Главная // Актуальные документы // ГОСТ Р (Государственный стандарт)СПРАВКА
Источник публикации
М.: Стандартинформ, 2020
Примечание к документу
Документ
введен в действие с 01.12.2010.
Название документа
"ГОСТ Р 53537-2009. Национальный стандарт Российской Федерации. Звуковое вещание. Основные электрические параметры каналов и трактов студийного качества (с полосой частот 20...20 000 Гц)"
(утв. и введен в действие Приказом Ростехрегулирования от 15.12.2009 N 799-ст)
"ГОСТ Р 53537-2009. Национальный стандарт Российской Федерации. Звуковое вещание. Основные электрические параметры каналов и трактов студийного качества (с полосой частот 20...20 000 Гц)"
(утв. и введен в действие Приказом Ростехрегулирования от 15.12.2009 N 799-ст)
Утвержден и введен в действие
по техническому регулированию
и метрологии
от 15 декабря 2009 г. N 799-ст
НАЦИОНАЛЬНЫЙ СТАНДАРТ РОССИЙСКОЙ ФЕДЕРАЦИИ
ЗВУКОВОЕ ВЕЩАНИЕ
ОСНОВНЫЕ ЭЛЕКТРИЧЕСКИЕ ПАРАМЕТРЫ КАНАЛОВ И ТРАКТОВ
СТУДИЙНОГО КАЧЕСТВА (С ПОЛОСОЙ ЧАСТОТ 20...20 000 Гц)
Sound broadcasting. Basic electric parametres
of channels and paths of studio quality
(with frequency band 20 ... 20 000 Hz)
ГОСТ Р 53537-2009
Дата введения
1 декабря 2010 года
1 РАЗРАБОТАН Федеральным государственным унитарным предприятием "Ленинградский отраслевой научно-исследовательский институт связи" (ФГУП ЛОНИИС)
2 ВНЕСЕН Техническим комитетом по стандартизации ТК 480 "Связь"
3 УТВЕРЖДЕН И ВВЕДЕН В ДЕЙСТВИЕ
Приказом Федерального агентства по техническому регулированию и метрологии от 15 декабря 2009 г. N 799-ст
4 ВВЕДЕН ВПЕРВЫЕ
5 ПЕРЕИЗДАНИЕ. Май 2020 г.
Правила применения настоящего стандарта установлены в статье 26 Федерального закона от 29 июня 2015 г. N 162-ФЗ "О стандартизации в Российской Федерации". Информация об изменениях к настоящему стандарту публикуется в ежегодном (по состоянию на 1 января текущего года) информационном указателе "Национальные стандарты", а официальный текст изменений и поправок - в ежемесячном информационном указателе "Национальные стандарты". В случае пересмотра (замены) или отмены настоящего стандарта соответствующее уведомление будет опубликовано в ближайшем выпуске ежемесячного информационного указателя "Национальные стандарты". Соответствующая информация, уведомление и тексты размещаются также в информационной системе общего пользования - на официальном сайте Федерального агентства по техническому регулированию и метрологии в сети Интернет (www.gost.ru)
Настоящий стандарт устанавливает номенклатуру и нормы на основные электрические параметры, определяющие качество каналов и трактов звукового вещания с полосой частот 20...20000 Гц.
Стандарт предназначен для регулирования отношений между операторами связи при установлении соединения, между оператором и пользователем - при предоставлении услуги связи в части выполнения технических требований к электрическим параметрам, определяющим качество каналов и трактов звукового вещания с полосой передаваемых частот 20...20000 Гц.
Настоящий стандарт используется при проектировании, вводе в эксплуатацию и техническом обслуживании каналов и трактов звукового вещания студийного качества (с полосой частот 20...20000 Гц), организуемых в наземных и спутниковых линиях на магистральной, внутризоновых и местных сетях связи.
Настоящий стандарт распространяется на услуги местной, внутризоновой, междугородной и международной сетей звукового вещания, независимо от используемой сетевой технологии, что способствует обеспечению целостности сетей звукового вещания, устойчивости работы сети, выполнению норм на основные электрические параметры при разработке и проектировании каналообразующей аппаратуры звукового вещания.
