Главная // Актуальные документы // ГОСТ Р (Государственный стандарт)СПРАВКА
Источник публикации
М.: Стандартинформ, 2020
Примечание к документу
Документ
введен в действие с 01.07.2011.
Название документа
"ГОСТ Р 54292-2010. Национальный стандарт Российской Федерации. Цифровые тракты первичного распределения программ звукового вещания, организованные спутниковыми, оптоволоконными, радиорелейными и кабельными системами передачи. Термины и определения. Структуры. Основные параметры. Методы измерений"
(утв. и введен в действие Приказом Росстандарта от 28.12.2010 N 1133-ст)
"ГОСТ Р 54292-2010. Национальный стандарт Российской Федерации. Цифровые тракты первичного распределения программ звукового вещания, организованные спутниковыми, оптоволоконными, радиорелейными и кабельными системами передачи. Термины и определения. Структуры. Основные параметры. Методы измерений"
(утв. и введен в действие Приказом Росстандарта от 28.12.2010 N 1133-ст)
Утвержден и введен в действие
по техническому регулированию
и метрологии
от 28 декабря 2010 г. N 1133-ст
НАЦИОНАЛЬНЫЙ СТАНДАРТ РОССИЙСКОЙ ФЕДЕРАЦИИ
ЦИФРОВЫЕ ТРАКТЫ ПЕРВИЧНОГО РАСПРЕДЕЛЕНИЯ ПРОГРАММ ЗВУКОВОГО
ВЕЩАНИЯ, ОРГАНИЗОВАННЫЕ СПУТНИКОВЫМИ, ОПТОВОЛОКОННЫМИ,
РАДИОРЕЛЕЙНЫМИ И КАБЕЛЬНЫМИ СИСТЕМАМИ ПЕРЕДАЧИ
ТЕРМИНЫ И ОПРЕДЕЛЕНИЯ. СТРУКТУРЫ.
ОСНОВНЫЕ ПАРАМЕТРЫ. МЕТОДЫ ИЗМЕРЕНИЙ
Digital paths of the initial distribution of programmes
of sound broadcasting, organized by satellite, fibre
optical, radiorelay and cable transfer systems. Terms
and definitions. Structures. Basic parameters. Methods
of measurement
ГОСТ Р 54292-2010
Дата введения
1 июля 2011 года
1 РАЗРАБОТАН Федеральным государственным унитарным предприятием ордена Трудового Красного Знамени научно-исследовательский институт радио (ФГУП НИИР)
2 ВНЕСЕН Федеральным государственным унитарным предприятием ордена Трудового Красного Знамени научно-исследовательский институт радио (ФГУП НИИР)
3 УТВЕРЖДЕН И ВВЕДЕН В ДЕЙСТВИЕ
Приказом Федерального агентства по техническому регулированию и метрологии от 28 декабря 2010 г. N 1133-ст
4 ВВЕДЕН ВПЕРВЫЕ
5 ПЕРЕИЗДАНИЕ. Июнь 2020 г.
Правила применения настоящего стандарта установлены в статье 26 Федерального закона от 29 июня 2015 г. N 162-ФЗ "О стандартизации в Российской Федерации". Информация об изменениях к настоящему стандарту публикуется в ежегодном (по состоянию на 1 января текущего года) информационном указателе "Национальные стандарты", а официальный текст изменений и поправок - в ежемесячном информационном указателе "Национальные стандарты". В случае пересмотра (замены) или отмены настоящего стандарта соответствующее уведомление будет опубликовано в ближайшем выпуске ежемесячного информационного указателя "Национальные стандарты". Соответствующая информация, уведомление и тексты размещаются также в информационной системе общего пользования - на официальном сайте Федерального агентства по техническому регулированию и метрологии в сети Интернет (www.gost.ru)
Настоящий стандарт распространяется на цифровые тракты первичного распределения без переприемов по звуковой частоте <*> программ звукового вещания и звукового сопровождения телевидения (в дальнейшем - звукового вещания) и устанавливает нормы на основные параметры, включая параметры качества по аналоговым выходам.
--------------------------------
<*> С цифровым сжатием.
Настоящий стандарт является основополагающим документом при:
разработке и проектировании цифровой каналообразующей аппаратуры;
проектировании сетей звукового вещания;
обеспечении устойчивости и безаварийности работы всей сети звукового вещания;
разработке внутренней нормативной документации операторов связи и правил технической эксплуатации аппаратуры звукового вещания.
Настоящий стандарт должен учитываться при разработке сертификационных документов при сертификации цифровой каналообразующей аппаратуры и соответствующих аппаратных звукового вещания.
