Главная // Актуальные документы // ГОСТ Р (Государственный стандарт)СПРАВКА
Источник публикации
М.: Стандартинформ, 2012
Примечание к документу
Документ
введен в действие с 1 сентября 2011 года.
Название документа
"ГОСТ Р 54144-2010. Национальный стандарт Российской Федерации. Менеджмент рисков. Руководство по применению организационных мер безопасности и оценки рисков. Идентификация инцидентов"
(принят и введен в действие Приказом Росстандарта от 21.12.2010 N 890-ст)
"ГОСТ Р 54144-2010. Национальный стандарт Российской Федерации. Менеджмент рисков. Руководство по применению организационных мер безопасности и оценки рисков. Идентификация инцидентов"
(принят и введен в действие Приказом Росстандарта от 21.12.2010 N 890-ст)
Принят и введен в действие
агентства по техническому
регулированию и метрологии
от 21 декабря 2010 г. N 890-ст
НАЦИОНАЛЬНЫЙ СТАНДАРТ РОССИЙСКОЙ ФЕДЕРАЦИИ
МЕНЕДЖМЕНТ РИСКОВ
РУКОВОДСТВО ПО ПРИМЕНЕНИЮ ОРГАНИЗАЦИОННЫХ МЕР БЕЗОПАСНОСТИ
И ОЦЕНКИ РИСКОВ
ИДЕНТИФИКАЦИЯ ИНЦИДЕНТОВ
Risk management. Implementation guide for organizational
security measures and risk assessment.
Incident identification
ГОСТ Р 54144-2010
Группа Т58
Дата введения
1 сентября 2011 года
Цели и принципы стандартизации в Российской Федерации установлены Федеральным
законом от 27 декабря 2002 г. N 184-ФЗ "О техническом регулировании", а правила применения национальных стандартов Российской Федерации -
ГОСТ Р 1.0-2004 "Стандартизация в Российской Федерации. Основные положения".
1. Разработан Научно-техническим центром "ИНТЕК".
2. Внесен Техническим комитетом по стандартизации ТК 100 "Стратегический и инновационный менеджмент".
3. Принят и введен в действие
Приказом Федерального агентства по техническому регулированию и метрологии от 21 декабря 2010 г. N 890-ст.
4. Введен впервые.
Информация об изменениях к настоящему стандарту публикуется в ежегодно издаваемом информационном указателе "Национальные стандарты", а текст изменений и поправок - в ежемесячно издаваемых информационных указателях "Национальные стандарты". В случае пересмотра (замены) или отмены настоящего стандарта соответствующее уведомление будет опубликовано в ежемесячно издаваемом информационном указателе "Национальные стандарты". Соответствующая информация, уведомление и тексты размещаются также в информационной системе общего пользования - на официальном сайте Федерального агентства по техническому регулированию и метрологии в сети Интернет.
В настоящем стандарте представлена методология идентификации инцидентов, представляющих серьезные угрозы (МИСУИ).
Данная методология предназначена для сбора информации, необходимой для идентификации потенциально опасного оборудования на предприятии и выбора того, которое может быть связано с возникновением значительных инцидентов. Дерево отказов и дерево событий строятся для каждого критического события на основе родовых деревьев, предлагаемых данной методологией. Комбинация дерева отказов и дерева событий составляет схему "галстук-бабочка", которая на этом этапе рассматривается безотносительно барьера безопасности. В комплексе стандартов, представляющих руководство по применению организационных мер безопасности и оценки рисков, мы будем использовать название для этой схемы "песочные часы".
Настоящий стандарт описывает методологию построения дерева отказов для случаев, когда вредные вещества на предприятиях присутствуют или используются в количествах, способных нанести существенный вред здоровью людей или состоянию окружающей среды.
Настоящий стандарт может использоваться в случаях, когда предприятие должно подтвердить компетентным органам, что его деятельность укладывается в рамки требований по безопасности и не превышает уровень допустимого риска. Он также может быть использован для установления предприятием более высоких требований по безопасности и охране труда. Его могут использовать регистрирующие органы для оценки уровня снижения риска за счет установления требований в технических регламентах и стандартах.
В настоящем стандарте использована методология, основанная на принципах и процедурах оценки рисков для выполнения требований директивы EC 96/82/EC для помощи в защите людей и окружающей среды от серьезных угроз катастроф и инцидентов. Данная директива от 9 декабря 1996 г. о контроле за представляющими собой серьезную опасность авариями на объектах, имеющих дело с опасными веществами, известна также как Директива SEVESO II.
Данный комплекс стандартов включает следующие стандарты:
- Менеджмент рисков. Руководство по применению организационных мер безопасности и оценки рисков. Общая методология;
- Менеджмент рисков. Руководство по применению организационных мер безопасности и оценки рисков. Идентификация инцидентов;
- Менеджмент рисков. Руководство по применению организационных мер безопасности и оценки рисков. Эталонные сценарии инцидентов;
- Менеджмент рисков. Руководство по применению организационных мер безопасности и оценки рисков. Промышленные инциденты;
- Менеджмент рисков. Руководство по применению организационных мер безопасности и оценки рисков. Методология построения универсального дерева событий.
Этот комплекс предназначен для использования в случаях, когда вредные вещества на предприятиях присутствуют или используются в количествах, способных нанести существенный вред здоровью людей или состоянию окружающей среды. Этот комплекс стандартов может также использоваться и в других случаях, когда на предприятиях необходимо оценивать риски от своей деятельности, способной нанести существенный вред.
В стандарте "Менеджмент рисков. Руководство по применению организационных мер безопасности и оценки рисков. Общая методология" приведены общие положения оценки рисков на основе критических событий, основанные на европейском подходе по контролю за представляющими серьезную опасность авариями на объектах, имеющих дело с опасными веществами, приведен перечень действующих нормативных документов в области оценки рисков.
В стандарте "Менеджмент рисков. Руководство по применению организационных мер безопасности и оценки рисков. Идентификация инцидентов" представлена методология идентификации инцидентов, представляющих существенные угрозы (МИСУИ). Стандарт описывает методологию построения схемы "песочные часы" ("галстук-бабочка"), на которой дерево отказов (неисправностей) и дерево событий связаны через критическое событие. Рассмотрены алгоритмы идентификации и выбора опасного оборудования, основанные на использовании предложенных категорий (разновидностей) рисков и классификации оборудования.
Стандарт "Менеджмент рисков. Руководство по применению организационных мер безопасности и оценки рисков критических событий. Эталонные сценарии инцидентов" описывает методологию идентификации эталонных сценариев инцидентов (МИЭСИ). Цель МИЭСИ заключается в том, чтобы идентифицировать эталонные сценарии инцидентов, которые будут учтены при вычислении уровня (индекса) серьезности последствий. Принципиально выбираются только сценарии, соответствующие опасным феноменам с частотой или последовательностью, которые могут оказать существенный эффект с точки зрения последствий.
В стандарте "Менеджмент рисков. Руководство по применению организационных мер безопасности и оценки рисков. Промышленные инциденты" для различных критических событий представлены родовые схемы деревьев отказов, описывающие последовательность наступления нежелательных событий и распространения опасностей, приводящих к проявлению критического события.
В стандарте "Менеджмент рисков. Руководство по применению организационных мер безопасности и оценки рисков. Методология построения универсального дерева событий" представлены методология и детализированная процедура построения для критических событий родовых схем деревьев событий, описывающих последовательность наступления нежелательных событий и распространения опасностей, приводящих к проявлению опасного феномена, при помощи использования соответствующих категорий (разновидностей) рисков и классификаций оборудования.
Настоящий стандарт устанавливает методологию технического регулирования и оценки рисков для промышленных инцидентов с серьезными последствиями, предназначенную для характеристики уровня риска с интегрированным индексом риска, включающим независимые параметры, связанные с оценкой последующей серьезности развития сценариев, эффективностью превентивного менеджмента и оценкой подверженности (уязвимости) окружающей среды, описывая чувствительность объектов, потенциально подверженных негативному воздействию.
Настоящий стандарт предназначен для использования на предприятиях, на которых вредные вещества присутствуют в количествах, способных нанести существенный вред здоровью людей или состоянию окружающей среды. Термин "присутствие вредных веществ" означает фактическое или ожидаемое присутствие таких веществ на предприятии или же присутствие тех, которые, возможно, могут образовываться во время потери управляемости промышленным химическим процессом в количествах, равных или превышающих установленные пороговые величины. Настоящий стандарт также может использоваться и другими организациями, деятельность и оборудование которых может представлять опасность.
Положения настоящего стандарта касаются введения мер по содействию усовершенствованиям в области обеспечения экологической безопасности и охраны труда.