Показатели, определенные настоящим стандартом, являются базовыми для профессиональной и бытовой аппаратуры - проигрывателей компакт-дисков, усилителей сигналов звуковой частоты и другого оборудования соответствующего класса.
В настоящем стандарте использованы нормативные ссылки на следующие стандарты:
ГОСТ 15150 Машины, приборы и другие технические изделия. Исполнения для различных климатических районов. Категории, условия эксплуатации, хранения, транспортирования в части воздействия климатических факторов внешней среды
ГОСТ 22261 Средства измерений электрических и магнитных величин. Общие технические условия
ГОСТ Р 50712 Соединительные линии и аппаратные звукового вещания. Технические характеристики. Методы измерений
ГОСТ Р 52742 Каналы и тракты звукового вещания. Типовые структуры. Основные параметры качества. Методы измерений
Примечание - При пользовании настоящим стандартом целесообразно проверить действие ссылочных стандартов в информационной системе общего пользования - на официальном сайте Федерального агентства по техническому регулированию и метрологии в сети Интернет или по ежегодному информационному указателю "Национальные стандарты", который опубликован по состоянию на 1 января текущего года, и по выпускам ежемесячного информационного указателя "Национальные стандарты" за текущий год. Если заменен ссылочный стандарт, на который дана недатированная ссылка, то рекомендуется использовать действующую версию этого стандарта с учетом всех внесенных в данную версию изменений. Если заменен ссылочный стандарт, на который дана датированная ссылка, то рекомендуется использовать версию этого стандарта с указанным выше годом утверждения (принятия). Если после утверждения настоящего стандарта в ссылочный стандарт, на который дана датированная ссылка, внесено изменение, затрагивающее положение, на которое дана ссылка, то это положение рекомендуется применять без учета данного изменения. Если ссылочный стандарт отменен без замены, то положение, в котором дана ссылка на него, рекомендуется применять в части, не затрагивающей эту ссылку.
3 Термины, определения и сокращения
В настоящем стандарте применены следующие термины с соответствующими определениями:
3.1 звуковое вещание; ЗВ: Передача звуковой информации общего назначения широкому кругу территориально рассредоточенных слушателей.
3.2 передача: Отдельная законченная в тематическом отношении информация, предназначенная для звукового вещания.
3.3 программа: Совокупность передач, составленных по определенному плану.
3.4 электрический канал звукового вещания: Совокупность технических средств, при помощи которых электрические сигналы звукового вещания передаются с выхода микрофона или устройства воспроизведения звукового сигнала до входа фидера антенны передатчика или абонентской розетки тракта проводного вещания.
3.5 тракт формирования программ; ТФП: Часть электрического канала звукового вещания, которая начинается на выходе микрофона или устройства воспроизведения звуковых сигналов и заканчивается на выходе эфирной (центральной) аппаратной.
3.6 тракт первичного распределения программ звукового вещания; ТПРП: Часть электрического канала звукового вещания, которая начинается на выходе аппаратной радиодома и заканчивается выходом соединительной линии от междугородного канала звукового вещания (МКЗВ) к тракту вторичного распределения или к аппаратной радиодома.
3.7 тракт вторичного распределения программ; ТВРП: Часть электрического канала звукового вещания, которая начинается на выходе соединительной линии от ТФП или ТПРП и заканчивается входом фидера антенны передатчика или абонентской розеткой.
3.8 канал звукового вещания; КЗВ: Канал, образованный в цифровых или аналоговых системах передачи.
3.9 междугородный канал звукового вещания; МКЗВ: Канал между оконечной междугородней вещательной аппаратной различных городов.
