД определяют основную относительную погрешность или относительную погрешность расходомера (далее - погрешность).
Определение погрешности расходомера при измерении объема и среднего объемного расхода воды с использованием частотного (импульсного) выхода:
Определение погрешности проводят при значениях расхода: Qнаим; 0,25Qнаиб; 0,5Qнаиб (расход устанавливают с погрешностью +/- 2,0% номинального значения). В каждой точке расхода выполняют не менее трех измерений. Минимальный объем воды, пропускаемый через ППР, при одном измерении должен обеспечивать набор не менее 10 000 импульсов для расходомеров с погрешностью менее +/- 0,2% и 5000 - с погрешностью более +/- 0,2%.
Погрешность определяют сравнением значения объема V0, измеренного ЭИР, и значения Vи, измеренного расходомером.
При каждом измерении регистрируют следующие параметры:
- при работе с весами:
- массу воды (показания весов) M,
- время набора воды в весовую емкость t,
- число импульсов выходного сигнала расходомера N,
- давление и температуру воды у ППР поверяемого расходомера Pж, Tж и в весовой емкости Tжв,
- давление и температуру окружающего воздуха Pв, Tв;
- при работе с мерниками:
- объем воды Vм,
- время набора воды в мерник t,
- температуру воды в мернике Tв,
- давление и температуру воды у ППР поверяемого расходомера Pж, Tж,
- число импульсов выходного сигнала расходомера N;
- при работе ЭИР с эталонными счетчиками-расходомерами:
- объем и расход воды по эталонному счетчику Vэ, Qэ,
- время измерения t,
- число импульсов выходного сигнала расходомера N,
- давление и температуру воды у поверяемого расходомера Pв, Tв и эталонного счетчика Pэ, Tэ.
Примечания
1 При поверке расходомеров с аналоговым выходным сигналом для всех случаев вместо числа импульсов регистрируют значения аналогового сигнала (напряжение, ток).
2 Счет числа импульсов осуществляют подключенным к ИП счетчиком или ИВК ЭИР.
3 В процессе поверки расходомеров применение и обслуживание ЭИР, весов, мерников и эталонных счетчиков-расходомеров осуществляют в соответствии с их эксплуатационной документацией.
9.6.2 Результаты измерений обрабатывают по следующей методике в автоматическом или ручном режиме.
9.6.2.1 При поверке на ЭИР с весоизмерительным устройством для каждого измерения вычисляют:
- объем воды, измеренный с использованием ЭИР Vэ, м3, по формуле
| | ИС МЕГАНОРМ: примечание. Формула дана в соответствии с официальным текстом документа. | |

(1)
- объемный расход по ЭИР Qэ, м3/ч, по формуле

, (2)
где M - показание весов, кг;

- плотность воды у ППР поверяемого расходомера, кг/м
3;

,

- плотность воды в весовой емкости и воздуха, кг/м
3;
t - время наполнения весовой емкости, с;
i, j - индексы измерений и точки расхода.
Значение плотности воды в весовой емкости

определяют по таблицам
[3] по измеренным значениям температуры жидкости в весовой емкости или измеряют эталонным ареометром.
Значение плотности воды у ППР

определяют по таблицам
[4] по измеренным значениям ее температуры и давления
Pж,
Tж.
Значение плотности воздуха

определяют по данным таблиц
[5] и с учетом измеренных значений его температуры и давления;
- объем воды Vр, м3, и объемный расход Qр, м3/ч, измеренные с помощью поверяемого расходомера, по формулам:

(3)
где N - число импульсов, имп.;
B - вес импульса, м3;
K - коэффициент преобразования расходомера, м3/имп.;
t - время наполнения весовой емкости, с;
i, j - индексы измерений и точки расхода.
Значения коэффициента преобразования расходомера и веса импульса определяют в процессе градуировки расходомера и вносят в его ЭД.
9.6.2.2 При поверке на ЭИР с мерниками для каждого измерения вычисляют объем воды в мернике, приведенный к условиям поверки расходомера
Vэ, м
3, по формуле