Пользователями настоящего стандарта являются организации, которые используют установки или оборудование, или, если это установлено национальным законодательством, имеют экономические рычаги, влияющие на принятие технических решений.
Приведенные в настоящем стандарте классификации разновидностей риска, опасностей, событий и оборудования выбраны на основе использования европейского подхода, примененного в Директивах EC 96/82/EC (SEVESO II) и 67/548/EC, для добровольного применения данной методологии. Эти классификации и методология не могут быть использованы вместо классификаций и методологий, установленных в нормативных правовых документах для регулятивных целей, а также для целей государственного контроля и надзора.
Целью настоящего стандарта является описание методологии оценки риска и отдельных элементов менеджмента риска в указанной области деятельности, поэтому используемые в нем виды опасностей или их аспекты, а также связанные с ними события и последовательности их наступления приводятся исключительно с информационной и методической целью, и их не следует рассматривать как полные и настоятельно рекомендуемые. Применение данного стандарта носит исключительно добровольный характер и призвано содействовать развитию организационных мер безопасности в тех случаях, когда существующих рекомендуемых нормативных документов недостаточно для однозначного достижения необходимых целей регулирования на предприятиях.
Примечание. При пользовании настоящим стандартом целесообразно проверить действие ссылочных стандартов в информационной системе общего пользования - на официальном сайте Федерального агентства по техническому регулированию и метрологии в сети Интернет или по ежегодно издаваемому информационному указателю "Национальные стандарты", который опубликован по состоянию на 1 января текущего года, и по соответствующим ежемесячно издаваемым информационным указателям, опубликованным в текущем году. Если ссылочный стандарт заменен (изменен), то при пользовании настоящим стандартом следует руководствоваться заменяющим (измененным) стандартом. Если ссылочный стандарт отменен без замены, то положение, в котором дана ссылка на него, применяется в части, не затрагивающей эту ссылку.
В настоящем стандарте использована ссылка на следующий стандарт:
3. Термины, определения и сокращения
В настоящем стандарте использованы термины и определения в соответствии с
ГОСТ Р 51897, а также следующие термины с соответствующими определениями:
3.1. атмосферное хранилище: Резервуары для хранения, работающие при температуре и под давлением окружающей среды и содержащие вещества в жидком состоянии.
3.2. атмосферное транспортное оборудование: Транспортное оборудование, работающее при температуре и под давлением окружающей среды и содержащее вещество в жидком состоянии.
3.3. огненный столб или шар: Взрыв пара расширяющейся кипящей жидкости (BLEVE).
Примечание. BLEVE происходит при катастрофическом отказе (разрыве, поломке) резервуара, содержащего жидкость, сильно перегретую выше своей нормальной атмосферной точки кипения. BLEVE распространяется на резервуары, содержащие сжиженный газ под давлением или жидкость под давлением. В первом случае последствием BLEVE является взрыв вследствие, с одной стороны, расширения пара при отказе резервуара, с другой стороны, - из-за взрывоопасного испарения жидкостного содержимого резервуара. За этим эффектом следует, как правило, разлет (разброс) частей. Если вещество воспламеняемо, аэрозоль из смеси вещества и воздуха может незамедлительно воспламениться. Фронт пламени быстро распространяется от точки воспламенения, образуя огненный шар (столб). Его температура чрезвычайно высока, и это вызывает значительную тепловую радиацию.
3.4. перегрев (перекипание) и возникающий в результате пожар резервуара: Событие, как правило, происходящее за пожаром в резервуаре.
Примечание. Явление перегрева представляет собой внезапное и сильнейшее огненное извержение горящей жидкости из атмосферного хранилища. Это является последствием превращения в пар жидкой воды, содержащейся на дне резервуара. В атмосферном хранилище перегрев может возникнуть при следующих условиях:
- наличие воды на дне резервуара;
- образование тепловой волны, которая достигает водяного слоя под углеводородной массой;
- достаточная вязкость углеводорода, в результате чего водяной пар не может легко пройти через него со дна резервуара;
- средняя температура кипения выше, чем температура кипения воды на границе раздела вода/углеводород. Условием является следующее для обычного хранилища углеводорода: TBULHC > 395 K (120 °C);
- достаточно большой разброс температур кипения, что способствует образованию тепловой волны, например, на 60 градусов выше температуры кипения воды при давлении разделительной среды.
3.5. трещина (прорыв) в корпусе в условиях жидкой фазы: Отверстие определенного диаметра в корпусе оборудования в условиях наличия жидкой фазы (ниже уровня жидкости), ведущее к непрерывной утечке.
Примечание. Это отверстие может быть результатом механического напряжения, вызванного внешними или внутренними причинами или ухудшением механических свойств структуры.
3.6. трещина (брешь, прорыв) в корпусе в условиях паровой фазы: Отверстие определенного диаметра в корпусе оборудования в условиях наличия паровой фазы (выше уровня жидкости, если присутствует жидкая фаза), ведущее к непрерывной утечке.
Примечание. Это отверстие может быть результатом механического напряжения, вызванного внешними или внутренними причинами или ухудшением механических свойств структуры. Это критическое событие включает также прорыв в оборудовании, когда твердый материал находится во взвешенном состоянии в воздухе или газе.
3.7. катастрофический разрыв: Катастрофический разрыв представляет собой полный отказ (разрыв) оборудования, ведущий к полной и мгновенной утечке вещества.
Примечание. BLEVE является катастрофическим разрывом при определенных условиях эксплуатации. В зависимости от последствий катастрофический разрыв может привести к образованию избыточного давления и разлету (разбросу) частей.
3.8. коллапс, разрушение крыши (крышки): Разрушение, которое может быть вызвано уменьшением внутреннего давления в резервуаре, ведущим к сдавливанию и коллапсу мобильной (съемной) крышки под воздействием атмосферного давления.
Примечание. Иногда под этим понятием подразумевают разрушение внешней оболочки или верхней части оборудования.
3.9. критическое событие (КС): Событие, определяемое как потеря герметичности (LOC) или физической целостности (LPI).
Примечание. Это определение является абсолютно точным применительно к жидкостям, поскольку они обычно характеризуются опасным поведением после утечки. Для твердых материалов и, особенно, для массового твердотельного хранилища скорее применим такой термин как потеря сдерживания или "потеря физической целостности (LPI)", рассматриваемый как изменение химического и/или физического состояния веществ. Критическое событие расположено в центре схемы "песочные часы" ("галстук-бабочка").
3.10. криогенное хранилище (с системой охлаждения): Резервуар для хранения охлажденного сжиженного газа, работающий при низкой температуре, при атмосферном давлении или при более низком давлении.
3.11. опасный феномен, явление (ОФ): Событие, следующее за третичным критическим событием.
Пример - Взрыв облака пара, мгновенный пожар (пожар-вспышка), пожар резервуара, распространение (дисперсия) токсичного облака, пожар лужицы (скопление жидкости) после воспламенения лужицы и т.д.
3.12. опасный феномен "в условиях ограничения источника": Опасный феномен, для которого последствия критического события ограничиваются надежным барьером безопасности.
Пример - Барьер с помощью ограничения размера резервуара или продолжительности утечки.
3.13. опасный феномен с "ограниченными эффектами": Опасный феномен, для которого существует барьер на схеме дерева событий, но не сразу после критического события.
Пример - Водяная завеса, которая ограничивает количество газа, образующего облако.
3.14. "полностью проявившийся" опасный феномен: Опасный феномен, для которого не существует системы безопасности, ограничивающей последствия критического события и смягчающей эффекты.
3.15. разложение: Критическое событие, распространяющееся только на твердые вещества, соответствующее изменению химического состояния вещества [потеря физической целостности; ПФЦ (LPI)] под действием источника энергии/тепла или химической реакции с веществом (несовместимый реагент).
Примечание. Разложение вещества приводит, в качестве вторичных критических событий (ВКС) и третичных критических событий (ТКС), к выбросу токсичных продуктов или отложенному взрыву образованного воспламеняемого газа (реакция не спонтанная, но может быть сильной). Это критическое событие имеет место только для массовых твердотельных хранилищ (хранилищ твердого вещества).
3.16. детальные прямые причины (ДПП): События, расположенные на схеме "песочные часы" ("галстук-бабочка") на стороне дерева отказов (неисправностей) перед прямыми причинами.
Примечание. В случае событий, которые могут вызвать прямые причины, или в случае когда выявление прямой причины является слишком общим, детальная прямая причина повышает точность в определении природы прямой причины.
3.17. прямые причины (ПП): События, расположенные на схеме "песочные часы" ("галстук-бабочка") на дереве отказов перед необходимыми и достаточными причинами.
