Главная // Актуальные документы // ГОСТ Р (Государственный стандарт)СПРАВКА
Источник публикации
М.: Стандартинформ, 2015
Примечание к документу
Документ
введен в действие с 01.06.2013.
Название документа
"ГОСТ Р МЭК 61800-2-2012. Национальный стандарт Российской Федерации. Системы силовых электроприводов с регулируемой скоростью. Часть 2. Общие требования. Номинальные технические характеристики низковольтных систем силовых электроприводов переменного тока с регулируемой частотой"
(утв. и введен в действие Приказом Росстандарта от 20.09.2012 N 376-ст)
"ГОСТ Р МЭК 61800-2-2012. Национальный стандарт Российской Федерации. Системы силовых электроприводов с регулируемой скоростью. Часть 2. Общие требования. Номинальные технические характеристики низковольтных систем силовых электроприводов переменного тока с регулируемой частотой"
(утв. и введен в действие Приказом Росстандарта от 20.09.2012 N 376-ст)
Утвержден и введен в действие
агентства по техническому
регулированию и метрологии
от 20 сентября 2012 г. N 376-ст
НАЦИОНАЛЬНЫЙ СТАНДАРТ РОССИЙСКОЙ ФЕДЕРАЦИИ
СИСТЕМЫ СИЛОВЫХ ЭЛЕКТРОПРИВОДОВ С РЕГУЛИРУЕМОЙ СКОРОСТЬЮ
ЧАСТЬ 2
ОБЩИЕ ТРЕБОВАНИЯ
НОМИНАЛЬНЫЕ ТЕХНИЧЕСКИЕ ХАРАКТЕРИСТИКИ
НИЗКОВОЛЬТНЫХ СИСТЕМ СИЛОВЫХ ЭЛЕКТРОПРИВОДОВ
ПЕРЕМЕННОГО ТОКА С РЕГУЛИРУЕМОЙ ЧАСТОТОЙ
Adjustable speed electrical power drive systems. Part 2.
General requirements. Rating specifications for low voltage
adjustable frequency a.c. power drive systems
IEC 61800-2:1998
Adjustable speed electrical power drive systems - Part 2:
General requirements - Rating specifications for low voltage
adjustable frequency a.c. power drive systems
(IDT)
ГОСТ Р МЭК 61800-2-2012
Дата введения
1 июня 2013 года
1 ПОДГОТОВЛЕН Федеральным государственным бюджетным образовательным учреждением высшего профессионального образования "Национальный исследовательский университет "МЭИ" (ФГБОУВПО "НИУ "МЭИ") и Федеральным государственным унитарным предприятием "Всероссийский научно-исследовательский институт стандартизации и сертификации в машиностроении" (ВНИИНМАШ) на основе собственного аутентичного перевода на русский язык международного стандарта, указанного в
пункте 4
2 ВНЕСЕН Техническим комитетом по стандартизации ТК 333 "Вращающиеся электрические машины"
3 УТВЕРЖДЕН И ВВЕДЕН В ДЕЙСТВИЕ
Приказом Федерального агентства по техническому регулированию и метрологии от 20 сентября 2012 г. N 376-ст
4 Настоящий стандарт идентичен международному стандарту МЭК 61800-2:1998 "Системы силовых электроприводов с регулируемой скоростью. Часть 2. Общие требования. Номинальные технические характеристики низковольтных систем силовых электроприводов переменного тока с регулируемой частотой" (IEC 61800-2:1998 "Adjustable speed electrical power drive systems - Part 2: General requirements - Rating specifications for low voltage adjustable frequency a.c. power drive systems").
При применении настоящего стандарта рекомендуется использовать вместо ссылочных международных стандартов соответствующие им национальные стандарты Российской Федерации и межгосударственные стандарты, сведения о которых приведены в дополнительном
приложении ДА
5 ВВЕДЕН ВПЕРВЫЕ
Правила применения настоящего стандарта установлены в ГОСТ Р 1.0-2012 (раздел 8). Информация об изменениях к настоящему стандарту публикуется в ежегодном (по состоянию на 1 января текущего года) информационном указателе "Национальные стандарты", а официальный текст изменений и поправок - в ежемесячном информационном указателе "Национальные стандарты". В случае пересмотра (замены) или отмены настоящего стандарта соответствующее уведомление будет опубликовано в ближайшем выпуске ежемесячного информационного указателя "Национальные стандарты". Соответствующая информация, уведомления и тексты размещаются также в информационной системе общего пользования - на официальном сайте Федерального агентства по техническому регулированию и метрологии в сети Интернет (www.gost.ru)
Настоящий стандарт распространяется на системы регулируемых электроприводов переменного тока общего назначения, питающиеся от напряжения переменного тока до 1000 В частотой 50 или 60 Гц, включающие в себя силовой преобразователь линейного напряжения сети в линейное напряжение питания двигателя с частотой до 600 Гц, устройства управления и двигатели переменного тока. Стандарт не распространяется на тяговые электроприводы электрического транспорта.
Вопросы электромагнитной совместимости (ЭМС) рассмотрены в МЭК 61800-3.
В настоящем стандарте рассмотрены характеристики преобразователей и их взаимосвязь с системой комплектного привода переменного тока, а также установлены требования к их рабочим характеристикам относительно паспортных данных, условий нормальной работы, условий перегрузки, способности выдержать скачки напряжения, устойчивости, защиты, заземления сети переменного тока и испытаний. Кроме того, даны рекомендации по применению, стратегии управления, диагностике и конфигурации системы.
Настоящий стандарт характеризует комплектную систему силового привода переменного тока в терминах ее быстродействия, а не в терминах отдельных подсистем функциональных устройств.
В настоящем стандарте использованы нормативные ссылки на следующие стандарты:
МЭК 60034-1:2004
<*> Машины электрические вращающиеся. Часть 1. Номинальные значения параметров и эксплуатационные характеристики (IEC 60034-1:2004, Rotating electrical machines - Part 1: Rating and performance)
МЭК 60034-2-1:2007 Машины электрические вращающиеся. Часть 2-1. Стандартные методы определения потерь и коэффициента полезного действия по испытаниям (за исключением машин для подвижного состава) (IEC 60034-2-1:2007, Rotating electrical machines. Part 2-1: Standards methods for determining losses and efficiency from tests (excluding machines for traction vehicles))
МЭК 60034-9:1997
<*> Машины электрические вращающиеся. Часть 9. Предельные уровни шума (IEC 60034-9:1997, Rotating electrical machines - Part 9: Noise limits)
МЭК 60038:1983 <*> Напряжения стандартные по МЭК (IEC 60038:1983, IEC standard voltages)
--------------------------------
<*> МЭК 60034-1:2004, МЭК 60034-9:1997 и МЭК 60038:1983 заменены на МЭК 60034-1:2010, МЭК 60034-9:2007 и МЭК 60038:2009 соответственно.
Для однозначного соблюдения требований настоящего стандарта, выраженных в ссылках, рекомендуется использовать только данный ссылочный стандарт.
МЭК 60050-111:1996 Международный электротехнический словарь. Глава 111: Физика и химия (IEC 60050-111:1996, International Electrotechnical Vocabulary (IEV) - Part 111: Physics and chemistry)
МЭК 60050-151:2001 Международный электротехнический словарь. Глава 151: Электрические и магнитные устройства (IEC 60050-151:2001, International Electrotechnical Vocabulary (IEV) - Part 151: Electrical and magnetic devices)
МЭК 60050-441:1984 Международный электротехнический словарь. Глава 441: Коммутационная аппаратура, аппаратура управления и предохранители (IEC 60050-441:1984, International Electrotechnical Vocabulary (IEV) - Part 441: Switchgear, controlgear and fuses)
МЭК 60050-551:1998 Международный электротехнический словарь. Глава 551. Силовая электроника (IEC 60050-551:1998, International Electrotechnical Vocabulary (IEV) - Part 551: Power electronics)
МЭК 60050-601:1985 Международный электротехнический словарь. Глава 601. Производство, передача и распределение электроэнергии. Общие положения (IEC 60050-601:1985, International Electrotechnical Vocabulary (IEV) - Part 601: Generation, transmission and distribution of electricity - General)
МЭК 60076-1:2000 Трансформаторы силовые. Часть 1. Общие положения (IEC 60076-1:2000, Power transformers - Part 1: General)
МЭК 60076-2:1993 Трансформаторы силовые. Часть 2. Повышение температуры (IEC 60076-2:1993, Power transformers - Part 2: Temperature rise)
МЭК 60076-3:2000 Трансформаторы силовые. Часть 3. Уровни изоляции, испытания изоляции на пробой и наружные воздушные зазоры (IEC 60076-3:2000, Power transformers - Part 3: Insulation levels, dielectric tests and external clearances in air)
МЭК 60076-5:2000 Трансформаторы силовые. Часть 5. Стойкость к короткому замыканию (IEC 60076-5:2000, Power transformers - Part 5: Ability to withstand short circuit)
МЭК 60076-8:1997 Трансформаторы силовые. Руководство по применению (IEC 60076-8:1997, Power transformers - Application guide)
МЭК 60146-1-1:1991
<*> Преобразователи полупроводниковые. Часть 1-1. Технические условия на основные требования (IEC 60146-1-1:1991, Semiconductor convertors; general requirements and line commutated convertors - Part 1-1: Specifications of basic requirements)
МЭК/ТО 60146-1-2:1991
<*> Преобразователи полупроводниковые. Часть 1-2. Руководство по применению (IEC/TR 60146-1-2:1991, Semiconductor convertors; general requirements and line commutated convertors - Part 1-2: Application guide)
МЭК 60146-1-3:1991 Преобразователи полупроводниковые. Часть 1-3. Трансформаторы и катушки индуктивности (IEC 60146-1-3:1991, Semiconductor convertors; general requirements and line commutated convertors - Part 1-3: Transformers and reactors)
МЭК 60204-1:1992
<*> Электрооборудование промышленных машин. Часть 1. Общие требования (IEC 60204-1:1992, Electrical equipment of industrial machines - Part 1: General requirements)
МЭК 60529:1989 Степени защиты, обеспечиваемые корпусами (Код IP) (IEC 60529:1989, Degrees of protection provided by enclosures (IP code))
МЭК 60664-1:2000 <*> Координация изоляции для оборудования в низковольтных системах. Часть 1. Принципы, требования и испытания (IEC 60664-1:2000, Insulation coordination for equipment within low-voltage systems - Part 1: Principles, requirements and tests)
--------------------------------
<*> МЭК 60146-1-1:1991, МЭК/ТО 60146-1-2:1991, МЭК 60204-1:1992 и МЭК 60664-1:2000 заменены на МЭК 60146-1-1:2009, МЭК/ТО 60146-1-2:2011, МЭК 60204-1:2005 и МЭК 60664-1:2007 и соответственно.
Для однозначного соблюдения требований настоящего стандарта, выраженных в ссылках, рекомендуется использовать только данный ссылочный стандарт.
МЭК 60721-3-1:1997 Классификация внешних воздействующих факторов. Часть 3. Классификация групп параметров окружающей среды и их степеней жесткости. Раздел 1. Хранение (IEC 60721-3-1:1997, Classification of environmental conditions - Part 3: Classification of groups of environmental parameters and their severities - Section 1: Storage)
МЭК 60721-3-2:1997 Классификация внешних воздействующих факторов. Часть 3. Классификация групп параметров окружающей среды и их степеней жесткости. Раздел 2. Транспортирование (IEC 60721-3-2:1997, Classification of environmental conditions - Part 3: Classification of groups of environmental parameters and their severities - Section 2: Transportation)
МЭК 60721-3-3:1994 Классификация внешних воздействующих факторов. Часть 3. Классификация групп параметров окружающей среды и их степеней жесткости. Раздел 3. Эксплуатация в стационарных условиях в местах, защищенных от непогоды (IEC 60721-3-3:1994, Classification of environmental conditions - Part 3: Classification of groups of environmental parameters and their severities - Section 3: Stationary use at weather protected locations)
МЭК 60747 (все части) Приборы полупроводниковые. Дискретные приборы и интегральные схемы (IEC 60747 (all parts), Semiconductor devices - Discrete devices and integrated circuits)
МЭК 61000-2-4:1994
<*> Электромагнитная совместимость. Часть 2. Условия окружающей среды. Раздел 4. Уровни совместимости для низкочастотных проводимых помех в промышленных установках (IEC 61000-2-4:1994, Electromagnetic compatibility (EMC) - Part 2: Environment - Section 4: Compatibility levels in industrial plants for low-frequency conducted disturbances)
МЭК 61000-4-7:1991
<*> Электромагнитная совместимость. Часть 4. Методики испытаний и измерений. Раздел 7. Общее руководство по измерениям и приборам для измерения гармоник и промежуточных гармоник для систем энергоснабжения и связанного с ним оборудования (IEC 61000-4-7:1991, Electromagnetic compatibility (EMC) - Part 4: Testing and measuring techniques - Section 7: General guide on harmonics and interharmonics measurements and instrumentation, for power supply systems and equipment connected thereto)
МЭК 61800-3:1996
<*> Системы электроприводов с регулируемой скоростью. Часть 3. Стандартные требования к электромагнитной совместимости продукции и специальные методы испытаний (IEC 61800-3:1996, Adjustable speed electrical power drive systems - Part 3: EMC product standard including specific test methods)
Руководство МЭК 106:1989 <*> Руководство по определению условий окружающей среды для определения эксплуатационных характеристик оборудования (IEC Guide 106:1989, Guide for specifying environmental conditions for equipment performance rating)
--------------------------------
<*> МЭК 61000-2-4:1994, МЭК 61000-4-7:1991, МЭК 61800-3:1996 и Руководство МЭК 106:1989 заменены на МЭК 61000-2-4:2002, МЭК 61000-4-7:2002, МЭК 61800-3:2012 и Руководство МЭК 106:1996 соответственно.
Для однозначного соблюдения требований настоящего стандарта, выраженных в ссылках, рекомендуется использовать только данный ссылочный стандарт.
В таблице 1 приведены обозначения, используемые в настоящем стандарте.
Таблица 1
Показатель | Обозначение | Единица измерения | Определение в разделе |
Номинальное напряжение сети | ULN | В | |
Номинальная частота питающей сети | fLN | Гц | |
Номинальное напряжение переменного тока на входе преобразователя | UVN | В | |
Номинальный переменный ток на входе комплектного преобразователя/базового модуля преобразователя (КП/БМП) | ILN | А | |
Номинальный входной ток преобразователя | IVN | А | |
Коэффициент гармоник на стороне питания | HL | В или А | |
Полный коэффициент гармонического искажения на стороне сети | THDL | % | |
Коэффициент мощности на входе преобразователя | | | |
Коэффициент мощности со стороны питающей сети | | | |
Коэффициент полной мощности | | | |
Максимально допустимый системой питания ток симметричного короткого замыкания | ISCM | А | |
Коэффициент короткого замыкания | RSC | | |
Номинальный продолжительный ток на выходе | IaN | А | |
Ток перегрузки (перегрузочная способность) | IaM | А | |
Основное номинальное напряжение переменного тока на стороне сети | UaN1 | В | |
Основная частота | f0 | Гц | |
Номинальное значение основной гармоники выходного тока | IaN1 | А | |
КПД привода | | % | |
КПД комплектного модуля привода | | % | |
Гармоническое искажение на стороне нагрузки | THDa | % | |
Скольжение | s | о.е. | |
Номинальное скольжение | sN | о.е. | |
Основная частота вращения | N0 | об/мин | |
Максимальная рабочая частота вращения | Nm | об/мин | |
Минимальная рабочая частота вращения | Nmin | об/мин | |
Максимальная безопасная частота вращения двигателя | Nsmax | об/мин | |
Вращающий момент | M | Н·м | |
Момент инерции | J | кгм2 | |
В настоящем стандарте применены основные термины и определения, установленные в МЭК 60050-111, МЭК 60050-151, МЭК 60050-441, МЭК 60050-551, МЭК 60050-601, МЭК 60146-1-1, МЭК 60146-1-2, МЭК 60146-1-3 и МЭК 60147-0, а также следующие термины с соответствующими определениями:
2.1.1 электропривод переменного тока; ЭПТ (см. рисунок 1). Система, состоящая из силового оборудования (секции преобразователя, двигателя переменного тока и другого оборудования, такого как питающая секция, но не ограниченного ею) и аппаратуры управления (коммутационной аппаратуры, например включения/выключения, аппаратуры управления напряжением, частотой или током, системы управления полупроводниковыми ключами, защиты, контроля состояния, системы связи, испытаний, диагностики, интерфейса связи с технологической установкой и т.д.).
Рисунок 1 - Функциональная схема
электропривода переменного тока
Примечание - На
рисунке 1 показаны основные функциональные элементы электропривода переменного тока. Он также включает в себя оборудование, которое может быть дополнительным во многих системах привода. Он имеет целью охватить широкое разнообразие возможностей конфигурации приводов переменного тока. Секция преобразователя не показывает или не подразумевает определенной конфигурации, или типа переключающего устройства, ввиду широкого разнообразия обоих в текущем применении (см.
приложение F).
2.1.2
электропривод переменного тока - аппаратная конфигурация: Электропривод переменного тока (ЭПТ) состоит из комплектного преобразователя (КП) и двигателя или двигателей с датчиками, которые механически соединены с валом двигателя (приводимое в действие оборудование не включено). На
рисунке 2 показано аппаратное разделение системы электропривода.
Примечание - На рисунке 2 показаны части оборудования, которые могут быть сгруппированы и поставлены в соответствии с заказом.
Рисунок 2 - Конфигурация аппаратных средств электропривода
переменного тока (ЭПТ) в пределах установки
2.1.2.1 базовый модуль преобразователя; БМП: Часть электропривода, которая состоит из секции управления скоростью, вращающим моментом, током, частотой или напряжением, силовой полупроводниковой вентильной системы и т.д.
2.1.2.2 комплектный преобразователь; КП: Электропривод без двигателя и датчиков, которые механически соединены с валом двигателя, состоящий из базового модуля преобразователя (БМП) и расширений, таких как питающая секция и аксессуары.
2.1.2.3 установка: Оборудование, которое включает в себя электропривод переменного тока (ЭПТ) и приводимое в действие оборудование.
2.2.1 преобразователь общего применения: Рабочий модуль для электронного преобразования энергии, изменяет одну или более электрических характеристик и содержит одно или более электронных коммутирующих устройств и связанных компонентов, таких как трансформаторы, фильтры, вспомогательные средства коммутации, средства управления, защиты и вспомогательные устройства, если они имеются.
2.2.2 выпрямляющий, выпрямление: Принцип действия преобразователя - преобразование переменного тока в постоянный. Выпрямитель может быть неуправляемым или управляемым.
[МЭК 60050(551)-11-06, модифицированный]
Примечание - В настоящем стандарте преобразователь на стороне питающей сети работает как выпрямитель.
2.2.3 инвертирующий, инвертирование: Принцип действия преобразователя - преобразование постоянного тока в переменный.
[МЭК 60050(551)-11-07, модифицированный]
Примечание - В настоящем стандарте преобразователь на стороне питающей сети работает как инвертор.
2.2.4 преобразователь переменного тока: Преобразователь для преобразования энергии переменного тока данного напряжения, частоты и числа фаз в энергию переменного тока, в котором один или более из этих параметров отличаются.
2.2.5 преобразователь с регулируемой частотой: Преобразователь для изменения частоты.
2.2.6 преобразователь с непрямым преобразованием переменного тока (преобразователь со звеном постоянного тока): Преобразователь с промежуточным звеном постоянного тока.
Примечание - Определение распространяется исключительно на схемы, в которых звено постоянного тока легко вычленяется или явно выражено.
2.2.7 преобразователь с непосредственным преобразованием переменного тока: Преобразователь без промежуточного звена постоянного тока.
Примечание - Цепи могут иметь неявно выраженную связь, но ни одна одиночная пара проводников не может быть определена как цепь постоянного тока.
2.2.8 преобразователь с внешним управлением: Преобразователь, в котором коммутация производится питающим напряжением цепи переменного тока или некоторым другим внешним источником переменного тока.
2.2.9 преобразователь, ведомый сетью: Преобразователь, в котором коммутируемые напряжения подаются питающей сетью переменного тока, нагрузкой переменного тока или другими источниками переменного тока вне преобразователя.
2.2.10 автономный преобразователь: Преобразователь, в котором коммутация выполняется внутренними компонентами.
Примечание - В настоящем стандарте под принудительной коммутацией понимается планируемое выключение полупроводниковых приборов прежде, чем произойдет естественная коммутация при нулевом электрическом токе (естественная коммутация).
2.2.11 преобразователь с коммутацией со стороны нагрузки: Преобразователь, в котором коммутируемые напряжения подаются от нагрузки переменного тока.
Примечание - В настоящем стандарте нагрузкой переменного тока является двигатель переменного тока.
2.2.12 преобразователь переменный ток/переменный ток - источник напряжения: Преобразователь, который обеспечивает регулируемый источник выходного напряжения, величина которого не зависит от нагрузки.
Примечание - Термин "преобразователь с жесткой вольт-амперной характеристикой" имеющий схожее физическое происхождение, используется во втором выпуске МЭК 60050-551.
2.2.13 преобразователь переменный ток/переменный ток - источник тока: Преобразователь, который обеспечивает регулируемый источник выходного тока, не зависящий от величины нагрузки.
Примечание - Термин "преобразователь с жесткой токовой характеристикой", имеющий схожее физическое происхождение, используется во втором выпуске МЭК 60050-551.
2.2.14 управление величиной постоянного тока - амплитудная модуляция: Метод управления преобразователем напряжение/ток, в соответствии с которым в звене постоянного тока амплитуда напряжения (или тока) управляется так, что приводит к квазипрямоугольным колебаниям с предсказуемыми гармониками. Величина коэффициента гармоник зависит от характера нагрузки.
2.2.15 широтно-импульсная модуляция; ШИМ: Метод управления преобразователем напряжение/ток, в соответствии с которым на выходе создаются импульсы напряжения/тока постоянной амплитуды и различной длительности.
2.3 Характеристики электропривода
2.3.1 работа в двух квадрантах: Воздействие электропривода на механизм в двигательном режиме при двух направлениях вращения механизма. Это включает в себя работу в квадрантах I и III (см. рисунок 3).
Рисунок 3 - Квадранты режимов работы
2.3.2
работа в четырех квадрантах: Воздействие электропривода на механизм в двигательном и генераторном режиме в каждом направлении вращения механизма. Это включает в себя работу в квадрантах I, II, III и IV, как показано на
рисунке 3.
2.3.3 динамическое торможение: Процесс преобразования энергии вращения ротора и подсоединенной инерционной нагрузки в электрическую энергию, рассеиваемую в сопротивлении.
2.3.4 торможение постоянным током: Процесс преобразования энергии вращения ротора и подсоединенной инерционной загрузки в электрическую энергию, рассеиваемую в роторе, введением постоянного тока в статор.
2.3.5 рекуперация: Процесс преобразования механической энергии системы в электрическую энергию и передачи ее к источнику питания. Двигатель в этом случае работает как генератор, и номинальные значения двигателя могут быть другими.
2.4 Входные параметры КП, БМП и преобразователя
Символы, определенные в 2.4, включены в
таблицу 1.
2.4.1
номинальное напряжение сети ULN: Среднеквадратичное входное линейное (межфазное) напряжение на зажимах источника питания установки потребителя, к которым осуществляется подключение электропривода.
2.4.2
номинальная частота питающей сети fLN: Частота переменного напряжения в герцах на силовом входе системы.
2.4.3
номинальное напряжение переменного тока на входе преобразователя UVN: Номинальное среднеквадратичное входное напряжение на зажимах переменного тока со стороны линии, питающей преобразователь, которое рассматривают как основу для выбора преобразователя.
Примечание - Это напряжение может отличаться от номинального напряжения сети
ULN из-за использования трансформаторов и влияния импеданса. У некоторых приводов может быть входной трансформатор с первичным напряжением свыше 1000 В. В этом случае трансформатор и устройства защищены и должны соответствовать настоящему стандарту и другим соответствующим стандартам МЭК. Емкостная связь высокого напряжения от первичной до вторичной обмотки должна быть шунтирована на землю (см.
приложение B).
2.4.4
номинальный переменный ток на входе комплектного преобразователя/базового модуля преобразователя (КП/БМП) ILN: Максимальное среднеквадратичное значение тока на стороне линии питания комплектного преобразователя/базового модуля преобразователя при номинальных условиях. Это значение соответствует предполагаемой нагрузке и наиболее неблагоприятной комбинации всех других условий в пределах их указанных диапазонов, например при компенсации отклонений частоты и напряжения.
Примечание - Этот ток включает в себя токи, подаваемые вспомогательным каналам БМП/КП. Принимается во внимание эффект пульсаций в звене постоянного тока и обратных токов.
2.4.5
номинальный входной ток преобразователя IVN: Максимальное среднеквадратичное значение тока на входе преобразователя при номинальных условиях. Необходимо принимать во внимание номинальную нагрузку и самое неблагоприятное сочетание всех прочих условий в пределах их определенных диапазонов, например отклонения частоты и напряжения сети.
2.4.6
коэффициент гармоник на стороне питания HL: Значение, получаемое путем вычитания из суммарного значения переменной на входе системы ее основной гармоники (по МЭК 60050(551)-07-04).
Примечание - Например, среднеквадратичное значение гармонических составляющих напряжения (всех, кроме 1-й гармоники) равно:

.
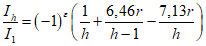
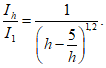
2.4.7 характеристики гармоник тока: Гармоники тока, производимые в процессе работы преобразователя, характеризуются их порядком. Например, в 6-импульсных преобразователях характерными гармониками тока являются некратные трем дополнительные нечетные гармоники: h = 6k +/- 1 (k - любое целое число).
Примечание - В дополнение к гармоникам питающей сети могут быть и другие гармоники, появляющиеся в результате взаимодействия преобразователя с нагрузкой. Они называются внутренними гармониками.
2.4.8
полный коэффициент гармонического искажения: Полный коэффициент гармонических искажений
THD и полный коэффициент гармоник
THF определяются соотношениями:

,
где Q1 - среднеквадратичное значение основной гармоники;
Q - среднеквадратичное значение всех гармоник;
h - номер гармоники;
Qh - среднеквадратичное значение гармоники с номером h.
Q может представлять как ток, так и напряжение.
В настоящем стандарте предельные значения этих коэффициентов определяют как отношение среднеквадратичного значения высших составляющих к соответствующему номинальному значению:

.
Примечание 1 - Эти определения соответствуют второму изданию МЭК 60050-551 и общепринятой практике. Форма напряжения сети менее искажена, чем форма входного тока. Таким образом, коэффициенты THD и THF для напряжения примерно равны, в то время как для тока, существенно различаются.
Примечание 2 - Важно отметить, что эти определения включают в себя внутренние гармоники. Когда они присутствуют, форма волны больше не является периодической, что может привести к более сложным эффектам, чем те, к которым приводят обычные гармоники. Если внутренние гармоники незначительны, эти уравнения упрощаются:
где Q1N - номинальное среднеквадратичное значение 1-й гармоники;
QN - общее номинальное среднеквадратичное значение.
Суммирование гармонических составляющих производится до 40 порядка, в соответствии с обычной практикой МЭК.
Примечание 3 - Для конкретного использования, состав высших гармоник THD (от 14 до 40 включительно) называется коэффициентом частичных гармонических искажений PHD, и четный состав высших гармоник (только четные гармоники) называется коэффициентом четных гармонических искажений EHD. Применительно к току:
2.4.9
коэффициент мощности на входе преобразователя
: Косинус угла рассогласования между фазами основных компонент напряжения и тока на стороне ввода переменного тока силового преобразователя.
2.4.10
коэффициент мощности со стороны питающей сети
: Косинус угла рассогласования между фазами основных компонент напряжения и тока на стороне ввода переменного тока комплектного преобразователя.
2.4.11
коэффициент полной мощности
: Отношение общей активной мощности к полной мощности, измеренной в месте подключения КП к сети.
Пример - В трехфазной системе, где напряжение синусоидальное:

.
Примечание 1 - Коэффициент мощности включает в себя косинус угла сдвига фаз

и коэффициент гармоник

.
Примечание 2 - Определение относится к входу преобразователя (нижний индекс V), или ко входу со стороны питающей линии комплектного преобразователя (нижний индекс L).
2.4.12 постоянный ток Id: Среднее значение электрического тока в звене постоянного тока за один полный период частоты питающей сети.
2.4.13
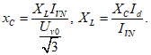
максимально допустимый системой переменного тока симметричный ток короткого замыкания ISCM: Максимально допустимый симметричный ток короткого замыкания (
ISCM), как определено в техническом паспорте, который связан с основной составляющей номинального переменного тока на стороне питающей линии (
ILN1) посредством отношения короткого замыкания (
RSC).
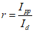
RSC - отношение мощности короткого замыкания источника к основной кажущейся мощности на стороне питающей линии преобразователя(ей) (см. МЭК 60146-1-1).

.
Максимальный допустимый симметричный ток короткого замыкания ISCM важен при определении защиты преобразователя. В точке общей связи (TOC) нужно рассмотреть относительную мощность короткого замыкания (см. пункт 1.5.35 МЭК 60146-1-1). Это RSC должно быть ограничено следующим RSCM:
RSCM = (ISCM)/ILN1,
где ILN1 равен основной гармонике тока ILN.
2.5 Комплектный преобразователь/базовый модуль преобразователя и выходные параметры преобразователя
Символы, определенные в 2.5, включены в
таблицу 1.
2.5.1
номинальный продолжительный выходной ток IaN: Среднеквадратичный выходной ток, который может подаваться непрерывно, не превышая установленных ограничений, при установленных эксплуатационных режимах.
2.5.2
перегрузочная способность IaM: Максимальный выходной ток, который может подаваться в течение указанного промежутка времени, не превышая установленных ограничений, при установленных эксплуатационных режимах.
2.5.3 диапазон рабочих частот: Диапазон основной частоты, в котором выход преобразователя может оставаться управляемым.
2.5.4
номинальное напряжение переменного тока на стороне нагрузки преобразователя UaN1: Среднеквадратичное значение номинального напряжения основной гармоники переменного тока на зажимах со стороны нагрузки преобразователя.
Примечание - Это напряжение, которое имеется на зажимах переменного тока со стороны нагрузки преобразователя и не обязательно является основным напряжением двигателя.
2.5.5
основная частота f0: Основная частота системы частотно-регулируемого привода - это самая низкая частота, при которой она способна выдавать максимальную выходную мощность.
2.5.6
номинальный выходной ток основной гармоники IaN1: Среднеквадратичное значение основной составляющей выходного тока, который может подаваться непрерывно, не превышая установленных ограничений.
2.5.7
КПД преобразования мощности
,
: КПД

электропривода определяется отношением мощности на валу двигателя к полной мощности, потребляемой из входного источника питания (см. питающую линию на
рисунке 1), и обычно выражается в процентах. КПД комплектного преобразователя (КП)

является отношением общей выходной мощности, подаваемой комплектным преобразователем к двигателю и вспомогательным устройствам (вентилятор двигателя и т.д.), к полной мощности, потребляемой от входного источника питания (см. питающую линию на
рисунке 1), и обычно выражается в процентах.
2.5.8
коэффициент гармоник на стороне нагрузки: Определение идентично коэффициенту гармоник на стороне питающей линии
(2.4.6), но определено на выходной стороне базового модуля привода

.
Примечание - Коэффициент гармоник на стороне нагрузки является функцией формы колебаний на выходе преобразователя и реактивного сопротивления нагрузки.
2.5.9
гармоническое искажение на стороне нагрузки THDa: Определение полного коэффициента гармонического искажения
(2.4.8) может быть применено к выходу базового модуля привода, приводящее к
THDa.
Примечание - Полное гармоническое искажение напряжения со стороны нагрузки выражено как THDUa, а полное гармоническое искажение тока на стороне нагрузки выражено как THDIa. Различие между THD и THF существенно как для напряжения, так и для тока.
2.5.10 номинальный коэффициент мощности нагрузки: Косинус угла между фазами напряжения и тока при номинальной нагрузке и синусоидальным напряжением питания.
2.5.11
коэффициент сдвига фаз на стороне нагрузки: Определение идентично коэффициенту сдвига фаз со стороны питающей линии
(2.4.10), но определенному на стороне выхода базового модуля привода.
2.5.12 квазипрямоугольные колебания: Ступенчатая форма колебаний, получающаяся из различия двух сдвинутых по фазе прямоугольных колебаний (одно прямоугольное колебание за половину периода) равной амплитуды. Форма колебаний относится как к напряжению, так и к току.
Рисунок 4 - Квазипрямоугольные колебания
2.5.13 ступенчатые колебания: Форма колебаний получается суммированием любого числа прямоугольных колебаний той же самой частоты, каждое из которых смещено во времени по отношению к другим.
2.6 Схема преобразователя и его элементы
2.6.1 коммутационный конденсатор: Конденсатор, который обеспечивает энергию коммутации для коммутирующих цепей тиристоров в автономных преобразователях.
2.6.2 коммутационная индуктивность: Индуктивность, имеющая одну или более обмоток, которая изменяет или переключает переходный ток, вырабатываемый во время коммутации.
2.6.3 фильтры сети переменного тока: Цепь, предназначенная для уменьшения гармонических токов в питающей сети.
2.6.4 улучшение коэффициента мощности сети: Цепь, предназначенная для улучшения коэффициента мощности подключенной системы электроснабжения. Эта цепь также уменьшает гармонические токи.
2.6.5 конденсатор фильтра на постоянном токе: Конденсатор, подключенный параллельно выходу выпрямителя внутри преобразователя, для уменьшения пульсаций напряжения.
2.6.6 индуктивность фильтра на постоянном токе: Индуктивность, подключенная последовательно с выходом выпрямителя, для уменьшения пульсаций тока.
2.6.7 фильтр сети постоянного тока: Сочетание конденсатора фильтра и индуктивности фильтра на постоянном токе применяется в звене постоянного тока для уменьшения пульсаций напряжения и гармоник во входной питающей линии.
2.7 Параметры асинхронного двигателя
Следующие определения параметров являются основными для определения работы асинхронного двигателя с регулируемым преобразователем частоты. Символы, определенные в 2.7, включены в
таблицу 1.
2.7.1 номинальное напряжение двигателя: Номинальное входное напряжение переменного тока определено в техническом паспорте двигателя. Это линейное (межфазное) среднеквадратичное синусоидальное напряжение на зажимах двигателя.
2.7.2 номинальная частота: Частота, при которой определено номинальное напряжение двигателя, указанная в техническом паспорте.
2.7.3 номинальный ток двигателя: Переменный среднеквадратичный ток при номинальном режиме работы, как определено в техническом паспорте.
2.7.4 номинальный коэффициент мощности: Коэффициент мощности при номинальных условиях напряжения, частоты и нагрузки.
2.7.5
скольжение s: Относительная величина, равная отношению разности между синхронной частотой вращения при рабочей частоте
Na и фактической частотой вращения ротора
N к синхронной:

.
2.7.6
номинальное скольжение sN: Скольжение двигателя при условиях номинальной нагрузки.
2.7.7
основная частота вращения N0: Синхронная частота вращения двигателя при основной частоте.
2.7.8
максимальная рабочая частота вращения NM: Частота вращения двигателя при максимальной частоте инвертора.
2.7.9
минимальная рабочая частота вращения Nmin: Частота вращения двигателя при минимальной частоте инвертора.
2.7.10
максимальная безопасная частота вращения двигателя Nsmax: Максимальная расчетная частота вращения двигателя, выше которой могут происходить механические деформации или ослабление прочности (см. раздел 21 МЭК 60034-1).
Примечание - Максимальная безопасная частота вращения исполнительного механизма может иметь меньшую величину.
2.7.11 постоянные эквивалентной схемы:
Примечание - Для получения динамической характеристики необходимо иметь параметры эквивалентной схемы конкретного двигателя. Кроме того, для работы с ослаблением поля должно быть известно отношение между вращающим моментом на валу и номинальным вращающим моментом при номинальном потоке (см.
приложение A).
2.7.12 отношение номинального напряжения к номинальной частоте UaN/faN: Отношение, при котором существует номинальный поток в воздушном зазоре, обеспечивающий расчетный вращающий момент при номинальном токе.
2.7.13 пульсации вращающего момента: Циклические колебания установившегося вращающего момента двигателя, выраженные путем изменения двойной амплитуды.
2.8.1 регулируемая переменная: Основная, требующая регулирования переменная в системе управления регулируемых приводов переменного тока с соответствующим контуром обратной связи. Примеры регулируемых переменных: скорость, напряжение, частота и ток статора, скольжение и вращающий момент.
2.8.2 служебная переменная: Переменная, обычно связанная с внешними условиями (например, с температурой), для которой система управления с обратной связью обеспечивает требуемое значение регулируемой переменной.
2.8.3 рабочая переменная: Главная переменная (например, нагружающий момент для привода с регулируемой частотой вращения), при изменении которой система управления с обратной связью сохраняет требуемое значение регулируемой переменной в реальных условиях эксплуатации.
2.8.4 переменные системы управления с обратной связью: Совокупность служебных и рабочих переменных, определяющих все ошибки, которые система управления с обратной связью пытается исправить с помощью регулируемых переменных. Точность управления при этом определяется как ширина зоны допустимых отклонений, в рамках которой система управления с обратной связью будет регулировать управляемую величину.
3 Функциональные особенности
3.1 Эксплуатационные особенности
КП должен выполнять одну или несколько следующих функций, не ограничиваясь ими:
- регулировка ускорения по времени;
- регулировка замедления по времени;
- толчок;
- регулируемое ограничение тока (токов);
- динамическое торможение;
- реверс;
- рекуперативное торможение;
- фильтрация питающей сети;
- обработка данных входа-выхода (аналоговая/цифровая);
- автоматический перезапуск;
- форсировка;
- торможение постоянным током;
- схема предварительной зарядки.
3.2 Контроль неисправностей
КП должен сообщать о неисправностях. Сообщением о неисправности может быть как общая тревога, так и сигнал соответствующей ошибки, обеспеченный контактами электромеханических или электронных реле. Сообщения о неисправности в КП могут быть следующего характера, но не ограничиваться приведенными ниже:
- внешние неисправности;
- ошибка выходного силового каскада;
- мгновенная перегрузка по току;
- перегрев (преобразователя);
- потеря подачи охлаждающего воздуха;
- перегрузка двигателя;
- неисправность вспомогательного источника питания;
- повышение/понижение напряжения источника питания;
- потеря фазы источника питания;
- внутренняя неисправность системы управления;
- диагностика цепей управления и силовых цепей.
3.3 Минимальные требования к индикации состояния
КП должен быть оборудован сигналом индикации текущего состояния "привод включен" (либо вращение, либо останов). КП может также быть оборудован сигналом индикации состояния "привод готов к работе".
3.4 Устройства ввода/вывода
Число интерфейсов и способ ввода/вывода должны быть указаны заводом-изготовителем. Любые изменения должны быть согласованы между изготовителем и потребителем.
Примечание - Устройства ввода и вывода необходимы для переменных и параметров. Они могут быть как аналоговыми, так и цифровыми и использовать напряжение или ток. В соответствии с различными стандартами соединения (коммутации) они могут быть последовательными или параллельными. Используя панель управления, можно вручную установить аналоговые и цифровые переменные, и они могут быть прочитаны на дисплеях. Переменные и параметры обрабатывают таким же образом.
4.1 Установка и эксплуатация
Оборудование, на которое распространяется настоящий стандарт, должно работать в условиях, перечисленных в подразделах 2.2 и 2.3 МЭК 60146-1-1 и МЭК 106, если не внесены изменения.
4.1.1 Условия эксплуатации
КП или БМП должны быть спроектированы для работы в приведенных ниже условиях эксплуатации. Указанные значения учитывают влияние рассматриваемой системы привода.
Требования к электромагнитной совместимости (ЭМС) для систем силового привода приведены в МЭК 61800-3.
Примечание - Пределы, указанные в 4.1.1.1 -
4.1.1.5 и соответствующие стандартам ЭМС, применяемые в существующей практике для полупроводниковых преобразователей, приведены в пунктах 2.5.1 - 2.5.3 МЭК 60146-1-1 и соответствуют классу B.
4.1.1.1 Изменения частоты
Частота fLN +/- 2% (+/- 4% для локальных сетей питания) в соответствии с классом 3 определена в МЭК 61000-2-4.
Скорость изменения частоты не более 2% fLN/с (см. также подпункт 5.2.3.2 МЭК 61800-3).
4.1.1.2 Изменения напряжения
Ограничения напряжения для бесперебойной работы
В соответствии с классом 2, определенным в МЭК 61000-2-4 (см. также подпункты 5.2.2.1 и 5.2.2.2 МЭК 61800-3), электропривод переменного тока (ЭПТ) должен иметь номинальное входное напряжение +/- 10% (в точке присоединения).
Примечание - Кратковременное изменение напряжения выше указанных уровней может привести к нестабильной работе или отключению. В случае необходимости непрерывной работы, необходимо соглашение между потребителем и поставщиком/производителем.
Ограничения напряжения для номинального режима работы
Нормальное функционирование преобразователя должно быть обеспечено при изменении основной гармоники напряжения питания сети переменного тока, измеренной на входе БМП, в пределах от 100% до 110% номинального значения. Нормальная работа на напряжении ниже 100% номинального должна быть предметом соглашения между пользователем и поставщиком/производителем.
Примечание - См. также
5.2.1.
4.1.1.3 Дисбаланс напряжений
| | ИС МЕГАНОРМ: примечание. Текст дан в соответствии с официальным текстом документа. | |
ЭПТ должен работать с дисбалансом напряжения (в точке присоединения) не превышающим 3% основного номинального напряжения ULN1. См. подпункт 5.2.3.1 и B.3 приложения. B МЭК 61800-3 для определения и расчета.
4.1.1.4 Сопротивление источника
Для обеспечения номинального режима работы минимальное соотношение RSC для ЭПТ в точке присоединения должно быть равно 20.
Примечание 1 - Большее сопротивление источника может привести к ухудшению коэффициента демпфирования сглаживающих фильтров, что может привести к возможному отказу и к увеличению времени провала напряжения.
Примечание 2 - Для определения максимального соотношения RSC необходимо следовать документации производителя
4.1.1.5 Гармоники и коммутационные провалы
a) Гармоники
Оборудование в соответствии с настоящим стандартом должно быть предназначено для работы с напряжением, полный коэффициент гармонического искажения (THD) которого равен в точке присоединения 10% в установившемся состоянии и 15% в течение переходного периода (менее 15 с) в соответствии с классом 3, определенном в МЭК 61000-2-4 (см. также пункт 5.2.1 МЭК 61800-3).
Примечание - Допустимые уровни для отдельных гармонических напряжений приведены в таблицах 3 - 5 МЭК 61000-2-4.
Теоретический пример гармонического искажения (
раздел B.5 приложения B) представляет собой практическую оценку соотношений между эмиссией и устойчивостью, принимая во внимание влияние самого привода, как указано в
4.1.
b) Коммутационные провалы
Оборудование должно соответствовать номинальной производительности со следующими пределами на входе КП/БМП (см. подпункты 2.5.4.1 МЭК 60146-1-1, устойчивость класса B):
- глубина коммутационного провала - 40% ULWM;
- длительность коммутационного провала - 250%·градусы.
4.1.1.6 Повторяющиеся и неповторяющиеся переходные процессы
Типичная форма колебаний напряжения переменного тока, содержащая повторяющиеся и неповторяющиеся переходные процессы, показана на рисунке 5.
Рисунок 5 - Типичная форма колебаний напряжения переменного
тока на зажимах шестипульсного преобразователя
Примечание - Типичный диапазон значений в относительных единицах предоставляется только для ознакомления. Рисунок предполагает, что нет сопротивления между клеммами ЭПТ и КП.
Повторяющиеся переходные процессы (ULRM/ULWM): от 1,25 до 1,50, в зависимости от конструкции снаббера относительно di/dt и тока обратного восстановления (irr).
Неповторяющиеся переходные процессы (ULSM/ULWM): от 1,80 до 2,50, в зависимости от дополнительных защитных устройств.
Переходные процессы вызваны коммутацией преобразователя, коммутацией в сети и помехами в системе электроснабжения.
БМП должны быть спроектированы для работы в среде с неповторяющимися переходными процессами, вызванными переключением трансформатора при условии, что силовой трансформатор рассчитан на мощность, не более чем в пять раз превышающую полную мощность рассматриваемого привода. Если трансформатор рассчитан на большую мощность, БМП должен иметь способность поглощать энергию дополнительных переходных процессов.
Энергия E (в джоулях) неповторяющихся переходных процессов, вызванных переключением трансформатора, непосредственно связана с энергией намагничивания трансформатора, питающего базовый модуль привода. Энергия может быть вычислена по формуле
E = 400·SN,
где SN выражена в мегавольт-амперах и равна:

,
где ULN - номинальное напряжение в системе;
ILN - номинальный переменный ток на стороне питающей линии.
При этом приняты следующие допущения:
- ток намагничивания составляет 5%;
- переключение происходит в точке максимального выделения энергии.
Примечание - Если известны характеристики трансформатора, могут быть сделаны конкретные расчеты.
4.1.1.7 Особые условия
Специфические условия, такие как особые рабочие режимы, несбалансированное сопротивление системы переменного тока, чрезвычайно сильные магнитные поля, особо высокий уровень радиочастотных помех (например, от передатчиков связи), а также дополнительные сопротивления вне КП или БМП, которые были добавлены после приемо-сдаточных испытаний, оговариваются, если они известны или определены.
4.1.2 Условия окружающей среды при эксплуатации
4.1.2.1 Климатические условия
Комплектный модуль привода должен работать при условиях окружающей среды, определенных в МЭК 60721-3-3 для класса 3К3 и разделе 2 МЭК 60146-1-1 для водных и масляных хладагентов, включающих в себя следующее:
a) температура хладагента:
- воздух от 0 °C до 40 °C, вода от 5 °C до 30 °C, масло от минус 5 °C до плюс 30 °C;
b) температура окружающей среды - от 5 °C до 40 °C;
c) относительная влажность - от 5% до 85% без конденсации;
d) содержание пыли и твердых частиц: стандартное оборудование проектируется для чистого воздуха, см. пункт 2.5.1 МЭК 60664-1, степень загрязнения 2. Любое другое условие подразумевает "особые условия эксплуатации" и требует детализации потребителем (см. МЭК 60529 для степени защиты корпуса);
e) периоды работы без нагрузки должны быть определены, даже если температура окружающей среды будет в определенном выше диапазоне.
4.1.2.2 Механические условия установки
Комплектный/базовый модуль привода должен быть установлен в закрытом помещении на твердой монтажной поверхности на площадке или в дополнительном кожухе, которые серьезно не мешают вентиляции или системе охлаждения. Может быть использован кондиционер для увеличения надежности работы комплектного/базового модуля привода.
Другие обстоятельства установки требуют специального рассмотрения, детализации и консультации с изготовителем.
Вибрация должна быть в рамках МЭК 60721-3-3 и соответствовать классу 3М1, который считается нормой для стационарного оборудования.
Таблица 2
Ограничения на вибрацию установки
Частота, Гц | Амплитуда, мм | Ускорение, м/с2 |
2 <= f < 9 | 0,3 | Не нормируется |
9 <= f < 200 | Не нормируется | 1 |
Вибрация вне этих пределов или использование на нестационарном оборудовании считаются особыми механическими условиями.
4.1.3 Особые условия эксплуатации
Использование силового преобразователя, системы управления приводом, а также приводной техники в условиях, отличных от обычных, перечисленных в МЭК 60146-1-1, считаются особыми. Эти особые условия эксплуатации должны быть указаны покупателем.
Для особых условий эксплуатации, подобных перечисленным ниже, могут потребоваться специальная конструкция или защитные устройства. Должны быть указаны следующие факторы воздействия:
a) вредные газы;
b) повышенная влажность (относительная влажность более 85%);
c) повышенное содержание пыли;
d) абразивная пыль;
e) конденсации пара или воды;
f) пары масла;
g) взрывоопасные смеси пыли и газов;
h) соленый воздух;
i) ненормальные вибрации, удары и наклон;
j) погода или попадание воды;
k) неправильные транспортирование или условия хранения;
l) резкие перепады температуры;
m) особые ограничения пространства;
n) охлаждающая жидкость, содержащая кислоту или примеси, которые вызывают накипь, осадок, электролиз или коррозию;
o) высокий уровень радиации;
p) высота выше 1000 м (3300 футов);
q) большой период работы без нагрузки;
r) использование оборудования вне помещения.
4.1.4 Монтаж, наладка и эксплуатация
Монтаж, наладка и эксплуатация оборудования имеют нормальные и особые условия выполнения.
4.2 Хранение оборудования
Если упаковка не предназначена для наружного или незащищенного хранения, оборудование сразу же после получения должно быть расположено под соответствующим укрытием.
4.2.1 Климатические условия
Оборудование следует хранить при условиях окружающей среды, указанных в МЭК 60721-3-1. Они включают в себя следующие:
a) класс окружающей температуры: 1К4 - от минус 25 °C до плюс 55 °C;
b) класс относительной влажности: 1К3 - от 5% до 95%.
Модули и панели должны быть защищены от конденсации. Если оборудование не устанавливают сразу, то его следует хранить в чистом, сухом месте, защищенном от перепадов температуры, высокой влажности и пыли. Если возможно, необходимо избегать резких изменений температуры и влажности. Если температура складского помещения отличается от температуры поверхности оборудования, оно подвержено конденсации или замерзанию, оборудование должно быть защищено безопасной, надежной системой обогрева, которая будет поддерживать температуру оборудования немного выше, чем в складском помещении. Если оборудование выдерживалось при низкой температуре в течение длительного периода времени, оно не должно распаковываться, пока не достигнет температуры помещения, в противном случае образуется конденсат. Наличие влаги на определенных внутренних частях электрооборудования может стать причиной его повреждения.
4.2.2 Особые факторы риска при хранении
Следующие факторы требуют особенного внимания:
a) вода, за исключением оборудования, специально предназначенного для наружной установки. Оборудование должно быть защищено от дождя, снега, обледенения и т.п.;
b) высота. Оборудование не следует хранить на высоте выше 3000 м над уровнем моря;
c) агрессивные вещества. Оборудование должно быть защищено от солевого тумана, опасных газов, агрессивных жидкостей и т.п.;
d) срок хранения. Вышеуказанные требования распространяются на поставку и хранение с общей продолжительностью до 6 мес, более длительный срок требует специального рассмотрения (т.е. уменьшенный диапазон изменения температуры окружающей среды, такой как по классу 1К3);
e) грызуны и плесень. Когда условия хранения связаны с возможным появлением грызунов или плесени, технические характеристики оборудования должны включать защитные меры. Материалы снаружи оборудования и размеры отверстий для охлаждения, подключения и т.п. должны быть указаны, для того чтобы препятствовать проникновению грызунов.
Должны быть указаны материалы с подходящей степенью плеснестойкости для складских и рабочих помещений.
4.3.1 Климатические условия
Оборудование должно быть способным к транспортированию в стандартной упаковке поставщика, при условиях окружающей среды, определенных по классу 2К3 МЭК 60721-3-2. Они включают в себя следующие:
a) температура окружающего воздуха: от минус 25 °C до плюс 70 °C.
Примечание - Температурные ограничения относятся к температуре окружающего воздуха, непосредственно окружающего оборудование (например, внутри контейнера);
b) относительная влажность: 95% при 40 °C.
Примечание - Некоторые сочетания температуры и влажности могут вызвать конденсацию.
4.3.2 Особые климатические условия
При температуре транспортирования ниже минус 25 °C требуется использование транспорта с подогревом или устранение чувствительных к низким температурам компонентов.
4.3.3 Механические требования
Оборудование должно иметь возможность транспортирования в стандартной упаковке поставщика, в пределах ограничений, предписанных МЭК 60721-3-2 по классу 2М1.
Они включают в себя вибрацию и ударные нагрузки в соответствии с таблицами 3 и
4.
Таблица 3
Ограничения транспортных вибраций
Частота, Гц | Амплитуда, мм | Ускорение, м/с2 |
2 <= f < 9 | 3,5 | Не нормируется |
9 <= f < 200 | Не нормируется | 10 |
200 <= f < 500 | Не нормируется | 15 |
Таблица 4
Ограничения ударных нагрузок при транспортировании
Масса, кг | Высота свободного падения, м |
M < 20 | 0,25 |
20 <= M < 100 | 0,25 |
100 <= M | 0,10 |
Примечание 1 - Если предполагаются удары и вибрация вне указанных ограничений, требуются специальная упаковка или транспорт.
Примечание 2 - Если заранее известно, что среда имеет меньшее влияние, требования к упаковке могут быть снижены в соответствии с соглашением между изготовителем/поставщиком, пользователем и перевозчиком.
5.1 Входные параметры преобразователя
5.1.1 Входное напряжение
Входные паспортные данные базового модуля привода должны быть установлены производителем. Рекомендуемые номиналы:
a) 100, 110, 200, 220, 230 <*>, 240, 380, 400 <*>, 415, 440, 500, 660, 690 <*> В при 50 Гц;
--------------------------------
<*> Стандартные напряжения, как указано в МЭК 60038.
b) 100, 115, 120, 200, 208, 220, 230, 240, 400, 440, 460, 480, 575, 600 В при 60 Гц.
5.1.2 Входной ток
Существует два типа входных токов:
- собственный ток преобразователя IVN. Это значение должно быть указано производителем при минимальном входном сопротивлении линии переменного тока;
- КП или БМП ILN. Это значение включает в себя ток, необходимый вспомогательному оборудованию IXN.
5.2 Выходные параметры преобразователя
5.2.1 Максимально допустимая продолжительная выходная нагрузка
Максимально допустимая продолжительная выходная нагрузка должна быть установлена производителем и выражена в показателях основной гармоники переменного напряжения на стороне нагрузки БМП UaN1, продолжительного номинального выходного тока IaN и диапазона частот.
Примечание 1 - Оценка в показателях UaN1 и IaN позволяет использовать метод прямого измерения и в достаточной мере обосновать допустимую токовую нагрузку проводника.
Примечание 2 - Когда комплектный модуль привода и двигатель поставляются разными производителями/поставщиками, необходим обмен информацией для надлежащего выполнения и совместимости КП и двигателя.
5.2.2 Перегрузочная способность
Электропривод должен быть рассчитан для одной из следующих перегрузочных способностей, если иное не определено. Перегрузочная способность относится к расчетному диапазону скоростей (см. также
примечание 2).
a) Происходит непрерывная работа при номинальном выходном токе (для достижения двигателем номинального теплового режима), затем проходит 150% номинального выходного тока IaN в течение 1 мин, затем следует период с током нагрузки меньшим, чем номинальный электрический ток, и такой продолжительности, что среднеквадратичный ток выхода за рабочий цикл не превышает номинальный ток выхода IaN.
Пример - Если рабочий цикл требует, чтобы ток 150% номинального был в течение 1 мин из каждых 10, оставшиеся 9 мин должны быть с током приблизительно 92% номинального или меньше, чтобы поддерживалось среднеквадратичное значение <= 100%. Если требуется 1 мин из 60, оставшиеся 59 мин должны протекать с током приблизительно 98% номинала или меньше.
b) После непрерывной работы с номинальным током выхода ток в 125% номинального тока выхода IaN в течение 1 мин должен сопровождаться периодом с током нагрузки, меньшим, чем номинальный ток, и такой продолжительности, чтобы среднеквадратичный выходной ток за рабочий цикл не превышал номинальный ток выхода IaN.
Пример - Если рабочий цикл требует, чтобы ток 125% номинального протекал в течение 1 мин из каждых 10, оставшиеся 9 мин должны сопровождаться током приблизительно 96% номинального или меньше, чтобы поддерживалось среднеквадратичное значение <= 100%. Если требуется 1 мин из 60, оставшиеся 59 мин должны сопровождаться током приблизительно 99% номинала или меньше.
c) После непрерывной работы с номинальным током выхода ток в 110% номинального тока выхода IaN в течение 1 мин сопровождается периодом с током нагрузки, меньшим, чем номинальный ток, и такой продолжительности, чтобы среднеквадратичный выходной ток за рабочий цикл не превышал номинальный ток выхода IaN.
Пример - Если рабочий цикл требует, чтобы ток 110% номинального был в течение 1 мин из каждых 10, оставшиеся 9 мин должны быть с током приблизительно 98% номинального или меньше, чтобы поддерживалось среднеквадратичное значение <= 100%. Если требуется 1 мин из 60, оставшиеся 59 мин должны быть с током приблизительно 99% номинала или меньше.
Примечание 1 - Отношение между заданными токами перегрузки и моментом вращения, создаваемым двигателем, не попадает под вышесказанное.
Примечание 2 - Особые условия перегрузки могут быть согласованы между потребителем и производителем/поставщиком. Например, значение перегрузки и ее продолжительность могут быть предметом такого соглашения, примеры режимов работы приведены в таблице 3 МЭК 60146-1-1. См. также 2.5.2, где отмечено, что сложные режимы могут быть рассмотрены по МЭК 61136-1.
5.2.3 Рабочий диапазон частот
Рабочий диапазон частот, в рамках которого преобразователь способен к поддержанию своего определенного установившегося выходного тока, должен быть дан изготовителем и выражен следующими параметрами:
UaN1 - номинальное (для основной гармоники) выходное напряжение;
fmin - минимальная частота;
f0 - основная частота;
fmax - максимальная частота.
5.3 Коэффициент полезного действия и потери
Должно быть установлено оборудование, включенное в определение общего коэффициента полезного действия (КПД). Потери или КПД ЭПТ, или КП/БМП (см.
2.5.7) должны быть указаны производителем при номинальной нагрузке и основной скорости.
Примечание - Потери на вентиляцию в приводах с принудительной вентиляцией, как и с самовентиляцией, включены в потери ЭПТ, в обоих случаях они не включаются в потери КП.
Пример изменения КПД