, (4)
где V20 - вместимость мерника при 20 °C, м3;
Tм, Tр - температура воды в мернике и у ППР, °C;

- коэффициент линейного расширения материала стенок мерника, 1/°C;

- коэффициент объемного расширения воды, 1/°C

;
i, j - индексы измерений и точки расхода.
Значения объема и объемного расхода по ЭИР и измеренные с использованием поверяемого расходомера определяют по
формулам (2) и
(3).
| | ИС МЕГАНОРМ: примечание. В официальном тексте документа, видимо, допущена опечатка: стандарт имеет номер ГОСТ 8.633-2013, а не ГОСТ Р 8.633. | |
Примечание - Табличные значения результатов расчета температурного расширения мерника приведены в
ГОСТ 8.400 и
ГОСТ Р 8.633.
9.6.2.3 При поверке на ЭИР с эталонными расходомерами-счетчиками применяют ИВК по ГОСТ 26.203. На входы ИВК подают выходные сигналы (импульсы) от поверяемого расходомера и ЭР. В память ИВК вводят их коэффициент преобразования
K или вес импульса
B и число импульсов поверяемого расходомера
Nр, по которому определяют время измерения.
Объемы воды и объемные расходы, измеренные ЭР и поверяемым расходомером, вычисляют в режиме ИВК или вручную на калькуляторе по формулам:

(5)

(6)
При отличии температуры воды у ППРэ Tэ от температуры воды у ППРр Tр более +/- 0,2 °C значение Vэ приводят к условиям поверяемого расходомера по формуле

, (7)
где Vэ, Qэ - значения объема и расхода, измеренные ЭР, м3, м3/ч;
Vр, Qр - значения объема и расхода, измеренные поверяемым расходомером, м3, м3/ч;
Kэ, Kр - коэффициенты преобразования, м3/имп.;
Bэ, Bр - вес импульса, м3;
t - время измерения, с;

- коэффициент объемного расширения воды, 1/°C

;
T - температура, °C;
э, р - индексы эталонного и поверяемого расходомеров;
i, j - индексы измерений и точки расхода.
Относительную погрешность расходомера при изменении объема и расхода воды по результатам поверки в соответствии с
формулами (1) -
(7) вычисляют по формулам:

(8)
где

,

- относительная погрешность расходомера при измерениях объема и расхода воды, %;
Vр, Qр, Vэ, Qэ - объемы и расходы воды, измеренные поверяемым расходомером и ЭИР соответственно, м, м3/ч.
Значения погрешностей для каждого измерения и в каждой точке расхода не должны превышать нормированных в ЭД данных.
Для расходомеров с нормированными МХ нестабильности нуля значения относительных погрешностей вычисляют по формулам:

(9)
где

,

- относительная погрешность расходомера при измерениях объема и расхода воды с учетом нестабильности нуля прибора, %;
Q0 - нормированное значение нестабильности нуля, м3/ч;
Qи - измеренное значение расхода, м3/ч;
i, j - индексы измерений и точки расхода.
Значения относительных погрешностей для каждого измерения не должны превышать нормированных в ЭД данных.
9.6.2.4 Определение погрешности расходомера при функционировании с аналоговым выходным сигналом проводят только при применении расходомера для измерения текущего расхода жидкости.
К аналоговому выходу расходомера подключают эталонное сопротивление Rэ, на котором вольтметром измеряют напряжение постоянного тока.
К пассивному выходу расходомера подключают источник постоянного тока.
Погрешность расходомера определяют по методике
9.6.1. Время набора необходимого объема воды должно быть не менее 100 с.
В процессе набора воды измеряют и регистрируют не менее 10 значений напряжения (показаний вольтметра) и вычисляют их среднее арифметическое значение

.
Расчетное значение тока для расхода воды Qij вычисляют по формуле

, (10)
где Q - расход по показаниям ЭИР, м3/ч;
Qнаиб, Qнаим - верхний и нижний пределы измерения расхода, м3/ч;
Iнаиб, Iнаим - верхний (20) и нижний (0 или 4) пределы измерения тока, мА;
i, j - индексы измерений и точки расхода.
Погрешность расходомера