В настоящем стандарте использованы ссылки на следующие стандарты:
ГОСТ 15150 Машины, приборы и другие технические изделия. Использования для различных климатических районов. Категории, условия эксплуатации, хранения, транспортирования в части воздействия климатических факторов внешней среды
ГОСТ 22261 Средства измерений электрических и магнитных величин. Общие технические условия
ГОСТ Р 52742 Каналы и тракты звукового вещания. Типовые структуры. Основные параметры качества. Методы измерений
Примечание - При пользовании настоящим стандартом целесообразно проверить действие ссылочных стандартов в информационной системе общего пользования - на официальном сайте Федерального агентства по техническому регулированию и метрологии в сети Интернет или по ежегодному информационному указателю "Национальные стандарты", который опубликован по состоянию на 1 января текущего года, и по выпускам ежемесячного информационного указателя "Национальные стандарты" за текущий год. Если заменен ссылочный стандарт, на который дана недатированная ссылка, то рекомендуется использовать действующую версию этого стандарта с учетом всех внесенных в данную версию изменений. Если заменен ссылочный стандарт, на который дана датированная ссылка, то рекомендуется использовать версию этого стандарта с указанным выше годом утверждения (принятия). Если после утверждения настоящего стандарта в ссылочный стандарт, на который дана датированная ссылка, внесено изменение, затрагивающее положение, на которое дана ссылка, то это положение рекомендуется применять без учета данного изменения. Если ссылочный стандарт отменен без замены, то положение, в котором дана ссылка на него, рекомендуется применять в части, не затрагивающей эту ссылку.
3 Термины, определения и сокращения
3.1 Термины и определения
В настоящем стандарте применены следующие термины с соответствующими определениями:
3.1.1 звуковое вещание: Передача звуковой информации общего назначения широкому кругу территориально-рассредоточенных слушателей.
3.1.2 передача: Отдельная законченная в тематическом отношении информация, предназначенная для звукового вещания.
3.1.3 программа: Совокупность передач, составленная по определенному плану.
3.1.4 оконечная междугородняя вещательная аппаратная (ОМВА): Аппаратная, размещенная в областном или республиканском центрах, осуществляющая передачу, прием и распределение программ звукового вещания, обеспечивающая контроль, взаимозаменяемость, резервирование и коммутацию междугородних каналов звукового вещания и соединительных линий.
3.1.5 коммутационно-распределительная аппаратная (КРА): Аппаратная, осуществляющая прием от тракта формирования программ звукового вещания, контроль и управление в соответствии с расписанием работы передатчиков, отбор и распределение программ звукового вещания по соответствующим потребителям, корректировку амплитудно-частотных характеристик соединительных линий.
3.1.6 канал звукового вещания (КЗВ): Канал, образованный в высокочастотных системах передачи и цифровой каналообразующей аппаратуре.
3.1.7 соединительная линия (СЛ): Канал ограниченной протяженности между различными аппаратными, а также между соответствующей аппаратной и передатчиком или станцией проводного вещания.
3.1.8 соединительная линия цифровая (СЛЦ): Цифровой канал ограниченной протяженности между различными аппаратными, а также между соответствующей аппаратной и передатчиком или станцией проводного вещания.
3.1.9 оконечная радиорелейная станция (ОРС): Радиорелейная станция, устанавливаемая в оконечных пунктах радиорелейной линии связи и предназначенная для введения и выведения передаваемых по линии сообщений.
3.1.10 станция проводного вещания (СПВ): Станция, предназначенная для приема, преобразования, усиления звукового вещания.
3.1.11 звенья тракта первичного распределения: МКЗВ, КЗВ, СЛ, СЛЦ, ОМВА, КРА, Магистральный канал звукового вещания, Внутризоновый канал звукового вещания.
3.2 Сокращения
В настоящем стандарте применяются следующие сокращения:
3.2.1 ТФП - тракт формирования программ.
3.2.2 ТПР - тракт первичного распределения.
3.2.3 ТВР - тракт вторичного распределения программ звукового вещания.
3.2.4 МАГ КЗВ - канал звукового вещания на магистральной сети.
3.2.5 ВЗН КЗВ - канал звукового вещания на внутризоновой сети.
3.2.6 МСС - магистральная сетевая станция.
3.2.7 ВСС - внутризоновая сетевая станция.
3.2.8 ЗС - земная станция спутниковой системы передачи.
3.2.9 ИСЗ - искусственный спутник Земли.
3.2.10 АЧХ - амплитудно-частотная характеристика.
3.2.11 ТП - тракт передатчика.
3.2.12 АЦ ТФП - аппаратная центральная тракта формирования программ.
4 Типовые структуры трактов первичного распределения программ звукового вещания
4.1 Тракт первичного распределения программ звукового вещания входит в структуру электрического канала звукового вещания
(рисунок 1).
Рисунок 1 - Электрический канал звукового вещания
4.2 В структуру электрического канала звукового вещания входят также ТФП и ТВР.
4.3 ТФП - часть электрического канала звукового вещания, который начинается на выходе микрофона или устройств воспроизведения звуковых сигналов и заканчивается на выходе АЦ ТФП.
4.4 ТПР - часть электрического канала звукового вещания, по которому программы звукового вещания передаются по территории Российской Федерации. Структуры ТПР представлены на
рисунках 2 -
5.