Примечание. Непосредственные причины необходимых и достаточных причин (НДП). Для данной НДП перечень прямых причин должен быть по возможности наиболее полным.
3.18. взрыв пыли: Событие, происходящее при наличии достаточно высоких концентраций пыли в кислородной (окисляющей) атмосфере.
Примечание. Реакция окисления происходит на границе раздела газ/твердое вещество, и интенсивность взрыва зависит непосредственно от площади реакции, например от размера частиц. Они могут, главным образом, вызывать эффекты чрезмерного давления и разлет частей.
3.19. результативность барьера безопасности: Способность технического барьера безопасности выполнять функцию безопасности в течение определенного периода времени в неиспорченном (деградированном) режиме и установленных условиях.
Примечание. Результативность выражается либо в процентном отношении, либо в виде вероятности выполнения конкретной функции безопасности. Если результативность выражается в процентном отношении, она может изменяться в течение рабочего времени барьера безопасности.
Пример - Клапан, который не будет полностью закрыт по требованию безопасности, не будет иметь 100% результативности.
3.20. ущерб окружающей среде: Опасный феномен, вызванный распространением (дисперсией) в окружающей среде вещества с одним из следующих описаний риска: R50, R51, R54, R55, R56, R57 или R59, а также выбросом токсичных газов от сгорания твердого вещества с описанием риска R100 или R101.
3.21. дерево события: Правая часть схемы "песочные часы" ("галстук-бабочка"), идентифицирующая возможные последствия критического события.
3.22. взрыв: Критическое событие, распространяющееся только на взрывчатые твердые вещества со "взрывчатыми" описаниями риска (R2, R3, R6 и др.), которое соответствует изменению физического состояния вещества (LPI) в результате действия источника энергии/тепла или в результате действия химического источника (несовместимый реагент).
Примечание. Под изменением состояния подразумевается сгорание твердого вещества с образованием избыточного давления (или взрыва) в результате вынужденной и спонтанной реакции. Это критическое событие распространяется только на массовое твердотельное хранилище. В случае если вещество хранится в закрытом резервуаре, взрыв (или взрывчатое разложение твердого вещества) рассматривается как внутренняя причина чрезмерного давления, ведущая к потере герметичности (например, катастрофический разрыв или прорыв в корпусе). В этом случае критическим событием на схеме "песочные часы" является потеря герметичности.
3.23. дерево отказов (неисправностей): Левая часть схемы "песочные часы" ("галстук-бабочка"), идентифицирующая возможные причины критического события.
3.24. пожар: Процесс сгорания, характеризующийся образованием тепла или дыма, или пламени, или любой их комбинацией.
3.25. опасное вещество: Вещество, смесь или препарат, сырьевой материал, продукт, побочный (сопутствующий) продукт, отходы или полупродукт, включая вещества, которые могут образовываться в случае аварии.
Примечание. Опасным веществом является вещество, чья токсичность, воспламеняемость, нестабильность или взрывчатость может подвергнуть опасности людей, окружающую среду или оборудование.
3.26. инициирующее событие: Изначальные причины по направлению вверх каждой ветви, ведущей к критическому событию на дереве отказов (в левой части схемы "песочные часы").
3.27. реактивное (струйное) пламя (огонь): Пламя, образующееся в случае утечки в трубопроводе или резервуаре при обращении с воспламеняемой жидкостью или газом.
Примечание. Воспламенение жидкости ведет к образованию реактивного пламени, характеризуемого высокой излучающей энергией (значительно выше, чем излучение в случае пожара резервуара) и заметной кинетической энергией.
3.28. утечка из газового трубопровода: Утечка из отверстия газового трубопровода диаметром, соответствующим некоторому процентному отношению от номинального диаметра трубопровода.
Примечание. Это может быть также утечка из функционального отверстия трубопровода, такого как фланцевые соединения, насосные уплотнения, клапаны, заглушки, уплотнения. Такая утечка происходит в трубопроводе, транспортирующем вещество в газообразном состоянии. Это критическое событие включает в себя также утечку из оборудования, где твердый материал находится во взвешенном состоянии в воздухе или газе.
3.29. утечка из жидкостного трубопровода: Утечка из отверстия жидкостного трубопровода диаметром, соответствующим некоторому процентному отношению от номинального диаметра трубопровода.
Примечание. Это может быть также утечка из функционального отверстия трубопровода, такого как фланцевые соединения, насосные уплотнения, клапаны, заглушки, уплотнения. Такая утечка происходит из трубопровода, транспортирующего жидкое вещество.
3.30. уровень доверия к барьеру безопасности: Вероятность отказа в отношении требования по выполнению необходимой функции безопасности в соответствии с заданной результативностью и временем срабатывания, отвечающими всем условиям в течение установленного периода времени.
Примечание. Это понятие аналогично понятию SIL (уровень интегрированной безопасности), определенному в МЭК 61511 для инструментальных систем безопасности, но распространяемому в данном случае на все виды барьеров безопасности.
Конструкционный (расчетный) уровень доверия: означает, что барьер эффективен со времени установки, имеет соответствующие время срабатывания, уровень доверия или вероятность отказа по требованию.
Операционный уровень доверия: включает влияние системы менеджмента безопасности. Это значение может быть ниже "конструкционного" значения, в случае если отдельные проблемы идентифицированы во время аудита системы менеджмента безопасности.
3.31. погрузочный (разгрузочный) блок: Блок, используемый для входа и выхода веществ на предприятии, включая транспортное оборудование.
3.32. главное событие (ГС): Событие, характеризуемое как оказывающее значительный эффект или существенное влияние на цели безопасности и объекты (люди, структура, окружающая среда и т.д.), расположенное на схеме песочные часы в конце дерева событий.
Примечание. Возможными имеющими значительный эффект основными событиями являются следующие: тепловое излучение, чрезмерное давление, разлет частей, токсичные эффекты (на людей или окружающую среду).
3.33. массовое твердотельное хранилище: Хранилище твердых веществ в форме порошка или гранул.
Примечание. Такие вещества могут храниться навалом или как силос в специальных бункерах (хранилище твердых продуктов в "небольших" пакетах в данном случае не учитывается).
3.34. приведение материала в движение (увлечение) воздухом: Критическое событие, имеющее место для потенциально мобильного твердого продукта, для фрагментарного твердого продукта (порошок, пыль и т.д.), подверженного воздействию окружающей среды.
Пример - Фрагментарный твердый продукт при хранении в открытом хранилище или перемещаемый на ленточных транспортерах, приходящий в движение из-за присутствия воздушного вектора (слишком сильной вентиляции и т.д.).
3.35. приведение материала в движение (увлечение) жидкостью: Критическое событие, имеющее место для потенциально мобильного твердого продукта, подверженного воздействию окружающей среды.
Пример - Фрагментарный твердый продукт при хранении в открытом хранилище или перемещаемый на ленточных транспортерах и приходящий в движение из-за присутствия жидкого вектора (наводнения, жидкости, вытекающей из другого оборудования и т.д.).
3.36. разлет (разброс) частей: Фрагментация элементов оборудования при взрыве или увеличении давления.
Примечание. События, приводящие к взрыву и разлету частей:
- событие типа BLEVE для сосуда под давлением может вызвать разлет частей;
- взрывные феномены могут произойти в процессном оборудовании и вызвать выброс различных фрагментов, например реактора;
- атмосферные или криогенные резервуары для хранения могут также привести к разлету частей (взрыв резервуара для хранения). Это может произойти в случае накопления воспламеняющихся паров под крышкой резервуара;
- механический разрыв хранилища под давлением может быть вызван, например, увеличением давления в резервуаре.
3.37. необходимые и достаточные причины (НДП): Непосредственные причины, которые могут вызвать критическое событие (КС).
Примечание. На схеме "песочные часы" НДП расположены на стороне дерева отказов. Для конкретного критического события предполагается, что перечень НДП будет исчерпывающим, что означает, что, по крайней мере одна НДП должна быть включена в схему, чтобы критическое событие могло произойти.
3.38. создание чрезмерного давления: Быстро распространяющееся давление или ударная волна в атмосфере с высоким давлением, высокой плотностью и высокой скоростью.
3.39. хранилище с нагнетанием газа: Резервуар для хранения, работающий при температуре окружающей среды и при давлении выше 1 бар (давление повышается при помощи нагнетания инертного газа) и содержащий вещество в сжиженном состоянии.
3.40. сети трубопроводов (трубопровод): Система труб, соединяющая различные блоки установки (трубопровод, соединяющий разгрузочный блок и блок хранения или соединяющий блок хранения и процессный блок), а также трубопроводы, поддерживающие (подающие) пламя.