, %, вычисляют по формуле

, (11)
где Iиij - среднее арифметическое значение измеренного тока, мА;

, (12)
где Uиij - измеренное значение напряжения, В;
Rэ - эталонное сопротивление, Ом;
i, j - индексы измерений и точки расхода.
Значения погрешностей для каждого измерения не должны превышать нормированных в ЭД данных.
9.6.3 Определение погрешности расходомеров, применяемых для точных измерений
Расходомеры, используемые в составе информационно-измерительных систем, а также ЭИР, применяемые в качестве эталонных СИ, поверяют методом многократных измерений по
ГОСТ Р 8.736. Поверку проводят на ЭИР с весоизмерительным устройством по методике
9.6.1 в пяти точках расхода от
Qнаим до
Qнаиб. В каждой точке расхода проводят не менее 11 измерений.
Результаты измерений обрабатывают по следующей методике.
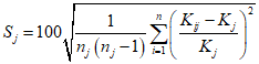
Для каждого измерения вычисляют:
- коэффициент преобразования расходомера K, м3/имп., по формуле

, (13)
где Vэ - объем воды, измеренный ЭИР, м3;
N - число импульсов расходомера, имп.;
i, j - индексы измерений и точки расхода.
Для каждой точки расхода вычисляют:
- среднее арифметическое значение коэффициента преобразования:

; (14)
- среднее квадратическое отклонение (СКО) результатов измерений:

; (15)
- неисключенную систематическую погрешность расходомера:

(16)
где Kd - коэффициент преобразования расходомера в диапазоне расхода воды, м3/имп.;
m - число поверочных точек расхода воды.
Проверяют выполнение условия
Sj <= 0,02%;

.
При невыполнении данного условия расходомер подлежит профилактическому осмотру, градуировке и повторной поверке.
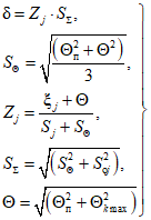
Границу случайной составляющей погрешности расходомера

в рабочем диапазоне расхода при доверительной вероятности
P = 0,95 вычисляют по формуле

, (17)
t0,95 - коэффициент Стьюдента при доверительной вероятности P = 0,95.
Границу относительной погрешности расходомера

вычисляют по формуле

(18)
где Zj - коэффициент, зависящий от соотношения случайной и систематической составляющих погрешности;

- суммарное СКО результатов измерений, %;

- СКО суммы неисключенной систематической погрешности расходомера, %;

- неисключенная систематическая погрешность ЭИР, %;

- граница неисключенной систематической погрешности расходомера, %;

- наибольшее значение систематической составляющей погрешности расходомера, %
[формула (16)].
Значение погрешности