Рисунок 2 - Тракт первичного распределения программ
звукового вещания с оптоволоконными и кабельными
системами передачи
Рисунок 3 - Тракт первичного распределения программ
звукового вещания со спутниковыми системами передачи
Рисунок 4 - Тракт первичного распределения программ
звукового вещания со спутниковыми системами передачи
Рисунок 5 - Тракт первичного распределения местного
звукового вещания
4.5 ТВР - часть электрического канала звукового вещания, который начинается на выходе СЛЦ (СЛ) от ТПР, по которой сигналы звукового вещания поступают на вход ТП и СПВ, и заканчивается входом антенны ТП (или ее эквивалентом) или абонентской розеткой.
4.6 В состав трактов первичного распределения с оптоволоконными, радиорелейными и кабельными системами передачи входят МКЗВ (
рисунки 6,
7), СЛЦ (СЛ), КРА.
Рисунок 6 - Междугородний канал звукового вещания
с оптоволоконными и кабельными системами передачи
в магистральном канале звукового вещания
Рисунок 7 - Междугородний канал звукового вещания
с оптоволоконными, радиорелейными и кабельными системами
передачи во внутризоновом канале звукового вещания
4.7 В состав трактов первичного распределения со спутниковой системой передачи местного звукового вещания МКЗВ не входят.
4.8 Основным звеном МКЗВ являются магистральный и внутризоновый каналы звукового вещания (
рисунки 8,
9).
Рисунок 8 - Магистральный канал звукового вещания
в оптоволоконных и кабельных системах передачи
Рисунок 9 - Внутризоновый канал звукового вещания
в оптоволоконных, радиорелейных и кабельных
системах передачи
4.9 Номинальная цепь МАГ КЗВ с цифровым сигналом, образованная оптоволоконными и кабельными системами передачи, характеризуется длиной 2500 км и отсутствием переприема по звуковой частоте
(рисунок 10).
Рисунок 10 - Номинальная цепь магистрального канала
звукового вещания в оптоволоконных и кабельных системах
передачи, организованных цифровыми методами со сжатием
4.10 Номинальная цепь МАГ КЗВ с цифровым сигналом, образованного в спутниковых системах передачи, не имеет переприемов по звуковой частоте и эквивалентна по своим качественным показателям каналу звукового вещания МАГ КВЗ
(рисунок 11).
Рисунок 11 - Канал звукового вещания со спутниковой системой
передачи
4.11 Номинальная цепь ВЗН КЗВ, образованная в оптоволоконных, радиорелейных и кабельных системах передачи, характеризуется длиной 600 км и отсутствием переприемов по звуковой частоте
(рисунок 12).
Рисунок 12 - Номинальная цепь внутризонового канала
звукового вещания в оптоволоконных, кабельных
и радиорелейных системах передачи
--------------------------------
<*> Дополнительно к приведенным параметрам и нормам на них могут быть использованы параметры и нормы стандартов на цифровое телевидение DVB в части звукового сопровождения телевидения.
5.1 Нормируются следующие параметры качества (по аналоговым выходам):
полоса передаваемых частот;
коэффициент гармоник;
неравномерность амплитудно-частотной характеристики;
защищенность максимального сигнала от взвешенного шума;
защищенность максимального сигнала от внятной переходной помехи;
отклонение выходного уровня от номинального значения;
коэффициент разностного тона;
разность фаз в каналах A и B, образующих стереопару;
защищенность от внятной переходной помехи между каналами A и B, образующих стереопару;
разность уровней на выходах каналов A и B, образующих стереопару;
защищенность от продуктов внутриполосной перекрестной модуляции;
защищенность от продуктов внеполосной перекрестной модуляции.
5.2 Нормируемые параметры:
частота дискретизации;
скорость цифрового потока.
6 Нормы на основные параметры
6.1 Нормы на основные параметры цифровых магистральных и внутризоновых каналов и трактов первичного распределения приведены в
таблицах 1 -
5.