Примечание. Система труб, располагающаяся внутри блока (например, внутри хранилища или между двумя единицами процессного оборудования внутри одного и того же процессного блока), не рассматривается как "трубопровод". Эти трубы являются неотъемлемой частью оборудования, к которому они подсоединены.
3.41. пожар лужицы, бассейна: Сгорание материала, испаряющегося из слоя жидкости (лужицы, бассейна).
Примечание. Слой жидкости (скопление) возникает в результате отказа какой-либо детали оборудования, содержащей воспламеняющуюся жидкость.
3.42. хранилище под давлением: Резервуар для хранения, работающий при температуре окружающей среды и при давлении выше 1 бар (давление усиливается веществом, в основном инертным газом).
Примечание. Хранящееся вещество может быть сжиженным газом под давлением (двухфазное равновесное состояние) или газом под давлением (однофазное состояние).
3.43. транспортное оборудование под давлением: Транспортное оборудование, работающее при температуре окружающей среды и при давлении выше 1 бар (давление усиливается веществом, в основном инертным газом).
Примечание. Хранящееся вещество может быть сжиженным газом под давлением (двухфазное равновесное состояние) или газом под давлением (однофазное состояние).
3.44. процессный блок: Блок, применяемый для обработки веществ или производства энергии, используемой на предприятии.
Примечание. В процессном блоке оборудование объединяется в общие категории в соответствии с их функциями и характеристиками.
Примеры
1. Вспомогательное оборудование хранилища, интегрированное в процесс производства: массовое твердотельное хранилище, хранилище под давлением, хранилище с нагнетанием газа, атмосферное хранилище, криогенное хранилище.
2. Оборудование, где происходят химические реакции: реактор.
3. Оборудование, предназначенное для физического или химического разделения веществ: дистилляционная колонка; абсорбционная колонка; экстракционная установка для состояния жидкость-жидкость; центрифуга; сепараторы; сушильные установки; сита; классификаторы.
4. Оборудование, предназначенное для производства и подачи энергии: печи; котлы; теплообменники с использованием прямого огня.
5. Упаковочное оборудование: оборудование, предназначенное для упаковки материала. Упаковка не включена в данную методологию, а включена только упаковочная система.
6. Другое оборудование: насосы; теплообменники; компрессоры; установка для расширения газа; внутренняя система труб, подводимых к процессному блоку; миксеры; смесители.
3.45. выпадение дождя: Выпадение небольших жидких капель из фракции вспыхивающей жидкости, остающейся в изначально взвешенной атмосфере.
3.46. соответствующее опасное оборудование: Оборудование, содержащее количество опасного вещества, превышающее или равное пороговому значению.
3.47. время срабатывания: Продолжительность времени между включением барьера безопасности и полным выполнением (срабатыванием до достижения полной эффективности) функции безопасности.
Примечание. Функция безопасности определяется соответствующим барьером безопасности.
3.48. барьер безопасности: Функция безопасности, являющаяся техническим или организационным действием, а не объектом или физической системой.
Примечание. Именно действие должно выполняться для избежания или предупреждения события, или управления, или ограничения происхождения события. Такое действие осуществляется благодаря барьеру безопасности. Функцией безопасности является то, что должно обеспечить, улучшить и/или содействовать безопасности.
3.49. вторичное критическое событие: Событие, следующее за критическим событием (например, образование лужицы после прорыва сосуда), которое на схеме "песочные часы" расположено на стороне дерева событий.
3.50. начало пожара (LPI): Критическое событие, соответствующее началу специфической реакции между окисляющимся веществом и воспламеняющимся или взрывчатым веществом, или автономным разложением органической перекиси, приводящей к пожару.
Примечание. Такое критическое событие распространяется только на вещества с описанием риска, связанного с потерей физической целостности, приводящей к пожару. Такими описаниями риска являются R7 "может вызвать пожар (органические перекиси)"; R8 "контакт со взрывоопасными материалами может вызвать пожар", исключая какое-либо другое описание риска. Данное событие может быть также связано с пиротехническими веществами.
3.51. блок хранения: Блок, используемый для хранения сырья, промежуточной продукции, конечной продукции или отходов.
3.52. хранилище твердых веществ в небольших упаковках: Хранилище с низкой пропускной способностью твердого материала в упаковках и резервуарах для хранения емкостью меньше чем 1 м3.
3.53. хранилище жидкости в небольших упаковках: Хранилище с низкой пропускной способностью жидкости.
Пример - Хранение в бутылях, барабанах и других резервуарах для хранения емкостью меньше чем 1 м3.
3.54. пожар резервуара: Последствие воспламенения вещества в газовой фазе в сосуде, содержащем воспламеняющуюся жидкость.
3.55. третичное критическое событие (ТКС): Событие, следующее за вторичным критическим событием (ВКС).
Пример - Воспламенение лужицы после ее образования.
Примечание. На схеме "песочные часы" ТКС расположено на стороне дерева события.
3.56. токсичное облако: Облако, образованное при смешивании и распространении токсичных газов в воздухе.
Примечание. Смешивание является результатом турбулентного обмена энергией, которое зависит от ветра и профиля атмосферной температуры.
3.57. нежелательные события (НС): Последний уровень причин в деревьях отказов.
Примечание. Нежелательными событиями являются по большей части общие события, которые связаны с организацией поведения человека, которое может всегда, в конечном итоге, рассматриваться как причина критического события. На схеме "песочные часы" НС расположено на стороне дерева отказов.
3.58. блок: Часть предприятия, формирующая логический комплекс, географически разделенный с другими частями предприятия.
Пример - Разделенные открытым пространством части предприятия.
Примечание. Определено четыре типа блоков: блоки хранения, (разгрузочные) погрузочные блоки, сети трубопроводов, процессные блоки.
3.59. взрыв облака пара и мгновенный пожар: Утечка из оборудования, при которой происходит либо прямой газообразный выброс, либо следующий за постепенным испарением лужицы пожар на земле рядом с утечкой.
Примечание. Это ведет к образованию облака, которое перемещается и распространяется по направлению ветра. Если вещество воспламеняемо, существует промежуточная область, в которой концентрации пара в воздухе находятся между пределами воспламеняемости вещества. Достаточно энергичный источник воспламенения, находящийся на траектории области воспламенения облака, может воспламенить такое облако. В соответствии со скоростью фронтального пламени инцидент может привести к мгновенному пожару или взрыву облака пара (VCE). Этот последний инцидент вызывает волну с чередующимся чрезмерным и пониженным давлением. Разрушающий эффект связан с пиковым чрезмерным давлением, а также с формой волны.
3.60. коллапс, разрушение сосуда: Полный отказ оборудования, ведущий к полному и мгновенному выбросу вещества в результате понижения внутреннего давления в сосуде и разрушения сосуда под воздействием атмосферного давления.
Примечание. Разрушение сосуда не ведет к образованию чрезмерного давления или разбросу частей.
3.61. индекс риска: Показатель

, описывающий уровень риска, ассоциированный с конкретным опасным феноменом (DP);
3.62. индекс серьезности риска: Показатель

, выражаемый в виде комбинации специфических индексов рисков

, ассоциированных с каждым опасным явлением (феноменом) (DP), присущим критическому событию, принимая во внимание вероятности наступления этих феноменов

.

.
3.63. В настоящем стандарте используют следующие обозначения и сокращения:
- МИСУИ - методология идентификации инцидентов, представляющих серьезные (существенные) угрозы (MIMAH);
- МИЭСИ - методология идентификации эталонных сценариев инцидентов (MIRAS);
- ЭСИ - эталонные сценарии инцидентов;
- КС - критическое событие;
- ВКС - вторичное критическое событие;
- ТКС - третичное критическое событие;
- СОСТ - состояние;
- ДО - дерево отказов;
- ГС - главное/крупное событие (авария);
- ОФ - опасный феномен/процесс.
- ББ - барьер безопасности;
- ВВО - вероятность вынужденного отказа;
- НДП - необходимые и достаточные причины;
- СМБ - системы менеджмента безопасности;
- ПФЦ (LPI) - потеря физической целостности;
- LOC - потеря герметичности;
- УД (LC) - уровень доверия;
- HAZOP - исследования опасности и работоспособности;
- TBULHC - температура кипения воды на границе раздела вода/углеводород;
- BLEVE - взрыв пара расширяющейся кипящей жидкости.
4. Методология идентификации инцидентов, представляющих
серьезные угрозы (МИСУИ)
4.1. Основные этапы МИСУИ
В центре "песочных часов" расположено "критическое событие", определяемое как "потеря герметичности", "потеря сдерживания" или "потеря физической целостности".