не должно превышать +/- 0,1%.
9.6.4 Поверка расходомеров на имитационных поверочных установках
Поверку расходомеров проводят по методикам, изложенным в рекомендациях
[6] и
[7].
При поверке используют ЭИР, соответствующие
ГОСТ 22261.
10 Оформление результатов поверки
10.1 При положительных результатах выдают свидетельство о поверке по установленной форме. Устанавливают пломбу с оттиском поверительного клейма в местах, препятствующих доступу к регулирующим органам расходомера.
10.2 Результаты поверки вносят в протокол поверки по
форме, приведенной в приложении Г.
10.3 Расходомеры, не удовлетворяющие требованиям настоящего стандарта, к применению не допускают. Клеймо гасят и пломбу снимают.
(справочное)
МЕТРОЛОГИЧЕСКИЕ ХАРАКТЕРИСТИКИ ЭТАЛОНОВ
ИЗМЕРЕНИЯ РАСХОДА (ПОВЕРОЧНЫХ УСТАНОВОК)
А.1 Поверочная проливная установка типа "ВЗЛЕТ ЭИР"
Диаметр условного прохода поверяемых расходомеров - от 10 до 200 мм.
Диапазон воспроизводимых расходов - от 0,03 до 100 м3/ч.
Относительная погрешность измерения при поверке методом сличения с эталонными расходомерами - +/- 0,3%.
Относительная погрешность измерения при поверке весовым методом - +/- 0,1%.
А.2 Поверочная расходомерная установка типа "УП 0-15/150-1"
Диаметр условного прохода поверяемых расходомеров - от 15 до 100 мм.
Диапазон воспроизводимых расходов - от 0,03 до 100 м3/ч.
Погрешность измерения расхода - не более +/- 0,33%.
А.3 Поверочная расходомерная установка УПР-50
Диапазон воспроизводимых расходов - от 0,03 до 50 м3/ч.
Относительная погрешность измерения при работе с весовой установкой - +/- 0,1%.
Основная относительная погрешность измерения при работе с мерником для определения объема жидкости - +/- 0,25%.
А.4 Автоматизированные поверочные установки типа "УПСЖ"
Основные метрологические характеристики поверочных установок типа "УПСЖ" приведены в таблице А.1.
Таблица А.1
Тип установки, номер Госреестра | Диапазон измерений, м3/ч | Пределы допускаемой относительной погрешности при измерении объема воды, % |
УПСЖ 30/ВМ, 27330-04 | 0,01 - 30 | +/- 0,2 |
УПСЖ 50/ВМ, 29553-03 | 0,01 - 50 | +/- 0,05 |
УПСЖ 100/ВМ, 24364-03 | 0,01 - 100 | +/- 0,05 |
УПСЖ 150/ВМ, 24630-03 | 0,01 - 150 | +/- 0,05 |
УПСЖ 200/ВМ, 25277-03 | 0,01 - 200 | +/- 0,05 |
УПСЖ 600/ВМ, 43499-09 | 0,01 - 600 | +/- 0,05 |
А.5 Поверочные расходомерные установки серии "Поток ПУ"
Основные метрологические характеристики поверочных установок серии "Поток ПУ" приведены в таблице А.2.
Таблица А.2
Наименование параметра | Значение параметра |
Поток ПУ-30 | Поток ПУ-50 | Поток ПУ-100 | Поток ПУ-200 |
Диапазоны расходов, м3/ч, при измерении: | | | | |
- весовым методом; | 0,01 - 30 | 0,01 - 50 | 0,01 - 100 | 0,01 - 180 |
- методом непосредственного сличения | 0,03 - 30 | 0,03 - 50 | 0,03 - 100 | 0,03 - 200 |
Пределы допускаемой относительной погрешности измерений массы, объема, объемного и массового расходов весовым методом, % | +/- 0,15 |
Пределы допускаемой относительной погрешности измерений объема и объемного расхода весовым методом в диапазоне от 95% до 100% наибольшего предела взвешивания, для СИ с импульсным и частотным выходами, % | +/- 0,08 |
Пределы допускаемой относительной погрешности измерений объема и объемного расхода методом непосредственного сличения, % | +/- 0,3 |
(справочное)
МЕТРОЛОГИЧЕСКИЕ ХАРАКТЕРИСТИКИ ИМИТАЦИОННЫХ ПОВЕРОЧНЫХ
УСТАНОВОК ДЛЯ ПОВЕРКИ ЭЛЕКТРОМАГНИТНЫХ РАСХОДОМЕРОВ
Б.1 Имитационная поверочная установка "ПОТОК-Т"
Диаметр условного прохода - от 25 до 300 мм.