Таблица 1
Нормы на параметры качества цифровых каналов
звукового вещания
Наименование канала | Полоса передаваемых частот, Гц | Неравномерность АЧХ | Коэффициент гармоник | Защищенность от взвешенного шума, дБ, не менее | Защищенность от внятной переходной помехи, дБ, не менее | Точность установления выходного уровня |
Гц | дБ | Гц | %, не менее |
МАГ КЗВ | 30 - 20000 | 30 - 125 | От +0,3 до -0,8 | До 125 | 0,6 | 64 | 74 | +/- 0,5 |
125 - 14000 | +/- 0,3 | | |
14000 - 20000 | От +0,3 до -0,8 | Св. 125 | 0,3 |
30 - 15000 | 40 - 125 10000 - 14000 | От +0,3 до -0,8 | До 125 | 0,6 | 64 | 74 |
125 - 10000 | +/- 0,3 | | |
14000 - 15000 | От +0,3 до -0,8 | Св. 125 | 0,3 |
50 - 7000 | 50 - 100 | От +1,0 до -1,7 | До 125 | 1,0 | 64 | 74 | +/- 0,5 |
100 - 6400 | +/- 1,0 | | |
6400 - 7000 | От +1,0 до -1,7 | Св. 125 | 0,7 |
ВЗН КЗВ | 30 - 20000 | 30 - 125 | От +0,2 до -0,7 | До 125 | 0,5 | 68 | 78 | +/- 0,5 |
125 - 14000 | +/- 0,2 | | |
14000 - 20000 | От +0,2 до -0,7 | Св. 125 | 0,25 |
30 - 15000 | 40 - 125 10000 - 14000 | От +0,2 до -0,7 | До 125 | 0,5 | 68 | 78 | +/- 0,5 |
125 - 10000 | +/- 0,2 | | |
14000 - 15000 | От +0,7 до -1,0 | Св. 125 | 0,25 |
50 - 7000 | 50 - 100 | От -0,1 до +0,7 | До 125 | 0,7 | 68 | 78 | +/- 0,5 |
100 - 6400 | +/- 0,7 | | |
6400 - 7000 | От -1,0 до +0,7 | Св. 125 | 0,5 |
Таблица 2
Нормы на параметры качества цифровых трактов первичного
распределения программ звукового вещания
Наименование тракта | Полоса передаваемых частот, Гц | Неравномерность АЧХ | Коэффициент гармоник | Защищенность от взвешенного шума, дБ, не менее | Защищенность от внятной переходной помехи, дБ, не менее | Точность установления выходного уровня |
Гц | дБ | Гц | %, не менее |
Тракт первичного распределения с МАГ КЗВ | 30 - 20000 | 30 - 125 | От +0,8 до -1,2 | До 125 | 1,8 | 60 | 74 | +/- 1,0 |
125 - 14000 | +/- 0,8 | | |
14000 - 20000 | От +0,8 до -1,2 | Св. 125 | 0,9 |
30 - 15000 | 40 - 125 10000 - 15000 | От +0,8 до -1,2 | До 125 | 1,8 | 60 | 74 |
125 - 10000 | +/- 0,8 | | |
10000 - 15000 | От +0,8 до -2,0 | Св. 125 | 0,9 |
50 - 7000 | 50 - 100 | От +1,3 до -2,1 | До 125 | 2,3 | 60 | 74 |
100 - 6400 | +/- 1,3 | | |
6400 - 7000 | От +1,3 до -2,1 | Св. 125 | 1,3 |
Тракт первичного распределения с ВЗН КЗВ <*> | 30 - 20000 | 30 - 125 | От +0,6 до -1,1 | До 125 | 1,0 | 60 | 74 | |
125 - 14000 | +/- 0,6 | | |
14000 - 20000 | От +0,6 до -1,1 | Св. 125 | 0,5 |
30 - 15000 | 40 - 125 1000 - 15000 | От +0,6 до -1,1 | До 125 | 1,0 | 60 | 74 |
125 - 10000 | +/- 0,6 | | |
14000 - 15000 | От +0,6 до -1,9 | Св. 125 | 0,5 |
50 - 7000 | 50 - 100 | От +1,1 до -1,3 | До 125 | 1,5 | 64 | 74 |
100 - 6400 | +/- 1,1 | | |
6400 - 7000 | От +1,1 до -1,3 | Св. 125 | 1,0 |
<*> Нормы на параметры качества цифровых трактов местного звукового вещания соответствуют нормам для цифровых трактов первичного распределения с ВЗН КЗВ. |
Таблица 3
Нормы на параметры качества цифровых стереофонических
каналов звукового вещания
Канал | Полоса передаваемых частот, Гц | Разность уровней на выходах каналов A и B | Разность фаз на выходах каналов A и B | Защищенность от внятных переходных помех между каналами A и B, дБ, не менее |
В полосах частот, Гц | дБ, не менее | В полосах частот, Гц | ...°, не более |
МАГ КЗВ | 30 - 20000 | 30 - 125 | 1,4 | 30 | 25 | 50 |
125 - 14000 | 0,7 | 2000 - 5500 | 14 |
14000 - 20000 | 1,4 | 20000 | 25 |
30 - 15000 | 30 - 125 | 1,4 | 30 | 25 |
10000 - 15000 | 1,4 | 2000 - 4000 | 14 |
125 - 10000 | 0,7 | 15000 | 25 |
ВЗН КЗВ | 30 - 20000 | 30 - 125 | 0,8 | 30 | 15 | 55 |
125 - 14000 | 0,4 | 2000 - 5500 | 8 |
14000 - 20000 | 0,8 | 20000 | 15 |
30 - 15000 | 30 - 125 | 0,8 | 30 | 15 |
10000 - 15000 | 0,8 | 2000 - 4000 | 8 |
125 - 10000 | 0,4 | 15000 | 15 |
Таблица 4
Нормы на параметры качества цифровых стереофонических
трактов первичного распределения программ звукового вещания
Тракт | Полоса передаваемых частот, Гц | Разность уровней на выходах трактов A и B | Разность фаз на выходах трактов A и B | Защищенность от внятных переходных помех между трактами A и B, дБ, не менее |