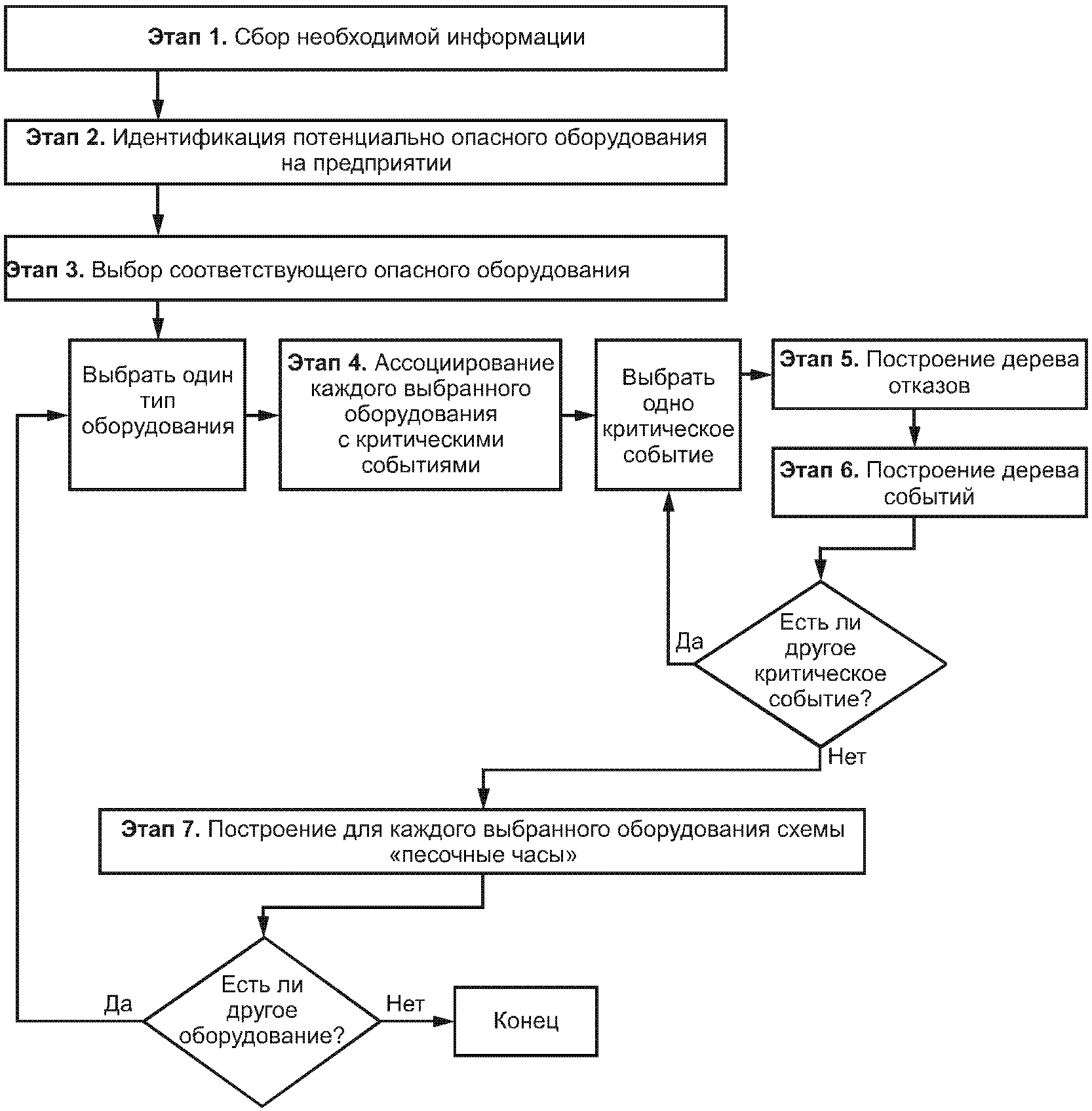
На
рисунке 1 представлены основные этапы (шаги) МИСУИ:
- этап 1. Сбор необходимой информации;
- этап 2. Идентификация потенциально опасного оборудования на предприятии;
- этап 3. Выбор соответствующего опасного оборудования;
- этап 4. Ассоциирование каждого выбранного оборудования с критическими событиями;
- этап 5. Построение для каждого критического события дерева отказов;
- этап 6. Построение для каждого критического события дерева событий;
- этап 7. Построение для выбранного оборудования схемы "песочные часы".
Далее приводится более детальное описание каждого этапа МИСУИ.
Рисунок 1. Основные этапы МИСУИ
4.2. Этап 1. Сбор необходимой информации
Данные, требуемые для идентификации наиболее значимых сценариев инцидентов, приведены в таблице 1.
Данные для идентификации сценариев инцидентов
Этап | Описание требуемых данных |
1 | Общие данные о предприятии: - расположение и планировка предприятия; - краткое описание производственных процессов; - краткое описание оборудования и трубопроводов |
2 | Перечень хранимых или обращаемых материалов и веществ Опасные свойства этих веществ и материалов (субстанций) Для каждого потенциально опасного типа оборудования: - название оборудования; - размеры (объемные, линейные); - рабочие давление и температура; - обращаемые вещества и материалы; - хранимые материалы и вещества; - количества материалов и веществ в оборудовании (вес или потоки); - свойства опасных субстанций (уровень риска, классы опасности); - температура кипения веществ и материалов |
4 | Нет дополнительных данных |
5 | На этом этапе проводится обзор возможных проявлений инцидентов Дополнительных данных не требуется, но могут быть полезны совещания с представителями промышленных кругов. На этом этапе необходимо использовать оценку риска |
6 | Нет дополнительных данных |
7 | Нет дополнительных данных |
4.3. Этап 2. Идентификация потенциально опасного оборудования на предприятии
На первом этапе составляют перечень опасных веществ и материалов (субстанций) на предприятии. На втором этапе необходимо подготовить список оборудования, содержащего эти субстанции, и определить их физическое состояние. Здесь используется трехмерная типология (опасные субстанции, физическое состояние, оборудование).
Все опасные материалы и вещества ассоциируются с одним видом риска или несколькими его разновидностями, которые должны быть рассмотрены
(таблица 2). Здесь приведена классификация опасных свойств веществ по категориям, использованная в Директиве SEVESO II, разновидности риска приведены в Директиве 67/548/EC.