3.10 соединительная линия; СЛ: Канал ограниченной протяженности между различными аппаратными, а также между аппаратной и передатчиком.
3.11 коммутационно-распределительная аппаратная; КРА: Техническая аппаратная, предназначенная для коммутации и распределения программ и передач звукового вещания к передатчикам, станциям проводного вещания и тракту формирования программ.
3.12 оконечная междугородная вещательная аппаратная; ОМВА: Аппаратная, размещенная в областном или республиканском центре, осуществляющая контроль, резервирование и коммутацию междугородных каналов звукового вещания и соединительных линий.
3.13 вещательная аппаратная; ВА: Техническая аппаратная, предназначенная для контроля, управления, коммутации и распределения программ потребителям, реализующая функции КРА, ОМВА, земной станции спутниковой системы связи и др.
3.14 аппаратура образования канала звукового вещания; АОКЗВ: Аппаратура, с помощью которой организуются каналы звукового вещания в цифровых или аналоговых системах передачи.
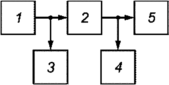
4.1 В общем виде структура электрического канала звукового вещания представлена на
рисунке 1 и состоит из тракта формирования программ, тракта первичного и тракта вторичного распределения программ.
Тракт формирования программ | | Тракт первичного распределения программ | | Тракт вторичного распределения программ |
Рисунок 1 - Электрический канал звукового вещания
4.2 Рассматриваемая полоса эффективно передаваемых частот 20...20000 Гц используется в первую очередь в тракте формирования и в тракте первичного распределения программ, в части создания, хранения и обмена программами студийного качества. При внедрении цифрового телерадиовещания - в трактах вторичного распределения программ (ТВРП).
4.3 Тракт формирования программ (ТФП) представляет собой часть электрического канала звукового вещания, который начинается на выходе микрофона или устройства воспроизведения звуковых сигналов и заканчивается на выходе аппаратной ТФП.
4.4 Тракт первичного распределения представляет собой часть электрического канала звукового вещания, который начинается на выходе аппаратной ТФП и заканчивается на выходе соединительной линии или канала звукового вещания, поступающего к тракту вторичного распределения программ ЗВ (радио- и телевизионные передатчики, системы распределения кабельного телевидения).
4.5 Для электрических каналов звукового вещания, трактов и отдельных звеньев устанавливаются четыре категории качества:
- с полосой частот до 20 кГц (студийное качество);
- с полосой частот до 15 кГц (высший класс);
- с полосой частот до 10 кГц (первый класс);
- с полосой частот до 7 (6,3) кГц (второй класс).
4.6 Нормы на электрические параметры каналов и трактов звукового вещания с полосами частот до 15 кГц (высший класс), до 10 кГц (первый класс) и до 7 (6,3) кГц (второй класс) приведены в ГОСТ Р 52742 и ГОСТ Р 50712.
В данном стандарте нормируются электрические параметры каналов и трактов звукового вещания с полосами частот до 20 кГц (студийное качество).
5 Основные электрические параметры качества каналов и трактов звукового вещания с полосой передаваемых частот 20...20000 Гц
5.1 Нормируются следующие основные электрические параметры каналов и трактов, определяющие качество передачи сигналов звукового вещания (класс) с учетом ГОСТ Р 52742, ГОСТ Р 50712, [
1 -
9]:
- полоса эффективно передаваемых частот;
- отклонение выходного уровня сигнала ЗВ от номинального значения;
- неравномерность амплитудно-частотной характеристики (АЧХ);
- коэффициент нелинейных искажений по гармонически и комбинационным составляющим;
- защищенность максимального сигнала ЗВ от взвешенного шума;