В полосах частот, Гц | дБ, не более | В полосах частот, Гц | ...°, не более |
Тракт с МАГ КЗВ | 30 - 20000 | 30 - 125 | 1,9 | 30 | 33 | 50 |
125 - 14000 | 1,0 | 2000 - 5500 | 19 |
14000 - 20000 | 1,9 | 20000 | 33 |
30 - 15000 | 30 - 125 | 1,9 | 30 | 33 |
10000 - 15000 | 1,9 | 2000 - 4000 | 19 |
125 - 10000 | 1,0 | 15000 | 33 |
Тракт с ВЗН КЗВ | 30 - 20000 | 30 - 125 | 1,2 | 30 | 21 | 55 |
125 - 14000 | 0,6 | 2000 - 5500 | 12 |
14000 - 20000 | 1,2 | 20000 | 21 |
30 - 15000 | 30 - 125 | 1,2 | 30 | 21 |
10000 - 15000 | 1,2 | 2000 - 4000 | 12 |
125 - 10000 | 0,6 | 15000 | 21 |
Примечание - Нормы на параметры качества цифровых стереофонических трактов местного звукового вещания соответствуют нормам для цифровых трактов первичного распределения с ВЗН КЗВ. |
Таблица 5
Нормы на цифровые параметры цифровых каналов звукового
вещания и трактов первичного распределения местного
звукового вещания
Канал, тракт | Полоса передаваемых частот, Гц | Защищенность от продуктов внутриполосной перекрестной модуляции, дБ, не менее | Защищенность от продуктов внеполосной перекрестной модуляции, дБ, не менее | Частота дискретизации, кГц | Скорость цифрового потока, кбит/с, не менее |
МАГ КЗВ | 30 - 20000 | 40 | 60 | 48 | 256 |
30 - 15000 | 40 | 60 | 48 или 32 | 128 |
50 - 7000 | 40 | 60 | 16 или 32 | 64 |
ВЗН КЗВ | 30 - 20000 | 45 | 65 | 48 | 256 |
30 - 15000 | 45 | 65 | 48 или 32 | 128 |
50 - 7000 | 45 | 65 | 16 или 32 | 64 |
Тракт первичного распределения местного звукового вещания | 30 - 20000 | 40 | 60 | 48 | 256 |
30 - 15000 | 40 | 60 | 48 или 32 | 128 |
50 - 7000 | 40 | 60 | 16 или 32 | 64 |
6.2 При наличии переприемов по звуковой частоте в трактах первичного распределения должны использоваться нормы ГОСТ Р 52742.
7.1 Подготовка к измерениям
7.1.1 Перед началом измерений измерительную аппаратуру соединяют с измеряемым каналом, трактом или звеном в соответствии со схемой измерения.
7.1.2 Корпуса всех устройств, входящих в схему измерения, должны быть заземлены.
7.1.3 Включение измерительной аппаратуры в схему измерения должно проводиться по возможности короткими экранированными проводами.
7.1.4 Измерительные приборы с несимметричным входом или выходом должны подключаться к симметричным цепям через симметрирующие трансформаторы.
7.1.5 Условия применения измерительной аппаратуры во время измерений должны соответствовать условиям применения по
ГОСТ 22261. При условиях, отличающихся от нормальных условий, необходимо учитывать дополнительную погрешность аппаратуры.
7.1.6 Измерения параметров качества и технических характеристик звеньев в каналах и трактах ЗВ должны проводиться (если это не оговорено особо) в стандартных условиях.
За стандартные условия принимают:
номинальное полное сопротивление источника сигнала, Ом;
номинальное сопротивление нагрузки, Ом;
частоту входного сигнала 1000 (800) Гц;
номинальное напряжение источника питания, В;
нормальные климатические условия испытаний по
ГОСТ 15150.
7.1.7 При подготовке к измерениям параметров качества ТФП и его звеньев низкочастотный генератор синусоидальных сигналов подключают непосредственно ко входу ТФП (для ТФП со входом высокого уровня) или через делитель напряжений с коэффициентом деления 1:1000 (для ТФП со входом низкого уровня); ревербераторы, частотные корректоры, компрессоры должны быть выключены, компандеры (при их наличии) - включены.
7.1.8 Все измерения в каналах 3В на поднесущих частотах в стволах телевизионного вещания радиорелейных систем передачи и спутниковых систем передачи проводят при одновременной подаче в канал изображения сигнала в виде цветных полос.
7.2 Требования к средствам измерений
7.2.1 Общие требования
7.2.1.1 Диапазон частот средств измерений и вспомогательных устройств должен быть не менее 20 - 25000 Гц.
7.2.1.2 Модуль полного входного сопротивления средств измерений должен превышать модуль полного электрического сопротивления измеряемой цепи не менее чем в 20 раз.
7.2.1.3 Основная погрешность средств измерений при измерениях не должна быть более 0,3 допуска на измеряемый параметр (если не оговорено иное значение).