┌─────────────────┬───────────────────────────────────────────────────────┐
│ Категории │ Разновидности риска (РИ) │
│ опасности ├───────────┬───────────────────────────────────────────┤
│ │Обозначение│ Определение │
│ │ │ │
├─────────────────┼───────────┼───────────────────────────────────────────┤
│ Высокая │РИ26 │ Очень токсично при вдыхании │
│токсичность │РИ100 │ Испускание очень токсичных паров при │
│ │ │горении │
├─────────────────┼───────────┼───────────────────────────────────────────┤
│ Токсичность │РИ23 │ Токсично при вдыхании │
│ │РИ101 │ Испускание токсичных паров при горении │
├─────────────────┼───────────┼───────────────────────────────────────────┤
│ Окисление │РИ7 │ Может вызвать возгорание (органические │
│ │ │перекиси) │
│ │РИ8 │ Контакт со взрывоопасными материалами │
│ │ │может привести к возгоранию │
│ │РИ9 │ Взрывоопасно при смешивании со │
│ │ │взрывоопасными материалами │
├─────────────────┼───────────┼───────────────────────────────────────────┤
│ Взрыв │РИ1 │ Взрывоопасно в сухом состоянии │
│ │РИ2 │ Риск взрыва при ударе, трении, огне или │
│ │ │других источниках возгорания │
│ │РИ3 │ Чрезмерный риск взрыва при ударе, │
│ │ │трении, огне или других источниках │
│ │ │возгорания │
│ │РИ4 │ Образование очень чувствительных │
│ │ │взрывоопасных металлических соединений │
│ │РИ5 │ Нагревание может вызвать взрыв │
│ │РИ6 │ Взрыв при контакте или без контакта с │
│ │ │воздухом │
│ │РИ16 │ Взрыв при смешивании с окислителями │
│ │РИ19 │ Может образоваться взрывоопасная │
│ │ │перекись │
│ │РИ44 │ Риск взрыва при нагревании в условиях │
│ │ │пространственного ограничения │
│ │РИ102 │ Пиротехника │
├─────────────────┼───────────┼───────────────────────────────────────────┤
│ Воспламенение │РИ10 │ Воспламенение │
│ │РИ18 │ При использовании может образовываться │
│ │ │воспламеняющаяся/взрывоопасная смесь пар - │
│ │ │воздух │
├─────────────────┼───────────┼───────────────────────────────────────────┤
│ Сильное │РИ10 │ Воспламенение (при конкретных │
│воспламенение │ │температурах и давлении) │
│ │РИ11 │ Сильное воспламенение │
│ │РИ17 │ Спонтанное воспламенение в воздухе │
│ │РИ30 │ Может возникнуть сильное воспламенение │
│ │ │при использовании │
├─────────────────┼───────────┼───────────────────────────────────────────┤
│ Чрезмерно │РИ10 │ Воспламенение (Т > Т кипения) │
│сильное │РИ11 │ Сильное воспламенение (Т > Т кипения) │
│воспламенение │РИ12 │ Очень сильное воспламенение │
├─────────────────┼───────────┼───────────────────────────────────────────┤
│ Активная │РИ14 │ Активная реакция с водой │
│реакция с водой │РИ15 │ Контакт с водой высвобождает │
│ │ │чрезвычайно сильно воспламеняющиеся газы │
│ │РИ29 │ Контакт с водой высвобождает токсичные │
│ │ │газы │
│ │РИ14/15 │ Активно реагирует с водой, высвобождая │
│ │ │чрезвычайно сильно воспламеняющийся газ │
│ │РИ15/29 │ Контакт с водой высвобождает токсичный, │
│ │ │чрезвычайно сильно воспламеняющийся газ │
├─────────────────┼───────────┼───────────────────────────────────────────┤
│ Активная │РИ103 │ Контакт с другими веществами высвобождает│
│реакция с другими│ │токсичный газ │
│веществами ├───────────┼───────────────────────────────────────────┤
│ │РИ104 │ Контакт с другими веществами высвобождает│
│ │ │очень токсичный газ │
│ │РИ105 │ Контакт с другими веществами высвобождает│
│ │ │воспламеняющийся газ │
│ │РИ106 │ В случае контакта с другими веществами │
│ │ │может взорваться │
├─────────────────┼───────────┼───────────────────────────────────────────┤
│ Опасно для │РИ50 │ Очень токсично для водных организмов │
│окружающей среды │РИ51 │ Токсично для водных организмов │
│(водное │ │ │
│окружение) │ │ │
├─────────────────┼───────────┼───────────────────────────────────────────┤
│ Опасно для │РИ54 │ Токсично для флоры │
│окружающей среды │РИ55 │ Токсично для фауны │
│(не водное │РИ56 │ Токсично для почвенных организмов │
│окружение) │РИ57 │ Токсично для пчел │
│ │РИ59 │ Опасно для озонового слоя │
└─────────────────┴───────────┴───────────────────────────────────────────┘
Далее необходимо составить перечень оборудования, в котором могут быть найдены опасные вещества. Целесообразно разделить все оборудование на четыре группы:
- для хранения (сырые материалы, промежуточная продукция, промышленная продукция и отходы);
- для впуска/выпуска (впуск и выпуск веществ на производстве, включая оборудование для транспортировки);
- сети трубопроводов (соединение различных узлов трубами);
- для производственных процессов.
Из всего оборудования (ОБ) необходимо выделить именно то оборудование, которое может содержать опасные вещества (в некоторых случаях вещество может производиться в самом оборудовании). Это оборудование классифицируется по типам, установленным в
таблице 3. Также необходимо определить физическое состояние вещества в оборудовании (твердое, жидкое, двухфазное, газ/пар).
Классификация оборудования
Оборудование для хранения | Определение |
Обозначение | Тип |
ОБ1 | Хранение твердых веществ | Хранение твердых веществ в виде порошка или гранул (шариков). Эти вещества могут храниться в сыпучем состоянии или в брикетах (твердые вещества, хранящиеся в малых упаковках, здесь не рассматриваются) |
ОБ2 | Хранение твердых веществ в малых упаковках | Хранение небольших количеств твердых веществ в пакетах или цистернах (баках) с объемом менее 1 м3 |
ОБ3 | Хранение жидкостей в малых упаковках | Хранение жидкостей в бутылях, цилиндрах или баках объемом не более 1 м3 |
ОБ4 | Хранение под давлением | Цистерны (баки) для хранения при температуре окружающей среды и давлении выше 1 бар (давление за счет введенного вещества, обычно инертного газа). Хранящееся вещество может быть сжиженным под давлением газа (две равновесные фазы) или газом под давлением (одна фаза) |
ОБ5 | Хранение под давлением, с наполнителем | Цистерны (баки) для хранения при температуре окружающей среды и давлении выше 1 бар (добавочное давление за счет наполнителя, обычно инертного газа). Хранящееся вещество находится в жидкой фазе |
ОБ6 | Хранение в атмосферных условиях | Цистерны (баки) для хранения при температуре и давлении окружающей среды (давление за счет введенного вещества, обычно инертного газа). Хранящееся вещество находится в жидком состоянии |
ОБ7 | Хранение при криогенных температурах | Цистерны (баки) для хранения при атмосферном или более низком давлении при низких температурах. Вещество хранится в виде замороженного сжиженного газа |
ОБ8 | Оборудование для транспортировки под давлением (для впуска и (или) выпуска) | Транспортное оборудование, работающее при температуре окружающей среды и давлении выше 1 бар (как правило, за счет инертного газа). Вещество хранится в виде сжиженного газа под давлением (две равновесные фазы) или газа под давлением (одна фаза) |
ОБ9 | Оборудование для транспортировки в атмосферных условиях | Транспортное оборудование, работающее при температуре окружающей среды и содержащее вещество в жидкой фазе |
ОБ10 | Трубопроводы | Соединение при помощи трубопроводов различных единиц оборудования на предприятии. Соединение различных частей внутри оборудования при помощи трубопроводов здесь не рассматривается. Они рассматриваются как составная часть оборудования |
ОБ11 | Оборудование промежуточного хранения, встроенное в процесс | Оборудование для хранения, которое находится внутри производственного оборудования, например хранение твердых веществ, поддержание давления, давление наполнителя, атмосферное хранение, криогенное хранение |
ОБ12 | Оборудование для химических реакций | Оборудование, в котором протекают химические реакции, например реактор |
ОБ13 | Оборудование для физического или химического разделения веществ | Оборудование, в котором происходит физическое или химическое разделение, например дистилляционная колонна, абсорбционная колонна, оборудование для жидкостной экстракции, центрифуги, фильтры, сепараторы, сушки, сита и другие |
ОБ14 | Оборудование для производства и поставки энергии | Оборудование для производства энергии, например печи, нагреватели |
ОБ15 | Упаковочное оборудование | Оборудование для упаковки материалов |
ОБ16 | Другое оборудование | Оборудование, не включенное в вышеуказанные классификации, например насосы, теплообменники, компрессоры, газовые расширители, смесители и другие |
Результаты идентификации потенциально опасного оборудования приводят в таблице, включающей, как минимум:
- название вещества;
- опасные свойства вещества (разновидности риска);
- название оборудования, содержащее данное вещество;
- вид этого оборудования;
- состояние вещества в этом оборудовании.
Оборудование, не содержащее опасных веществ, может считаться опасным благодаря эффекту домино (например, нагреватель, который содержит только воду, в случае взрыва может выбрасывать и другие вещества). Такое оборудование не считается потенциально опасным в данной методологии. Оно принимается во внимание при построении дерева отказов при выяснении возможных причин влияния инцидентов на окружающее оборудование.
4.4. Этап 3. Выбор соответствующего опасного оборудования
Основной принцип выбора опасного оборудования заключается в следующем: оборудование, содержащее опасные вещества, должно быть выбрано в качестве соответствующего опасного оборудования, если количество опасного вещества в этом оборудовании выше или равно пороговому значению.
Методология отбора такого опасного оборудования в настоящем стандарте не рассматривается.
4.5. Этап 4. Ассоциирование каждого выбранного оборудования с критическими событиями
МИСУИ содержит 12 различных критических событий, представленных в таблице 4.