- защищенность максимального сигнала ЗВ от внятной переходной помехи;
- разность уровней между сигналами ЗВ на выходах каналов A и B, образующих стереопару;
- разность фаз между сигналами ЗВ на выходах каналов A и B, образующих стереопару;
- защищенность от продуктов внутриполосной перекрестной модуляции второго и третьего порядка;
- защищенность от продуктов внеполосной перекрестной модуляции первого и второго порядка.
5.2 Нормы на электрические параметры качества каналов и трактов звукового вещания с полосой частот до 20 кГц приведены в
таблице 1.
Таблица 1
Нормы на электрические параметры качества каналов и трактов
с полосой передаваемых частот до 20 кГц
Наименование параметра | Норма |
Полоса эффективно передаваемых частот, кГц | 0,02 - 20 |
Отклонение выходного уровня сигнала ЗВ от номинального значения, дБ | +/- 0,2 |
Неравномерность АЧХ, дБ, не более, в полосах частот, кГц: | |
0,02 - 0,125 | От +0,1 до -0,5 |
0,125 - 10 | +/- 0,2 |
10 - 20 | От +0,1 до -0,5 |
Коэффициент нелинейных искажений, %, не более, в полосах частот, Гц: | |
до 125 | 0,05 |
свыше 125 | 0,02 |
Защищенность максимального сигнала от взвешенного шума, дБ, не менее | 70 |
Защищенность максимального сигнала от внятной переходной помехи, дБ, не менее | 84 |
Разность уровней на выходах каналов A и B стереопары, дБ, не более, в полосах частот, кГц: | |
0,02 - 0,125 | 0,5 |
0,125 - 10 | 0,3 |
10 - 20 | 1,0 |
Разность фаз на выходах каналов A и B стереопары, град., не более в полосе частот, кГц: | |
0,02 - 20 | 6,0 |
Защищенность от продуктов внутриполосной перекрестной модуляции, дБ, не менее | 46 |
Защищенность от продуктов внеполосной перекрестной модуляции, дБ, не менее | 66 |
6.1 Подготовка к измерениям
6.1.1 Все средства измерений (СИ) должны иметь сертификат об утверждении типа СИ и иметь свидетельство о поверке или калибровке.
6.1.2 СИ и испытательное оборудование следует использовать в условиях и режимах, указанных в технической документации на них. При условиях, отличающихся от нормальных по
ГОСТ 22261, необходимо учитывать дополнительную погрешность измерительной аппаратуры.
6.1.3 Корпуса всех устройств, входящих в схему измерения, должны быть заземлены.
6.1.4 Включение СИ в схему измерения должно производиться короткими экранированными проводами.
6.1.5 СИ с несимметричными входом или выходом должны подключаться к симметричным цепям через симметрирующие трансформаторы.
6.1.6 Если не оговорены особые условия, испытания каналов, трактов звукового вещания и их звеньев должны производиться в нормальных условиях.
За нормальные условия принимают:
- номинальное полное сопротивление источника сигнала;
- номинальное сопротивление нагрузки в соответствии с техническим описанием (ТО) на измеряемый тракт (канал);
- частоту входного сигнала 1000 (800) Гц;
- номинальное напряжение источника питания в соответствии с ТО на измеряемый тракт (канал);
- нормальные климатические условия в соответствии с
ГОСТ 15150.
6.1.7 Подготовку к измерениям параметров качества ТФП и его звеньев осуществляют по
[1] и
[2].
6.2 Требования к средствам измерений
6.2.1 Общие требования к СИ:
- диапазон частот ....................................... | не менее 20 - 20000 Гц; |
- модуль полного входного сопротивления СИ для высокоомного входа должен превышать модуль полного электрического сопротивления измеряемой цепи не менее чем в 20 раз; |
- суммарная погрешность СИ .................... | не более 0,3 от допуска на измеряемый параметр. |
6.2.2 Низкочастотный генератор сигналов:
- основная погрешность по частоте .......... | не более +/- (2 + 50/f), где f - показания прибора, Гц; |
- коэффициент гармоник ............................. | не более 1%; |