и потерь от скорости показан на рисунке 6.
Рисунок 6 - Типичные кривые для КПД
и потерь системы силового привода
5.4 Трансформаторы и реакторы
Трансформаторы и реакторы должны удовлетворять требованиям МЭК 60146-1-3.
6 Требования к режимам работы
Установившийся режим для переменных привода, таких как скорость вращения, вращающий момент и т.д., должен быть указан в соответствии с 6.1.1 -
6.1.4 (см.
приложение D).
Диапазон отклонения - общее отклонение непосредственно регулируемой переменной (если не указана другая переменная) в установившемся режиме как результат изменений в режиме работы или условиях эксплуатации в заданных пределах. Он выражен:
a) в процентах от максимального заданного значения непосредственно регулируемой переменной (или указано иное), см. пример в
6.1.2;
b) как абсолютное значение переменной для систем, в которых трудно определить базовое значение переменной, например систем управления положением или температурой воздуха.
6.1.2 Выбор диапазонов отклонений (установившийся режим)
Устойчивый режим работы системы управления с обратной связью должен быть описан двумя числами, выбранными из
таблицы 5 (другие уровни могут быть определены соглашением).
Должен быть указан диапазон отклонения переменной, для которой определяют рабочий и эксплуатационный диапазоны отклонений (см. рисунок 7).
Рисунок 7 - Диапазон отклонений
Первое число представляет рабочий диапазон отклонения, он должен соответствовать максимальному диапазону отклонения под влиянием изменения рабочей переменной(ых) электропривода, а второе число отображает эксплуатационный диапазон отклонения, который соответствует максимальному диапазону отклонения под влиянием изменений внешних условий эксплуатации.
Теоретически суммарное отклонение может быть равно сумме максимальных отклонений, однако маловероятно, что этот предел будет достигнут на практике.
Таблица 5
Максимальные диапазоны отклонения
В процентах
+/- 20 | +/- 10 | +/- 5 | +/- 2 | +/- 1 | +/- 0,5 | +/- 0,2 | +/- 0,1 | +/- 0,05 | +/- 0,02 | +/- 0,01 |
Пример 1 - Диапазон рабочего отклонения 0,1% и диапазон эксплуатационного отклонения 0,2% определяют систему с максимальным диапазоном отклонения из-за рабочих параметров +/- 0,1% и максимальным диапазоном отклонения из-за условий эксплуатации +/- 0,2%.
Пример 2 - Погрешность 1% системы управления скоростью привода при частоте 60 Гц и частоте вращения 1800 об/мин приводит к следующему:
1800 об/мин - идеальная максимальная номинальная частота вращения;
+/- 18 об/мин - отклонение частоты вращения;
900 об/мин - 50% идеальной максимальной номинальной частоты вращения;
+/- 18 об/мин - отклонение частоты вращения;
180 об/мин - 10% идеальной максимальной номинальной частоты вращения;
+/- 18 об/мин - отклонение частоты вращения.
6.1.3 Диапазон эксплуатационных отклонений - ограничения
Указанный диапазон эксплуатационных отклонений (выбранный по
таблице 5) не должен быть превышен при любом сочетании соответствующих условий эксплуатации в любое время в течение любого одночасового интервала после указанного производителем прогрева с фиксированными значениями рабочих переменных в процессе наблюдения.
6.1.4 Диапазон рабочих отклонений - ограничения
Рабочий диапазон отклонений регулируемой переменной (выбранный из
таблицы 5) не должен превышаться для указанного диапазона изменения рабочей переменной. Условия эксплуатации должны поддерживаться постоянными в процессе наблюдения.
Примечание - Если требует объект применения, эксплуатационная информация должна также включать в себя данные об установившемся отношении непосредственно регулируемой переменной к ее опорному значению. Этот вопрос не включен в обсуждаемые выше диапазоны рабочего или эксплуатационного отклонений.
6.1.5 Разрешающая способность
Разрешающая способность отображает минимально достижимое изменение регулируемого параметра. Она может быть представлена в абсолютном значении или в процентах максимального значения.
Если существенна динамическая характеристика, то должны быть определены необходимые динамические отклики на определенные возмущающие воздействия (см.
приложение D).
Такие возмущающие воздействия могли бы включать в себя опорные сигналы, источник питания и сигналы, воздействующие на регулируемую переменную.
6.3 Динамическое торможение
Динамическое торможение использует дополнительные поглощающие элементы (резисторы), что позволяет останавливать электрическую машину быстрее.
Здесь рассматривается только динамическое торможение, при котором энергия движения рассеивается на резисторе в цепи якоря двигателя постоянного тока.
Динамическое торможение и динамическое снижение скорости являются функциями, характеристики которых должны быть согласованы между потребителем и производителем/поставщиком. Следующие подпункты могут быть изменены путем переговоров.
6.3.1 Динамическое торможение для остановки
При динамическом торможении необходимо обеспечить следующие условия:
a) преобразователь в зависимости от параметров должен быть в состоянии остановить нагрузку при токе 110%, 125% или 150% номинального;
b) тормозной резистор должен иметь возможность поглощать накопленную двукратную энергию двигателя при максимальной скорости (резистор сначала находится при температуре окружающей среды);
c) приводные системы с большой переменной инерцией исполнительного оборудования (такого как моталки) должны иметь возможность снижать скорость при максимальном количестве накопленной энергии; тормозной резистор находится изначально при температуре окружающего воздуха, величина рассеиваемой им энергии должна быть достаточной, чтобы останавливать приводную систему сразу же при любой рабочей скорости; в этом случае момент инерции исполнительного оборудования должен быть указан пользователем.
6.3.2 Динамическое снижение скорости
Для обеспечения динамического замедления необходимо:
a) при обеспечении динамического снижения скорости резисторы должны иметь способность поглощать полную накопленную энергию якоря и исполнительного оборудования при двух последовательных торможениях от максимальной до минимальной скорости (с резистором при температуре окружающей среды в исходном состоянии);
b) преобразователь должен быть способным преобразовывать энергию переменного тока во время вышеупомянутого режима.
Примечание - Предполагается максимальная полная инерция приводимого в действие оборудования в пять раз больше, чем у двигателя переменного тока.
6.3.3 Торможение на постоянном токе
Торможение на постоянном токе также может использоваться, однако оно более характерно для двигателей небольшой мощности.
Примечание - Доступные тормозные моменты уменьшаются на пониженных скоростях.
Другие эксплуатационные требования должны быть определены количественно покупателем или производителем вместе с покупателем с учетом следующих обстоятельств.
6.4.1 Объект использования
- акустический шум;
- рабочие квадранты (см.
рисунок 3): обычные комбинации - квадранты I, I и III или все квадранты;
- вращающий момент как функция скорости (см.
рисунок A.1);
- специальные механические требования (см.
D.4.3 приложения D).
6.4.2 Особенности подключения к источнику питания
- заземление (см.
B.2 приложения B);
- коэффициент сдвига фаз при номинальных условиях (см.
2.4.9);
- коэффициент гармоник на стороне питающей линии (см.
4.1.1.5 и
B.3 приложения B);
- максимальный симметричный ток короткого замыкания.
6.4.3 Паспортные данные
- номинальный длительный выходной ток (см.
2.5.1 и
5.2.1);
- номинальное выходное напряжение (см.
2.5.4 и
5.2.1).
6.4.4 Защитные устройства
6.4.4.1 Устройства защиты от токов перегрузки
Настройка устройств защиты от токов перегрузки не должна превышать рабочего предела номинального значения выходного тока БМП.
6.4.4.2 Управление ускорением
Приводы должны иметь ограничение тока или регулирование ускорения.
6.4.4.3 Защита от превышения скорости и потери обратной связи по скорости
Должна быть обеспечена защита, если используется обратная связь по скорости и безопасная максимальная скорость может быть превышена.
6.4.4.4 Защита от отказа вентилятора
Системы привода, снабженные вентиляторами, должны иметь защиту от отказа вентилятора.
7.1 Классификация испытаний
7.1.1 Типовые испытания (стандартные испытания)
Испытание одного или нескольких устройств в целях проверки соответствия конструкции определенным требованиям (МЭК 60050(551)-04-15).
7.1.2 Контрольные испытания
Каждый отдельный прибор подвергают испытаниям во время и после изготовления с целью проверки соответствия определенным критериям (МЭК 60050(551)-04-16).
7.1.3 Выборочные испытания
Испытания нескольких произвольно выбранных из партии устройств (МЭК 60050(551)-04-17).
7.1.4 Специальные испытания
Проводятся в дополнение к типовым и к контрольным испытаниям; осуществляются по усмотрению производителя либо в соответствии с соглашением сторон (производителя и потребителя или его представителя).
Проверка конструкции устройства или оборудования, проводимая на заводе или в лаборатории производителя.
7.1.6 Приемо-сдаточные испытания
Приемо-сдаточные испытания представляют из себя демонстрацию заказчику проверки устройства на соответствие техническим условиям; являются договорными (МЭК 60050(551)-04-20).
7.1.7 Пусковые испытания
Являются проверкой корректной установки и работы устройства или оборудования; проводятся на месте (МЭК 60050(551)-04-21).
7.1.8 Испытания, проводимые в присутствии заказчика
Любые из вышеперечисленных испытаний осуществляют в присутствии заказчика, пользователя или его представителя (МЭК 60050(551)-04-21).
7.2.1 Общие положения
Рекомендуется уменьшить число выполняемых дорогостоящих испытаний. Следует выполнять только требуемые испытания. Согласно
7.3 зачастую можно уменьшить число испытаний за счет заводских испытаний отдельных составляющих устройства. Как показано в
7.4, специальные испытания проводят, только если это указано в договоре.
Желание пользователя или его представителя присутствовать при проведении заводских испытаний должно быть представлено в письменной форме. Поставщик должен предоставить отвечающие техническим требованиям результаты типовых испытаний устройства. Испытания проводят на заводе-изготовителе перед отправкой, если иные условия не оговорены в договоре.
7.2.2 Условия заземления
Производитель должен указать приемлемые схемы заземления для КП/БМП.
Для проверки полной производительности приемлемой системы заземления КП/БМП проводят типовые испытания.
Они могут включать в себя следующие испытания:
- замыкание нейтрали на землю;
- замыкание фазы на землю;
- замыкание нейтрали, проходящей через большое комплексное сопротивление, на землю;
- сопротивление изоляции.
Неприемлемые системы заземления должны быть обозначены как:
- запрещена;
- работа с измененными характеристиками, которые должны быть определены при стандартных испытаниях.
7.3 Испытания отдельных компонентов
7.3.1 Стандартные испытания для ЭПТ
Таблица 6
Испытания компонентов
Элемент системы | Стандарт МЭК |
Трансформатор | МЭК 60146-1-3, раздел 5 |
Двигатель | МЭК 60034-1, МЭК 60034-2 |
Преобразователь | |
Управление и защита | |
Примечание 1 - Все испытания силовых преобразователей, указанные в МЭК 60076, применяют также для КП, если они не противоречат испытаниям, указанным в вышеупомянутом разделе. Испытания, указанные в разделе 5 МЭК 60146-1-3, следует рассматривать в качестве специальных испытаний, применимых к КП. Примечание 2 - В соответствии с МЭК 60034 испытание двигателя не обеспечивает получения характеристик привода. Также необходимо учесть наличие пульсаций и гармоник, генерируемых преобразователем. |
7.3.2 Стандартные испытания для КП/БМП
Таблица 7
Стандартные испытания КП/БМП
Испытания | Типовые | Длительные | Специальные | Технические условия |
| x | x | | МЭК 60146-1-1, пункт 4.2.1 |
Незначительная и рабочая нагрузка | x | x | | МЭК 60146-1-1, пункт 4.2.2 |
Номинальный рабочий ток | x | | | МЭК 60146-1-1, пункт 4.2.3 |
Возможная перегрузка по току | | | x | МЭК 60146-1-1, пункт 4.2.12 |
Измерение пульсаций напряжения и тока | | | x | МЭК 60146-1-1, пункт 4.2.15 |
Определение потерь | x | | | МЭК 60146-1-1, пункт 4.2.4 |
Повышение температуры | x | | | МЭК 60146-1-1, пункт 4.2.5 |
Измерение коэффициента мощности | | | x | МЭК 60146-1-1, пункт 4.2.6 |
Измерение напряжения регулятора | | | x | МЭК 60146-1-1, пункт 4.2.8 |
Проверка дополнительных устройств | x | x | | МЭК 60146-1-1, пункт 4.2.7 |
Проверка характеристик оборудования управления | x | x | | |
Проверка защитных устройств | x | x | | МЭК 60146-1-1, пункт 4.2.10 |
Электромагнитная помехоустойчивость | x | | | МЭК 61800-3, раздел 5 |
Электромагнитная эмиссия | x | | | МЭК 61800-3, раздел 6 |
Уровень акустического шума | | | x | МЭК 60146-1-1, пункт 4.2.14 |
Дополнительные испытания | | | x | МЭК 60146-1-1, пункт 4.2.14 |
Примечание - Если для корректной работы ЭПТ/КП требуется заземление некоторых частей устройства, то во время испытания изоляции необходимо разомкнуть соединение с землей (согласование с другими стандартами МЭК находится на стадии рассмотрения). |
7.3.3 Проверка свойств управляющего оборудования КП/БМП
Проверить свойства управляющего оборудования при всех нагрузках, которые могут возникать при его использовании, невозможно. Однако оборудование должно быть проверено с двигателем (предпочтительно имеющим мощность, близкую к номинальной). Если это не может быть выполнено как цеховое испытание (см.
7.1.5), можно использовать двигатель меньшей мощности с соответствующим масштабированием величин обратных связей.
Если указано производителем, контрольное испытание для проверки управляющего оборудования может быть выполнено с ненагруженным двигателем с учетом требуемого диапазона регулирования скорости, т.е. при минимальной и максимальной скоростях. Динамические характеристики должны быть проверены при переходе с одной скорости на другую. Может быть полезно добавление инерционной нагрузки на привод, так чтобы КП/БМП работали при ограничении тока при ускорении (если это предусмотрено). Проверка замедления должна быть совместима с конструкцией оборудования.
Удовлетворительная работа оборудования должна быть проверена для всего диапазона напряжения питания, для которого оно разработано, если эта проверка еще не выполнена в другом испытании (например, при проверке защитных устройств). Для контрольного испытания к КП/БМП подключают номинальное входное напряжение или напряжения, если их несколько. При типовом испытании проверяют также функционирование оборудования при максимальном и минимальном значениях в диапазоне изменения каждого входного напряжения.
7.4 Испытания электропривода
В таблице 8 дан перечень проводимых над ЭПТ испытаний. Данные испытания являются специальными (см.
7.1.4).
Таблица 8
Классификация специальных испытаний ЭПТ
Динамические испытания | Подпункт |
Малая нагрузка | |
Нагрузка | |
Режим нагрузки | |
Зависимость допустимого ТМН (ток максимально допустимой нагрузки) от скорости | |
Превышение температуры | |
КПД | |
Содержание гармоник тока в линии | |
Коэффициент мощности | |
Перераспределение тока | |
Распределение напряжения | |
Проверка дополнительных устройств | |
Проверка согласования защитных устройств | |
Проверка характеристик при нестандартных условиях эксплуатации | |
Паразитный ток по валу и изоляция подшипника | |
Низкочастотный шум | |
Вибрация двигателя | |
Электромагнитная совместимость | |
Гармоническое содержание тока на выходе КП | |
Ограничение тока (предельный ток) и контур тока | |
Контур регулирования скорости | |
Пульсация момента | |
Автоматический повторный запуск | |
7.4.1 Схема испытания
Испытание проводят согласно схеме на рисунке 8. Как показано на этом рисунке, физические величины измеряются как прямым, так и косвенным методом.
U - напряжение; M - момент вращения; I - ток;