Критическое событие |
Обозначение | Наименование | Определение |
КС1 | Разложение | Относится только к твердым веществам и их хранению в твердой фазе. Соответствует изменению химического состояния вещества (ПФЦ) под воздействием энергии/тепла источника или путем реакции с химическим веществом (несовместимый реагент). Разложение вещества приводит, во вторичном и третичном критическом событиях, к эмиссии токсичных продуктов или к отложенному взрыву сформированных воспламеняющихся веществ (реакция не спонтанная, но может быть активной) |
КС2 | Взрыв | Относится только к взрывоопасным твердым веществам с разновидностью риска хранению в твердой фазе. Оно соответствует изменению физического состояния вещества (ПФЦ) под воздействием энергии/тепла источника или путем реакции с химическим веществом (несовместимый реагент). Это изменение состояния подразумевает взрыв твердого тела с созданием повышенного давления вследствие активной и спонтанной реакции. В случае, если вещество хранится в закрытом сосуде, взрыв рассматривается как внутренняя причина повышения давления, приводящая к потере сдерживания. Пример - Катастрофический прорыв или трещина в корпусе. В этом случае потеря сдерживания и является критическим событием. |
КС3 | Приведение материала в движение (перемещение воздухом) | Критическое событие связано как с потенциально мобильными твердыми телами, так и фрагментарными твердыми телами (порошок, пыль), подверженными действию своего окружения, в том числе движению воздуха (сильная вентиляция и т.д.). Пример - Частички твердого вещества в условиях открытого хранения или на конвейерной ленте |
КС4 | Приведение материала в движение (перемещение жидкостью) | Критическое событие связано как с потенциально мобильными твердыми телами, так и фрагментарными твердыми телами (порошок, пыль), подверженными действию своего окружения, в том числе движению жидкости (потоп, утечка жидкости из другого оборудования). Пример - Частички твердого вещества в условиях открытого хранения или на конвейерной ленте |
КС5 | Начало пожара | Это критическое событие соответствует специфической реакции между окисляющим веществом и воспламеняющимся или взрывающимся веществом или автономному разложению органической перекиси, приводящему к пожару. Это критическое событие относится только к веществам, относящимся к разновидности риска, описываемому ПФЦ, приводящей к пожару. Это разновидность риска РИ7 и РИ8 в таблице 2, исключая другие разновидности рисков. Это событие также может быть ассоциировано с пиротехническими веществами |
КС6 | Трещина в корпусе (обшивке) в условиях газообразной фазы | Это критическое событие - возникновение отверстия определенного диаметра в корпусе оборудования в условиях газообразной фазы (выше уровня жидкости, если существует и жидкая фаза), приводящего к непрерывному испусканию. Это отверстие может быть как следствием механического стресса, обусловленного внутренними или внешними причинами, так и ухудшения механических свойств структуры. Это критическое событие включает в себя также трещину в оборудовании, когда твердые материалы взвешены в воздухе или газе |
КС7 | Трещина в корпусе (обшивке) в условиях жидкой фазы | Это критическое событие - возникновение отверстия определенного диаметра в корпусе оборудования в условиях газообразной фазы (ниже уровня жидкости), приводящего к непрерывному вытеканию. Это отверстие может быть как следствием механического напряжения, обусловленного внутренними или внешними причинами, так и ухудшения механических свойств структуры |
КС8 | Утечка жидкости из трубопровода | Это критическое событие - возникновение отверстия диаметром, соответствующим некоторому проценту номинального диаметра трубопровода. Это также может быть утечка из функциональных открытых частей трубопровода: соединительных фланцев, заглушек насоса, кранов. Эта утечка происходит из трубопроводов для жидких веществ |
КС9 | Утечка газа из трубопровода | Это критическое событие - возникновение отверстия диаметром, соответствующим некоторому проценту от номинального диаметра трубопровода. Это также может быть утечка из функциональных открытых частей трубопровода: соединительных фланцев, заглушек насоса, кранов. Эта утечка происходит из трубопроводов для газообразных веществ. Это критическое событие включает в себя также трещину в оборудовании, когда твердые материалы взвешены в воздухе или газе |
КС10 | Катастрофичес- кий прорыв | Катастрофический прорыв - это полный выход из строя оборудования, приводящий к полному и мгновенному высвобождению вещества. В зависимости от обстоятельств катастрофический прорыв может привести к повышению давления и выбросу веществ |
КС11 | Разрушение сосуда | Разрушение сосуда - это полный выход из строя оборудования, приводящий к полному и мгновенному высвобождению вещества. Это также может быть обусловлено уменьшением внутреннего давления в сосуде при наружном атмосферном давлении. Это событие не приводит ни к превышению давления генерации, ни к выбросу веществ |
КС12 | Разрушение крыши, коллапс | Коллапс может быть обусловлен уменьшением внутреннего давления в сосуде, приводящим к разрыву мобильной крышки (крыши) под действием атмосферного давления. Коллапс специально рассматривается для условий атмосферного хранения |
Данный этап также включает ассоциирование критических событий с соответствующим опасным оборудованием. Для этой цели используются две матрицы:
- матрица
(таблица 6), составленная для рассматриваемого физического состояния вещества и 12 потенциальных критических событий
(таблица 4).
При помощи этих матриц можно определить для каждого опасного оборудования, какие критические события должны быть оставлены для рассмотрения. Таким образом, на этом этапе каждое выбранное опасное оборудование ассоциируется с перечнем критических событий.
Матрица "Тип оборудования (ОБ) - Критическое событие (КС)"
Тип оборудо- вания | Критическое событие |
Разло- жение (КС1) | Взрыв (КС2) | Приведение материала в движение (переме- щение) воздухом (КС3) | Приведение материала в движение (переме- щение) жидкостью (КС4) | Начало пожара (КС5) | Трещина в корпусе (обшивке) в условиях газообраз- ной фазы (КС6) | Трещина в корпусе (обшивке) в условиях жидкой фазы (КС7) | Утечка жидкости из трубо- провода (КС8) | Утечка газа из трубо- провода (КС9) | Катастро- фический прорыв (КС10) | Разру- шение сосуда (КС11) | Разру- шение крыши (КС12) |
Хранение твердых веществ (ОБ1) | X | X | X | X | X | | | | | | | |
Хранение твердых веществ в малых упаковках (ОБ2) | | | | | X | | | | | X | | |
Хранение жидкостей в малых упаковках (ОБ3) | | | | | X | X | X | | | X | | |
Хранение под давлением (ОБ4) | | | | | X | X | X | X | X | X | | |
Хранение под давлением при помощи наполни- теля(ОБ5) | | | | | X | | X | X | | X | X | |
Хранение в атмос- ферных условиях (ОБ6) | | | | | X | | X | X | | X | X | X |
Хранение при криогенных температу- рах (ОБ7) | | | | | X | X | X | X | X | X | X | |
Оборудо- вание для транспор- тировки под давлением (ОБ8) | | | | | X | X | X | X | X | X | | |
Оборудо- вание для транспор- тировки в атмосфер- ных усло- виях (ОБ9) | | | | | X | | X | X | | X | X | |
Трубо- проводы (ОБ10) | | | | | X | | | X | X | | | |
Оборудо- вание про- межуточ- ного хранения, встроенное в процесс (ОБ11) | X | X | X | X | X | X | X | X | X | X | X | X |
Оборудо- вание для химических реакций (ОБ12) | | | | | X | X | X | X | X | X | | |
Оборудо- вание для физичес- кого или химичес- кого разделения веществ (ОБ13) | | | | | X | X | X | X | X | X | | |
Оборудо- вание для производ- ства и поставки энергии (ОБ14) | | | | | X | X | X | X | X | X | | |
Упако- вочное оборудова- ние (ОБ15) | | | X | X | X | | | X | X | | | |
Другое оборудова- ние (ОБ16) | | | | | X | X | X | X | X | X | | |
Матрица "Состояние вещества (СОСТ) -
критическое событие (КС)"
Состояние вещества | Критическое событие |
Разло- жение (КС1) | Взрыв (КС2) | Приведение материала в движение (переме- щение) воздухом (КС3) | Приведение материала в движение (переме- щение) жидкостью (КС4) | Начало пожара (КС5) | Трещина в корпусе (обшивке) в условиях газообраз- ной фазы (КС6) | Трещина в корпусе (обшивке) в условиях жидкой фазы (КС7) | Утечка жидкости из трубо- провода (КС8) | Утечка газа из трубо- провода (КС9) | Катастро- фический прорыв (КС10) | Разру- шение сосуда (КС11) | Разру- шение крыши (КС12) |
Твердая фаза (СОСТ1) | X | X | X | X | X | X | | | X | X | | |
Жидкая фаза (СОСТ2) | | | | | X | | X | X | | X | X | X |
Двухфаз- ное состо- яние (СОСТ3) | | | | | X | X | X | X | X | X | | |
Газ/пар (СОСТ4) | | | | | X | X | | | X | X | | |
4.6. Этап 5. Построение для каждого критического события дерева отказов
Общий вид структуры дерева отказов представлен на
рисунке 2. Дерево отказов ограничено пятью уровнями, связанными логическими И/ИЛИ в соответствии со следующим правилом: комбинация нежелательных событий (НС) приводит к детальным прямым причинам (ДПП), которые в свою очередь приводят к прямым причинам (ПП), вызывающим появление необходимых и достаточных причин (условий) (НДП), приводящих к наступлению критического события (КС).
Под нежелательным событием (НС) подразумевается самый глубокий причинный уровень в дереве отказов.