- максимальное значение выходного напряжения ................................................................. | не менее 8 В; |
- выходное сопротивление ......................... | 600 Ом. |
6.2.3 Вольтметр переменного напряжения для измерения сигналов синусоидальной формы:
- диапазон измеряемых напряжений ........ | от 1 мВ до 40 В; |
- погрешность измерения .......................... | не более +/- 0,5%. |
6.2.4 Вольтметр переменного напряжения для измерений шумовых сигналов:
- диапазон измеряемых напряжений ........ | от 100 мкВ до 40 В; |
- погрешность измерений .......................... | не более +/- 4%. |
6.2.5 Селективный вольтметр:
- диапазон измеряемых напряжений ........ | от 1 мкВ до 1 В; |
- погрешность измерений .......................... | не более 10%. |
6.2.6 Измеритель нелинейных искажений:
- диапазон измеряемых величин ................ | от 0,05 до 15%; |
- основная погрешность измерений .......... | не более +/- (0,05KГК + 0,05%). |
- псофометр должен иметь фильтр, АЧХ которого приведен на рисунке 2, в соответствии с [3]. |
- диапазон измеряемых напряжений .......... | от 100 мкВ до 5 В; |
- основная погрешность измерений ............ | не более 6%. |
Рисунок 2 - АЧХ псофометра в соответствии с
[3]
6.2.8 Электронно-счетный частотомер:
- диапазон входных напряжений ............... | от 0,1 до 5 В; |
- основная погрешность измерений частоты ............................................................................. | не более +/- 0,1%. |
6.2.9 Измеритель разности фаз:
- диапазон измерения углов фазового сдвига сигналов в рабочем диапазоне частот от 0° до 90°; |
- разрешающая способность индикатора ..... | 0,01; |
- диапазон входных напряжений ................. | от 2 мВ до 40 В; |
- погрешность измерений ............................ | не более +/- 0,1°. |
6.2.10 Анализатор спектра:
- диапазон частот .......................................... | от 20 Гц до 600 кГц; |
- полоса обзора .............................................. | от 50 Гц до 200 кГц; |
- динамический диапазон ............................. | не менее 70 дБ. |
6.3 Проведение измерений и обработка результатов
6.3.1 Для составных каналов и трактов звукового вещания значения сквозных параметров на неравномерность АЧХ, коэффициент нелинейных искажений, разность уровней на выходах каналов A и B и разность фаз в каналах A и B определяют в соответствии с
приложением А.
6.3.2 Отклонение относительного уровня на выходе канала (тракта) от номинального значения измеряют по схеме, приведенной на
рисунке 3. На вход канала (тракта) 2 подают измерительный сигнал с частотой 1000 (800) Гц и уровнем на 21 дБ ниже номинального значения максимального уровня. Измерение уровней на входе и выходе канала (тракта) осуществляют параллельно подключенными к ним вольтметрами с высоким входным сопротивлением.
1 - низкочастотный генератор сигналов; 2 - измеряемый тракт
или звено; 3, 4 - вольтметры; 5 - резистор с номинальным
сопротивлением нагрузки
Рисунок 3 - Схема измерения неравномерности
амплитудно-частотной характеристики
6.3.3 Неравномерность амплитудно-частотной характеристики измеряют по схеме, приведенной на
рисунке 3. На вход канала (тракта)
2 подают измерительный сигнал с уровнем на 21 дБ ниже номинального значения максимального уровня.
Напряжение на входе тракта должно поддерживаться с точностью не хуже 0,3 от допустимого изменения коэффициента передачи, при этом отклонение напряжения не должно превышать +/- 0,2 дБ.
Измерение проводят на частотах: 20, 40, 63, 125, 250, 500, 1000 (800), 2000, 4000, 8000, 10000, 15000, 20000
Особые условия измерения: положение регуляторов устройств предыскажения и шумоподавления должно соответствовать техническому описанию аппаратуры.
Неравномерность амплитудно-частотной характеристики