7.2.2 Низкочастотный генератор сигналов
Основная погрешность на частоте - не более +/- (2 + 50/f) Гц, где f - частота, отсчитываемая по шкале генератора, Гц.
Коэффициент гармоник используемого для измерений генератора не должен превышать 0,05 заданного значения измеряемого параметра. В остальных случаях коэффициент гармоник генератора - не более 1%.
Максимальное значение выходного напряжения - не менее 8 В. Номинальное выходное сопротивление - не более 600 Ом.
7.2.3 Вольтметры переменного напряжения для измерения сигналов синусоидальной формы
Диапазон измеряемых напряжений - от 0,1 до 40 В.
Погрешность измерения - не более +/- 2,5%.
При измерении неравномерности АЧХ относительная погрешность вольтметра не должна превышать 1/3 заданного отклонения АЧХ.
7.2.4 Вольтметр переменного напряжения для измерений шумовых сигналов
Диапазон измеряемых напряжений - от 100 мкВ до 40 В.
Погрешность измерений - не более +/- 4%.
7.2.5 Цифровой вольтметр
Диапазон измеряемых напряжений - от 1 мВ до 40 В.
Число индицируемых знаков - не менее четырех.
7.2.6 Селективный вольтметр
Диапазон измеряемых напряжений - от 1 мкВ до 1 В.
Погрешность измерений - не более 10%.
7.2.7 Измеритель нелинейных искажений
Диапазон измеряемых величин - от 0,05% до 15%.
Абсолютное значение основной погрешности - не более +/- (0,05 Kгk + 0,05%), где Kгk - значение, %, конечного (верхнего) предела шкалы, на которой проводится отсчет.
7.2.8 Прибор для измерения защищенности от взвешенного шума (псофометр) должен иметь вещательный псофометрический фильтр, график АЧХ которого должен соответствовать
рисунку 13, в соответствии с
[4]. Допускается псофометрический фильтр, график АЧХ которого приведен на
рисунке 14, в соответствии с
[5].
Рисунок 13 - График АЧХ псофометрического фильтра
Рисунок 14 - График АЧХ псофометрического фильтра
При использовании приборов с детектором среднеквадратических значений нормы должны быть уменьшены по абсолютной величине на 5 дБ.
Диапазон измеряемых напряжений - не менее 100 мкВ - 5 В.
Основная погрешность - не более 6%.
7.2.9 Электронно-счетный частотомер
Диапазон выходных напряжений - от 0,1 до 5 В.
Основная погрешность измерений частоты - в пределах +/- 0,1%.
7.2.10 Симметрирующий трансформатор должен иметь коэффициент трансформации, равный единице, с погрешностью не более +/- 10% на частоте 1000 Гц при нагрузке на резистор с сопротивлением 600 Ом.
Неравномерность АЧХ - не более +/- 0,2 дБ в диапазоне частот 40 - 15000 Гц.
7.2.11 Измеритель разности фаз
Диапазон измерений углов фазового сдвига сигналов в рабочем диапазоне частот от 0° до 90°.
Разрешающая способность индикатора - 0,01.
Диапазон входных напряжений - не менее 2 мВ + 40 В.
Погрешность измерения - не более +/- 0,1%.
7.2.12 Анализатор спектра
Диапазон частот - не менее 20 Гц - 600 кГц.
Динамический диапазон - 80 дБ.
7.2.13
Перечень рекомендуемых средств измерений приведен в приложении А.
8.1 Отклонение относительного уровня на выходе звена от номинального значения измеряют по схеме, приведенной на
рисунке 15. На вход звена подают измерительный сигнал частотой 1000 (800) Гц и уровнем на 21 дБ ниже номинального значения максимального уровня.
1 - низкочастотный генератор сигналов; 2 - измеряемое звено;
3, 4 - вольтметры; 5 - номинальное сопротивление
нагрузки - резистор
Рисунок 15 - Схема измерения неравномерности АЧХ
Измерение уровней на входе и выходе звена проводят параллельно подключенными вольтметрами с высоким входным сопротивлением.
8.2 Неравномерность АЧХ измеряют по схеме, приведенной на
рисунке 15. На вход звена подается измерительный сигнал уровнем на 21 дБ ниже номинального значения максимального уровня.
Напряжение на входе звена должно поддерживаться с точностью не менее 0,3 от допустимого изменения коэффициента передачи, но не должно превышать +/- 0,2 дБ.
Измерение проводят на частотах 40, 63, 125, 250, 500, 1000 (800), 2000, 4000, 8000, 10000, 15000 Гц для каналов с полосой частот до 20 кГц; 50, 63, 125, 250, 500, 1000 (800), 2000, 4000 и 6000 Гц - для каналов с полосой частот не более кГц.
Неравномерность АЧХ

определяют по формулам:
при градуировке шкалы вольтметра в вольтах

,
при градуировке шкалы вольтметра в децибелах

,
где Uf(Nf) - напряжение (уровень) сигнала на измеряемой частоте;
U1000(800) (N1000(800)) - напряжение (уровень) сигнала на частоте 1000 Гц (800 Гц).