- температура;
N - частота вращения;
P - активная мощность
Рисунок 8 - Измерительная цепь силовой части электропривода
7.4.2 Оценочные испытания
Вал двигателя присоединяют к нагрузке (см. примечание), которая способна предоставить условия для проверки правильного функционирования системы управления. По согласованию между производителем и потребителем может быть проведено испытание без нагрузки. Двигатель должен быть подобран таким, чтобы его ток мог обеспечить проверку правильного функционирования КП/БМП.
Примечание - Нагрузкой является исполнительное оборудование или для целей испытания - модель исполнительного оборудования.
При 100%, 75%, 50% и 25% номинальной скорости и для требуемой максимальной нагрузки для каждой из этих скоростей измеряются следующие параметры:
- напряжение U0, ток I0 и мощность P0 на входе трансформатора (если он имеется);
- напряжение U1, ток I1 и мощность P1 на входе преобразователя;
- напряжение U2, ток I2 и мощность P2 на входе двигателя;
- превышение температуры для каждого устройства.
Предварительно производитель и потребитель должны определить тип данного испытания: будут ли это испытания цеховые или приемо-сдаточные.
Примечание 1 - Напряжение U2 измеряют с помощью прибора с точностью, достаточной для измерения среднеквадратичного значения основной составляющей выходного напряжения преобразователя. Токи I0, I1 и I2 измеряют амперметром переменного тока с точностью, достаточной для определения среднеквадратичного значения полного тока.
Примечание 2 - Нагрузкой является приводное оборудование или для целей испытания - модель приводного оборудования.
Вал двигателя соединен с нагрузкой (см.
примечание), которая способна обеспечить длительный и согласованный с циклограммой режим нагружения, чтобы убедиться, что повышение температуры в оборудовании достигает стабильного состояния при различных режимах.
Предварительно производителю и пользователю необходимо определить тип данного теста: будут ли это испытания в цехе или же приемо-сдаточные испытания.
Примечание - Нагрузкой является приводное оборудование или для целей испытания - модель приводного оборудования.
7.4.2.4 Зависимость допустимого тока максимальной нагрузки от скорости
Диапазон скорости, в котором привод может работать непрерывно с номинальным током полной нагрузки без превышения допустимой температуры нагрева любого компонента, определяется с помощью измерения температуры в установившемся состоянии привода для каждого рассматриваемого значения скорости.
Вал двигателя соединен с нагрузкой. Значение нагрузки соответствует полной нагрузке или соответствующей перегрузке.
Примечание - Как правило, данные испытания проводятся в условиях лаборатории, но в некоторых случаях при договоренности между производителем и заказчиком могут быть выполнены во время приемо-сдаточных испытаний. При испытаниях в лаборатории вал двигателя соединен с нагрузкой. Устанавливается нагрузка, требуемая для обеспечения значения тока, соответствующего максимально допустимой нагрузке или перегрузке, указанной для соответствующих точек диапазона скоростей. Если проводятся приемо-сдаточные нагрузочные испытания, то их процедура и условия должны быть указаны.
7.4.2.5 Испытания на превышение температуры
Испытания на превышение температуры проводят с минимальной, номинальной и максимальной скоростью при максимально допустимой нагрузке. Испытания на превышение температуры проводят, пока температура всех устройств не установится.
7.4.2.6 Коэффициент полезного действия (КПД)
Механическую мощность P3 измеряют методом торможения, динамометрическим методом, методом двух машин согласно подразделу 9.2 МЭК 60034-2 или калориметрическим методом. Тогда общий КПД системы равен (P3/P0)·100 (в процентах). Если нет возможности точно измерить КПД на выходе ЭПТ, он может быть аппроксимирован расчетами на основе испытанных режимов.
7.4.2.7 Содержание гармоник тока в питающей линии
Данное измерение выполняют с помощью приборов и методов, указанных в МЭК 61000-4-7, при номинальных условиях эксплуатации.
7.4.2.8 Коэффициент мощности
Измерение коэффициента мощности проводят при номинальных условиях работы (см.
2.4.10 и
2.4.11). Данное измерение может быть сделано при выполнении испытания с обычной нагрузкой, см.
7.4.2.2.
7.4.2.9 Перераспределение тока
Если в системе силового привода используют параллельно подключенные источники питания, то необходимо проверить перераспределение тока между ними. Данное испытание следует проводить при номинальном входном токе.
Примеры параллельной установки:
- преобразователь состоит из более чем одного моста;
- преобразователь состоит из более чем одного полупроводникового вентиля на плечо;
- двигатель имеет обмотки, подключенные параллельно.
Баланс должен быть достаточным, чтобы убедиться, что устройство не перегружено выше проектных значений при наихудших условиях.
7.4.2.10 Распределение напряжений
Для случая, когда два и более БМП и/или двигателя соединены последовательно, необходимо выполнить проверку распределения напряжения и установить, что на БМП и/или двигателе не возникает перенапряжения. Распределение напряжения должно быть таким, чтобы характеристики ни одного устройства не выходили из диапазона расчетных значений для наихудших условий.
7.4.2.11 Проверка дополнительных устройств
Должна быть проведена проверка функционирования всех вспомогательных устройств, которые не полностью проверены в испытаниях КП/БМП или двигателя. Примерами таких устройств являются: двигатели вентиляторов, запитанные от КП масляные насосы, внешние автоматические выключатели и автоматические выключатели постоянного тока.
Эта проверка может быть выполнена при проведении испытания с малой нагрузкой (см.
7.4.2.1).
7.4.2.12 Проверка согласования защитных устройств
Проверку согласования защитных устройств следует проводить по возможности без перегрузки компонентов оборудования выше их номинальных значений.
Функция аварийного останова, если она имеется, должна быть проверена. Должна быть также проверена правильная работа всех защитных устройств, которые не полностью проверены при испытаниях КП/БМП или двигателя.
Из-за широкого выбора защитных устройств и их сочетаний невозможно сформулировать какие-либо общие правила для проверки этих устройств.
Примерами защитных устройств, которые проверяются в процессе испытания ЭПТ, являются устройства контроля: превышения частоты вращения двигателя, перенапряжения, перегрузки, потери обратной связи по скорости, понижения основного напряжения, замыкания на землю и т.д.
Чтобы проверить функции защиты и не превысить нагрузки на компоненты системы рекомендуется использовать щадящие настройки.
Если преобразователь имеет защиту от замыкания на землю, проверка нормальной работы защиты выполняется на клеммах двигателя.
7.4.2.13 Проверка характеристик при нестандартных условиях эксплуатации
Нестандартные климатические условия могут требовать специального покрытия на электронных узлах и/или шкафах. В экстремальных температурных условиях может быть установлен кондиционер или обогреватель. Особые условия должны быть указаны потребителем, а способы корректных измерений и испытаний оборудования должны быть согласованы между производителем и потребителем.
7.4.2.14 Паразитный ток по валу и изоляция подшипника
Токи на валу могут быть результатом пульсаций напряжения и тока, наложенных на значения постоянного тока в процессе работы преобразователя. Несмотря на то, что эти токи малы, они могут стать причиной повреждения как смазки, так и подшипников скольжения. Методы для проверки их наличия должны быть согласованы производителем и потребителем оборудования.
7.4.2.15 Низкочастотный шум
Для ЭПТ может быть необходима проверка на акустический шум. Испытание должно быть выполнено при увеличенном диапазоне рабочей скорости и нагрузок (см. примечание). Допустимые уровни шума должны быть согласованы производителем и потребителем. См. также МЭК 60034-9.
Примечание - Нагрузкой является исполнительное оборудованием или для целей испытания - модель исполнительного оборудования.
7.4.2.16 Вибрация двигателя
Данные испытания проводят на различных скоростях и нагрузках в целях выявления любого влияния преобразователя на вибрацию двигателя.
7.4.2.17 Электромагнитная совместимость
Испытания на электромагнитную совместимость описаны в МЭК 61800-3.
7.4.2.18 Гармонический состав тока на выходе КП
Гармонический состав присутствует в напряжении источника напряжения и в токе источника тока.
Измерения должны быть проведены с помощью гармонического анализа для определения амплитуды до 25-го (как правило) или 50-го (в особых случаях) порядка во всем диапазоне скоростей. Условия измерения должны быть согласованы изготовителем и потребителем.
7.4.3 Динамические испытания
7.4.3.1 Ограничение тока и контур тока
Испытания характеризуются динамическими характеристиками КП/ЭПТ независимо от исполнительного оборудования.
Могут быть проверены:
a) Ограничение тока
Обеспечивают поэтапное увеличение нагрузки, чтобы достичь требуемой заданной точки ограничения тока КП. (В качестве альтернативы можно использовать поэтапное ступенчатое изменение скорости двигателя с соответствующим моментом инерции на валу, что эквивалентно приложению кратковременной нагрузки КП для достижения заданной точки ограничения тока.) Затем могут быть проанализированы время нарастания тока, его перерегулирование и характеристики демпфирования.
b) Полоса пропускания контура тока
Полоса пропускания контура тока может быть установлена использованием гармонического анализа зависимости между заданным значением тока и измеренным (обратная связь). Проверяются амплитуда и сдвиг по фазе. Испытание должно быть проведено на линейном или квазилинейном участке.
c) Переходная характеристика по заданию тока
Испытания могут включать в себя нелинейный участок.
Испытания должны быть проведены при различных скоростях - при 0%, 5% основной скорости, 100% основной скорости и максимальной скорости ослабления поля NM.
Примечание - Как правило, необходимо регулировать скорость, используя при испытании машину, соединенную с валом приводной системы (в которой момент автоматически приводится в соответствие со значением тока).
7.4.3.2 Контур регулирования скорости
Для проведения испытания выбирают требуемое значение, производят скачок задания скорости. Испытание может быть выполнено при отсутствии нагрузки или с небольшой нагрузкой:
- достигают и проверяют значение ограничения тока;
- измеряют реакцию скорости привода на скачок задания без достижения каких-либо ограничений (как правило, измерения выполняют при 50%-ной основной скорости, при 100%-ной и при максимальной скорости с ослаблением поля
NM. Временная характеристика реакции скорости на ступенчатое задание приведена в
приложении D.
При измерении реакции скорости на ступенчатое изменение нагрузки последнюю следует изменять с шагом, позволяющим последовательно измерять скорость. Это может быть выполнено при проведении испытания по
7.4.2.2 (испытание под нагрузкой). Шаг нагрузки должен быть выбран таким, чтобы не достигались ограничения.
Измерение проводят согласно описанию, приведенному в
приложении D.
7.4.3.3 Пульсации момента
Относительный уровень пульсаций момента в воздушном зазоре может быть измерен без нагрузки путем изменения частоты вращения с помощью соответствующего соединенного с валом средства измерения скорости. Точное измерение пульсаций момента возможно при хорошо известном моменте инерции механической части привода или с помощью датчиков крутящего момента.
7.4.3.4 Автоматический повторный запуск
Если обеспечивают автоматический перезапуск, он должен быть проверен при указанном интервале отключения электроэнергии. Эта функция должна быть согласована с аварийным остановом и, при необходимости, заблокирована.
7.5 Измерительная аппаратура для испытаний
Выходные токи и напряжения преобразователей имеют различное число гармоник в зависимости от настройки частоты и типа модуляции в инверторе.
Примечание - По запросу потребителя производитель обязан рекомендовать наиболее подходящий тип приборов (амперметры, вольтметры) для измерения выходных величин.
На паспортной табличке данных КП или БМП должна быть указана следующая информация:
a) идентификационный признак производителя;
b) идентификационный признак оборудования (модель, серийный номер и год изготовления);
c) входные параметры:
- напряжение;
- номинальный ток со стороны подводящей линии ILN или номинальный входной ток преобразователя IVN и входной ток вспомогательных устройств IXN в соответствии с конструкцией КП или БМП, чтобы эти значения могли быть использованы для определения параметров питания;
- частота;
- число фаз;
- минимальное внутреннее сопротивление источника или максимальный ожидаемый ток короткого замыкания и максимальное внутреннее сопротивление источника;
d) выходные характеристики:
- максимальное номинальное выходное напряжение;
- номинальный постоянный ток;
- перегрузочная способность (см.
5.2.2);
- диапазон частот;
- число фаз;
- номинальная мощность (опционально);
- последовательность фаз на выходе (опционально).
Примечание - Из-за ограничения размера некоторые данные могут быть приведены в инструкции по эксплуатации.
8.2 Сопроводительная информация об ЭПТ или КП/БМП
8.2.1 Информация, относящаяся к оборудованию:
- информация, необходимая для калибровки компонентов, устройств, и сборочных единиц, которые предусматривают пользовательскую настройку;
- информация, позволяющая правильно выбирать входную и выходную защиту и заземление;
- руководства по эксплуатации, включая всю информацию, необходимую для работы поставляемого оборудования;
- информация об ЭМС согласно МЭК 61800-3;
- предупреждающие надписи с требованиями безопасности;
- последовательность фаз выхода.
8.2.2 Должна быть представлена следующая сопроводительная информация:
- инструкции по обслуживанию и эксплуатации, включая информацию о расположении и замене вышедших из строя компонентов или сборочных единиц;
- язык изложения должен соответствовать стране производителя оборудования или быть согласован между поставщиком/производителем и заказчиком;
- номинальное значение энергии, рассеиваемой цепями динамического торможения и замедления.
8.2.3 Информация о частоте вращения должна описывать ЭПТ, в том числе:
- номинальную частоту вращения;
- максимальную частоту вращения;
- максимальную допустимую частоту вращения.
9 Безопасность и предупредительные надписи
9.1 Предупредительные надписи
Предупредительные знаки и надписи должны быть предоставлены производителем и расположены в соответствии с требованиями норм и стандартов на месте использования оборудования (если оно известно) и согласно МЭК 60204-1. Они должны быть сделаны на языке(ах) места использования.
Если неизвестно местоположение потребителя, предупредительные надписи должны быть предоставлены и расположены в соответствии с действующими нормами и стандартами страны происхождения и МЭК 60204-1. Они должны быть на языке страны производителя оборудования.
Все предупредительные знаки и надписи должны быть продублированы в руководстве по эксплуатации.
Примечание - Некоторые принципиальные указания:
- предупредительная надпись должна находиться возле рукоятки управления главного выключателя питания, если он не обесточивает все открытые токоведущие части, находясь в положении ВЫКЛ.;
- там где есть возможность перепутать подводящую линию с линией после отключающего устройства из-за его размера или расположения, предупредительная надпись должна прилегать к рукоятке управления отключающего устройства цепи управления, указывая на то, что не отключает все питание от оборудования;
- если время, необходимое для рассасывания накопленного потенциала 50 В, составляет более 1 мин, должно быть обеспечено предупреждающее сообщение;
- если часть оборудования, имеющая напряжение свыше 50 В, может быть перемещена вне объема, закрытого оболочкой, устройство должно включать в себя защиту цепей выше 50 В, за исключением тех, в которых ток короткого замыкания для этих напряжений ограничен 5 мА;
- необходимо размещать предупредительные надписи в случаях, когда потребитель может разместить в оболочке цепи, которые не отключаются поставляемыми производителем устройствами;
- на предупредительной табличке должна быть указана информация о части оборудования, составляющего цепи сверхнизкого напряжения (сверхнизкое напряжение по функциональным признакам определяется согласно МЭК 60364-4-41).
9.2 Безопасность и устройство ЭПТ
ЭПТ соединяют с исполнительным оборудованием, которое должно соответствовать правилам и нормам техники безопасности. Все системы защиты для исполнительного оборудования, включая вал двигателя, определяет потребитель. Потребитель должен предоставить производителю ЭПТ все технические требования, которые необходимы для обеспечения безопасности и должны быть включены в систему управления ЭПТ (см.
приложение E).
ЭПТ содержит в основном электрическое оборудование, поэтому угроза безопасности определяется главным образом электрическими факторами. Аналогичная угроза безопасности существует и для КП/БМП.
По этим причинам ЭПТ должен удовлетворять требованиям МЭК 60204-1.
Соответствие МЭК 60204-1 не обеспечивает выполнение всех требований безопасности. Более подробные требования представлены в других стандартах (см.
приложение E).
(справочное)
Все КП/БМП, охватываемые настоящим стандартом, предназначены для использования с двигателями переменного тока (одним или несколькими).
Цель данного приложения состоит в том, чтобы помочь пользователю выбрать надлежащий двигатель для прикладной задачи и проинформировать о возможных воздействиях на работу двигателя, являющихся результатом его применения с преобразователем.
Настоящее приложение является информационным и обучающим руководством.
Корпуса двигателей включают в себя все известные типы (брызгозащищенный, полностью закрытый, взрывозащищенный и т.д.).
Стандарты для двигателей переменного тока определены в МЭК 60034.
Существуют три типовых метода охлаждения двигателя.
Они кодифицированы в МЭК 60034-6 и установлены как код IC (International Cooling - охлаждение оборудования в соответствии с международными нормами). Код состоит из пяти символов: первые два - IC, а оставшиеся определяются согласно нижеследующему.
- Классификация контура циркуляции (от 0 до 9):
- естественная циркуляция - 0;
- использование трубопроводов - 1, 2, 3;
- использование теплообменника (включая станину двигателя) - 4, 5, 6, 7, 8, 9.
- Первичный хладагент, который наиболее часто используется, - воздух (A), вода (W).
- Метод движения первичного теплоносителя:
- естественная конвекция - 0;
- естественная циркуляция - 1;
- на двигателе установлено независимое устройство охлаждения - 6.
- Вторичный теплоноситель с той же самой кодировкой, что и первичный теплоноситель.
- Способ движения вторичного теплоносителя с той же кодировкой, что и способ движения первичного теплоносителя.
Три типичных способа охлаждения двигателя описаны и кодифицированы следующим образом:
a) Вентиляторы установлены на валу
Охлаждение является в этом случае функцией скорости двигателя и к тому же определено как "самовентиляция с внутренним вентилятором"; этот метод кодифицируется как IC0A1.
b) Отдельный источник охлаждения (часто снабженный фильтрами)
- Подача воздуха от вентилятора, непосредственно установленного на двигатель IC0A6.
- Подача воздуха по отдельной магистрали IC1A7.
Возможно, что вентилятора установленного на валу двигателя, недостаточно на пониженных скоростях, чтобы сдерживать повышение температуры из-за уменьшенной эффективности внутренней циркуляции воздуха.
Это имеет особое значение для нагрузок, требующих вращающего момента, близкого к номинальному, на скоростях ниже примерно 0,5 о.е.
Нагрузки, требующие пониженных вращающих моментов ниже этой скорости, встречаются достаточно часто (например, вентиляторы центробежного типа и нагнетатели).
Максимально допустимая температура изоляции обмоток и корпуса двигателя (взрывозащищенного) обычно ограничивает диапазон регулирования скорости в приводах с переменной скоростью.
Повышение температуры зависит:
- от требуемого диапазона регулирования скорости;
- зависимости момента нагрузки от скорости;
- типа нагрузки двигателя (статической/динамической);
- типа корпуса двигателя;
- выбранного габаритного размера двигателя;
- системы охлаждения двигателя;
- номинальной мощности привода (т.е. от величины поверхностного эффекта, зависящего от размера двигателя, технических решений и пульсаций от преобразователя);
- проектных характеристик (т.е. от нормального или высокого КПД, пускового вращающего момента и расчетного скольжения).
Все вышеупомянутое позволит определить, отвечает ли предъявляемым требованиям вентилятор, охлаждающий двигатель.
Гармонические составляющие напряжения/тока создают нежелательные нагрев и моменты вращения двигателя (тормозные и колебательные), осевые силы и дополнительный акустический шум.
Гармонические составляющие зависят:
- от минимальной рабочей скорости;
- значения и порядка производимых гармоник;
- подключенного исполнительного оборудования;
- параметров двигателя.
A.3.1 Топология преобразователей
Все преобразователи, на которые распространяется настоящий стандарт (см.
приложение E), имеют на выходе гармоники тока и напряжения.
Распределение гармоник и их значения зависят от типа преобразователя и параметров двигателя.
A.3.2 Потенциалы относительно земли
Гармоники выходного напряжения и смещение напряжения относительно земли также воздействуют на систему изоляции двигателей и характеризуются следующими параметрами:
- пиковое напряжение между зажимами;
- скорость изменения напряжения (dv/dt);
- напряжение между зажимами и корпусом/землей.
У двигателей, спроектированных для использования на постоянной скорости, могут быть механические резонансы, возникающие при скоростях, отличных от номинальной.
Вибрация двигателя должна быть проверена во всем диапазоне рабочих скоростей, чтобы гарантировать безопасную работу в регулируемом диапазоне скоростей (см.
D.5.3.1,
D.5.3.2 и
рисунки D.13 и
D.14).
A.4.1 Анализ крутильных колебаний
Существование вышеупомянутых условий может быть при необходимости установлено всесторонним анализом кручения.
A.4.2 Способы борьбы с крутильными колебаниями
Целью анализа кручения является определение уровня нагрузки на механические части и обеспечение их нахождения в пределах, не превышающих допустимые колебательные нагрузки и предел текучести.
Если анализ показывает, что механическая система перенапряжена, существуют несколько способов устранения неполадок, которые допускается использовать при проектировании электропривода.
Эти средства включают в себя:
- замену материала вала или изменение его размеров с целью переместить резонансные частоты вне рабочего диапазона;
- использование сочленений, поглощающих энергию;
- использование умножающих число фаз инверторов в целях уменьшения пульсаций вращающего момента;
- использование улучшенных форм сигнала;
- использование частотного окна;
- селективное электронное демпфирование.
A.4.3 Пульсации вращающего момента
Сведения об относительном гармоническом составе напряжений и/или токов двигателя также важны в установлении повторяющихся пульсирующих вращающих моментов, вызванных гармониками.
Переход от одной формы колебаний к другой может создавать кратковременные переходные помехи вращающего момента, которые тоже будут рассмотрены.
A.5 Эксплуатационные режимы
Система привода может быть спроектирована для работы в одном или нескольких из указанных ниже режимов:
a) вращающий момент, изменяющийся в функции скорости, например как квадрат скорости (насосы, вентиляторы и компрессоры);
b) постоянный вращающий момент во всем определенном диапазоне скоростей;
c) постоянная мощность во всем определенном диапазоне скоростей, если вращающий момент уменьшается при увеличении скорости;
d) рекуперативный режим, когда система привода преобразовывает механический вращающий момент с вала двигателя в электрическую энергию, возвращаемую в электроэнергетическую сеть; рекуперативный режим работы может быть при любом из трех режимов, описанных выше: непостоянный вращающий момент, постоянный вращающий момент или постоянная мощность;
e) динамическое торможение, когда функцией системы привода является преобразование вращающего момента с вала двигателя в электрическую энергию, питающую резистор или аналогичный элемент, который рассеивает ее в виде тепла.
Режим(ы) работы, определенный(е) для электропривода, должен(ны) быть совместим(мы) с возможностями рабочего диапазона вращающего момента и скорости (см. рисунок A.1).
Примечание 1 - Уменьшение перегрузочной способности может быть необходимо для диапазона скорости выше номинальной.
Примечание 2 - Работа ниже номинальной скорости может требовать использования нагнетателя воздуха для надлежащего охлаждения двигателя.
Примечание 3 - Этот рисунок может быть распространен на работу в четырех квадрантах.
Примечание 4 - Уменьшение нагрузочной способности может потребоваться при работе выше номинальной скорости.
Рисунок A.1 - Вращающий момент и выходная
мощность двигателя переменного тока
A.5.1 Характеристики вращающий момент/скорость
Характеристики вращающий момент/скорость могут быть определены для системы привода, например, как показано на
рисунке A.1.
Для двигателя с самовентиляцией, приводимого в действие КП/БМП, два фактора, которые могут быть рассмотрены, уменьшают вращающий момент:
- гармоники напряжения и тока;
- ухудшение вентиляции с понижением скорости.
A.5.2 Рекуперация энергии
Некоторые приводы с регулируемой скоростью, охватываемые настоящим стандартом, могут непрерывно работать в режиме рекуперации, когда двигатель преобразовывает механическую энергию от приводимого в движение оборудования в электрическую энергию, которую КП/БМП возвращает затем во входной источник переменного тока.
Механическая выходная мощность двигателя может быть выражена через вращающий момент и угловую скорость. Данные переменные могут иметь две полярности.
Поэтому существуют четыре возможных режима работы (см.
2.3).
Мощность является произведением вращающего момента и угловой скорости.
Поток мощности от преобразователя к двигателю соответствует двигательному режиму, тогда как поток мощности от двигателя к преобразователю соответствует режиму рекуперации.
Из-за влияний гармоник механизм возбуждения акустического шума становится даже более сложным, чем в случае работы от синусоидального источника.
Достоверный прогноз возбуждаемого магнитным полем шума, который имеет место во время работы преобразователя на короткозамкнутые асинхронные двигатели, находится за рамками современного уровня развития техники.
Как отмечено в
A.4, резонанс может произойти при некоторых скоростях внутри диапазона регулирования.
Опыт показал, что по отношению к работе от синусоидального источника питания, изменение шума, измеренного по шкале A, от +1 дБ до +6 дБ, происходит в случае работы от преобразователей - источников тока при номинальной частоте и от -1 дБ до +15 дБ в случае работы от преобразователей - источников напряжения с широтно-импульсной модуляцией.
Уровень шума определяется числом полюсов двигателя, формой импульсов преобразователя и другими факторами.
A.7 Срок службы системы изоляции двигателя
Система изоляции двигателя подвергнута более высоким диэлектрическим нагрузкам при питании от преобразователя, чем в случае питания от источника с синусоидальными напряжениями или токами.
В случае питания от преобразователей - источников тока высокий уровень скачков напряжения и высокие пики напряжения, прикладываемые к двигателю в течение периода коммутации, подвергают основную изоляцию перегрузкам.
Градиенты напряжения dv/dt, которые нагружают межвитковую изоляцию, значимы в случае питания от преобразователей с широтно-импульсной модуляцией.
Практический опыт свидетельствует о том, что вышеупомянутые факторы не обязательно влияют на срок службы изоляции.
Срок службы системы изоляции двигателя сильно зависит от используемой технологии и качества, обеспечиваемого поставщиком двигателя.
Широко известно, что не происходит значительного снижения срока службы изоляции от работы преобразователя, если соблюдаются следующие условия:
Vпик <= 3·номинальное напряжение,
dv/dt <= 1500 В/мкс.
Проектировщик системы должен выяснить ограничения отдельного включенного в систему двигателя и предпринять надлежащие мероприятия по ограничению максимальных значений Vпик и dv/dt на стороне нагрузки КП/БМП.
Примечание - См. МЭК 60034-17.
Напряжения на валах могут происходить в результате работы двигателя от преобразователя.
Опыт показывает, что напряжения вала выше, чем приблизительно 500 мВ (пиковое значение), вредны для подшипников качения.
Поскольку двигатели, соответствующие МЭК 60034-12, фактически никогда не оснащаются подшипниками с изоляцией, желательно выполнять измерение напряжения на валу во время работы преобразователя.
Методы устранения вредного влияния включают в себя шунтирование тока через подшипники с помощью заземленной щетки на валу или использование изолированных подшипников.
A.9 Новые системы привода
При внедрении новой системы электропривода от производителя может потребоваться технико-экономическое обоснование. Пользователь при этом указывает следующие данные:
- механические характеристики (зависимость крутящего момента от скорости, момент инерции, упругость, люфт) на валу двигателя;
- необходимый диапазон регулирования скорости;
- питающее напряжение с допустимыми отклонениями (напряжение/частота);
- допустимая продолжительная мощность и мощность короткого замыкания;
- режимы эксплуатации (длительный, кратковременный, циклический);
- особые технические условия места установки;
- гармоники источника переменного тока, коммутационные пики, отклонения напряжения.
Примечание - См.
D.3 приложения D для дополнительной информации.
МЭК 60034 Вращающиеся электрические машины
МЭК 60034-5:1991 Вращающиеся электрические машины. Часть 5. Классификация степеней защиты, обеспечиваемой корпусами вращающихся электрических машин (Код IP)
МЭК 60034-6:1991 Вращающиеся электрические машины. Часть 6. Методы охлаждения (Код IC)
МЭК 60034-7:1992 Вращающиеся электрические машины Часть 7. Классификация типов конструкций и способов монтажа (Код IM)
МЭК 60034-12:1980 Вращающиеся электрические машины. Часть 12. Пусковые характеристики односкоростных трехфазных асинхронных короткозамкнутых двигателей для напряжений вплоть до 660 В
МЭК 0034-17:1992 Вращающиеся электрические машины. Часть 17. Руководство по применению короткозамкнутых асинхронных двигателей, питающихся от преобразователей
МЭК 60079 (все части) Электрические аппараты для взрывоопасной атмосферы
(справочное)
Подключение КП/БМП к сети питания оказывает в точке подключения воздействие, которое отражается далее на питающей сети. Другие нагрузки производят похожее влияние в общих точках соединения (ОТС). В дополнение преобразователь представляет собой нелинейный тип нагрузки, для примера форма сигнала напряжения и тока в питающей линии несхожи.
Подключение преобразователя приводит к искажению формы сигнала напряжения питающей линии. Это является дополнением к любым искажениям формы сигнала в ОТС, существующим перед подключением преобразователя из-за использования других подключенных нагрузок в сети.
Преобразователь как нелинейный тип нагрузки означает, что в дополнение к полезному синусоидальному току в преобразователе протекают гармонические токи. Поскольку эти гармонические токи не участвуют в передаче энергии и вносят бесполезную нагрузку в систему электроснабжения, желательна их минимизация. IEEE 519 подробно рассматривает влияние гармонических токов и устанавливает допустимые пределы их влияния. Потребитель должен указать степень необходимого уровня гармоник.
Преобразователи также способны к генерированию напряжения, переходящего на линии питания переменного тока, приводящего к провалам напряжения питания. Данные провалы описаны в IEEE 597. Допустимые пределы для провалов и методы их снижения приведены в IEEE 519 и МЭК 60146-1-1. Поскольку влияние провалов зависит от конфигурации и входной мощности преобразователя, пользователь должен рассматривать этот факт при применении преобразователей. Производитель преобразователя может быть ознакомлен с этими данными для выбора преобразователя и методов снижения провалов.
Наконец, весьма высокая частота переключения полупроводников преобразователя на стороне подводящей линии приводит к появлению высокочастотных переходных процессов в линии, что может вызвать проблемы ЭМС.
Влияние преобразователя на энергосистему и оборудование в ОТС описывается в МЭК 61800-3 (приложения B и C).
B.2 Заземление источника переменного тока
Заземлению источника питания переменного тока уделяется большое внимание. Для трехфазных систем питания переменного тока существует пять вариантов заземления: с изолированной нейтралью; с глухозаземленной нейтралью; с заземленным линейным проводником, с заземленной нейтралью низкого сопротивления, с заземленной нейтралью высокого сопротивления.
Система с заземленной нейтралью высокого сопротивления является предпочтительной для приводов, используемых в процессах, в которых необходимо непрерывное питание. Например, линия с заземляющим проводником или линия с соединенными в треугольник обмотками трансформатора с заземленной нулевой точкой может вызвать неправильную работу привода, причиной которой является напряжение регулятора с общим подключением на землю.
Руководство по эксплуатации производителя должно содержать указания по допустимым конфигурациям заземления систем питания переменного тока. Раздел 12 IEEE 597 содержит более детальное рассмотрение методов заземления.
В таблице 6 раздела 12 IEEE 597 характеристики типов систем заземления систематизируются по трем основным категориям: глухозаземленная нейтраль, заземленная нейтраль высокого сопротивления и изолированная нейтраль.
Примечание - Способы заземления в электросети и способы заземления оборудования рассматриваются в МЭК 60364-3.
B.3 Введение в гармоники и промежуточные гармоники
Теоретический и практический анализ преобразователей позволяет рассматривать их как источники гармонических токов.
Примечание 1 - Некоторые новые преобразователи могут рассматриваться как источники гармонических напряжений. Поэтому подключение к ТС через сопротивление преобразует их в источники гармонических токов.
Примечание 2 - ОТС: общая точка соединения к коммунальной сети; ТСУ: общая точка соединения установки к локальной сети; ТС: точка соединения (для любого из случаев приведенных выше).
Расчетным способом можно определить гармонический импеданс системы в точке соединения ТС.
Это значение может использоваться для уточнения гармонической модели системы электропривода (ЭПТ). Гармонические помехи, влияющие на оборудование, являются результатом влияния гармонического напряжения.
Uh = Zh·Ih.
Затем определяется влияние гармоник (или промежуточных гармоник, когда порядок h является нецелым числом).
Существует два основных типа преобразователей с точки зрения их подключения к линии переменного тока:
- тип 1 - тиристорные преобразователи с большой индуктивностью цепи нагрузки постоянного тока, в которых гармоники тока, определяемые его пульсациями (см.
рисунок B.4), зависят от числа пульсаций (пульсности) преобразователя и угла зажигания при соответствующем значении
RSC. Гармоники напряжения обязаны в основном коэффициенту
RSC и пульсности преобразователя, как показано в
таблице B.1;
- тип 2 - диодные преобразователи с небольшой индуктивностью (или вообще без индуктивности) и большой емкостью нагрузки постоянного тока, в которых гармоники тока являются функцией индуктивности питающей линии (см.
рисунок B.5).
Пример расчета влияния гармоник (гармонического напряжения) приведен в пункте 3.6.3 МЭК 60146-1-2.
Данный пример иллюстрирует преобразователи типа 1, подключенные к сети без конденсаторных батарей и длинных линий питания (кабелей).
В таблице B.1 приведены минимально необходимые значения RSC для данного полного коэффициента гармонических искажений напряжения THD, при различном числе пульсаций p, ширине участка провала AE (выраженной в о.е.·град.) и величине амплитуды основной гармоники напряжения (выраженной в о.е.).
Таблица B.1
Минимальные требования
RSC для низковольтных систем
THD | p = 6 | p = 12 | p = 18 | p = 24 |
о.е. | RSC | AE | U5, о.е. | RSC | AE | U11, о.е. | RSC | AE | U17, о.е. | RSC | AE | U23, о.е. |
0,01 | 231 | 0,25 | 0,0041 | 150 | 0,19 | 0,0043 | 106 | 0,18 | 0,0055 | 99 | 0,14 | 0,0054 |
0,015 | 154 | 0,40 | 0,0062 | 100 | 0,29 | 0,0065 | 71 | 0,27 | 0,0081 | 66 | 0,22 | 0,0081 |
0,03 | 77 | 0,74 | 0,0123 | 50 | 0,57 | 0,0130 | 35 | 0,55 | 0,0165 | 33 | 0,43 | 0,0163 |
0,05 | 46 | 1,24 | 0,0206 | 30 | 0,93 | 0,0217 | 21 | 0,91 | 0,0275 | 20 | 0,72 | 0,0268 |
0,08 | 29 | 1,98 | 0,0327 | 19 | 1,51 | 0,0342 | 13 | 1,47 | 0,0444 | 12 | 1,19 | 0,0447 |
0,1 | 23 | 2,48 | 0,0409 | 15 | 1,89 | 0,0428 | 10 | 1,84 | 0,0555 | 9 | 1,49 | 0,0559 |
Примечание 1 - Для систем среднего напряжения используется RSCmin = 3 x RSC в качестве минимального значения (резонансный допуск). Примечание 2 - Для высоковольтных систем используется RSCmin = 2RSC как минимальное требование (допустимый резонанс). Примечание 3 - Не используется для систем с непосредственно присоединенными батареями конденсаторов или фильтрами. Примечание 4 - ДОПУЩЕНИЕ: THD·RSC = константа для каждого значения p. Примечание 5 - Полный коэффициент гармонических искажений отражает вклад преобразователя в существующие искажения. Примечание 6 - Участок провала приведен для одного единичного провала, без многократных переключений. Примечание 7 - S1LN используют для характеристики искажения, соответствующего номинальной полной мощности. |
Необходимо также, отметить что:
- при питании группы электроприводов маловероятно совпадение промежуточных гармоник, поэтому полный коэффициент гармонических искажений получается в результате арифметического суммирования;
- с другой стороны, для гармоник, не синхронизированных ЭПТ с контроллерным управлением преобразователями, обычно используется квадратичное суммирование;
- в электроприводах с неуправляемыми выпрямителями на входе гармоники суммируются арифметически.
Угол сдвига тока, потребляемого преобразователем, по отношению к напряжению питания определяется углом начала коммутации и порядком гармоники. Гармонические токи, генерируемые различными преобразователями, подключенными к одной и той же секции питающей линии, суммируются векторно. Сложение гармоник не вызывает принципиальных трудностей, однако их строгий расчет не имеет практического смысла из-за статистического характера генерируемого гармонического тока, в противном случае требуется чрезвычайно большое количество дополнительных данных.
Для преобразователей в режиме источников напряжения с входными выпрямителями, рекомендуется следующий простой традиционный метод оценки с помощью суммирования, заключающийся в составлении отдельной расчетной схемы для каждого генератора гармоник, определении контурных токов и узловых потенциалов, вызванных соответствующим генератором гармоник, а затем их арифметическим сложением.
Для увеличения точности оценки могут быть использованы коэффициенты одновременности работы преобразователей, если эти данные доступны. Более детальная информация представлена в B.2 приложения B МЭК 61800-3.
Потребителю следует периодически выполнять измерения гармоник в выбранных точках с высоким уровнем гармонического искажения, чтобы определить поведение системы и убедиться:
- в отсутствии перегрузки конденсаторов, фильтров, кабелей и трансформаторов избыточным влиянием гармоник;
- что нет явлений последовательного или параллельного резонанса;
- что уровень гармоник в выбранных точках соединения находится в допустимых пределах.
Для проверки результатов измерений и экстраполяции этих результатов на вновь устанавливаемые или предполагаемые к установке новые преобразователи рекомендуется выполнить анализ гармоник, основанный на коэффициентах одновременности нагрузки преобразователя. Основательный и громоздкий анализ гармоник проводить не рекомендуется.
B.4 Результаты для типовых преобразователей; фазовое управление
Преобразователь мощности может быть представлен как генератор гармонических токов в электрической сети.
Порядок гармоник является функцией числа пульсаций преобразователя, т.е. 6 или 12 в большинстве случаев. Порядок гармоник составляет (kp +/- 1) (k - целое число, p - число пульсаций преобразователя). Таблица B.2 иллюстрирует идеальный случай гармонического распределения для 6-импульсных преобразователей, когда постоянный ток не имеет пульсаций.
Таблица B.2
Гармоники тока в 6-пульсном преобразователе
Порядок гармоники | Гармонический состав тока в процентах от основной гармоники тока |
XC = 0% | XC = 8% | XC = 8% | XC = 8% |
| 20,0 | 18,7 | 19,6 | 19,8 |
| 14,3 | 12,4 | 13,7 | 14,1 |
11 | 9,1 | 6,4 | 8,2 | 8,7 |
13 | 7,7 | 4,6 | 6,6 | 7,3 |
| 5,9 | 2,3 | 4,5 | 5,3 |
| 5,3 | 1,5 | 3,8 | 4,6 |
23 | 4,3 | 0,6 | 2,7 | 3,6 |
25 | 4,0 | 0,5 | 2,2 | 3,2 |
| 3,4 | 0,6 | 1,5 | 2,5 |
| 3,2 | 0,7 | 1,2 | 2,3 |
35 | 2,9 | 0,6 | 0,7 | 2,3 |
37 | 2,7 | 0,5 | 0,5 | 1,6 |
| 2,4 | 0,4 | 0,2 | 1,3 |
| 2,3 | 0,3 | 0,1 | 1,1 |
47 | 2,1 | 0,1 | 0,1 | 0,9 |
49 | 2,0 | 0,1 | 0,2 | 0,7 |
Примечание 1 - XC - линейное индуктивное сопротивление коммутации, %;  - угол включения преобразователя. Примечание 2 - Значение этих гармонических токов в 12-импульсных преобразователях, как правило, составляет 10% значений в 6-импульсных. |
Значение гармонического тока является функцией величины его основной гармоники, реактивного сопротивления коммутации XC, угла задержки преобразователя и может быть точно рассчитано. В общем случае, амплитуда гармоник увеличивается при снижении отношения постоянного тока к переменному (угол коммутации достигает 90°) и снижении индуктивного сопротивления коммутации.
Для трехфазной мостовой схемы преобразователя, представленной на рисунке B.1, приближенный расчет гармонических токов приведен ниже.
Рисунок B.1 - Тиристорный преобразователь с большой
индуктивностью в цепи постоянного тока
B.4.1 Прямоугольный ток питания
Рисунок B.2 - Прямоугольный ток питания
B.4.2 Трапециевидный ток в питающей сети
Расчеты проводятся в соответствии с МЭК 60146-1-2, МЭК 61000-2-1.
a) В первом приближении можно пользоваться МЭК 60146-1-2, подпункт 3.6.2.1.
Для обычного сопротивления питающей сети (результат не зависит от RSC):
Рисунок B.3 - Трапециевидный ток питания
b) Альтернативный метод аппроксимации (результат не зависит от угла отпирания, но зависит от RSC):