определяют по формулам:
при градуировке шкалы вольтметра в вольтах

, (1)
при градуировке шкалы вольтметра в децибелах

, (2)
где Uf (Nf) - уровень (напряжение) сигнала на измеряемой частоте;
U1000(800) (N1000(800)) - уровень (напряжение) сигнала на частоте 1000 Гц (800 Гц).
6.3.4 Коэффициент нелинейных искажений измеряют по схеме, приведенной на
рисунке 4.
1 - низкочастотный генератор сигналов; 2 - измеряемый тракт
или звено; 3 - вольтметр; 4 - измеритель нелинейных
искажений или анализатор спектра; 5 - резистор
с номинальным сопротивлением нагрузки
Рисунок 4 - Схема измерения коэффициента
нелинейных искажений
На вход канала (тракта) подают измерительный сигнал с номинальным значением максимального уровня. Длительность подачи сигнала не должна превышать 5 с. Коэффициент гармоник генератора не должен превышать 0,3 минимального значения коэффициента нелинейных искажений измеряемого канала (тракта).
Для измерений коэффициента нелинейных искажений должен быть использован анализатор спектра или измеритель нелинейных искажений.
Особые условия измерений должны соответствовать техническому описанию аппаратуры. При измерениях усилителей звуковой частоты, работающих в ключевом режиме, применяется только анализатор спектра.
При измерении анализатором спектра коэффициент нелинейных искажений KГ в процентах вычисляют по формуле

, (3)
где U1, U2, U3 - соответственно величины напряжения основного сигнала и его второй и третьей гармоник.
Измерения проводят на частотах:
- 20, 40, 63, 125, 250, 500,1000 (800), 2000, 4000, 8000 Гц.
Особые условия измерений должны соответствовать техническому описанию аппаратуры. В КЗВ, содержащих устройства частотного предыскажения, измерения проводят на частоте 800 Гц. В цифровых КЗВ измерения проводят на частоте 2,1 кГц.
6.3.5 Измерение взвешенного шума производят по схеме, приведенной на
рисунке 5.
1 - резистор - эквивалент сопротивления источника;
2 - измеряемый тракт или звено; 3 - резистор
с номинальным сопротивлением нагрузки; 4 - псофометр
Рисунок 5 - Схема измерения взвешенного шума
Вход канала (тракта) нагружают сопротивлением (600 +/- 30) Ом. Взвешенный шум измеряют псофометром, отвечающим требованиям
п. 6.2.7.
Особые условия измерений должны соответствовать техническому описанию аппаратуры. (В КЗВ, содержащих устройства шумоподавления, необходимо производить либо их отключение, либо блокировку.)
Защищенность (A) от взвешенного шума вычисляют по формуле
A = NМАКС.СИГН - NШ, (4)
где NМАКС, СИГН - максимальный уровень сигнала;
NШ - измеренный уровень шума,
или

, (5)
где UМАКС.СИГН - максимальное напряжение сигнала;
UШ - напряжение шума.
6.3.6 Защищенность максимального сигнала от внятных переходных помех измеряют по схеме, приведенной на
рисунке 6.
1 - низкочастотный генератор сигналов; 2, 3 - вольтметры;
4 - тракт, вносящий помеху; 5, 6 - резисторы с номинальным
сопротивлением нагрузки; 7 - резистор - эквивалент
сопротивления источника; 8 - измеряемый тракт или звено;
9 - анализатор спектра или селективный вольтметр
Рисунок 6 - Схема измерения защищенности
максимального сигнала от внятных переходных помех
Вход канала (тракта) 8, подверженного влиянию, нагружают резистором с сопротивлением, эквивалентным сопротивлению источника сигнала. Выходы влияющего канала (тракта) 4 и измеряемого канала (тракта) 8 нагружают резисторами с номинальным сопротивлением нагрузки. Защищенность максимального сигнала от внятных переходных помех определяют на частоте 1000 (800) Гц. На вход влияющего канала (тракта) 4 подают измерительный сигнал с номинальным значением максимального уровня. Длительность подачи сигнала не должна превышать 5 с.
На выходе канала (тракта), подверженного влиянию, измеряют уровень внятной переходной помехи анализатором спектра или селективным вольтметром.
Особые условия измерений должны соответствовать техническому описанию аппаратуры. (В КЗВ, содержащих устройства шумоподавления, необходимо производить либо их отключение, либо блокировку, пересчитывая соответственно норму. В КЗВ, содержащих устройства предыскажения, измерительную частоту допускается изменять в зависимости от их характеристик.)
Защищенность (A) от внятных переходных помех вычисляют по формуле