8.3 Коэффициент гармоник измеряют по схеме, приведенной на
рисунке 16.
1 - низкочастотный генератор сигналов; 2 - измеряемое звено;
3 - вольтметр; 4 - измеритель нелинейных искажений или
анализатор спектра; 5 - номинальное сопротивление
нагрузки - резистор
Рисунок 16 - Схема измерения коэффициента гармоник
На вход звена подают измерительный сигнал с уровнем, равным номинальному значению максимального уровня напряжения. Длительность подачи сигнала не должна превышать 5 с. Коэффициент гармоник генератора не должен превышать 0,3 минимального значения коэффициента гармоник измеряемого звена.
Для измерений коэффициента гармоник применяют анализатор спектра или измеритель гармоник. При использовании звеньев с цифровой аппаратурой применяют только анализатор спектра.
При измерении анализатором спектра коэффициент гармоник Kг, %, вычисляют по формуле

,
где U1, U2 и U3 - напряжения основного сигнала и его второй и третьей гармоник соответственно.
Измерения проводят на частотах 40, 63, 125, 250, 500, 1000 (800), 2000, 4000, 5000 Гц.
8.4 Измерение взвешенного шума проводят по схеме, приведенной на
рисунке 17.
1 - резистор - эквивалент сопротивления источника;
2 - измеряемый тракт или звено; 3 - номинальное
сопротивление нагрузки - резистор; 4 - псофометр
Рисунок 17 - Схема измерения взвешенного шума
Вход звена нагружают сопротивлением (60 +/- 30) Ом. Взвешенный шум измеряют псофометром по
[4] или
[5], АЧХ взвешивающих фильтров которых приведены на
рисунках 13 и
14.
При измерении невзвешенного шума отключают взвешивающий фильтр.
Защищенность от взвешенного шума A вычисляется по формуле
A = Nмакс. сигн - Nш,
где Nмакс. сигн - максимальный уровень сигнала;
Nш - измеренный уровень шума
или

,
где Uмакс. сигн - максимальное напряжение сигнала;
Uш - измеренное напряжение шума.
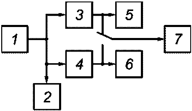
8.5 Защищенность максимального сигнала от внятных переходных помех измеряют по схеме, приведенной на
рисунке 18.
1 - низкочастотный генератор сигналов; 2, 3 - вольтметры;
4 - тракт или звено, вносящие помеху; 5, 6 - номинальные
сопротивления нагрузки - резистор; 7 - резистор - эквивалент
сопротивления источника; 8 - испытуемое звено;
9 - анализатор спектра или селективный вольтметр
Рисунок 18 - Схема измерения защищенности максимального
сигнала от внятных переходных помех
Защищенность максимального сигнала от внятных переходных помех определяют на частоте 1000 (800) Гц, где Uf(Nf) - напряжение (уровень) сигнала на измеряемой частоте;
U1000(800) (N1000(800)) - напряжение (уровень) сигнала на частоте 1000 Гц (800 Гц).
На вход влияющего тракта или звена подают измерительный сигнал с номинальным максимальным уровнем. Выход влияющего звена и вход звена, подверженного влиянию, нагружают сопротивлением (600 +/- 30) Ом. Длительность подачи сигнала не должна превышать 5 с. На выходе звена, подверженного влиянию, измеряют уровень внятной переходной помехи анализатором спектра или селективным вольтметром.
Устройства шумоподавления в КЗВ должны быть выключены.
Защищенность от внятных переходных помех A вычисляют по формуле

,
где Uмакс. сигн - максимальное напряжение сигнала;
Uвн. перех - напряжение внятной переходной помехи или
или
A = Nмакс. сигн - Nвн. перех,
где Nмакс. сигн - максимальный уровень сигнала;
Nвн. перех - измеренный уровень внятной переходной помехи.
8.6 Разность уровней на выходах каналов A и B в звеньях, используемых для стереофонических передач, определяют расчетным путем при сравнении АЧХ каналов A и B. Методика измерения АЧХ изложена в
8.2. Измерения проводят по схеме, приведенной на
рисунке 19.
1 - низкочастотный генератор сигналов; 2, 7 - вольтметры;
3 - канал A; 4 - канал B; 5, 6 - номинальные сопротивления
нагрузки
Рисунок 19 - Схема измерения разности уровней на выходах
каналов A и B
8.7 Разность фаз на выходах каналов A и B в звеньях, используемых для стереофонических передач, измеряют при подаче на вход обоих каналов измерительного сигнала с уровнем на 21 дБ ниже номинального значения максимального уровня. Измерения проводят фазометром на частотах 40, 1000 (800), 15000 Гц. Измерения проводят по схеме, приведенной на
рисунке 20.
1 - низкочастотный генератор сигналов; 2 - вольтметры;
3 - канал A; 4 - канал B; 5, 6 - номинальные сопротивления
нагрузки; 7 - фазометр
Рисунок 20 - Схема измерения разности фаз
на выходах каналов A и B
8.8 Защищенность от внятной переходной помехи между каналами A и B в звеньях, используемых для стереофонических передач, определяют по
8.5, причем за влияющий тракт принимают поочередно канал A и канал B.