Верхний предел измерения по объемному расходу - от 0,01 до 350 000 м3/ч.
Пределы основной погрешности измерений объемного расхода - +/- 0,2%.
(справочное)
МЕТРОЛОГИЧЕСКИЕ ХАРАКТЕРИСТИКИ ЭЛЕКТРОМАГНИТНЫХ РАСХОДОМЕРОВ
В.1 Расходомеры фирмы "Взлет"
В.1.1 Электромагнитный расходомер-счетчик ТЭР
Внесен в Государственный реестр средств измерений под номером 39735-08.
Динамический диапазон расхода - 1:1000.
Типоразмеры выпускаемых приборов, Ду - от 8 до 300 мм.
Пределы относительной погрешности - +/- 0,2% и +/- 0,3%.
Диапазон температур рабочей жидкости - от минус 10 °C до плюс 180 °C.
Минимальная удельная электропроводность жидкости - 5·10-5 См/м.
В.1.2 Электромагнитные расходомеры-счетчики исполнений "ЭРСВ-410" и "ЭРСВ-510"
Внесены в Государственный реестр средств измерений под номером 20293-00.
Предназначены для использования в составе теплосчетчика, измерительных систем, в автоматизированных системах управления технологическими процессами.
Динамический диапазон расхода - 1:80.
Типоразмеры выпускаемых приборов, Ду - 0, 20, 32, 40, 50, 65, 80, 100, 150, 200 мм.
Пределы относительной погрешности - от +/- 1,0% до +/- 2,0%.
Наибольший измеряемый расход - 3,4; 13,58; 34,78; 54,34; 84,9; 143,5; 217,3; 339,6; 764,1; 1358 м3/ч.
Наибольшее давление в трубопроводе - 2,5 МПа.
Минимальная удельная электропроводность жидкости - 5·10-4 См/м.
Диапазон температур рабочей жидкости - от минус 10 °C до плюс 180 °C.
Минимальные длины прямолинейных участков (до и после ППР) - 3Ду, 2Ду.
Потребляемая мощность - 5,0 В·А.
Напряжение питания - 36 В при частоте 50 Гц.
Средняя наработка на отказ - не менее 75 000 ч.
Масса расходомера с Ду 200 - не более 45 кг.
В.1.3 Электромагнитные расходомеры-счетчики исполнений "ЭРСВ-430" и "ЭРСВ-530"
Внесены в Государственный реестр средств измерений под номером 20293-00.
Предназначены для использования в составе теплосчетчика, измерительных систем, в автоматизированных системах управления технологическими процессами.
Расширенный динамический диапазон - 1:150.
Типоразмеры выпускаемых приборов, Ду - 10, 20, 32, 40, 50, 65, 80, 100, 150, 200 мм.
Пределы относительной погрешности - +/- 2,0%.
Наибольший измеряемый расход - 3,4; 13,58; 34,78; 54,34; 84,9; 143,5; 217,3; 339,6; 764,1; 1358 м3/ч.
Наибольшее давление в трубопроводе - 2,5 МПа.
Наименьшая удельная проводимость жидкости - 5·10-4 См/м.
Диапазон температур рабочей жидкости - от минус 10 °C до плюс 180 °C.
Минимальные длины прямолинейных участков (до и после ППР) - 3Ду, 2Ду.
Потребляемая мощность - 5,0 В·А.
Напряжение питания - 36 В при частоте 50 Гц.
Средняя наработка на отказ - не менее 75 000 ч.
Масса расходомера с Ду 200 - не более 45 кг.
В.1.4 Электромагнитный расходомер-счетчик исполнения "ЭРСВ-310"
Внесен в Государственный реестр средств измерений под номером 20293-00.
Коэффициент перекрытия - 1:80.
Реверсивное исполнение (по заказу).
Конструктивное разделение измерительного блока, наличие кнопки обнуления накопления объема.
Пределы относительной погрешности - от +/- 1,0% до +/- 2,0%.
Потребляемая мощность - не более 10 В·А.
По остальным параметрам - как у описанных выше.
В.1.5 Электромагнитный расходомер-счетчик исполнения "ЭРСВ-011"
Расходомер предназначен для агрессивных сред, электроды выполнены из тантала.
Пределы относительной погрешности - от +/- 1,0% до +/- 2,0%.
Расходомер исполнения "ЭРСВ-011" отличается износоустойчивостью, футеровка выполнена из полиуретана.