, (6)
где UМАКС.СИГН - максимальное напряжение сигнала;
UВН.ПЕРЕХ - напряжение внятной переходной помехи,
или
A = NМАКС. СИГН - NВН. ПЕРЕХ, (7)
где NМАКС.СИГН - максимальный уровень сигнала;
NВН.ПЕРЕХ - измеренный уровень внятной переходной помехи.
6.3.7 Разность уровней на выходах каналов A и B, образующих стереопару, определяют расчетным путем при сравнении амплитудно-частотных характеристик данных каналов (трактов). Методика измерения АЧХ изложена в
п. 6.3.3. Измерения проводят по схеме, приведенной на
рисунке 7.
1 - низкочастотный генератор сигналов; 2, 7 - вольтметр;
3 - канал A; 4 - канал B; 5, 6 - резисторы с номинальным
сопротивлением нагрузки
Рисунок 7 - Схема измерения разности уровней сигналов
на выходах каналов A и B
6.3.8 Разность фаз на выходах каналов A и B, образующих стереопару, измеряют при подаче на вход обоих каналов (трактов) измерительного сигнала с уровнем на 21 дБ ниже номинального значения максимального уровня. Измерения проводят фазометром на частотах: 20, 40, 1000 (800), 15000, 20000 кГц. Измерения проводят по схеме, приведенной на
рисунке 8.
1 - низкочастотный генератор сигналов; 2 - вольтметр;
3 - канал A; 4 - канал B; 5, 6 - резисторы
с номинальным сопротивлением нагрузки; 7 - фазометр
Рисунок 8 - Схема измерения разности фаз
на выходах каналов A и B
6.3.9 Для определения защищенности сигнала ЗВ от продуктов внутриполосной перекрестной модуляции второго и третьего порядка и внеполосной перекрестной модуляции первого и второго порядка измеряют паразитные сигналы на частотах:

, (8)
fd = nf0 +/- fa, (9)
где

,
fd - частоты, на которых измеряются продукты перекрестной модуляции;
f0 - частота дискретизации;
fi - частоты внутриполосных паразитных сигналов;
fa - частоты внеполосных паразитных сигналов.
Таблица 2
Значения частот сигналов при измерении продуктов
внутриполосной перекрестной модуляции
Тип канала 0,02 - 20,0 кГц | Измерительные частоты, кГц |
n = 2 | n = 3 |
fi | f'd | fi | f'd |
f0 = 48 кГц | 15 | 18 | 10 | 18 |
18 | 12 | 18 | 6 |
Измерения проводят по схеме, приведенной на
рисунке 9. На вход КЗВ, СЛ подают измерительный сигнал уровнем 0 дБмОЗ с точностью не хуже +/- 0,1 дБ. Коэффициент гармоник генератора звуковых частот не должен превышать 0,3 от минимального значения коэффициента нелинейных искажений измеряемого канала звукового вещания.
1 - низкочастотный генератор сигналов; 2 - селективный
вольтметр; 3 - частотомер; 4 - канал звукового вещания;
5 - анализатор спектра или селективный вольтметр;
6 - резистор с номинальным сопротивлением нагрузки
Рисунок 9 - Схема измерения защищенности сигналов ЗВ
от продуктов перекрестной модуляции
Частота измерительного сигнала устанавливается с точностью не хуже 0,1% от частоты дискретизации f0.
Значения частот
fa и
fd приведены в
таблице 3.
Таблица 3
Значения частот сигналов при измерении продуктов
внеполосной перекрестной модуляции
Тип канала 0,02 - 20,0 кГц | Измерительные частоты, кГц |
n = 1 | n = 2 |
fa | fd | fa | fd |
f0 = 48 кГц | 47 | 1 | 95 | 1 |
49 | 1 | 97 | 1 |
Величину защищенности (при измерении уровней паразитных сигналов) вычисляют по формулам:
- для внутриполосной перекрестной модуляции