8.9 Защищенность от продуктов внутриполосной перекрестной модуляции второго и третьего порядка

и внеполосной перекрестной модуляции первого и второго порядка
fd определяют на основе следующих соотношений:
f = f0 - nfi и fd = nf0 +/- fa,
где f0 - частота дискретизации; fi - частоты внутриполосных сигналов; fa - частоты внеполосных паразитных сигналов.
| n = 2 | n = 3 | |
fi | 9 | 13 | 7 | 11 | кГц |
| 14 | 6 | 11 | 1 | кГц |
К соотношению для  |
| n = 1 | n = 2 | |
f0 | 31 | 33 | 63 | 65 | кГц |
fd | 1 | кГц |
К соотношению для fd |
Измерения проводят по схеме, приведенной на
рисунке 21. На вход звена звукового вещания подают измерительный звуковой сигнал уровнем 0 дБм с точностью не менее +/- 0,1 дБ. Коэффициент гармоник генератора звуковых частот не должен превышать 0,3 минимального значения коэффициента гармоник измеряемого звена. Частоту измерительного сигнала устанавливают с точностью не менее 0,1% частоты дискретизации
f0.
1 - низкочастотный генератор сигналов; 2 - селективный
вольтметр; 3 - частотомер; 4 - канал звукового вещания;
5 - анализатор спектра или селективный вольтметр
Рисунок 21 - Схема измерения защищенности от продуктов
внутриполосной перекрестной модуляции второго и третьего
порядка
Значение защищенности A вычисляют по формулам:
для внутриполосной перекрестной модуляции

;
для внеполосной перекрестной модуляции
A = Nfd - Nfa,
где

,
Nfd - уровни продуктов внутриполосной и внеполосной перекрестной модуляции соответственно;
Nfi - уровень внутриполосных измерительных сигналов;
Nfa - уровень внеполосных измерительных сигналов.
Значение защищенности A допускается определять также по формулам:
для внутриполосной перекрестной модуляции

,
для внеполосной перекрестной модуляции

,
где Ufi - напряжение внутриполосных измерительных сигналов;
Ufa - напряжение внеполосных измерительных сигналов;
Ufd - напряжение продуктов перекрестной модуляции.
(рекомендуемое)
ПЕРЕЧЕНЬ РЕКОМЕНДУЕМЫХ СРЕДСТВ ИЗМЕРЕНИЙ
Таблица А.1
Перечень средств измерений
Наименование средств измерения | Тип |
Вольтметр переменного тока | В3-71 (В3-57, В3-48) |
Цифровой вольтметр | В7-78, В7-77 (В7-40, В7-46, В7-53, В7-58, В7-68), В7-74, В7-73 |
Псофометр | ИШС-НЧ, EPS-86, EPS-73 |
Генератор сигналов НЧ | Г3-124 (Г3-117), Г3-123, Г3-121, Г3-118 |
Анализатор спектра | СК4-83 (С4-77, СК4-58, СК4-56, С4-51) |
Фазометр | Ф2-34 (Ф2-16), Ф2-28 |
Осциллограф | С1-166 (С1-114/1, С1-127, С1-65А), С1-147, С1-97 |
Селективный вольтметр | В6-14 (В6-9), UNIPAN-237 |
Измеритель нелинейных искажений (ИНИ) | СК6-18, С6-14 (С6-12, С6-11, С6-9), СК6-13 |
Измерительный автомат | К-1080 |
Примечание - Допускается использовать средства измерений, указанные в скобках, а также другие средства измерений, обеспечивающие требуемую точность измерений. |
[1] | Рекомендация МСЭ-Т J.21 Сектор стандартизации электросвязи Международного Союза электросвязи | Технические характеристики каналов звукового вещания с полосой частот до 15 кГц. Каналы для высококачественной передачи программ монофонического и стереофонического звукового вещания |
[2] | Рекомендация МСЭ-Т J.23 Сектор стандартизации электросвязи Международного Союза электросвязи | Технические характеристики каналов звукового вещания с полосой частот до 7 кГц. Каналы для высококачественной передачи программ звукового вещания |
[3] | Рекомендации МСЭ-Т J.22 Сектор стандартизации электросвязи Международного Союза электросвязи | Технические характеристики каналов звукового вещания с полосой частот до 10 кГц |
| Рекомендация МСЭ-Р BS.468-4 Сектор стандартизации радиосвязи Международного Союза электросвязи | Измерение напряжения шума звуковой частоты в звуковом радиовещании |
| Рекомендации МСЭ-Р P 53 Сектор стандартизации радиосвязи Международного Союза электросвязи | Приборы для объективного измерения шума |
УДК 621.397.611:006:354 | |
Ключевые слова: магистральные и внутризоновые каналы звукового вещания, тракты первичного распределения, параметры, методы измерений |