В.1.6 Электромагнитный расходомер исполнения "ЭРСВ-012"
Разработан для пищевой промышленности, исполнение "ЭРСВ-022" отличается повышенной точностью.
Пределы относительной погрешности - +/- 0,5%.
В.1.7 Электромагнитный расходомер исполнения "ЭРСВ-8xx"
Внесен в Государственный реестр средств измерений под номером 20293-00.
Предназначен для работы в различных отраслях промышленности для организации коммерческого и технологического учета, в системах дозирования и фасовки жидких и пастообразных продуктов. В зависимости от исполнения расходомер устойчиво работает с агрессивными продуктами, абразивными продуктами, с жидкими пищевыми продуктами.
Коэффициент перекрытия диапазона - 1:300.
Обнуление архивных данных.
Обнаружение пузырьков воздуха в среде и программируемая реакция на них.
Измерение удельной проводимости среды.
Работа в режиме дозатора.
Типовые размеры расходомеров, Ду - 10, 20, 32, 40, 50, 65, 80, 100, 150, 200 мм.
Пределы относительной погрешности в диапазоне 1:100 - +/- 0,5%.
Диапазон температур рабочей жидкости - от минус 40 °C до плюс 150 °C.
Потребляемая мощность - не более 10 В·А.
Средняя наработка на отказ - не менее 75 000 ч.
Вывод информации в виде импульсов с нормированным весом, через интерфейс RS485, RS232 с помощью телефонного или радиомодема с помощью сухих контактов.
В.2 Электромагнитный расходомер микропроцессорный типа "ПРИМ"
Внесен в Государственный реестр средств измерений под номером 20893-01.
Предназначен для преобразования расхода жидкости в импульсный электрический сигнал, может быть использован в системах учета количества потребляемой воды, в системах АСУТП и в системах теплоснабжения, в составе теплосчетчиков и др.
Диапазон измеряемого расхода - 1:100.
Потребляемая мощность - 1 Вт.
Пределы относительной погрешности измерения объема - +/- 1,0%.
Напряжение питания - 24 В.
Давление измеряемой среды - до 2,5 МПа.
Температура рабочей среды - от плюс 1 °C до плюс 150 °C.
Диаметры условного прохода, Ду - от 10 до 100 мм.
Длина прямых участков - 3Ду, 2Ду.
Минимальный расход - от 0,03 до 2,0 м3/ч.
Максимальный расход - от 2 до 200 м3/ч.
В.3 Электромагнитный расходомер-счетчик РМ-5
Диаметры условного прохода - 10, 15, 25, 32, 40, 65, 80, 100, 150, 200, 300 мм.
Наибольший расход - 2,5; 6, 16, 30, 40, 60, 100, 160, 250, 600, 1000, 2500 м3/ч.
Выходной сигнал - от 4 до 20 мА, от 0 до 5 мА.
Частотный выход - от 10 до 5000 Гц.
Архивация измеренных значений:
- 42 дня для почасового архива;
- 12 месяцев посуточного архива;
- 5 лет для посуточного архива;
- 32 года для погодового архива.
Таблица В.1
Погрешности для классов исполнения
Поддиапазоны измерения объемного расхода Qmax/Q | Пределы допускаемой основной относительной погрешности при измерении объема и объемного расхода, % |
A | B | C |
50 < Qmax/Q < 100 | +/- 0,5 | +/- 0,5 | +/- 0,5 |
20 < Qmax/Q < 50 | +/- 0,2 | +/- 0,5 | +/- 0,5 |
1 < Qmax/Q < 25 | +/- 0,2 | +/- 0,2 | +/- 0,5 |
В.4 Электромагнитные расходомеры фирмы SIEMENS
Расходомер SITRANS FM MAGFLOW, датчики MAG1100, MAG3100, MAG5100W, преобразователи сигналов MAG 5000, MAG 6000.
Таблица В.2
Технические и метрологические характеристики
Характеристика | Датчик |
MAG1100 | MAG3100 | MAG5100W |
Пределы относительной погрешности <*>, % | +/- 0,5 | +/- 0,25 | +/- 0,25 |
Ду, мм | 6 - 100 | 15 - 2000 | 25 - 1200 |
Футеровка | Керамика | Неопрен, тефлон | Неопрен |
Электрод | Платина | Платина, иридий | Титан |
Входной импеданс электродов, Ом | 1014 |
Частота цифрового выхода, кГц | 0 - 10 |