; (10)
- для внеполосной перекрестной модуляции:

, (11)
где

,

- уровни продуктов внутриполосной и внеполосной модуляций, соответственно;

- уровень внутриполосных измерительных сигналов;

- уровень внеполосных измерительных сигналов.
При измерении напряжения паразитных сигналов величину защищенности определяют по формулам:
- для внутриполосной перекрестной модуляции

; (12)
- для внеполосной перекрестной модуляции

, (13)
где

- напряжение внутриполосных измерительных сигналов;

- напряжение внеполосных измерительных сигналов;

и

- напряжения продуктов внутриполосной и внеполосной модуляций, соответственно.
(рекомендуемое)
ЗАКОНЫ СУММИРОВАНИЯ ЗНАЧЕНИЙ ЭЛЕКТРИЧЕСКИХ ПАРАМЕТРОВ
КАНАЛОВ И ТРАКТОВ ЗВУКОВОГО ВЕЩАНИЯ, СОСТОЯЩИХ
ИЗ ОТДЕЛЬНЫХ ЗВЕНЬЕВ
А.1 Для составных каналов и трактов звукового вещания значения сквозных параметров на неравномерность АЧХ, коэффициент нелинейных искажений, разность уровней на выходах каналов A и B и разность фаз в каналах A и B определяют геометрическим суммированием норм на отдельные звенья по формуле

. (А.1)
Примечание - Неравномерность АЧХ определяют отдельно для положительных и отрицательных значений.
А.2 Нормы на величину защищенности от взвешенного и невзвешенного шумов (A) для каналов и трактов определяют энергетическим суммированием шумов отдельных звеньев по формуле

, (А.2)
где n - число звеньев в тракте или канале.
А.3 Защищенность канала или тракта от внятной переходной помехи принимают равной наименьшему значению защищенности для звеньев, составляющих канал или тракт.
А.4 Для каналов звукового вещания (кроме каналов, образованных в цифровых трактах систем передачи) протяженностью больше 2500 км защищенность от взвешенного и невзвешенного шумов должна рассчитываться в соответствии с принятым законом суммирования за вычетом следующей поправки:

, (А.3)
где l - длина нормируемого канала.
| ОСТ 58-10-92 | Тракт формирования программ звукового вещания. Основные параметры и методы измерений |
| ОСТ 58-22-00 | Техническая база производства радиопродукции. Общие требования. Основные параметры. Классификация уровней качества |
| Рекомендация МСЭ-R BS.468-4 | Измерение уровня напряжения шума звуковой частоты в звуковом радиовещании |
[4] | Рекомендация МСЭ-Т J.52 | Цифровая передача высококачественных радиовещательных сигналов с использованием одного, двух или трех каналов 64 кбит/с для одного монофонического сигнала (или до шести таких каналов для одного стереофонического сигнала) |
[5] | ETSI. EN 300 401 | Radio Broadcasting Systems; Digital Audio Broadcasting (DAB) to mobile, portable and fixed receivers |
[6] | ISO/IEC 14496-3:2005 | Information technology - Coding of audio-visual objects - Part 3: Audio |
[7] | ISO/IEC 11172-3:1993 | Information technology - Coding of moving pictures and associated audio for digital storage media at up to about 1.5 Mbit/s - Part 3: Audio |
[8] | ISO/IEC 13818-1:2000 | Information technology - Generic coding of moving pictures and associated audio information - Part 1: Systems |
| ISO/IEC 13818-3:1998 | Information technology - Generic coding of moving pictures and associated audio information - Part 3: Audio |
УДК 621.396.67.091.2:006.354 | |
Ключевые слова: звуковое вещание, электрические параметры, каналы и тракты, студийное качество, требования |