Рисунок 2. Структура дерева отказов
НС наиболее часто представляет родовые события, которые касаются организации или поведения людей, которые могут всегда рассматриваться как причина критического события.
ДПП - событие, которое приводит к прямым причинам, или когда прямая причина (ПП) является слишком общей, обеспечивает точность выявления истинной природы ПП.
ПП - непосредственная причина для необходимых и достаточных причин (условий) (НДП). Для данной НДП перечень ПП должен быть, по возможности, максимально полным.
НДП - непосредственная причина, которая приводит к критическому событию. Для данного критического события перечень НДП должен быть, по возможности, исчерпывающим. Это означает, что критическое событие произойдет только в том случае, если имеется по крайней мере одна НДП.
МИСУИ предлагает 14 родовых деревьев отказов. В
таблице 7 приведены деревья отказов, ассоциированные с критическими событиями.
Дерево отказов строится на основе дедуктивного подхода, то есть от критического события до нежелательного события.
Сначала идентифицируют НДП для критического события. На этой стадии рассматриваются только технические аспекты.
Пример - Непосредственное условие для термического разложения - это наличие термически чувствительного материала, используемого в непосредственной близости от теплового источника.
Второй этап включает в себя идентификацию причин, приводящих к НДП. Они называются прямыми причинами (ПП). Здесь также используется технический подход. Обозначение ПП, как правило, очень общее. Большинство из причин, рассматриваемых на этом уровне, это те, которые обычно рассматриваются в базах данных о несчастных случаях. Здесь рассматриваются такие прямые причины, как эрозия, коррозия, чрезмерное давление.
После этого выявляют детальные прямые причины (ДПП), являющиеся непосредственными причинами для ПП, например коррозия. Они могут включать в себя окружение, которое может быть коррозионным, или материалы, из которых состоит оборудование, могут обладать слабой защитой от коррозии.
На последнем этапе предлагают как можно больше общих причин, связывающих поведение людей и организационные факторы. Не ошибка человека является прямой причиной разрушения, а ее ПП или даже ДПП.
Пример - Ошибка человека может привести к переполнению, приводящему к превышению давления, что создает механические нагрузки для структур и приводит к разрушению корпуса.
По этой причине ошибки человека должны проявляться только на последнем уровне нежелательных событий (НС), а на предыдущем уровне должны указываться технические следствия этих ошибок.
Критические события и родовые деревья отказов
Обозначение | Критическое событие (КС) | Родовое дерево отказов (ДО) |
КС1 | Разложение | Химическое разложение. Разложение, связанное с точечным источником возгорания. Тепловое разложение |
КС2 | Взрыв | Взрыв взрывоопасного материала Взрыв (активная реакция) |
КС3 | Приведение материала в движение (перемещение) потоком воздуха | Приведение материала в движение воздушным потоком |
КС4 | Приведение материала в движение (перемещение) потоком жидкости | Приведение материала в движение потоком жидкости |
КС5 | Начало пожара (ПФЦ) | Начало пожара (ПФЦ) |
КС6 | Трещина в корпусе (обшивке) в условиях газообразной фазы | Большая трещина в корпусе или утечка из трубопровода. Средняя трещина в корпусе или утечка из трубопровода. Малая трещина в корпусе или утечка из трубопровода |
КС7 | Трещина в корпусе (обшивке) в условиях жидкой фазы | Большая трещина в корпусе или утечка из трубопровода. Средняя трещина в корпусе или утечка из трубопровода. Малая трещина в корпусе или утечка из трубопровода |
КС8 | Утечка жидкости из трубопровода | Большая трещина в корпусе или утечка из трубопровода. Средняя трещина в корпусе или утечка из трубопровода. Малая трещина в корпусе или утечка из трубопровода |
КС9 | Утечка газа из трубопровода | Большая трещина в корпусе или утечка из трубопровода. Средняя трещина в корпусе или утечка из трубопровода. Малая трещина в корпусе или утечка из трубопровода |
КС10 | Катастрофический прорыв | Катастрофический прорыв |
КС11 | Разрушение сосуда | Катастрофический прорыв |
КС12 | Разрушение крыши | Разрушение крыши |
Ошибки людей могут присутствовать на различных стадиях жизненного цикла предприятия: на этапе разработки конструкции, при производстве, строительстве, обслуживании, проведении операций. Они подразделяются на несколько видов: неосознанные ошибки, несоблюдение правил или процедур, враждебные намерения.
На этапе 5 необходимо ассоциировать деревья отказов с идентифицированными критическими событиями для выбранного типа оборудования.
Главная цель 5 этапа - построить дерево отказов, связав каждое критическое событие с выбранным оборудованием.
Родовые (общие) деревья отказов могут модифицироваться с целью их адаптации к характеристикам оборудования.
Также возможно построить несколько деревьев отказов для одного критического события для разных этапов жизненного цикла оборудования (ввод в эксплуатацию, обслуживание, вывод из эксплуатации и т.п.). Некоторые из причин могут быть удалены или добавлены. Более того, некоторые барьеры безопасности могут отсутствовать или активироваться в процессе этапов жизненного цикла либо может использоваться больше ручных операционных процедур, чем на операционном этапе, которые могут быть более автоматизированы.
И, наконец, родовые деревья отказов не должны противоречить другим методам оценки риска (подобно HAZOP или другим системным методам для идентификации причин инцидентов). Кроме того, метод HAZOP является дополнительным методом для предложенного родового дерева отказов для идентификации некоторых возможных случаев, особенно для процессного оборудования (подобно реакторам, ректификационным колонкам). Можно использовать и результаты предыдущих оценок риска для данных объектов.
Итак, эксперты должны предпринять следующие действия:
- для каждого критического события рассмотреть одно или несколько родовых деревьев отказов согласно приведенной в
таблице 7 информации;
- каждое родовое дерево отказов может быть рассмотрено в качестве перечня возможных причин и может быть модифицировано (причины добавлены или удалены) с целью его адаптации к конкретным характеристикам оборудования;
- если другие методы оценки риска предлагают дополнительные причины, они должны быть добавлены в дерево отказов.
Правая часть "песочных часов" - это дерево событий, идентифицирующее возможные последствия критических событий.
4.7. Этап 6. Построение дерева событий для каждого критического события
Структура дерева событий изображена на рисунке 3.
Рисунок 3. Структура дерева событий
КС - критическое событие (например, прорыв трубопровода) приводит ко вторичному критическому событию (ВКС) (например, образование лужи, струи, облака), потом к третичному критическому событию (ТКС) (возгорание лужи, струи), которые, в свою очередь, приводят к опасному феномену (ОФ) (горение лужи, горение резервуара, токсичное облако, разлет горящих частиц, повышение давления, взрыв пыли). Главное событие (ГС) определяется как оказывающее значимый эффект от опасного феномена для целевого объекта (человека, материального объекта, окружающей среды). К возможным значимым эффектам относятся:
- термическая радиация;
- превышение давления;
- выбросы;
- токсические эффекты (для человека и окружающей среды).
Метод построения дерева событий представлен на рисунке 4.
Рисунок 4. Схема шагов построения дерева событий
4.8. Этап 7. Построение для выбранного оборудования схемы "песочные часы"
Методология МИСУИ заканчивается построением схемы "песочные часы" для каждого выбранного оборудования. Каждая схема ассоциирована с критическим событием, с соответствующим деревом отказов (слева) и деревом событий (справа).
Для каждого выбранного оборудования число схем равно числу разработанных деревьев отказов. Это число может быть больше числа критических событий, потому что для некоторых критических событий может быть построено более чем одно дерево.
Схемы "песочные часы", таким образом, являются результатом методологии МИСУИ. Однако более значимыми являются сценарии развития инцидентов. Они являются предметом последующего этапа, а именно применения методологии идентификации эталонных сценариев инцидентов МИЭСИ.
[1] МЭК 61511-1:2003 Безопасность функциональная. Система
безопасности, обеспечиваемая приборами для
сектора обрабатывающей отрасли промышленности.
Часть 1. Требования к структуре, определениям,
системе и программному и аппаратному обеспечению
[2] МЭК 61511-2:2003 Безопасность функциональная. Системы
безопасности, обеспечиваемые приборами для
сектора обрабатывающей отрасли промышленности.
Часть 2. Руководящие указания к применению IEC
61511-1
[3] МЭК 61511-3:2003 Безопасность функциональная. Система
безопасности, обеспечиваемая приборами для
сектора обрабатывающей отрасли промышленности.
Часть 3. Руководство для определения необходимых
безопасных уровней целостности
[4] Директива EC 96/82/EC О контроле риска возникновения крупных аварий,
(Директива SEVESO II) связанных с опасными веществами
[5] Директива EC 67/548/EC Опасные вещества