,
где угол коммутации u вычисляют по формуле

,
пользуясь которой следует учитывать, что

,
где k - соотношение между максимальным и номинальным током.
c) Окончательная оценка проводится в соответствии с пунктом 3.6.4 МЭК 60146-1-2, по математической формуле с графическим представлением. Результат зависит от угла включения

и угла коммутации
u.
Таблица B.2 основывается на данной оценке.
B.4.3 Гармоника тока с пульсациями постоянного тока
Три предшествующие аппроксимации предполагают отсутствие пульсаций в звене постоянного тока. Это не всегда соблюдается, в частности в приводах с диодными выпрямителями без реактора.
B.4.3.1 Прямоугольные колебания тока на стороне питающего напряжения при идеальных пульсациях постоянного тока
Идеализированные пульсации постоянного тока состоят из синусоидальных частей.

,

.
Порядок гармоник

,

.
Этот результат представлен графически на
рисунке B.4 и, как правило, позволяет получить практическую оценку, в частности для приводов с большой индуктивностью в цепи постоянного тока.
Примечание - Высокие пульсации гармонических токов 7-го и 13-го порядков являются сдвинутыми по фазе, что выражается отрицательными значениями графиков на рисунке B.4.
Рисунок B.4 - Основные гармонические составляющие
питающего тока при токе питания прямоугольной формы
с идеализированными пульсациями постоянного тока
B.4.3.2 Трапециевидный питающий ток при идеальных пульсациях на стороне постоянного тока
Если, в дополнение к случаю, приведенному выше, принять во внимание угол коммутации, оценка становится более сложной. Она описана в трудах IEEE по промышленному применению (N 1, январь/февраль, 1983).
B.4.4 Диодные выпрямители
Другой конфигурацией преобразователя является диодный выпрямитель со стороны питания ЭПТ. В самом общем случае трехфазного моста результирующий коэффициент гармоник тока в основном зависит от времени отпирания диодов, т.е. от полного эквивалентного реактивного сопротивления XL.
На рисунке B.5 показан инвертор с диодным выпрямителем на входе. Преобразователь показан с трехфазным полным сопротивлением, учитывающим фильтр и линию питания постоянного тока. Сопротивление преобразователя может быть определено как двукратное значение сопротивления фильтра, просуммированного с сопротивлением линии, если они соединены последовательно. На
рисунке B.6 показана форма сигналов напряжения и тока входной цепи преобразователя при сопротивлениях источника и линии соответственно 2% и 6%.
Рисунок B.5 - Преобразователь с диодным выпрямителем
на входе и ШИМ инвертором или прерывателем постоянного тока
Примечание - Внутреннее сопротивление источника равно 2%, внутреннее сопротивление преобразователя равно 6%.
Рисунок B.6 - Преобразователь мощности с диодным
преобразователем на линии питания и ШИМ инвертор или
прерыватель постоянного тока
Коэффициент искажения напряжения со стороны линии растет с увеличением сопротивления преобразователя и снижается с увеличением сопротивления источника.
На рисунке B.7 показаны коэффициенты искажения напряжения и тока со стороны питающей линии в функции полного сопротивления источника и преобразователя соответственно.
Рисунок B.7 - Преобразователь мощности
с выпрямителем на подводящей линии
B.4.5 Диодные выпрямители без индуктивности в цепи постоянного тока
Частный случай - преобразователи, которые не имеют индуктивности в цепи постоянного тока (БМП малых мощностей).
Искажение тока в цепи питания находится в обратной зависимости к общей (входной) индуктивности, которая включает в себя сумму внутренних сопротивлений преобразователя и источника (см. рисунок B.8).
Рисунок B.8 - Диодный выпрямитель
без индуктивности линии постоянного тока
Значение xL, о.е., составляет
где Id - фактическое значение и не обязательно - номинальное.
Примечание - Это различные определения для xC, в относительных единицах.
Результаты для искажения тока приведены на следующих рисунках. Для отдельных гармоник токов см. рисунок B.9, а для коэффициентов искажения тока -
рисунок B.10.
Рисунок B.9 - Входной гармонический ток
Рисунок B.10 - Искажение входного тока
B.4.6 Резюме
Все эти приближения предоставляют информацию об обычном гармоническом составе. Они справедливы для идеального оборудования, не имеющего технологических отклонений. Поскольку идеального оборудования быть не может, эти результаты имеют отличия между заданным и действительным значением угла включения или выключения активных элементов.
Как результат, может быть получен случайный или нерегулярный состав гармоник, включающий четные или тройные гармоники.
B.5 Пример оценки гармонического влияния ЭПТ
Абстрактный пример гармонических искажений (ограничен для простоты 25-м порядком гармоник) отображает практическую оценку связи между эмиссией и помехоустойчивостью в условиях влияния электропривода, как указано в
4.1.
Рисунок B.11 - Пример простой структуры
Шестипульсный тиристорный преобразователь в составе электропривода (ЭПТ) с внутренней индуктивностью 0,3 мГн подключен к сети (ОТС) через индуктивности 0,1 мГн и 0,04 мГн.
Внутренняя индуктивность распределительной сети в ОТС составляет 0,06 мГн. Номинальное межфазное напряжение составляет 415 В при 50 Гц (фазное напряжение - 240 В).
Для простоты примера постоянный ток представлен без каких-либо пульсаций и
Id равно 100 А. Результирующий ток
ILN1 равен 78 А. Это соответствует
RSC, равному 163 в ОТС. Гармонические токи согласно МЭК 60146-1-2 (рисунок 7) оцениваются с учетом угла пуска