Потребляемая мощность, не более, В·А | 9 |
<*> Погрешность прибора гарантируется при скорости потока, равной и более 0,5 м/с. |
В.5 Электромагнитные расходомеры YAMATAKE CORPORATION
Модель MTG-18A отличается двухпроводным контуром питания, обеспечивает высокую точность (погрешность +/- 0,5%), типоразмеры канала от 2,5 до 200 мм, аналоговый выход от 4 до 20 мА, импульсный выход от 0,00001 до 200 Гц. Длины прямых участков 5Ду/2Ду.
В.6 Электромагнитные расходомеры фирмы KROHNE
Таблица В.3
Технические и метрологические характеристики
Сенсоры OPTIFLUX | Ду, мм | Пределы относительной погрешности, %, при скорости более 5 м/с |
5300 | 10 - 100 | +/- 0,15 |
150 - 250 | +/- 0,2 |
2300/4300 | 10 - 1600 | +/- 0,2 |
6300 | 10 - 150 | +/- 0,2 |
1300 | 10 - 150 | +/- 0,3 |
4300/5300/6300 | 2,5 - 6 | +/- 0,3 |
2300/4300 | Более 1600 | +/- 0,3 |
(рекомендуемое)
ФОРМА ПРОТОКОЛА ПОВЕРКИ РАСХОДОМЕРА
Заводской номер ______________ Год выпуска ________________________________
Вид поверки _______________________________________________________________
Наименование операции | Подраздел документа по поверке | Отметка о соответствии | Примечание |
1 Внешний осмотр | | | |
2 Опробование | | | |
3 Проверка герметичности и прочности преобразователя расхода | | | |
4 Проверка сопротивления изоляции электродов преобразователя расхода | | | |
5 Проверка сопротивления изоляции цепей питания расходомера | | | |
6 Определение метрологических характеристик расходомера | | | |
Расходомер ___________________________ к эксплуатации
годен, не годен
Дата поверки "__" __________________ 20__ г.
Поверитель _____________/_________________________________
подпись инициалы, фамилия
| Правила технической эксплуатации электроустановок потребителей (утверждены Приказом Минэнерго РФ от 13 января 2003 г. N 6) |
| ПОТ Р М-016-2001 | Межотраслевые правила по охране труда (правила безопасности) при эксплуатации электроустановок (ред. от 18 февраля 2003 г.) (утверждены Постановлением Минтруда РФ от 5 января 2001 г. N 3, Приказом Минэнерго РФ от 27 декабря 2000 г. N 163) |
| Таблицы стандартных справочных данных ГСССД 2-77 | Вода. Плотность при атмосферном давлении и температурах от 0 °C до 100 °C. - М.: Изд-во стандартов, 1978 |
| Таблицы стандартных справочных данных ГСССД 187-99 Приняты МГС под номером 98-2000 | Вода. Удельный объем и энтальпия при температурах 0 °C ... 1000 °C и давлениях 0,001 ... 1000 МПа. Депонировано во ВНИЦСМВ 28 декабря 1999 г. N 779-99кк |
| Таблицы стандартных справочных данных ГСССД 8-79 | Плотность, энтальпия, энтропия и изобарная теплоемкость жидкого и газообразного воздуха при температурах 70 - 1500 К и давлениях 0,1 - 100 МПа. - М.: Изд-во стандартов, 1980 |
| Рекомендации по метрологии МИ 2299-2005 | Государственная система обеспечения единства измерений. Электромагнитные теплосчетчики, расходомеры и счетчики-расходомеры. Методика поверки с применением установки "Поток-Т" (аппаратно-программная версия 2005) |
| Рекомендации по метрологии МИ 3164-2008 | Государственная система обеспечения единства измерений. Электромагнитные расходомеры и счетчики-расходомеры. Методика поверки с применением имитационной установки "Поток-Т" |
УДК 006.681.5:006.354 | |
Ключевые слова: электромагнитный расходомер, расход жидкости, поверочная расходомерная установка, имитационная поверочная установка, эталон измерения расхода, поверка, относительная погрешность, допускаемое значение погрешности |