равном 20° (d
x = 2,55%, угол переключения
u = 7,3°).
В таблице B.3 показан вклад преобразователя в гармоническое напряжение фаза - нейтраль (размерность - вольты).
Таблица B.3
Гармоники, вносимые приводом
h | 5 | 7 | 11 | 13 | 17 | 19 | 23 | 25 |
Ih при THD 27%, А | 15,4 | 10,8 | 6,4 | 5,3 | 3,7 | 3,2 | 2,3 | 1,9 |
Uh между фазой и нейтралью в ОТС при THD 1,5%, В | 1,44 | 1,42 | 1,33 | 1,31 | 1,20 | 1,13 | 1,00 | 0,90 |
Uh между фазой и нейтралью в ТСУ при THD 2,4%, В | 2,41 | 2,37 | 2,22 | 2,18 | 2,00 | 1,89 | 1,66 | 1,50 |
Uh между фазой и нейтралью на клеммах ЭПТ при THD 4,8%, В | 4,8 | 4,8 | 4,5 | 4,4 | 4,0 | 3,8 | 3,4 | 3,0 |
Uh между фазой и нейтралью на клеммах преобразователя при THD 12,1%, В | 12,1 | 11,9 | 11,1 | 10,9 | 10,0 | 9,5 | 8,3 | 7,5 |
Итог этого влияния в ранее существовавшее искажение напряжения в ТСУ или ОТС является довольно сложным вопросом. Однако для получения грубой оценки результирующего искажения может быть использован упрощенный подход, приведенный в МЭК 61800-3 (пункт B.2.3.3).
B.6 Ослабление гармонических искажений
Компенсация коэффициента мощности и подавление гармоник являются двумя тесно связанными проблемами.
Кроме того, местные и в результате многочисленные средства компенсации сильно увеличивают риск появления резонанса в системе. Следовательно, имеет смысл разработать единую стратегию компенсации для всей установки.
Чаще всего она заключается в установке фильтров, настроенных на наиболее опасные порядки гармоник. Это общий способ решения проблемы.
Гармоники привода могут быть подавлены дополнительными трансформаторами со сдвигом фаз (изменение коэффициента пульсаций преобразователя). Получаемая с вторичных обмоток трансформатора, соединенных по схеме треугольник или звезда, мощность реализуется главным образом в гармониках тока 12
k +/- 1. Обычно 5-я и 7-я гармоники тока снижаются до 10% по сравнению с 6-импульсными значениями. Для преобразователей типа 1 требуются соответствующие углы задержки.
Рисунки B.4 и
B.6 для 12-пульсного процесса должны быть изменены. На
рисунке B.6 полное среднеквадратичное значение следует пересчитать.
Для составных типов приводов 1 или 2 питание от трансформаторов со сдвигом фаз приводит к некоторому снижению содержания полного гармонического.
B.7 Коммутационные провалы
Подробный временной анализ может быть использован для коммутационных провалов, которые представляют часть гармонической эмиссии преобразователя (МЭК 60146-1-2, подраздел, 3.5). Они являются результатом межфазных коротких замыканий на фидерах при каждом переключении фаз, коммутируемых преобразователем.
Трехфазный мостовой преобразователь состоит из шести полупроводниковых ключей, соединенных, как показано на рисунке B.12. Передача тока с одного ключа к другому в том же ряду (к одному из трех в верхнем ряду или одному из трех в нижнем) называется коммутацией. В процессе коммутации два (или три) полупроводника проводят одновременно в том же ряду, что вызывает кратковременное короткое замыкание между фазами питания. Линейное напряжение на клеммах моста падает до нуля, и появляются провалы в линейном напряжении (см.
рисунок B.13).
1 - 6 - полупроводниковые ключи
Рисунок B.12 - Трехфазный 6-пульсный
мостовой преобразователь
Рисунок B.13 - Провалы при коммутации в схемах
с трехфазным 6-пульсным мостовым преобразователем
Провалы в линии питания от другого преобразователя будет разряжать RC-снабберы тиристорных преобразователей и RC-цепочки в линии переменного тока. Дополнительный разряд сглаживающего конденсатора снаббера может вызвать перегрев и отказ резистора, включенного последовательно с конденсатором. Провалы при коммутации также могут быть емкостно связаны с регулятором преобразователя через питающий трансформатор, вызывающий отказ регулятора или проблемы стабильности привода.
Максимальный провал при переключении происходит при работе в режиме ограничения тока.
Короткое замыкание, связанное с провалом, может быть полным, если преобразователь подключается к питанию без использования развязывающих устройств (например, провал может достигать глубины 100%). КЗ может быть ограничено, если преобразователь подключен к ОТС через реактивное сопротивление (см.
рисунок B.14 для эквивалентной цепи). Тогда глубина провала зависит от полного сопротивления развязки как показано далее:
где d - глубина провала, %.
Рисунок B.14 - Эквивалентная цепь для оценки
уменьшения коммутационного провала
Это означает, что глубина провала может быть снижена при уменьшении Zcc и увеличении Zd.
Zd может быть увеличено установкой разделительных трансформаторов или реакторов. Устанавливаемые разделительные трансформаторы или реакторы должны быть размещены как можно ближе к мостовому преобразователю, чтобы они также не создавали сбои в цепях коммутации и управления.
Глубина провала может быть снижена перемещением точки соединения как можно ближе к источнику питания. Это способствует снижению общего сопротивления Zcc до тех пор, пока сохраняется сумма Zcc + Zd (Zd увеличивается при удлинении кабеля в то время, как Zcc снижается).
Однако участок провала, наблюдаемый в ТС, не зависит от значения реактивного сопротивления развязки. Сохраняя все остальное постоянным, увеличение реактивного сопротивления развязки снижает глубину провала, однако увеличивает его ширину. Таким образом, площадь провала кардинально не меняется.
B.8 Защита от падений и кратковременных прерываний напряжения
Оборудование, которое охватывает настоящий стандарт, может быть чувствительным к падению и кратковременному прерыванию напряжения питания. В период таких возмущающих воздействий вращательная способность двигателя значительно снижается, двигатель стремится к остановке. Исполнительный механизм, как правило, продолжает работать в течение периода восстановления питания. Поскольку преобразователь более не синхронизирован с двигателем, случайный перезапуск может привести к недопустимым превышениям токов (с риском повреждения оборудования), приводящим к срабатыванию защитных отключающих цепей и остановке системы. Чтобы избежать таких последствий, в большинстве случаев электропривод прекращает работу при обнаружении потери питания. Для применений, требующих непрерывной работы, между пользователем и поставщиком и/или производителем должны быть всесторонне согласованы технические требования. Возможно несколько решений, представленных ниже.
Источник бесперебойного питания (ИБП)
Такое решение может обеспечить бесперебойную работу электропривода. Выбор ИБП проводится исходя из номинальной мощности электропривода и максимальной продолжительности возмущающего воздействия.
Компенсация падения напряжения (преодоление понижения напряжения)
Это решение позволяет осуществить непрерывную эксплуатацию исполнительного оборудования в процессе значительного падения амплитуды трехфазного напряжения, если является приемлемым снижение скорости. Максимальная величина падения трехфазного напряжения, максимальная продолжительность данного возмущения, допустимое снижение скорости исполнительного оборудования и нагрузочная характеристика являются необходимыми данными для точного определения необходимой компенсации падения напряжения.
Перезапуск на ходу после кратковременного прерывания питания
При падении трехфазного напряжения и кратковременных прерываниях питания, если данные неисправности носят продолжительный характер, не компенсируются системой электропривода, а также отсутствует резервное питание, электропривод не может сохранять работоспособность. Скорость снижается в зависимости от момента нагрузки, инерции исполнительного оборудования и двигателя, моментов потерь трения и продолжительности возмущения. Возможна полная остановка двигателя. Однако, в ряде случаев, возможно выполнить перезапуск на ходу путем восстановления питания в процессе работы исполнительного оборудования. Такое решение может потребовать датчика скорости. Расчетные параметры для его реализации включают в себя максимальную продолжительность возмущения и продолжительность между восстановлением питания и возвратом машины к ее начальной скорости. В отсутствие такой возможности обычно приходится останавливать исполнительное оборудование и/или процесс.
МЭК 60364-3:1993 Электрические установки для зданий. Часть 3. Определение основных характеристик
МЭК 61000-2-1:1990 Электромагнитная совместимость (EMC). Часть 2. Окружающая среда - Раздел 1: Описание окружающей среды - Электромагнитная окружающая среда, способствующая редким неисправностям и предупреждениям из общих систем электропитания
IEEE 519:1992 Рекомендуемые правила эксплуатации и требования к контролю гармоник в электроэнергетических системах
IEEE 597:1983 Правила эксплуатации и требования для тиристорных приводов постоянного тока общего применения
IEEE Труды по промышленности - Приложения N 1, январь/февраль, 1983
(справочное)
ВСПОМОГАТЕЛЬНОЕ ОБОРУДОВАНИЕ
Электрооборудование, входящее в состав ЭПТ с регулируемой скоростью, может оказаться в нестандартных условиях эксплуатации. Например, трансформаторы и реакторы могут работать при различных гармонических токах и импульсной нагрузке. Настоящее приложение предназначено помочь в определении таких участков для этого типа вспомогательного оборудования.
Трансформаторы (разделительные и автотрансформаторы) могут использоваться как на входе, так и на выходе БМП.
Такие трансформаторы, как правило, не являются определяющими для работы преобразователя, но предназначены удовлетворять одно или более требований, приведенных ниже:
- создавать необходимые уровни напряжения;
- определять соответствие нормам и правилам;
- осуществлять изоляцию (гальваническую развязку);
- удовлетворять требования к заземлению;
- осуществлять подавление помех;
- снижать уровни токов короткого замыкания;
- увеличивать число пульсаций;
- снижать уровень гармонических составляющих.
Конструкции демпферов, du/dt, di/dt или реактивных цепей в преобразователе основываются на значении внутреннего сопротивления источника питания. Трансформаторы могут быть использованы также для получения необходимого полного сопротивления.
Примечание - Трансформаторы подвергаются воздействию токов и напряжений с гармоническими составляющими.
C.2.1 Напряжение
Когда напряжение в питающей сети отличается от номинального входного напряжения преобразователя, на входе преобразователя может использоваться повышающий или понижающий трансформатор, или автотрансформатор.
Требуемая трансформация напряжения может быть достигнута при использовании трансформаторов распределительного устройства, питающих различные нагрузки.
В случае применения больших преобразователей отдельные специализированные трансформаторы могут применяться для одиночных преобразователей или групп преобразователей.
C.2.2 Нормативные документы
В местных или заводских нормах могут указываться требования к изоляции, которые могут требовать использования входных трансформаторов.
C.2.3 Обеспечение непрерывности работы установок с опасностью соединения с землей
Для некоторых применений инженерная практика может диктовать использование незаземленных или заземленных через большое сопротивление цепей на КП/БМП и двигателях. Такое применение, как правило, имеет место в отраслях промышленности с непрерывными процессами, такими как целлюлозное и бумажное, пищевое, химическое, цементное, горнодобывающее производство или металлургия.
Опасность замыкания на землю цепей является общей для этих производств из-за влияния влаги или внешних условий на данные цепи и систему изоляции двигателя. Чтобы поддерживать непрерывность работы в режиме нежелательного соединения с землей, используют разделительный трансформатор для гальванической изоляции цепей КП/БМП от общей распределительной сети. Таким образом, возможна непрерывная работа КП/БМП на ответвленной цепи с единственным нежелательным заземлением. Чтобы обеспечивать непрерывную защиту, потребитель должен при первой же возможности устранить замыкание на землю.
Использование трансформатора для обеспечения непрерывной работы в условиях нежелательного замыкания на землю не следует путать с защитой преобразователя от замыкания на землю. Защита от короткого замыкания на землю будет защищать преобразователь при условиях, указанных производителем, но не может обеспечивать желаемой непрерывной работы.
C.2.4 Дисбаланс напряжения питающей сети
Дисбаланс напряжения больше чем 3% между фазами линии питания может вызвать созданные линией переменного тока номинальные линейные токи, превышающие номинальные. Разделительный трансформатор может быть оборудован выводами, которые используются для компенсации дисбаланса напряжения при всех режимах номинальной нагрузки.
C.2.5 Снижение входных гармонических токов преобразователя
Входные токи КП/БМП в основном несинусоидальные. Эти токи имеют синусоидальную составляющую тока на частоте питания (известную как ток основной гармоники) и дополнительные синусоидальные компоненты тока (известные как токи высших гармоник) на частотах, отличающихся от частоты питания.
Токи высших гармоник не способствуют передаче полезной мощности и создают дополнительную вольт-амперную нагрузку на распределительную систему, поэтому желательна минимизация этих гармонических токов сети.
Для определенных типов КП/БМП гармонический состав тока питания может быть изменен путем размещения дополнительного полного сопротивления между входом преобразователя и системой питания. Для изменения полного сопротивления питающего фидера могут быть использованы трансформаторы.
Дополнительная информация по изменению полного сопротивления фидера и минимизации провалов линейного напряжения содержится в
приложении B.
C.2.6 Сокращение ожидаемого тока короткого замыкания на входе преобразователя
Когда ожидаемый ток короткого замыкания в точке соединения (ТС) преобразователя больше, чем установленная производителем перегрузочная способность преобразователя по току короткого замыкания, между системой питания и преобразователем для снижения ожидаемого тока может быть включен трансформатор.
C.2.7 Число пульсаций p
В некоторых случаях трансформаторы или автотрансформаторы применяют для увеличения числа пульсаций и, следовательно, уменьшения гармонических искажений напряжения.
Реакторы в питающей сети могут также использоваться вместо трансформаторов для достижения компенсации дисбаланса напряжения питающей сети, изменения импеданса питающей электросети, минимизации импульсных искажений в питающей сети и сокращения предполагаемого тока короткого замыкания.
Реакторы (как с железным сердечником, так и без него) также используют в преобразователях систем силового привода (ЭПТ), как и фильтры, коммутационные элементы, устройства последовательной сглаживающей фильтрации, элементы балансирования токов и т.д.
Их проектирование специализировано и связано со спецификой схемы используемого преобразователя.
C.4 Коммутационная аппаратура
Коммутационная аппаратура (разъединители, автоматические выключатели, комбинированные пускатели, контакторы и т.д.) могут быть использованы на входе ЭПТ.
Такая аппаратура не меняет существа работы преобразователя и предназначена для удовлетворения одного или более из следующих требований:
- обеспечение соответствия местным нормам;
- выполнение эффективной изоляции (безопасность);
- защита.
МЭК 60289:1988 Реакторы
МЭК 60364-4-46:1981 Электрические установки зданий. Глава 46. Отключение и переключение
МЭК 60364-5-537:1981 Электрические установки зданий. Часть 5. Выбор и установка электротехнического оборудования. Глава 53. Коммутационная аппаратура и аппаратура управления - Раздел 537: Устройства для отключения и переключения
МЭК 65A/WG6 Цифровые входы
Другие важные действующие стандарты
UL 508 Промышленные контроллеры
UL 508C Оборудование для преобразования энергии
NEMA ICS <*> 1.1 Рекомендации безопасности для приложений, установок и эксплуатации полупроводниковых управляемых ключей
--------------------------------
<*> NEMA ICS - Национальная ассоциация производителей электрооборудования. Интегрированная система связи.
NEMA ICS 1-11A Испытание на импульсные перенапряжения
NEMA ICS 7 Управление производственным процессом и системы привода с регулируемой скоростью
NEMA ICS 7.1 Нормы безопасности при конструировании и руководство для выбора, установки и эксплуатации систем привода с регулируемой скоростью
prEN <*> 50178 Электронное оборудование для применения в силовых установках
--------------------------------
<*> prEN - Связи с общественностью. Европейские нормы.
IEEE 519:1992 Рекомендуемые правила эксплуатации и требования к контролю гармоник в силовых электрических системах
IEEE 597:1983 Правила эксплуатации и требования к тиристорным приводам постоянного тока общего применения
IEEE P936:1987 Руководство по автономным преобразователям
IEEE P995:1987 Рекомендуемая практика по определению КПД приводов переменного тока с регулируемой скоростью
(справочное)
Существуют различные принципы управления, которые используют для того, чтобы достичь наилучшего компромисса между такими показателями, как требуемая производительность при всех скоростях, получение необходимых скорости и момента вращения, высокий КПД, низкое содержание гармоник, высокий входной коэффициент мощности и т.д.
D.1.1 Базовая структура
Базовая структура системы управления двигателем (см. рисунок D.1) зависит от прикладной задачи. Самые важные обстоятельства определяются приводимым в движение механизмом и перечислены ниже:
Примечание - CV - управляемая переменная, она показана на рисунке как:
- входная величина, отмеченная CV*;
- измеренное текущее значение, отмеченное CV.
Рисунок D.1 - Блок-схема системы управления
с обратной связью, содержащей основные элементы
a) переменная двигателя, измеряемая для создания основного сигнала обратной связи, например скорости вращения (управление скоростью посредством сигнала обратной связи по скорости), или электрического тока, создающего вращающий момент (управление током якоря и потоком);
b) работа с ослаблением поля или без ослабления.
D.1.2 Примеры стратегий управления
Все типы структур преобразователя
(приложение F) могут использовать комбинации принципов управления. Примеры некоторых используемых на практике, представлены на рисунках D.2 -
D.7.
Рисунок D.2 - Управление напряжение - частота
(инвертор - источник тока)
Рисунок D.3 - Непосредственное управление
скоростью (инвертор - источник тока)
Рисунок D.4 - Управление напряжение - частота
(инвертор - источник напряжения)
Рисунок D.5 - Непосредственное управление
скоростью (инвертор - источник напряжения)
Рисунок D.6 - Векторное управление со слежением
за полем (инвертор - источник напряжения)
fr rotor electrical frequency
(corresponding to the slip frequency);
fm shaft frequency (corresponding to the motor speed,
and corrected by the number of motor poles)
fs stator frequency
Рисунок D.7 - Векторное управление с вычислением
частоты скольжения (инвертор - источник напряжения)
D.1.3 Последовательные и параллельные структуры управления
В некоторых системах привода применяется система управления, использующая параллельные контуры управления скоростью и током как альтернативу классической последовательной структуре регулятора.
D.2.1 Эксплуатационные режимы
Взятые для примера три эксплуатационных режима относятся к требованиям пользователя по режимам работы оборудования:
a) режим управления вращающим моментом;
b) режим управления скоростью;
c) режим управления частотой.
Что касается вращающего момента, важно различить:
- электромагнитный вращающий момент, развиваемый электрической машиной;
- механический вращающий момент на валу.
Последняя переменная характеризует всю механическую систему, нагружающую вал двигателя.
Если иное не оговорено, под вращающим моментом понимают электромагнитный момент без учета реакции нагрузки и потерь.
D.2.2 Контур управления
Необходимо рассмотреть три типа контуров обратной связи в системе управления:
a) разомкнутый контур управления, без обратной связи;
b) замкнутый контур управления, с косвенной (расчетной) обратной связью.
Расчет регулируемой переменной делается на основе измеренных значений электрических переменных, таких как напряжение, магнитный поток, электрический ток, отпирающие импульсы преобразователя и т.д.;
c) управление в замкнутом контуре с непосредственной (по сигналу датчика регулируемой переменной) обратной связью; изготовитель должен также определить требования по быстродействию к датчику: точность, полоса пропускания и т.д.
D.2.3 Точностные характеристики
В таблице D.1 предложен обобщенный формат описания с целью помочь пользователю проанализировать способ управления электропривода с точки зрения получения требуемых характеристик.
Таблица D.1
Варианты управления электроприводом
Рабочий режим | Тип обратной связи | Статические характеристики (точность/диапазон регулирования) | Динамические характеристики (время регулирования) |
Низкая скорость | Средняя скорость | Основная скорость | Максимальная скорость |
Режим регулирования момента вращения | Без обратной связи | | | | | |
С косвенной обратной связью |
С непосредственной обратной связью |
Режим регулирования скорости | Без обратной связи | | | | | |
С косвенной обратной связью |
С непосредственной обратной связью |
Примечание 1 - Диапазон рабочих и эксплуатационных изменений в процессе регулирования и работы отнесен к номинальным значениям (см. 6.1). Примечание 2 - От основной до максимальной скорости КП обеспечивает снижение возбуждения двигателя. В этих условиях двигатель работает в режиме ослабления потока с постоянной мощностью. |
Эта таблица помогает производителю задать статические и динамические характеристики регулирования. Производитель указывает точность в устойчивых состояниях для каждого режима работы при:
- низкой скорости;
- средней скорости (50% основной скорости);
- основной скорости;
- максимальной скорости.
D.3 Характеристики в установившемся и переходном режимах
D.3.1 Характеристика процесса во времени
Данная характеристика представляет собой кривую выходной переменной в зависимости от времени, получаемую при указанном входном воздействии и при указанном режиме работы. Опорный входной элемент по команде управления (см.
рисунок D.1) производит необходимый сигнал и передают его в точку суммирования.
Заданное значение достигается, когда сигнал обратной связи равен опорному входному сигналу
D.3.1.1 Время отклика
Время отклика - время, проходящее от подачи задающего (ступенчатого) воздействия на систему до момента достижения регулируемой величиной указанного значения (см.
рисунки D.8,
D.9,
D.10).
Примечание - Указанное значение часто принимают как значение ошибки, указанной для заданного значения переменной в процентах.
Примечание 1 - Указанное значение часто принимается как значение ошибки относительно установившегося значения.
Примечание 2 - Время регулирования: если диапазон не указан, должно соответствовать рабочему диапазону отклонений, отцентрированному относительно установившегося значения.
Примечание 3 - Время отклика: если отклонение не указано, может соответствовать первому значению переменной вниз или вверх от рабочего диапазона отклонений.
Примечание 4 - Время нарастания: если отклонение не указано, может соответствовать значению переменной вниз или вверх от рабочего диапазона отклонений. (Как правило, время нарастания определяется как время между 10% и 90% заданного значения.)
Рисунок D.8 - Переходный процесс при ступенчатом изменении
опорного входного сигнала при постоянной нагрузке
Рисунок D.9 - Переходный процесс при ступенчатом изменении
нагрузки при постоянном опорном входном сигнале
Рисунок D.10 - Время отклика при изменении
задания с указанной скоростью изменения
D.3.1.2 Время нарастания
Время нарастания - время постоянного возрастания регулируемой переменной, необходимое для ее изменения от заданного значения вблизи начального до заданного вблизи требуемого. Указанные значения часто принимаются соответственно от 5% до 10% и от 95% до 90% заданного установившегося значения переменной (см.
рисунок D.8).
Если термин "время нарастания" не определен, подразумевается отклик системы на ступенчатое воздействие, иначе должны быть указаны форма и амплитуда воздействия.
D.3.1.3 Время регулирования
Время регулирования - время после возникновения входного воздействия на систему, необходимое для входа заданной переменной и сохранения ее в пределах указанной полосы, отцентрированной относительно ее установившегося значения (см.
рисунки D.8,
D.9).
Примечание - Если данная полоса не указана, следует считать, что это - рабочий диапазон отклонения.
D.3.2 Характеристики отдельных функций
По отдельным функциям может быть запрошена дополнительная информация.
D.3.2.1 Управление соотношением скоростей
Управление соотношением скоростей - управление, которое воздействует на два привода с предварительно установленным соотношением скоростей. Диапазон регулирования соотношением скоростей, когда прямо пропорциональная зависимость существует между двумя приводами, как показано на рисунке D.11, обычно выражается как плюс или минус определенный процент относительно скорости ведущего привода.
Рисунок D.11 - Пропорциональная зависимость
скоростей ведущего/следящего электропривода
D.3.2.2 Задатчик интенсивности (нарастания скорости)
Работа задатчика интенсивности определяется требуемым значением ускорения или замедления, которое должно быть установлено для электропривода. В дополнение должно быть рассмотрено применение быстрого снижения скорости для аварийного останова.
D.3.2.3 Ограничение тока
Характеристики ограничителя тока определены диапазоном, в котором может быть установлено ограничение тока.
D.4 Список существенных регулируемых параметров
D.4.1 Регулируемые параметры КП/БМП
Основные параметры КП/БМП включают в себя:
- минимальное время разгона (без отключения);
- минимальное время торможения (без отключения);
- параметры устойчивой настройки контура управления (напряжением, током, скоростью, вращающим моментом и т.д.);
- нормированная область ограничения сигнала тока сверху;
- нормированная область ограничения сигнала тока снизу;
- ограничения dv/dt на входе;
- соотношение напряжения и частоты;
- максимальное выходное напряжение.
D.4.2 Параметры двигателя
Параметры двигателя включают в себя:
- напряжение при основной скорости;
- частота при основной скорости;
- ток при полной нагрузке;
- ток возбуждения;
- индуктивность статора;
- сопротивление статора;
- индуктивность ротора;
- сопротивление ротора;
- температурные коэффициенты параметров ротора.
D.4.3 Механические параметры
Механические параметры включают в себя:
- момент инерции;
- упругость;
- люфт;
- прочие.
D.4.4 Параметры источника электропитания
Параметры источника электропитания включают в себя:
- RSC отношение короткого замыкания;
- гармонический импеданс;
- импеданс питающей сети (на основной частоте) или продолжительная допустимая нагрузка по току.
D.5.1 Функциональные структуры
Переменные параметры привода включают в себя скорость и вращающий момент.
Справочная информация приведена на рисунке D.12.
Рисунок D.12 - Структура системы привода
Двигатель является преобразователем энергии (электрической в механическую). Он производит электромагнитный вращающий момент, которым можно управлять с помощью электронных устройств.
Преобразователь является силовым электронным устройством, которое требует системы управления (устройства управления и сопряжения с вентилями).
Совокупность преобразователя и устройства управления преобразователем составляет управляемый преобразователь.
Устройство управления силовым приводом получает команду на создание вращающего момента, управляя электромагнитными характеристиками двигателя посредством управляемого преобразователя.
Двигатель, силовая часть преобразователя и элементы управления им составляют исполнительную часть электропривода. Система управления передает опорные сигналы, команды в исполнительную часть электропривода.
Совокупность системы управления, исполнительной части электропривода и исполнительное оборудование составляет технологическую установку или ее часть.
D.5.2 Структуры аппаратных средств
Структура аппаратной части представляет различные компоненты электропривода и является его элементной моделью в отличие от функциональной структуры.
Структура аппаратной части - вопрос технологии разработки и комплектации. Различные поставщики могут нести ответственность за различные компоненты в зависимости от их квалификации в данной области. Исполнительное оборудование не включают в определение электропривода.
Принято определять комплектный преобразователь (КП) как часть электропривода без двигателя с соединенными с ним датчиками. Как видно из
раздела 2 (рисунок 2) и показано на
рисунке D.8, КП может быть разделен на базовый модуль привода (БМП) и его расширения. БМП может включать или не включать в себя регулятор скорости.
Базовый модуль преобразователя (БМП) или комплектный преобразователь (КП) могут поставляться отдельно. Будучи подключенными к двигателю, они становятся частью электропривода (ЭПТ).
D.5.3 Важные вопросы поведения электропривода установки
Специфика работы КП/БМП заключается в формировании тока двигателя, определяющего момент вращения.
Поведение же электропривода установки в целом зависит от совместной работы КП/БМП, двигателя и исполнительного оборудования. Некоторые механические параметры механизма, такие как упругости и зазоры, могут вносить ограничения в работу электропривода, поскольку они влияют на время отклика регулятора скорости и время регулирования.
D.5.3.1 Влияние упругости
Соединение двигателя с приводимым в действие оборудованием через вал и/или редуктор может вызвать крутильные колебания с собственной частотой NTF, зависящей от механической инерции и от упругости механической передачи следующим образом:

,
где JM - момент инерции двигателя;
JD - момент инерции приводимого в действие оборудования;
K - динамическая жесткость механической передачи (1/K = упругость).
Это уравнение относится к двухмассовой системе. (Система с тремя или более массами включает две или более собственных частот крутильных колебаний NTF). Во многих случаях собственные частоты крутильных колебаний очень высоки.
Если дано:
NTF >= 10/TR,
где TR - требуемое время отклика контроллера скорости, время отклика скорости относительно независимо от электрических и механических параметров привода.
Оно более связано с характеристиками управления, особенно с механическими и электрическими свойствами датчика, со временем запаздывания и коэффициентом демпфирования регулятора скорости.
Кроме того, максимальные переходные отклонения скорости будут зависеть от инерции системы привода и/или величины скачка приложенной нагрузки.
В некоторых случаях, особенно когда вал механической передачи имеет низкий коэффициент жесткости (например, если он очень длинный), а инерция приводимого в действие оборудования высока, собственная частота крутильных колебаний привода может быть меньше, чем 10/TR.
В этом случае для исключения вибраций во время работы время отклика регулятора скорости должно быть настроено на более высокое значение по отношению к собственной частоте крутильных колебаний NTF, зависящей от величин механических параметров (т.е. от механической инерции и коэффициента жесткости механической передачи).
Как следствие, для того же самого значения инерции и тех же самых параметров управления, максимальное переходное отклонение скорости при скачкообразном изменении нагрузки выше для такой системы, чем полученное в результате испытания в системе, где естественным образом NTF > 10/TR.
Рисунок D.13 - Механическая схема
Рисунок D.14 - Простой критерий устойчивости
к крутильным колебаниям
Зазоры в механической передаче вносят нелинейность в систему привода, в котором имеется возможность изменения направления вращающего момента (например, при ступенчатом снижении задания скорости в электроприводах, питающихся от четырехквадрантного преобразователя) (см.
рисунок 3).
Реверс момента вращения на очень короткое время открывает возможный зазор, отъединяя двигатель от исполнительного оборудования и приводя к снижению момента инерции системы. Таким образом, регулятор скорости возбуждает кратковременные колебания в зубчатой передаче. В этом интервале времени система может находиться в режиме колебаний, которые демпфируются после определенного количества циклов (в зависимости от коэффициента демпфирования системы).
Данная вибрация может быть снижена, однако не всегда устранена с помощью специальной функции компенсации зазора.
В процессах, требующих хороших динамических характеристик привода, необходимо минимизировать зазор в зубчатом зацеплении.
(справочное)
Приложение помогает пользователю понять, как правильно защитить ЭПТ/КП/БМП. Методы применяют по отдельности, но могут иметь общую классификацию в соответствии с физическими явлениями, лежащими в их основе. Применение будет также зависеть от самой установки. Приложение предоставляет только общую информацию для подготовки оборудования.
E.2 Эксплуатационная готовность оборудования
Эксплуатационная готовность оборудования относится к продолжительной работе оборудования. Цепи защиты реагируют прежде всего на внешние факторы, влияющие на систему привода.
E.2.1 Цепи защиты оборудования
Цепи защиты должны предотвращать отказы оборудования, а также повреждение установки или компонентов. Превышение допустимых значений переменных вызывает срабатывание этих цепей. Допустимые значения устанавливаются ниже порогов разрушения для соответствующих компонентов.
E.2.2 Типы предупреждений об опасности и неисправностях оборудования
Предупреждения об опасности и неисправностях классифицируются по четырем категориям согласно тому, насколько критична неисправность и насколько быстро требуется действие защиты. Примеры даны на рисунке E.1. Эти четыре категории могут использоваться в соответствии с настоящим приложением. При применении они определены таким образом, что остановка оборудования для устранения неисправности вызовет наименее возможное прерывание приводимого в действие оборудования в рамках технологического процесса. Такие стратегии должны быть согласованы потребителем и производителем.
Рисунок E.1 - Классификация защит
Обозначенные предупреждения об опасности и неисправности могут быть отдельно отображены в системе текущего контроля оборудования или посланы на мониторы диспетчерской. Допустимо использовать следующие категории сообщений, указывающих на аварийное состояние оборудования.
a) Предупреждение об опасности
Сообщение, указывающее аварийное состояние, которое не требует немедленного действия (например, обрыв заземления). Предупреждение об опасности останется в силе, пока не сброшено, и исчезает только после того, как причина была устранена.
b) Легкая неисправность 1
Неисправность связана обычно с медленным превышением температуры.
Процесс производства может быть остановлен на разумное время, которое должно быть согласовано между потребителем и изготовителем в соответствии с производственным графиком, например остановка производства без потери производимого материала.
c) Легкая неисправность 2
Производство продолжено через короткое, приемлемое время, которое будет согласовано потребителем и производителем в соответствии с технологическим процессом. Материал может быть сохранен перед остановкой оборудования.
d) Крупная неисправность
Оборудование останавливается сразу, и производство немедленно прерывается. Материал в приводимом в действие оборудовании и/или технологическом процессе может быть потерян как брак.
E.2.3 Перечень предупреждений об опасности и неисправностей
Необходимые сообщения и установленные значения, предлагаемые производителем должны быть согласованы им с потребителем (см.
рисунок E.1). Примеры иллюстрируют сообщения и отказы высококачественных приводов с КП. Простые применения привода могут обеспечивать только функции сигнализации и срабатывания.
E.3 Защита системы (особенности и аппаратура)
Цель настоящего подраздела - помочь потребителю рассмотреть методики и выбрать необходимые устройства для правильной защиты системы. Система включает в себя, но не ограничивается ниже приведенными элементами:
a) питающую сеть;
b) разделительные трансформаторы;
c) двигатели;
d) блоки конденсаторов для коррекции коэффициента мощности;
e) перемычку, шунтирующую преобразователь;
f) цепи управления.
Защита вспомогательных устройств осуществляется путем согласования устройств защиты, сопротивления цепи, разрядников, реле и сигнальных устройств. Эти устройства предотвращают опасные повышения напряжения, превышения тока и температуры.
Механические датчики также устанавливают на двигатели, трансформаторы и другое оборудование при необходимости определить превышение скорости, избыточную вибрацию, отсутствие смазки, отсутствие вентиляции и другие неподходящие условия работы. Они сигнализируют об остановке системы перед возникновением механических повреждений.
E.4 Защита системы привода
E.4.1 Защиты, включенные в комплектный/базовый модуль привода (КП/БМП)
Требования системы защиты электропривода (см.
рисунок E.1) будут зависеть от назначения и конфигурации оборудования. Для защиты оборудования от повреждений, происходящих из-за непредвиденных обстоятельств, рекомендуется защита согласно
рисунку E.1.
Хорошо спроектированная система также обеспечивает защиту против непредвиденных обстоятельств, могущих возникнуть внутри и вне системы электропривода. Эти обстоятельства включают в себя:
a) перебои в работе источника электропитания:
- броски напряжения,
- понижение/повышение напряжения,
- потерю фазы, опрокидывание фазы,
- дисбаланс фаз,
- перебои в подаче электроэнергии;
b) режимы перегрузки по току:
- токи короткого замыкания,
- токи утечки на землю,
- внутреннее короткое замыкание,
- перегрузки;
c) отсутствие вентиляции;
d) перегрев оборудования;
e) внезапное изменение давления масла, заполняющего реакторы и трансформаторы;
f) превышение скорости двигателей;
g) чрезмерная вибрация двигателей;
h) отсутствие смазки двигателя.
Примечание - Переходные токи утечки на землю должны быть учтены ввиду емкостной связи между нагрузкой и системой заземления.
E.4.2 Специальные средства защиты двигателя
Двигатели и их электрические цепи должны быть эффективно защищены блоком, использующим устройства релейной защиты, которые могут отключить преобразователь.
Помимо защит от максимального тока и перегрузки, настоятельно рекомендуется применение защиты от перегрева обмоток, дифференциальной токовой и импульсной для двигателей более 300 кВт.
E.4.3 Специальные средства защиты трансформатора
Защиту разделительного трансформатора, как правило, обеспечивают реле. Необходима защита от перегрузки по току в первичных цепях. Для мощных устройств, как правило, предоставляется защита от короткого замыкания на землю и дифференциальная токовая. Следует обратить внимание на влияние гармоник при выборе реле для этих целей.
Защиту от перенапряжений, как правило, обеспечивают на первичных обмотках разделительных трансформаторов. При правильной координации она может защитить всю систему от скачков линейного напряжения, вызванных грозой и переходными процессами в высоковольтном распределителе.
E.5 Другие ссылочные документы
МЭК 60204-1 Электрическое оборудование промышленное. Часть 1. Общие требования
(справочное)
СТРУКТУРЫ ПРЕОБРАЗОВАТЕЛЕЙ
Преобразователь переменного тока в постоянный с различными параметрами (напряжение, частота, число фаз) может быть выполнен с непосредственным (прямым) или со звеном постоянного тока (непрямым) процессом преобразования.
Примером непосредственного преобразователя переменного тока является циклоконвертер (непосредственный преобразователь частоты).
Непрямые преобразователи, включающие в себя звено постоянного тока, могут быть выполнены с различными конфигурациями на стороне питающей линии и на стороне нагрузки. Они показаны на
рисунке F.1.
Идентификация конфигурации отдельного преобразователя может быть выполнена маркировкой соответствующего поля, отображающей процесс в преобразователе.
Рисунок F.1 - Конфигурации преобразователей переменного тока
Примечание - В каждом ряду диаграммы преобразователя, даны альтернативные варианты. Например, в ряду "источник" имеется выбор между источником напряжения и источником тока.
Данный преобразователь будет иметь разновидности в нескольких рядах.
Например, данный преобразователь может быть преобразователем - источником напряжения, автономным (коммутируемым по сети) или с широтно-импульсной модуляцией (ШИМ).
(справочное)
ФУНКЦИИ МОНИТОРИНГА
Мониторинг всей системы электропривода разделен на две части:
- мониторинг текущего состояния (КП);
- мониторинг текущего состояния двигателя.
Кроме того, есть два способа мониторинга, которые могут привести к двум различным методам:
- мониторинг отдельной системы электропривода;
- мониторинг электропривода, интегрированной в общую систему автоматизации.
Система мониторинга КП обычно дает более подробную информацию об отказе и текущем состоянии на местной панели управления (включенной в КП или БМП) как посредством светодиода, так и алфавитно-цифровым кодом на светодиодах или на жидкокристаллических индикаторах или на терминале (ручной программатор, персональный компьютер).
Системы, основанные на аналоговой технике, как правило, имеют менее сложные системы контроля, используя светодиод для состояния и отказов. Могут быть обеспечены некоторые иные сообщения (по месту и/или удаленно), например:
- максимально допустимая скорость;
- максимальная скорость;
- ограничение тока;
- текущее значение тока нагрузки;
- текущая скорость;
- другие ограничительные условия;
- неисправность.
Микропроцессорные системы, как правило, представляют больший объем информации (состояние, тревога, отказы) через цифровые коды или текст. Эти системы позволяют выполнять управление с помощью обычной клавиатуры и дисплея. Дисплей может, в частности, отображать:
- изменение параметров (коэффициенты усиления регуляторов, ускорение, замедление и т.д.);
- контроль управляемых переменных (таких как скорость, напряжение, действительные значения тока или опорные сигналы);
- хронологические записи переменных и т.д.
Эти системы могут обеспечивать сложные связи, используя последовательные или параллельные каналы с непосредственным соединением или многоабонентской шиной.
(справочное)
СВЕДЕНИЯ О СООТВЕТСТВИИ ССЫЛОЧНЫХ МЕЖДУНАРОДНЫХ СТАНДАРТОВ
И ДОКУМЕНТОВ ССЫЛОЧНЫМ НАЦИОНАЛЬНЫМ СТАНДАРТАМ
РОССИЙСКОЙ ФЕДЕРАЦИИ (И ДЕЙСТВУЮЩИМ В ЭТОМ КАЧЕСТВЕ
МЕЖГОСУДАРСТВЕННЫМ СТАНДАРТАМ)
Таблица ДА.1
Обозначение ссылочного международного стандарта, документа | Степень соответствия | Обозначение и наименование соответствующего национального, межгосударственного стандарта |
МЭК 60034-1:2004 | MOD | ГОСТ Р 52776-2007 (МЭК 60034-1-2004) "Машины электрические вращающиеся. Номинальные данные и характеристики" |
| | ИС МЕГАНОРМ: примечание. ГОСТ Р МЭК 60034-2-1-2009 утратил силу с 01.06.2019 в связи с введением в действие ГОСТ IEC 60034-2-1-2017 (Приказ Росстандарта от 30.10.2018 N 871-ст). | |
|
МЭК 60034-2-1:2007 | IDT | ГОСТ Р МЭК 60034-2-1-2009 "Машины электрические вращающиеся. Часть 2-1. Стандартные методы определения потерь и коэффициента полезного действия вращающихся электрических машин (за исключением машин для подвижного состава)" |
МЭК 60034-9:1997 | MOD | ГОСТ Р 53148-2008 (МЭК 60034-9:2003) "Машины электрические вращающиеся. Предельные уровни шума" |
МЭК 60038:1983 | | |
МЭК 60050-111:1996 | | |
МЭК 60050-151:2001 | | |
МЭК 60050-441:1984 | | |
МЭК 60050-551:1998 | | |
МЭК 60050-601:1985 | | |
МЭК 60076-1:2000 | IDT | ГОСТ 30830-2002 (МЭК 60076-1-93) "Трансформаторы силовые. Часть 1. Общие положения" |
МЭК 60146-1-1:1991 | | |
МЭК ТО 60146-1-2:1991 | | |
МЭК 60146-1-3:1991 | | |
МЭК 60204-1:1992 | IDT | |
МЭК 60529:1989 | IDT | ГОСТ 14254-96 (МЭК 529-89) "Степени защиты, обеспечиваемые оболочками (код IP)" |
МЭК 60664-1:1992 (2000) | | |
МЭК 60721-3-1:1987 | | |
МЭК 60721-3-2:1997 | | |
МЭК 60721-3-3:1994 | | |
МЭК 60747 (все части) | MOD | ГОСТ 29209-91 (МЭК 747-2-83) "Приборы полупроводниковые. Дискретные приборы и интегральные схемы. Часть 2. Выпрямительные диоды" ГОСТ 29210-91 "Приборы полупроводниковые. Дискретные приборы и интегральные схемы. Часть 3. Сигнальные диоды (включая переключательные) и диоды-регуляторы тока и напряжения" ГОСТ 29283-92 "Полупроводниковые приборы. Дискретные приборы и интегральные схемы. Часть 5. Оптоэлектронные приборы" |
МЭК 61000-2-4:1994 (2002) | MOD | ГОСТ Р 51317.2.4-2000 (МЭК 61000-2-4-94) "Совместимость технических средств электромагнитная. Электромагнитная обстановка. Уровни электромагнитной совместимости для низкочастотных кондуктивных помех в системах электроснабжения промышленных предприятий" |
МЭК 61000-4-7:1991 (2009) | MOD | ГОСТ Р 51317.4.7-2008 (МЭК 61000-4-7:2002) "Совместимость технических средств электромагнитная. Общее руководство по средствам измерений и измерениям гармоник и интергармоник для систем электроснабжения и подключаемых к ним технических средств" |
МЭК 61800-3:1996 (2012) | | |
Руководство МЭК 106:1989 | - | |
<*> Соответствующий национальный стандарт отсутствует. До его утверждения рекомендуется использовать перевод на русский язык данного международного стандарта (документа). Перевод данного международного стандарта (документа) находится в Федеральном информационном фонде технических регламентов и стандартов. Примечание - В настоящей таблице использованы следующие условные обозначения степени соответствия стандартов: - IDT - идентичные стандарты; - MOD - модифицированные стандарты. |